Известия РАН. Механика жидкости и газа, 2023, № 6, стр. 59-66
ДЕФОРМАЦИИ И ВОЛНОВЫЕ СИЛЫ ПРИ ДВИЖЕНИИ НАГРУЗКИ ПО ЛЕДЯНОМУ ПОКРОВУ И НАЛИЧИИ ТЕЧЕНИЯ СО СДВИГОМ СКОРОСТИ
a Институт гидродинамики им. М.А. Лаврентьева СО РАН
Новосибирск, Россия
* E-mail: tkacheva@hydro.nsc.ru
Поступила в редакцию 24.03.2023
После доработки 10.06.2023
Принята к публикации 10.07.2023
- EDN: QXOXEV
- DOI: 10.31857/S1024708423600203
Аннотация
Изучаются деформации ледяного покрова на поверхности идеальной несжимаемой жидкости конечной глубины под действием движущейся прямолинейно с постоянной скоростью области давления при наличии течения со сдвигом скорости, а также волновые силы, действующие на движущееся тело. Течение жидкости не потенциально. Ледяной покров моделируется тонкой упругой пластиной с учетом равномерного сжатия. Движение нагрузки может происходить под произвольным углом к направлению течения. Предполагается, что в системе координат, движущейся вместе с нагрузкой, прогиб льда является установившимся. Использован метод преобразования Фурье в рамках линейной теории волн. Исследованы зависимости максимальных деформаций ледяного покрова и волновых сил от градиента скорости течения, направления движения и коэффициента сжатия.
Интенсивное освоение Арктики вызывает интерес к решению задач, связанных с взаимодействием различных возмущений в жидкости с ледяным покровом. В настоящее время наиболее полно изучена задача о воздействии динамических возмущений и возбуждении изгибно-гравитационных волн для безграничного однородного ледяного покрова. Ледяной покров обычно моделируется тонкой упругой пластиной, плавающей на поверхности воды. Достаточно хорошо исследованы процессы развития и распространения изгибно-гравитационных волн в покоящейся в невозмущенном состоянии среде или в потоке жидкости, текущей с постоянной по глубине скоростью (см., например, [1–12]). Однако в реальных морских условиях существуют подледные течения, вертикальное распределение скорости может меняться и по величине, и по направлению.
Влияние сдвига скорости в подледном течении на изгибно-гравитационные волны в ледяном покрове в настоящее время изучено недостаточно. Значительно лучше исследовано воздействие сдвига скорости на поверхностные волны. Обзор полученных результатов можно найти в работе [13], в которой исследованы критические скорости и прогиб ледяного покрова в зависимости от градиента скорости течения, направления движения и коэффициента сжатия под действием движущейся прямолинейно с постоянной скоростью области давления. Настоящая работа является продолжением работы [13] – с помощью решения [13] изучаются деформации ледяного покрова и волновые силы, действующие на движущееся тело.
1. ПОСТАНОВКА ЗАДАЧИ
Рассматривается бесконечный ледяной покров, плывущий на поверхности потока идеальной несжимаемой жидкости конечной глубины $H$ с вертикальным сдвигом скорости. Ледяной покров моделируется упругой бесконечной пластиной постоянной толщины. В подвижной декартовой системе координат $Oxyz$, связанной с пластиной, с центром $O$ на верхней границе жидкости, осью $Ox$, направленной противоположно основному течению, и осью $Oz$, направленной вертикально вверх, вектор скорости жидкости можно представить в виде
где $\gamma $ – константа, основное течение жидкости $U(z)$ не потенциально, имеет постоянную завихренность, $u$, ${v}$, $w$ – возмущенные компоненты скорости, малые по сравнению с основным течением. Предполагается, что заданное внешнее давление ${{p}_{0}}$ равномерно распределено по прямоугольной области шириной $2b$ и длиной $2a$. Область давления движется с постоянной скоростью $V$ под углом $\psi $ к оси $Ox$. Давление внешней нагрузки равно ${{p}_{0}} = gM{\text{/}}(4ab)$, где $M$ – масса движущегося тела, $g$ – ускорение свободного падения. Данная нагрузка моделирует судно на воздушной подушке.Рассмотрим движение жидкости. Скорость течения жидкости удовлетворяет уравнениям Эйлера и неразрывности
(1.1)
$\begin{gathered} \frac{{d{\mathbf{v}}}}{{dt}} = - \nabla P{\text{/}}\rho - g{{{\mathbf{i}}}_{z}},\quad \nabla \cdot {\mathbf{v}} = 0 \\ P = - \,\rho gz + p \\ \end{gathered} $Здесь $d{\text{/}}dt$ – полная производная по времени, $P$ – гидродинамическое давление, которое складывается из гидростатической части и возмущенного гидродинамического давления $p$, $\rho $ – плотность жидкости, ${{{\mathbf{i}}}_{z}}$ – единичный орт оси $Oz$. Прогиб ледяного покрова $\eta (x,y,t)$ описывается уравнением изгиба тонких упругих пластин Кирхгофа-Лява
(1.2)
$\begin{gathered} D{{\Delta }^{2}}\eta + Q\Delta \eta + {{\rho }_{0}}h{{d}^{2}}\eta {\text{/}}d{{t}^{2}} = - \rho g\eta + p(x,y,0,t) - {{p}_{0}}(x,y,t) \\ \Delta = {{\partial }^{2}}{\text{/}}\partial {{x}^{2}} + {{\partial }^{2}}{\text{/}}\partial {{y}^{2}},\quad D = \frac{{E{{h}^{3}}}}{{12(1 - {{\nu }^{2}})}} \\ \end{gathered} $Ставятся граничные условия: условие непротекания на дне
а на верхней границе жидкости кинематическое условие и динамическое условие (1.2). Условие излучения ставится в следующем виде: перед нагрузкой распространяются только те волны, групповая скорость которых больше скорости нагрузки.2. РЕШЕНИЕ ЗАДАЧИ
Введем безразмерные переменные, параметры и функции по формулам
Штрихи далее опускаем. Поскольку мы ищем стационарное решение в системе координат, движущейся вместе с нагрузкой, то в исходной системе координат, связанной с ледяной пластиной, возмущенные скорости движения жидкости имеют вид
В предположении малости возмущенных скоростей по сравнению с основным течением уравнения (1.1) линеаризуются. Применяем преобразование Фурье по переменным $x$, $y$. Неизвестные функции $u$, ${v}$, $w$, $\eta $, $p$ ищем в виде
С помощью обратного преобразования Фурье из уравнений (1.1)–(1.4) получаем решение. В системе координат $O{{x}_{1}}{{y}_{1}}z$, повернутой относительно исходной системы координат на угол $\psi $, с осью $O{{x}_{1}}$, направленной вдоль линии движения, осью $O{{y}_{1}}$, перпендикулярной ей, прогиб ледяного покрова выражается формулами [13]
(2.1)
$\eta ({{x}_{1}},{{y}_{1}}) = - \frac{{{{p}_{0}}}}{{{{\pi }^{2}}}}\int\limits_0^{2\pi } \int\limits_0^\infty \frac{{{{f}_{1}}(k,\sigma )}}{{f(k,\sigma )}}{{e}^{{ik({{x}_{{\,1}}}\cos \sigma + {{y}_{{\,1}}}\sin \sigma )}}}dkd\sigma $Если скорость движения нагрузки больше критической, функция $f(k,\sigma )$ имеет нули ${{k}_{1}} = {{k}_{1}}(\sigma )$ и ${{k}_{2}} = {{k}_{2}}(\sigma )$, ${{k}_{1}} < {{k}_{2}}$ в некоторых областях значений угла $\sigma $. Поэтому при этих значениях угла $\sigma $ интеграл по $k$ в выражении (2.1) является интегралом в смысле главного значения. Контур интегрирования деформируется таким образом, чтобы выполнить условие излучения. Известно, что групповая скорость изгибно-гравитационных волн больше их фазовой скорости для коротких волн и меньше для длинных волн. Короткие волны соответствуют упругой ветви дисперсионной кривой, а длинные волны – гравитационной ветви. Поэтому при $\cos \sigma > 0$ корень ${{k}_{1}}$ обходится сверху, а корень ${{k}_{2}}$ – снизу, при $\cos \sigma < 0$ – наоборот.
Согласно линейной теории упругости деформации пластины изменяются по толщине по линейному закону. Тензор максимальных деформаций имеет вид
(2.2)
$e({{x}_{1}},{{y}_{1}}) = - \frac{h}{2}\left( {\begin{array}{*{20}{c}} {{{\eta }_{{{{x}_{{\,1}}}{{x}_{{\,1}}}}}}}&{{{\eta }_{{{{x}_{{\,1}}}{{y}_{{\,1}}}}}}} \\ {{{\eta }_{{{{x}_{{\,1}}}{{y}_{{\,1}}}}}}}&{{{\eta }_{{{{y}_{{\,1}}}{{y}_{{\,1}}}}}}} \end{array}} \right)$(2.3)
$\left( {{{\eta }_{{{{x}_{{\,1}}}{{x}_{{\,1}}}}}},{{\eta }_{{{{y}_{{\,1}}}{{y}_{{\,1}}}}}},{{\eta }_{{{{x}_{{\,1}}}{{y}_{{\,1}}}}}}} \right) = \frac{{2{{p}_{0}}}}{{{{\pi }^{2}}}}\int\limits_0^\pi \int\limits_0^\infty \frac{{\cos (k({{x}_{1}}\cos \sigma + {{y}_{1}}\sin \sigma ))k{\text{th}}kH}}{{f(k,\sigma )}}\left( {{{f}_{x}},{{f}_{y}},{{f}_{{xy}}}} \right)dkd\sigma $Подынтегральная функция в (2.1) при $k \to \infty $ имеет порядок $O\left( {{{k}^{{ - 5}}}} \right)$. При вычислении компонентов тензора (2.2) подынтегральная функция (2.3) имеет порядок $O\left( {{{k}^{{ - 3}}}} \right)$ при $k \to \infty $, сходимость интеграла в этом случае значительно хуже. При $0 < k < K$ интеграл вычислялся с помощью выделения особенности и добавления соответствующих вычетов. При $k > K$ можно положить ${\kern 1pt} {\text{th}}{\kern 1pt} kH = 1$, где $K \approx 20{\text{/}}H$. Подынтегральная функция преобразуется следующим образом
Выделяя главный член при $k \to \infty $, представим функцию $1{\text{/}}f$ в виде
Интеграл от первого слагаемого по $k$ в (2.3) вычисляется аналитически, а второй член имеет порядок $O\left( {{{k}^{{ - 6}}}} \right)$. Таким образом, сходимость значительно улучшилась.
Для оценки вероятности разрушения ледяного покрова движущимся телом достаточно рассмотреть случай ${{y}_{1}} = 0$, так как наибольшие деформации ожидаются на линии движения. Отметим, что при $\psi = 0,\pi $ вычисление ${{\eta }_{{{{x}_{{\,1}}}{{y}_{{\,1}}}}}}$ упрощается, в силу симметрии интеграл по $k$ определяется вкладом вычетов.
Главные значения тензора деформаций ${{e}_{m}}$ определяются как собственные значения матрицы, составленной из компонентов тензора. В линейной теории упругости напряжения и деформации связаны линейной зависимостью. Необходимо, чтобы деформации и напряжения не превышали предельных значений, при которых начинаются пластические деформации и разрушение. Экспериментально полученные в [14] критические значения максимальных деформаций для льда составляют $4.4 \times {{10}^{{ - 5}}}$ – $8.5 \times {{10}^{{ - 5}}}$. В работе [15] использовалось критическое значение максимальных деформаций $e_{*}^{{}} = 8 \times {{10}^{{ - 5}}}$, которое использyетcя ниже.
Волновое сопротивление ${{F}_{1}}$ и боковая сила ${{F}_{2}}$, действующие на движущееся тело, определяются формулами
Подставляя в эти формулы выражение (2.1) для прогиба ледяного покрова, получаем
В силу симметрии вклад в эти интегралы дают только вычеты в нулях знаменателя. Получаем
Безразмерные коэффициенты волновых сил определяются формулами
3. ЧИСЛЕННЫЕ РЕЗУЛЬТАТЫ
Численные расчеты проводились для ледяного покрова при следующих входных параметрах задачи: $E = 5$ ГПа, $\rho = 1025$ кг/м3, ${{\rho }_{0}} = 922.5$ кг/м3, ${v} = 0.3$, толщина льда $h = 1$ м, глубина жидкости $H = 100$ м, ${{p}_{0}} = 1000$ Н/м2, $a = 20$ м, $b = 10$ м, скорость движения нагрузки $V = 20$ м/с. Сжимающие усилия в пластине заданы в виде $Q = \bar {Q}\sqrt {\rho gD} $, $\bar {Q} = 0$ и 1.5.
На рис. 1 представлены графики зависимости безразмерных коэффициентов волновых сил ${{A}_{1}}$, ${{A}_{2}}$ от скорости движения нагрузки при $\bar {Q} = 0$, $\psi = 0$, $\pi {\text{/}}2,\pi $ и различных значениях параметра $S$. При скорости, меньшей критической, волн нет, и волновые силы равны нулю. Максимальные значения прогиба ледяного покрова достигаются при скоростях, близких к критическим. Соответственно максимальные значения волновых сил также достигаются при скоростях, близких к критическим. Максимальные различия критических скоростей при изменении градиента скорости течения (параметра $S$) наблюдаются при углах $\psi = 0$ и $\psi = \pi $ (рис. 2 [13]). Поэтому максимальное отличие кривых безразмерного волнового сопротивления ${{A}_{1}}$ при различных значениях параметра $S$ наблюдается также при $\psi = 0$ и $\psi = \pi $.
Рис. 1.
Зависимости безразмерных коэффициентов волновых сил ${{A}_{1}}$, ${{A}_{2}}$ от скорости движения нагрузки при $\bar {Q} = 0$: (а–в) – $\psi = 0$, $\pi {\text{/}}2$, $\pi $; 1–4 – $S = 0$, 0.3, 0.5, 1.

Рис. 2.
Зависимости безразмерных коэффициентов волновых сил ${{A}_{1}}$, ${{A}_{2}}$ от скорости движения нагрузки при $\bar {Q} = 1.5$, (а–в) – $\psi = 0$, $\pi {\text{/}}2$, $\pi $; 1–4 – $S = 0$, 0.3, 0.5, 1.

Из графиков следует, что при движении нагрузки против течения ($\psi = 0)$ при увеличении градиента скорости потока волновое сопротивление уменьшается, что на первый взгляд неожиданно. Объясняется это тем, что с ростом параметра $S$ при $\psi = 0$ уменьшается критическая скорость, а прогиб ледяного покрова максимален вблизи критической скорости. Поэтому при увеличении параметра $S$ при фиксированной скорости движения нагрузки прогиб ледяного покрова становится меньше, соответственно волновое сопротивление уменьшается. При движении по течению волновое сопротивление увеличивается с ростом параметра $S$ в области сверхкритических скоростей. При $\psi = \pi {\text{/}}2$ критические скорости оказываются близкими при различных значениях параметра $S$, потому кривые 1–3 на рис. 1б практически совпадают. В этом случае максимального значения достигает боковая сила. Боковая сила ${{A}_{2}}$ существенно меньше волнового сопротивления ${{A}_{1}}$.
На рис. 2 изображены такие же графики, что на рис. 1, но при $\bar {Q} = 1.5$. Видно, что при $\bar {Q} = 1.5$ поведение зависимостей волновых сил от скорости движения нагрузки аналогично, но значения их приблизительно в два раза выше.
Максимальные деформации ледяного покрова также происходят при скоростях движения нагрузки, близких к критической. Стационарное решение при равномерном движении нагрузки с критической скоростью по упругой плавающей пластине в линейном приближении не существует. Для определения ограниченного решения при критической скорости необходимо привлекать нелинейные модели или учитывать структурное демпфирование пластины.
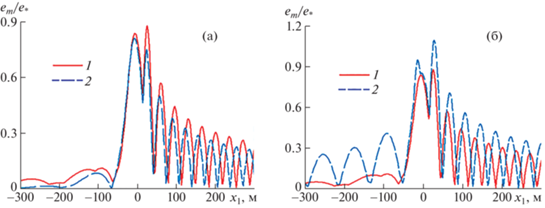
На рис. 3 приведены зависимости от координаты ${{x}_{1}}$ максимальных деформаций ледяного покрова, отнесенных к критическому значению $e_{*}^{{}}$, при ${{y}_{1}} = 0$, $\bar {Q} = 0$, $V$ = 20 м/с, $\psi = 0$ и $\psi = \pi $, $S = 0$ и $S = 0.4$. Видно, что при движении нагрузки против течения максимальные деформации меньше, чем в отсутствие течения, а при движении по течению больше и превышают допустимый уровень деформаций. Ледяной покров может разрушиться при движении нагрузки по течению. Это объясняется тем, что скорость $V = 20$ м/с близка к критической скорости $V = 18.7$ м/с при $\psi = \pi $. Однако, если скорость движения нагрузки меньше этого значения, то волн не будет при движении по течению, и деформации ледяного покрова могут быть как меньше, так и больше, чем при движении против течения.
Рис. 3.
Зависимости от координаты ${{x}_{1}}$ максимальных деформаций ледяного покрова ${{e}_{m}}{\text{/}}e_{*}^{{}}$ при ${{y}_{1}} = 0$, $\bar {Q} = 0$, $V = 20$ м/с: (а–б) – $\psi = 0$, $\pi $; 1–2 – $S = 0$, 0.4.

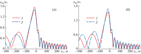
На рис. 4 представлены аналогичные зависимости при $\bar {Q} = 1.5$. При $\bar {Q} = 0$ максимальные деформации больше перед нагрузкой, а при $\bar {Q} = 1.5$ за нагрузкой. При $\bar {Q} = 1.5$ максимальные деформации значительно выше, чем при $\bar {Q} = 0$, допустимый уровень максимальных деформаций превышен в обоих случаях. Сжатие льда приводит к повышению прогиба и деформаций ледяного покрова.
Рис. 4.
Зависимости от координаты ${{x}_{1}}$ максимальных деформаций ледяного покрова ${{e}_{m}}{\text{/}}e_{*}^{{}}$ при ${{y}_{1}} = 0$, $\bar {Q} = 1.5$, $V = 20$ м/с: (а–б) – $\psi = 0$, $\pi $; 1–2 – $S = 0$, 0.4.

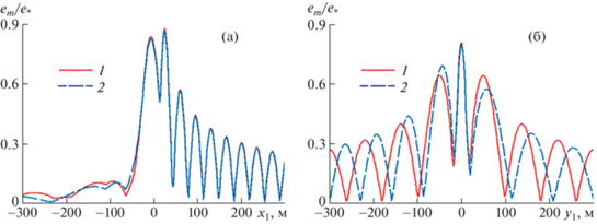
На рис. 5 показаны зависимости максимальных деформаций ${{e}_{m}}{\text{/}}e_{*}^{{}}$ от координаты ${{x}_{1}}$ при ${{y}_{1}} = 0$ (а) и от координаты ${{y}_{1}}$ при ${{x}_{1}} = 0$ (б) при $\bar {Q} = 0$, $V = 20$ м/с, $\psi = \pi {\text{/}}2$, $S = 0$ и $S = 0.4$. В этом случае течение поперек линии движения не влияет практически на зависимость максимальных деформаций от координаты ${{x}_{1}}$, поскольку критическая скорость при $\psi = \pi {\text{/}}2$ приблизительно равна критической скорости в отсутствие течения [13], но зависимость от координаты ${{y}_{1}}$ существенна.
Рис. 5.
Зависимости от координаты ${{x}_{1}}$ при ${{y}_{1}} = 0$ (а) и от координаты ${{y}_{1}}$ при ${{x}_{1}} = 0$ (б) максимальных деформаций ледяного покрова ${{e}_{m}}{\text{/}}e_{*}^{{}}$ при $\bar {Q} = 0$, $V = 20$ м/с, $\psi = \pi {\text{/}}2$: 1–2 – $S = 0$, 0.4.

Наибольшие деформации происходят под областью нагрузки. На рис. 6 представлены изолинии максимальных деформаций ${{e}_{m}}{\text{/}}e_{*}^{{}}$ при $\bar {Q} = 0$, $V = 20$ м/с, $S = 0.4$, $\psi = \pi {\text{/}}2$ (а) и $\psi = \pi $. В обоих случаях амплитуды волн деформации перед нагрузкой значительно больше, чем в других направлениях.
ЗАКЛЮЧЕНИЕ
Исследовано влияние сдвига скорости жидкости на деформации ледяного покрова при равномерном прямолинейном движении нагрузки под произвольным углом к направлению течения с учетом однородного сжатия льда, а также волновые силы, действующие на тело. Поле скоростей жидкости не потенциально. Показано, что сдвиг скорости, направление движения нагрузки и коэффициент сжатия льда оказывают существенное влияние на максимальные деформации ледяного покрова и волновые силы. Максимальные деформации наблюдаются под нагрузкой при скоростях движения нагрузки, близких к критической. При увеличении коэффициента сжатия льда максимальные деформации значительно увеличиваются.
Волновое сопротивление уменьшается при движении нагрузки против течения и увеличивается при ее движении по течению в области сверхкритических скоростей. Боковая сила максимальна при движении нагрузки перпендикулярно течению. При увеличении коэффициента сжатия льда волновые силы значительно растут.
Следует отметить, что направление течения жидкости зависит от системы координат. Если в неподвижной системе координат ось Ox' направлена вдоль течения жидкости, то при переходе в систему координат, связанную с пластиной, жидкость течет в противоположном направлении. В данной работе и в статье [13] направление течения определяется в системе координат, связанной с пластиной.
Список литературы
Хейсин Д.Е. Динамика ледяного покрова. Л.: Гидрометеоиздат. 1967. 215 с.
Davys J.W., Hosking R.I., Sneyd A.D. Waves due to a steadily moving source on a floating ice plate// J. Fluid Mech. 1985. V. 158. P. 269–287.
Schulkes R.M.S.M., Hosking R.J., Sneyd A.D. Waves due to a steadily moving source on a floating ice plate. Pt 2 // J. Fluid Mech. 1987. V. 180. P. 297–318.
Букатов А.Е., Жарков В.В., Завьялов Д.Д. Трехмерные изгибно-гравитационные волны при неравномерном сжатии // ПМТФ. 1991. № 6. С. 51–57.
Жесткая В.Д., Козин В.М. Исследования напряженно-деформированного состояния полубесконечного ледяного покрова под действием движущейся нагрузки // ПМТФ. 1994. Т. 35. № 5. С. 112–117.
Milinazzo F., Shinbrot M., Evans N.W. A mathematical analysis of the steady response of floating ice to the uniform motion of a rectangle load // J. Fluid Mech. 1995. V. 287. P. 173–197.
Squire V.A. Moving Loads on Ice Plates. / V.A. Squire, R.J. Hosking, A.D. Kerr, et al. Dordrecht: Kluwer, 1996.
Das S., Sahoo T., Meylan M.H. Dynamics of flexural gravity waves: from sea ice to Hawking radiation and analogue gravity// Proc. R. Soc. A 2018. V. 474. P. 20170223.
Sturova I.V. Unsteady three-dimensional sources in deep water with an elastic cover and their applications// J. Fluid Mech. 2013. V. 730. P. 392–418.
Козин В.М., Погорелова А.В., Земляк В.Л., Верещагин В.Ю., Рогожникова В.Е., Кипин Д.Ю., Матюшина А.А. Экспериментально-теоретические исследования зависимости параметров, распространяющихся в плавающей пластине изгибно-гравитационных волн от условий их возбуждения. Новосибирск: Изд-во СО РАН, 2016. 221 с.
Букатов А.Е. Волны в море с плавающим ледяным покровом. Морской гидрофизический институт РАН. Севастополь. 2017. 357 с.
Bao-yu Ni, Duan-feng Han, Shao-cheng Di, Yan-zhuo Xue On the development of ice-water-structure interaction // J. Hydrodynamics. 2020. V. 32. № 4. P. 629–652. https://doi.org/10.1007/s42241-020-0047-8
Ткачева Л.А. Движение нагрузки по ледяному покрову при наличии течения со сдвигом скорости// Изв. РАН. МЖГ. 2023. № 2. С. 113–122.
Squire V., Martin S. A field study of the physical properties, response to swell, and subsequent fracture of a single ice floe in the winter Bering sea. Technical report 18. University of Washington. 1980.
Shishmarev K., Khabakhpasheva T., Korobkin A. The response of ice cover to a load moving along a frozen channel // Appl. Ocean Res. 2016. V. 59. P. 313–326.
Дополнительные материалы отсутствуют.
Инструменты
Известия РАН. Механика жидкости и газа



