Известия РАН. Механика жидкости и газа, 2023, № 6, стр. 144-167
СВЕРХЗВУКОВОЕ ОБТЕКАНИЕ ЗАОСТРЕННОЙ ПЛАСТИНЫ С ПОВЕРХНОСТНЫМ АНОМАЛЬНЫМ ТЛЕЮЩИМ РАЗРЯДОМ В МАГНИТНОМ ПОЛЕ
a Институт проблем механики им. А.Ю. Ишлинского РАН
Москва, Россия
* E-mail: surg@ipmnet.ru
Поступила в редакцию 09.09.2023
После доработки 10.09.2023
Принята к публикации 12.09.2023
- EDN: UXTNQH
- DOI: 10.31857/S1024708423600598
Аннотация
С использованием модифицированной амбиполярной модели квазинейтральной электроразрядной плазмы численно исследована электродинамическая структура аномального тлеющего разряда между двумя плоскими электродами, расположенными на поверхности заостренной пластины, обтекаемой сверхзвуковым потоком молекулярного азота в широком диапазоне чисел Маха. Выполнена модификация коэффициента амбиполярной диффузии и эффективной скорости ионизации при учете внешнего магнитного поля. Задача решается в двухмерной х–у постановке, в которой вектор индукции внешнего магнитного поля направлен в положительном или отрицательном направлении оси z. Численно исследованы параметры аномального тлеющего разряда в диапазоне давлений р = 0.14–5 Торр и падений напряжения на квазинейтральном токовом столбе разрядной плазмы V = 30–320 В. Определены основные параметры задачи, позволяющие получить разумное согласие с имеющимися экспериментальными данными.
ВВЕДЕНИЕ
На классическом схематическом изображении вольтамперной характеристики электрических разрядов (от несамостоятельного до дугового) [1–5] область существования аномального тлеющего разряда характеризуется токами I ~ 10–2–1 А и напряжениями на электродах V ~ 102–103 В. Указаны приближенные границы области существования, которые в значительной степени определяются многими параметрами и условиями горения стационарных аномальных разрядов. Среди важных характерных признаков аномальных тлеющих разрядов, представляющих интерес для данной работы, отметим полное заполнение газоразрядной плазмой поверхностей электродов и формирование на их границах локальных областей повышенных значений напряженности электрического поля и концентраций заряженных частиц, которые, в конечном счете, являются одной из причин электрического пробоя и/или перехода аномального тлеющего разряда в дуговой.
Повышенное внимание к изучению структуры и закономерностей существования аномальных тлеющих разрядов в прошедшие десятилетия было обусловлено многими физико-техническим приложениями, связанными с созданием магнитогазодинамических генераторов, электроразрядных лазеров, развитием плазмохимии и поисками эффективных технологий плазменной аэродинамики. Отметим, что аномальные тлеющие разряды занимают весьма скромное место в ряду широкого спектра изучаемых в фундаментальных и прикладных исследованиях разрядов постоянного тока, импульсных, высокочастотных и сверхвысокочастотных разрядов. Тем не менее несомненным преимуществом этого типа разрядов является то, что это относительно простые объекты физики газового разряда, часто не требующие для своего описания многообразия процессов физико-химической кинетики. Несомненным достоинством аномальных тлеющих разрядов является возможность их исследования в лабораторных условиях и в таких конфигурациях, которые позволяют построение соответствующих расчетно-теоретических моделей, предназначенных для изучения закономерностей их существования. В качестве одного из таких примеров можно привести эксперименты [6, 7], где аномальный тлеющий разряд изучался в простейшей конфигурации обтекания заостренной пластины, на поверхности которой располагались заподлицо два электрода, генерирующие приповерхностный тлеющий разряд постоянного тока. Получены важные для задач плазменной аэродинамики опытные данные по характерным вольтамперным характеристикам и влиянии поперечного к потоку магнитного поля с индукцией до 1 Тл на параметры пограничных слоев. Схематическое изображение этих экспериментов показано на рис. 1а. Серия подобных экспериментов послужила мотивацией для развития компьютерных моделей аномальных тлеющих разрядов [8, 9].
1. ФОРМУЛИРОВКА МОДИФИЦИРОВАННОЙ АМБИПОЛЯРНОЙ МОДЕЛИ
При расчетном исследовании структуры газоразрядной плазмы, включая аномальные тлеющие разряды, большое распространение получила диффузионно-дрейфовая модель [9–11], которая позволила изучить структуру тлеющих разрядов в одномерной, двухмерной и трехмерных постановках, в том числе в газовых потоках [12]. Указанная модель получена в результате упрощения уравнений движения многожидкостной частично ионизованной смеси газов, получаемых, в свою очередь, из уравнений Больцмана с использованием моментной процедуры [13–15]. Для двухжидкостной и двухтемпературной модели тлеющего разряда, которая наиболее широко используется в компьютерной физике газового разряда, диффузионно-дрейфовая модель имеет вид [5, 9]
(1.1)
$\frac{{\partial {{n}_{e}}}}{{\partial t}} + {\text{div}}{{\Gamma }_{e}} = \alpha \left| {{{\Gamma }_{e}}} \right| - \beta {{n}_{e}}{{n}_{i}},$(1.2)
$\frac{{\partial {{n}_{i}}}}{{\partial t}} + {\text{div}}{{\Gamma }_{i}} = \alpha \left| {{{\Gamma }_{e}}} \right| - \beta {{n}_{e}}{{n}_{i}},$${\mathbf{E}}$ и φ – вектор напряженности электрического поля и его потенциал; ${{D}_{e}}$, ${{D}_{ + }}$ – коэффициенты диффузии электронов и ионов; ${{\mu }_{e}}$, ${{\mu }_{ + }}$ – подвижности электронов и ионов.
Правые части уравнений (1.1) и (1.2) содержат два слагаемых: $\alpha \left| {{{{\mathbf{\Gamma }}}_{e}}} \right|$ – объемная скорость ионизации и $\beta {{n}_{e}}{{n}_{i}}$ – объемная скорость рекомбинации (в 1/(см3 · с)), так что сумма этих двух слагаемых определяет суммарную скорость рождения/рекомбинации заряженных частиц в газоразрядной плазме. Использование коэффициента Таунсенда здесь требует некоторых пояснений. При анализе элементарных процессов в газоразрядной плазме типа тлеющего разряда Ю.П. Райзер [5] определяет частоту ионизации ${{{v}}_{i}}$ и скорость дрейфа электронов в электрическом поле ${{{v}}_{{e,dr}}}$ как “первичные” величины, непосредственно вычисляемые на основе рассмотрения микроскопического процесса. И если частота ионизации ${{{v}}_{i}}$ позволяет определить константу скорости ионизации (объемную скорость ионизационных процессов)
где N – концентрация нейтральных частиц, на фоне которых развивается процесс ионизации, то скорость дрейфа электронов характеризует ту среднюю скорость электронов, приобретаемую во внешнем электрическом поле, которая в конечном счете также определяет эффективность ионизационных процессов. Подвижность электронов определяется через частоту столкновения электронов с нейтральными частицами ${{{v}}_{n}}$Как уже отмечалось, частота ионизации ${{{v}}_{i}}$ может быть определена из решения кинетического уравнения для электронов, в котором учитывается многообразие элементарных кинетических процессов, включая процессы электронного, колебательного и вращательного возбуждения внутренних степеней свободы атомов и молекул. В принципе, вместо слагаемого $\alpha \left| {{{{\mathbf{\Gamma }}}_{e}}} \right|$ в (1.1) и (1.2), можно использовать непосредственно константу скорости ионизации ${{k}_{i}}$. Однако это означает, что при решении уравнений диффузионно-дрейфовой модели (а это фактически феноменологическая модель определения усредненных характеристик газоразрядной плазмы) придется дополнительно решать кинетическое уравнение для электронов, что является самостоятельной задачей, требующей корректного анализа вероятностей учитываемых элементарных процессов, или использовать аппроксимации ранее полученных решений (если они имеются для условий, близких к рассматриваемым). Поэтому при решении задач физики газоразрядной плазмы в рамках диффузионно-дрейфовых моделей более удобно использовать именно первый ионизационный коэффициент Таунсенда α, достаточно надежно определяемый в эксперименте [3, 5], и связанный с “первичными” функциями следующим образом
Еще одним немаловажным преимуществом формулировки уравнений переноса заряженных частиц в виде (1.1) и (1.2) является удобство численного интегрирования данной системы, когда в правой части уравнений находятся в явном виде концентрация заряженных частиц и компоненты напряженности электрического поля. В таком виде интегрируемая система уравнений приобретает ясный феноменологический смысл: скорость ионизационных процессов пропорциональна плотности потоков электронов, где коэффициент пропорциональности α определяет число пар заряженных частиц, рождаемых электроном на единице длины в постоянном приведенном поле ${E \mathord{\left/ {\vphantom {E p}} \right. \kern-0em} p}$, где Е – модуль напряженности электрического поля и р – давление в газе (в физике газоразрядной плазмы часто используется близкий по смыслу параметр ${E \mathord{\left/ {\vphantom {E N}} \right. \kern-0em} N}$, где N – концентрация нейтральных частиц). Этот эмпирический коэффициент включает в себя все многообразие кинетических процессов, рассмотрение которых остается за рамками рассматриваемой модели.
Эта система уравнений использовалась в работах [10, 11, 16] при исследовании структуры нормального и аномального тлеющего разряда в двухмерной осесимметричной постановке. Итогом этих исследований было установление физического механизма, определяющего природу закона нормальной плотности тока [17].
В работе [18] дана формулировка диффузионно-дрейфовой модели в плоской двухмерной постановке для описания динамики нормального тлеющего разряда между двумя бесконечными электродами, расположенными напротив друг друга, между которыми движется газ с дозвуковой или сверхзвуковой скоростью.
Особенностью данной модели явился учет внешнего магнитного поля, поэтому векторы плотностей потоков электронов и ионов задавались в виде
В двухмерной x–y геометрии при учете только одной компоненты вектора индукции магнитного поля Bz вдоль оси z, уравнения указанной модели в проекциях на оси x и y имеют вид
(1.4)
$\frac{{\partial {{n}_{e}}}}{{\partial t}} + \frac{\partial }{{\partial x}}\left( {\frac{{{{\mu }_{e}}}}{{1 + b_{e}^{2}}}{{n}_{e}}{{E}_{{e,x}}} - \frac{{{{D}_{e}}}}{{1 + b_{e}^{2}}}\frac{{\partial {{n}_{e}}}}{{\partial x}}} \right) + \frac{\partial }{{\partial y}}\left( {\frac{{{{\mu }_{e}}}}{{1 + b_{e}^{2}}}{{n}_{e}}{{E}_{{e,y}}} - \frac{{{{D}_{e}}}}{{1 + b_{e}^{2}}}\frac{{\partial {{n}_{e}}}}{{\partial y}}} \right) = \alpha \left| {{{{\mathbf{\Gamma }}}_{e}}} \right| - \beta {{n}_{e}}{{n}_{i}},$(1.5)
$\frac{{\partial {{n}_{i}}}}{{\partial t}} + \frac{\partial }{{\partial x}}\left( {\frac{{{{\mu }_{i}}}}{{1 + b_{i}^{2}}}{{n}_{i}}{{E}_{{i,x}}} - \frac{{{{D}_{i}}}}{{1 + b_{i}^{2}}}\frac{{\partial {{n}_{i}}}}{{\partial x}}} \right) + \frac{\partial }{{\partial y}}\left( {\frac{{{{\mu }_{i}}}}{{1 + b_{i}^{2}}}{{n}_{i}}{{E}_{{i,y}}} - \frac{{{{D}_{i}}}}{{1 + b_{i}^{2}}}\frac{{\partial {{n}_{i}}}}{{\partial y}}} \right) = \alpha \left| {{{{\mathbf{\Gamma }}}_{e}}} \right| - \beta {{n}_{e}}{{n}_{i}}$(1.6)
$\frac{{{{\partial }^{2}}\varphi }}{{\partial {{x}^{2}}}} + \frac{{{{\partial }^{2}}\varphi }}{{\partial {{y}^{2}}}} = 4\pi e\left( {{{n}_{e}} - {{n}_{i}}} \right),$(1.7)
$\begin{gathered} {{E}_{{e,x}}} = {{b}_{e}}{{E}_{y}} - {{E}_{x}},\quad {{E}_{{e,y}}} = - {{b}_{e}}{{E}_{x}} - {{E}_{y}}, \\ {{E}_{{i,x}}} = {{E}_{x}} + {{b}_{i}}{{E}_{y}},\quad {{E}_{{i,y}}} = {{E}_{y}} - {{b}_{i}}{{E}_{x}}. \\ \end{gathered} $В указанные соотношения входят параметры Холла электронов и ионов
Замыкающие теплофизические и электрофизические соотношения задаются для молекулярного азота [3, 5]
(1.8)
$\begin{gathered} {{\mu }_{e}}\left( {p{\kern 1pt} *} \right) = \frac{{4.2 \times {{{10}}^{5}}}}{{p{\kern 1pt} *}},\;\frac{{{\text{с}}{{{\text{м}}}^{{\text{2}}}}}}{{{\text{В}} \cdot {\text{с}}}},\quad {{\mu }_{i}}\left( {p{\kern 1pt} *} \right) = \frac{{2280}}{{p{\kern 1pt} *}},\;\frac{{{\text{с}}{{{\text{м}}}^{{\text{2}}}}}}{{{\text{В}} \cdot {\text{с}}}}, \\ p{\kern 1pt} * = p\frac{{293}}{T},\;{\text{Торр,}}\quad {{D}_{e}} = {{\mu }_{e}}\left( {p{\kern 1pt} *} \right){{T}_{e}},\quad {{D}_{i}} = {{\mu }_{i}}\left( {p{\kern 1pt} *} \right){{T}_{i}}, \\ \end{gathered} $Коэффициент ионизации $\alpha $, определяемый аппроксимацией экспериментальных данных для условий горения тлеющего разряда в азоте при условиях, близких к рассматриваемым, задается в виде [3, 5]
(1.9)
$\alpha \left( E \right) = p{\kern 1pt} {\text{*}}A\exp \left[ { - \frac{B}{{\left( {{E \mathord{\left/ {\vphantom {E {p{\kern 1pt} *}}} \right. \kern-0em} {p{\kern 1pt} *}}} \right)}}} \right],\quad \frac{1}{{{\text{см}}}},$Изложенная логическая схема хорошо себя зарекомендовала при решении широкого класса задач газоразрядной плазмы. Однако при учете внешнего магнитного поля такой подход требует корректировки. В идеале было бы хорошо иметь зависимость $\alpha $ от магнитного поля. В принципе такая возможность имеется, если воспользоваться аппроксимациями решения кинетического уравнения для электронов относительно коэффициента ионизации. В данной работе применяется существенно более простой подход. Первый ионизационный коэффициент Таунсенда оставляется при учете магнитного поля без изменения, как характеристика ионизационных процессов при заданной плотности потока электронов и локального значения приведенного электрического поля ${E \mathord{\left/ {\vphantom {E p}} \right. \kern-0em} p}$. Модификации в правой части (1.4) и (1.5) подвергается плотность дрейфового потока электронов
где а компоненты эффективного электрического поля определяются формулами (1.7). Очевидно, что при ${{b}_{e}}$ < 1, т.е. в случае слабых магнитных полей, степень модификации объемной скорости ионизации оказывается не слишком заметной. Но при ${{b}_{e}} \gg 1$ получается заметное снижение скорости ионизации, что качественно верно отражает тенденцию снижения эффективности ионизационных процессов при учете магнитного поля.Диффузионно-дрейфовая модель позволяет приближенно описать области пространственного заряда между электродами и рассчитать суммарный ток, протекающий через токовый столб разряда, что в свою очередь позволяет учесть внешнюю электрическую цепь. При необходимости [10, 11] удается учесть нестационарные процессы накопления зарядов на электродах. При учете внешней электрической цепи задается дополнительное уравнение
где $V$ – падение напряжения на электродах; $I$ – разрядный ток; ε – э.д.с. источника питания; ${{R}_{0}}$ – внешнее балластное сопротивление. Полный ток через разряд рассчитывается по формулеВыделение тепла в частично ионизованном газе за счет протекания тока рассчитывается по формуле
Для расчета параметров поверхностного тлеющего разряда в плоской геометрии все интегральные параметры (например, полный ток) должны быть отнесены к единице длины в направлении оси z.
Из приведенных соотношений видно, что в присутствии поперечного магнитного поля (Bz) усредненное по ларморовскому вращению заряженных частиц движение электронной и ионной жидкостей можно рассматривать в эффективном электрическом поле. Заметим, что в общем виде соотношения для динамики плазменных потоков при произвольной ориентации векторов напряженности электрического и магнитного полей приведены и подробно обсуждаются в [19–21].
Указанная постановка задачи оказалась также очень удобной для анализа аномального тлеющего разряда между электродами конечной ширины, расположенными на одной или противоположных поверхностях [22]. Однако при численном моделировании структуры аномальных тлеющих разрядов обнаружилось, что диффузионно-дрейфовая модель становится чрезвычайно и неоправданно трудоемкой вследствие необходимости интегрирования уравнения Пуассона (1.3), (1.6) для нахождения электрического потенциала во всей расчетной области, включая протяженную область положительного столба (область квазинейтральной плазмы) и, в особенности, в областях приэлектродных границ, где наблюдаются большие градиенты электрического потенциала. Наличие в правой части уравнений (1.1), (1.2) и (1.4), (1.5) источниковых слагаемых для скорости ионизации с экспоненциальной зависимостью от напряженности электрического поля приводит к быстро развивающейся численной неустойчивости (физический аналог – ионизационно-перегревная неустойчивость). Эти два главных фактора делают неэффективной расчетную методику, основанную на решении уравнения Пуассона. Следует принять во внимание также тот факт, что, как правило, области пространственного заряда располагаются близко к электродам и занимают малую часть токового канала.
Исходя из сказанного, в работе [23] было предложено для решения подобных задач использовать амбиполярную модель аномального тлеющего разряда. Если учесть только квазинейтральную область разряда, т.е. сделать следующие допущения
(1.10)
$\frac{{\partial n}}{{\partial t}} + \frac{{\partial un}}{{\partial x}} + \frac{{\partial {v}n}}{{\partial y}} = \frac{\partial }{{\partial x}}\left( {\mu _{{e,B}}^{*}{{D}_{{a,B}}}\frac{{\partial n}}{{\partial x}}} \right) + \frac{\partial }{{\partial y}}\left( {\mu _{{e,B}}^{*}{{D}_{{a,B}}}\frac{{\partial n}}{{\partial y}}} \right) + \dot {\omega }_{e}^{*},$(1.11)
$\frac{\partial }{{\partial x}}\left( {n\frac{{\partial \varphi }}{{\partial x}}} \right) + \frac{\partial }{{\partial y}}\left( {n\frac{{\partial \varphi }}{{\partial y}}} \right) = 0,$Объемная мощность джоулева тепловыделения и силы, действующей на токовый канал в магнитном поле, определяются по общим соотношениям электродинамики [19]
В рассматриваемом двухмерном случае
Приведем оценки физических параметров, характеризующих рассматриваемый класс тлеющих разрядов и применяемую амбиполярную модель.
Применение амбиполярной модели является вполне оправданным, поскольку типичная величина радиуса экранирования Дебая
cоставляет величину порядка ${{r}_{D}}$ ~ 10–3 см (приняты для оценки характерные значения ${{n}_{e}}$ ~ 1011 см–3, ${{T}_{e}}$ ~ 11 610 K).В данной работе рассматривается диапазон индукции магнитного поля ${{B}_{z}} < 0.5$ Тл, что позволяет оценить ларморовские частоты электронов и ионов (например, ${\text{N}}_{2}^{ + }$) ${{\omega }_{e}}$ = 8.7 × 1010 c–1, ${{\omega }_{i}}$ = 1.56 × 106 c–1 и параметры Холла при самых низких из исследованных давлений p ~ 0.1 Торр, ${{b}_{e}}$ ~ 100, ${{b}_{i}}$ ~ 0.5. Именно столь экстремально высокие значения ${{b}_{e}}$ представляют значительный интерес для исследуемой модели, поскольку получаемые с ее использованием вольтамперные характеристики и эффекты воздействия магнитного поля на газодинамическую структуру пограничного слоя дают, в известном смысле, на удивление хорошее качественное и даже количественное согласие с экспериментом [7]. Вместе с этим заметим, что в пограничном слое у обтекаемой поверхности формируется давление в несколько раз выше, чем отмеченное, и фактически указанные параметры Холла оказываются также в несколько раз ниже, к тому же значительная часть расчетов будет выполнена при параметрах Холла электронов меньше единицы.
Оценим для р = 1 Торр характерные значения подвижностей и коэффициентов диффузии (здесь Te и Ti измеряются в эВ)
Оценим характерные значения скоростей движения заряженных частиц:
– тепловая скорость движения электронов
– дрейфовые скорости электронов и ионов в электрическом поле напряженностью Епс ~ 300 см/с, характерной для положительного столба тлеющего разряда нормальной плотности
Отсюда следует, что дрейфовые скорости ионов оказываются соизмеримыми со скоростью нейтрального газа ${{{v}}_{n}}\sim {{10}^{5}}{\kern 1pt} - {\kern 1pt} {{10}^{6}}$ см/с. При этом следует иметь в виду, что при обтекании поверхности, на которой расположены электроды, приповерхностный тлеющий разряд частично располагается внутри пограничного слоя, на внешней границе которого скорости нейтральных частиц могут превосходить дрейфовые скорости ионов, а внутри пограничного слоя – быть заметно ниже.
Отметим некоторые свойства сформулированной амбиполярной модели.
1. В данной работе рассматривается частный двухмерный случай горения тлеющего разряда в поперечном магнитном поле. В общем случае введенные коэффициенты с учетом магнитного поля составляют компоненты тензора подвижности и диффузии.
2. Следует иметь в виду важное ограничение использования амбиполярных моделей для расчета параметров аномального тлеющего разряда у обтекаемой газом поверхности. Используемую в физике газового разряда аппроксимацию коэффициента ионизации в форме 1-го коэффициента Таунсенда (1.9) рекомендуется применять в ограниченном диапазоне приведенного поля
В работе [5] показано, что при понижении давления p ≤ 0.1 Торр типичные значения приведенных полей становятся настолько большими, что для определения скорости ионизационных процессов необходимо учитывать иной механизм ионизации. При низких давлениях необходимо также применять другие, чем (1.8), соотношения для расчета подвижностей электронов и ионов.
Учитывая сказанное, анализируемую в данной работе расчетную модель рекомендуется использовать при $1 \leqslant p \leqslant 10$ Торр. При меньших давлениях необходимо дальнейшее исследование обоснованности использования приведенной амбиполярной модели в сильном магнитном поле. При больших давлениях требуется выполнить дополнительный анализ замыкающих электрофизических параметров, а также роли амбиполярного дрейфа [5].
3. К сожалению, упрощение математической постановки задачи об аномальном тлеющем разряде у поверхности при использовании амбиполярной модели делает плохо реализуемым алгоритм учета внешней электрической цепи. В амбиполярной модели, по определению, исключаются приэлектродные области пространственного заряда. Здесь фигурирует лишь падение потенциала между приэлектродными слоями (аналог – положительный столб, в котором известно только падение потенциала между катодным и анодным слоями). Таким образом, при решении задачи в амбиполярном приближении в качестве определяющего параметра приходится задавать падение потенциала между границами токового слоя у электродов. В результате решения задачи находится лишь полный ток через электроразрядный промежуток. Использование в предыдущих работах [22, 23] условий полной электрической цепи для амбиполярной модели следует рассматривать как математический прием демпфирования переходного режима формирования установившегося (стационарного) решения. Без использования такого демпфирования поиск установившегося решения может быть затруднительным. В самом деле, задание фиксированного значения падения напряжения на токовом столбе квазинейтральной плазмы часто приводит либо к численному погасанию разряда, либо к неограниченному возрастанию концентраций электронов.
4. Уравнения амбиполярной модели (в рассматриваемой двумерной постановке с поперечным магнитным полем) не содержат информации по направлению вектора индукции магнитного поля. То есть наличие магнитного поля не вносит в задачу какой-либо анизотропии. Однако при решении сопряженной электрофизической и газодинамической задачи такая информация содержится в направлении объемной магнитной силы, порождаемой взаимодействием вектора индукции магнитного поля с токовым каналом.
2. МАТЕМАТИЧЕСКАЯ ПОСТАНОВКА СОПРЯЖЕННОЙ ЗАДАЧИ О ТЛЕЮЩЕМ РАЗРЯДЕ В ПОТОКЕ ГАЗА
Система уравнений амбиполярной модели тлеющего разряда (1.10), (1.11) численно решается совместно с уравнениями Навье–Стокса и уравнением сохранения энергии, определяющими распределение скорости, давления и температуры в газе
(2.2)
$\frac{{\partial \rho u}}{{\partial t}} + {\text{div}}\,\left( {\rho u{\mathbf{V}}} \right) = - \frac{{\partial p}}{{\partial x}} - \frac{2}{3}\frac{\partial }{{\partial x}}\left( {\mu \,{\text{div}}{\mathbf{V}}} \right) + \frac{\partial }{{\partial y}}\left[ {\mu \left( {\frac{{\partial u}}{{\partial y}} + \frac{{\partial {v}}}{{\partial x}}} \right)} \right] + 2\frac{\partial }{{\partial x}}\left( {\mu \frac{{\partial u}}{{\partial x}}} \right) + {{F}_{{B,x}}},$(2.3)
$\frac{{\partial \rho {v}}}{{\partial t}} + {\text{div}}\left( {\rho {v}{\mathbf{V}}} \right) = - \frac{{\partial p}}{{\partial y}} - \frac{2}{3}\frac{\partial }{{\partial y}}\left( {\mu {\text{div}}{\mathbf{V}}} \right) + \frac{\partial }{{\partial x}}\left[ {\mu \left( {\frac{{\partial u}}{{\partial y}} + \frac{{\partial {v}}}{{\partial x}}} \right)} \right] + 2\frac{\partial }{{\partial y}}\left( {\mu \frac{{\partial {v}}}{{\partial y}}} \right) + {{F}_{{B,y}}},$(2.4)
$\rho {\kern 1pt} {{c}_{p}}\frac{{\partial T}}{{\partial t}} + \rho {\kern 1pt} {{c}_{p}}{\mathbf{V}}{\text{grad}}T = \frac{{\partial p}}{{\partial t}} + {\mathbf{V}}{\text{grad}}p + {\text{div}}\left( {\lambda \,{\text{grad}}T} \right) + {{Q}_{J}},$Система уравнений (2.1)–(2.3) интегрируется совместно с термическим и калорическим уравнениями состояния идеального совершенного газа
где ${{R}_{0}} = 8.314 \times {{10}^{7}}$ эрг/(моль ⋅ K) – универсальная газовая постоянная; ${{M}_{\Sigma }}$ = 28 г/моль – молекулярный вес газа; $e,{{c}_{{v}}}$ – внутренняя энергия совершенного газа и удельная теплоемкость при постоянном объеме; ${{c}_{p}} = \gamma {{c}_{{v}}}$; γ = 1.4.Граничные условия задают невозмущенный набегающий поток
На поверхности обтекаемого тела задаются условия прилипания и температура поверхности
где $y$ – нормальная к поверхности координатная линия.В правой части уравнений, выражающих закон сохранения импульса в проекциях на координатные оси (2.2), (2.3) входят компоненты магнитной силы ${{{\mathbf{F}}}_{B}} = \left[ {{\mathbf{j}} \times {\mathbf{B}}} \right]$, а в правой части уравнения сохранения энергии (2.4) – слагаемое ${{Q}_{J}}$, отвечающее джоулевому тепловыделению в газе, ${{Q}_{J}} = ({\mathbf{j}} \cdot {\mathbf{E}})$. Именно эти слагаемые математически связывают газодинамические процессы с электродинамическими процессами, протекающими в электрическом разряде.
При решении системы уравнений амбиполярной модели задаются следующие граничные условия:
Здесь ${{x}_{{{{C}_{1}}}}}$, ${{x}_{{{{C}_{2}}}}}$, ${{x}_{{{{A}_{1}}}}}$, ${{x}_{{{{A}_{2}}}}}$-координаты точек C, D, E, F на рис. 1а; NI, NJ – число точек конечно-разностной сетки вдоль осей y и х соответственно; ${{L}_{y}}$ – высота расчетной области.
Таблица 1.
Исходные данные и интегральные результаты расчетных вариантов
| Вар. | p, Торр | M | $V$, В | ${{B}_{z}}$, Тл | $I$, А | Ui, max |
|---|---|---|---|---|---|---|
| 1 | 0.14 | 0 | 120 | 0 | 550. | 70 628 |
| 1 | 0.14 | 0 | 60 | 0 | 14.0 | 15 200 |
| 1 | 0.14 | 0 | 30 | 0 | 0.00014 | 0.211 |
| 1 | 0.14 | 20 | 120 | 0 | 0.00022 | 0.194 |
| 1 | 0.14 | 20 | 120 | 0.3 | 0.00023 | 0.196 |
| 1 | 0.14 | 20 | 120 | +0.3 | 0.00021 | 0.226 |
| 2 | 0.14 | 12 | 60 | 0 | 0.0168 | 12.6 |
| 2 | 0.14 | 12 | 60 | –0.5 | 0.017 | 11.0 |
| 2 | 0.14 | 12 | 60 | +0.2 | 0.016 | 16.8 |
| 3 | 0.5 | 0 | 60 | 0 | 5.97Е–05 | 0.156 |
| 3 | 0.5 | 0 | 120 | 0 | 2.56 | 11163 |
| 3 | 0.5 | 12 | 120 | 0 | 0.00018 | 0.225 |
| 3 | 0.5 | 12 | 120 | –0.3 | 0.00016 | 0.216 |
| 3 | 0.5 | 12 | 120 | +0.3 | 0.00017 | 0.239 |
| 4 | 5.0 | 0 | 320 | 0 | 0.00013 | 0.248 |
| 4 | 5.0 | 6 | 320 | 0 | 0.024 | 191 |
| 4 | 5.0 | 6 | 320 | –0.5 | 0.024 | 192 |
| 4 | 5.0 | 6 | 320 | +0.5 | 0.027 | 215 |
При численном интегрировании системы сопряженных уравнений (1.10), (1.11), (2.1)–(2.4) необходимо весьма тщательно подготавливать конечно-разностную сетку, обеспечивая сгущение узлов вблизи поверхности и в окрестности электродов. Пример такой расчетной сетки приведен на рис. 1б. Видно сильное сгущение конечно-разностной сетки вблизи поверхности и в окрестности электродов. Местоположение электродов показано прямоугольниками на рисунках.
3. РЕЗУЛЬТАТЫ ЧИСЛЕННОГО МОДЕЛИРОВАНИЯ
Моделируемый в данной работе аномальный тлеющий разряд между двумя плоскими электродами, расположенными на обтекаемой сверхзвуковым потоком молекулярного азота поверхности (рис. 1а), является весьма сложной физически согласованной системой, структура которой в первую очередь определяется следующими параметрами:
– давление и температура в газе,
– напряжение на межэлектродном промежутке,
– скорость газового потока,
– направление вектора индукции магнитного поля.
Перечислены только основные определяющие параметры данной задачи, влияние которых на структуру аномального тлеющего разряда будет обсуждаться ниже.
Значительное влияние оказывают также тип газа, геометрия и взаимное расположение электродов, а также степень их нагрева.
Давление в газе и напряженность электрического поля в межэлектродном пространстве являются основными параметрами, определяющими эффективность процессов ионизации и рекомбинации, подвижность электронов и ионов, а также коэффициенты их диффузии. В покоящемся газе при разумном задании этих параметров можно получить численные решения системы уравнений диффузионно-дрейфовой или амбиполярной модели, которые достаточно хорошо описывают экспериментальные данные, в том числе с учетом магнитного поля [6–8].
При изучении структуры разряда в потоке газа задача сильно усложняется, поскольку вблизи поверхности, где горит тлеющий разряд, формируется пограничный слой с неоднородным распределением температуры и давления [9, 12, 23]. При этом масштаб изменения газодинамических параметров оказывается соизмеримым с характерными размерами токового столба.
Учитывая сказанное, для численного моделирования структуры аномального тлеющего разряда были определены четыре расчетные серии. Исходные данные для расчетов и некоторые интегральные результаты (полный ток и максимальная концентрация заряженных частиц Ui, max в 109 см–3) приведены в табл. 1. Указанные исходные данные выбраны близкими к исследованным в экспериментах [6, 7].
В одном из вариантов первой расчетной серии рассматривался разряд при внешнем давлении р = 0.14 Торр и предельно большим напряжением на межэлектродном промежутке $V$ = 120 В, при котором приведенное поле достигает максимальной величины ${E \mathord{\left/ {\vphantom {E p}} \right. \kern-0em} p}$ ~ 1000 В/(см · Торр). Такая напряженность поля наблюдалась только в очень малой области у границы катода и анода. Практически во всем токовом столбе приведенное поле не превосходило ${E \mathord{\left/ {\vphantom {E p}} \right. \kern-0em} p}$ ~ 450 В/см. Как видно из табл. 1, в этом случае отмечались чрезмерно большие величины полного тока ${{I}_{c}}$ ~ 550 А и концентрации заряженных частиц n ~ 7.1 × 1013 см–3. Подчеркнем, что в данном случае (разряд без газового потока) нагрев газа не учитывался, поэтому данный расчетный вариант следует рассматривать как оценочный, поскольку в реальных условиях при таких параметрах происходит переход аномального разряда в дуговой.
Разряд без потока рассматривался также при V = 60 и 30 В. В последнем случае были получены более реалистичные параметры (см. табл. 1). На рис. 2 показаны распределения концентрации электронов (здесь и далее ${{n}_{0}} = {{10}^{9}}$ см–3) и плотности тока в аномальном тлеющем разряде при p = 0.14 Торр и V = 30 В. Видно, что наибольших значений указанные функции достигают около близлежащих границ катода и анода. Толщина токового канала не превосходит 0.5 см. А наибольшие концентрации заряженных частиц в центральной части токового канала составляют n ~ 108 см–3. Здесь и далее на распределениях электродинамических функций приводятся изолинии напряженности электрического поля, а также прямоугольниками на полях рисунков показано расположение электродов.
Рис. 2.
Концентрация (${{U}_{i}} = n{\text{/}}{{n}_{0}}$) заряженных частиц (а) и плотность электрического тока (в А/см2) (б) в покоящемся газе без магнитного поля при р = 0.14 Торр, V = 30 В.

Оценить степень влияния давления в газе на структуру аномального газового разряда позволяет сравнение распределений концентраций электронов и плотности тока при p = 0.14 и 5 Торр. Данные для повышенного давления (расчетная серия № 4) приведены на рис. 3. Обратим внимание, что для двух указанных расчетных случаев, p = 0.14 Торр, V = 30 В и p = 5 Торр, V = 320 В, получены примерно одинаковые уровни концентраций заряженных частиц и плотности тока в разряде.
Рис. 3.
Концентрация (${{U}_{i}} = n{\text{/}}{{n}_{0}}$) заряженных частиц (а) и плотность электрического тока (в А/см2) (б) в покоящемся газе без магнитного поля р = 5 Торр, V = 320 В.

При рассмотрении обтекания поверхности с тлеющим разрядом при p = 0.14 Торр падения напряжения V = 30 В не хватило для поддержания разряда. Близкие электродинамические параметры удалось получить при числе Маха скорости потока М = 20, V = 120 В и при М = 12, V = 60 В (см. табл. 1, расчетные серии № 1 и 2).
На рис. 4 показана газодинамическая структура поля течения над заостренной пластиной, на поверхности которой горит аномальный тлеющий разряд при V = 60 В. Здесь показаны поля давления (рис. 4а,б), температуры (рис. 4в,г) и нормальной к поверхности компоненты скорости потока (рис. 4д,е). Рисунки 4а,в,д отвечают внешнему магнитному полю с индукцией Bz = –0.5 Тл, а рис. 4б,г,е – Bz = +0.2 Тл. Отметим важные особенности поля течения, которые оказывают сильное влияние на структуру тлеющего разряда.
Рис. 4.
Газодинамические параметры аномального тлеющего разряда при p = 0.14 Торр, V = 60 В, М = 12:
а) давление (в Тор) при ${{B}_{z}}$ = –0.5 Tл (а) и ${{B}_{z}}$ = +0.2 Tл (б); б) температурное поле (в К) при ${{B}_{z}}$ = –0.5 Tл (в) и ${{B}_{z}}$ = +0.2 Tл (г); в) скорость ${{V}_{y}}$ (${v}{\text{/}}{{V}_{\infty }}$) при ${{B}_{z}}$ = –0.5 Tл (д) и ${{B}_{z}}$ = +0.2 Tл (е).

Рис. 4.
Окончание

Во-первых, при обтекании поверхности сверхзвуковым потоком газа давление вблизи электродов возрастает более, чем в 3 раза. Это происходит из-за образования сжатого слоя между поверхностью и отходящей от кромки ударной волны. В рассматриваемом случае давление в набегающем потоке р = 0.14 Торр, а над поверхностью электродов давление составляет р = 0.47 Торр.
Внутри пограничного слоя на расстоянии примерно 0.2 см над электродами наблюдается область с максимальной температурой Т ~ 800 К, обусловленная диссипативными процессами в газе за фронтом ударной волны.
Представленные на рис. 4д,е распределения компоненты скорости ${{V}_{y}} = {{v} \mathord{\left/ {\vphantom {{v} {{{V}_{\infty }}}}} \right. \kern-0em} {{{V}_{\infty }}}}$ наиболее наглядно иллюстрируют возмущение поля течения за счет тлеющего разряда.
На рис. 4 видны различия в формируемой газодинамической структуре течения, обусловленные разной поляризацией магнитного поля Bz = –0.5 Тл и Bz = +0.2 Тл. В случае Bz = –0.5 Тл объемная магнитная сила направлена к поверхности, т.е. прижимает к ней токовый канал тлеющего разряда. При Bz = +0.2 Тл магнитная сила отжимает от поверхности токовый канал и газовый поток. Проявление этого можно видеть на всех рис. 4.
Распределение коэффициента давления
вдоль поверхности показано на рис. 5. Видно, что при Bz < 0 давление газа на поверхность возрастает, а при Bz > 0 – наблюдается локальное разрежение. Примечательно, что при Bz < +0.2 Тл, в потоке, оттесняемом от поверхности, возникают газодинамические неустойчивости, и обтекание становится неустановившимся.Рис. 5.
Распределение коэффициентов давления ${{C}_{p}}$ вдоль поверхности при p = 0.14 Торр, V = 60 В, М = 12.

Электродинамическая структура аномального тлеющего разряда при р = 0.14 Торр, М = 12, V = 60 В и Bz = +0.2 Тл показана на рис. 6. Максимум концентраций заряженных частиц и плотности тока в токовом канале между электродами наблюдается на расстоянии примерно 0.15 см от поверхности. Над близлежащими границами электродов мощность джоулева тепловыделения превосходит примерно на порядок соответствующую величину в токовом канале.
Рис. 6.
Электродинамические параметры аномального тлеющего разряда при p = 0.14 Торр, V = 60 В, М = 12:
(а) – концентрация заряженных частиц (в 109 см–3) при ${{B}_{z}}$ = +0.2 Tл; (б) – плотность электрического тока (в А/см2) при ${{B}_{z}}$ = +0.2 Tл; (в) – мощность джоулева тепловыделения (в эрг/см3) при ${{B}_{z}}$ = +0.2 Tл.

На рис. 7 показаны распределения вдоль поверхности концентраций заряженных частиц и напряженности электрического поля. Отметим локальные максимумы напряженности поля у границ электродов, что, как уже отмечалось, представляет значительные трудности при численном моделировании аномальных тлеющих разрядов. Вблизи левой границы анода концентрация заряженных частиц отличается для двух поляризаций магнитного поля более, чем на порядок. Так, в локальной области проявляется падение давления в газе вследствие небольшого оттеснения токового канала от поверхности.
Рис. 7.
Распределение концентраций заряженных частиц (в 109 см–3) и напряженности электрического поля Еу (В/см) вдоль поверхности при ${{p}_{\infty }}$ = 0.14 Торр, $V$ = 60 В и М = 12 для двух значений индукции магнитного поля ${{B}_{z}}$ = –0.5 Tл и +0.2 Тл.

На рис. 8 показаны для этих же условий поля нормальной к поверхности компоненты объемной магнитной силы, действующей на токовый канал в поперечном магнитном поле. Хорошо видна противоположная направленность для двух противоположных поляризаций магнитного поля.
Рис. 8.
Распределение y-компоненты магнитной силы в токовом столбе (в дин/см2) при ${{p}_{\infty }}$ = 0.14 Торр, $V$ = 60 В, М = 12, ${{B}_{z}}$ = –0.5 Tл (а) и ${{B}_{z}}$ = +0.2 Tл (б).

Эволюция напряженности электрического поля в квазинейтральной плазме при изменении условий горения электрического разряда показана на рис. 9. Наибольшие значения модуля напряженности электрического поля $\left| E \right|\sim $ 20–30 В/см при отсутствии газового потока и магнитного поля достигаются у близлежащих границ электродов (рис. 9а,б). При этом значения приведенного поля E/p ~ 200–300 В/(см · Торр).
Рис. 9.
Напряженность электрического поля при ${{p}_{\infty }}$ = 0.14 Торр: a) – $V$ = 30 В, М = 0, ${{B}_{z}}$ = 0; б )– $V$ = 60 В, М = 0, ${{B}_{z}}$ = 0 ; в) –$V$ = 60 В, М = 12, ${{B}_{z}}$ = –0.3 Тл г) – $V$ = 120 В, М = 20, ${{B}_{z}}$ = –0.3 Тл.

Рис. 9.
Окончание

Близкие значения приведенного поля формируются в потоке М = 12 и М = 20, поскольку давление в пограничном слое у поверхности возрастает в несколько раз, поэтому, несмотря на увеличение абсолютных значений напряженности до $\left| E \right|\sim $ 40 и 80 В/см (рис. 9в и 9г), приведенное поле изменяется незначительно. Примечательно также, что наибольшие значения напряженности электрического поля наблюдаются теперь у внешней границы пограничного слоя, а напряжение на газоразрядном промежутке необходимо задать в два раза больше при почти двухкратном увеличении скорости потока.
Для этих же двух расчетных вариантов (V = 60 B, M = 12 и V = 120 B, M = 20), на рис. 10а,б соответственно, показаны объемные мощности джоулева тепловыделения QJ (в эрг/см3). Обращает на себя внимание факт возрастания QJ примерно на два порядка при большей скорости потока. Здесь также следует обратить внимание на то, что при изменении поляризации приложенного магнитного поля область максимального джоулева тепловыделения смещается к правому электроду (сравните рис. 10а и 6б). Важно также, что при увеличении скорости потока вблизи внешней границы пограничного слоя образуется вторая область повышенного энерговыделения (рис. 10б).
Рис. 10.
Объемная мощность джоулева тепловыделения (эрг/см3) при ${{p}_{\infty }}$ = 0.14 Торр: a) – $V$ = 60 В, М = 12, ${{B}_{z}}$ = –0.3 Тл; б) – $V$ = 120 В, М = 20, ${{B}_{z}}$ = –0.3 Тл.

На рис. 11 показаны поля объемной скорости ионизационных процессов в потоке М = 12 при р = 0.14 Торр в отсутствие магнитного поля и при Вz = –0.5 Тл. Фактически здесь дается иллюстрация влияния магнитного поля на скорость ионизационных процессов в изучаемой модели. Как уже отмечалось, расчетный случай р = 0.14 Торр отличается очень большими значениями параметров Холла электронов и ионов. Из рис. 11 видно, что учет магнитного поля с индукцией Вz = –0.5 Тл приводит в данной модели к падению скорости ионизации более, чем на 4 порядка.
Рис. 11.
Объемная скорость ионизационных процессов (1/(см3·с)${{p}_{\infty }}$ = 0.14 Торр: a) – $V$ = 60 В, М = 12, ${{B}_{z}}$ = 0; б) – $V$ = 60 В, М = 12, ${{B}_{z}}$ = –0.5 Тл.

Как уже отмечалось, давление в газе оказывает одно из определяющих влияний на структуру тлеющего разряда. Поэтому представляет интерес рассмотреть эволюцию аномального тлеющего разряда в потоке газа при заметном увеличении давления набегающего газового потока. В 3-й и 4-й расчетных сериях это давление составляет р = 0.5 и 5 Торр. Интегральные параметры тлеющего разряда при р = 0.5 Торр в табл. 1 показывают, что при отсутствии газового потока изменение задаваемого падения напряжения на электродах от V = 60 В до 120 В приводит к очень сильному изменению концентраций заряженных частиц и плотности тока. В частности, при V = = 120 В значение концентрации достигает n = 1.12 × 1013 см–3. Однако учет газового потока, обтекающего разряд со скоростью М = 12, позволяет получить вполне разумные величины концентраций на уровне n ~ 0.2 × 109 см–3 и полного тока I ~ 0.16 мА. Качественно повторяется закономерность, отмеченная для р = 0.14 Торр и скорости потока М = 20.
При давлении р = 5 Торр без учета газового потока при падении напряжения V = 320 В ток через разрядный промежуток достигает величины I ~ 0.13 × 10–3 А, а концентрация зарядов n ~ 0.25 × × 109 см–3. В газовом потоке со скоростью М = 6 концентрация зарядов возрастает примерно в 103 раз, а плотность тока – в 102 раз. Распределение газодинамических параметров при двух поляризациях индукции магнитного поля показано на рис. 12. В данном случае температурный пограничный слой значительно ближе прижат к поверхности, но при изменении направления индукции магнитного поля виден эффект изменения давления газа у поверхности (рис. 12а,б). Сравнение распределений концентраций заряженных частиц без газового потока (рис. 3) и с потоком при М = 6 (рис. 13) показывает сильную локализацию токового канала у поверхности.
Рис. 12.
Газодинамические параметры аномального тлеющего разряда при ${{p}_{\infty }}$ = 5 Торр, $V$ = 320 В, М = 6: давление (в Торр) при ${{B}_{z}}$ = –0.5 Tл (а) и ${{B}_{z}}$ = +0.5 Tл (б); скорость ${{V}_{y}}$ (${v}{\text{/}}{{V}_{\infty }}$) при ${{B}_{z}}$ = –0.5 Tл (в) и ${{B}_{z}}$ = = +0.5 Tл (г).

Рис. 13.
Концентрация заряженных частиц (в 109 см–3) при ${{p}_{\infty }}$ = 5 Торр, $V$ = 320 В, М = 6 и ${{B}_{z}}$ = –0.5 Tл.

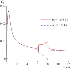
На рис. 14 показано распределение коэффициентов давления вдоль обтекаемой поверхности, что свидетельствует о сильном влиянии поляризации индукции магнитного поля на интегральные характеристики обтекания.
Рис. 14.
Распределение коэффициентов давления ${{C}_{p}}$ на поверхности обтекаемой пластины при ${{p}_{\infty }}$ = 5 Торр, $V$ = 320 В, М = 6.

Завершая анализ интегральных параметров аномальных тлеющих разрядов (табл. 1), а также данных по их электродинамической и газодинамической структуре (рис. 2–14) отметим, что разработанная сопряженная модель, включающая систему уравнений Навье–Стокса и уравнения амбиполярной модели, позволяют получить удовлетворительное качественное, а по некоторым параметрам – количественное согласие с серией экспериментальных данных [6–8], например по вольтамперным характеристикам и по распределению давления над поверхностью обтекаемой пластины с аномальным тлеющим разрядом, в том числе в поперечном магнитном поле.
Одним из дальнейших шагов по описанию структуры аномальных тлеющих разрядов в газовых потоках, связанный с учетом приэлектродных слоев пространственного заряда, может быть использование существенно более трудоемкой диффузионно-дрейфовой модели. Требуют также дальнейшего развития феноменологические модели газоразрядной плазмы, в первую очередь учет усредненных транспортных свойств частиц газоразрядной плазмы в магнитном поле, эффективности ионизационных процессов и преобразования джоулева энерговыделения в тепло.
4. ЗАКЛЮЧЕНИЕ
В результате развития амбиполярной модели квазинейтральной разрядной плазмы в части учета внешнего магнитного поля и ее применения к анализу сопряженной задачи о структуре аномального тлеющего разряда, горящего между двумя плоскими электродами вблизи поверхности, обтекаемой сверхзвуковым потоком газа установлено следующее:
– при использовании амбиполярной модели в качестве граничных условий следует задавать падение потенциала между границами токового столба в квазинейтральной плазме (аналог положительного столба), в результате чего удается рассчитать полный ток через токовый канал. В силу того, что приэлектродные слои пространственного заряда в данной модели не учитываются и полное падение напряжения между электродами не определяется, в данной постановке не удается моделировать внешнюю электрическую цепь и задавать необходимую э.д.с. для поддержания тлеющего разряда, как это делается при использовании диффузионно-дрейфовой модели;
– учет магнитного поля в амбиполярной модели приводит к модификации коэффициента амбиполярной диффузии и подвижностей заряженных частиц;
– при решении задачи о структуре аномального тлеющего разряда в потоке газа необходимо следить за соблюдением ограничений, накладываемых на используемые замыкающие электрофизические функции (коэффициент ионизации, подвижности электронов и ионов), поскольку образующийся при обтекании поверхности пограничный слой весьма сильно изменяет условия горения разряда;
– использование внешнего магнитного поля с разной поляризацией вектора магнитной индукции позволяет модифицировать условия горения разряда, создавая вблизи электродов области повышенного и пониженного давления;
– вблизи границ электродов образуются области повышенной напряженности электрического поля, зарядовых концентраций, и, как следствие, повышенной мощности джоулева тепловыделения.
Работа выполнена при поддержке Российского научного фонда (грант № 22-11-00062).
Список литературы
Энгель А., Штеенбек М. Физика и техника электрического разряда в газах. Т. 2. М.– Л.: Объединенное научно-техн. изд-во НКТП СССР, 1936. 382 с.
Капцов Н.А. Электрические явления в газах и вакууме. М.: Гостехиздат, 1950. 808 с.
Браун С. Элементарные процессы в плазме газового разряда. М.: 1961. Гос. Изд-во литературы в области атомной науки и техники. 323 с. (Brown S.C. Basic Data of Plasma Physics. Technology Press of M.I.T. and Wiley, 1966).
Грановский В.Л. Электрический ток в газе. Установившийся ток. М.: Наука, 1971. 543 с.
Райзер Ю.П. Физика газового разряда. М.: Наука, 1987. 591 с.
Kimmel R.L., Hayes J.R., Menart J.A., Shang J. Effect of surface plasma discharge on boundary layers at Mach 5 // AIAA Paper 2004–509. 2004. 10 p.
Menart J., Shang J.S., Kimmel R., and Hayes J. Effects of Magnetic Fields on Plasmas Generated in a Mach 5 Wind Tunnel //AIAA Paper 2003-4165. 2003. 13 p.
Shang J.S., Surzhikov S.T., Kimmel R., Gaitonde D., Menart J., Hayes J. Mechanisms of plasma actuators for hypersonic flow control // Progress in Aerospace Sciences. 2005. V. 41. P. 642.
Суржиков С.Т. Физическая механика газовых разрядов. Изд-во МГТУ им. Н.Э. Баумана. 2006. 640 с.
Гладуш Г.Г., Самохин А.А. Численное исследование шнурования тока на электродах в тлеющем разряде // Прикладная механика и техническая физика. 1981. № 5. С. 15–23.
Райзер Ю.П., Суржиков С.Т. Двумерная структура нормального тлеющего разряда и роль диффузии в формировании катодного и анодного пятен // Теплофизика высоких температур. 1988. Т. 25. № 3. С. 428–435.
Битюрин В.А., Бочаров А.Н., Попов Н.А. Численное моделирование электрического разряда в сверхзвуковом потоке //Изв. РАН. МЖГ. 2008. № 4. С. 160–172.
Баранов В.Б., Краснобаев К.В. Гидродинамическая теория космической плазмы. М.: Наука. 1977. 333 с.
Гершман Б.Н., Ерухимов Л.М., Яшин Ю.Я. Волновые явления в ионосфере и космической плазме. М.: Наука, 1984. 392 с.
Шкаровский И., Джонстон Т., Бачинский М. Кинетика частиц плазмы. М.: Атомиздат, 1969. 396 с.
Суржиков С.Т. Двухмерная электродинамическая структура нормального тлеющего разряда в продольном магнитном поле // Физика плазмы. 2017. Т. 43. № 3. С. 303–313.
Райзер Ю.П., Суржиков С.Т. Еще раз о природе эффекта нормальной плотности тока на катоде тлеющего разряда // Письма в ЖТФ. 1987. Т. 13. № 8. С. 452–456.
Surzhikov S.T., Shang J.S. Two-component plasma model for two-dimensional glow discharge in magnetic field// Journal of Computational Physics. 2004. V. 199. P. 437–464.
Тамм И.Е. Основы теории электричества. М.: Наука, 1966. 624 с.
Кадомцев Б.Б. Коллективные явления в плазме. М.: Наука, 1988. 304 с.
Трубников Б.А. Теория плазмы. М.: Энергоатомиздат, 1996. 463 с.
Суржиков С.Т. Гиперзвуковое обтекание разреженным газом поверхностного тлеющего разряда с внешним магнитным полем. М.: Изд-во ИПМех РАН, 2011. 273 с.
Суржиков С.Т., Шэнг Дж.С. Вязкое взаимодействие на плоской пластине с поверхностным разрядом в магнитном поле // Теплофизика высоких температур. 2005. Т. 43. № 1. С. 21–31.
Дополнительные материалы отсутствуют.
Инструменты
Известия РАН. Механика жидкости и газа



