Российская археология, 2023, № 1, стр. 119-127
ОСОБЕННОСТИ ДЕМОГРАФИЧЕСКОЙ СТРУКТУРЫ НАСЕЛЕНИЯ КУБАНИ В ЗОЛОТООРДЫНСКИЙ ПЕРИОД (по материалам могильника Натухаевское 5)
К. А. Петрова *
Институт археологии РАН
Москва, Россия
* E-mail: kriss150294@mail.ru
Поступила в редакцию 29.06.2022
После доработки 13.09.2022
Принята к публикации 11.10.2022
- EDN: MCEWOU
- DOI: 10.31857/S0869606323010166
Аннотация
В статье впервые представлены результаты палеодемографического исследования выборки останков погребенных из средневекового курганно-грунтового могильника Натухаевское 5, исследованного в 2013–2014 гг. Благодаря благоприятным географическим условиям данный регион издавна был зоной активных межэтнических контактов, что выразилось в большом разнообразии погребальных обрядов. Археологический контекст позволяет разделить выборку на две группы: каменные ящики и грунтовые ямы. Проведенный анализ основных палеодемографических характеристик выявил различия в половозрастном составе и продолжительности жизни двух групп населения, проявляющиеся в преобладании мужских захоронений в каменных ящиках и женских – в грунтовых; в равномерном распределении смертности погребенных в каменных ящиках (в интервале от 15 до 44 лет) и в выраженном пике смертности в 25–29 лет в выборке из грунтовых захоронений. Для сравнения полученных данных привлечены материалы синхронных серий золотоордынских некрополей, демонстрирующие значительное локальное разнообразие.
Могильник Натухаевское 5 расположен вблизи станицы Натухаевская г. Новороссийск Краснодарского края (рис. 1). В 2013–2014 гг. Натухаевским отрядом Южной археологической экспедиции РАН под руководством А.В. Бонина проводились охранно-спасательные раскопки на территории могильника (Бонин, 2013, 2014, 2015). Впоследствии антропологические материалы, найденные в процессе этих исследований, переданы на хранение в ИА РАН.
Рис. 1.
Местонахождение памятника на географической карте.
Fig. 1. Location of the site on a geographical map

В ходе полевых работ исследована часть памятника, попадающая в зону строительства газопровода “Южный поток”, площадью 3335 м2. Верхние культурные напластования могильника подверглись разрушению в результате многолетней интенсивной сельскохозяйственной деятельности. В процессе работ на исследованной территории могильника выявлено 85 захоронений, совершенных по обряду ингумации, и 68 различных объектов земляной и каменной архитектуры. На основе керамического материала и монетных находок (татарские монеты крымской чеканки), а также особенностей погребального обряда (“каменные ящики”) могильник Натухаевское 5 датирован XIV–началом XV в. (Бонин, 2013. Л. 2).
Многообразие погребального обряда отражает полиэтничный характер населения данного региона, известного в письменных источниках под общим названием “черкесы”, а также является следствием активных межэтнических контактов на протяжении всего периода средневековья (Дружинина, Медникова, 2019. С. 105). Продвижение Золотой Орды на запад и вхождение территорий Северо-Западного Кавказа и Северо-Восточного Причерноморья в состав Улуса Джучи унифицировало материальную культуру и религиозные представления населения, оставившего могильник.
Цель настоящей работы – оценить палеодемографическое своеобразие населения, погребенного в могильнике Натухаевское 5 в соответствии с разными обрядами захоронения, и тем самым оценить возможную социальную (или этническую?) дифференциацию этой синхронной группы.
Археологический контекст. На данном этапе рассмотрим две генеральные совокупности погребального обряда: захоронения в каменных ящиках и в грунтовых ямах (рис. 2).
Рис. 2.
Погребальный обряд. А – каменные ящики; Б – грунтовые ямы.
Fig. 2. Funeral rite. A – stone cists; Б – pits

Каменные ящики состояли из плоских необработанных каменных плит серого известняка, поставленных на ребро, в некоторых случаях дно было вымощено небольшими плоскими камнями. Остатки верхнего перекрытия удалось проследить лишь в 10 случаях. Зафиксировано три каменных ящика (№ 18, 23, 58), особой конструкции, ориентированные по линии З–В. Они представляли собой гробницы, составленные из четырех обработанных плит белого камня (ракушечника). Для лучшей стыковки в них были выбиты пазы.
Над гробницами возведены курганные насыпи с каменной обкладкой у основания, либо огражденные по периметру вертикально поставленными каменными плитами, образующими круг или квадрат. Однако на большей части могильника насыпи были снивелированы распашкой, что затрудняет интерпретацию некоторых погребальных комплексов. Захоронения в каменных ящиках чаще всего имеют северную или западную ориентировку. Имеются комплексы, состоящие из 2–5 гробниц под одной насыпью, окруженные каменной выгородкой, нередко описанные в литературе (Сизов, 1889. С. 91, 92; Алексеева, 1959. С. 16).
Каменные ящики служили своего рода семейными склепами. В них обнаруживались останки от одного до восьми индивидов. Исключение составило погребение 15, содержавшее останки 15 индивидов, 11 из которых принадлежали детям от 3 до 11 лет. С каждым новым захоронением кости ранее умерших, как правило, сдвигали к продольной или торцевой стенке гробницы, а черепа помещали в изголовье. В погребениях найден разнообразный сопроводительный инвентарь: элементы вооружения (сабли, кинжалы), детали одежды и украшения (бусы, пуговицы, пряжки, серьги, кольца, подвески), предметы быта (ножи, кресала, оселки, ножницы), фрагменты керамических сосудов, туалетный набор (зеркало, копоушки), золотоордынские монеты (некоторые из них использовались в качестве подвески), керамические сосуды.
Обряд захоронения в каменных ящиках связывают с местным зихским населением, известным по письменным источникам с раннего средневековья. Он находит аналогии среди синхронных могильников на всей территории Северо-Западного Кавказа, Северного Причерноморья и Крыма, однако характер конструкции имеет свои территориальные особенности. Склепы из обработанных каменных плит локализуются в районе Анапа–Гостагаевска–Раевская (Алексеева, 1992; Нечипорук, 2015; Дружинина, 2016; Красильникова, 2016), а также известны на некрополях Крыма (Макарова, 1998; Майко, 2007), Таманского полуострова (Чхаидзе, 2006). Гробницы из необработанных каменных плит сконцентрированы на территории от Новороссийска до Туапсинского района (Армарчук, Малышев, 1997; Армарчук, Дмитриев, 2014).
Вторую часть могильника составляют одиночные, парные и коллективные захоронения в грунтовых ямах. Из-за уничтожения распашкой верхнего слоя могильника не удается проследить наличие или отсутствие курганной насыпи, а в некоторых случаях и контуров могильной ямы. Также сложно установить наличие впускных деревянных конструкций, так как в ямах не зафиксированы следы тлена, а гвозди, которые могли бы скреплять конструкцию, найдены лишь в трех погребениях. В большинстве случаев захоронения имели западную ориентировку и концентрировались в северо-восточной части могильника. В то же время на территории некрополя зафиксированы одиночные погребения, ориентированные по линии С–Ю, головой преимущественно на север. Костяки располагались вытянуто на спине, положение рук варьировалось: вытянуты вдоль тела, на груди, кисти на тазовых костях.
В большинстве грунтовых ям обнаружен сопроводительный инвентарь, который состоял в основном из деталей одежды, украшений, предметов обихода, реже предметов вооружения (наконечники стрел) и керамических сосудов. В двух погребениях найдены серебряные монеты. В погребении 53 в области шеи обнаружен нательный крест из медной проволоки. Неустойчивое положение рук, наличие в погребениях сопроводительного инвентаря указывают на взаимопроникновение христианских и языческих представлений (Лапшин, Лапшина, 2018. С. 257). Некоторые могильные ямы содержали остатки камней в ногах и в изголовье погребенного. Практика сооружения надмогильных столбиков, служивших ориентирами (Тешев, 1985), распространена среди населения, жившего на территории совр. Туапсинского района. Подобные конструкции известны и в некрополе Водянского городища (Лапшин, Мыськов, 2011, 2013). В дальнейшем более подробное изучение особенностей погребального обряда и сопровождающего инвентаря позволит выявить хронологические и этнокультурные особенности населения данного региона.
В результате половозрастного изучения коллекции в соответствии со стандартной методикой (Standards for data collection…, 1994) индивиды были сгруппированы по возрастным когортам от 0 до 50 лет, по 5-летним интервалам с выравниванием методом скользящей средней (программа Д.В. Богатенкова Acheron) (Алексеева и др., 2003). Исключение составляет последний открытый возрастной интервал (50+). Это обусловлено значительными методическими трудностями в определении возраста пожилых индивидов в связи с различием образа и качества жизни. Останки плохой сохранности распределены по условным возрастным интервалам (inf 1, inf 2, juv, adl).
Проанализированы останки 208 индивидов, происходившие из 82 погребений (3 погребения не содержали костный материал). В пользу репрезентативности данной выборки свидетельствует наличие ряда важных критериев, таких как представительность (208 индивидов) и узкая датировка могильника в пределах 4-5 поколений; антропологический материал достаточно равномерно распределен по территории могильника и является прообразом реальной палеодемографической ситуации (Алексеев, 1989. С. 63); сохранность материала в большинстве случаев позволяет определить пол и возраст в отрезке 5–10 лет, сравнивая кранио- и остеологические критерии, методами остеометрии, а также сопоставлением этих показателей с археологическим контекстом; детская смертность составляет более 30%, этот показатель характеризуюет модельность группы. Однако стоит принять во внимание некоторые погрешности палеодемографических данных в связи с плохой сохранностью детских костей и скелетных останков индивидов старше 50 лет.
Итак, проведенный анализ позволяет говорить, что средний возраст смерти в группе составляет 24.2 года (А), а без учета детей – 32.5 года (АА), что приближено к средним для периода средневековья показателям (Алексеева и др., 2003. Табл. 10.6 ; Балабанова и др., 2011. С. 35. Табл. 6 ; Батиева, 2019. С. 250. Табл. 5 ; Батиева, Кашибадзе, 2020. С. 97). Но по сравнению с некрополями крупных золотоордынских городищ, таких как Селитренное и Царевское (Балабанова и др., 2011. Табл. 6 ), и средневековых могильников Запада показатели среднего возраста смерти заниженные. Стоит отметить преобладание женского населения над мужским (53.5/46.5%), это соотносится с данными могильников золотоордынского времени, например на территории Нижнего Поволжья в районе дельты Волги (Балабанова и др., 2011. С. 33, 34). И, напротив, это не типичная картина для населения Волго-Ахтубинской поймы (Балабанова и др., 2011. С. 33, 34) и Приазовья (Батиева, 2019. С. 248. Табл. 1 ). Также следует обратить внимание на расхождение в показателях среднего возраста смерти мужчин и женщин в два года. Мужчины, в среднем, жили несколько дольше женщин. Высокий процент составляет детская смертность (32.7%), причем ее пик выпадает не на младенчество, как в схожих погребальных памятниках на территории Улуса Джучи (Балабанова и др., 2011. С. 30. Табл. 4 ; Батиева, 2011), а на интервал 5–9 лет.
Рассмотрим подробнее кривую смертности объединенной выборки (рис. 3). Она имеет незначительный подъем на отрезках 25–29 лет и 40‒44 года. В целом мы видим достаточно равномерное распределение смертности по возрастным когортам.
Рис. 3.
Возрастная динамика вероятности смерти (qx) общей выборки погребенных.
Fig. 3. Age dynamics of the probability of dying (qx) for the total sample of the buried

Кривые смертности мужской и женской частей палеопопуляции имеют принципиальные отличия (рис. 4). У женщин пик смертности приходится на интервал 25–29 лет и соответствует общему подъему смертности, что не типично для женского населения золотоордынских городов XIV в.
Рис. 4.
Возрастная динамика вероятности смерти (qx) у мужчин (а) и женщин (б).
Fig. 4. Age dynamics for the probability of dying (qx) in men (a) and women (б)

Низкая смертность в возрасте 15–24 года и подъем женской смертности в 25–29 лет, составляющей 26.8%, показывают картину относительно поздних родов и, соответственно, неудачное течение беременности. Следующее повышение вероятности смерти среди женщин находится на отрезке 35–39 лет. После прохождения этого пика в живых оставалось лишь 16.2% женского населения.
У мужчин смертность в интервале 25–29 лет заметно ниже, чем у женщин, а значительное повышение отмечается в интервале 40–44 года, что показывает относительное благополучие и отражает естественную убыль населения.
До интервала 50 и более лет доживает лишь 1.4% населения. Совсем иная картина наблюдается на некрополях Красноярского городища, где доля долгожителей составляет около 24% (Балабанова и др., 2011. С. 34), однако они совсем отсутствуют в могильнике Аушедз и в большей части некрополей Азака (Батиева, 2019. С. 248. Табл. 2 ; Батиева, Кашибадзе, 2020. С. 97).
Археологические данные позволяют рассмотреть характеристики двух групп по обряду захоронения – в грунтовых ямах (49) и в каменных ящиках (30). Не удалось определить вид погребального обряда трех разрушенных могил. Анализ скелетных останков, происходивших из данных погребений, присутствует только в общей статистике.
Количество погребенных в грунтовых ямах уступает количеству захороненных в каменных ящиках (91/114). Это обусловлено обрядом захоронения. В грунтовых ямах обычно находилось 1‑2 индивида, за исключением нескольких коллективных грунтовых захоронений, тогда как каменные ящики служили фамильными склепами на протяжении всего существования некрополя.
Средний возраст смерти в захоронениях в грунтовых ямах незначительно выше, чем в каменных ящиках (24.8/23.2%), за счет понижения доли детской смертности в первой группе (28.6/37%). Это подтверждает второе значение среднего возраста смерти без учета детей (АА), где показатели в обеих группах находятся в пределах 31–33 лет. Распределение детской смертности по возрастным когортам сохраняет свои пропорции в обеих группах, и пик смертности также приходится на интервал 5–9 лет (рис. 5).
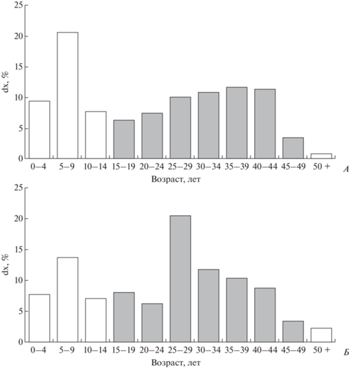
Рис. 5.
Возрастная динамика вероятности смерти (qx) двух групп населения. А – погребенные в каменных ящиках; Б – погребенные в грунтовых ямах.
Fig. 5. Age dynamics of the probability of dying (qx) of two population groups. A – those buried in stone cists; Б – those buried in pits

Половое соотношение в двух группах имеет принципиальное различие: в каменных ящиках прослеживается незначительное преобладание мужской части населения над женской (51.5/48.5%), в грунтовых ямах, напротив, наблюдается диспропорция половой структуры и преобладание женщин почти в 2 раза (38.6/61.4%).
Различие показывает пик смертности. В захоронениях в каменных ящиках смертность распределяется относительно равномерно по возрастным когортам в интервале от 15 до 44 лет, с незначительным повышением на отрезке 25–44 (рис. 5, А). В грунтовых захоронениях он приходится на интервал 25–29 лет (рис. 5, Б), что повторяет общую картину и составляет 28.8% от всей смертности в группе. Таким образом, к 30 годам умирала почти половина взрослого населения (около 49%).
Таким образом, демографические показатели захороненных в каменных ящиках отражают более благоприятные условия, воздействующие на эту часть населения, возможно, перед нами “элитная” часть группы.
Доля детской смертности погребенных в каменных ящиках значительно выше (37.7/28.6%), но при этом показатель ожидаемой продолжительности жизни в 15–19 лет незначительно превышает этот же показатель второй группы (17.9/16.7%) за счет высокой смертности взрослого населения в возрасте 25–29 лет захороненных в грунтовых ямах.
При сравнении данных двух групп женского населения можно наблюдать заметный “провал” числа умерших на кривой смертности в группе погребенных в грунтовых ямах после прохождения пика смертности в 25–29 лет (рис. 6), в то время как показатель женской смертности в группе захороненных в каменных ящиках женщин приближен к прямой и имеет незначительный подъем в интервале 30–34 года. Вероятно, женщины из второй группы избегали воздействия факторов, влияющих на крайне высокую смертность в данном интервале благодаря более высокому социальному статусу.
Рис. 6.
Возрастная динамика вероятности смерти (qx) женской серии. Условные обозначения: а – каменные ящики; б – грунтовые ямы.
Fig. 6. Age dynamics of the probability of dying (qx) for the female series

Различия наблюдаются и в мужской серии (рис. 7). Пропорциональное увеличение смертности группы в каменных ящиках на отрезке 15–44 года и пик в 40–44 года говорят об относительном благополучии этой категории населения, тогда как погребенные в грунтовых ямах равномерно распределены по возрастным когортам в интервале 25–44 года, и, возможно, были подвержены иным средовым нагрузкам.
Рис. 7.
Возрастная динамика вероятности смерти (qx) мужской серии. Условные обозначения: а – каменные ящики; б – грунтовые ямы.
Fig. 7. Age dynamics of the probability of dying (qx) for the male series

Таким образом, на территории могильника Натухаевское 5 традиция захоронения в каменных гробницах сочетает в себе черты нескольких локальных вариантов сооружения погребальной конструкции: 1) из плоских необработанных плит из дикого камня, распространенных в окрестностях Новороссийска, Геленджика и Новомихайловского, и 2) состоящих из выровненных, подтесанных плит белого камня, с выбитыми в них пазами, известных в районе Анапы–Раевской–Гостагаевской. Проведение внутригруппового анализа, возможно, позволит выявить демографические различия погребенных из двух типов конструкций. Наряду с практикой захоронения в каменных ящиках существует традиция погребения в грунтовых ямах, преимущественно с западной ориентировкой.
В ходе изучения антропологической коллекции могильника Натухаевское 5 удалось получить представления о демографической структуре данной палеопопуляции. Обобщенная выборка демонстрирует показатели среднего возраста смерти, что в целом можно охарактеризовать как нахождение в достаточно благоприятных жизненных условиях. Однако для предоставления более убедительных выводов следует рассматривать полученные данные в совокупности с показателями физиологического стресса.
Низкая женская смертность в возрасте до 25 лет демонстрирует, вероятно, высокий социальной статус женщины. Дальнейшее комплексное исследование поможет получить более полное представление о данной группе населения. Пик детской смертности в обеих группах приходится на интервал 5–9 лет, что может быть обусловлено несколькими причинами: во-первых, неполнотой выборки, во-вторых, плохой сохранностью младенческих костей, в-третьих, изменениями рациона и связанными с ним заболеваниями либо иными обстоятельствами.
В заключение подведем итоги исследования. Установлено наличие демографической разницы двух групп населения, которые прежде всего отличаются соотношением полов. В выборке погребенных в каменных ящиках наблюдается незначительный перевес мужской части популяции над женской, тогда как группа погребенных в грунтовых ямах демонстрирует заметное преобладание женского населения. Среди населения из захоронений в грунтовых ямах пик смертности приходится на возрастной интервал 25–29 лет и составляет 48.2% всей смертности, тогда как смертность в группе погребенных в каменных ящиках возрастала равномерно по мере взросления и старения. Вопрос о наличии специфических факторов, воздействовавших на взрослое, в том числе мужское население в возрасте 25–29 лет, можно будет исследовать в дальнейшем при анализе частоты патологий в этих группах.
Стоит отметить, что такое различие демографических показателей двух групп может свидетельствовать о существовании социальной стратификации исследуемой палеопопуляции либо за этим скрываются этнические различия. Дальнейшее изучение скелетных останков разными методами антропологического анализа при корреляции полученных данных с археологическим контекстом позволит получить целостное представление об этнокультурных, экономических и социальных особенностях населения данной палеопопуляции.
Автор выражает глубокую благодарность А.В. Бонину за возможность исследовать материалы раскопок из могильника Натухаевское 5.
Список литературы
Алексеев В.П. Палеодемография: содержание и результаты // Историческая демография: проблемы, суждения, задачи / Ред. Ю.А. Поляков. М.: Наука, 1989. С. 63–90.
Алексеева Е.П. Очерки по истории черкесов в XIV–XV вв. // Труды Карачаево-Черкесского научно-исследовательского института истории, языка и литературы. Вып. III. Черкесск, 1959. С. 3–82.
Алексеева Е.П. Археологические памятники Карачаево-Черкесии. М.: Восточная литература, 1992. 216 с.
Алексеева Т.И., Богатенков Д.В., Лебединская Г.В. Влахи. Антропо-экологическое исследование (по материалам средневекового некрополя Мистихали). М.: Научный мир, 2003. 132 с.
Армарчук Е.А., Дмитриев А.В. Цемдолинский курганно-грунтовый могильник. М.: ИА РАН; СПб.: Нестор-История, 2014. 132 с.
Армарчук Е.А., Малышев А.А. Средневековый могильник в Цемесской долине // Историко-археологический альманах. Вып. 3. Армавир; М.: Армавирский краевед. музей, 1997. С. 92–114.
Балабанова М.А., Перерва Е.В., Зубарева Е.Г. Антропология Красноярского городища золотоордынского времени. Волгоград: Волгоградская акад. гос. службы, 2011. 180 с.
Батиева Е.Ф. Антропологические материалы из могильника XIII–XIV века средневекового поселения “Жукова” (Краснодарский край, х. Кубанская колонка) // Вестник антропологии. 2011. Вып. 19. С. 161–168.
Батиева Е.Ф. Демографический профиль отдельных групп населения Азака XIII–XIV веков н.э. // Азак и мир вокруг него: материалы Междунар. науч. конф. (14–18 октября 2019 г., г. Азов) / Отв. ред. Е.Е. Мамичев. Азов: Изд-во Азовского музея-заповедника, 2019 (Донские древности; вып. 12). С. 246–253.
Батиева Е.Ф., Кашибадзе В.Ф. К антропологии средневекового населения Северо-Западного Кавказа (по материалам могильника Аушедз) // В поисках наследственной изменчивости: сб. ст. в честь 90-летия Генриэтты Леонидовны Хить. СПб.: Нестор-История, 2020. С. 96–116.
Бонин А.В. Отчет об охранно-спасательных археологических работах 2013 г. на могильнике Натухаевское 5 в г-г. Новороссийск Краснодарского края // Архив Института археологии РАН. № 38617.
Бонин А.В. Отчет об охранно-спасательных археологических работах 2014 г. на могильнике Натухаевское 5 в г-г. Новороссийск Краснодарского края в 2014 г. // Архив Института археологии РАН. № 32081.
Бонин А.В. Охранно-спасательные работы 2010–2013 гг. в Анапе, Новороссийске и Крымском районе Краснодарского края // Археологические открытия 2010–2013 годов / Отв. ред. Н.В. Лопатин. М.: ИА РАН, 2015. С. 323–325.
Дружинина И.А. Нижнее Закубанье в XIII–XIV вв.: на границе культур и природных зон // Диалог городской и степной культур на евразийском пространстве. Историческая география Золотой Орды: материалы Седьмой междунар. конф., посвящ. памяти Г.А. Федорова-Давыдова (8–12 ноября, 2016 г.). Казань; Ялта; Кишинев: Stratum Plus, 2016. С. 215–218.
Дружинина И.А., Медникова М.Б. Между Крымом, Кавказом и степью: население степного левобережья Кубани в XIV в. (по материалам археологического и антропологического изучения грунтовых могильников) // Вестник Московского университета. Серия 23: Антропология. 2019. С. 104–116.
Красильникова Л.И. Отчет об охранных археологических раскопках на территории выявленного объекта археологического наследия “Поселение Псебепс-3” в Крымском районе Краснодарского края в 2016 г. // Архив Института археологии РАН. № 54191.
Лапшин А.С., Лапшина И.Ю. Христианское кладбище на Водянском городище и предметы христианского культа // Археология евразийских степей. 2018. № 4. С. 255–259.
Лапшин А.С., Мыськов Е.П. Исследования на Водянском городище в 2009–2010 гг. Волгоград: Царицынская полиграф. компания, 2011. 174 с.
Лапшин А.С., Мыськов Е.П. Исследования на Водянском городище в 2011–2012 гг. М.: Перо, 2013. 216 с.
Майко В.В. Средневековые некрополи Судакской долины. Киев: Академпериодика, 2007. 273 с.
Макарова Т.И. Археологические раскопки в Керчи около церкви Иоанна Предтечи // Материалы по археологии, истории и этнографии Таврии. Вып. VI / Отв. ред. А.И. Айбабин. Симферополь: Таврия, 1998. С. 344–393.
Нечипорук А.А. Работы 2010 года на поселениях Жукова, Фурожан 2 и Псиф 3 в Крымском районе Краснодарского края // Археологические открытия 2010–2013 гг. / Отв. ред. Н.В. Лопатин. М.: ИА РАН, 2015. С. 407.
Сизов В.И. Восточное побережье Черного моря. Археологические экскурсии. М.: Тип. А.И. Мамонтова, 1889 (Материалы по археологии Кавказа; вып. II). 183 с.
Тешев М.К. Адыгские погребальные сооружения в развитом и позднем средневековье в Туапсинском районе и на черноморском побережье Западного Кавказа // Вопросы археологии Адыгеи / Отв. ред. Н.В. Анфимов. Майкоп: Адыгейский науч.-исслед. ин-т экономики, языка, литературы и истории, 1985. С. 142–165.
Чхаидзе В.Н. Средневековые погребения в каменных ящиках на Таманском полуострове // Материалы и исследования по археологии Поволжья. Вып. 3. Средневековая археология евразийских степей. М.; Йошкар-Ола: Марийский гос. ун-т, 2006. С. 53–86.
Standards for data collection from human skeletal remains / Eds. J. Buikstra, D. Ubelaker. Fayetteville, 1994 (Arkansas Archaeological Survey Research; no. 44). 206 p.
Дополнительные материалы отсутствуют.
Инструменты
Российская археология


