Известия РАН. Механика жидкости и газа, 2023, № 6, стр. 110-120
ТРАЕКТОРИИ ЖИДКИХ ЧАСТИЦ В ПОЛЕ ТЕМНОГО СОЛИТОНА В ЖИДКОСТИ ПОД ЛЕДЯНЫМ ПОКРОВОМ
А. Т. Ильичев a, *, А. С. Савин b, c, А. Ю. Шашков b
a Математический институт им. В.А. Стеклова РАН
Москва, Россия
b Московский государственный технический университет им. Н.Э. Баумана
Москва, Россия
c Институт геохимии и аналитической химии им. В.И. Вернадского РАН
Москва, Россия
* E-mail: ilichev@mi-ras.ru
Поступила в редакцию 17.08.2023
После доработки 01.09.2023
Принята к публикации 10.09.2023
- EDN: QYFEAR
- DOI: 10.31857/S1024708423600550
Аннотация
Рассматривается слой жидкости конечной глубины, описываемый уравнениями Эйлера. Ледяной покров моделируется геометрически нелинейной упругой пластиной Кирхгоффа–Лява. Находятся траектории частиц жидкости под ледяным покровом в поле нелинейной поверхностной бегущей волны, стремящейся к периодической волне на бесконечности: так называемого “темного солитона” (который является нелинейным продуктом боры и периодической волны) малой, но конечной, амплитуды. Присутствие темных солитонов в системе является индикатором модуляционной устойчивости несущей периодической волны (дефокусировки). Приводимый анализ использует явные асимптотические выражения для решений, описывающих волновые структуры на поверхности раздела вода–лед типа темных солитонов, а также асимптотических решений для поля скоростей в толще жидкости, генерируемого этими волнами.
Геометрически нелинейная модель льда, основанная на теории пластин Кирхгоффа–Лява, впервые была использована в [1, 2] для некоторой периодической задачи для изгибно-гравитационных волн. Комбинация теории нормальных форм, изложенной в [3], с редукцией на центральное многообразие (см., [4] и [5]) для задачи распространения волн на поверхности воды под ледяным покровом, где ледяной покров моделировался геометрически нелинейной пластиной Кирхгоффа–Лява в напряженном состоянии, для конечной глубины впервые были адаптированы в [6]. Метод [6] был обобщен на случай движущейся нагрузки на ледяном покрове в [7]. Полученные волновые структуры сравнивались с численными решениями. С тех пор появилось значительное количество работ, посвященных изучению изгибно-гравитационных волн на поверхности жидкости под ледяным покровом, который моделировался либо геометрически нелинейной пластиной Кирхгоффа–Лява, либо оболочкой Коссерá, для которой существует явное выражение для упругой энергии [8] (см. ссылки в [9]).
В огромном большинстве работ, посвященных гидроупругой системе вода–лед, исследуется поверхность контакта вода–лед и, насколько нам известно, не анализируется волновое поле скоростей в толще жидкости. Движение частиц жидкости в поле поверхностной монохроматической волны в линейной постановке описано, например, в монографиях [10, 11]. Частицы движутся по эллипсам в жидкости конечной глубины и по окружностям в жидкости бесконечной глубины. Если формально учитывать члены второго порядка по крутизне волны в разложении скорости частицы (что в линейной теории некорректно), то траектории частиц оказываются незамкнутыми и, следовательно существует медленный дрейф частиц в направлении распространения волны. В работе [12] впервые показано, что для гравитационных волн в рамках модели идеальной жидкости, при распространении нелинейной волны по поверхности жидкости, материальные частицы в ней медленно (по сравнении с фазовой и групповой скоростью) перемещаются в направлении распространения волны. С тех пор явление дрейфа частиц активно изучалось в большом количестве работ для разных моделей жидкости. Хороший обзор работ на эту тему может быть найден в [13].
Настоящая работа является, в определенном смысле, продолжением недавних работ [9, 14], где исследованы траектории частиц в жидкости под ледяным покровом в поле поверхностной изгибно-гравитационной уединенной волны и изгибного уединенного волнового пакета – бегущих волн солитонного типа, которые описываются быстроубывающими решениями по пространству; эти решения не имеют предела при переходе к линейной формулировке рассматриваемой задачи и являются исключительно продуктом взаимодействия нелинейности и дисперсии в модели. В работе определяется поле траекторий частиц в толще жидкости (слой жидкости описывается полной двумерной системой уравнений Эйлера) под ледяным покровом (который моделируется геометрически нелинейной пластиной Кирхгоффа–Лява) в поле нелинейной поверхностной волны типа “темного солитона”, являющейся нелинейным продуктом взаимодействия боры и периодической волны. Для последующего анализа будут использованы явные асимптотические выражения для решений типа темного солитона малой, но конечной, амплитуды.
1. ФОРМУЛИРОВКА ЗАДАЧИ
Эксперименты показывают, что ледяной покров в естественных условиях ведет себя как тонкая упругая пластина, которая плавает на поверхности жидкости [15]. В связи с этим будем рассматривать его в рамках модели упругой пластины Кирхгоффа–Лява, относительно которой приняты следующие допущения:
• существует нейтральная (серединная) поверхность, деформации растяжения или сжатия которой являются наперед заданными и не изменяются при изгибе;
• каждое волокно упругого слоя, которое ортогонально нейтральной поверхности в недеформированном состоянии, остается прямым и ортогональным этой поверхности после деформации;
• напряженно-деформированное состояние подчиняется закону Гука, т.е. деформации малы и пластина является физически линейной.
Будем предполагать, что пластина находится в предварительно напряженном состоянии, которое характеризуется горизонтальным напряжением ${{\sigma }_{0}}$ (см. рис. 1). Это напряжение обусловлено начальным растяжением (или сжатием, как на рисунке) серединной поверхности, которое, в связи с вышеизложенным, остается неизменным при изгибных деформациях.
Рис. 1.
Фрагмент упругой пластины с локальной координатной системой $(\xi ,\zeta )$. Пунктирная линия обозначает серединную поверхность. В результате заданного внешнего растяжения (сжатия) в пластине возникает поле напряжений, приводящее к внутренним силам, поверхностная плотность которых имеет величину ${{\sigma }_{0}}$ (на рисунке пластина подвержена начальному сжатию).

Математическое описание упругой пластины формулируется в локальной криволинейной системе координат в плоских сечениях $(\xi ,\zeta )$, жестко присоединенной к серединной поверхности пластины. В недеформированном состоянии эта система координат (с точностью до сдвига) совпадает с глобальной декартовой системой координат $x,z$. Координата $\xi $ изменяется вдоль дуг окружностей, параллельных локальным фрагментам серединной поверхности, а $\zeta $ – в ортогональном направлении к серединной поверхности (рис. 1). Упругий слой, в недеформированном состояниие имеющий толщину $h$, занимает искривленную область
имеющую границуДалее будем рассматривать изгиб пластины в плоскости $x,z$ (рис. 1).
Уравнение баланса сил, действующих со стороны пластины на жидкость, имеет вид (см., например, [16])
(1.1)
$p = {{p}_{0}} + \frac{{{{\sigma }_{0}}h}}{{{{R}_{m}}}} - \partial _{{xx}}^{2}M + {{\rho }_{s}}h\frac{{{{\partial }^{2}}\eta }}{{\partial {{t}^{2}}}}$Рассматриваются плоскопараллельные потенциальные движения идеальной несжимаемой жидкости, имеющей глубину $H$ и плотность $\rho $. Жидкость занимает область
которая имеет границуПоверхность раздела вода–лед задается уравнением $z(t,x) = \eta (t,x)$, $x \in \mathbb{R}$.
Из (1.1), (1.2) следует, что уравнения Эйлера для слоя идеальной и несжимаемой жидкости, имеющей конечную глубину, при наличии указанных поверхностных эффектов, имеют вид (буквенные индексы обозначают дифференцирование по соответствующим переменным) [17, 18]
(1.3)
$\begin{gathered} {{\varphi }_{{xx}}} + {{\varphi }_{{zz}}} = 0,\quad (x,z) \in G \\ {{\varphi }_{z}} = 0,\quad (x,z) \in {{G}^{ - }} \\ {{\varphi }_{t}} + \frac{1}{2}(\varphi _{x}^{2} + \varphi _{z}^{2}) + g(\eta - 1) - \hat {b}{{{\hat {\kappa }}}_{1}} + \frac{J}{\rho }{{{\hat {\kappa }}}_{2}} + \hat {c}{{\eta }_{{tt}}} = 0,\quad (x,z) \in {{G}^{ + }} \\ {{\eta }_{t}} + {{\eta }_{x}}{{\varphi }_{x}} = {{\varphi }_{z}},\quad (x,z) \in {{G}^{ + }} \\ \end{gathered} $Дисперсионное соотношение для линеаризованной системы уравнений (1.3), выражающее соотношение между частотой $\omega $ и волновым числом $k$, дается выражением
В безразмерных переменных (старые обозначения сохранены для безразмерных величин)
Безразмерные уравнения Эйлера (1.3) для стационарных волн в системе координат, распространяющихся со скоростью $V$ (влево), имеют вид
(1.4)
$\begin{gathered} {\text{rot}}{\mathbf{v}} = {\mathbf{0}},\quad {\text{div}}{\mathbf{v}} = 0,\quad (x,z) \in D \\ \frac{1}{2}{\text{|}}{\mathbf{v}}{{{\text{|}}}^{2}} + \lambda \eta - b{{\kappa }_{1}} + \gamma {{\kappa }_{2}} + c({{\partial }_{{xx}}}\eta - {{\kappa }_{1}}) = {\text{const}},\quad (x,z) \in \partial {{D}^{ + }} \\ {{\partial }_{x}}\eta {\kern 1pt} u - {v} = 0,\quad (x,z) \in \partial {{D}^{ + }} \\ {v} = 0,\quad (x,z) \in \partial {{D}^{ - }} \\ \end{gathered} $Постоянные $\lambda $, $b$, $\gamma $, $c$ и $\kappa $ определяются из формул
(1.5)
$\lambda = gH{\text{/}}{{V}^{2}},{\kern 1pt} \quad b = \frac{{\hat {b}}}{{H{{V}^{2}}}} - c = \frac{{h{{\sigma }_{0}}}}{{\rho H{{V}^{2}}}} - c,\quad \gamma = J\rho {{V}^{2}}{{H}^{3}},\quad c = \frac{{\hat {c}}}{H} = \frac{{{{\rho }_{s}}h}}{{\rho H}},\quad \kappa = \frac{h}{H}$Функции ${{\kappa }_{j}}$, $j = 1,2$ задаются выражениями
Далее мы пренебрегаем инерцией ледяной пластины по сравнению с инерцией жидкого слоя, т.е. полагаем $c = \kappa = 0$.
2. ОПЕРАТОРНАЯ ФОРМА УРАВНЕНИЙ. ПРИВЕДЕННЫЕ УРАВНЕНИЯ. ТЕМНЫЕ СОЛИТОНЫ
Для малых безразмерных отклонений $\eta - 1$ поверхности раздела вода–лед можно корректно определить новые “полу-лагранжевы” координаты $(x,y) \in F = \mathbb{R} \times (0,1)$ (“выпрямляюшие” слой $D$) по формуле $y = \psi (x,z) = z + \Psi ,$ где $\psi (x,z)$ обозначает функцию тока, нормированную при помощи среднего расхода $Q = VH$.
Это отображение локально обратимо (для малых амплитуд поверхностных возмущений) [5]. Кроме того, произведем отображение поля скоростей ${\mathbf{v}} = (u,{v})$ на векторное поле ${\mathbf{w}} = ({{w}_{1}},{{w}_{2}})$ [5]
Отклонение поверхности $\eta $ дается формулой
Можно показать (см., например, обзор [19]), что уравнения (1.4) для волн малой, но конечной амплитуды можно записать в операторной форме
(2.2)
${\mathbf{\dot {u}}} = {\mathbf{Au}} + {\mathbf{F}}(\mu ,{\mathbf{u}}),\quad {{\partial }_{{\mathbf{u}}}}{\mathbf{F}}(0,{\mathbf{0}}) = 0$(2.4)
$\begin{gathered} {{\lambda }_{0}} = {{\gamma }_{0}}{{q}^{4}} + \frac{{q{\kern 1pt} {\text{cth}}q}}{2} + \frac{{{{q}^{2}}{\text{s}}{{{\text{h}}}^{{ - 2}}}q}}{2} \\ {{b}_{0}} = - 2{{\gamma }_{0}}{{q}^{2}} + \frac{{{\text{cth}}q}}{{2q}} - \frac{{{\text{s}}{{{\text{h}}}^{{ - 2}}}q}}{2} \\ \end{gathered} $Величина $q$ определяется ниже.
Параметром бифуркации является скорость волны $V$. Из (1.5) и (2.3) имеем
Параметры ${{b}_{0}}$ и ${{\gamma }_{0}}$ определяются по формулам (1.5) с $V = {{V}_{0}}$.
Рассматриваемые в настоящей статье волновые структуры (темные солитоны) являются нелинейными продуктами $1:1$ резонанса (2.4), при этом собственные значения ${\text{i}}q$ оператора ${\mathbf{A}}$ лежат на мнимой оси. Для 1 : 1 резонанса четыре собственных значения ${\mathbf{A}}$ образуют две пары совпадающих собственных значений $ \pm {\text{i}}q$, $q > 0$, приходящие на мнимую ось из комплексной плоскости при изменении параметров $(\lambda ,b,\gamma ) \to ({{\lambda }_{0}},{{b}_{0}},{{\gamma }_{0}})$ (когда происходит бифуркация, ведущая к появлению темных солитонов; $q = kH$ – безразмерное волновое число).
Можно показать (см., например, [3–5, 20], а также [16]), что бесконечномерная система уравнений (2.2) локально эквивалентна конечномерной системе обыкновенных дифференциальных уравнений (система уравнений в частных производных для ограниченных решений малых амплитуд эквивалентна системе обыкновенных дифференциальных уравнений)
(2.5)
${{{\mathbf{\dot {u}}}}_{0}} = {{{\mathbf{A}}}_{0}}{{{\mathbf{u}}}_{0}} + {{{\mathbf{F}}}_{0}}(\mu ,{{{\mathbf{u}}}_{0}}),\quad {{\partial }_{{{{{\mathbf{u}}}_{0}}}}}{\mathbf{F}}(0,{\mathbf{0}}) = 0$Система уравнений (2.5) называется приведенной системой.
В рассматриваемом случае $1:1$ резонанса полагаем
Тогда приведенная система (2.5) эквивалентна системе
(2.6)
${\mathbf{\dot {a}}} = {{{\mathbf{A}}}_{0}}{\mathbf{a}} + {{{\mathbf{g}}}_{0}}(\mu ,{\mathbf{a}}),\quad {\mathbf{g}} = \mathcal{O}(\mu {\text{|}}{\mathbf{a}}{\text{|}} + \,{\text{|}}{\mathbf{a}}{{{\text{|}}}^{2}}),\quad {\mathbf{a}} = {{\left( {A,B,A{\kern 1pt} *,B{\kern 1pt} *} \right)}^{ \top }}$Все ограниченные решения ${\mathbf{u}}$ системы уравнений (2.2) малой амплитуды записываются в виде [21]
(2.7)
${{\phi }_{0}} = \left( {\begin{array}{*{20}{c}} \begin{gathered} i{{q}^{{ - 1}}}{\kern 1pt} {\text{th}}{\kern 1pt} q \\ - {\text{th}}{\kern 1pt} q \\ - {\text{i}}q{\kern 1pt} {\text{th}}{\kern 1pt} q \\ - {\text{ch}}{\kern 1pt} qy{\text{/}}(q{\kern 1pt} {\text{ch}}{\kern 1pt} q) \\ {\text{ish}}{\kern 1pt} qy{\text{/}}(q{\kern 1pt} {\text{ch}}{\kern 1pt} q), \\ \end{gathered} \end{array}} \right),\quad {{\phi }_{1}} = \left( {\begin{array}{*{20}{c}} \begin{gathered} {{q}^{{ - 1}}} \\ {\text{i}} + {\text{i}}{{q}^{{ - 1}}}{\kern 1pt} {\text{th}}{\kern 1pt} q \\ - q - 2{\kern 1pt} {\text{th}}{\kern 1pt} q \\ {\text{i}}y{\kern 1pt} {\text{sh}}{\kern 1pt} qy{\text{/}}(q{\kern 1pt} {\text{ch}}{\kern 1pt} q) \\ y{\kern 1pt} {\text{ch}}{\kern 1pt} qy{\text{/}}(q{\kern 1pt} {\text{ch}}{\kern 1pt} q), \\ \end{gathered} \end{array}} \right)$Приведенная система уравнений (2.6) приближается системой уравнений в квази-нормальной форме
(2.8)
$\begin{gathered} {{\partial }_{x}}A = iqA + B + iAR\left( {AA{\kern 1pt} *,\frac{i}{2}(AB{\kern 1pt} {\text{*}} - A{\kern 1pt} {\text{*}}B)} \right) \\ {{\partial }_{x}}B = iqB + AQ\left( {AA{\text{*}},\frac{i}{2}(AB{\kern 1pt} * - A{\kern 1pt} {\text{*}}B)} \right) + iBR\left( {AA{\kern 1pt} *,\frac{i}{2}(AB{\kern 1pt} * - A{\kern 1pt} {\text{*}}B)} \right) \\ \end{gathered} $а ${{K}_{0}}$ и ${{H}_{0}}$ – постоянные. Заметим, что система (2.8) имеет два интеграла в инволюции
Произведем замену переменных
(2.9)
$A = {{\rho }_{0}}\exp i(qx + {{\theta }_{0}}),\quad B = {{\rho }_{1}}\exp i(qx + {{\theta }_{1}})$Тогда система уравнений (2.8) принимает вид
(2.10)
$\begin{gathered} {{{\dot {\rho }}}_{0}} = {{\rho }_{1}}\cos \Theta \\ {{{\dot {\rho }}}_{1}} = {{\rho }_{0}}\cos \Theta {\kern 1pt} Q(\rho _{0}^{2},{{K}_{0}}) \\ \dot {\Theta } = - \left( {\frac{{{{\rho }_{0}}}}{{{{\rho }_{1}}}}Q(\rho _{0}^{2},{{K}_{0}}) + \frac{{{{\rho }_{1}}}}{{{{\rho }_{0}}}}} \right)\sin \Theta \\ \end{gathered} $При этом
(2.12)
${{q}_{1}} = \frac{{1 + {{\omega }_{1}}{{q}^{2}} + {{\omega }_{2}}{{q}^{4}}}}{{(2{{b}_{0}}q + 4{{\gamma }_{0}}{{q}^{3}}){\text{cth}}q + 6{{\gamma }_{0}}{{q}^{2}} + {{b}_{0}} - 1}} > 0$(2.13)
$\begin{gathered} {{q}_{2}} = - \frac{r}{{16{{q}^{4}}({{\lambda }_{0}} - 1){\kern 1pt} {\text{c}}{{{\text{h}}}^{3}}{\kern 1pt} q}}\left( {{{\lambda }_{0}} - 9\lambda _{0}^{2}} \right. + 16{{q}^{2}} - 12{{\lambda }_{0}}{\kern 1pt} {\text{ch}}{\kern 1pt} 2q + 12\lambda _{0}^{2}{\text{ch}}{\kern 1pt} 2q + \\ + 11{{\lambda }_{0}}{\text{ch}}{\kern 1pt} 4q - 3{{\lambda }_{0}}^{2}{\kern 1pt} {\text{ch}}{\kern 1pt} 4q + 14q{\kern 1pt} {\text{sh}}{\kern 1pt} 2q + 16\alpha q{\kern 1pt} {\text{sh}}{\kern 1pt} 2q + 18{{\lambda }_{0}}q{\kern 1pt} {\text{sh}}{\kern 1pt} 2q - \\ - 16\alpha {{\lambda }_{0}}q{\kern 1pt} {\text{sh}}{\kern 1pt} 2q + q{\kern 1pt} {\text{sh}}{\kern 1pt} 4q + 4\alpha q{\kern 1pt} {\text{sh}}{\kern 1pt} 4q - {{\lambda }_{0}}q{\kern 1pt} {\text{sh}}{\kern 1pt} 4q - \left. {\mathop {4\alpha {{\lambda }_{0}}q{\kern 1pt} {\text{sh}}{\kern 1pt} 4q}\limits_{} } \right) \\ \end{gathered} $Постоянная ${{q}_{1}}$, как следует из (2.12), всегда положительна. График типичной зависимости ${{q}_{2}}$ от глубины $H$, определяемой формулой (2.13), приведен на рис. 2. Из рис. 2 видно, что коэффициент ${{q}_{2}}$ меняет при значениях глубины, превосходящих некоторое критическое значение. Для тех значений глубины, для которых коэффициент ${{q}_{2}}$ отрицателен, нелинейная несущая периодическая волна малой амплитуды устойчива и, как следствие, система обладает так называемыми “темными солитонами” вместо уединенных волновых пакетов. Свое название эти волны получили из нелинейной оптики из-за свойства, что их интенсивность (в оптике освещение) минимальна в центре волны. Как уже отмечалось, темный солитон является нелинейным продуктом боры и периодической волны. Присутствие таких волн также известно на поверхности слоя жидкости с поверхности раздела двух бесконечных слоев жидкости с капиллярными эффектами [22].
Рис. 2.
Зависимость коэффициентов ${{q}_{2}}$ от глубины жидкости $H$ (в метрах) при толщине льда $h = 1$ м и напряжении ${{\sigma }_{0}} = {{10}^{5}}$ Н ⋅ м–2; $E = 5 \times {{10}^{9}}$ Н ⋅ м–2, ${v} = 0.3$, $\rho = 1000$ кг ⋅ м–3, $g = 10$ м ⋅ с–2.

Темный солитон в низшем приближении по $\mu $ описывается решением уравнения (2.11) при ${{q}_{2}} < 0$, $\mu < 0$
(2.14)
${{\rho }_{0}} = \pm \sqrt {\frac{{{{q}_{1}}\mu }}{{{{q}_{2}}}}} {\text{th}}{\kern 1pt} \sqrt { - \frac{{{{q}_{1}}\mu }}{2}} x$Из (2.9) и (2.14) следует, что для темного солитона
(2.15)
$A = {{A}_{0}} = \pm \sqrt {\frac{{{{q}_{1}}\mu }}{{{{q}_{2}}}}} {\text{th}}{\kern 1pt} \sqrt { - \frac{{{{q}_{1}}\mu }}{2}} x\exp ({\text{i}}qx + {{\theta }_{0}})$Из (2.1) и (2.15) следует, что поверхностный темный солитон (в первом приближении по $\mu $) описывается формулой
(2.16)
$\eta = 1 \pm \frac{{2{\text{th}}{\kern 1pt} q}}{{{{q}^{2}}}}\sqrt {\frac{{\mu {{q}_{1}}}}{{{{q}_{2}}}}} {\text{th}}{\kern 1pt} \sqrt {\frac{{ - \mu {{q}_{1}}}}{2}} x{\kern 1pt} \sin qx$На рис. 3 изображена форма изгибной поверхностной волны (2.16) – темного солитона – для конкретных значений физических параметров бассейна и ледяного покрова.
Рис. 3.
Форма поверхностного изгибно-гравитационного темного солитона (${{q}_{2}} < 0$) повышения уровня; $H = 129$ м, $\mu = - 0.005$, остальные параметры такие же, как для рис. 2.

3. ПОЛЕ СКОРОСТИ В СЛОЕ ЖИДКОСТИ ДЛЯ ПОВЕХНОСТНОГО ТЕМНОГО СОЛИТОНА
Компоненты актуальной скорости ${{(u,{v})}^{ \top }}$ выражаются через компоненты вспомогательной скорости ${{({{w}_{2}},{{w}_{2}})}^{ \top }}$ по формулам
(3.1)
$u = \sqrt {\frac{{1 + 2{{w}_{1}}}}{{1 + {{w}_{2}}}}} ,\quad {v} = {{w}_{2}}\sqrt {\frac{{1 + 2{{w}_{1}}}}{{1 + {{w}_{2}}}}} $Из (3.1), в младшем порядке по $\mu $ имеем
Напомним, что все рассмотрения проводятся в системе отчета, связанной с волной. Чтобы перейти в лабораторную систему отсчета, где жидкость покоится на бесконечности, необходимо сделать преобразование $x \to x + t$ и $u \to u - 1$. Таким образом, для темного солитона в соответствии с (2.7) в первом порядке по $\mu $ в лабораторной системе отсчета имеем
(3.3)
$\begin{gathered} {{w}_{1}} = - {\text{ch}}{\kern 1pt} qz{\text{/}}(q{\kern 1pt} {\text{ch}}{\kern 1pt} q)\left( {{{A}_{0}} + A_{0}^{*}} \right) = \pm 2\sqrt {\frac{{{{q}_{1}}\mu }}{{{{q}_{2}}}}} \frac{{{\text{ch}}{\kern 1pt} qz}}{{q{\text{ch}}{\kern 1pt} q}}{\text{th}}{\kern 1pt} \sqrt { - \frac{{{{q}_{1}}\mu }}{2}} (x + t)\sin q(x + t) \\ {{w}_{2}} = {\text{i}}{\kern 1pt} {\text{sh}}{\kern 1pt} qz{\text{/}}(q{\kern 1pt} {\text{ch}}{\kern 1pt} q)\left( {{{A}_{0}} - A_{0}^{*}} \right) = \mp 2\sqrt {\frac{{{{q}_{1}}\mu }}{{{{q}_{2}}}}} \frac{{{\text{sh}}{\kern 1pt} qz}}{{q{\text{ch}}{\kern 1pt} q}}{\text{th}}{\kern 1pt} \sqrt { - \frac{{{{q}_{1}}\mu }}{2}} (x + t)\cos q(x + t) \\ \end{gathered} $Из (2.15), (3.2)и (3.3) в первом порядке по $\mu $ получим
(3.4)
$\begin{gathered} u = \pm \left[ {2\sqrt {\frac{{{{q}_{1}}\mu }}{{{{q}_{2}}}}} \frac{{{\text{ch}}{\kern 1pt} qz}}{{q{\text{ch}}{\kern 1pt} q}}{\text{th}}{\kern 1pt} \sqrt { - \frac{{{{q}_{1}}\mu }}{2}} (x + t)\sin q(x + t) + } \right. \\ \, + \sqrt {\frac{{{{q}_{1}}\mu }}{{{{q}_{2}}}}} \frac{{{\text{sh}}{\kern 1pt} qz}}{{q{\text{ch}}{\kern 1pt} q}}{\text{th}}\left. {\sqrt { - \frac{{{{q}_{1}}\mu }}{2}} (x + t)\cos q(x + t)} \right] \\ {v} = \mp 2\sqrt {\frac{{{{q}_{1}}\mu }}{{{{q}_{2}}}}} \frac{{{\text{sh}}{\kern 1pt} qz}}{{q{\text{ch}}{\kern 1pt} q}}{\text{th}}{\kern 1pt} \sqrt { - \frac{{{{q}_{1}}\mu }}{2}} (x + t)\cos q(x + t) \\ \end{gathered} $Знак “–” в правых частях формулы (3.4) соответствует волне понижения уровня в (2.16), а “+” волне повышения уровня.
Для определения траекторий жидких частиц в лабораторной системе отсчета имеем
Скорости $u$ и ${v}$ в поле поверхностной волны (2.16) с точностью до соответствующих малых по амплитуде волны определяются выражением (3.4).
Для определения коэффициентов в (2.16), при фиксированных $h$, $H$, ${{\sigma }_{0}}$ и $\rho $ из уравнений (1.5) и первого уравнения (2.4) определялось ${{V}_{0}}$. Затем из второго уравнения (2.4) определялось соответствующее значение безразмерного волнового числа $q$. После этого по формулам (2.12) и (2.13) вычислялись коэффициенты ${{q}_{1}}$ и ${{q}_{2}}$ (при этом необходимо убедиться, что ${{q}_{2}} < 0$). При задании $\mu $ все параметры поверхностного темного солитона (2.16) и правая часть динамической системы (3.5) оказываются полностью определенными. Для физических параметров $h$, $H$, ${{\sigma }_{0}}$ и $\rho $, а также параметра $\mu $, соответствующих темному солитону, изображенному на рис. 3, имеем ${{V}_{0}} = 16.18$ м/с, $q = 6.707$, ${{q}_{1}} = 6.21$, ${{q}_{2}} = - 0.077 < 0$.
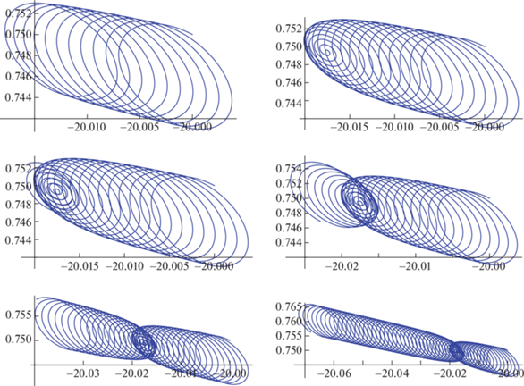
Система уравнений (3.5) решалась численно для параметров, приведенных на рис. 2 и различных начальных положений частицы по горизонтали $x(0)$ и по вертикали (глубины, на которой расположена частица) $y(0)$. На рис. 4 и 5 изображен типичный пример формы эволюции траекторий с течением времени $t$ частицы, находящейся в начальный момент времени слева от центра волны понижения уровня на расстоянии, примерно равном расстоянию, когда темный солитон превращается в волну постоянной амплитуды.
Рис. 4.
Траектория частицы жидкости, в начальный момент находящейся в точке $x(0) = - 20$, $y(0) = 0.75$ в поле поверхностного темного солитона с параметрами, как на рис. 3, в разные моменты безразмерного времени: слева направо, сверху вниз: $t = 10,\;20,\;25,\;30,\;40,{\kern 1pt} \;60$.

Рис. 5.
Траектория частицы жидкости, в начальный момент находящейся в точке $x(0) = - 20$, $y(0) = 0.75$ в момент безразмерного времени $t = 80$.

Из рис. 4 и 5 видно, что при небольших значениях времени траектория частицы, расположенной в начальной точке, достаточно далеко от центра волны, начинает закручиваться против часовой стрелки, а радиус вращательного движения постепенно уменьшается до нуля. Затем при прохождении центра волны над частицей (с течением времени) радиус вращения траектории начинает снова увеличиваться до постоянного значения, при этом устанавливается стационарная картина эволюции траектории, так как над частицей при значительных временах располагается периодическая (или почти периодическая) волна постоянной амлитуды, к которой асимптотичен рассматриваемый темный солитон при больших временах. Жидкая частица, при этом, двигается по спирали и испытывает слабый дрейф: по горизонтали по направлению распространения волны (влево), а по вертикали – по направлению к поверхности жидкости.
4. ОБСУЖДЕНИЕ
Уравнения для бегущих волн в жидкости под ледяным покровом $($которые локально могут быть записаны в операторном виде (2.2); оператор ${\mathbf{A}}$ действует в надлежащем гильбертовом пространстве функций на полосе от нуля до единицы или, точнее, в конкретных замкнутых областях этого пространства$)$ допускают проекцию на центральное многообразие – локальное нелинейное многообразие конечной размерности в бесконечномерном фазовом пространстве основной системы дифференциальных уравнений в частных производных, где находятся ограниченные решения и основные уравнения для бегущих волн записываются в виде конечномерной динамической системы (в виде так называемых приведенных уравнений). Рассматривается случай, когда размерность центрального многообразия равна четырем, соответствующая линейному $1:1$ резонансу. Волновые структуры, рассмотренные в статье, ответвляются от состояния покоя на многообразиях в пространстве физических параметров, где собственные значения, принадлежащие к центральному спектру оператора (собственным значениям на мнимой оси) оператора ${\mathbf{A}}$ являются попарно совпадающими. В случае $1:1$ резонанса в пространстве обратного квадрата числа Фруда $\lambda $, безразмерного начального напряжения в ледовой пластине $b$ и безразмерной жесткости пластин на изгиб $\gamma $ – это поверхность (2.4). При этом нелинейным продуктом $1:1$ резонанса является семейство темных солитонов.
Как уже упоминалось, темные солитоны имеют место при отрицательных значениях ${{q}_{2}}$ (это число, по существу, является коэффициентом при ведущей нелинейности в уравнениях для волн малой амплитуды). При $q > q{\kern 1pt} * > 0$ коэффициент ${{q}_{2}}$ становится отрицательным; при $q < q{\kern 1pt} *$, ${{q}_{2}} > 0$ и происходит замещение темных солитонов, которые являются нелинейным продуктом боры и периодической волны на так называемые “уединенные волновые пакеты” – монохроматические волны под быстроубывающей огибающей; при этом скорость собственно монохроматической волны равна скорости огибающей. Для волн под ледяным покровом, при фиксированной толщине льда, существует критическая глубина жидкости ${{H}_{c}}$, выше которой не существует более решений типа уединенных волновых пакетов, а для $\mu < 0$ имеют место темные солитоны [23]. Темный солитон является индикатором модуляционной устойчивости несущей периодической волны. Таким образом, можно говорить, что при переходе через ${{H}_{c}}$ (в сторону возрастания) фокусирующая окрестность безразмерного волнового числа $q$ заменяется на дефокусирующую.
ЗАКЛЮЧЕНИЕ
Построены траектории частиц жидкости в поле ограниченных на бесконечности нелинейных бегущих волн малой (но конечной) амплитулы, асимптотичных к периодической (или почти периодической) волне распространяющихся по поверхности раздела жидкость–лед в слое идеальной несжимаемой жидкости под ледяным покровом. Волновые процессы в жидкости описываются уравнениями Эйлера с дополнительным поверхностным давлением, вызванным наличием льда, который моделируется свободно плавающей на поверхности упругой геометрически нелинейной пластиной Кирхгоффа–Лява. Получены приближения первого порядка по малой амплитуде для бегущих поверхностных волн типа темного солитона, а также построены соответствующие приближения полей скоростей частиц жидкости, отвечающих этим волнам. Распределение траекторий частиц по глубине слоя жидкости тогда вычисляется путем интегрирования обыкновенной неавтономной динамической системы.
Разделы 1, 2 и 4 статьи выполнены А.Т. Ильичевым, он также принимал участие в выполнении раздела 3 статьи; раздел 3 статьи выполнен А.С. Савиным и А.Ю. Шашковым. Исследование А.Т. Ильичева выполнено за счет гранта Российского научного фонда № 19-71-30012, https://rscf.ru/project/19-71-30012/ в Математическом институте им. В.А. Стеклова Российской академии наук.
Список литературы
Forbes L.R. Surface waves of large amplitude beneath an elastic sheet. High order series solution // J. Fluid Mech. 1986. V. 169. P. 409–428.
Forbes L.K. Surface waves of large amplitude beneath an elastic sheet. Galerkin solutions // J. Fluid Mech. 1988. V.188. P. 491–508.
Iooss G., Adelmeyer M. Topics in bifurcation theory and applications. 2nd edition. Singapore: World Scientific, 1998. 186 p.
Kirchgässner K. Wave solutions of reversible systems and applications // J. Diff. Eqns. 1982. V. 45. P. 113–127.
Mielke A. Reduction of quasilinear elliptic equations in cylindrical domains with applications // Math. Meth. Appl. Sci. 1988. V. 10. P. 501–566.
Ильичев А. Т. Уединенные волны в средах с дисперсией и диссипацией (обзор) // Изв. РАН, МЖГ 2000. № 2. С. 3–27 = Il’ichev A. Solitary waves in media with dispersion and dissipation (a review) Fluid Dyn. 2000. V. 35. P. 157–176.
Parau E., Dias F. Nonlinear effects in the response of a floating ice plate to a moving. load // J. Fluid. Mech. 2001. V. 437. P. 325–336.
Plotnikov P.I., Toland J.F. Modelling nonlinear hydroelastic waves // Phil. Trans. R. Soc. A. 2011. V. 369. P. 2942–2956.
Ильичев А.Т., Савин А.С., Шашков А.Ю. Траектории частиц жидкости под ледяным покровом в поле уединенной изгибно-гравитационной волны // Изв. вузов. Радиофизика, в печати.
Филлипс О.М. Динамика верхнего слоя океана, Л: Гидрометеоиздат, 1980. 320 с.
Монин А.С. Теоретические основы геофизической гидродинамики. Л: Гидрометеоиздат, 1988. 424 с.
Stokes G. On the theory of oscillatory waves // Trans. Camb. Phil. Soc. 1847. V. 8. P. 441–455.
Очиров А.А. Исследование закономерностей формирования массопереноса, инициируемого волновыми движениями жидкости: Дис. на соискание ученой степени кандидата физ.-мат. наук: 01.02.05. Ярославль, 2020. 142 с.
Ильичев А.Т., Савин А.С., Шашков А.Ю. Движение частиц в поле нелинейных волновых пакетов в слое жидкости под ледяным покровом // Теор. мат. физ., в печати.
Müller A., Ettema R. Dynamic response of an icebreaker hull to ice breaking // In Proc. IAHR Ice Symp., Hamburg. 1984. V. II. P. 287–296.
Ильичев А.Т. Уединенные волны в моделях гидромеханики. М.: Физматлит, 2003. 256 с.
Марченко А.В. О длинных волнах в мелкой жидкости под ледяным покровом // ПММ. 1988. Т. 52. С. 230–235.
Il’ichev A.T., Semenov A.Yu. Stability of solitary waves in dispersive media described by a fifth-order evolution equation // Theoret. Comput. Fluid Dyn. 1992. V. 3. P. 307–326.
Ильичев А.Т. Солитоноподобные структуры на поверхности раздела вода–лед // УМН. 2015. Т. 70. С. 85–138 = Il’ichev A.T. Soliton-like structures on a water-ice interface // Russian Math. Surveys. 2015. V. 70. P. 1051–1103.
Haragus M., Iooss G. Local Bifurcations, Center Manifolds, and Normal Forms in Infinite-Dimensional Dynamical Systems. Berlin, Heidelberg: Springer, 2012. 329 p.
Iooss G., Perouéme M.C. Perturbed homoclinic solutions in reversible 1 : 1 resonance vector fields // J. Diff. Eqns. 1993. V. 102. P. 62–88.
Dias F., Iooss G. Capillary-gravity interfacial waves in infinite depth // Eur. J. Mech., B/Fluids. 1996. V. 15. P. 367–393.
Il’ichev A.T., Tomashpolskii V.Ja. Characteristic parameters of nonlinear surface envelope waves beneath an ice cover under pre-stress // Wave Motion. 2019. V. 86. P. 11–20.
Дополнительные материалы отсутствуют.
Инструменты
Известия РАН. Механика жидкости и газа


