Журнал неорганической химии, 2020, T. 65, № 9, стр. 1174-1182
Особенности гидротермального роста иерархически организованных покрытий Co3O4 на Al2O3-подложках
Т. Л. Симоненко a, b, *, В. А. Бочарова a, c, Ф. Ю. Горобцов a, Н. П. Симоненко a, Е. П. Симоненко a, В. Г. Севастьянов a, Н. Т. Кузнецов a
a Институт общей и неорганической химии им. Н.С. Курнакова РАН
119991 Москва, Ленинский пр-т, 31, Россия
b Институт химии силикатов им. И.В. Гребенщикова РАН
199034 Санкт-Петербург, наб. Макарова, 2, Россия
c Российский химико-технологический университет им. Д.И. Менделеева (государственный университет)
125047 Москва, Миусская пл., 9, Россия
* E-mail: egorova.offver@gmail.com
Поступила в редакцию 10.04.2020
После доработки 27.04.2020
Принята к публикации 30.04.2020
Аннотация
Изучен процесс формирования иерархически организованного покрытия оксида кобальта(II,III) на поверхности поликристаллической Al2O3-подложки в гидротермальных условиях. С использованием растровой электронной микроскопии изучены особенности микроструктуры полученных покрытий. Показано, что они состоят из нанолистов Co3O4, организованных перпендикулярно к поверхности подложки в виде соцветий. С помощью инфракрасной спектроскопии, рентгенофазового и энергодисперсионного элементного микроанализа подтверждено получение покрытия целевого состава, не содержащего кристаллических примесей. С помощью атомно-силовой микроскопии изучена шероховатость сформировавшейся пленки Co3O4. Методами сканирующей емкостной и Кельвин-зондовой силовой микроскопии оценены локальные электрофизические характеристики полученного оксидного покрытия (величина работы выхода электрона с поверхности пленки, значение емкости), построены карты распределения поверхностного потенциала и емкостного контраста по поверхности. Проведен локальный анализ вольт-амперных характеристик исследуемых образцов.
ВВЕДЕНИЕ
Одним из глобальных вызовов для человечества в XXI в. многие эксперты называют экспоненциальный рост общемирового энергопотребления [1, 2]. Решение обозначенной проблемы требует развития энергетического сектора в двух направлениях: разработка высокопроизводительных современных устройств генерации [3–5] и создание надежных устройств накопления энергии [6–8]. В контексте разработки последних особенно важную роль приобретают суперконденсаторы, потенциал применения которых, начиная с простейшей портативной электроники, охватывает многие области промышленности, включая транспортную, медицинскую, строительную и военную сферы [9, 10]. Их особые рабочие характеристики (высокая удельная мощность, высокая скорость заряда/разряда, длительный срок службы, экологичность и низкие затраты на обслуживание) позволяют суперконденсаторам нивелировать разрыв в энергоэффективности между электрическими конденсаторами и литий-ионными батареями [11, 12].
Среди широкого разнообразия электродных материалов наиболее перспективными при создании высокоэффективных суперконденсаторов на сегодняшний день по-прежнему считаются оксиды переходных металлов, поскольку они характеризуются переменными степенями окисления и могут активно участвовать в протекании фарадеевских реакций, обеспечивая возможность дополнительного накопления заряда [13, 14]. Так, значительное внимание в данном контексте привлекает оксид кобальта(II, III), обладающий высокой окислительно-восстановительной активностью и теоретической емкостью (3560 Ф/г), низкой токсичностью и коммерческой доступностью [15, 16]. Указанные свойства делают данный оксид и материалы на его основе весьма популярными не только в области создания устройств альтернативной энергетики, но и катализа, газовой сенсорики и оптики [17–22]. Итоговые характеристики функциональных материалов на основе оксида кобальта в значительной степени определяются не только дисперсностью, но и морфологией их поверхности. На сегодняшний день имеется ряд опубликованных работ, посвященных получению материалов на основе Co3O4 в виде 1D (наностержни [23], нанотрубки [24], нанопроволоки [25]), 2D (нанолисты [26, 27], наночешуйки [28]) и 3D иерархических структур (наноцветки [29], микро- [30] и наносферы [31]), демонстрирующих улучшенные, в частности, электрофизические характеристики, обусловленные анизотропией свойств поверхности. Данный факт вызывает значительный интерес к получению наноматериалов различного типа с иерархической организацией составляющих их частиц. Наиболее удобными методами синтеза, позволяющими осуществлять контролируемое формирование иерархических наноструктур с заданной морфологией и размером частиц, являются метод совместного осаждения [32, 33], сольво- [34] и гидротермальный синтез [35–38]. При этом необходимо отметить, что гидротермальный метод в данном контексте является более вариативным при более тонком управлении процессом синтеза за счет контроля различных его параметров (давление, температура, время синтеза, концентрация компонентов и т.п.) [39–41] и позволяет выращивать планарные иерархически организованные наноструктуры непосредственно на подложках различного типа (пеноникель, стекло, углеткань, углеродные волокна, оксид алюминия и др.).
Таким образом, целью данной работы являлось изучение процесса формирования иерархически организованного покрытия Co3O4 на поверхности поликристаллической Al2O3-подложки в гидротермальных условиях, а также изучение его микроструктурных и локальных электрофизических характеристик.
ЭКСПЕРИМЕНТАЛЬНАЯ ЧАСТЬ
Формирование покрытия состава Co3O4 проводили из разбавленного (0.005 М) раствора нитрата кобальта, к которому добавляли необходимое количество мочевины (5.24 мг) при непрерывном перемешивании до полного ее растворения. Реакционную систему помещали в тефлоновый автоклав, куда затем погружали очищенную в этиловом спирте поликристаллическую Al2O3-подложку, среднеарифметическая шероховатость которой составляла 100 нм. Формирование покрытия происходило в гидротермальных условиях при температуре 140°С в течение 2 ч. После естественного охлаждения реакционной системы образец извлекали и промывали дистиллированной водой. Далее проводили его сушку (100°С, 3 ч) и последующую термическую обработку при 400°С в течение 1 ч для формирования устойчивой кристаллической структуры целевого оксида (рис. 1).
ИК-спектры отражения поверхности полученных образцов записывали с использованием приставки диффузного отражения EasiDiff (PIKE Technologies Inc.) в диапазоне волновых чисел 350–1000 см–1 (время накопления сигнала – 60 с, разрешение – 1 см–1).
Рентгенофазовый анализ (РФА) покрытия выполняли на рентгеновском дифрактометре Bruker D8 Advance (CuKα-излучение, диапазон 2θ = 30°–67.5°, разрешение – 0.02°, время накопления сигнала в точке – 0.3 с).
Микроструктуру и элементный состав полученного покрытия изучали с помощью растровой электронной микроскопии (РЭМ) на трехлучевой рабочей станции NVision 40 (Carl Zeiss), оснащенной энергодисперсионным микрозондовым анализатором Oxford Instruments X-MAX 80.
Исследование рельефа поверхности полученного покрытия с помощью атомно-силовой микроскопии (АСМ), а также изучение его электрофизических свойств методами сканирующей емкостной микроскопии (СЕМ) и Кельвин-зондовой силовой микроскопии (КЗСМ) проводили на приборе Solver Pro-M (NT-MDT) при нормальных условиях с использованием проводящих зондов DCP20. Кроме того, с помощью указанного прибора были также получены локальные вольт-амперные характеристики (ВАХ) изучаемого оксидного покрытия с использованием проводящих композитных зондов HA_C из серии ETALON с проводящим покрытием W2C.
РЕЗУЛЬТАТЫ И ОБСУЖДЕНИЕ
Механизм взаимодействия мочевины с нитратом кобальта в ходе протекания гидротермального синтеза может быть представлен в виде следующих реакций [29, 42]:
(1)
${\text{Co}}{{({\text{N}}{{{\text{O}}}_{3}})}_{2}} = {\text{C}}{{{\text{o}}}^{{2 + }}} + 2{\text{NO}}_{3}^{ - },$(2)
${\text{N}}{{{\text{H}}}_{2}}{\text{CON}}{{{\text{H}}}_{2}} = {\text{N}}{{{\text{H}}}_{3}} + {\text{HNCO,}}$(3)
${\text{HNCO}} + {{{\text{H}}}_{2}}{\text{O}} = {\text{N}}{{{\text{H}}}_{3}} + {\text{C}}{{{\text{O}}}_{2}},$(4)
${\text{C}}{{{\text{o}}}^{{2 + }}} + 2{\text{N}}{{{\text{H}}}_{3}} + 2{{{\text{H}}}_{2}}{\text{O}} = {\text{Co}}{{\left( {{\text{OH}}} \right)}_{2}} + 2{\text{NH}}_{4}^{ + }.$Образующийся в результате протекания реакции (4) гидроксид кобальта(II) является термодинамически нестабильным соединением и разлагается с образованием Co3O4 при температуре 300°С [43].
Внешний вид покрытия, полученного после проведения гидротермального синтеза, сушки (100°С, 3 ч) и последующей термообработки (400°С, 1 ч) представлен на рис. 2. Визуальная оценка образца 1 в сравнении с образцом 2 (чистая Al2O3-подложка) свидетельствует о формировании покрытия серого цвета, равномерно распределенного по поверхности Al2O3-подложки.
С целью подтверждения кристаллической структуры полученного покрытия оно было изучено с помощью рентгенофазового анализа (рис. 3а), который оказался недостаточно чувствительным и не позволил зафиксировать рефлексы, относящиеся к кристаллической структуре Co3O4 (Fd3m; JCPDS card no. 42-1467). Данный факт указывает на тонкопленочную структуру сформировавшегося покрытия, значительно уступающего по толщине используемой Al2O3-подложке. Тем не менее использование ИК-спектроскопии отражения (рис. 3б) дает возможность с большей уверенностью судить об образовании целевого оксидного покрытия по наличию характеристической полосы поглощения с максимумом при 658 см–1, соответствующей колебаниям мостиковых связей O–Co–O [44]. При этом полоса поглощения с максимумом при 560 см–1, относящаяся к валентным колебаниям связей Co–O, по-видимому, перекрывается полосой поглощения от Al2O3-подложки.
Рис. 3.
Рентгенограмма пленки Co3O4 на поверхности Al2O3-подложки (а), пунктирными линиями обозначены ожидаемые положения рефлексов Co3O4; ИК-спектры отражения (б) исходной Al2O3-подложки (1) и с выращенной на ее поверхности пленкой Co3O4 (2).

Согласно результатам растровой электронной микроскопии (рис. 4), выращенное на поверхности Al2O3-подложки покрытие Co3O4 характеризуется однородной микроструктурой, состоящей из тонких (~10 нм) пористых нанолистов (средний размер в латеральной плоскости составляет ~1.5 мкм) с четкими краями, самоорганизовавшихся в виде образований, напоминающих по своей структуре соцветия. Изучение микроструктуры пленки Co3O4 в режиме контраста по среднему атомному номеру (детектор отраженных электронов) и результаты энергодисперсионного элементного микроанализа свидетельствуют о формировании однородного покрытия целевого состава.
Рельеф поверхности полученного покрытия Co3O4, а также его локальные электрофизические свойства (карты поверхностного потенциала и емкости, связанные с распределением носителей заряда) дополнительно исследованы методами АСМ, КЗСМ и СЕМ (рис. 5). Как видно из микрофотографий (рис. 5а, 5б), пленка, как это ранее было показано с помощью РЭМ, является однородной, равномерно покрывает поверхность подложки и состоит из вытянутых образований с латеральными размерами порядка 1–2 мкм. Перепад высот при этом на площади около 350 мкм2 составляет <1 мкм, свидетельствуя о формировании покрытия с достаточно высоким значением удельной площади поверхности, что в значительной степени определяет эффективность применения данного материала в качестве электрода суперконденсатора.
Рис. 5.
Рельеф (а, б) и объемная модель (д) пленки Co3O4, а также распределение поверхностного потенциала (в) и емкости (г) для участка покрытия (б) по данным АСМ, КЗСМ и ЕСМ.

Результаты КЗСМ и СЕМ (рис. 5в, 5г) показывают, что между исследуемыми параметрами (величиной поверхностного потенциала и емкости) и высотой поверхности наблюдается обратная зависимость (“отрицательный отклик”). Поскольку данные методики являются двухпроходными, можно считать, что рельеф поверхности не влияет на результаты сканирования на втором проходе КЗСМ и СЕМ, когда и происходит получение данных о распределении поверхностного потенциала и емкостном контрасте соответственно. Таким образом, кажущаяся зависимость между высотой на топографическом изображении и электрофизическими параметрами объясняется распределением носителей заряда и возможных примесей или дефектов на поверхности нанолистов Co3O4, включая границу между ними. По изображению, полученному при помощи КЗСМ (рис. 5в), из отрицательного отклика можно сделать вывод, что электронная плотность несколько смещена в сторону углублений на поверхности и на границы между нанолистами. Последний вывод подтверждается результатами СЕМ, где наибольшая емкость (прямо пропорциональна изменению амплитуды, которое отложено на рис. 6б по оси Z) наблюдается на границах нанолистов. Результаты КЗСМ позволяют рассчитать значение работы выхода для материала в соответствии с уравнением:
(5)
${{\varphi }_{{{\text{sample}}}}} = {{\varphi }_{{{\text{tip}}}}}--{{\varphi }_{{{\text{CPD}}}}},$Рис. 6.
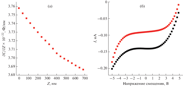
Зависимость емкостного градиента от расстояния между зондом и поверхностью образца (а). Вольт-амперная характеристика в точке на поверхности выращенной пленки Co3O4 (б); красная кривая соответствует изменению напряжения от –5 до 5 В, черная кривая – в обратном направлении.

В ходе исследования с помощью точечной спектроскопии в режиме СЕМ также была определена емкость конденсатора, образуемого зондом и выбранной точкой на поверхности выращенной пленки Co3O4. Запись сигнала проводилась на частоте второй гармоники 2ω, при которой сила взаимодействия острия кантилевера и образца равняется [48]:
Следовательно, из уравнения (8) можно определить $~\frac{{\partial C}}{{\partial Z}}$, зная амплитуду. Для последующего определения емкости необходимо графически взять интеграл под кривой зависимости $~\frac{{\partial C}}{{\partial Z}}$ от Z, которая формируется при записи значений амплитуды колебания зонда на разном расстоянии от поверхности образца и дальнейшем пересчете амплитуды в $~\frac{{\partial C}}{{\partial Z}}$. Пример такой зависимости для данного образца приведен на рис. 6а.
После записи данных кривых в нескольких точках на поверхности сформировавшихся нанолистов оксида кобальта(II,III) было установлено, что среднее значение емкости на поверхности выращенного покрытия составляет 2.5 × 10–19 Ф, а ее удельная величина – 7.5 × 10–6 Ф/м2.
В ходе исследования также были определены локальные вольт-амперные характеристики на поверхности оксидного покрытия, типичный пример приведен на рис. 6б. Скорость развертки составляла 10 В/с, образец был заземлен, и напряжение варьировалось на зонде. Видно, что контакт между зондом и оксидом имеет выпрямляющий характер. Помимо этого по форме кривых можно сказать, что контакт представляет собой конденсатор, испытывающий “пробой” около 1.5 и –1.5 В, после чего наблюдается нелинейный рост тока при обратном напряжении смещения (<–1.5 В) и изменение направления тока при прямом напряжении смещения (>1.5 В). При последующем переключении направления развертки форма кривой воспроизводится, но она смещается по силе тока примерно на 50 пА. Данные вольтамперограммы стабильны и не изменяются при последовательной записи серий кривых в одной точке, хотя, как правило, для конденсаторов, претерпевших пробой, наблюдается сохранение приобретенной проводимости на всей вольт-амперной характеристике. Таким образом, можно рассматривать полученные характеристики как зависимости для диода, сдвинутые примерно на 1.5 В в сторону прямого смещения. Данный сдвиг, на наш взгляд, может быть объяснен большой величиной барьера Шоттки между поверхностью зонда, которую можно принять за металлическую, и оксидной полупроводниковой пленкой. В результате, поскольку Co3O4 является полупроводником p-типа, наблюдается обратный ток – электроны перемещаются с кантилевера на образец.
ЗАКЛЮЧЕНИЕ
Изучен процесс гидротермального роста иерархически организованного покрытия Co3O4 на поверхности Al2O3-подложки. По результатам ИК-спектроскопии и энергодисперсионного элементного микроанализа установлено, что используемый метод и условия синтеза позволяют эффективно получать равномерные покрытия целевого состава, состоящие из нанолистов Co3O4, организованных перпендикулярно к поверхности подложки в виде соцветий.
С использованием комплекса методик атомно-силовой микроскопии, в частности сканирующей емкостной и Кельвин-зондовой силовой микроскопии, была дополнительно проведена оценка локальных электрофизических характеристик иерархически организованного покрытия Co3O4 на поверхности Al2O3-подложки. На основании полученных экспериментальных данных сделаны выводы о распределении электронной плотности по поверхности полупроводникового покрытия, рассчитана работа выхода электрона (6.1 эВ) с поверхности выращенной пленки Co3O4, что позволило оценить степень его дефектности, вычислено среднее значение емкости на поверхности покрытия (2.5 × 10–19 Ф), а также ее удельная величина (7.5 × 10–6 Ф/м2), проведена оценка вольт-амперной характеристики исследуемого образца.
Таким образом, полученные иерархически организованные покрытия Co3O4 по своим микроструктурным и электрофизическим свойствам представляют значительный интерес в контексте их дальнейшего исследования и практического использования в качестве электродов суперконденсаторов и литий-ионных батарей.
Список литературы
IEA (2019). World Energy Outlook. Paris, IEA, 2019. https://www.iea.org/reports/world-energy-outlook-2019
EIA (2019). International Energy Outlook 2019 with projections to 2050, Washington DC, https://www.eia.gov/outlooks/ieo/
Kalinina M.V., Morozova L.V., Egorova T.L. et al. // Glass Phys. Chem. 2016. V. 42. P. 505. https://doi.org/10.1134/S1087659616050060
Simonenko T.L., Kalinina M.V., Simonenko N.P. et al. // Glass Phys. Chem. 2018. V. 44. P. 314. https://doi.org/10.1134/S1087659618040144
Egorova T.L., Kalinina M.V., Simonenko E.P. et al. // Russ. J. Inorg. Chem. 2017. V. 62. P. 1275. https://doi.org/10.1134/S0036023617100072
Xiong S., Yuan C., Zhang X. et al. // Chem. Eur. J. 2009. V. 15. P. 5320. https://doi.org/10.1002/chem.200802671
Yan Y., Wang T., Li X. et al. // Inorg. Chem. Front. 2017. V. 4. P. 33. https://doi.org/10.1039/C6QI00199H
Li X., Xiao X., Li Q. et al. // Inorg. Chem. Front. 2018. V. 5. P. 11. https://doi.org/10.1039/C7QI00434F
Meher S.K., Rao G.R. // J. Phys. Chem. C. 2011. V. 115. P. 15646. https://doi.org/10.1021/jp201200e
Libich J., Máca J., Vondrák J. et al. // J. Energy Storage. 2018. V. 17. P. 224. https://doi.org/10.1016/j.est.2018.03.012
Zhao Y., Liu Y., Du J. et al. // Appl. Surf. Sci. 2019. V. 487. P. 442. https://doi.org/10.1016/j.apsusc.2019.05.142
Rakhi R.B., Chen W., Cha D., Alshareef H.N. // Nano Lett. 2012. V. 12. P. 2559. https://doi.org/10.1021/nl300779a
Liao Q., Li N., Jin S. et al. // ACS Nano. 2015. V. 9. P. 5310. https://doi.org/10.1021/acsnano.5b00821
Gao Y., Chen S., Cao D. et al. // J. Power Sources. 2010. V. 195. P. 1757. https://doi.org/10.1016/j.jpowsour.2009.09.048
Deng M.-J., Huang F.-L., Sun I.-W. et al. // Nanotechnology. 2009. V. 20. P. 175602. https://doi.org/10.1088/0957-4484/20/17/175602
Tao L., Bowen Z., Bei W. et al. // Nanoscale Res. Lett. 2015. V. 10. P. 208. https://doi.org/10.1186/s11671-015-0915-2
Ren Q., Feng Z., Mo S. et al. // Catal. Today. 2019. V. 332. P. 160. https://doi.org/10.1016/j.cattod.2018.06.053
Vetter S., Haffer S., Wagner T., Tiemann M. // Sens. Actuators, B. 2015. V. 206. P. 133. https://doi.org/10.1016/j.snb.2014.09.025
Victoria S.G., Raj A.M.E., Ravidhas C. // Mater. Chem. Phys. 2015. V. 162. P. 852. https://doi.org/10.1016/j.matchemphys.2015.07.015
Lakehal A., Bedhiaf B., Bouaza A. et al. // Mater. Res. 2018. V. 21. P. e20170545. https://doi.org/10.1590/1980-5373-mr-2017-0545
Kalinina M.V., Morozova L.V., Khlamov I.I. et al. // Glass Phys. Chem. 2014. V. 40. P. 578. https://doi.org/10.1134/S108765961405006X
Simonenko T.L., Simonenko N.P., Gorobtsov P.Yu. et al. // J. Alloys Compd. 2020. V. 832. P. 154957. https://doi.org/10.1016/j.jallcom.2020.154957
Cao C., Hu C., Shen W. et al. // J. Alloys Compd. 2013. V. 550. P. 137. https://doi.org/10.1016/j.jallcom.2012.09.069
Li C.C., Yin X.M., Li Q.H. et al. // Chem. Eur. J. 2011. V. 17. P. 1596. https://doi.org/10.1002/chem.201002275
Han L., Tang P., Zhang L. // Nano Energy. 2014. V. 7. P. 42. https://doi.org/10.1016/j.nanoen.2014.04.014
Yang W., Gao Z., Ma J. et al. // J. Alloys Compd. 2014. V. 611. P. 171. https://doi.org/10.1016/j.jallcom.2014.04.085
Gao R., Shang Z., Zheng L. et al. // Inorg. Chem. 2019. V. 58. P. 4989. https://doi.org/10.1021/acs.inorgchem.9b00007
Wang H., Zhao Q., Wang X. et al. // RSC Adv. 2014. V. 4. P. 42910. https://doi.org/10.1039/C4RA08444F
Ibupoto Z.H., Elhag S., AlSalhi M.S. et al. // Electroanal. 2014. V. 26. P. 1773. https://doi.org/10.1002/elan.201400116
Zhu Y.-R., Peng P.-P., Wu J.-Z. et al. // Solid State Ionics. V. 336. P. 110. https://doi.org/10.1016/j.ssi.2019.03.022
Ding R., Liu K., Liu X. et al. // Inorg. Chem. 2019. V. 58. P. 3416. https://doi.org/10.1021/acs.inorgchem.8b03533
Qiu D., Ma X., Zhang J. et al. // Chem. Phys. Lett. 2018. V. 710. P. 188. https://doi.org/10.1016/j.cplett.2018.08.082
Simonenko T.L., Simonenko N.P., Simonenko E.P. et al. // Russ. J. Inorg. Chem. 2019. V. 64. P. 1475. https://doi.org/10.1134/S0036023619120167
Simonenko E.P., Simonenko N.P., Nagornov I.A. et al. // Russ. J. Inorg. Chem. 2018. V. 63. P. 1519. https://doi.org/10.1134/S0036023618110189
Simonenko T.L., Ivanova V.M., Simonenko N.P. et al. // Russ. J. Inorg. Chem. 2019. V. 64. P. 1753. https://doi.org/10.1134/S0036023619140080
Panasyuk G.P., Belan V.N., Voroshilov I.L. et al. // Theor. Found. Chem. Eng. 2013. V. 47. P. 415.
Hao J., Peng S., Li H. et al. // J. Mater. Chem. 2018. V. 6. P. 16 094. https://doi.org/10.1039/C8TA06349D
Panasyuk G.P., Semenov E.A., Kozerozhets I.V. et al. // Dokl. Chem. 2018. V. 483. P. 272. https://doi.org/10.1134/S0012500818110022
Chen. H., Zhou J., Li Q. et al. // Inorg. Chem. Front. 2019. V. 6. P. 2481. https://doi.org/10.1039/C9QI00607A
Han X., Cheng F., Chen C. et al. // Inorg. Chem. Front. 2016. V. 3. P. 866. https://doi.org/10.1039/C6QI00066E
Zhao X., Liu Y., Wang J. et al. // Inorg. Chem. 2019. V. 58. P. 7054. https://doi.org/10.1021/acs.inorgchem.9b00706
Shahariar G.M.H., Lim O.T. // Energies. 2019. V. 12. P. 125. https://doi.org/10.3390/en12010125
Wang S., Wang R., Chang J. et al. // Sci. Rep.-UK. 2018. V. 8. P. 3182. https://doi.org/10.1038/s41598-018-21436-4
Shi X., Quan S., Yang L. et al. // J. Mater. Sci. 2019. V. 54. P. 12424. https://doi.org/10.1007/s10853-019-03816-x
Liu J., Ke J., Li Y. et al. // Appl. Catal., B: Environ. 2018. V. 236. P. 396. https://doi.org/10.1016/j.apcatb.2018.05.042
Liu M., Liu J., Li Z., Wang F. // ACS Appl. Mater. Interfaces. 2018. V. 10. P. 7052. https://doi.org/10.1021/acsami.7b16549
Creazzo F., Galimberti D.R., Pezzotti S., Gaigeot M.-P. // J. Chem. Phys. 2019. V. 150. P. 041 721. https://doi.org/10.1063/1.5053729
Mironov V.L. Fundamentals of scaning probe microscopy. Nizhniy Novgorod, NT-MDT, (2004).
Benenson W., Harris J.W., Stocker H., Lutz H. Handbook of Physics. N.Y.: Springer, 2002. https://doi.org/10.1007/0-387-21632-4
Дополнительные материалы отсутствуют.
Инструменты
Журнал неорганической химии





