Журнал неорганической химии, 2020, T. 65, № 9, стр. 1234-1240
Физико-химическое моделирование и экспериментальное исследование процессов плавления и кристаллизации умеренно щелочных вулканических пород
В. А. Кренев a, Н. Н. Ефимов a, П. Н. Васильев a, Д. Ф. Кондаков a, Е. Н. Печенкина a, С. В. Фомичев a, *
a Институт общей и неорганической химии им. Н.С. Курнакова РАН
119991 Москва, Ленинский пр-т, 31, Россия
* E-mail: fomichev@igic.ras.ru
Поступила в редакцию 04.03.2020
После доработки 10.04.2020
Принята к публикации 27.04.2020
Аннотация
На примере трахиандезибазальта методом физико-химического моделирования изучено влияние температуры и окислительно-восстановительных свойств атмосферы кристаллизации на равновесный состав образующихся фаз. Приведен химический состав породообразующих минералов и их влияние на свойства породы. Рассмотрены особенности нагревания, плавления и кристаллизации трахиандезибазальта с учетом внешних условий и взаимного влияния присутствующих минералов. Определены температурные зависимости намагниченности различных фракций изучаемой породы. Показана принципиальная возможность и даны рекомендации по выбору способов модифицирования химического и минерального состава данной породы.
ВВЕДЕНИЕ
В последние годы методы физико-химического моделирования (ФХМ) процессов плавления и кристаллизации природных неорганических систем, представленных различными видами магматических горных пород, получили широкое развитие и распространение [1–5]. Такая ситуация обусловлена прогрессом вычислительной техники, расширением баз термодинамических данных и созданием новых программ для расчета фазовых состояний сложных гетерогенных систем. Это вывело на качественно новый уровень создание компьютерных физико-химических моделей с учетом основных требований химической термодинамики. Компьютерное моделирование стало самым быстрым и эффективным способом получения информации о равновесных фазовых составах сложных гетерогенных систем [6]. Кроме того, с развитием и совершенствованием технологий наряду с базальтами начали использоваться и другие магматические и метаморфические породы [7]. В настоящее время помимо базальтов обращают на себя внимание основные пикробазальты, пироксениты-горнблендиты, габброиды, амфиболиты, трахибазальты, андезибазальты, андезиты, диориты, монцониты, трахиандезибазальты, сиениты и другие породы.
ПРИМЕНЕНИЕ МЕТОДОВ ФХМ
Объектом настоящих исследований является трахиандезибазальт – средняя вулканическая порода подотряда умеренно щелочных, которая определяется по следующим признакам: 50 ≤ ≤ SiO2 ≤ 67, 5 ≤ (Na2O + K2O) ≤ 12 [8].
По химическому составу трахиандезибазальт является эквивалентом плутонических пород – диорита [3] и монцодиорита [4], но резко отличается от них минеральным составом.
Химический состав пробы кристаллического трахиандезибазальта, представленного в оксидной форме, содержит (мас. %): 56.59 SiO2, 2.76 TiO2, 15.97 Al2O3, 9.28 Fe2O3, 2.03 FeO, 0.13 MnO, 1.77 MgO, 2.84 CaO, 3.75 Na2O, 4.90 K2O [8].
Породообразующими минералами этого вида являются алюмосиликаты с каркасной структурой, характеризующейся трехмерным сочленением анионных тетраэдров [(SiAl)O4]4– (тектосиликаты), представленные плагиоклазами (Pl) – непрерывным изоморфным рядом твердых растворов алюмосиликатов альбита (Ab) NaAl[Si3O8] и анортита (An) CaAl2[Si2O8], в которых одновременно с замещением Na+ на Са2+ эквивалентная часть Si4+ замещается на Al3+ [9]. Pl всегда содержат примесь калиевого полевого шпата (K-Fsp). Состав Pl является важным диагностическим признаком горных пород. Так, Pl вулканических пород, представителем которых является трахиандезибазальт, кристаллизуются при высокой температуре и быстро остывают, поэтому они обладают наименьшей упорядоченностью [10].
Метасиликаты в трахиандезибазальтах обычно представлены моноклинным пироксеном (Срх) – титан-авгитом (Сa,Mg,Fe,Ti,Al)2[(Si,Al)2O6] (ti-Aug) совместно с диопсидом СaMg[Si2O6] (Di). По данным [11], содержание TiO2 в Aug может колебаться от 0.1 до 5.7%. Ромбические пироксены (Орх) встречается крайне редко и не характерны для этой породы.
Оливин (Mg,Fe)2[SiO4] (Ol) – ортосиликат с изолированными кремнекислородными тетраэдрами [SiO4]4– – присутствует не повсеместно, и его общее содержание не превышает 1–3%.
Из второстепенных минералов постоянно содержится магнетит (Mt) – минерал, представляющий двойной оксид FeО ‧ Fe2O3 [12].
В стекловатых разновидностях трахиандезибазальтов в различных соотношениях присутствует вулканическое стекло.
По содержанию темноцветных минералов среди трахиандезибазальтов выделяют лейкотрахиандезибазальты (М ≤ 20%), трахиандезибазальты (М = 20–40%) и меланотрахиандезибазальты (М ≥ ≥ 40%), где М – цветовой индекс (коэффициент), характеризующий содержание мафических (цветных) минералов в породе (об. %).
По характерному минералу во вкрапленниках выделяют авгитовые, титан-авгитовые, авгит-оливиновые и оливиновые трахиандезибазальты. Наиболее часто наблюдаются пироксеновые разновидности [8].
Физико-химическое моделирование нагревания трахиандезибазальта
Минеральный состав кристаллического трахиандезибазальта был рассчитан на основании результатов химического анализа методом ФХМ [1] с использованием информационно-вычислительного комплекса Селектор-С [13].
Выбор потенциальной совокупности зависимых компонентов модели был обусловлен геохимическими и петрологическими данными. Равновесное состояние в заданных условиях определялось минимизацией потенциала Гиббса с учетом физико-химических особенностей рассматриваемой породы (потенциально возможный минеральный состав, наличие твердых растворов, жидкой и газообразной фаз).
Модели для расчетов минеральных составов трахиандезибазальта и продуктов его нагревания в окислительной, восстановительной и инертной атмосфере были построены на основе данных [14] и включали газовую фазу (O2, H2, Ar), твердые фазы (Ab, An, K-Fsp, Aug, Di, геденбергит (Hed), Fo, Fa, Q, Trd, Mt), а также их твердые растворы. Предполагалось, что равновесие в излившихся и кристаллизующихся породах устанавливается в земной атмосфере, т.е. в присутствии О2. Интервал температур, в котором образуется трахиандезибазальт, достаточно широк (1100–900°С) [10], в связи с этим ход кристаллизации твердых растворов может привести к существенным изменениям в минеральном составе.
Рассчитанный минеральный состав трахиандезибазальта содержит, %: Pl 58.5, K-Fsp 14.5, Cpx 13, Ol 1, Q 6, Mt 7.0.
Как показали результаты выполненных расчетов, породообразующие оксиды играют различную роль в формировании минерального состава трахиандезибазальта.
В работе [14] представлен обширный материал по кристаллохимии породообразующих минералов. В ранее опубликованных работах авторов настоящей статьи рассматривалась роль породообразующих оксидов для ряда пород. Однако, учитывая характерные особенности трахиандезибазальтов, целесообразно привести эти данные и здесь.
Оксид кремния (SiO2) – самый распространенный оксид магматических горных пород. В расплаве он играет роль кислотного компонента и находится не в виде оксида, а в виде структурных группировок типа [SiO4]4–, [Si2O6]4–, образующих при понижении температуры соединения с основаниями (Mg, Ca и др.), т.е. силикаты (Px, Ol) и алюмосиликаты (полевые шпаты и др.). Кремнезем образует ряд самостоятельных минералов: Q, Trd и др. Содержание кремнезема в минералах, устойчивых в парагенезисе с кварцем, максимально в Ab (69%) и минимально в An (43%) и Fa (36%). Вместе с тем Q может кристаллизоваться и из расплава с содержанием SiO2 ∼ 40%, это происходит при недостатке в расплаве щелочей и других оснований, необходимых для его насыщения и образования силикатов. Наличие в породе стекла может привести к тому, что избыток кремнезема останется в стекле, а не выделится в виде самостоятельной фазы.
Оксид титана (TiO2) может находиться в породе как в четырех-, так и в трехвалентном состоянии. Самостоятельными минералами Ti являются Ilm, титанит (Tnt) (синоним сфен Sph), а также рутил TiO2 и перовскит CaTiO3. В качестве примеси, изоморфно замещая преимущественно Mg, Ti входит в состав Рх, обыкновенных роговых обманок, биотитов, иногда Ol (до 0.5%).
Глинозем (Al2O3) содержится в магматических горных породах от следов до 28% (иногда и выше). Это обусловлено вхождением Al в большинство породообразующих минералов, %: ортоклаз (Ort) 18.5, Ab 19.5, An 37. Самостоятельный минерал глинозема – корунд встречается редко. В структуре минералов Al обычно замещает Si. Компенсация заряда при этом достигается вхождением в минерал катионов. Поэтому Al тесно связан, в частности, с Na, а при недостатке щелочей и с Са. Помимо алюмосиликатов Al входит в состав силикатов, где он также может частично замещать Si и одновременно двухвалентный катион, например Mg. Ионы Al, находящиеся в четверной координации, имеют кислотный характер, а в шестерной – щелочной.
Содержание MgO в магматических горных породах обратно пропорционально содержанию SiO2. Главным носителем Mg в магматических горных породах являются Ol и Орх, а также Срх и роговые обманки (Hbl). Существенно, что магнезиальные оливины не встречаются совместно с кварцем.
СаО входит главным образом в состав двух минералов магматических пород: An (20% СаО) и Di (26% CaO). Отсюда отчетливо видна его двойственная роль: с одной стороны, он входит в состав цветных минералов (Рх), а с другой – в состав алюмосиликатов (An). При этом, в отличие от Mg и Fe, он не входит в состав ортосиликатов. В целом лишь третья часть Са входит в состав простых силикатов, а ∼70% приходится на долю An. Самым обычным кальцийсодержащим акцессорным минералом является Tnt.
Главными минералами горных пород, в которые входит Na, являются алюмосиликаты: Ab (11.8% Na2О) – обычный наиболее распространенный минерал, образующий непрерывный ряд твердых растворов с An и обладающий ограниченной взаимной растворимостью с K-Fsp. Для этого соединения существуют две моноклинные модификации: ортоклаз (Ort), устойчивый до температуры 900°С, и санидин (San), устойчивый при температуре выше 900°С, и одна триклинная – микроклин (Mic), стабильный до 500°С. В такой ассоциации Ab входит в состав всех горных пород, содержащих полевые шпаты. В нашем случае, в соответствии с монографией [8], мы будем использовать выражение “ортоклазовый компонент”, имея в виду K-Fsp (табл. 1). В значительном количестве (15.3%) Na2O входит в состав жадеита (Jd) и эгирина (Aeg) (13.4%). Имеется он и в роговых обманках. Если Aeg и An входят в состав твердых растворов с Aug и Ab соответственно, то они встречаются в виде ассоциации (Aeg–Aug) + Pl. В породах нормальной щелочности содержание Na2О увеличивается с ростом содержания SiO2.
Таблица 1.
Минеральный состав (мас. %) трахиандезибазальта при нагревании в разных газовых фазах
| Минералы | Температура, °С | |||||||||||||||||
|---|---|---|---|---|---|---|---|---|---|---|---|---|---|---|---|---|---|---|
| 900 | 1000 | 1100 | 1200 | 1300 | 1400 | |||||||||||||
| O2 | H2 | Ar | O2 | H2 | Ar | O2 | H2 | Ar | O2 | H2 | Ar | O2 | H2 | Ar | O2 | H2 | Ar | |
| Плагиоклазы, Pl | 59 | 59 | 59 | 59 | 59 | 59 | 59 | 60 | 59 | 59 | 59 | 59 | 59 | 59 | 59 | 59 | 59 | 59 |
| NaAl[Si3O8], Ab | 37 | 38 | 38 | 24 | 24 | 24 | 7 | 7 | 7 | 2 | 2 | 2 | ̶ | ̶ | ̶ | ̶ | ̶ | ̶ |
| Ab-расплав | ̶ | ̶ | ̶ | 13 | 14 | 14 | 30 | 31 | 31 | 38 | 36 | 36 | 38 | 38 | 38 | 38 | 38 | 38 |
| CaAl2[Si3O8], An | 22 | 21 | 21 | 22 | 20 | 20 | 17 | 17 | 17 | ̶ | 11 | 11 | ̶ | ̶ | ̶ | ̶ | ̶ | ̶ |
| An-расплав | ̶ | ̶ | ̶ | 1 | 1 | 1 | 5 | 5 | 4 | 21 | 10 | 10 | 21 | 21 | 21 | 21 | 21 | 21 |
| K-Fsp | 14 | 15 | 14 | 4 | 4 | 4 | ̶ | ̶ | ̶ | ̶ | ̶ | ̶ | ̶ | ̶ | ̶ | ̶ | ̶ | ̶ |
| K-Fsp-расплав | 10 | 11 | 10 | 14 | 15 | 14 | 14 | 15 | 14 | 14 | 15 | 14 | 14 | 15 | 14 | |||
| Клинопироксены, Срх | 11 | 10 | 11 | 10 | 11 | 11 | 10 | 11 | 11 | 11 | 11 | 11 | 11 | 11 | 11 | 12 | 11 | 11 |
| CaMg[Si2O6), Di | 9 | 3 | 5 | 8 | 3 | 5 | 8 | 3 | 5 | 7 | 3 | 5 | 7 | 3 | 5 | 6 | 3 | 5 |
| (Ca,Mg,Fe,Ti,Al)2[(Si,Al)2O6], ti-Aug | 2 | 4 | 4 | 2 | 4 | 4 | 2 | 4 | 4 | 3 | 4 | 4 | 3 | 4 | 4 | 3 | 4 | 4 |
| CaFe[Si2O6], Hed | ̶ | 3 | 2 | ̶ | 4 | 2 | ̶ | 4 | 2 | 1 | 4 | 2 | 1 | 4 | 2 | 1 | 4 | 2 |
| Оливины, Ol | 1 | 10 | 3 | 1 | 10 | 3 | 1 | 10 | 3 | 1 | 10 | 3 | 2 | 10 | 3 | 2 | 10 | 4 |
| Mg2[SiO4], Fo | 1 | 2 | 2 | 1 | 2 | 2 | 1 | 2 | 2 | 1 | 2 | 2 | 2 | 3 | 2 | 2 | 2 | 2 |
| Fe2[SiO4], Fa | ̶ | 8 | 1 | ̶ | 8 | 1 | ̶ | 8 | 1 | ̶ | 8 | 1 | ̶ | 8 | 1 | ̶ | 8 | 2 |
| Тридимит, Trd | 6 | 3 | 5 | 6 | 3 | 5 | 6 | 3 | 5 | 6 | 3 | 5 | 6 | 3 | 5 | 5 | 3 | 5 |
| Магнетит, Мt | 7 | ̶ | 5 | 7 | ̶ | 5 | 7 | ̶ | 5 | 7 | ̶ | 5 | 7 | ̶ | 5 | 6 | ̶ | 5 |
| ∑минералов | 98 | 97 | 97 | 97 | 98 | 97 | 97 | 99 | 97 | 98 | 98 | 97 | 99 | 99 | 97 | 98 | 98 | 98 |
Калий – наиболее активный щелочной элемент в магматических горных породах. К2О входит преимущественно в состав алюмосиликатов КAl[Si3O8] и K-Fsp. Для алюмосиликатов K характерна более сильная связь щелочь–Si, чем для алюмосиликатов Na.
Отдельно остановимся на железе. Его особая роль заключается в том, что это единственный петрогенный элемент, содержащийся в магматических породах в двух степенях окисления – Fe(II) и Fe(III), которые образуют небольшое количество самостоятельной минеральной фазы – Mt (Fe3O4), а их главная масса входит в состав фемических минералов (Px, Fa, Hbl). Помимо этого Fe в различных степенях окисления может одновременно содержаться в силикатах и оксидах и в зависимости от условий минералообразования участвовать в процессах изоморфизма (взаимозаменяемости) Fe(II) и Mg, а также Fe(III) и Al. Содержание Fe и соотношение Fe2O3 : FeO являются важными характеристиками сырья для производства минеральных волокон и целей петрургии. В восстановительной атмосфере FeO разрушает кремнекислородные комплексы, снижая вязкость, повышая кристаллизационную способность и увеличивая литейный интервал. Последнее обстоятельство наиболее важно для получения непрерывных минеральных волокон. В окислительной атмосфере Fe2O3 выступает в роли стабилизатора силикатных расплавов.
Группа флюидов, члены которой могут присутствовать в магматических горных породах, включает: H2O, P, F, Cl, S, C и др. Кратко остановимся только на главном флюидном компоненте горных пород – воде. В анализах она обозначается обычно как H2O̶ и H2O+. Первая отражает количество воды, выделившейся при нагревании до 110°С, вторая – выше этой температуры. Поэтому первую рассматривают как “горную влажность”, а вторую как “конституционную воду”, входящую в состав минералов или стекол вулканических пород.
Основной целью дальнейших исследований являлось нахождение равновесного распределения компонентов между фазами, образующимися при нагревании трахиандезибазальта в широком интервале температур в разных газовых фазах. Созданная для этого физико-химическая модель использовала базы данных, приведенных в работах [15–18].
При увеличении температуры в плавильном аппарате газ подается принудительно, и регулировкой его подачи можно создавать соответствующую среду: окислительную – путем подачи воздуха (при необходимости с добавлением кислорода), восстановительную – добавлением к воздуху коксового газа (или водорода); инертную – подачей азота или его смеси с аргоном. В дальнейшем при обозначении газовой фазы (атмосферы) нагрева мы будем использовать термины кислород, водород и аргон.
Термин “плавление” в применении к магматическим горным породам не точен, так как при нагревании сначала плавятся легкоплавкие компоненты, в расплаве которых могут растворяться более тугоплавкие составляющие. При этом плавление некоторых минералов может быть инконгруэнтным. Часть твердой фазы остается в виде микрочастиц, которые при перегреве расплава на 150–200°С с последующим охлаждением становятся центрами кристаллизации [19]. В связи с этим правильнее говорить о начале и интервале плавления (кристаллизации) или использовать выражение “формирование расплава”.
Фазовые составы продуктов нагревания трахиандезибазальта (при атмосферном давлении в отсутствие флюидов) в окислительной, восстановительной и инертной атмосфере приведены в табл. 1 и свидетельствуют о том, что, изменяя атмосферу нагрева, можно целенаправленно влиять на состав образующихся продуктов [20].
Содержание Pl и K-Fsp практически не изменяется при нагревании во всем интервале температур независимо от атмосферы плавления.
Первыми в расплав во всех атмосферах при 1000°С начинают переходить K-Fsp, а также Ab. При 1100°С K-Fsp полностью переходит в расплав, а Ab – в количестве 30% [21].
Клинопироксены во всем интервале температур при всех атмосферах представлены Di и ti-Aug, а в восстановительной и инертной атмосфере образуется еще и Hed.
Максимальное содержание Di (9%) наблюдается в окислительной атмосфере при 800 и 900°С. Затем содержание минерала снижается и при 1400°С составляет 6%. В атмосфере Н2 при 800–1400°С содержание Di составляет 3%, а в Аr оно остается постоянным (5%) во всем интервале температур.
В атмосфере О2 в интервале температур 800–1100°С ti-Aug присутствует в количестве 2%, а при 1200–1400°С – 3%. В атмосфере Н2 и Ar во всем интервале температур содержание ti-Aug (4%) остается постоянным.
Hed в интервале температур 800–900°С присутствует только в восстановительной и инертной атмосфере в количестве 3 и 2%, а при 1000–1100°С – 4 и 2% соответственно. При температурах 1200–1400°С Hed присутствует во всех атмосферах в количестве: О2 – 1%, Н2 – 4% и Ar – 2%.
В окислительной атмосфере в интервале температур 800–1200°С Ol присутствует в количестве 1%, а при 1300–1400°С – 2%; в восстановительной атмосфере в интервале температур 800–1400°С – в количестве 10%; в инертной атмосфере в интервале температур 800–1300°С – 3%, а при 1400°С – 4%.
При 800°С Q присутствует в атмосфере О2 в количестве 6%, в Н2 – 3%, в Ar – 5%. Начиная с 900°С кварц присутствует в виде высокотемпературной модификации тридимита (Trd). В интервале температур 900–1300°С его содержание в О2 составляет 6%, в Н2 – 3%, в Ar – 5%. При 1400°С содержание Trd в Н2 и Ar в этом интервале температур остается прежним, а в атмосфере О2 снижается до 5%.
В О2 при 800–1300°С Mt присутствует в количестве 7%, а при 1400°С – 6%, в атмосфере Ar при 800–900°С – 5.5%, а при 1000–1400°С – 5%.
РЕЗУЛЬТАТЫ И ОБСУЖДЕНИЕ
Основываясь на приведенных данных о химическом и минеральном составе трахиандезибазальта, а также изменении их при нагревании в разных атмосферах, можно сделать предварительный вывод о возможности использования этой породы для производства минеральных волокон после модифицирования ее состава [22].
Как видно из данных табл. 1, при нагревании в разных газовых фазах, содержание основных компонентов породы (плагиоклазов, клинопироксенов, кварца и магнетита) не претерпевает существенных изменений. Что касается оливина, то его количество заметно возрастает только при проведении процесса нагревания в восстановительной атмосфере. Отсюда следует, что методом модифицирования состава трахиандезибазальта может быть частичный отбор расплава Ab и K-Fsp, а также магнитная сепарация (изменение содержания ti-Aug и Mt).
Современные возможности ФХМ [13] позволяют рассчитать количество того или иного минерального вида или отдельного минерала, перешедшее в расплав при определенной температуре. При видимом однообразии минералов магматических горных пород габбро-базальты характеризуются заметными вариациями химического состава [8]. В формировании расплава участвуют все составляющие пород, а мерой их комплексного влияния [24] являются кислотно-основные свойства, характеризующиеся коэффициентом кислотности К:
На основе многолетних наблюдений установлено, что для производства минеральных волокон целесообразно использовать сырье с коэффициентом кислотности 2.00–2.35.
Значение К рассматриваемого образца трахиандезибазальта составляет 3.02, что не позволяет использовать это сырье непосредственно для получения минеральных волокон. Вместе с тем из приведенных в табл. 1 данных видно, что при 1000°С в атмосфере кислорода в расплав переходят (%): 13 Ab, 10 K-Fsp и 1 An. Отделение этой части расплава от общей массы позволяет снизить значение К и использовать оставшуюся часть шихты для получения волокна.
Расширение областей применения изделий из габбро-базальтовых пород, например для изготовления электроизоляционных материалов, несущих конструкции антенн, локаторов и др., потребовало контроля содержания железа в исходном сырье и конечных продуктах. В этой связи были выполнены исследования магнитного поведения различных фракций измельченного трахиандезибазальта.
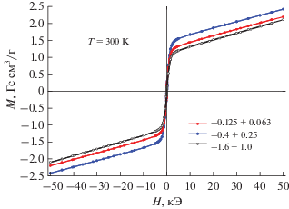
Магнитные свойства трахиандезибазальта в основном определяются входящими в его состав оксидами железа. Для исследований использовали фракции с размерами частиц –0.125 + 0.063, –0.4 + 0.25, –1.6 + 1.0 (– размер отверстий верхнего сита (мм), + размер отверстий нижнего сита (мм)). Определение температурной зависимости удельной намагниченности показало, что она существенно зависит от гранулометрического состава фракций.
В табл. 2 приведены основные магнитные характеристики фракций: Нс – коэрцитивная сила, М – намагниченность при (Т, Н). Как видно из данных табл. 2, а также рис. 1 и 2, при температуре 300 K абсолютная величина намагниченности фракции –0.4 + 0.25 мм в магнитных полях порядка 100 Э является наибольшей, в то время как намагниченность фракции –1.6 + 1.0 мм – наименьшей.
Таблица 2.
Магнитные характеристики фракций трахиандезибазальта
| Фракция, мм* | Hc, Э | M, Гс см3/г | ||
|---|---|---|---|---|
| 4 K, 5 кЭ | 300 K, 5 кЭ | 300 K, 50 кЭ | ||
| –0.125 + 0.063 | 48 | 6.14 | 1.33 | 2.19 |
| –0.4 + 0.25 | 34 | 6.48 | 1.54 | 2.42 |
| –1.6 + 1.0 | 12 | 6.78 | 1.20 | 2.11 |
Результаты исследования магнитных свойств показали, что при комнатной температуре магнитной сепарацией наиболее эффективно будет разделяться фракция –0.4 + 0.25 мм из-за наибольшей намагниченности, обусловленной содержанием железа именно в этой фракции. При необходимости обогащения трахиандезибазальта магнитной фракцией следует использовать фракцию –0.4 + 0.25 мм как обладающую наибольшим ферромагнитным вкладом в намагниченность.
ЗАКЛЮЧЕНИЕ
Физико-химическое моделирование основных технологических процессов переработки габбро-базальтового сырья, представленного тем или иным видом магматических горных пород, показало, что для его рационального использования необходимо иметь надежные данные о его химическом и минеральном составе.
На примере трахиандезибазальта показано, что, меняя состав газовой фазы при плавлении (кристаллизации) магматических горных пород, можно целенаправленно менять их фазовый (минеральный) состав.
Предложенные методы модифицирования состава трахиандезибазальта, основанные на частичном отборе расплава на начальной стадии плавления шихты и магнитной сепарации [23], позволяют создать энергосберегающие и экологически безопасные технологии переработки габбро-базальтового сырья для целей петрургии, получения каменной керамики и минеральных волокон.
Список литературы
Bychinskii V.A., Fomichev S.V., Chudnenko K.V. et al. // Russ. J. Inorg. Chem. 2012. V. 57. № 6. P. 854. [Бычинский В.А., Фомичев С.В., Чудненко К.В. и др. // Журн. неорган. химии. 2012. Т. 57. № 6. С. 925.]
Koroleva O.N., Bychinskii V.A., Tupitsyn A.A. et al. // Russ. J. Inorg. Chem. 2015. V. 60. № 9. P. 1104. [Королева О.Н., Бычинский В.А., Тупицын А.А. и др. // Журн. неорган. химии. 2015. Т. 60. № 9. С. 1211.]
Krenev V.A., Fomichev S.V., Dergacheva N.P. et al. // Inorg. Mater. V. 54. P. 859. [Кренев В.А., Фомичев С.В., Дергачева и др. // Неорган. материалы. 2018. Т. 54. № 8. С. 907.]https://doi.org/10.1134/S0020168518080101
Krenev V.A., Pechenkina E.N., Fomichev S.V. // Russ. J. Inorg. Chem. 2019. V. 64. № 5. P. 645. [Кренев В.А., Печенкина Е.Н., Фомичев С.В. // Журн. неорган. химии. 2019. Т. 64. № 5. С. 532.]https://doi.org/10.1134/S0036023619050127
Krenev V.A., Fomichev S.V., Pechenkina E.N. // Russ. J. Inorg. Chem. 2019. V. 64. № 11. P. 1446. [Кренев В.А., Фомичев С.В., Печенкина Е.Н. // Журн. неорган. химии. 2019. Т. 64. № 11. С. 1219.]https://doi.org/10.1134/S0036023619110093
Граменицкий Е.И., Котельников А.Р., Батанова А.М. и др. Экспериментальная и техническая петрология. М.: Научный мир, 2000. С. 416.
Новицкий А.Г., Ефремов М.В. // Стекло и керамика. 2012. № 12. С. 17.
Магматические горные породы / Под ред. Богатикова О.А. Т. 1. Ч. 1 и 2. М.: Наука, 1983. 768 с.
Афанасьева М.А., Бардина М.Ю., Богатиков О.А. и др. Петрография и петрология магматических, метаморфических и метасоматических горных пород. М.: Логос, 2001. 768 с.
Иванов Б.В. Андезиты Камчатки. М.: Наука, 2008. 364 с.
Минералы (справочник). Т. III. Вып. 2. М.: Наука, 1981. 484 с.
Бетехтин А.Г. Курс минералогии. М.: КДУ, 2010. 736 с.
Чудненко К.В. Термодинамическое моделирование в геохимии: теория, алгоритмы, программное обеспечение, приложения. Новосибирск: Гео, 2010. 287 с.
Буланов В.А., Сизых А.И. Кристаллохимизм породообразующих минералов. Иркутск, 2005. 220 с.
Berman R.G. // J. Petrol. 1988. V. 29. № 2. P. 455.
Powell R., Holland T.J.B. // Am. Mineral. 1993. V. 78. P. 1174.
Powell R., Holland T.J.B. // Am. Mineral. 1999. V. 84. P. 1.
Dolejs D., Wagner Th. // Geochim. Cosmochim. Acta. 2008. V. 72. P. 526.
Вольдман Я. Исследование процессов плавления и кристаллизации горных пород типа базальта. Проблемы каменного литья. Киев: Изд-во АН УССР, 1963. 65 с.
Krenev V.A., Dergacheva N.P., Fomichev S.V. et al. // Inorg. Mater. V. 54. P. 374. [Кренев В.А., Дергачева Н.П., Фомичев С.В. и др. // Неорган. материалы. 2018. Т. 54. № 4. С. 394.]https://doi.org/10.1134/S0020168518040076
Бабиевская И.З., Гавричев К.С., Дергачева Н.П. и др. Способ плавления базальтового сырья. Пат. RU 2 297 986 C1. Опубл. 27.04. 2007. Бюл. изобр. 12.
Дергачева Н.П., Дробот Н.Ф., Фомичев С.В. и др. // Хим. технология. 2016. Т. 17. № 8. С. 338.
Дробот Н.Ф., Носкова О.А., Баранчиков А.Е. и др. // Хим. технология. 2016. Т. 17. № 12. С. 531.
Fomichev S.V., Babievskaya I.Z., Dergacheva N.P. et al. // Inorg. Mater. 2010. V. 46. P. 1121. [Фомичев С.В., Дергачева Н.П., Кренев В.А. и др. // Неорган. материалы. 2010. Т. 46. № 10. С. 1240.]
Дополнительные материалы отсутствуют.
Инструменты
Журнал неорганической химии




