Известия РАН. Механика жидкости и газа, 2023, № 6, стр. 38-47
ВЛИЯНИЕ ГРАНИЧНЫХ УСЛОВИЙ НА МОДЕЛИРОВАНИЕ АНОМАЛЬНОЙ ИНТЕНСИФИКАЦИИ ТУРБУЛЕНТНОГО ТЕПЛООБМЕНА В НАКЛОННОЙ КАНАВКЕ НА СТЕНКЕ УЗКОГО КАНАЛА
С. А. Исаев a, b, *, А. Г. Судаков b, Д. В. Никущенко a, В. Б. Харченко a, Л. П. Юнаков c
a Санкт-Петербургский государственный морской технический университет
Санкт-Петербург, Россия
b Санкт-Петербургский государственный университет гражданской авиации им. Главного маршала авиации А.А. Новикова
Санкт-Петербург, Россия
c Балтийский государственный технический университет “ВОЕНМЕХ” им. Д.Ф. Устинова
Санкт-Петербург, Россия
* E-mail: isaev3612@yandex.ru
Поступила в редакцию 29.04.2023
После доработки 06.06.2023
Принята к публикации 23.06.2023
- EDN: RBCVPD
- DOI: 10.31857/S1024708423600367
Аннотация
Представляется численное исследование влияния граничных условий первого и второго рода на прогнозирование характеристик аномальной интенсификации теплообмена при низкоскоростном турбулентном обтекании воздухом наклонной канавки на нагреваемой стенке узкого канала. Показано, что условия изотермичности приводят к заметному занижению тепловой эффективности структурированной наклонными канавками поверхности в сравнении с условиями постоянства теплового потока.
Роль граничных условий на омываемых стенках при решении фундаментальных и прикладных задач конвективного теплообмена весьма значительная, причем как в экспериментальных, так и расчетных случаях. Различают граничные условия первого, второго и третьего рода [1]. В подавляющем большинстве проведенных физических экспериментов реализуются условия второго рода, т.е. на поверхности контакта стенки и потока теплоносителя выполняется условие постоянства теплового потока (см., например, [2–4]). Подвод тепла происходит, как правило, при пропускании электрического тока в стенке. При этом дискуссионным остается вопрос обеспечения постоянства теплового потока на негладкой структурированной стенке при наличии упорядоченных выступов или впадин.
Намного реже в экспериментальных установках создаются условия первого рода, т.е. на контактных поверхностях реализуются изотермические граничные условия. Практическое осуществление таких условий в [5, 6] достигается при их поддержании за счет введения паровой области, граничащей с омываемой внешней средой стенкой. Интересно, что использование таких изотермических структурированных стенок, сохраняющихся при температуре Т = 373 К, сочетается с методами градиентной термометрии, основанной на градиентных датчиках теплового потока.
Корректное теоретическое определение граничного условия на стенке для прогнозирования характеристик теплообмена связано с решением задачи теплопроводности в стенке. Так, в [7] предлагается оценивать граничные условия, решая обратную задачу теплопроводности.
Однако при численном моделировании конвективного теплообмена в энергетических устройствах, двигательных трактах, системах охлаждения в микроэлектронике с использованием пакетных технологий принято задавать на стенке постоянство подводимого теплового потока или определять поверхность стенки как изотермическую с постоянной температурой.
В данной работе влияние граничных условий рассматривается в цикле задач вихревой интенсификации теплообмена на структурированных негладких поверхностях. На протяжении тридцати лет развиваются расчетно-экспериментальные исследования влияния упорядоченных лунок на тепловую эффективность омываемых поверхностей при умеренных гидравлических потерях при прокачке теплоносителя. В монографии Г.И. Кикнадзе и др. [8] представлена концепция самоорганизации струйно-вихревых структур в сферических лунках. Численное моделирование таких структур в сферических и слегка асимметричных лунках на стенках каналов и пластинах [9–13] показывает, что отрывное течение внутри лунок не обладает высокой интенсивностью, а скорости возвратного и закрученного течения невелики и не превосходят 30% от характерной скорости течения. Условия второго рода, как правило, используются при расчете конвективного теплообмена в длинных каналах с лунками на развивающемся начальном или полностью развитом гидродинамическом участке [9] или течения на пластине. Условия первого рода, как уже отмечалось, применяются для расчета теплообмена в цифровых аналогах теплофизических стендов с паровой камерой для поддержания температуры стенки, равной 373 К [10–12]. Также они используются при прогнозировании характеристик течения и теплообмена на участке стабилизированного течения при постановке периодических граничных условий на проточных границах выделенного повторяющегося расчетного модуля с лункой [13].
Сравнение граничных условий первого и второго рода при моделировании конвективного теплообмена в узком канале со сферической лункой показало незначительное различие численных прогнозов тепловых потоков в лунке и ее окрестности и близость суммарной теплоотдачи от участка стенки с лункой [14].
В последние годы в области вихревой интенсификации теплообмена при использовании структурированных поверхностей достигнут прорыв за счет замены лунок наклонными канавками. Численно открыто и экспериментально подтверждено явление аномальной интенсификации отрывного течения и теплообмена в наклонных канавках на стенке узкого канала и пластине [15, 16]. Для единичных [17, 18] и пакетных однорядных [19–22] канавок на начальном гидродинамическом участке и участке стабилизации течения установлено достижение ультравысоких скоростей возвратного и вторичного течения до величин порядка и превосходящих характерные скорости, многократный рост (от 2 до 9 раз) относительных величин трения и тепловых потоков на дне канавок. Явление вызвано экстраординарными перепадами статического давления между зонами торможения на наветренном склоне заходящего в канавку потока и разрежения в стволе самоорганизованного торнадо подобного вихря на входном сферическом сегменте.
В данной статье рассматривается влияние граничных условий на конвективный теплообмен в наклонной канавке на нагретой стенке узкого канала при турбулентном низкоскоростном течении воздуха.
ПОСТАНОВКА ЗАДАЧИ
Рассматривается турбулентный конвективный теплообмен при стационарном обтекании воздухом уединенной канавки под углом наклона 45° на нагретой стенке узкого канала (рис. 1), соответствующего экспериментам [2] и расчетам [11, 12, 14, 17, 18]. В качестве характерных параметров выбираются высота канала D и среднемассовая скорость потока U. Число Рейнольдса Re на стабилизированном участке воздушного потока в канале принимается равным 3333. Безразмерная высота канала принимается равной 1, ширина – 7.5, длина – 22. Цилиндрическая канавка образована соединением двух половинок сферической лунки диаметром 1 и глубиной 0.39 с траншеей длиной 7. Степень турбулентности задается близкой к экспериментальной (1–5%), а масштаб турбулентности принимается порядка характерного размера. Относительный радиус скругления кромки значителен и равен 0.25. Число Прандтля Pr принимается равным 0.71.
Рис. 1.
Участок узкого канала с наклонной канавкой на нагретой стенке (а) с декартовой системой координат x, y, z и многоблочные сетки в окрестности канавки (б – вид сверху; в – вид сбоку). 1 – канальная сетка MG; 2 – измельченная декартовая сетка MR, накрывающая канавку; 3 – O-образная криволинейная сетка Ring внутри канавки; 4 – сетка Rec – “заплатка” на дне канавки. Верхняя стенка канала снята.

Турбулентное стационарное отрывное течение несжимаемой вязкой среды в узком канале с наклонной канавкой описывается в рамках подхода на основе решения осредненных по Рейнольдсу уравнений Навье–Стокса (RANS) [23], замкнутых с помощью дифференциальных уравнений модели сдвиговых напряжений Ментера [24]. Теплообмен рассчитывается с использованием уравнения энергии [23].
Расчетная область охватывает ограниченное стенками пространство узкого канала протяженностью 22 (рис. 1). Входная проточная граница с профилями характеристик полностью развитого турбулентного потока располагается на расстоянии 8.5 от проекции центра канавки на плоскость нижней стенки, а центр декартовой системы координат x, y, z находится в срединном сечении канала на расстоянии 5 от входа. В выходном сечении канала задаются “мягкие” граничные условия – условия продолжения решения на границу, а на омываемых стенках канала ставятся условия прилипания.
При реализации граничных условий первого рода нижняя стенка канала с лункой поддерживается при постоянной температуре 30°С (303 К), как в [11, 12, 14], а при постановке граничных условий второго рода аналогично [14, 17, 18] на стенке задается тепловой поток q. Подводимый постоянный тепловой поток q пересчитывается в безразмерный вид по формуле
а его величина принимается ~3.4 × 10–5. Здесь λ – теплопроводность воздуха.Боковые стенки канала адиабатические, а верхняя изотермическая с температурой Tref, принятой в качестве масштаба обезразмеривания (293 К). На входе температура Т задается постоянной и равной Tref, а на выходе из канала для Т ставятся мягкие граничные условия. Безразмерная температура на изотермической стенке принимается равной 1.034.
Численное решение стационарных осредненных по Рейнольдсу уравнений Навье–Стокса (RANS) и энергии основывается на концепции расщепления по физическим процессам [23] при использовании процедуры коррекции давления SIMPLEC [25] и многоблочных структурированных сеток с их частичным перекрытием. Уравнения движения замыкаются с помощью полуэмпирической модели переноса сдвиговых напряжений (SST) [24]. Развиваемая методология распараллеливается применительно к кластерным (многоядерным и многопроцессорным) системам и обобщается на случай неструктурированных сеток. Подобно [23], обобщенное уравнение переноса записывается в приращениях зависимых переменных. Явная часть уравнения дискретизируется по схемам второго порядка аппроксимации (противопоточная схема с квадратичной интерполяцией Леонарда [26] для конвективных членов уравнений количества движения, схема TVD [27] для конвективных членов уравнений характеристик турбулентности и центрально-разностная схема для диффузионных членов). Неявная часть представляется с помощью противопоточной схемы с односторонними разностями. Применение центрированных сеток с размещением зависимых переменных в центрах расчетных ячеек приводит к необходимости монотонизации поля давления за счет введения коррекции Рхи–Чоу [28, 29]. В качестве метода решения алгебраических уравнений используется предобусловленный BiCGSTAB [30] с алгебраическим многосеточным ускорителем из библиотеки Демидова (amgcl) [31] для поправки давления и ILU0 для остальных переменных. В разработанном пакете VP2/3 (Velocity-Pressure, 2D/3D) применены многоблочные вычислительные технологии (МВТ), описанные в [23]. Они основываются на совокупности разномасштабных, ярусных и пересекающихся структурированных сеток, согласованных со структурными элементами соответствующих масштабов физической задачи. В двух рядах приграничных ячеек каждой из пересекающихся или накладываемых сеток параметры определяются с помощью линейной интерполяции [23].
Для решения задачи применяется многоблочная расчетная сетка, содержащая порядка 5.6 млн ячеек. Композиционно сетка состоит из четырех разномасштабных фрагментов: 1 – канальной прямоугольной (с минимальным шагом по продольной и поперечной координате – 0.05) сетки со сгущением узлов к стенке, предназначенной для отображения течения в пределах канала; 2 – подробной, предназначенной для детализации течения в ближнем следе канавки, декартовой сетки (с продольным и поперечным шагом 0.03), покрывающей контрольный участок канала с канавкой размерами 7 × 0.2 × 7 (с передней границей, удаленной от центра канавки на расстояние 3.5); 3 – криволинейной, согласованной с поверхностью канавки, эллиптической сетки, сгущающейся к стенке и кромке; 4 – косоугольной сетки, покрывающей дно канавки в виде “заплатки”. Пристеночный шаг выбирается равным 10–4. Канальная сетка содержит 4.34 млн ячеек, а окружающая канавку детальная прямоугольная сетка – 0.58 млн ячеек. Цилиндрическая эллиптическая сетка, согласованная с канавкой, содержит 0.45 млн ячеек, а косоугольная сетка, накрывающая дно, – 0.21 млн ячейки.
Расчетная методология имеет второй порядок аппроксимации по пространственным переменным. На каждом итерационном шаге решается уравнение поправки давления и рассчитываются поля декартовых составляющих скорости, давления, а также характеристик турбулентности. Вычислительный процесс заканчивается при достижении максимальных погрешностей зависимых переменных уровня 10–5 и выходе на стабилизацию экстремальных локальных и интегральных параметров, включая поперечную силу и суммарную теплоотдачу на контрольном участке с наклонной канавкой. В данной работе анализируются экстремальные локальные и интегральные характеристики течения и теплообмена в канале с канавкой и без нее при различных граничных условиях по теплообмену. В их число входят продольные и поперечные распределения перепада статического давления P – Ppl, относительной теплоотдачи Nu/Nupl, относительного трения f/fpl и относительной температуры Tw/Twpl (для условий второго рода) в характерных сечениях омываемой стенки канала с канавкой, осредненные по поперечным полосам относительные числа Нуссельта Num/Numpl для контрольного участка и прямоугольного контура, окружающего канавку. Индекс pl относится к параметрам на стенке плоскопараллельного канала. Также сравниваются экстремальные характеристики течения Pmin, Pmax, Umin, Umax, Vmin, Vmax, Wmin, Wmax, турбулентности Kmax, µtmax, тепловой (Numm/Nummpl) и теплогидравлической THE = ((Numm/Nummpl)/(ζ/ζpl)) эффективности, а также относительных коэффициентов гидравлических потерь (ζ/ζpl).
АНАЛИЗ ПОЛУЧЕННЫХ РЕЗУЛЬТАТОВ
На рис. 2–5 и в табл. 1, 2 представлены некоторые из полученных результатов. Явление аномальной интенсификации отрывного течения и теплообмена вблизи однорядных наклонных канавок на стенках узких каналов и пластинах, как показано в [15, 16], связано с генерацией внутри таких канавок торнадо подобных вихрей, создающих зоны отрицательного давления. Экстраординарные перепады статического давления возникают между областями торможения входящего в канавку потока на наветренном склоне и разрежения в месте зарождения вихря на сферическом сегменте канавки. Их величина сопоставима с перепадом давления между критическими точками при обтекании затупленных тел типа шара или цилиндра. Следствием формирования перепадов давления во входной части наклонной канавки является аномальная интенсификация возвратного и вторичного течения, восходящих и нисходящих потоков при достижении ультравысоких величин скорости, сопоставимых и превышающих характерную среднемассовую скорость. Внутри канавки возникают зоны высоких градиентов характеристик течения и теплообмена: отрицательного трения и тепловых потоков, многократно (до 6–9 раз) превышающих по абсолютной величине соответствующие характеристики на гладкой стенке канала без канавок.
Рис. 2.
Рассчитанные поля относительных чисел Нуссельта Nu/Nupl с нанесенными линиями растекания на контрольном участке структурированной стенки канала при задании граничных условий q = const (a) и T = = const (б).

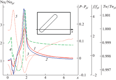
Рис. 3.
Сравнение распределений относительного числа Нуссельта Nu/Nupl – 1, 2, перепада статического давления P – Ppl – 3, относительных величин трения f/fpl – 4 и температуры Tw/Twpl –5 в продольном характерном сечении стенки канала с наклонной канавкой при задании граничных условий q = const –1, 3–5 и T = const 2–4.

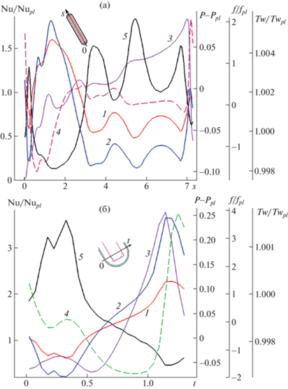
Рис. 4.
Сравнение распределений относительного числа Нуссельта Nu/Nupl – 1, 2, перепада статического давления P – Ppl – 3, относительных величин трения f/fpl – 4 и температуры Tw/Twpl – 5 в срединном продольном (a) и поперечном характерном (б) сечениях канавки на стенке канала при задании граничных условий q = const – 1, 3–5 и T = const – 2–4.

Рис. 5.
Сравнение осредненных по поперечным полосам относительных чисел Нуссельта Num/Numpl в срединных продольном – 1, 2 и поперечном – 3, 4 сечениях контрольного участка с наклонной канавкой (a) и контура, окружающего канавку (б) при задании граничных условий q = const – 1, 3 и T = const – 2, 4.

Таблица 1
| Канал с канавкой | Канал без канавки | |
|---|---|---|
| Pmin | –0.3242 | –0.2519 |
| Pmax | 0.2031 | 0.0041 |
| Umin | –0.4160 | 0 |
| Umax | 1.277 | 1.259 |
| Vmin | –0.3895 | –0.0005 |
| Vmax | 0.5361 | 0.0006 |
| Wmin | –0.8269 | –0.0005 |
| Wmax | 0.3555 | 0.0005 |
| Kmax | 0.03408 | 0.01173 |
| µtmax | 0.004241 | 0.004162 |
| Tmax | 1.018 | 1.012 |
Таблица 2
| Тип условия | Numm/Nummpl | Nummd/Nummdpl | ζ/ζpl | THE |
|---|---|---|---|---|
| q = const | 1.104 | 1.071 | 1.088 | 1.015 |
| T = const | 1.081 | 1.027 | 1.087 | 0.994 |
Следует отметить, что аномальная интенсификация течения и теплообмена характерна также для единичных канавок на стенке узкого канала и пластине [15–18], правда, эффект усиления градиентов течения и теплообмена в них гораздо слабее, чем для пакета канавок.
Струйно-вихревая гидродинамика в канале с единичной канавкой на нагретой стенке иллюстрируется сравнительными прогнозами в табл. 1 и картинами растекания воздуха по контрольному участку на рис. 2. Подтвержден значительный перепад давления в канавке, отнесенного к удвоенному скоростному потоку, по сравнению с гладким каналом. Отмечаются ультравысокая скорость вторичного течения и заметное ускорение в ядре канального потока. Почти трехкратный рост максимальной энергии турбулентности в канале с канавкой сочетается с незначительным увеличением максимальной вихревой вязкости. Рассчитанная структура отрывного течения в наклонной канавке хорошо согласуется с аналогичной, полученной в [18] для водяного теплоносителя и близкой геометрии. Высокоинтенсивная зона возвратного течения в области отрыва внутри канавки весьма мала, но именно в ней формируется закрученный поток, часть которого в виде спиралевидного вихря покидает канавку, не дойдя до ее конца. В выходной части канавки наблюдается возникновение вторичных смерчевых структур.
В данном исследовании акцент делается на сравнении типов граничных условий для теплообмена при выборе геометрической формы и размеров канавки, для которой достигается наибольшая тепловая эффективность, т.е. максимальная теплоотдача от контрольного участка с канавкой. Причем известно, что решение тепловой задачи для несжимаемой среды не влияет на решение динамической задачи. В аналогичном исследовании [14], выполненном для сферической лунки на стенке узкого канала, показано, что, как и в случае траншеи в узком канале, локальные и интегральные характеристики теплообмена практически (с точностью до 3%) не зависят от граничного условия на нагретой стенке (q = const и T = const эквивалентны).
Как видно из рис. 2 и табл. 2, теплообмен в наклонной канавке на стенке узкого канала существенно зависит от типа граничных условий. При T = const относительные тепловые потоки Nu/Nupl внутри канавки заметно ниже, чем для q = const. Хотя по тепловой эффективности Numm/Nummpl участки с канавкой кардинально не отличаются (различие находится в пределах 2–3%), однако тепловая эффективность контура, окружающего лунку, заметно (на 4%) ниже для варианта с T = const. Следует отметить, что теплогидравлическая эффективность (THE) участка с канавкой превышает 1 для граничных условий второго рода и оказывается меньше 1 для граничных условий первого рода.
В отличие от сопоставления поверхностных харатеристик течения и теплообмена в продольном срединном сечении нагретой стенки узкого канала с наклонной канавкой [17], в данном исследовании для анализа численных прогнозов выбирается продольное сечение, проходящее через центр сечения перехода от входного сферического сегмента к цилиндрической траншее (рис. 3). Как уже отмечалось при рассмотрении картин Nu/Nupl, теплоотдача от стенки для граничных условий первого рода заметно отличается от прогнозируемой теплоотдачи для граничных условий второго рода. Максимум Nu/Nupl для изотермической нагретой стенки в районе скругленной наветренной кромки примерно на 1.2 превосходит (Nu/Nupl)max стенки с q = const, достигая почти четырехкратного увеличения в сравнении с плоскопараллельной стенкой. В то же время на подветренной стороне канавки минимальная относительная теплоотдача при T = const почти вдвое ниже, чем при q = const. На дне канавки в центральной части прогнозы Nu/Nupl близки по величине с некоторым превышением для изотермической стенки и оказываются порядка 1.5.
На наветренной сглаженной кромке достигают максимумов перепад статического давления P–Ppl и относительное трение f/fpl. Отмечается характерный для аномальной интенсификации отрывного течения и теплообмена экстраординарный перепад статического давления, величина которого оказывается порядка 0.35. Пик относительного трения порядка 4.5 коррелирует с максимумом Nu/Nupl, близким к 4, а минимальное значение f/fpl оказывается порядка –1.5. Интересным представляется распределение относительной температуры на стенке с q = const. Пик Tw/Twpl на подветренной скругленной кромке, превышающий 1, внутри канавки быстро падает до минимума заметно ниже 1 (0.997), а затем в следе за канавкой быстро подрастает, оставаясь ниже 1 на значительном удалении, т.е. имеет место захолаживание стенки в области следа.
Как и в ряде проведенных исследований [14–18], интерес для сравнений представляют два характерных сечения канавки: срединное продольное сечение и поперечное сечение стыковки входного сферического сегмента и цилиндрической траншеи. На рис. 4 построены зависимости локальных поверхностных характеристик течения и теплообмена от локальных координат s и t, причем нулевые значения координат выбраны на стенке перед скругленной кромкой канавки. Как уже отмечалось ранее, распределения Nu/Nupl(s) (кривые 1, 2 на рис. 4а) демонстрируют значительное различие численных прогнозов для граничных условий первого и второго рода. Максимумы относительной теплоотдачи достигают близких величин – 1.85 для T = const и 1.6 для q = const в входной части канавки. Следует отметить, что теплоотдача на дне канавки оказывается значительно (в 1.5–2 раза) выше теплоотдачи от гладкой плоской стенки. В траншейной части и на конце канавки Nu/Nupl существенно меньше 1, причем прогнозы для изотермической поверхности канавки примерно вдвое ниже прогнозов для q = const. Распределение перепада статического давления P–Ppl по длине канавки носит в целом возрастающий характер с минимумом порядка –0.1 на входе и максимумом порядка 0.1 на выходе. Относительное трение f/fpl(s) показывает формирование зоны интенсивного отрывного течения с минимумом порядка –1.6, переходящей в область проточного течения с f/fpl > 0, занимающей практически всю канавку, за исключением малой окрестности конца канавки. Распределение относительной температуры Tw/Twpl(s) при q = const имеет ярко выраженный минимум во входной части в зоне образования интенсивного торнадоподобного потока и три разновеликих локальных максимума, превосходящие 1 и отражающие перемены тепловых режимов по мере развития проточного течения вдоль канавки. Как уже отмечалось, один из максимумов может быть связан с выходом из канавки спиралеобразного вихря в центральной части за серединой (рис. 2).
Поперечное сечение стыковки сферического сегмента и траншеи характеризует наиболее интенсивную зону отрывного течения и теплообмена в наклонной канавке (рис. 4б). Перепад статического давления между зонами торможения на наветренном склоне и разрежения на дне канавки превысил заявленный ранее уровень 0.35. Минимум отрицательного относительного трения приблизился к –1.8 и сместился по дну канавки к наветренной кромке. Установлено кардинальное влияние граничных условий на прогнозы относительной теплоотдачи. Величина (Nu/Nupl)max вдвое выше на изотермической скругленной кромке канавки в сравнении с q = = const и (Nu/Nupl)min вдвое ниже на подветренном склоне. На подветренной кромке наблюдается пик относительной температуры в случае q = const с величиной порядка 1.003. По мере движения к наветренной кромке Tw/Twpl резко падает и достигает уровня 0.997 на кромке.
Представленные на рис. 5 зависимости проинтегрированных по поперечным полосам относительных чисел Нуссельта позволяют оценить тепловую эффективность участков структурированной поверхности, анализируя зависимости Num/Numpl от продольных (x, s) и поперечных (z, t) координат выбранных участков. Также определяется влияние на численные прогнозы граничных условий первого и второго рода.
Пиковые тепловые нагрузки на профилированный наклонной канавкой контрольный участок нагретой стенки узкого канала, как видно из рис. 5а, приходятся на переднюю его часть (кривые 1, 2), причем уровень относительной теплоотдачи доходит до 1.25–1.3, и на правую боковую часть (кривые 3, 4) с (Num/Numpl)max = 1.55. Различие между прогнозами при T = const и q = const не выглядит значительным, что обусловливает 2% разницу в интегральной тепловой эффективности контрольного участка.
В то же время различие в прогнозах осредненной по полосам относительной теплоотдачи в пределах контура, окружающего канавку, на рис. 5б несомненно значительное. Если в продольном направлении s максимумы и минимумы отличаются на величину порядка 0.2 (кривые 1, 2), то в поперечном направлении t их отличие доходит до 1.5 раза. Становится понятной 4% разница в прогнозах с использованием различных граничных условий интегральной тепловой эффективности участка, ограниченного контуром канавки.
ЗАКЛЮЧЕНИЕ
Проведено численное моделирование конвективного теплообмена в узком канале с единичной наклонной канавкой глубиной 0.39 (в долях ширины) и длиной 8 на нагретой стенке при турбулентном низкоскоростном течении воздуха. Определяется влияние граничных условий первого и второго рода на прогнозы тепловой и теплогидравлической эффективности. При аномальной интенсификации отрывного течения и теплообмена в выбранной наклонной канавке суммарная относительная (по отношению к плоскопараллельному каналу) теплоотдача от контрольного участка структурированной изотермической стенки оказывается заметно (на 2%) ниже, чем для стенки с q = const. Особенно сильное различие (порядка 4%) установлено для относительной теплоотдачи от прямоугольного участка, контур которого окружает канавку. Анализ локальных относительных чисел Нуссельта в окрестности канавки показал, что экстремальные величины могут кардинально (до полутора раз) различаться в зависимости от вида граничных условий. Установленная на примере единичной наклонной канавки тенденция к занижению численных прогнозов тепловой и теплогидравлической эффективности для нагретых изотермических поверхностей может усилиться для пакетов наклонных канавок на структурированной стенке. Это обстоятельство необходимо учитывать при конструировании энергоэффективных структурированных поверхностей, которые эксплуатируются при q = const.
Исследование выполнено при частичной финансовой поддержке Российского научного фонда по грантам 22-19-00056 (эксперименты) 23-19-00083 (расчеты).
Список литературы
Исаев С.И., Кожинов И.А., Кофанов В.И., Леонтьев А.И., Миронов Б.М., Никитин В.М., Петражицкий Г.Б., Хвостов В.И., Чукаев А.Г., Шишов Е.В., Школа В.В. Теория тепломассообмена / Под ред. А.И. Леонтьева, М.: Изд-во МГТУ им. Н.Э. Баумана, 2018. 464 с.
Terekhov V., Kalinina S., Mshvidobadze Yu. Heat transfer coefficient and aerodynamic resistance on a surface with a single dimple // Enhanced Heat Transfer. 1997. V. 4. P. 131–145.
Burgess N.K., Ligrani P.M. Effects of dimple depth on channel Nusselt numbers and friction factors // J. Heat Transfer. 2005. V. 127. P. 839–847.
Rao Y., Feng Y., Li B., Weigand B. Experimental and numerical study of heat transfer and flow friction in channels with dimples of different shapes // J. Heat Transfer. 2015. V. 137. P. 031901–1–10. https://doi.org/10.1115/1.4029036
Сапожников С.З., Митяков В.Ю., Митяков А.В. Градиентные датчики теплового потока. СПб: Изд-во СПбГПУ, 2003. 168 с.
Сапожников С.З., Митяков В.Ю., Митяков А.В. Основы градиентной теплометрии. СПб.: Изд-во Политехн. ун-та, 2012. 203 с.
Балашова И.Е., Юдин В.М. Определение параметров граничных условий теплообмена на основе решения обратной задачи теплопроводности // Ученые Записки ЦАГИ. 1985. Т. 16. № 5. С. 84–91.
Кикнадзе Г.И., Гачечиладзе И.А., Алексеев В.В. Самоорганизация смерче-образных струй в потоках вязких сплошных сред и интенсификация тепломассообмена, сопровождающая это явление. М.: Изд-во МЭИ, 2005. 84 с.
Xie G., Liu J., Ligrani P.M., Zhang W. Numerical predictions of heat transfer and flow structure in a square cross-section channel with various non-spherical indentation dimples // Numerical Heat Transfer. Part A: Applications: An International Journal of Computation and Methodology. 2013. V. 64. № 3. P. 187–215.
Баранов П.А., Исаев С.А., Леонтьев А.И., Митяков А.В., Митяков В.Ю., Сапожников С.З. Физическое и численное моделирование вихревого теплообмена при турбулентном обтекании сферической лунки на плоскости // Теплофизика и аэромеханика. 2002. Т. 9. № 4. С. 521–532.
Isaev S.A., Kornev N.V., Leontiev A.I., Hassel E. Influence of the Reynolds number and the spherical dimple depth on the turbulent heat transfer and hydraulic loss in a narrow channel // Int. J. Heat Mass Transfer. 2010. V. 53. Iss. 1–3. P. 178–197.
Isaev S.A., Schelchkov A.V., Leontiev A.I., Baranov P.A., Gulcova M.E. Numerical simulation of the turbulent air flow in the narrow channel with a heated wall and a spherical dimple placed on it for vortex heat transfer enhancement depending on the dimple depth // Int. J. Heat and Mass Transfer. 2016. V. 94. P. 426–448.
Nasr M.A., Tay C.M., Khoo B.C. Numerical investigation of heat transfer and drag over different dimple geometries in turbulent channel flow // J. Enhanced Heat Transfer. 2022. V. 29. № 4. P. 81–114.
Исаев С.А., Гульцова М.Е. Численное моделирование турбулентного течения воды и конвективного теплообмена в узком канале с траншеей и сферической лункой. Сравнение граничных условий T = = const и Q = const // Тепловые процессы в технике. 2013. № 6. С. 242–246.
Исаев С.А. Генезис аномальной интенсификации отрывного течения и теплообмена в наклонных канавках на структурированных поверхностях // Изв. РАН. Механика жидкости и газа. 2022. № 5. С. 13–24.
Исаев С.А. Аэрогидродинамические механизмы интенсификации физико-энергетических процессов на структурированных энергоэффективных поверхностях с вихревыми генераторами // Теплофизика и аэромеханика. 2023. Т. 30. № 1. С. 83–88.
Isaev S.A., Schelchkov A.V., Leontiev A.I., Gortyshov Yu.F., Baranov P.A., Popov I.A. Tornado-like heat transfer enhancement in the narrow plane-parallel channel with the oval-trench dimple of fixed depth and spot area // Int. J. Heat and Mass Transfer. 2017. V. 109. P. 40–62. https://doi.org/10.1016/j.ijheatmasstransfer.2017.01.103
Isaev S., Leontiev A., Chudnovsky Y., Nikushchenko D., Popov I. and Sudakov A. Simulation of vortex heat transfer enhancement in the turbulent water flow in the narrow plane-parallel channel with an inclined oval-trench dimple of fixed depth and spot area // Energies. 2019. V. 12. № 1296. P. 1–24.
Isaev S., Gritckevich M., Leontiev A., Popov I. Abnormal enhancement of separated turbulent air flow and heat transfer in inclined single-row oval-trench dimples at the narrow channel wall // Acta Astronautica. 2019. V. 163. Part. A. P. 202–207. https://doi.org/10.1016/j.actaastro.2019.01. 033
Isaev S.A., Leontiev A.I., Milman O.O., Popov I.A., Sudakov A.G. Influence of the depth of single-row oval-trench dimples inclined to laminar air flow on heat transfer enhancement in a narrow micro-channel // Int. J. Heat and Mass Transfer. 2019. V. 134. P. 338–358.
Isaev S.A., Gritckevich M.S., Leontiev A.I., Milman O.O., Nikushchenko D.V. Vortex enhancement of heat transfer and flow in the narrow channel with a dense packing of inclined one-row oval-trench dimples // Int. J. Heat and Mass Transfer. 2019. V. 145. 118737. P. 1–13. https://doi.org/10.1016/j.ijheatmasstransfer.2019.118737
Isaev S., Leontiev A., Gritskevich M., Nikushchenko D., Guvernyuk S., Sudakov A., Chung K.-M., Tryaskin N., Zubin M., Sinyavin A. Development of energy efficient structured plates with zigzag arrangement of multirow inclined oval trench dimples // Int. J. Thermal Sciences. 2023. V. 184. P. 107988.
Isaev S.A., Baranov P.A., Usachov A.E. Multiblock computational technologies in the VP2/3 package on aerothermodynamics. LAP LAMBERT Academic Publishing, Saarbrucken, 2013. 316 p.
Menter F.R. Zonal two equation k–ω turbulence models for aerodynamic flows // AIAA Paper. 1993. № 93–2906. 21 p.
Van Doormaal J.P., Raithby G.D. Enhancement of the SIMPLE method for predicting incompressible fluid flow // Numerical Heat Transfer. 1984. V. 7. P. 147–163.
Leonard B.P. A stable and accurate convective modeling procedure based on quadratic upstream interpolation // Comp. Meth. Appl. Mech. Eng. 1979. V. 19. № 1. P. 59–98.
Van Leer B. Towards the ultimate conservative difference scheme V. A second order sequel to Godunov’s method // J. Comp. Phys. 1979. V. 32. P. 101–136.
Rhie C.M., Chow W.L. A numerical study of the turbulent flow past an isolated airfoil with trailing edge separation // AIAA J. 1983. V. 21. P. 1525–1532.
Pascau A., Garcia N. Consistency of SIMPLEC scheme in collocated grids. V European Conference on Computational Fluid Dynamics ECCOMAS CFD 2010. Lisbon, Portugal, 2010, 12 p.
Saad Y. Iterative methods for sparse linear systems, 2nd ed., Society for Industrial and Applied Mathematics, Philadelphia, 2003. 567p.
Demidov D. AMGCL: C++ library for solving large sparse linear systems with algebraic multigrid method. http://amgcl.readthedocs.org/
Дополнительные материалы отсутствуют.
Инструменты
Известия РАН. Механика жидкости и газа


