Известия РАН. Механика жидкости и газа, 2023, № 6, стр. 121-131
ОСОБЕННОСТИ ТРАНСФОРМАЦИИ НЕЛИНЕЙНЫХ ВНУТРЕННИХ ВОЛН НА ШЕЛЬФЕ И В ГЛУБОКОМ ОЗЕРЕ
В. В. Кириллов a, *, В. Ю. Ляпидевский b, **, И. А. Суторихин a, ***, Ф. Ф. Храпченков c, ****
a Институт водных и экологических проблем СО РАН
Барнаул, Россия
b Институт гидродинамики им. М.А. Лаврентьева СО РАН
Новосибирск, Россия
c Тихоокеанский океанологический институт им. В.И. Ильичева ДВО РАН
Владивосток, Россия
* E-mail: vkirillov@iwep.ru
** E-mail: liapid@hydro.nsc.ru
*** E-mail: sia@iwep.ru
**** E-mail: fedi@poi.dvo.ru
Поступила в редакцию 13.08.2023
После доработки 12.09.2023
Принята к публикации 15.09.2023
- EDN: JPNIJA
- DOI: 10.31857/S1024708423600537
Аннотация
Характерной особенностью стратифицированных течений в больших водоемах является генерация интенсивных короткопериодных внутренних волн на фронте длинноволновых возмущений. Наиболее выражены нелинейные процессы при распространении придонных и приповерхностных возмущений. Эффективным инструментом исследования волновых процессов в океане является теория многослойной мелкой воды с учетом эффектов нелинейности и дисперсии. Показано, что разработанные математические модели пригодны для описания трансформации нелинейных внутренних волн как в шельфовой зоне моря, так и в глубоких пресноводных водоемах. В частности, проведено сравнение структуры придонных внутренних волн в шельфовой зоне Японского моря и недавно обнаруженных приповерхностных внутренних волн в Телецком озере. Обсуждается механизм генерации интенсивных внутренних волн при возбуждении сейшевых колебаний в узких водоемах. Построены бегущие волны в многослойной жидкости и найдены численные решения нестационарной проблемы генерации внутренних волн. Проведено сравнение с лабораторными экспериментами по генерации пакета короткопериодных внутренних волн при сейшевых колебаниях двухслойной жидкости в длинном канале, а также с зарегистрированной приповерхностной внутренней уединенной волной в Телецком озере.
Наиболее изученным объектом исследований нелинейных волновых процессов в стратифицированных по плотности водоемах являются внутренние волны в океане [1]. Однако внутренние волны являются также характерной особенностью любых больших резервуаров при наличии выраженной стратификации плотности по глубине. Механизмы генерации возмущений в пикноклине (термоклине) существенно различаются для открытых и замкнутых водоемов. В шельфовой зоне морей основным источником внутренних волн являются внутренние приливы, в то время как в вытянутых озерах внутренние волны генерируются сейшевыми колебаниями свободной поверхности, вызванных атмосферными явлениями [2–4].
Проблемам генерации внутреннего прилива на границе шельфовой зоны и его трансформации в пакет интенсивных внутренних волн посвящено большое число натурных [5–8], лабораторных [9, 10], а также аналитических и численных исследований [11–13]. При определенных условиях длинные внутренние волны порождают цуги нелинейных короткопериодных внутренних волн, структура которых уже не зависит от способа возбуждения длинноволновых колебаний пикноклина. Поэтому математические модели, разработанные для описания внутренних волн в шельфовой зоне моря и верифицированные на основе натурных наблюдений на специализированных гидрофизических полигонах [14–16], пригодны и для расчета структуры внутренних волн в озерах.
Целью данной работы является демонстрация возможности использования разработанной модели многослойной мелкой воды для описания придонных внутренних волн большой амплитуды не только в прибрежных водах, но и для определения структуры нелинейных внутренних волн в глубоких озерах. В работе уравнения многослойной мелкой воды, учитывающие негидростатичность вертикального распределения давления, применены для построения пакета внутренних волн на шельфе Японского моря, зафиксированного на гидрофизическом полигоне ТОИ ДВО РАН в октябре 2022 г., а также для описания уединенной внутренней волны в поверхностном слое Телецкого озера, зарегистрированной во время проведения натурных исследований летом 2022 г.
1. МАТЕМАТИЧЕСКАЯ МОДЕЛЬ
Для описания динамики длинных внутренних волн в океане широко используется теория мелкой воды. При этом основное предположение о малости параметра $\varepsilon = Y{\text{/}}L$, где $Y$ – характерный вертикальный, а $L$ – горизонтальный масштабы волнового движения, справедливо для широкого класса внутренних волн. Выбор масштабов $Y$, $L$ зависит от постановки задачи. Для внутренних волн, амплитуда которых сравнима с глубиной канала $H$, принимается $Y = H$. В случае придонных или приповерхностных внутренних волн, распространяющихся в относительно тонком слое, в качестве вертикального масштаба движения выбирается толщина этого слоя.
Переходом к уравнениям многослойной мелкой воды удается понизить размерность задачи и в то же время учесть вертикальную структуру плотности и скорости в волновых движениях стратифицированной жидкости. В классических уравнениях многослойной мелкой воды (первое приближение мелкой воды) используется дополнительная гипотеза о гидростатическом распределении давления в потоке. Учет вертикального ускорения в слоях (второе приближение мелкой воды) позволяет более полно представить внутреннюю структуру нелинейных внутренних волн, но приводит к существенному усложнению математической модели. Разумным компромиссом представляется математическая модель, рассмотренная далее, в которой даже в многослойном течении удается построить и проанализировать однопараметрическое семейство бегущих внутренних волн (уединенных волн, волновых боров и т.д.).
В работе рассматривается модель многослойного течения стратифицированной жидкости в рамках теории мелкой воды [16], в которой негидростатичность вертикального распределения давления учтена только во внешних слоях. В приближении Буссинеска уравнения движения принимают вид
(1.1)
$\begin{gathered} {{h}_{{i\;t}}} + {{({{h}_{i}}{{u}_{i}})}_{x}} = 0,\quad i = 1,...,\;n, \\ {{u}_{{i\;t}}} + {{\left( {\frac{1}{2}u_{i}^{2} + {{p}_{i}}} \right)}_{x}} = {{f}_{i}},\quad i = 2,...,\;n - 1, \\ \end{gathered} $(1.2)
$\begin{gathered} {{u}_{{1\;t}}} + {{\left( {\frac{1}{2}u_{1}^{2} + {{p}_{1}}} \right)}_{x}} + \frac{{{{{{\beta }}}^{ + }}}}{{3{{h}_{1}}}}{{\left( {h_{1}^{2}\frac{{d_{1}^{2}{{h}_{1}}}}{{d{{t}^{2}}}}} \right)}_{x}} = {{f}_{1}}, \\ {{u}_{{n\;t}}} + {{\left( {\frac{1}{2}u_{n}^{2} + {{p}_{n}}} \right)}_{x}} + \frac{{{{{{\beta }}}^{ - }}}}{{3{{h}_{n}}}}{{\left( {h_{n}^{2}\frac{{d_{n}^{2}{{h}_{n}}}}{{d{{t}^{2}}}}} \right)}_{x}} = {{f}_{n}}. \\ \end{gathered} $Здесь hi – толщина слоя (нумерация сверху вниз), pi – модифицированное давление в слое, величина fi описывает диссипацию, связанную с взаимодействием между слоями, $\frac{{{{d}_{k}}{{h}_{k}}}}{{dt}} = {{h}_{{kt}}} + {{u}_{k}}{{h}_{{kx}}},$ $k = 1$, $k = n.$ Плотности в слоях постоянны и задают устойчивую стратификацию ${\text{(}}{{{{\rho }}}_{{\text{1}}}}\,{\text{ < }}\,...\,{\text{ < }}\,{{{{\rho }}}_{n}}{\text{)}}$. Негидростатическое распределение давления учитывается только во внешних слоях $(i = 1$ и $i = n)$ в рамках второго приближения теории мелкой воды.
Величины ${{p}_{i}}$ можно представить в виде
(1.3)
${{p}_{i}} = {{p}_{1}} + \sum\limits_{j = 2}^{i - 1} {{{b}_{j}}{{h}_{j}} + {{b}_{i}}\sum\limits_{j = i}^n {({{h}_{j}} + z),\quad {\text{i}}\,{\text{ = }}\,{\text{2,}}...{\text{,}}n} } $Здесь ${{b}_{i}} = {\text{(}}{{{{{{\rho }}}_{{\text{i}}}} - {{{{\rho }}}_{1}}{\text{)}}g} \mathord{\left/ {\vphantom {{{{{{\rho }}}_{{\text{i}}}} - {{{{\rho }}}_{1}}{\text{)}}g} {{{{{\rho }}}_{1}}}}} \right. \kern-0em} {{{{{\rho }}}_{1}}}}$, $i = 1,...,n$ – плавучесть в i-ом слое, $g$ – ускорение свободного падения, $z = z\left( x \right)$ – рельеф дна. Величина ${{p}_{1}}$ является неэволюционной и в дальнейшем будет исключена из уравнений.
Модель (1.1), (1.2), (1.3) при $n = 3$ верифицирована в [13] на данных лабораторных и натурных экспериментов. Для произвольного числа слоев модель была выведена и проанализирована в [16, 17]. Показано, что уравнения (1.1), (1.2), (1.3) применимы для описания внутренних волн большой амплитуды, соответствующих как первой, так и второй модам, а также для численного расчета взаимодействия этих мод. В приближении Буссинеска свободная граница горизонтальна и, следовательно, полный расход определяется граничными условиями, т.е.
(1.4)
$H + z(x) = {{H}_{0}} = {\text{const}},\quad H = \sum\limits_{i = 1}^n {{{h}_{i}},\quad Q(t) = \sum\limits_{i = 1}^n {{{h}_{i}}{{u}_{i}}.} } $Поэтому с учетом (1.4) число искомых переменных может быть уменьшено на два.
Для численного построения нестационарных решений уравнения (1.2), с учетом (1.1) и (1.3), представляются в следующей эквивалентной форме ([13, 16]):
(1.5)
$\begin{gathered} {{K}_{t}} + {{\left( {K{{u}_{1}} - \frac{1}{2}u_{1}^{2} + {{p}_{1}} - \frac{1}{2}h_{1}^{2}{{{({{u}_{{1x}}})}}^{2}}} \right)}_{x}} = {{f}_{1}}, \\ {{R}_{t}} + {{\left( {R{{u}_{n}} - \frac{1}{2}u_{n}^{2} + {{p}_{n}} - \frac{1}{2}h_{n}^{2}{{{({{u}_{{nx}}})}}^{2}}} \right)}_{x}} = {{f}_{n}}, \\ K = {{u}_{1}} - \frac{{{{{{\beta }}}^{ + }}}}{{3{{h}_{1}}}}{{(h_{1}^{3}{{u}_{{1x}}})}_{x}},\quad R = {{u}_{n}} - \frac{{{{{{\beta }}}^{ - }}}}{{3{{h}_{n}}}}{{(h_{n}^{3}{{u}_{{nx}}})}_{x}}. \\ \end{gathered} $В данной работе модель (1.1), (1.3), (1.5) будет использована для построения нестационарных решений в двух случаях: а) формирование внутреннего ондулированного бора при сейшевых колебаниях границы раздела двухслойной жидкости $\left( {n = 2,{{\beta }^{ + }} = 1,{{\beta }^{ - }} = 0} \right)$; б) генерация уединенной волны в узком водоеме локальной деформацией пикноклина в трехслойной жидкости $\left( {n = 3,\;{{\beta }^{ + }} = {{\beta }^{ - }} = 1} \right)$ Для произвольного числа слоев будет построено однопараметрическое семейство уединенных волн и проведено сравнение полученного профиля солитонообразной волны с натурными данными для ${{\beta }^{ + }} = 0$, ${{\beta }^{ - }} = 1$, $z\left( x \right) = 0$, ${{f}_{i}} = 0\left( {i = 1,...,n} \right)$ Заметим, что условие β+ = 0 или β– = 0 является существенным при построении солитонов, так как в общем случае при ${{\beta }^{ \pm }} > 0$ такие решения не существуют.
2. СОЛИТОНЫ В N-СЛОЙНОЙ ЖИДКОСТИ
Рассматривается структура уединенных волн в горизонтальном канале (z(x) = 0) в рамках однородных уравнений (1.1), (1.2), (1.3) с одним дисперсионным слоем (β+ = 0, β– = 1, fi = 0 (i = 1,…, n)). Так как рассматриваемая система допускает преобразование Галилея, то достаточно построить стационарные решения, переходящие в заданное течение со сдвигом скорости
Имеется следующий набор интегралов уравнений (1.1), (1.2), (1.3)
(2.1)
$\begin{gathered} {{Q}_{i}} = {{h}_{i}}{{u}_{i}} = h_{i}^{0}u_{i}^{0},\quad (i = 1,...,n), \\ {{J}_{i}} = \frac{1}{2}u_{i}^{2} + {{p}_{i}} = \frac{1}{2}{{(u_{i}^{0})}^{2}} + p_{i}^{0},\quad (i = 1,...,n - 1), \\ p_{i}^{0} = \sum\limits_{j = 2}^{i - 1} {{{b}_{j}}} h_{j}^{0} + {{b}_{i}}\sum\limits_{j = i}^n {h_{j}^{0},\quad (i = 2,...,n)} , \\ {{J}_{n}} = \frac{1}{2}u_{n}^{2} + {{p}_{n}} + \frac{1}{3}u_{n}^{2}\left( {{{h}_{n}}h_{n}^{{''}} - {{{\left( {\frac{1}{2}h_{n}^{'}} \right)}}^{2}}} \right) = \frac{1}{2}{{(u_{n}^{0})}^{2}} + p_{n}^{0}, \\ \end{gathered} $(2.2)
$\frac{1}{6}Q_{n}^{2}(h_{n}^{{ - 1}}{{(h_{n}^{'})}^{2}}){\kern 1pt} ' = \frac{1}{3}\frac{{Q_{n}^{2}}}{{h_{n}^{2}}}\left( {{{h}_{n}}h_{n}^{{''}} - \frac{1}{2}{{{(h_{n}^{'})}}^{2}}} \right)h_{n}^{'} = \left( {{{J}_{n}} - \frac{1}{2}u_{n}^{2} - {{p}_{n}}} \right)h_{n}^{'} = \Phi ({{h}_{n}})h_{n}^{'},$(2.3)
$\frac{1}{6}Q_{n}^{2}{{(h_{n}^{'})}^{2}} = {{h}_{n}}\Psi ({{h}_{n}}),\quad \Psi ({{h}_{n}}) = \int\limits_{h_{n}^{0}}^{{{h}_{n}}} {\Phi (s)ds} .$Таким образом, построение профиля уединенной волны сводится к квадратурам. Для определения скорости волны $D$ достаточно перейти в исходную систему координат. Если солитон распространяется по покоящейся жидкости, то скорость волны связана с глобальным числом Фруда ${\text{Fr}}\, = \,\frac{D}{{\sqrt {bH} }}$. Наличие сдвига скорости в невозмущенном потоке существенно влияет на скорость распространения солитона.
3. ГЕНЕРАЦИЯ ВНУТРЕННИХ ВОЛН В ДЛИННОМ КАНАЛЕ
Одним из механизмов возбуждения интенсивных внутренних волн в больших озерах являются внутренние сейши [18]. Формирование внутренних гидравлических прыжков, ондулированных боров и пакетов короткопериодных внутренних волн на гребне существенно более длинных волн определяется совместным действием эффектов нелинейности, дисперсии и турбулентного перемешивания. В рамках модели (1.1), (1.2), (1.3) и ее подмоделей могут быть воспроизведены генерация и распространение волновых боров и уединенных волн без их обрушения. В следующих разделах будут рассмотрены два примера формирования и распространения внутренних волн: а) численный анализ развития волнового пакета при сейшевом колебании внутренней границы раздела в двухслойной жидкости и сравнение численного решения с лабораторным экспериментом; б) генерация уединенной волны первой моды в трехслойном течении и сравнение параметров солитона с натурными данными, полученными в 2022 г. в Телецком озере.
4. ВОЛНОВОЙ БОР В ДВУХСЛОЙНОЙ ЖИДКОСТИ
В работе [19] была проведена серия лабораторных экспериментов по генерации интенсивных коротких волн на внутренней границе раздела при сейшевых колебаниях двухслойной жидкости в длинном канале. Результаты эксперимента объясняют механизм формирования пакетов уединенных волн при возбуждении внутренних сейш в узких озерах и фьордах. Лабораторный эксперимент проводился в лотке под крышкой длиной 600 см, глубиной 29 см и шириной 30 см, который мог отклоняться на заданный угол от горизонтального положения. В лотке создавалась устойчивая двухслойная стратификация с заданной плавучестью $b = ({{{{\rho }}}_{2}} - {{{{\rho }}}_{1}}{\text{)}}g{\text{/}}{{{{\rho }}}_{1}} > 0$, $b = 20 \pm 2$ см/с2. Толщина прослойки между слоями в ходе последовательного проведения нескольких экспериментов возрастала от 1 до 2 см, что немного уменьшало среднюю плавучесть стратифицированной жидкости. Для численного расчета течения в указанном канале применим модель (1.1), (1.2), (1.3) при n =2. При этом нижний дисперсионный слой отсутствует $({{{{\beta }}}^{ - }}\, = \,0)$ и негидростатичность распределения давления учитывается только в верхнем слое.
На рис. 1 показаны в результаты сравнения численного расчета эволюции волн с экспериментальными данными (сплошная линия – эксперимент, пунктирная – расчет) при начальном наклоне границы раздела слоев Θ = 0.5° и различной относительной толщине нижнего слоя (рис. 1а: ${{h_{2}^{0}} \mathord{\left/ {\vphantom {{h_{2}^{0}} {H = 0.4}}} \right. \kern-0em} {H = 0.4}}$, $b = 20~$ см/с2; рис. 1б: ${{h_{2}^{0}} \mathord{\left/ {\vphantom {{h_{2}^{0}} {H\, = \,0.2,\,\,}}} \right. \kern-0em} {H\, = \,0.2,\,\,}}$ $b = 18.5$ см/с2). Отклонение положения границы раздела от среднего значения толщины нижнего слоя ζ измерялось в центре канала (данные в [19, Fig. 6b] соответствуют рис. 1а, а данные, приведенные в [19, Fig. 6d] , использованы на рис. 1б). Начальное положение границы раздела (пунктирная линия) и рассчитанный на момент времени $t = 400\,c$ профиль волны, соответствующий второму эксперименту (рис. 1б), изображены на рис. 2.
Рис. 1.
Сравнение численного решения (1.1), (1.2), (1.3) с лабораторным экспериментом [19] при $\Theta = {{0.5}^{^\circ }}$: сплошная линия – эксперимент, пунктирная линия – расчет; а – $h_{2}^{0}{\text{/}}H = 0.4$, $b = 20\,{{{\text{см}}} \mathord{\left/ {\vphantom {{{\text{см}}} {{{{\text{c}}}^{{\text{2}}}}}}} \right. \kern-0em} {{{{\text{c}}}^{{\text{2}}}}}}$; б – ${{h_{2}^{0}} \mathord{\left/ {\vphantom {{h_{2}^{0}} {H = 0.2}}} \right. \kern-0em} {H = 0.2}}$, $b = 18.5\,{{{\text{см}}} \mathord{\left/ {\vphantom {{{\text{см}}} {{{{\text{c}}}^{{\text{2}}}}}}} \right. \kern-0em} {{{{\text{c}}}^{{\text{2}}}}}}$.

Рис. 2.
Профиль внутренней волны: сплошная линия – численный расчет по модели (1.1), (1.2), (1.3), пунктирная линия – начальное положение пикноклина, $n = 2$, $t = 400\,c$.

Заметим, что по сравнению с первым случаем (рис. 1а), значение плавучести несколько уменьшено, так как толщина прослойки в приведенной серии экспериментов возросла и средняя плавучесть уменьшилась. Из рис. 1 можно заключить, что численная модель адекватно передает фазовые и амплитудные характеристики нестационарного волнового процесса, наблюдаемого в эксперименте. Кроме того, из экспериментальных наблюдений и численных расчетов следует, что при сейшевых колебаниях в двухслойной жидкости в длинном канале формирование короткопериодного пакета внутренних волн на гребне более длинной волны существенно зависит от относительной толщины одного из слоев. Заметим также, что в приближении Буссинеска модель (1.1), (1.2) допускает преобразование границы раздела и параметров течения, симметричное относительно средней линии горизонтального канала. Поэтому картину волн, аналогичную изображенной на рис. 1б, можно получить и для приповерхностного слоя заменой направления оси ординат на противоположное (и соответствующую замену знака плавучести). Таким образом, приведенные численные расчеты показывают, что в глубоких узких озерах при наличии выраженного приповерхностного пикноклина внутренние сейши могут приводить к генерации интенсивных внутренних волн.
5. ГЕНЕРАЦИЯ УЕДИНЕННОЙ ВОЛНЫ В ТРЕХСЛОЙНОЙ ЖИДКОСТИ
Другим способом генерации пакетов нелинейных внутренних волн является взаимодействие течений с топографией. При этом резкая деформация пикноклина приводит к задаче о распаде разрыва и генерации цуга уединенных волн.
На рис. 3а представлено численное решение задачи о распаде произвольного разрыва (задачи о водообмене в шлюзе) для геометрии и стратификации, характерной для Телецкого озера в летний период. В рамках трехслойной модели (1.1), (1.2) внутренние границы раздела определяют положение основного термоклина ($H = 300$ м, $h_{1}^{0} = 12$ м, $h_{2}^{0} = 18$ м, ${{b}_{1}} = 0$, ${{b}_{2}} = 0.007$ м/с2, ${{b}_{3}} = 0.014$ м/с2, $u_{i}^{0} = 0$, $i = 1,2,3$).
Рис. 3.
а – профиль внутренней волны (сплошная линия – численный расчет по модели (1.1), (1.2), (1.3), пунктирная линия – начальное положение пикноклина, n = 3, t = 24 мин); б – уединенная внутренняя волна, сравнение нестационарного расчета задачи (1.1), (1.2), (1.3), (5.1) (жирные линии) со стационарным решением (1.1), (1.2), (1.3), (5.2) (пунктирные линии).

В качестве начального возмущения рассматривается деформация термоклина ($h_{{\,1}}^{ - } = 82$ м, $h_{2}^{ - } = 100$ м, $b_{i}^{ - } = b_{i}^{0}$, $u_{i}^{ - } = u_{i}^{0}$, $i = 1,2,3$) на участке 0 ≤ x ≤ L1, L1= 63 м (рис. 3а, пунктирная линия). Численное решение задачи о распаде произвольного разрыва в бассейне, ограниченном вертикальными стенками (0 ≤ x ≤ L0, L0= 3000 м) со следующими начальными данными
(5.1)
$({{h}_{i}}(0,x),{{u}_{i}}(0,x)) = \left\{ \begin{gathered} h_{i}^{ - }(x),u_{i}^{ - }(x)),\quad 0 < x < {{L}_{1}} \hfill \\ h_{i}^{0}(x),u_{i}^{0}(x)),\quad {{L}_{1}} < x < {{L}_{0}} \hfill \\ \end{gathered} \right.\quad i = 1,2,3$(5.2)
$\begin{gathered} H = 300\;{\text{м}},\quad h_{{\,1}}^{0} = 12\;{\text{м}},\quad h_{2}^{0} = 2\;{\text{м}},\quad h_{3}^{0} = 6\;{\text{м}},\quad h_{4}^{0} = 4\;{\text{м}},\quad h_{{\,5}}^{0} = 6\;{\text{м}},\quad b = 0.014\;{\text{м/}}{{{\text{c}}}^{2}}, \\ {{b}_{1}} = 0,\quad {{b}_{2}} = 0.002\;{\text{м/}}{{{\text{c}}}^{2}},\quad {{b}_{3}} = 0.008\;{\text{м/}}{{{\text{c}}}^{2}},\quad {{b}_{4}} = 0.01\;{\text{м/}}{{{\text{c}}}^{2}},\quad {{b}_{5}} = 0.012\;{\text{м/}}{{{\text{c}}}^{2}}. \\ \end{gathered} $Начальные скорости в слоях распределены линейно от 0.125 м/с2 в верхнем слое до нулевого значения в нижнем. Для выбранного значения параметров имеем ${\text{Fr}} = 0.305$ и скорость волны $D = 0.625$ м/с. Сплошными линиями обозначено решение нестационарной задачи о распаде произвольного разрыва в рамках трехслойной модели, приведенное на рис. 3а при t1 = 24 мин. Из рисунка видно, что нестационарное трехслойное решение хорошо аппроксимирует внешние границы на переднем фронте уединенной волны. Более медленное затухание возмущения на подветренном склоне волны в нестационарном расчете является характерным признаком взаимодействия волны с неустановившимся течением за его фронтом.
6. НАТУРНЫЙ ЭКСПЕРИМЕНТ
В этом разделе приведены данные наблюдений внутренних волн, зарегистрированных в 2022 г. во время проведения полевых исследований в шельфовой зоне Японского моря и в акватории Телецкого озера. Условия проведения натурных экспериментов, анализ полученных результатов и характеристика источников внутренних волн будут представлены в других работах. Здесь только приведены два фрагмента измерений и дано краткое описание места и сроков их проведения. Данные представлены для сравнения параметров приповерхностных и придонных внутренних волн в различных водоемах, а также для оценки возможности их математического описания в рамках одной и той же модели многослойной мелкой воды.
6.1. Внутренние волны на шельфе Японского моря
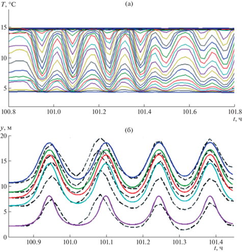
Исследования внутренних волн в шельфовой зоне Японского моря проводятся на гидрофизическом полигоне ТОИ ДВО РАН в течение ряда лет. Сроки и методика натурных измерений параметров придонных внутренних волн, обусловленных температурной стратификацией поверхностного слоя в летний и осенний периоды, описаны в [15, 16, 20]. Основой измерительного комплекса является распределенная система донных станций, предназначенных для непрерывного измерения вертикального профиля температуры и расположенных на глубинах от 20 до 60 м. Автономные станции снабжены цепочками термисторов, расположенных вертикально с шагом 1–1.5 м от дна до поверхности и передающих в станцию цифровую информацию о температуре на фиксированных горизонтах с частотой, позволяющей зафиксировать короткопериодные внутренние волны. Пример измерений волнового пакета в октябре 2022 г., зафиксированного на станции, расположенной на глубине 40 м, представлен на рис. 4а. Тонкие линии показывают температуру (в °C) на фиксированных горизонтах, расположенных через 1 м от дна (36 датчиков температуры). Указанное время в часах отсчитывается с момента синхронизации всей системы донных станций. Представленная информация удобна для обнаружения и классификации проходящих в окрестности станции внутренних волн. Однако для сравнения с результатами математического моделирования требуется представить волновой процесс в виде возмущения фиксированного набора изотерм.
Рис. 4.
Структура пакета внутренних волн: а – зависимость температуры на различных горизонтах от времени, зафиксированная на шельфе Японского моря (глубина 40 м) в октябре 2022 г.; б – сплошные линии – расчет пакета бегущих волн по модели (1.1), (1.2), пунктир – изотермы с шагом 2°С, рассчитанные по экспериментальным данным.

На рис. 4б пунктирными линиями представлены соответствующие изотермы с шагом 2°С. Сплошные линии – расчет стационарного волнового пакета по модели (1.1), (1.2). Для бегущих волн эти уравнения сводятся к системе обыкновенных дифференциальных уравнений первого порядка, разрешенных относительно производных [14, 16]. Поэтому изображенная на рис. 4б структура волнового бора находится как решение задачи Коши с начальными данными, определяемыми положением изотерм на левой границе рисунка (перепад плавучести в соседних слоях постоянный, ${{b}_{n}} = 0.016$ м/с, $n = 5$). В качестве начального распределения скорости используется небольшой сдвиг скорости во внешних слоях ($0.1\,{\text{м/с}}$), распределенный линейно по внутренним слоям. Заметим, что наличие начального градиента скорости существенно влияет на скорость бегущей волны, но при этом волновая структура меняется незначительно по сравнению с волной, бегущей по покою. Сравнение положения расчетных и зарегистрированных изотерм на рис. 4б показывает соответствие амплитудно-фазовых характеристик волновых пакетов. Таким образом, стационарные решения многослойной модели (1.1), (1.2) могут быть использованы для определения структуры придонных волновых пакетов внутренних волн большой интенсивности.
6.2. Приповерхностные внутренние волны на Телецком озере
В августе 2022 г. на Телецком озере была проведена комплексная экспедиция ИВЭП СО РАН. В перечень ее научных задач входили исследование стратификации температуры до глубин 60 м и фиксация ее временной динамики на отдельных участках акватории. Экспедиция проводилась на теплоходе-лаборатории ИВЭП СО РАН. Температурные измерения проводились с борта судна в центральной части основной акватории озера, а также в заливах Кыгинский и Камгинский. Для измерения вертикального распределения температуры в приповерхностном слое использован многодатчиковый цифровой измеритель температуры типа ДИТЦ–60–1 с длиной шлейфа 60 м и интервалом расположения цифровых датчиков 1 м. Тип датчиков – DS1840 – соответствует датчикам, использовавшимся в термокосах при проведении натурных экспериментов в шельфовой зоне Японского моря. Измерения проводились в течение часа в глубоководных частях озера (200–300 м) с дрейфующего судна.
Временной интервал считывания информации со всех датчиков устанавливался программно и был равен 30 с. Таким образом, для каждой станции был получен массив данных порядка 120 реализаций, что позволило фиксировать не только изменение температуры по глубине, но и определить параметры внутренних волн на этом участке.
По результатам обработки данных для станций № 5, 6 и 8 с координатами: 51°34′13″ с.ш., 87°39′57″ в.д.; 51°38′07″ с.ш., 87°39′47″ в.д.; и 51°47′09″ с.ш., 87°41′52″ в.д., соответственно, на горизонтах от 15 до 50 м были зафиксированы наибольшие изменения температуры (от 4 до 6°С) при прохождении нелинейных внутренних волн с периодом от 15 до 35 мин.
На рис. 5а показан фрагмент измерений вертикального распределения температуры на станции № 6 (глубина 300 м), зафиксировавший уединенную волну понижения в верхнем 30-ти метровом слое. Здесь тонкими линиями представлена зависимость температуры от времени на фиксированном расстоянии от поверхности озера.
Рис. 5.
Структура уединенной внутренней волны, зарегистрированной на станции № 6: а) – зависимость температуры на различных горизонтах от времени, полученная на станции; б) – сплошные линии – расчет уединенной волны по модели (2.1), (2.2), (2.3), (5.2), пунктир – поведение изотерм, построенное по экспериментальным данным.

На рис. 5б приведено сравнение решения (2.1), (2.2), (2.3), (5.2), описывающего уединенную волну в многослойной жидкости, с натурными данными. Для заданной скорости волны $D = 0.625$ м/с деформация рассчитанных изотерм может быть представлена как функция времени (пунктирные линии). Тонкими сплошными линиями изображено положение изотерм (с шагом 1°С), зарегистрированных с помощью термокосы. Из рисунка видно, что возмущение этих изотерм в основном термоклине соответствует численному решению. Заметим, что в построенной уединенной волне имеется однозначная связь между скоростью распространения волны и ее амплитудой. Если начальное положение изотерм в невозмущенном течении может быть найдено из полученных натурных данных, то скорость жидкости в слоях в невозмущенном состоянии неизвестна, так как измерение горизонтальных компонент скорости не проводилось. Как было отмечено выше, при небольшом сдвиге скорости в слоях профиль уединенной волны слабо отличается от волны, распространяющейся по покою, однако скорость волны существенно зависит от разности скоростей в слоях фонового течения. Поэтому сравнение скорости распространения зарегистрированной волны со скоростью распространения солитона по покою дает дополнительную (неявную) информацию о наличии сдвигового течения в реальных условиях. Так, выбор начального сдвига скорости, приведенный в (5.2), позволяет согласовать положение изотерм и время прохождения волны в расчете и натурных данных.
7. ОБСУЖДЕНИЕ РЕЗУЛЬТАТОВ
Как отмечено выше, в приближении Буссинеска эволюция придонных и приповерхностных волн описывается одними и теми же уравнениями движения. Поэтому математические модели, разработанные для описания внутренних волн в шельфовой зоне моря, могут применяться и для расчета структуры приповерхностных внутренних волн в глубоких озерах. Однако класс уравнений, пригодных для моделирования распространения бегущих волн большой амплитуды в глубоких озерах и, следовательно, в придонных слоях малой толщины, существенно ограничен (под волнами большой амплитуды подразумевается волновое движение, амплитуда которого многократно превышает начальную толщину слоя, по которому волна распространяется). В тонком “активном” слое негидростатическими эффектами можно пренебречь, так как скорость частиц в этом слое близка к скорости фронта волны. Во внешнем же слое, толщина которого существенно превышает толщину “активного” слоя, длина волны может оказаться сравнимой с толщиной этого слоя и длинноволновое приближение перестает быть эффективным. Одним из аспектов данного исследования является апробация многослойной модели мелкой воды на конкретных волновых пакетах большой амплитуды, зафиксированных в различных водоемах. Подробная информация о структуре вертикального распределения температуры в поверхностном слое при прохождении внутренней волны, полученная в натурном эксперименте, и возможность учета в модели (1.1), (1.2) начального сдвига скорости в невозмущенных слоях позволили оценить скорость волны и сравнить поведение изотерм с соответствующим решением стационарной и нестационарной моделей уединенной волны.
Проблема генерации короткопериодных внутренних волн на фронте длинноволнового возмущения рассмотрена в рамках двухслойной и трехслойной моделей. Двухслойная модель иллюстрирует механизм генерации коротких волн в сейшевых колебаниях внутренней границы раздела в длинном канале. Сравнение с данными лабораторного эксперимента [19] демонстрирует процесс возрастания амплитуды волнового пакета на фронте длинной волны при уменьшении относительной толщины “активного” слоя (рис. 1б). Другой механизм генерации внутренней уединенной волны в результате взаимодействия нелинейных возмущений проиллюстрирован на рис. 3 для данных, характерных для Телецкого озера.
Список литературы
Helfrich K.R., Melville W.K. Long nonlinear internal waves // Ann. Rev. Fluid Mech. 2006. V. 38. P. 395–425. https://doi.org/10.1146/annurev.fluid.38.050304.092129
Arneborg L., Liljebladh B. The Internal Seiches in Gullmar Fjord. Part I: Dynamics // J. Phys. Oceanogr. 2001. V. 31. P. 2549–2566. https://doi.org/10.1175/1520-0485(2001)031<2549:TISIGF>2.0.CO;2
Hutter C., Yongqi Wang, Chubarenko I. Observation and Analysis of Internal Seiches in the Southern Basin of Lake of Lugano. In book: Physics of Lakes. V. 2. Lakes as Oscillators. Chapter 18. Springer-Verlag. 2011. https://doi.org/10.1007/978-3-642-19112-1_18
Lemmin U., Mortimer C.H., Bauerle E. Internal Seiche dynamics in Lake Geneva // Limnol. Oceanogr. 2005. V. 50. № 1. P. 207–216. https://doi.org/10.4319/lo.2005.50.1.0207
Bourgault D., Kelley D.E., Galbraith P.S. Interfacial solitary wave run-up in the St. Lawrence Estuary // J. Marine Res. 2005. V. 63. P. 1001–1015. https://doi.org/10.1357/002224005775247599
Klymak M., Moum J.N. Internal solitary waves of elevation advancing on a shoaling shelf // Geophys. Res. Lett. 2003. V. 30. № 20. P. 2045. https://doi.org/10.1029/2003GL017706
Серебряный А.Н. Проявление свойств солитонов во внутренних волнах на шельфе // Изв. РАН. Физика атмосферы и океана. 1993. Т. 29. № 2. С. 244–252.
Scotti A., Pineda J. Observation of the very large and steep internal waves of elevation near the Massachusetts coast // Geophys. Res. Lett. 2004. V. 31. L22307. https://doi.org/10.1029/2004GL021052
Wallace B.C., Wilkinson D.L. Run-up of internal waves on a gentle slope, // J. Fluid Mech. 1988. V. 191. P. 419–442. https://doi.org/10.1017/S0022112088001636
Sutherland B.R., Barrett K.J., Ivey G.N. Shoaling internal solitary waves // J. Geoph. Res. Oceans. 2013. V. 118. P. 4111–4124. https://doi.org/10.1002/jgrc.20291
Grimshaw R., Talipova T., Pelinovsky E., Kurkina O. Internal solitary waves: propagation, deformation and disintegration // Nonlin. Proces. Geoph. 2010. V. 17. Is. 6. P. 633–649. https://doi.org/10.5194/npg-17-633-2010
Lamb K. Shoaling solitary internal waves: on a criterion for the formation of waves with trapped cores // J. Fluid Mech. 2003. V. 478. P. 81–100. https://doi.org/10.1017/S0022112002003269
Liapidevskii V.Yu., Gavrilov N.V. Large Internal Solitary Waves in Shallow Waters. 2018. P. 87-108. In book: The Ocean in Motion: Circulation, Waves, Polar Oceanography. Editors: M.G. Velarde, R.Yu. Tarakanov, A.V. Marchenko. Springer Oceanography. https://doi.org/10.1007/978-3-319-71934-4_9
Кукарин В.Ф., Ляпидевский В.Ю., Храпченков Ф.Ф., Ярощук И.О. Нелинейные внутренние волны в шельфовой зоне моря // Изв. РАН. Механика жидкости и газа. 2019. № 3. С. 38–47. https://doi.org/10.1134/S0568528119030083
Ляпидевский В.Ю., Храпченков Ф.Ф., Чесноков А.А., Ярощук И.О. Моделирование нестационарных гидрофизических процессов на шельфе Японского моря // Изв. РАН. Механика жидкости и газа. 2022. № 1. С. 57–68. https://doi.org/10.31857/S0568528122010066
Ляпидевский В.Ю., Турбин М.В., Храпченков Ф.Ф., Кукарин В.Ф. Нелинейные внутренние волны в многослойной мелкой воде // ПМТФ. 2020. Т. 61. № 1. С. 53–62. https://doi.org/10.15372/PMTF20200105
Ляпидевский В.Ю., Чесноков А.А., Ермишина В.Е. Квазилинейные уравнения динамики уединенных внутренних волн в многослойной мелкой воде // ПМТФ. 2021. Т. 62. № 4. С. 34–45. https://doi.org/10.15372/PMTF20210404
Dorostkar A., Boegman L. Internal hydraulic jumps in a long narrow lake // Limnology and oceanography. 2013. V. 58. № 1. P. 153–172. https://doi.org/10.4319/lo.2013.58.1.0153
Horn D.A., Imberger J., Ivey G.N. The degeneration of large-scale interfacial gravity waves in lakes // J. Fluid Mech. 2001. V. 434. P. 181–207. https://doi.org/10.1017/S0022112001003536
Леонтьев А.П., Ярощук И.О., Смирнов С.В., Кошелева А.В., Пивоваров А.А., Самченко А.Н., Швырев А.Н. Пространственно-распределенный измерительный комплекс для мониторинга гидрофизических процессов на океаническом шельфе // Приборы и техника эксперимента. 2017. № 1. С. 128–135. https://doi.org/10.7868/S0032816216060227
Дополнительные материалы отсутствуют.
Инструменты
Известия РАН. Механика жидкости и газа


