Российская археология, 2022, № 4, стр. 146-161
Культовые места центрального Дагестана на вершинах гор Зуберха и Берак
М. А. Бакушев 1, *, А. С. Афонин 2, Ю. А. Салова 2, **, А. В. Борисов 3, ***
1 ООО “Археологическое общество Кубани”
Ростов-на-Дону, Россия
2 Тюменский научный центр СО РАН
Тюмень, Россия
3 Институт физико-химических и биологических проблем почвоведения РАН
Пущино, Россия
* E-mail: bakart@mail.ru
** E-mail: yadviga13@yandex.ru
*** E-mail: a.v.borisovv@gmail.com
Поступила в редакцию 04.03.2022
После доработки 24.04.2022
Принята к публикации 14.06.2022
- EDN: MDGLYZ
- DOI: 10.31857/S0869606322040043
Аннотация
В изучении доисламских верований Дагестана актуальной является тема культовых мест на вершинах или склонах гор. Для раскрытия сути религиозных обрядов были проведены исследования на вершинах гор Зуберха и Берак. С культового места на горе Зуберха получены предметы, а также взяты на анализ образцы, которые позволили датировать памятник, а также восстановить характер и аспекты ритуальных действий. Памятник на горе Берак был полностью раскопан в 1938 г., однако полученные новые данные позволили по-новому взглянуть на хронологию и характер ритуальных действий на вершине этой горы. Два культовых места, относящиеся к разному времени и расположенные далеко друг от друга, показали как различия, так и общие черты. В статье прослеживается трансформация аспектов ритуальных действий на протяжении более чем полутора тысячелетий и, в то же время, констатируется устойчивость базовых религиозных воззрений, существовавших до появления здесь ислама.
Культовые места горного Дагестана являются одной из малоизученных категорий памятников Кавказа ввиду их незначительных размеров и сложности выявления. Зачастую их находят при строительных работах или установке геодезических пунктов, и не всегда материалы этих памятников в полном объеме доходят до специалистов, которые получают лишь отрывочные сведения. При этом реконструкция доисламских верований народов Дагестана является одной из крупных проблем в археологии Восточного Кавказа. На сегодняшний день в Дагестане известно несколько десятков культовых мест, на которых проводились религиозные церемонии, но археологическому изучению подверглись лишь три из них, и в том числе на вершинах гор Зуберха и Берак (еще одно святилище иного типа, расположенное у подножия горы, исследовал в 1977 г. О.М. Давудов (Давудов, 1977).
На культовом месте на горе Зуберха раскопки были проведены в 1882 г. Д.Н. Анучиным, который получил информацию, что при установке геодезического знака было замечено, что на всей площади снятия дерна попадается много костей животных. По описанию автора раскопок, первый день работы принес, помимо костей животных (быков, овец, коз и лошадей), среди которых преобладали зубы и рога, также обломки черепов, несколько бронзовых вещей: привески в виде голов оленей и быков, “спиральные колечки, браслеты, железные пуговицы и т.п.”. Окружающий кости слой состоял из чернозема, сменяющегося местами массами золы и угля. Так как кости стали попадаться реже, а находки вещей прекратились, во второй день раскопок было принято решение закончить работы. Д.Н. Анучиным был сделан вывод, что “по-видимому, на этом месте совершались какие-то пиршества или жертвоприношения, а кости и рога бросались по скату площадки” (Анучин, 1884. С. 88, 89). “У местных жителей не сохранилось никаких преданий о каких-нибудь сборищах или пиршествах на вершине Зуберхи… в массе костей не оказалось вовсе остатков свиньи, что указывает, как будто, на не особо большую древность” (С. 89).
На горе Берак культовое место было выявлено при схожих обстоятельствах: в 1937 г. при установке топографического знака, были обнаружены бронзовые статуэтки человека и козла (Круглов, 1946. С. 32).
В том же году Северо-Кавказской экспедицией здесь был заложен раскоп площадью пять м2, в котором были найдены фигурка человека, железное навершие в форме трезубца, точильный камень и несколько фрагментов костей животных. В 1938 г. под руководством А.П. Круглова на культовом месте был разбит раскоп площадью около 50 м2. Раскопки показали, что гумусный слой у вершины был сильно насыщен углем; здесь же концентрировались и находки вещей. В ходе работ было найдены три бронзовые статуэтки человека, фигурка козла, три железных навершия в форме трезубца, обломки пяти таких же наверший, трехгранный наконечник железной стрелы и обломок точильного камня (Артамонов, 1939. С. 9–13; Круглов, 1946. С. 32–35). Автор раскопок датировал культовое место, на основании сравнительного анализа с материалами Казбекского клада, серединой I тыс. до н. э. (Круглов, 1946. С. 37, 38).
Ввиду скудности информации о культовых местах, для получения дополнительных сведений было решено провести дополнительные исследования на культовых местах на вершинах гор Зуберха и Берак (рис. 1, I). Выбор этих мест определялся тем, что по информации авторов раскопок они относились к разным эпохам с разнохарактерными находками, а также тем, что места их расположений были приблизительно известны и на них был зафиксирован насыщенный органикой слой. Это давало возможность проведения датирования и выполнения комплекса геохимических и палеоботанических исследований, в отличие от других культовых мест, где не было обнаружено органического слоя, и представляющих собой лишь случайные находки бронзовых статуэток или иных предметов.
Рис. 1.
Местоположение культовых мест на вершинах гор Зуберха и Берак: I – на карте южной части Республики Дагестан (1 – Зуберха, 2 – Берак); II – местоположение культового места на горе Зуберха на рельефной схеме.
Fig. 1. The location of cult sites on the tops of the mountains Zuberkha and Berak

Культовое место на горе Зуберха расположено на самой высокой точке горы, на вершине крупного конусовидного холма, на высоте 2346 м над уровнем моря (рис. 1, II; 2, I). Культовое место представляет собой площадку размерами 32 × 9 м, вытянутую вдоль обрыва с ЮЗ на СВ (рис. 2, II). В юго-западной части располагается небольшой холм, на котором в 1882 г. и был установлен геодезический знак. В северо-восточном направлении от холма идет понижение рельефа, которое заканчивается другим холмом меньшей высоты. По всей видимости, само культовое место первоначально располагалось на юго-западном холме и вокруг него, но впоследствии грунт перемещался вследствие эрозионных процессов. В юго-восточном направлении от памятника находится довольно покатый склон горы; с северо-запада культовое место ограничивается крутым обрывом. Сейчас на вершине находятся вышки мобильной связи. Для их установки была произведена срезка грунта, которая повредила памятник. Поиски подъемного материала в отвалах срезки позволили собрать коллекцию разнообразных предметов, в которую вошли керамика, бронзовые, железные, каменные и костяное изделия11.
Рис. 2.
Культовое место на горе Зуберха. Вид с востока (I) и юго-запада (II).
Fig. 2. The cult site on Mount Zuberkha. Views from the east (I) and southwest (II)

Керамика представлена фрагментами коричневоглиняных сосудов, из которых наибольший интерес представляют фрагменты венчиков и части плечиков слаболощенного горшка (рис. 3, I, 1, 2) и фрагмента придонной части миски (рис. 3, I, 3).
Рис. 3.
Подъемный материал с культового места на горе Зуберха: I – рисунки: 1–3 – керамика, 4, 6–11, 13–15, 17–19, 20–22 – бронза, 5 – кость, 12, 16 – железо, 23 – бронза, железо, 24 – камень. II – фото: 1–7 – кремень, 8–16 – бронза.
Fig. 3. Surface material from the cult site on Mount Zuberkha

Наиболее многочисленными являются предметы из бронзы, основная масса которых – это полусферические литые колпачки (уздечные бляхи?) с дужкой-петлей с обратной стороны (рис. 3, I, 8–11, 13, 14). Среди них выделяется одна с тремя рядами выпуклых черточек по периметру, образующих подобие веревочного орнамента (рис. 3, I, 15). У этого изделия центральная лицевая часть конусовидная, выступающая над краями. Другой тип бронзовых элементов узды представлен небольшой конусовидной литой бляшкой, у которой с обратной стороны имеется перекладина для крепления, не выступающая за нижние края изделия (рис. 3, I, 6). Вероятно, к конскому снаряжению относится конусовидное изделие с выступом в верхней части со сквозным отверстием, от которого с наружной стороны расходятся расширяющиеся к краям железные вставки (рис. 3, I, 23).
К украшениям можно отнести фрагменты бронзовых проволочных браслетов из круглой в сечении проволоки (рис. 3, I, 20, 21), фрагмент пластинчатого браслета, с завитком для крепления на конце, украшенного рядами точечных вдавлений, образующих орнамент (рис. 3, I, 22), а также кольцо, изготовленное из тонкой бронзовой пластинки (рис. 3, I, 17). Не исключено, что фрагментированность браслетов указывает на их преднамеренную порчу.
Предметом утилитарного предназначения из бронзы следует считать сплющенную обкладку, по всей видимости, деревянного изделия, изготовленной из ленты с заходящими друг на друга концами (рис. 3, I, 7).
Еще один предмет представляет собой кованную пластинку с закругленными концами, один из которых загнут (рис. 3, I, 19).
Железных изделий два – это полусферический колпачок с отверстием в центре (рис. 3, I, 12) и фрагмент ленточной обкладки, изготовленной из тонкой пластины (рис. 3, I, 16).
Из каменных изделий надо отметить пест из речной гальки (рис. 3, I, 24). Наиболее многочисленными являются находки светло-коричневых кремневых сколов (рис. 3, II, 1–7). Чаще всего они имеют более широкий проксимальный и более тонкий дистальный концы с покатой спинкой. Часть сколов была обожжена в огне и приобрела темно-серый цвет.
На северо-западном склоне, под культовым местом, помимо отдельных бронзовых и керамических изделий было найдено девять фрагментов аморфных расплавов бронзы (рис. 3, II, 8–16). Расплавы имели размеры от 1.2 × 0.7 до 8.5 × 5.6 см.
Костяной предмет один – это небольшой цилиндр-трубочка (бусина?) из кости животного длиной 2 см. Центральное сквозное отверстие не сверлилось, а являлось естественным (рис. 3, I, 5). К.Ф. Смирнов считал такие трубочки частями колчанов (Смирнов, 1964. С. 26). Также среди грунтовых отвалов были обнаружены фрагмент черепа с рогом быка, два зуба лошади (верхняя и нижняя челюсти), левый рог и фрагмент черепа барана. Большая часть обожженных костей до вида определена не была ввиду значительной фрагментарности.
Шурфовочные работы позволили определить границы культового места, а также получить данные по его стратиграфии (рис. 4, I, 1). Основанием пачки слоев служит плотная известняковая крошка. Ее верхняя граница неровная, в бортах были зафиксированы языки гумусированного суглинка в материке. Выше слоя крошки располагается слой коричневого суглинка с большим количеством древесных угольков, золы, костей животных. Этот слой перекрыт коричневым суглинком, в котором находок костей и угольков значительно меньше. Вышележащий слой (гумусовый горизонт современной почвы) образовался после прекращения использования культового места и находки в нем отдельных угольков, золы и мелких костей животных являются результатом эрозионных процессов и деятельности грызунов.
Рис. 4.
Материалы шурфов культового места на горе Зуберха (I: 1 – южный борт шурфа у юго-западного холма (а – коричневый суглинок, б – коричневый суглинок с золой, угольками и костями, в – скальная крошка, г – камни); 2–4 – находки из шурфа 1; 5–10 – находки из шурфа 3 (5 – фото, остальные – рисунки); 2–4, 10 – керамика, 5 – яшма, 6, 8, 9 – бронза, 7 – серебро) и местоположение культового места на горе Берак на рельефной схеме (II).
Fig. 4. Materials from test pits of the cult site on Mount Zuberkha (I) and the location of the cult site on Mount Berak on the relief diagram (II)

В шурфе у юго-западного холма – наиболее высокой точки культового места, – в слое коричневого суглинка с большим содержанием золы и костей животных были найдены несколько керамических фрагментов и неполный развал сосуда (рис. 4, I, 2–4). Из них наибольший интерес представляют фрагмент плечика коричнево-сероглиняного сосуда с валиком с ногтевыми вдавлениями (рис. 4, I, 3) и неполный развал черноглиняного лепного сосуда баночной формы (рис. 4, I, 4). Здесь же были найдены несколько невыразительных фрагментов с глиняной обмазкой внешней поверхности. Отметим, что в этом шурфе не было металлических предметов, но в большом количестве встречались кости животных22, из которых 38 костей принадлежали лошади (фрагменты челюстей и зубы), восемь костей – быку (фрагмент черепа и зубы), восемь костей – овце (фрагменты черепа, таранная кость, локтевая кость), овце или козе принадлежали семь костей (фрагменты черепа, трубчатые кости, фаланга), десять костей относились к козе (рога, таранная, фаланга); также здесь было найдено два зуба благородного оленя.
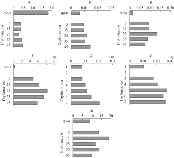
В шурфе была взята колонка проб грунта с шагом в 10 см. Позже, в ЦКП ИФХиБПП РАН, было проведено исследование макро- и микроэлементного состава почв и рассчитан ряд геохимических показателей, позволяющих судить об особенностях формирования культурного слоя. Так, в частности, коэффициент выветривания (Al2О3/(СаО + Na2O + K2O + MgO)), показывает отношение слабо подверженных выветриванию алюмосиликатов к менее устойчивым соединениям Ca, Na, K, Mg (Retallack, 2001, 2003). В условиях горной зоны этот коэффициент отражает накопление материала разной степени выветрелости и может служить показателем стабильности условий почвообразования. В слое на горе Зуберха этот показатель довольно низкий, что может указывать на поступление нового слабо выветрелого материала (рис. 5, А). Это же наблюдение подтверждает динамика профильного изменения коэффициента однородности (Zr/TiO2). Этот показатель рассчитывается как отношение устойчивого к выветриванию Zr к более подвижному в щелочной среде Ti (Касимов, 1988; Retallack, 2001; Hutton, 1977). Высокие значения этого показателя в культурном слое указывают высокую скорость поступления нового органо-минерального субстрата (рис. 5, Б). Что касается коэффициента биологической активности, то и здесь можно наблюдать довольно высокие значения этого показателя в слое на горе Зуберха (рис. 5, В), что говорит о больших объемах органических материалов, поступавших в почву, в период существования памятника. Особое внимание следует обратить на чрезвычайно высокое содержание фосфатов. В нижних слоях в шурфе содержание Р2О5 превышает 8% при среднем содержании в почве на уровне 0.2–0.3% (рис. 5, Г). По результатам исследований было отмечено значительное количество серы и цинка (рис. 5, Д, Е), а также довольно высокая численность сапротрофных бактерий (рис. 5, Ж). Этот показатель используется в санитарной микробиологии как индикатор микробного загрязнения почв (Мишустин, Перцовская, Горбов, 1979; Лысак и др., 2000).
Рис. 5.
Культовое место на горе Зуберха. Результаты химико-биологического исследования грунта: А – коэффициент выветривания (Al2О3/(СаО + Na2O + K2O + MgO)); Б – коэффициент биологической активности (MnO/Al2O3); В – коэффициент однородности (Zr/TiO2); Г – содержание фосфора; Д – содержание серы; Е – содержание цинка; Ж – численность сапротрофных бактерий.
Fig. 5. The cult site on Mount Zuberkha. Results of chemical and biological investigation of the soil

Исследование макроостатков показало, что материал культурного слоя Зуберха содержит многочисленные крупные фрагменты угля размером 4–12 мм, без признаков окатанности и переотложения. Угли хвойных пород деревьев составили 30%, из них сосна (Pinus sp.) – 24%, можжевельник (Juniperus sp.) – 6%. Угли лиственных древесных пород составляют 60% от всего угольного пула и представлены в основном березой (Betula sp.), кленом (Acer sp.), ясенем (Fraxinus sp.) и дубом (Quercus sp.). Так же в спектре присутствуют кора и карбонизированная органика.
Весьма показательно полное отсутствие остатков карбонизированных семян культурных растений: были обнаружены лишь шесть плохо сохранившихся семянок дикоросов (1 плод Polygonaceae и 5 целых неидентифицированных семян). В целом насыщенность слоя макроботаническими остатками очень низкая (0.6 остатков на литр грунта).
Шурф в северо-восточной части культового места у невысокого холма, являющегося северо-восточной границей памятника, дал несколько иную картину культурных напластований и находок. Имея незначительную глубину, культурные напластования здесь не содержали зольного слоя, что еще раз показывает на использование для разжигания костров лишь наиболее возвышенной части. Керамические фрагменты с этого участка представлены лишь светло-коричневоглиняными кружальными сосудами, один из которых представляет собой отогнутый наружу венчик кувшина (рис. 4, I, 10). Изделия из бронзы показательны: это подвеска в виде спирали, изготовленная из круглой в сечении проволоки (рис. 4, I, 6), кольцо с утолщенным щитком (рис. 4, I, 8), полусферическая уздечная бляха с петлей для крепления, украшенная по краю двумя рядами косых коротких выступов, образующих веревочный орнамент (рис. 4, I, 9). Здесь же были найдены фрагмент серебряной пластины с завернутым краем (рис. 4, I, 7) и бусина из сердолика (рис. 4, I, 5). Кости животных менее многочисленны: лопаточная кость и зуб быка, берцовая кость, резец и нижняя челюсть овцы или козы, 12 таранных костей овцы (левых наг самок – 5, правых ног самок – 2, правых ног самцов – 5), таранная кость козы. Надо отметить, что все определенные кости (в первую очередь зубы, кости челюстей, рога и таранные кости) не имели следов пребывания в огне, в то время как на поверхности было зафиксировано большое количество мелких обожженных трубчатых костей. В шурфе было найдено три фрагмента каспийских раковин рода Didacna. Наиболее вероятно, что они были специально принесены сюда, так как их поверхности чистые, без следов пребывания в массиве скалы; кроме того, скальные породы сложены нижнемеловыми отложениями, а первые моллюски рода Didacna появились в гурийском бассейне в конце плиоцена и лишь потом попали в Каспийское море (Янина, 2008. С. 94).
Культовое место на горе Берак (или Берек на каратинском языке) находится на одиноко стоящей вершине на высоте 2396 м над уровнем моря (рис. 4, II). Культовое место имело размеры 10 × 7 м, располагалось на вершине и частично на северном склоне наиболее возвышенной точки (рис. 6). С северной стороны расположен довольно крутой склон к селению Карата, а с южной – незначительный выступ, после которого идет отвесный обрыв в ущелье, на дне которого располагается село Тлибишо. В западном направлении культовое место ограничено крутым спуском в прогиб на хребте, после которого начинается подъем на следующую вершину – Купай; такое же понижение имеется и с восточной стороны, по направлению к вершине Чанкат.
Рис. 6.
Культовое место на горе Берак. Вид с северо-запада (I) и северо-востока (II).
Fig. 6. A cult site on Mount Berak. View from the northwest (I) and northeast (II)

Тщательный осмотр культового места и прилегающих склонов позволил собрать немногочисленный подъемный материал. Здесь наибольший интерес представляет бронзовая полусферическая литая уздечная бляшка(?) с перекладиной-петлей для крепления с обратной стороны, орнаментированная точечным орнаментом по краю в один ряд (рис. 7, 8). Еще две находки изготовлены из железа: это кованный гвоздь (рис. 7, 9), вероятно, для крепления подковы и квадратный в сечении заостренный предмет – шило или острый конец гвоздя (рис. 7, 10).
Рис. 7.
Культовое место на горе Берак. Находки: 1–7 – находки А.П. Круглова 1937–1938 гг. (1–4 – по: Круглов, 1946. С. 31; 5–7 – по: Брилева, 2012. Илл. 8, 269; 8–10 – находки М.А. Бакушева 2021 г. (1–3, 9, 10 – железо, 7, 8 – бронза).
Fig. 7. The cult site on Mount Berak. Finds

Заложенные на вершине и на склоне горы шурфы дали незначительный материал, состоящий из отдельных угольков, мелких фрагментов обожженных костей животных.
Макроботанический анализ грунта культового места Берак показал, что он содержит многочисленные фрагменты древесного угля размером 5–17 мм, две трети из которых частично покрыты золистой коркой и окатаны, треть – не содержат признаков переотложенности. Состав углей существенно отличался от культового места Зуберха. Здесь доля углей хвойных пород деревьев была в три раза выше и достигала 88%, сосны (Pinus sp.) – 60%, можжевельника (Juniperus sp.) – 24%. Некарбонизированые фрагменты древесины хвойных составляют 5% от пула. Угли лиственных древесных пород немногочисленные, составляют 12% и представлены исключительно березой (Betula sp.).
В образце присутствует значительное количество раковин Brephulopsis cylindrica и Helicopsis instabilis, которые приспособлены к жизни на открытых сухих участках, сильно прогреваемых солнцем. Совершенно иная ситуация, по сравнению с Зуберхой, была выявлена по данным карпологического анализа. В культурном слое Берака были обнаружены многочисленные обугленные и эродированные зерновки культурных злаков. В общей сложности обнаружено 13 целых и 10 фрагментов зерновок, по морфологическим характеристикам соответствующих ячменю (Hordeum vulgare L.). Данные зерновки, удлиненно-эллиптические заостренные к обоим концам, имели размер 5.0–6.5 × 3.0–3.8 мм, спинку и брюшко немного уплощенные, с бороздкой на брюшной стороне. Также обнаружено 59 фрагментов зерновок культурных злаков, без характерных идентификационных признаков. Насыщенность слоя культового места на горе Берак составила 8.3 остатков культурных злаков на литр грунта.
Оба культовых места приурочены к высотным отметкам, на которых не растет лес, поэтому обильная встречаемость фрагментов угля связана исключительно с принесенной на культовые места древесиной. Примечательно, что в составе угля Берак встречаются только породы, встречающиеся в редколесьях на верхней границе леса и на северных склонах (сосна, береза, можжевельник). Вследствие многократного использования площадки в состав антракомассы вошел окатанный и переотложенный уголь как от более ранних эпизодов горения, так и более поздний.
На горе Зуберха, кроме угля хвойных пород деревьев, в большом количестве обнаружены угли и широколиственных пород, произрастающих в древности и в настоящее время на значительном удалении, на высотах до 1000 м над уровнем моря. Таким образом, можно сделать вывод, что древесина заготавливалась и доставлялась целенаправленно издалека.
Для определения хронологии культового места на горе Зуберха была датирована таранная кость овцы, найденная в шурфе в северо-восточной части памятника. Датирование проводилось методом AMS в Центре прикладных изотопных исследований Университета штата Джоржия (США). Дата этой кости 651–544 calBC (58.3%) (UGAMS 55613).
Также получена дата по коллагену костей животных из шурфа вблизи юго-западной возвышенности культового места на горе Зуберха. Датирование проводилось сцинтилляционным методом в радиоуглеродной лаборатории Института геохимии окружающей среды, г. Киев (Украина). Получена дата 236–43 calBC (68.8%) (Ki-20323).
Не исключено, что эти две даты (рубеж VII/VI вв. до н. э. и III–I вв. до н.э.) показывают хронологический диапазон использования культового места. При этом надо отметить, что при дополнительных исследованиях не исключено, что нижняя дата может быть пересмотрена в сторону удревнения, тогда так верхняя указывает на период, когда в горах исчезают практически все поселения и население мигрирует в предгорья вследствие изменения климата (Гаджиев и др., 2020).
В вещевом наборе с культового места нет предметов, выбивающихся из предложенных временных рамок. Так, уздечная бляха с орнаментацией в виде двух рядов веревочного орнамента по краю (рис. 3, I, 15) была найдена в погребении 5 Хабадинского могильника, датируемом V в. до н.э. (Котович, Давудов, 1966. С. 66) и в материалах Берикейского могильника, который в целом датируется VII–IV вв. до н.э. (Абакаров, Давудов, 1993. С. 62. Рис. 22, 44). Неорнаментированные уздечные бляхи (рис. 3, I, 8–11, 13) датируются довольно широко, но время их бытования также укладывается в рамки хронологического диапазона культового места. Бронзовые браслеты, изготовленные из круглой в сечении проволоки (рис. 3, I, 20, 21), находят аналогии в поздних материалах Хабадинского могильника, датируемого IV–II вв. до н. э. (Пикуль, 1967. С. 151). Керамические формы, налепные валики с ногтевыми насечками, обмазка внешней поверхности глиной также характерны, например, для Макинского поселения, датируемого XII–V вв. до н. э. (Пикуль, 1967. С. 85–88).
В окрестностях горы Зуберхи сейчас нет известных поселений, относящихся к указанному периоду, поэтому связать культовое место с конкретным бытовым памятником в настоящее время невозможно. Холм, на вершине которого располагается культовое место, наиболее отчетливо виден с ЮЗ, с долины реки Эхеб (рис. 2, I). Можно предположить, что поселение располагалось на одной из террас этой реки.
Хронология культового места на горе Берак долгие годы, со ссылкой на А.П. Круглова, определялась рамками середины I тыс. до н. э. (Круглов, 1946. С. 37, 38; Давудов, 1974. С. 87). В 1997 г. М.С. Гаджиев передатировал вещи с культового места на горе Берак эпохой раннего средневековья (VI–IX вв.) на основании датировки трехгранного наконечника стрелы (рис. 7, 1) и стилистических особенностей одной из статуэток, роднящей ее с раннесредневековой статуэткой из Химоя (Гаджиев, 1997. С. 226). Найденная нами на юго-восточном склоне у вершины горы Берак уздечная бляха с точечным орнаментом на краю (рис. 7, 8) имеет близкое стилистическое сходство с бляхами из Мекалинского могильника I, которые были найдены вместе с пряжкой бежтинского типа, четырехгранным ромбовидным в сечении наконечником стрелы и удлиненно ромбовидным в сечении наконечником с пером с закругленным концом (Сагитова, 2016. С. 30), что позволяет подтвердить датировку культового места эпохой раннего средневековья – VII–IX вв. н.э.
Для определения хронологии культового места на горе Берак был датирован уголь из шурфа у вершины культового места. Датирование проводилось методом AMS в Центре прикладных изотопных исследований Университета штата Джоржия (США). Дата этой кости 1424–1460 calAD (95.4%) (UGAMS 55612). Не исключено, что к этому времени могут относиться гвоздь и железный острый четырехгранный предмет, найденные на вершине горы Берак (рис. 7, 9, 10). Сейчас невозможно на основании этих незначительных данных говорить о том, что культовое место использовалось столь долгое время (с VI–IX по XV в.). Не в пользу этого говорят размеры памятника. Можно лишь предположить, что до утверждения ислама на этой территории место могло использоваться эпизодически, от случая к случаю, что было зафиксировано, например, на культовом месте у горы Кидилишавни, где последние обряды (зикр) мужчины проводили в 1943 г. (Сагитова, 2016. С. 20).
Полученные в ходе работ данные уже позволяют в некоторой степени воссоздать характер ритуальных действий. На культовом месте, на горе Зуберха довольно значительное количество кремневых отщепов характерной формы, вероятнее всего, использовалось для разжигания огня. Их количество предполагает многократное использование культового места. Некоторые кремневые отщепы имели следы пребывания в огне. Полагаем, что после разжигания ритуального огня кремень не забирался назад, а оставлялся здесь же, так как, видимо, по мнению древних, его нельзя было использовать для розжига бытового огня, не обладающего священной природой.
Вероятнее всего, зола и угли являются основным источником поступления фосфатов в слой, однако, большое содержание серы и цинка, которые в незначительных количествах присутствуют в древесине, но содержатся в продуктах белковой и липидной природы, показывают, что, после разжигания крупного костра, по всей видимости, в него бросалась жертвенная пища. Сера входит в состав жиров, мышечной ткани, является компонентом структурного белка коллагена и присутствует в коже, хрящах, ногтях, волосах. Цинк является кофактором большой группы ферментов белкового метаболизма и его наибольшее содержание в мышцах, печени, жировой ткани (Химический состав…, 2002).
Мы склонны предполагать, что повышенное содержание серы и цинка может объясняться попаданием в почву, путем сжигания частей туш животных, на что, в том числе, указывают многочисленные фрагменты обгоревших трубчатых костей, не поддающихся видовому определению, которые входят в состав слоя с древесными угольками и золой.
В то же время кости несъедобных частей животных, такие как зубы, рога, а также кости, игравшие особую роль в ритуальной практике (таранные, лопаточные, кости черепов), были найдены в подавляющем количестве не обгоревшие, что говорит о размещении их здесь уже после прекращения горения или при неизвестном пока обряде без разжигания костра. Помимо визуального анализа, на это также указывает большая численность сапротрофных бактерий, которые в санитарной микробиологии почв являются одним из основных показателей для оценки степени биологического загрязнения окружающей среды (Мишустин, 1950). Существенное возрастание этой группы микроорганизмов происходит при поступлении в почву различных органических материалов, связанных с деятельностью человека (Мишустин и др. ,1979; Лысак и др., 2000).
Схожая картина была зафиксирована при раскопках культового места на горе Берак, где помимо мелких обгоревших трубчатых костей животных, в слое грунта с большим содержанием золы и угольков были найдены также необожженные кости, из которых основную массу составляли зубы, таранные кости и фаланги (Круглов, 1946. С. 35).
Среди остеологического материала Зуберхи обращает на себя внимание большое количество зубов лошадей, иногда с фрагментами челюстей (найдены зубы не менее чем от трех особей), быков и оленей. В погребениях, относящихся к рубежу эр на территории Дагестана, зубы лошади в редких случаях использовались в качестве амулетов (Андрейаульский грунтовый и Карабудахкентской I могильники) наряду с зубами оленей (Таркинский могильник), что этнографически уже не зафиксировано (Бакушев, 2010. С. 73). Зубы мелкого рогатого скота найдены в меньших количествах; здесь преобладают таранные кости, кости черепов и рога, единичные трубчатые кости. На культовом месте были найдены кости быков (коров), овец, коз, лошадей, оленей, что, вероятно, отражает состав стада и определяет второстепенную роль охоты в мясном рационе древнего населения, проводившего ритуальные действия на горе Зуберха.
Единичные остатки дикорастущих трав на горе Зуберха карбонизировались, сохранились в грунте случайно, и не использовались в ритуальной практике.
Одним из примечательных ритуальных действий на вершине горы Зуберха является плавление бронзовых предметов. Всего, на склоне под культовым местом, было найдено восемь расплавов (рис. 3, II, 8, 9, 11–16), один из которых представлял собой недоплавленную бронзовую пластинку с кусочком витой проволоки (рис. 3, II, 14). Еще один небольшой кусочек бронзового расплава был найден у наиболее высокой точки в юго-западной части культового места (рис. 3, II, 10). Спектральный анализ некоторых бронзовых предметов (рис. 3, I, 8, 15, 21) и расплавов (рис. 3, II, 9, 14), проведенный в лаборатории Института наук о Земле на растровом электронном микроскопе с системами волнодисперсионного анализа и энергодисперсионного микроанализа, показал, что предметы изготовлены из оловянной бронзы с примесью свинца и незначительной (от 0–0.2 до 1%) примесью мышьяка, что позволяет говорить о плавлении готовых изделий на вершине горы в специальных тиглях, так как внутренняя структура металлов расплавов чистая, без примесей золы и угольков. На основании этнографических параллелей (Чурсин, 2008. С. 98) можно сделать предположение, что целью этого действия являлось гадание по форме получившегося бронзового расплава. Использование личных вещей в этом действе, по всей видимости, должно было усилить эффект гадания.
Как ритуальное подношение можно рассматривать бусы, браслеты, а также фрагменты керамических сосудов, в которых могла находиться жидкая пища. Все эти вещи не имеют следов воздействия высоких температур и, вероятнее всего, также размещались на культовом месте уже после горения огня или как элемент отдельного ритуала, не предполагающего разжигание костра.
События, природные явления, служившие причиной ритуальных действий на культовом месте, остаются неизвестными, как и периодичность таких действий, однако поскольку для их совершения была выбрана наиболее возвышающаяся точка ландшафта, можно сделать предположение, что они были посвящены верховному богу-громовержцу (ЦIоб) или солнечному божеству (Сефербеков, 2009. С. 155). Также у аварцев этнографически зафиксированы магическая роль огня и традиция разжигания костров в первый день весны и с наступлением зимы (Чурсин, 2008. С. 66). Отметим, что склонение захода солнца в дни зимнего солнцестояния у с. Гергебиль равно значению +67°49'. С вершины горы Зуберха визуально солнце опускается на вершину горы Кьили-мегIер (Седло-гора) и в расположенный за ней горный разрыв, образованный рекой Аварское Койсу. Гора Кьили-мегIер считалась священной, местом обитания божеств у аваро-андо-цезской этноязыковой общности (Сефербеков, 2015. С. 19). Представления об этом сохранились до этнографического прошлого (в этнографии эта гора – место обитания будалаалов – хозяев стад диких животных) (Гаджиханов, Сефербеков, 2010. С. 83). Возможно, что ритуальные действия на вершине горы Зуберха ставили целью достижение благополучия в новом теплом сезоне с помощью подношений божеству, принесения в качестве жертвы тех частей животных, которые обладают наиболее действенными магическими свойствами. При этом в жертву приносились все виды животных, представленных в стаде и служивших основной добычей во время охоты (олени), а также конская упряжь как символ этого животного. Гадания, совершаемые в момент ритуала, видимо, считались наиболее точными и ставили целью узнать будущее людей или получить ответы на какие-либо вопросы, за что оставлялись подношения – в основном украшения. Представленный вариант реконструкции ритуальных действий на вершине горы Зуберха является гипотезой, основанной на результатах археологических работ и проведенных анализов.
На вершине горы Берак, предположительно, проводились схожие ритуальные действия. Однако, ввиду территориальной и хронологической удаленности от культового места на горе Зуберха детали несколько отличались. Здесь появляются антропоморфные статуэтки (Круглов, 1946. С. 32), которых нет на Зуберхе. Стилистически они схожи между собой и, видимо, хронологически довольно близки (рис. 7, 5–7). Наряду с антропоморфными фигурками здесь находилась и одна зооморфная, изображающая козла (рис. 7, 4), чей образ имеет связь с культом плодородия у народов Горного Дагестана и являвшегося зооморфной ипостасью божества плодородия (Гаджиев, 1997. С. 224). На вершине Берака в довольно большом количестве (всего восемь, во фрагментах и целых) были найдены железные трезубцы – предметы, предназначение которых в ритуальной практике пока не ясно (рис. 7, 2, 3). Они кованые, тонкие, с заклепкой в месте соединения трех зубцов. Скорее всего, трезубцы имели вотивный характер. Также здесь были найдены наконечник стрелы, точильные камни и гвоздь для подков лошадей. Также обращает на себя внимание отсутствие украшений, расплавов металлов, кремня, костяных изделий в отличие от культового места на горе Зуберха. В целом надо отметить и довольно скудную насыщенность предметами этого культового места. Единственный предмет, имеющий аналогии на Зуберхе, – это уздечная бляшка, найденная в одном экземпляре на склоне под вершиной.
Высокая насыщенность грунта на горе Берак карбонизированными, сгоревшими остатками ячменя демонстрирует преднамеренное его использование в обрядовых действиях. Вероятнее всего, зерна бросались в огонь для сжигания вместе в мясной пищей, что не практиковалось на горе Зуберха.
Несмотря на различие в вещественном материале, на двух культовых местах имеется много схожих черт, имеющих большое значение. Это расположение культового места на отдельно стоящем холме на вершине горы, разжигание костров, размещение вещей на культовом месте, схожий состав остеологического материала, ритуальное сжигание частей животных. Все это может говорить об устойчивой идеологический основе, некой ритуальной традиции, претерпевшей некоторые изменения с течением времени, но сохранившей свою суть.
Значение многих ритуальных действий на культовых местах горного Дагестана еще предстоит понять – мы находимся лишь в начале изучения этих памятников после долгого перерыва и, несомненно, дальнейшие комплексные междисциплинарные исследования помогут более полно раскрыть основу и многие аспекты религиозно-идеологических представлений народов Дагестана доисламского периода.
Исследование проведено при поддержке Российского научного фонда, грант 17-18-01406; Палеоботанические анализы выполнены в рамках госзадания № 121041600045-8.
Список литературы
Абакаров А.И., Давудов О.М. Археологическая карта Дагестана. М.: Наука, 1993. 327 с.
Анучин Д.Н. Отчет о поездке в Дагестан летом 1882 года, совершенной при содействии Императорского Русского географического общества. СПб.: Тип. А.С. Суворина, 1884. 93 с.
Артамонов М.И. Отчет о работах Северо-Кавказской экспедиции в Дагестане в 1937–1938 гг. // Научный архив Института истории, археологии и этнографии Дагестанского научного центра РАН. Махачкала. 1939. Ф. 5. Оп. 1. Д. 33. 66 с.
Бакушев М.А. Костяные амулеты Дагестана албано-сарматского времени // Археология, этнология и фольклористика Кавказа: Междунар. науч. конф.: сб. кратких содержаний докладов. Тбилиси, 2010. С. 72, 73.
Брилева О.А. Древняя бронзовая антропоморфная пластика Кавказа (XV в. до н.э. – X в. н.э.). М.: Таус, 2008. 424 с.
Гаджиев М.С. Две бронзовые статуэтки из Дагестана (к хронологии культовой пластики) // Российская археология. 1997. № 2. С. 222–227.
Гаджиев М.С., Бакушев М.А., Борисов А.В., Рябогина Н.Е. О миграционных и демографических процессах на территории Дагестана в албано-сарматский и раннесредневековый периоды // Stratum plus. 2020. № 4. С. 309–324.
Гаджиханов Я.К., Сефербеков Р.И. Боги охоты у аварцев // Культурная жизнь Юга России. 2010. № 4 (38). С. 83, 84.
Давудов О.М. Культуры Дагестана эпохи раннего железа. Махачкала: Дагестанский филиал АН СССР, 1974. 192 с.
Давудов О.М. Отчет об археологических исследованиях в 1977 г. // Научный архив Института истории, археологии и этнографии Дагестанского научного центра РАН. Махачкала. 1977. Ф. 3. Оп. 3. Д. 460.
Касимов Н.С. Геохимия степных и пустынных ландшафтов. М.: Изд-во Московского ун-та, 1988. 254 с.
Котович В.Г., Давудов О.М. Отчет о работе 1-го отряда Дагестанской археологической экспедиции в 1966 году // Научный архив Института истории, археологии и этнографии Дагестанского научного центра РАН. Махачкала. 1966. Ф. 3. Оп. 3. Д. 228.
Круглов А.П. Культовые места горного Дагестана // Краткие сообщения о докладах и полевых исследованиях Института истории материальной культуры. 1946. Вып. XII. С. 31–40.
Лысак Л.В., Сидоренко Н.Н., Марфенина О.Е., Звягин-цев Д.Г. Микробные комплексы городских почв // Почвоведение. 2000. № 1. С. 80–85.
Мишустин Е.Н. Термофильные микроорганизмы в природе и практике. М.; Л.: Изд-во АН СССР, 1950. 391 с.
Мишустин Е.Н., Перцовская М.И., Горбов В.А. Санитарная микробиология почвы. М.: Наука, 1979. 304 с.
Пикуль М.И. Эпоха раннего железа в Дагестане. Махачкала, 1967. 175 с.
Сагитова М.Д. Отчет о проведении археологических разведок в Цунтинском районе Республики Дагестан в 2002 г. // Архив Национального музея Республики Дагестан им. А. Тахо-Годи. 2016. № 2318.
Сефербеков Р.И. Пантеон языческих божеств народов Дагестана. Махачкала, 2009. 408 с.
Сефербеков Р.И. Культ гор у народов Кавказа // Вестник Дагестанского государственного университета. 2015. Т. 30. Вып. 4. С. 18–23.
Смирнов К.Ф. Савроматы. Ранняя история и культура сарматов. М.: Наука, 1964. 381 с.
Химический состав российских пищевых продуктов: справочник / Под ред. И.М. Скурихина, В.А. Тутельяна. М.: ДеЛи принт, 2002. 236 с.
Чурсин Г.Ф. Авары: этнографический очерк. Махачкала: Ин-т истории, археологии и этнографии Дагестанского науч. центра РАН, 2008. 120 с.
Янина Т.А. История каспийских моллюсков рода Didacna в Черном море // Юг России: экология, развитие. 2008. Т. 3. № 3. С. 93–98.
Hutton J.T. Titanium and zirconium minerals // Minerals in Soil Environments / Eds. J.B. Dixon, S.B. Weed. Madison, Wisconsin: Soil Science Society of America, 1977. P. 673–688.
Retallack G.J. Soil of the past: an introduction to paleopedology. 2nd edition. Oxford: Blackwell, 2001. 600 p.
Retallack G.J. Soils and global change in the carbon cycle over geological time // Treatise On Geochemistry. V. 5. New York: Elsevier, 2003. P. 581–605.
Дополнительные материалы отсутствуют.
Инструменты
Российская археология


