Известия РАН. Механика жидкости и газа, 2023, № 6, стр. 75-85
ПРИСТЕНОЧНЫЕ ПУЛЬСАЦИИ ДАВЛЕНИЯ НА ПОВЕРХНОСТИ ОБТЕКАТЕЛЯ В ФОРМЕ ПОЛУЭЛЛИПСОИДА И В ЕГО ОКРЕСТНОСТИ
А. Ю. Голубев a, *, С. В. Кузнецов a, **
a Центральный аэрогидродинамический институт им. проф. Н.Е. Жуковского
Москва, Россия
* E-mail: alexeygolubev@yandex.ru
** E-mail: international@yandex.ru
Поступила в редакцию 06.04.2023
После доработки 16.06.2023
Принята к публикации 20.06.2023
- EDN: QKJXKW
- DOI: 10.31857/S1024708423600227
Аннотация
Проведены экспериментальные исследования полей пристеночных пульсаций давления на поверхности обтекателей и вокруг них в турбулентном пограничном слое. Обтекатели имели форму полуэллипсоида и устанавливались на стенке дозвуковой малошумной аэродинамической трубы. Их высота составляла 25% от толщины набегающего пограничного слоя. Посредством визуализации предельных линий тока определены основные физические особенности исследуемого течения. Проведено сопоставление поля пристеночных пульсаций давления с картиной течения. Показано, что наибольшие уровни пульсаций давления регистрируются на поверхности обтекателя в его носовой части. Установлено, что удлинение модели приводит к существенному снижению интенсивности пульсаций давления в области отрыва потока с поверхности обтекателя.
Турбулентность, формирующаяся вблизи поверхности высокоскоростных транспортных средств, является источником шума и нестационарных аэроакустических нагрузок на элементы конструкции. Они возбуждают вибрации упругой конструкции, что приводит к снижению комфорта пассажиров, ухудшению условий работы экипажа и бортового оборудования, накоплению усталостных повреждений. Для борьбы с данными нежелательными явлениями требуется подробная информация о пространственно-временной структуре поля пульсаций давления на обтекаемой поверхности.
Выступающие в поток элементы конструкции многократно усиливают пристеночные пульсации давления не только вблизи препятствия, но и в следе за ним [1, 2]. Зачастую протяженность области возмущенного течения на порядок больше характерного размера выступающего тела [3, 4]. В частном случае пассажирского самолета примерами выступающих элементов конструкции являются обтекатели антенн, ниш шасси и приводов закрылков, сочленение крыла с фюзеляжем и т.п.
К настоящему времени большая часть исследований пристеночных пульсаций давления, порождаемых обтеканием выступающих элементов, посвящена сравнительно простой геометрии двумерных уступов, ширина которых существенно превышает высоту [1–12]. Установлено, что нестационарные возмущения, вносимые в поток прямыми и обратными уступами, связаны с отрывом пограничного слоя, колебаниями зон возвратного течения и неустойчивостью сдвигового слоя на их границе [13–16].
Трехмерность осредненного по времени течения в окрестности выступающих тел конечной ширины приводит к появлению новых организованных структур и к их взаимодействию. В качестве примера можно привести подковообразный вихрь, образующийся при обтекании сочленения крыла или цилиндра с плоской поверхностью. Колебания этого вихря являются источником повышенных пристеночных пульсаций давления [17–20].
В целом количество исследований, посвященных пристеночным пульсациям давления в трехмерных течениях, невелико. Помимо работ [17–20] можно выделить измерения пульсаций давления на поверхности полусферы [21], работы, посвященные изучению влияния конечной ширины уступов [22–24] и угла скоса потока [25–27], а также измерения пристеночных пульсаций давления в окрестности [28] и на поверхности обтекателей различной формы [29]. Отмечается, что при уменьшении ширины препятствия до значений, сопоставимых с его высотой, интенсивность пристеночных пульсаций давления и их пространственное распределение заметно изменяются [23]. Это напрямую свидетельствует о существенном влиянии трехмерности осредненного течения на поле пульсаций давления.
Настоящая статья расширяет экспериментальные данные о пристеночных пульсациях давления, порождаемых трехмерными выступающими телами в турбулентном пограничном слое. Она является продолжением работы [29], которая ограничивалась регистрацией пульсаций давления на поверхности обтекателей. В настоящем исследовании проведены измерения пульсаций давления как на поверхности, так и на стенке вокруг обтекателей. Кроме того, выполнена визуализация предельных линий тока методом масляной пленки, позволившая провести детальное сопоставление осредненной картины течения с особенностями поля пристеночных пульсаций давления.
1. ЭКСПЕРИМЕНТАЛЬНАЯ УСТАНОВКА
Измерения проводились на аэроакустической установке П-2 Московского комплекса ЦАГИ. Установка представляет собой дозвуковую аэродинамическую трубу, в которой были предприняты меры по снижению шума в рабочей части. Рабочая часть трубы – это канал прямоугольного сечения 500 × 160 мм длиной 6 м, перед которым располагается конфузор с односторонним поджатием порядка 9.5. На входе в конфузор устанавливается мелкоячеистая сетка. За рабочей частью трубы размещается безотрывной диффузор длиной 3 м, за которым следует глушитель с эффективным диаметром 450 мм. Далее поток попадает в заглушенную камеру объемом 2 м3. Течение создается системой из 4 вентиляторов, размещенных за капитальной кирпичной стеной.
Практически по всей длине рабочей части аэроакустической установки П-2 пограничный слой является турбулентным. Профиль скорости в измерительной зоне соответствует распределению скоростей в развитом турбулентном пограничного слое с логарифмическим законом стенки. Максимальная толщина пограничного слоя, реализуемая в установке П-2, составляет 70 мм. Спектры пристеночных пульсаций давления на стенке рабочей части соответствуют невозмущенному турбулентному пограничному слою с нулевым градиентом среднего давления на частотах выше 63 Гц.
2. УСЛОВИЯ ПРОВЕДЕНИЯ ЭКСПЕРИМЕНТА И МЕТОДИКА ИЗМЕРЕНИЙ
Эксперименты проводились при скорости в ядре набегающего потока U = 41 м/с. Толщина пограничного слоя δ составляла 60 мм, толщина вытеснения δ* = 5.5 мм, а толщина потери импульса θ = 4.3 мм. Число Рейнольдса, определяемое по толщине потери импульса и скорости на внешней границе пограничного слоя, равнялось 1.2 × 104.
Использовались две модели обтекателей, представляющих собой половину эллипсоида вращения, отличающихся длиной продольной оси (вдоль направления потока). В первом случае l = = 60 мм, а во втором – l = 120 мм. Высота моделей h = 15 мм, а ширина d = 30 мм. Обтекатели изготавливались на 3D-принтере с отверстиями под установку датчиков пульсаций давления. Неиспользуемые отверстия заделывались пластилином таким образом, чтобы обеспечить гладкость поверхности. Отношение высоты препятствия к толщине пограничного слоя равнялось 0.25.
Измерения проводились с помощью приемников пульсаций давления Kulite XCS-062-5A, устанавливаемых заподлицо с обтекаемой поверхностью. Известно, что отклонение датчика на доли миллиметра от гладкой поверхности приводит к искажению спектральных уровней вплоть до нескольких дБ [30, 31]. Таким образом, наибольший вклад в погрешность измерений вносит выступание или углубление датчика. Статистическая оценка по серии измерений различными датчиками одного типа показывает, что погрешность измерения третьоктавных спектральных уровней пульсаций давления не превышает 0.7 дБ (без учета разрешающей способности).
Для оцифровки сигнала использовалась 24-битная АЦП National Instruments PCI-4472 с 8-ю каналами регистрации. Частота дискретизации составляла 30 кГц. Перед оцифровкой сигнал обрезался аналоговым фильтром низких частот с частотой среза 12.5 кГц. Длительность записи составляла 20 с.
При обработке результатов измерений вычислялись третьоктавные спектры пульсаций давления. По ним определялись среднеквадратичные уровни мощности пульсаций давления в диапазоне частот от 63 до 10 000 Гц. Также вычислялись узкополосные спектры с шириной полосы 3.66 Гц и спектральная плотность мощности. При спектральном анализе использовалась оконная функция Хэннинга с длиной сегмента 8192 отсчета и перекрытием 50%.
Спектральные характеристики вычисляются с помощью финитного преобразования Фурье
где ${{p}_{k}}(t)$ – одна из реализаций случайного процесса, описывающая отклонение давления от среднего значения, k – номер реализации, t – время, T – длительность реализации, f – частота.Спектральная плотность мощности определяется через финитное преобразование Фурье следующим образом [32]
Среднеквадратичный уровень мощности (средний квадрат пульсаций давления) вычисляется через спектральную плотность по следующему соотношению
Для большей общности представления результатов спектральная плотность мощности приводится в безразмерном виде
где $q = {{\rho {{U}^{2}}} \mathord{\left/ {\vphantom {{\rho {{U}^{2}}} 2}} \right. \kern-0em} 2}$ – скоростной напор.3. РЕЗУЛЬТАТЫ
Рассмотрим результаты визуализации предельных линий тока методом масляной пленки, представленные на рис. 1. Перед моделью обтекателя наблюдается отрыв набегающего турбулентного пограничного слоя (ТПС). Растекание в поперечном направлении приводит к формированию из области возвратного течения характерной структуры – подковообразного вихря, огибающего обтекатель. Его размер xs = 0.6h и 0.4h для короткого и длинного обтекателей. В хвостовой части модели наблюдается отрыв потока с поверхности обтекателя, проявляющийся в значительной концентрации красителя, вследствие наличия возвратного течения. Белые пятна за коротким обтекателем выявляют область присоединения оторвавшегося потока. Размер области возвратного течения от точки отрыва до точки присоединения xr ≈ 2.3h для модели с l/d = 2 и xr ≈ 2.2h при l/d = 4. Приведенные числовые значения носят приближенный характер, связанный как с погрешностью метода визуализации, так и с неоднозначностью определения величин xs и xr.
Рис. 1.
Визуализация предельных линий тока для двух обтекателей различной длины: (а–б) – l/d = 2, 4.

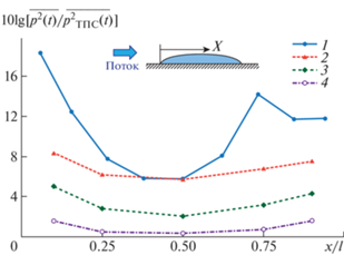
Полученная картина течения находит свое отражение в поле пристеночных пульсаций давления. На рис. 2 дано превышение среднеквадратичных уровней мощности пульсаций давления над уровнями невозмущенного ТПС. Данные приведены для измерительных точек, расположенных в продольной плоскости симметрии обтекателя. Начало системы координат совпадает с носиком модели. Координатная ось X направлена вдоль набегающего потока. Максимум пульсаций регистрируется на носике модели. Он обусловлен нестационарным отрывом пограничного слоя перед обтекателем. Превышение над невозмущенным уровнем достигает 20 дБ. При представлении расстояния в единицах длины области возвратного течения xs (рис. 2б) распределение среднеквадратичных уровней пульсаций давления практически не зависит от длины обтекателя. Другой ярко выраженный пик наблюдается на расстоянии порядка 0.7l, т.е. в области отрыва потока с поверхности обтекателя. Интенсивность пульсаций давления в данной области существенно зависит от длины модели. В случае короткого обтекателя превышение над ТПС составляет 14 дБ, в то время как для длинного оно не превышает 3 дБ. Это свидетельствует о существенном ослаблении отрыва при удлинении обтекателя. Третьей областью, характеризующейся повышенными пристеночными пульсациями давления, является зона присоединения потока в следе за моделью. Здесь уровни пульсаций также существенно зависят от длины обтекателя. В случае короткой модели превышение над уровнем невозмущенного ТПС достигает 12 дБ, а для короткой – не превышает 6 дБ.
Рис. 2.
Распределение среднеквадратичных уровней мощности пристеночных пульсаций давления относительно невозмущенного ТПС. Измерительные точки расположены в продольной плоскости симметрии обтекателя: 1 – короткий обтекатель; 2 – длинный обтекатель. Координата x представлена (а) в единицах длины обтекателя l, (б) в единицах длины области возвратного течения перед моделью xs.

Полезно рассмотреть, как меняются уровни пульсаций давления на стенке вдоль боковой поверхности обтекателя, и сопоставить их с распределением пульсаций в продольной плоскости симметрии. Соответствующие графики приведены на рис. 3 для короткого обтекателя. Видно, что в зонах максимальных нагрузок уровни пульсаций давления сбоку от обтекателя на 7–10 дБ ниже, чем в плоскости симметрии модели. Наибольшее превышение над уровнями пульсаций ТПС составляет примерно 8 дБ и регистрируется вблизи носовой и хвостовой частей обтекателя. Сбоку от обтекателя не наблюдается характерного повышения интенсивности пульсаций давления на расстоянии порядка 0.7l длины модели в области начала отрыва с поверхности обтекателя. По мере увеличения расстояния до модели уровни пульсаций давления постепенно снижаются, при этом никаких дополнительных особенностей в распределении интенсивности пульсаций давления не проявляется. Следует отметить, что повышенные нагрузки сбоку от обтекателя сконцентрированы, главным образом, в пределах подковообразного вихря, размер которого для данного обтекателя составляет примерно 0.6h. Уже на расстоянии 0.87h среднеквадратичные уровни мощности пульсаций давления превышают аналогичные значения в пограничном слое не более чем на 2 дБ.
Рис. 3.
Сравнение уровней пристеночных пульсаций давления на поверхности обтекателя и сбоку от него (l/d = 2): 1 – измерительные точки расположены в продольной плоскости симметрии модели; 2–4 – измерительные точки расположены сбоку от обтекателя на расстоянии 1, 7 и 13 мм от его боковой поверхности.

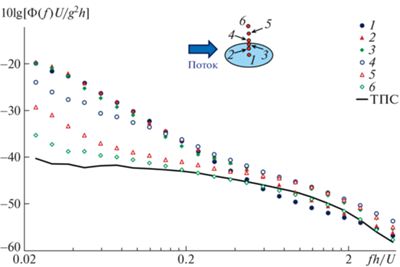
Перейдем к анализу частотного состава пристеночных пульсаций давления, характерного для различных областей течения. На рис. 4 представлена безразмерная спектральная плотность мощности пульсаций давления в различных измерительных точках в районе носика модели. В качестве параметров подобия по аналогии с уступами [5–7] выбраны высота модели h, скорость U и скоростной напор q на внешней границе пограничного слоя. Поле давления перед обтекателем (точка 1) характеризуется преимущественно низкочастотными пульсациями, что согласуется с результатами измерений при двумерном отрыве пограничного слоя перед прямыми уступами [1, 4]. Внутри подковообразного вихря сбоку от обтекателя (точка 2) пристеночные пульсации давления имеют практически идентичный низко- и среднечастотный спектральный состав. На поверхности модели интенсивные нагрузки регистрируются в более широкой полосе частот, что связано с присоединением слоя смешения, формирующегося на границе зоны возвратного течения перед обтекателем. При переходе от измерительной точки 2, расположенной сбоку от модели, к точке 3, расположенной на поверхности обтекателя на сопоставимом расстоянии от носика модели, в области числа Струхаля fh/U = 0.03 спектральные уровни возрастают на 3 дБ, а при fh/U = 0.3 – на 7 дБ.
Рис. 4.
Спектральная плотность мощности пристеночных пульсаций давления вблизи носика модели (l/d = 2). ТПС – турбулентный пограничный слой.

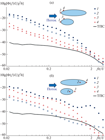
На рис. 5 приведена спектральная плотность пульсаций давления вблизи отрыва потока с поверхности обтекателя (точки 1 и 2), в области присоединения слоя смешения (точка 3) и в следе за моделью (точка 4). Здесь можно выделить три характерные области частот, определяемые изменением формы спектра. Во-первых, во всех представленных измерительных точках регистрируются интенсивные пульсации давления в низкочастотной области fh/U < 0.1. Низкочастотный спектральный состав характерен для нестационарного отрыва [33]. В этом диапазоне чисел Струхаля превышение над уровнями невозмущенного ТПС достигает 20 дБ. Далее следует область средних частот 0.1 ≤ fh/U < 0.6, где интенсивные пульсации давления наблюдаются в измерительных точках 1, 3 и 4, расположенных в продольной плоскости симметрии обтекателя. Для указанного диапазона чисел Струхаля характерны замедление спада спектральной плотности с частотой и кратковременный выход на близкие к константным значения спектральных уровней. Это хорошо заметно при сравнении результатов измерений в точках 2 и 3. Схожие особенности спектра наблюдаются в области возвратного течения за прямыми уступами [1, 9, 12]. Характерным для нестационарных зон рециркуляции является число Струхаля fxr/U ≈ 0.5, где xr – длина области возвратного течения. Указанное число Струхаля определяет среднюю частоту схода вихрей, образующихся в слое смешения между замедленной жидкостью в зоне рециркуляции и ускоренным внешним течением [3, 12]. В нашем случае величина fxr/U = 0.5 примерно соответствует числу Струхаля fh/U = 0.2, т.е. лежит в пределах рассматриваемого среднечастотного диапазона. Отметим, что изменение наклона спектра в окрестности данной безразмерной частоты, характерное для точек 1 и 3, не проявляется в расположенной в следе точке 4. В то же время наблюдается некоторое увеличение спектральной плотности пульсаций давления в области fh/U > 1 по мере удаления от обтекателя. Данный эффект может быть связан с трехмерностью течения в окрестности модели, а именно, с тем, что взаимодействие сходящего с верхней поверхности слоя смешения и огибающего обтекателя подковообразного вихря приводит к перераспределению энергии турбулентных пульсаций по более широкому диапазону временных и пространственных масштабов. Отдельно выделяется высокочастотная область fh/U ≥ 0.6, в которой интенсивные пульсации давления регистрируются только в измерительной точке 1, расположенной на поверхности модели. В этом диапазоне частот в точке 1 имеется пик спектральной плотности при fh/U = 1.9. Подобное явление не наблюдалось в двумерных отрывных течениях в окрестности уступов, на основании чего можно сделать предположение, что указанные высокочастотные пульсации давления связаны с существенной трехмерностью течения в зоне отрыва с поверхности обтекателя. Действительно, в данной области заметно искривление предельных линий тока в сторону продольной плоскости симметрии обтекателя (см. рис. 1). В измерительной точке 4, расположенной сбоку от обтекателя, отсутствуют характерные интенсивные пульсации в средне- и высокочастотном диапазоне.
Рис. 5.
Спектральная плотность пристеночных пульсаций давления в области отрыва потока с поверхности обтекателя и в следе за ним (l/d = 2).

Остановимся подробнее на распределении пульсаций давления по измерительной области. На рис. 6 приведено сопоставление контуров равных уровней пристеночных пульсаций давления при fh/U = 0.3 с картиной течения, полученной методом визуализации предельных линий тока. Также представлена спектральная плотность пульсаций давления в измерительных точках, сдвинутых вдоль линии отрыва. Полученные результаты показывают, что область повышенных среднечастотных спектральных уровней по форме практически совпадает с отрывной зоной. Рассмотрим изменение спектральной плотности пульсаций давления в поперечном направлении пред линией отрыва. Соответствующие данные представлены на рис. 7. На поверхности модели (точки 1–3) не наблюдается вариации спектральных уровней пульсаций давления в наиболее энергонесущей низкочастотной и частично среднечастотной части спектра, соответствующей числам Струхаля fh/U < 0.3. Сбоку от обтекателя пристеночные пульсации давления также характеризуются преобладанием низкочастотных компонент. По мере удаления от поверхности модели форма спектра не претерпевает существенных изменений, регистрируется лишь постепенное снижение интенсивности пульсаций давления до уровней невозмущенного ТПС.
Рис. 6.
Пространственное распределение пристеночных пульсаций давления в случае короткого обтекателя (l/d = 2): (а) – сопоставление контуров равных уровней в среднечастотной области (fh/U = 0.3) с картиной течения; (б) – спектральная плотность пульсаций давления в отрывной зоне.

Рис. 7.
Изменение спектральной плотности пристеночных пульсаций давления в поперечном направлении перед областью отрыва в случае короткого обтекателя (l/d = 2). Датчики расположены на линии x/l = 0.5.

Удлинение обтекателя не приводит к ощутимому изменению спектрального состава пристеночных пульсаций давления в области отрыва набегающего ТПС и подковообразного вихря, что демонстрируется на рис. 8а. При двукратном увеличении l/d спектральные уровни пульсаций давления снижаются на 2–4 дБ. Вероятнее всего, это связано с уменьшением радиуса кривизны носика модели при росте l/d. Наибольшее снижение достигается в среднечастотном диапазоне. В области отрыва потока с поверхности обтекателя обнаружено значительное влияние удлинения модели. Спектральная плотность пульсаций давления в данной области приведена на рис. 8б. Видно, что при увеличении длины обтекателя наблюдается снижение спектральных уровней пульсаций давления во всем диапазоне частот. Наибольшие эффекты проявляются непосредственно в области отрыва на поверхности обтекателя (точки 1 и 2). Здесь при числах Струхаля fh/U < 0.12 снижение спектральных уровней составляет примерно 10 дБ. При числах Струхаля fh/U > 0.2 спектральные уровни снижаются на 13–15 дБ, в результате чего интенсивность пульсаций давления в высокочастотном диапазоне становится сопоставимой с уровнями невозмущенного ТПС. Данное явление объясняется ослаблением отрыва и сокращением области возвратного течения, что хорошо согласуется с результатами измерений пульсаций давления на поверхности уступов с закругленной [11] и наклонной [12] передней кромкой. Высокочастотные пульсации, регистрируемые на поверхности короткого обтекателя в окрестности числа Струхаля fh/U = 1.9, судя по всему, ответственны за повышение спектральных уровней в области fh/U > 2 в измерительной точке 2 на поверхности длинной модели. Более высокие характерные частоты могут быть связаны с уменьшением масштабов турбулентных вихрей, ответственных за формирование соответствующих возмущений давления, что объясняется сокращением отрывной зоны на поверхности модели с l/d = 4. В следе за обтекателем (точки 3 и 4) наибольшее снижение интенсивности пристеночных пульсаций давления достигает 7–8 дБ в диапазоне 0.2 < < fh/U < 0.5, т.е. в среднечастотной области.
ЗАКЛЮЧЕНИЕ
Представлены результаты экспериментальных исследований пристеночных пульсаций давления, формирующихся на поверхности и в окрестности обтекателя в форме полуэллипсоида. Посредством визуализации предельных линий тока определены основные особенности осредненного течения, которые находят непосредственное отражение в поле пульсаций давления, как на поверхности, так и в окрестности обтекателя.
Максимальные уровни пристеночных пульсаций давления регистрируются на поверхности носовой части обтекателя в области отрыва набегающего турбулентного пограничного слоя. Протяженность зоны возмущенного поля давления определяется размером подковообразного вихря xs. Наибольшие уровни спектральной плотности пристеночных пульсаций давления наблюдаются в низкочастотной области (fh/U < 0.1).
Мощные пульсации давления наблюдаются в области отрыва потока с поверхности короткого обтекателя. Здесь регистрируются интенсивные средне- и высокочастотные пульсации. Соответствующие им характерные числа Струхаля fh/U = 0.2 и 1.9. Интенсивность данных возмущений и их частота существенно зависят от удлинения обтекателя.
В зоне присоединения потока за коротким обтекателем также регистрируются пристеночные пульсации давления в окрестности числа Струхаля fh/U = 0.2, в то же время для длинной модели характерен преимущественно низкочастотный спектральный состав.
Работа выполнена при финансовой поддержке Российского научного фонда, проект 21-71-30016.
Список литературы
Farabee T.M., Casarella M.J. Measurements of Fluctuating Wall Pressure for Separated/Reattached Boundary Layer Flows // ASME J. Vib. Acoust. Stress Reliab. Des. 1986. V. 108. P. 301–307.
Efimtsov B.M., Golubev A.Yu., Rizzi S.A., Andersson A.O., Rackl R.G., Andrianov E.V. Influence of small steps on wall pressure fluctuation spectra measured on Tu-144LL flying laboratory // AIAA paper 2002–2605.
Власов Е.В., Гиневский А.С., Каравосов Р.К., Франкфурт М.О. Статистические характеристики пульсаций давления в зоне отрыва потока на пластине за интерцептором // Акуст. журн. 1979. Т. 25. № 3. С. 367–372.
Awasthi M., Devenport W.J., Glegg S.A.L., Forest J.B. Pressure fluctuations produced by forward steps immersed in a turbulent boundary layer // J. Fluid Mech. 2014. V. 756. P. 384–421.
Efimtsov B.M., Kozlov N.M., Kravchenko S.V. and Andersson A.O. Wall Pressure Fluctuation Spectra at Small Forward-Facing Steps // AIAA paper 99–1964. 1999.
Efimtsov B.M., Kozlov N.M., Kravchenko S.V. and Andersson A.O. Wall Pressure Fluctuation Spectra at Small Backward-Facing Steps // AIAA paper 2000–2053. 2000.
Leclercq D.J.J., Jacob M.C., Louisot A., Talotte C. Forward-Backward Facing Step Pair: Aerodynamic Flow, Wall Pressure and Acoustic Caracterisation // AIAA paper 2001–2249. 2001.
Lee I., Sung H.J. Multiple-arrayed pressure measurement for investigation of the unsteady flow structure of a reattaching shear layer // J. Fluid Mech. 2002.V. 463. P. 377–402.
Camussi R., Felli M., Pereira F., Aloisio G., Di Marco A. Statistical properties of wall pressure fluctuations over a forward-facing step // Phys. Fluids. 2008. V. 20. № 7. Paper 75113.
Ji M., Wang M. Surface pressure fluctuations on steps immersed in turbulent boundary layers // J. Fluid Mech. 2012 V. 712. P. 471–504.
Awasthi M., Devenport W.J., Alexander W.N., Glegg, S.A.L. Aeroacoustics of rounded forward-facing steps: near-field behavior // AIAA J. 2019. V. 57. № 3. P. 1237–1249.
Golubev A., Kuznetsov S. Wall pressure fluctuations on the surface of sloped forward-facing steps // AIAA J. 2020. V. 58. № 10. P. 4595–4599.
Kiya M., Sasaki K. Structure of a turbulent separation bubble // J. Fluid Mech. 1983. V. 137. P. 83–113.
Pearson D.S., Goulart P.J., Ganapathisubramani B. Turbulent separation upstream of a forward-facing step // J. Fluid Mech. 2013. V. 724. P. 284–304.
Graziani A., Kerherve F., Martinuzzi R.J., Keirsbulck L. Dynamics of the recirculating areas of a forward-facing step // Exp. Fluids. 2018. V. 59. № 154. P. 1–18.
Fang V., Tachie M.F. Spatio-temporal dynamics of flow separation induced by a forward-facing step submerged in a thick turbulent boundary layer // J. Fluid Mech. 2020. V. 892. A40–1-30.
Olcmen S.M., Simpson R.L. Influence of Wing Shapes on Surface Pressure Fluctuations at Wing-Body Junctions // AIAA J. 1994. V. 32. № 1. P. 6–15.
Goody M.C., Simpson R.L. Surface Pressure Fluctuations Beneath Two- and Three-Dimensional Turbulent Boundary Layers // AIAA J. 2000. V. 38. № 10. P. 1822–1831.
Голубев А.Ю., Потокин Г.А. Трехмерные поля пульсаций давления в окрестности консольных цилиндрических препятствий // Изв. РАН. МЖГ. 2017. № 6. С. 42–49.
Awasthi M., Rowlands J., Moreau D.J., Doolan C.J. The Effect of Aspect Ratio on Wall Pressure Fluctuations at a Wing-Plate Junction // ASME J. Fluids Eng. 2020. V. 142. № 7. 11 p.
Suzuki Y., Kiya M., Sampo T., Naka Y. Pressure Fluctuations on the Surface of a Hemisphere Immersed in a Thick Turbulent Boundary Layer // ASME J. Fluids Eng. 1987. V. 109. P. 130–135.
Largeau J.F., Moriniere V. Wall pressure fluctuations and topology in separated flows over a forward-facing step // Exp. Fluids. 2007. V. 42. P. 21–40.
Голубев А.Ю., Ефимцов Б.М. Особенности структуры полей пульсаций давления в окрестности выступов // Изв. РАН. МЖГ. 2015. Т. 50. № 1. С. 55–66.
Кузнецов С.В., Голубев А.Ю. Влияние высоты выступа на пристеночные пульсации давления вблизи его боковой кромки в турбулентном пограничном слое // Акуст. журн. 2023. Т. 69. № 2. С. 207–215.
Hao J., Wang M. Flow Noise from Swept Steps in Turbulent Boundary Layers // AIAA paper 2013–2248. 2013.
Бибко В.Н., Голубев А.Ю. Основные закономерности влияния скоса потока на характеристики полей пульсаций давления перед прямым и за обратным уступом // Акуст. журн. 2014. Т. 60. № 5. С. 483–491.
Голубев А.Ю., Кузнецов С.В. Особенности полей пульсаций давления на поверхности выступов // Изв. РАН. МЖГ. 2018. № 6. С. 67–75.
Efimtsov B.M., Golubev A.Yu. Pressure Fluctuations on the Surface Surrounding Tall Protrusion into Flow // AIAA paper 2007–3413. 2007.
Голубев А.Ю., Потокин Г.А. Пульсации давления на поверхности трехмерных выступающих тел // Изв. РАН. МЖГ. 2020. № 1. С. 57–63.
Efimtsov B.M., Golubev A.Yu., Kuznetsov V.B., Rizzi S.A., Andersson A.O., Rackl R.G., Andrianov E.V. Effects of transducer flushness on measured surface pressure fluctuations in flight // AIAA paper 2005–800. 2005.
Hu N., Erbig L. Effect of Sensor Mounting and Flow History on Measured Wall Pressure Spectra // AIAA J. 2020. V. 58. № 7. P. 1–11.
Бендат Дж., Пирсол А. Прикладной анализ случайных данных: Пер. с англ. – М.: Мир, 1989. 540 с.
Cherry N.J., Hillier R., Latour M.E.M. Unsteady measurements in a separated and reattaching flow // J. Fluid Mech. 1984. V. 144. P. 13–46.
Дополнительные материалы отсутствуют.
Инструменты
Известия РАН. Механика жидкости и газа



