Известия РАН. Механика жидкости и газа, 2023, № 4, стр. 64-80
ОБТЕКАНИЕ ТЕЛ ЗАПЫЛЕННЫМ ГАЗОМ ПРИ РАССЕЯНИИ ОТРАЖЕННЫХ ЧАСТИЦ
С. В. Панфилов a, *, Д. А. Романюк a, **, Ю. М. Циркунов a, ***
a Балтийский государственный технический университет ВОЕНМЕХ им. Д.Ф. Устинова
Санкт-Петербург, Россия
* E-mail: panfilov_sv@rambler.ru
** E-mail: romanyuk-da@rambler.ru
*** E-mail: yury-tsirkunov@rambler.ru
Поступила в редакцию 27.01.2023
После доработки 28.02.2023
Принята к публикации 28.02.2023
- EDN: WLFHPD
- DOI: 10.31857/S1024708423600069
Аннотация
Рассмотрены обтекание плоской пластины конечной толщины в канале с большой дозвуковой скоростью и сверхзвуковое поперечное обтекание цилиндра двухфазным потоком газа с твердыми частицами. Передняя кромка пластины имеет форму клина или гладкое затупление постоянного радиуса. Поверхность клина и переднего затупления задается гладкой или шероховатой. Шероховатость моделируется двумерным профилем, который задается на основе эксперимента. Рассмотрены сферические частицы и смесь частиц в виде эллипсоидов вращения, прямоугольных призм, призм со срезанными вершинами и тетраэдров. Параметры каждой из форм варьируются. При определении поступательной и вращательной скоростей несферических частиц после отскока используется модель ударного взаимодействия, предложенная ранее и согласующаяся с экспериментальными данными по коэффициентам восстановления скорости центра масс. Наряду с монодисперсной примесью рассмотрена дисперсная фаза с разбросом частиц по размерам. На основе анализа численных результатов установлена роль исследованных факторов случайной природы на картину течения и параметры примеси.
В реальных двухфазных течениях газа с частицами многие эффекты, связанные с динамикой примеси, имеют случайную природу, например, разброс частиц по размерам, столкновения между частицами в потоке, несферическая форма частиц, шероховатость обтекаемых поверхностей, турбулентные пульсации несущего газа. В классической теории двухфазных течений газа с частицами (см., например, [1]) все эти случайные эффекты не учитываются.
В задачах двухфазной аэродинамики, когда летательный аппарат движется в атмосфере, содержащей мелкий песок, вулканический пепел или частицы льда, наиболее важными факторами, определяющими картину течения примеси, являются рассеяние частиц при отскоке от обтекаемой поверхности тел вследствие их несферической формы и шероховатости поверхности, а также разброс частиц по размерам [2]. Используемые в экспериментах в аэродинамических трубах частицы кварца или синтетического корунда также имеют несферическую форму и различный размер.
Учесть полидисперсность примеси сравнительно просто. Для этого нужно знать распределение частиц по размерам в невозмущенном течении. Наиболее часто здесь используется логарифмически-нормальный закон. Обтекание тел с учетом разброса сферических частиц по размерам исследовалось в [3–6]. В данном исследовании также принят логарифмически-нормальный закон.
Несферическая форма частиц влияет на их аэродинамические характеристики и особенно на ударное взаимодействие с обтекаемой поверхностью, приводя к рассеянию при отскоке. Влиянию несферической формы частиц на силу и момент, действующие со стороны несущего газа, посвящен ряд обзоров и недавних исследований [7–12]. В последней цитированной работе на основе прямого численного моделирования обтекания невращающихся частиц различной неправильной формы при их различной случайной ориентации в потоке выполнено подробное исследование сил сопротивления, поперечных сил и моментов в диапазоне умеренных чисел Рейнольдса ${{\operatorname{Re} }_{p}} \in [0,200]$ (${{\operatorname{Re} }_{p}} = 2\rho {\text{|}}{\mathbf{V}} - {{{\mathbf{V}}}_{p}}{\text{|}}{{r}_{p}}{\text{/}}\mu $ – число Рейнольдса при обтекании частицы). Найдено, что среднее значение коэффициента сопротивления для частиц, близких к изометрическим, с небольшим отношением наибольшей и наименьшей сторон, аэродинамические характеристики слабо зависят от их формы и ориентации во всем рассмотренном диапазоне числа Рейнольдса, коэффициент поперечной силы и момент заметнее зависят от соотношения сторон, однако с ростом числа Рейнольдса различие убывает. При отскоке от обтекаемой поверхности частицы могут сильно закручиваться. Обтекание вращающихся частиц сопровождается возникновением поперечной силы Магнуса. Как показали предварительные расчеты, в рассмотренных в настоящем исследовании задачах число Маха при обтекании отраженных частиц несущим газом может достигать значений ${{{\text{M}}}_{p}} \approx 1.7$, число Рейнольдса ${{\operatorname{Re} }_{p}} \approx 2600$, вращательное число Рейнольдса Repω = $\rho {\text{|}}\Omega - {{\Omega }_{p}}{\text{|}}r_{p}^{2}{\text{/}}\mu \approx 1400$. В указанных диапазонах параметров данные о коэффициентах аэродинамического сопротивления, силы Магнуса и демпфирующего момента для интенсивно вращающихся частиц несферической формы в литературе отсутствуют. Поэтому в данной работе эти коэффициенты вычислялись как для сферических частиц.
В ранних исследованиях ударного взаимодействия частиц с различными поверхностями экспериментально изучались параметры отскока в зависимости от материалов частиц и преград и угла удара. Были предложены эмпирические соотношения для коэффициентов восстановления нормальной и касательной скоростей центра масс частиц в плоскости удара при отскоке [13–17]. Такого рода соотношения использовались при моделировании течений примеси около тел [18, 19]. Одновременно развивались модели соударения частицы с преградой, включающие описание динамического взаимодействия частицы с поверхностью. Модель скользящего удара частицы представлена в монографии [20]. В случае скользящего удара используется уравнение импульсов и закон трения Кулона с коэффициентом динамического трения. Эта модель широко применялась и применяется для расчета течений газовзвесей в каналах, когда скорость соударения частиц со стенками невелика [21–23]. В работе [24] рассмотрены скорости удара, типичные для летательных аппаратов, движущихся в запыленной атмосфере, и предложена трехмерная модель отскока несферической частицы от преграды, в которой считалось, что касательная скорость точки контакта частицы с поверхностью в момент отскока равна нулю. В [25] эта модель была распространена на случай ненулевой касательной скорости точки контакта в момент отскока. В [26] предложена полуэмпирическая модель ударного взаимодействия несферической частицы с гладкой поверхностью, в которой рассматривается скольжение частицы относительно поверхности за все время ударного взаимодействия. Предполагается, что касательный импульс пропорционален не только нормальному импульсу, как в законе Кулона, но и средней касательной скорости точки контакта частицы в процессе удара. В модели учитывается также ориентация частицы относительно поверхности перед соударением. На основе этой модели были определены средние и наиболее вероятные значения коэффициентов восстановления нормальной и касательной скоростей центра масс частиц различных форм и смеси частиц различных форм с варьируемыми параметрами формы. Результаты для средних значений хорошо согласуются с экспериментальными данными [15] по коэффициентам восстановления компонент скорости центра масс частиц. Именно эта модель используется в данной работе для численного исследования течения примеси при отскоке частиц от обтекаемой поверхности.
Шероховатость поверхности наряду с несферической формой частиц является важнейшим фактором, который может приводить к значительному рассеянию отраженных частиц. Моделирование шероховатости, особенно если она возникает в результате абразивной эрозии, является одной из наиболее трудных задач в аэродинамике двухфазных течений газа с частицами. В [22] было рассмотрено течение дисперсной примеси из сферических частиц в канале с шероховатыми стенками. Профиль шероховатости не рассматривался, и при ударном взаимодействии частиц со стенками случайным образом на основе нормального закона распределения задавался угол соударения. Позже в [27] было предложено рассматривать именно профиль шероховатости, который описывался квазипериодической случайной функцией. Ее параметры выбирались так, чтобы индикатрисы рассеяния отраженных частиц были близки к получающимся при реальном практически двумерном профиле шероховатости. Такой подход, как отмечено в работе [28], имеет важное преимущество, так как позволяет учитывать возможные многократные соударения частицы с шероховатой поверхностью в процессе отскока и теневые зоны при малых углах удара. В дальнейшем были предложены модели поверхностей с изотропной и анизотропной шероховатостью [29, 30]. В данном исследовании рассматривается двумерный рельеф шероховатости, который наблюдается в некоторых экспериментах по взаимодействию частиц синтетического корунда и пластичных материалов преград в диапазоне скоростей удара 100–300 м/с. Рельеф описывается случайной функцией, как это предложено в [24].
Целью данной работы является исследование течения примеси с учетом рассеяния несферических частиц при отскоке от гладкой и шероховатой обтекаемой поверхности и разброса частиц по размерам на примере обтекания двухфазным потоком пластины конечной толщины с различным профилем передней кромки в канале с большой дозвуковой скоростью и при сверхзвуковом обтекании цилиндра.
1. ПОСТАНОВКА ЗАДАЧИ И МОДЕЛЬ ТЕЧЕНИЯ ГАЗОВЗВЕСИ
1.1. Схемы течений
Рассматривались две задачи: симметричное обтекание плоской пластины конечной толщины b в канале шириной H и сверхзвуковое обтекание лобовой поверхности поперечно расположенного цилиндра однородным потоком газовзвеси. Пластина имела клиновидную переднюю кромку, как показано на рис. 1, или закругленную по радиусу, равному половине толщины пластины. Угол полураствора клина $\theta $ был принят равным 15°. Примесь в невозмущенном потоке имела вид облака (рис. 1). Для визуализации особенностей течения дисперсной фазы после отскока частиц рассматривалось облако частиц конечной толщины h. В задаче обтекания пластины принималось $h = b{\text{/}}2$, а в задаче обтекания цилиндра h = D. Длина облака выбиралась из условия получения стационарных картин течения примеси. Исследовалось течение смеси изометрических частиц различных форм (рис. 2), параметры каждой из форм варьировались, как описано в [26]. Для пластины в канале рассматривалась гладкая и шероховатая поверхность клиновидной или затупленной по радиусу передней кромки, стенки канала считались гладкими. В задаче поперечного обтекания кругового цилиндра его поверхность принималась гладкой. Для оценки влияния разброса размеров частиц на картину течения примеси исследовалась смесь монодисперсных (одинаковых по массе, хотя и различающихся по форме) и полидисперсных частиц. Эффекты, связанные с возможным разрушением частиц и поверхности при ударе, не учитывались.
1.2. Модель течения несущего газа
Концентрация частиц считалась очень низкой, так что их влияние на течение несущего газа было пренебрежимо мало. В [31] было показано, что такое допущение справедливо при объемной концентрации примеси менее ~10–6. Характерные значения числа Рейнольдса в обеих задачах имеют порядок 106. Рассматривались высокоинерционные частицы синтетического корунда, для которых число Стокса имело порядок 10–102. Для таких параметров двухфазного потока пограничные слои на обтекаемых поверхностях не оказывают какого-либо влияния на динамику частиц, поэтому поля течений газа моделировались на основе уравнений Эйлера, которые для сжимаемого газа в декартовых координатах $(x,y)$ имеют вид:
(1)
$\frac{{\partial {\mathbf{Q}}}}{{\partial t}} + \frac{{\partial {{{\mathbf{F}}}_{x}}}}{{\partial x}} + \frac{{\partial {{{\mathbf{F}}}_{y}}}}{{\partial y}} = 0$(2)
${\mathbf{Q}} = \left( {\begin{array}{*{20}{c}} \rho \\ {\rho {{{v}}_{x}}} \\ {\rho {{{v}}_{y}}} \\ {\rho e} \end{array}} \right),\quad {{{\mathbf{F}}}_{x}} = \left( {\begin{array}{*{20}{c}} {\rho {{{v}}_{x}}} \\ {\rho {v}_{x}^{2} + p} \\ {\rho {{{v}}_{x}}{{{v}}_{y}}} \\ {(\rho e + p){{{v}}_{x}}} \end{array}} \right),\quad {{{\mathbf{F}}}_{y}} = \left( {\begin{array}{*{20}{c}} {\rho {{{v}}_{y}}} \\ {\rho {{{v}}_{x}}{{{v}}_{y}}} \\ {\rho {v}_{y}^{2} + p} \\ {(\rho e + p){{{v}}_{y}}} \end{array}} \right)$В записанных выше уравнениях $t$ – время; ${{{v}}_{x}}$ и ${{{v}}_{y}}$ – компоненты вектора скорости ${\mathbf{V}}$ вдоль осей $x$ и $y$; $\rho $, $p$, $e$ и $T$ – плотность, давление, удельная полная энергия и температура; $R$ – газовая постоянная; ${{c}_{V}}$ – удельная теплоемкость при постоянном объеме.
В задаче о течении в канале на входной границе задавались скорость ${{V}_{\infty }}$, давление ${{p}_{\infty }}$ и температура ${{T}_{\infty }}$, на выходной границе задавалось давление ${{p}_{{{\text{out}}}}}$. При сверхзвуковом обтекании цилиндра на входной границе также задавались скорость, давление и температура, а на выходной границе неотражающие условия.
1.3. Модель межфазного взаимодействия
В данной работе столкновения между частицами не учитываются и движение частиц описывается на основе лагранжева подхода [20]. Уравнения импульса и момента импульса для отдельной частицы имеют вид:
(4)
${{m}_{p}}\frac{{d{{{\mathbf{V}}}_{p}}}}{{dt}} = {{{\mathbf{f}}}_{p}},\quad {{J}_{p}}\frac{{d{{\Omega }_{p}}}}{{dt}} = {{{\mathbf{L}}}_{p}},\quad \frac{{d{{{\mathbf{r}}}_{p}}}}{{dt}} = {{{\mathbf{V}}}_{p}}$Сила ${{{\mathbf{f}}}_{p}}$, действующая на дисперсную частицу со стороны несущего газа, включает силу сопротивления ${{{\mathbf{f}}}_{D}}$ и поперечную силу Магнуса ${{{\mathbf{f}}}_{M}}$ (${{{\mathbf{f}}}_{p}} = {{{\mathbf{f}}}_{D}} + {{{\mathbf{f}}}_{M}}$), которые преобладают над всеми остальными компонентами межфазной силы в рассматриваемых течениях. Эти силы и действующий на вращающуюся частицу момент ${{{\mathbf{L}}}_{p}}$ могут быть выражены через безразмерные коэффициенты ${{C}_{D}}$, ${{C}_{M}}$ и ${{C}_{L}}$:
Хотя рассматриваются несферические частицы, модель межфазного взаимодействия основана на результатах для сферических частиц. Это частично обосновано близостью коэффициентов сопротивления невращающихся сферических и несферических изометрических частиц в широком диапазоне чисел Рейнольдса в относительном движении (до ${{\operatorname{Re} }_{p}} \sim {{10}^{3}}$) [8]. Сила сопротивления, подъемная сила и момент для несферических частиц при небольших числах Рейнольдса и относительных скоростях вращения, характерных для течений газовзвесей в трубах, численно исследовались в [32]. В настоящее время исследования сопротивления, подъемной силы и момента для несферических частиц в диапазонах параметров их обтекания, характерных для условий полета в запыленной атмосфере, авторам неизвестны. Поэтому в данной работе для коэффициентов сопротивления, подъемной силы Магнуса и момента используются зависимости, предложенные для сферических частиц. Эти зависимости аппроксимируют аналитические, экспериментальные и численные данные в широком диапазоне определяющих параметров при обтекании частицы. Такой подход, конечно, вносит некоторую погрешность в модель межфазного взаимодействия, однако, соотношения для быстро вращающихся несферических частиц (в рассмотренных далее течениях угловая скорость вращения частиц ${{\Omega }_{p}}$ доходила до значений ~106–107с–1) авторам не известны.
Для коэффициента сопротивления CD использовались аппроксимационные формулы, предложенные в [33], в которых принималось ${{T}_{p}}{\text{/}}T = 1$, так как в рассматриваемых течениях CD слабо зависит от отношения температур частиц и газа:
Здесь Rep и Mp – относительные числа Рейнольдса и Маха для частицы, $C_{{{\text{D}}1}}^{1}$ – значение $C_{{\text{D}}}^{1}$ при ${{{\text{M}}}_{p}} = 1$, а $C_{{{\text{D}}2}}^{2}$ – значение $C_{{\text{D}}}^{2}$ при ${{{\text{M}}}_{p}} = 1.75$.
Коэффициент CM вычислялся с использованием точного решения [34] или приближенной формулы [35] в зависимости от значения параметра ${{\gamma }_{\omega }} = {{r}_{p}}{\text{|}}\Omega - {{\Omega }_{p}}{\text{|/|}}{\mathbf{V}} - {{{\mathbf{V}}}_{p}}{\text{|}}$:
Выражение для коэффициента CL взято в виде, предложенном в [36]:
1.4. Модель ударного взаимодействия частицы с обтекаемой поверхностью
Ударное взаимодействие частиц с поверхностью и отскок частиц существенно влияют на структуру и параметры течения газовзвеси. Важной особенностью столкновений частиц с поверхностью в двухфазной аэродинамике является высокая скорость соударения. Несмотря на усилия исследователей по развитию моделей удара, учитывающих физические и механические свойства частиц и стенки [37–39], наиболее надежной в настоящее время является экспериментальная информация о коэффициентах восстановления компонент скорости центров масс частиц при отскоке. В реальных течениях частицы практически никогда не имеют сферической формы. Их ориентация в момент соударения и направление отскока являются случайными. Более того, несферическая частица в процессе отражения может удариться о стенку более одного раза перед тем, как улетит в поток. В данном исследовании используется полуэмпирическая модель отскока несферических частиц [26], в которой учитываются упомянутые эффекты и которая хорошо согласуется с экспериментальными данными [15] по средним значениям коэффициентов восстановления центров масс смеси частиц различных форм при скоростях удара 50–350 м/с.
Модель отскока включает в себя описание отдельного столкновения частицы с твердой поверхностью (рис. 3).
В предположении, что положение частицы относительно поверхности за очень малое время соударения не изменяется, уравнения изменения импульса и момента импульса частицы в интегральной форме имеют вид:
Последнее уравнение содержит два неизвестных вектора $\Delta {{{\mathbf{V}}}_{c}}$ и $\Delta {{\Omega }_{p}}$.
При ударном взаимодействии твердой недеформируемой частицы с поверхностью стенки из упруго-пластичного материала и скоростях удара, типичных для движения летательных аппаратов в запыленной атмосфере, предполагается, что, во-первых, касательный к поверхности импульс силы, действующей на частицу, пропорционален как нормальному импульсу, так и средней касательной скорости точки контакта; а во-вторых, для коэффициента восстановления нормальной компоненты скорости частицы в точке контакта может быть принята зависимость, полученная экспериментально для нормальной скорости центра масс частицы путем измерения силы, действующей со стороны дисперсной фазы на твердую пластину.
В этом случае для изменения компонент скорости центра масс частицы можно записать:
Для параметра ${{a}_{{nc}}}$, который представляет собой коэффициент восстановления нормальной скорости частицы в точке контакта, принята формула, предложенная для an в [15]:
Ранее было установлено [26], что для смеси частиц средние значения скоростей отскока лучше согласуются с экспериментальными данными, чем для частиц отдельных форм. Результаты расчетов нормальной и касательной компонент скорости центров масс смеси частиц различных форм с варьируемыми параметрами формы в случае невращающихся падающих частиц представлены на рис. 4.
1.5. Моделирование шероховатости поверхности
Шероховатость поверхности может существенно влиять на рассеяние частиц при отскоке и, следовательно, на картину течения примеси, поэтому моделирование рельефа шероховатости является важным при рассмотрении обтекания тел потоком газа с твердыми частицами. Одной из причин возникновения шероховатости является абразивная эрозия поверхности под действием ударов частиц с большой скоростью (более 50 м/с). Рельеф шероховатости может быть как трехмерным, так и близким к двумерному. В настоящее время авторам неизвестны работы, в которых теоретически описывается или численно моделируется процесс развития шероховатости при абразивной эрозии, однако имеются немногочисленные экспериментальные данные по структуре рельефа поверхности. В данной работе рассматривается рельеф шероховатости, полученный в экспериментах по обтеканию клина из упруго-пластичного материала двухфазным потоком газа с частицами синтетического корунда (рис. 5).
Рис. 5.
Вид шероховатой поверхности клина, наблюдаемой в эксперименте (угол полураствора клина 15°, скорость потока 200 м/с) и схема отскока частицы от шероховатой поверхности.

Рельеф имеет вид поперечных к направлению потока волн. В данной работе профиль шероховатости в плоскости удара (X, Y) моделируется синусообразной функцией $Y(X)$ со случайными периодом и амплитудой [24]. Задается последовательность N точек со случайными координатами $({{X}_{i}},{{Y}_{i}})$, где ${{X}_{1}} = 0$, ${{X}_{{i + 1}}} = {{X}_{i}} + h + \xi $, ${{Y}_{i}} = \eta $, ($i = 1,2, \ldots ,N$), через которые проводится кубический сплайн. Величина $2h$ представляет собой средний шаг профиля реальной шероховатости, случайные величины $\xi $ и $\eta $ выбираются на основе нормального закона распределения со средними значениями, равными нулю, и среднеквадратичными отклонениями $\Delta \xi $ и $\Delta \eta $. Величина $\Delta \eta $ определяется как средняя высота выступов неровностей. Значение $\Delta \xi $ определяется из условия согласия характеристик рассеяния отраженных частиц в плоскости удара для экспериментального и модельного профилей шероховатости. Если при генерации координат ${{X}_{i}}$ и ${{Y}_{i}}$ их значения получались вне интервалов ${{X}_{i}} + h \pm 3\Delta \xi $ и $ \pm 3\Delta \eta $ соответственно, то эта пара координат исключалась из рассмотрения и генерация повторялась. В данной работе приняты следующие значения параметров профиля: $h = 80$ мкм, $\Delta \xi = 10$ мкм, $\Delta \eta = 20$ мкм.
При моделировании отскока (отражения) частиц от шероховатой поверхности вводятся два угла: угол удара ${{\alpha }_{1}}$, показанный на рис. 3 и рис. 5, и локальный угол соударения частицы с шероховатой поверхностью ${{\beta }_{1}}$, который в общем случае отличен от ${{\alpha }_{1}}$. Значение ${{\beta }_{1}}$ при каждом соударении определяется траекторией частицы и наклоном профиля шероховатости в точке столкновения. В случае гладкой поверхности, очевидно, ${{\beta }_{1}} = {{\alpha }_{1}}$.
Было выполнено прямое численное моделирование отскока большого числа первоначально невращающихся частиц от гладкой и шероховатой поверхности при различных углах падения ${{\alpha }_{1}}$. Рассматривались сферические частицы и смесь частиц различных форм. Ориентация несферических частиц относительно поверхности в момент первого соударения считалась случайной и равновероятной. Учитывалась возможность многократных соударений частиц с поверхностью в процессе отскока. Угол ${{\alpha }_{1}}$ варьировался в диапазоне от 15° до 90° с шагом 15°. По результатам расчетов отскока 108 частиц для каждого значения ${{\alpha }_{1}}$ были получены индикатрисы рассеяния отраженных частиц в плоскости удара (рис. 6).
Рис. 6.
Индикатрисы рассеяния при отражении смеси несферических частиц от гладкой (слева) и шероховатой (справа) поверхности и при отражении сферических частиц от шероховатой поверхности (в центре); направление отскока сферической частицы от гладкой поверхности показано красной штриховой линией.

Видно, что шероховатость поверхности сильно влияет на характеристики отражения даже сферических частиц. Индикатрисы рассеяния несферических частиц при отражении от гладкой и шероховатой поверхности также существенно различаются. В дальнейшем при изучении картин течения примеси рассматривались как гладкие, так и шероховатые поверхности.
2. РЕЗУЛЬТАТЫ РАСЧЕТОВ ТЕЧЕНИЙ ПРИМЕСИ И ИХ АНАЛИЗ
В этом разделе приведены результаты систематического численного исследования картин течения дисперсной фазы при обтекании пластины конечной толщины в канале и при сверхзвуковом поперечном обтекании кругового цилиндра. Во всех случаях в качестве несущего газа принимался воздух (газовая постоянная $R = 287$ Дж/(кг ⋅ К), показатель адиабаты $\gamma = 1.4$).
Сначала уравнения (1)–(3) были решены численно CFD-методом с высокой точностью. Полное число ячеек сетки в канале составляло 400 тыс. Полное число ячеек сетки в ударном слое около лобовой поверхности цилиндра было около 250 тысяч. Стационарное течение получалось методом установления.
Для визуализации особенностей картин течения примеси рассматривалось облако (см. рис. 1), в котором частицы были расположены случайно и равновероятно. Использовался метод Лагранжа и численно решались уравнения (4) c использованием приведенных в п. 1.3 соотношений для ${{{\mathbf{f}}}_{p}}$ и ${{L}_{p}}$, а также описанной в п. 1.4 модели ударного взаимодействия частицы с поверхностью. Для полидисперсной примеси принят логарифмически-нормальный закон распределения частиц по размерам:
(5)
${{g}_{\infty }}({{d}_{p}}) = \frac{1}{{\sqrt {2\pi } {\kern 1pt} {{d}_{p}}\ln s}}\exp \left[ { - {{{\left( {\frac{{\ln {{d}_{p}} - \ln {{d}_{g}}}}{{\sqrt 2 \ln s}}} \right)}}^{2}}} \right]$2.1. Обтекание пластины в канале
Были приняты следующие размеры канала, пластины и облака частиц (рис. 1): $L = 1$ м, $H = 0.4$ м, $b = 0.02$ м. Входная граница располагалась вверх по потоку на расстоянии $L{\text{/}}2\, = \,0.5$ м от передней кромки пластины. На входной границе скорость обеих фаз принималась одинаковой и равной ${{V}_{\infty }} = 200$ м/с, давление ${{p}_{\infty }} = 100$ кПа, температура ${{T}_{\infty }} = 268$ К (число Маха M∞ = 0.6, число Рейнольдса ${{\operatorname{Re} }_{\infty }} = {{\rho }_{\infty }}{{V}_{\infty }}H{\text{/}}{{\mu }_{\infty }} \simeq 6 \times {{10}^{6}}$).
Плотность материала частиц (корунда) равна ${{\rho }_{p}} = 3950$ кг/м3. В расчетах размер (диаметр) ${{d}_{p}}$ сферических и несферических монодисперсных частиц был равен 32 мкм (характерное число Стокса ${\text{Stk}} = \rho _{p}^{^\circ }d_{p}^{2}{{V}_{\infty }}{\text{/}}(18{{\mu }_{\infty }}b) \simeq 4$). Для полидисперсных частиц размер в расчетах варьировался в пределах примерно от 4 до 200 мкм.
Рассматривалась пластина с гладкой и шероховатой клиновидной и закругленной передней кромкой.
Мгновенное распределение частиц из первоначального облака (см. рис. 1 при обтекании пластины с клиновидной передней кромкой при значениях угла $\theta = 15^\circ $ показано на рис. 7. Аналогичное распределение частиц около пластины с закругленной передней кромкой показано на рис. 8. Количество визуализирующих частиц на каждом рисунке подбиралось так, чтобы наиболее выразительно представить особенности течения дисперсной примеси. Картина течения монодисперсных сферических частиц после отскока от шероховатой поверхности затупленной по радиусу передней кромки пластины (рис. 8,б) качественно отличается от других картин, что, на первый взгляд, кажется неожиданным. Анализ поведения частиц в этом случае показывает, что выраженное “раздвоение” слоя частиц с повышенной концентрацией в случае закругленной передней кромки связано с появлением двух доминирующих направлений отскока сферических частиц от шероховатой поверхности при углах падения, близких к ${{\alpha }_{1}} = 90^\circ $ (рис. 6). Подобная ситуация имеет место и для несферических частиц, однако нерегулярность их отскока приводит к дополнительному рассеянию, что сглаживает “раздвоение” слоя частиц с повышенной концентрацией.
Рис. 7.
Картины течения облака частиц около передней кромки пластины (слева, увеличено) и вниз по потоку в канале (справа): $\theta = 15^\circ $; (а)–(г) – сферические частицы; (д)–(з) – смесь несферических частиц; (а), (б), (д), (е) – монодисперсные частицы; (в), (г), (ж), (з) – полидисперсные частицы; (а), (в), (д), (ж) – гладкая поверхность клина; (б), (г), (е), (з) – шероховатая поверхность клина.

Рис. 8.
Картины течения облака частиц около закругленной передней кромки пластины (слева, увеличено) и вниз по потоку в канале (справа): (а)–(г) – сферические частицы; (д)–(з) – смесь несферических частиц; (а), (б), (д), (е) – монодисперсные частицы; (в), (г), (ж), (з) – полидисперсные частицы; (а), (в), (д), (ж) – гладкая поверхность закругленной кромки; (б), (г), (е), (з) – шероховатая поверхность закругленной кромки.

При движении полидисперсной смеси несферических частиц число Маха Mp сразу после отскока частиц доходило до 0.9 при клиновидной передней кромке и до 1.25 при закругленной передней кромке. Далее вниз по потоку число Маха монотонно убывало до отскока от стенок канала, когда оно достигало значений в пределах от 0.2 до 0.5, и затем снова монотонно убывало. Характер изменения числа Рейнольдса Rep был аналогичным. В момент первого отскока Rep достигало значений 1600–2700 и далее убывало до последующего отскока от стенок канала. Наибольшая величина вращательного числа Рейнольдса ${{\operatorname{Re} }_{\omega }}$ достигала значений 500–1200. Меньшее значение соответствует затупленной по радиусу передней кромке пластины, а наибольшее – клиновидной кромке.
Наряду с исследованием картин течения примеси из первоначально тонкого приосевого однородного облака исследовалось также течение всей примеси в канале, включая и те частицы, которые не сталкивались с пластиной и стенками канала. На рис. 9 приведено два примера полных картин течения монодисперсной примеси при обтекании пластины с затупленной по радиусу передней кромкой и соответствующие этим картинам профили относительной концентрации частиц ${{\bar {\phi }}_{p}} = {{\phi }_{p}}{\text{/}}{{\phi }_{{p\infty }}}$ (${{\phi }_{{p\infty }}}$ – объемная концентрация частиц в невозмущенном потоке) в выходном сечении канала. В данных полях течения формируются два слоя с повышенной концентрацией частиц. Один слой состоит из отраженных частиц, другой возникает вблизи пластины на границе области, свободной от частиц, и состоит из частиц, не испытавших столкновений с пластиной. Профили относительной объемной концентрации частиц были также найдены для всех рассмотренных вариантов дисперсной фазы и поверхности передней кромки. Основные результаты приведены на рис. 10. Видно, что в случае сферических монодисперсных частиц всегда получается два максимума, как для клиновидной, так и для затупленной передней кромки пластины. Для монодисперсной смеси несферических частиц возникает только один максимум на границе области, свободной от частиц. В случае затупленной передней кромки этот максимум очень острый, независимо от того, рассматриваются сферические частицы или смесь несферических частиц, и является поверхность затупления гладкой или шероховатой. Относительная объемная концентрация частиц в этом максимуме достигает значений ${{\bar {\phi }}_{p}} \simeq 5.4$. С точки зрения классификации особенностей в бесстолкновительной среде частиц данный максимум соответствует каустике. Как видно из рис. 10, при принятых параметрах двухфазного течения наибольшее влияние на профили концентрации оказывает полидисперсность примеси. Различные фракции в возмущенной области течения перемешиваются, в результате чего профили концентрации сглаживаются и максимум существенно уменьшается.
Рис. 9.
Полные картины течения монодисперсной примеси в канале около пластины с закругленной передней кромкой (слева) и профили относительной объемной концентрации частиц ${{\bar {\phi }}_{p}}$ в выходном сечении канала (справа): (а) – сферические частицы, гладкая поверхность затупления; (б) – смесь несферических частиц, шероховатая поверхность затупления.

Рис. 10.
Профили относительной объемной концентрации примеси ${{\bar {\phi }}_{p}}$ в выходном сечении канала при обтекании пластины с клиновидной передней кромкой (верхний ряд) и с затупленной по радиусу передней кромкой (нижний ряд): сплошные линии – монодисперсная примесь, точки – полидисперсная примесь; (а), (б), (д), (е) – сферические частицы; (в), (г), (ж), (з) – смесь несферических частиц; (а), (в), (д), (ж) – гладкая и (б), (г), (е), (з) – шероховатая поверхность клина или затупления.

2.2. Сверхзвуковое обтекание цилиндра
При численном моделировании были приняты следующие исходные данные: диаметр цилиндра D = 20 мм, скорость набегающего потока ${{V}_{\infty }} = 300$ м/с, давление p∞ = 50 кПа, температура T∞ = 70 K. Частицы песок (плотность 2650 кг/м3), размер монодисперсных частиц и наиболее вероятный размер полидисперсной примеси dp 4 и 10 мкм. Эти значения соответствуют числам Маха и Рейнольдса ${{{\text{M}}}_{\infty }}$ = 1.79, ${{\operatorname{Re} }_{\infty }} = {{\rho }_{\infty }}{{V}_{\infty }}D{\text{/}}{{\mu }_{\infty }} \simeq 3 \times {{10}^{6}}$ и характерному числу Стокса Stk = = $\rho _{p}^{ \circ }d_{p}^{2}{{V}_{\infty }}{\text{/}}(18{{\mu }_{\infty }}D) \simeq 1.8{\kern 1pt} - {\kern 1pt} 11$.
Исследовалось влияние рассеяния несферических частиц при отскоке от поверхности и разброса частиц по размерам на структуру течения дисперсной фазы. Моделировалось взаимодействие облака частиц с цилиндром (см. рис. 1). Поверхность цилиндра считалась гладкой. Результаты представлены на рис. 11.
Рис. 11.
Картина течения отраженных частиц в ударном слое около лобовой поверхности цилиндра: вверху сферические частицы, внизу смесь несферических частиц; (а), (б), (д), (е) – монодисперсные частицы, (в), (г), (ж), (з) – полидисперсные частицы; (а), (в), (д), (ж) – размер dp или наиболее вероятный размер ${{d}_{{pm}}}$ равен 4 мкм, (б), (г), (е), (з) – размер или наиболее вероятный размер 10 мкм.

Как видно, более мелкие частицы (dp = 4 мкм) слабее рассеиваются и быстрее релаксируют к потоку несущего газа. Более крупные частицы (dp = 10 мкм) отскакивают на большее расстояние, сильнее рассеиваются и образуют значительно более толстый слой отраженных частиц. Полидисперсность примеси приводит к перемешиванию фракций еще при движении частиц к цилиндру в ударном слое. В дальнейшем разброс частиц по размерам приводит к существенному размазыванию слоя отраженных частиц.
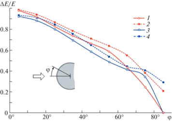
Одним из наиболее негативных явлений при движении тела в запыленной атмосфере является абразивная эрозия его поверхности, когда в результате множественных ударов частиц возникает шероховатый рельеф поверхности и может происходить дальнейшее разрушение тела с уносом массы. Процесс эрозии зависит от физико-механических свойств частиц и тела и от скорости и угла удара [40]. Воздействие дисперсной примеси на тело можно оценить по потерям кинетической энергии частиц при отскоке. В общем случае потери кинетической энергии распределяются между отраженными частицами и телом и включают в себя нагрев, деформацию и разрушение. Если частицы не деформируются и не разрушаются при ударах, а материал тела является упруго-пластичным, то потери энергии частиц распределяются между нагревом, деформацией и разрушением тела. На основе расчетов большого числа (~106) соударений частиц с поверхностью цилиндра были найдены зависимости относительной потери кинетической энергии частиц при отражении. Полученные результаты представлены на рис. 12 (E – поток кинетической энергии падающих частиц, $\Delta E$ – потери кинетической энергии при отражении).
Рис. 12.
Относительные потери кинетической энергии дисперсной примеси при ударном взаимодействии с поверхностью цилиндра: размер монодисперсных или наиболее вероятный размер полидисперсных частиц ${{d}_{p}} = {{d}_{{pm}}} = 10$ мкм; 1, 2 – сферические частицы, 3, 4 – смесь частиц различных форм; 1, 3 – монодисперсная примесь, 2, 4 – полидисперсная примесь.

Символы соответствуют средним значениям потерь энергии частиц при отскоке от поверхности цилиндра в диапазонах угла $\varphi $ от 0° до 10°, от 10° до 20° и т.д. Наибольшие потери энергии (наибольшая интенсивность суммарного – теплового и эрозионного – воздействия примеси на цилиндр) наблюдаются около передней точки $0^\circ \leqslant \varphi \leqslant 10^\circ $ и с увеличением $\varphi $ (с уменьшением угла удара ${{\alpha }_{1}}$, рис. 3) они убывают, причем в случае монодисперсной примеси до нуля в области $80^\circ \leqslant \varphi \leqslant 90^\circ $. Последнее объясняется отсутствием здесь столкновений частиц с поверхностью, так как вблизи миделева сечения возникает область, свободная от частиц (см. рис. 11). Отметим, что для пластичных материалов наиболее интенсивное разрушение происходит при углах удара ${{\alpha }_{1}} \sim 20^\circ $ [40]. Это позволяет сделать вывод, что потери энергии частиц в обширной окрестности передней точки распределяются в основном между нагревом и пластической деформацией.
ЗАКЛЮЧЕНИЕ
Выполнено численное моделирование двухфазного течения газа с частицами с большой дозвуковой скоростью около пластины конечной толщины в канале и со сверхзвуковой скоростью около цилиндра. Основное внимание было уделено случайным эффектам: рассеянию отраженных от обтекаемых поверхностей частиц из-за их несферической формы и шероховатости поверхности, а также разбросу частиц по размерам. Рассмотрена смесь несферических частиц нескольких форм: эллипсоиды, прямоугольные призматические частицы, призмы с усеченными вершинами и тетраэдры. Параметры форм варьировались. Для вычисления поступательной и вращательной скоростей частиц после отскока от поверхности использовалась новая модель ударного взаимодействия, которая дает хорошее согласие с опытными данными по средним значениям коэффициентов восстановления нормальной и касательной скоростей во всем диапазоне углов удара. Рассматривались инерционные частицы (характерное число Стокса Stk $ \simeq $ 1.8–11). Результаты сравнивались с полученными для сферических частиц.
Исследование показало, что рассеяние частиц при отражении и их полидисперсность кардинально изменяют картину течения примеси, и эти эффекты должны учитываться при моделировании течений газа с частицами в задачах двухфазной аэродинамики.
Отражение частиц сопровождается потерей их кинетической энергии. Такие потери ассоциируются с нагревом и абразивной эрозией поверхности. Процесс эрозии ведет к изменению рельефа поверхности и последующему уносу массы. В настоящее время отсутствуют модели, описывающие процесс образования в результате эрозии рельефа шероховатой поверхности, и здесь наиболее надежными являются результаты экспериментов. Возникновение шероховатости поверхности влияет не только на рассеяние частиц при отскоке, как показано в данном исследовании, но может влиять на трение, тепловой поток и ламинарно-турбулентный переход в пограничном слое, и это влияние важно учитывать в задачах аэродинамики.
Данное исследование выполнено при поддержке Российского фонда фундаментальных исследований (грант № 20-08-00711).
Список литературы
Нигматулин Р.И. Динамика многофазных сред. Ч. 1. М.: Наука, 1987. 464 с.
Циркунов Ю.М., Панфилов С.В., Романюк Д.А. Двухфазные течения газа с частицами в задачах аэродинамики: взгляд ученого и инженера, проблемы и результаты // IX Поляховские чтения: Материалы международной научной конференции по механике, 9–12 марта 2021 г., Санкт-Петербург, Россия. – СПб.: Издательство ВВМ, 2021. С. 63–67.
Циркунов Ю.М. Исследование инерционного осаждения полидисперсных частиц в критической точке сферы // ПМТФ. 1985. № 5. С. 94–102.
Моллесон Г.В., Стасенко А.Л. Особенности обтекания затупленного тела сверхзвуковой полидисперсной струей с закруткой отраженных частиц // ТВТ. 2011. Т. 49. 1. С. 73–80.
Tsirkunov Yu., Romanyuk D., Panfilov S. Effects of particle mixing and scattering in the dusty gas flow through moving and stationary cascades of airfoils // Progress in Propulsion Physics. Vol. 2 (Eds.: L. DeLuca, C. Bonnal, O. Haidn and S. Frolov). Torus Press and EDP Sciences, 2011. P. 459–474.
Ревизников Д.Л., Способин А.В., Сухарев Т.Ю. Численное моделирование обтекания затупленного тела сверхзвуковым полидисперсным потоком // ТВТ. 2017. Т. 55. № 3. С. 418–425.
Haider A., Levenspiel O. Drag coefficient and thermal velocity of spherical and nonspherical particles // Powder Technology. 1989. V. 58. P. 63–70.
Hölzer A., Sommerfeld M. New simple correlation formula for the drag coefficient of non-spherical particles // Powder Technology. 2008. V. 184. P. 361–365.
Кашеваров А.В., Стасенко А.Л. Взаимодействие частиц различной формы с несущим континуальным потоком газа (обзор). Ученые записки ЦАГИ. 2014. Т. XLV. № 5. С. 3–17.
Sommerfeld M., Qadir Z. Fluid dynamic forces acting on irregular shaped particles: simulations by the Lattice-Boltzmann method // Int. J. of Multiphase Flow. 2018. V. 101. P. 212–222.
Sanjeevi S.K.P., Kuipers H.A.M., Padding J.T. Drag, lift and torque correlations for non-spherical particles from Stokes limit to high Reynolds numbers // Int. J. of Multiphase Flow. 2018. V. 106. P. 325–337.
Castang C., Laín S., García D., Sommerfeld M. Aerodynamic coefficients of irregular non-spherical particles at intermediate Reynolds numbers // Powder Technology. 2022. V. 402. 117341. 16 p.
Grant G., Tabakoff W. Erosion prediction in turbomachinery resulting from environmental solid particles // J. Aircraft. 1975. V. 12. P. 471–478.
Tabakoff W., Malak M.F., Hamed A. Laser measurements of solid-particle rebound parameters impacting on 2024 aluminium and 6A1-4V titanium alloys // AIAA Journal. 1987. V. 25. № 5. P. 721–726.
Лашков В.А. Об экспериментальном определении коэффициентов восстановления скорости частиц потока газовзвеси при ударе о поверхность // ИФЖ. 1991. Т. 60. № 2. С. 197–203.
Tabakoff W. Measurements of particles rebound characteristics on materials used in gas tubines // J. Propulsion. 1991. V. 7. № 5. P. 805–813.
Циркунов Ю.М., Панфилов С.В., Клычников М.Б. Полуэмпирическая модель ударного взаимодействия дисперсной частицы примеси с поверхностью, обтекаемой потоком газовзвеси // ИФЖ. 1994. Т. 67. № 5-6. С. 379–386.
Vittal B.V.R., Tabakoff W. Two-phase flow around a two-dimensional cylinder // AIAA Journal. 1987. V. 25. № 5. P. 648–654.
Волков А.Н., Циркунов Ю.М. Кинетическая модель столкновительной примеси в запыленном газе и ее применение к расчету обтекания тел // Изв. РАН. МЖГ. 2000. № 3. С. 81–97.
Crowe C.T., Schwarzkopf J.D., Sommerfeld M., Tsuji Y. Multiphase Flows with Droplets and Particles. 2nd Edition, CRC Press, Boca Raton, U.S.A. 2012.
Tsuji Y., Oshima T., Morikawa Y. Numerical simulation of pneumatic conveying in a horizontal pipe // KONA Powder Part. J. 1985. № 3. P. 38–51.
Sommerfeld M. Modellimg of particle-wall collisions in confined gas-particle flows // Int. J. Multiphase Flow. 1992. V. 18. № 6. P. 905–926.
Sommerfeld M., Huber N. Experimental analysis and modelling of particle-wall collisions // Int. J. Multiphase Flow. 1999. V. 25. P. 1457–1489.
Панфилов С.В., Циркунов Ю.М. Рассеяние несферических частиц примеси при отскоке от гладкой и шероховатой поверхностей в высокоскоростном потоке газовзвеси // ПМТФ. 2008. Т. 49. № 2. С. 79–88.
Quintero B., Lain S., Sommerfeld M. Derivation and validation of a hard-body particle-wall collision model for non-spherical particles of arbitrary shape // Powder Technology. 2021. V. 380. P. 526–538.
Панфилов С.В., Циркунов Ю.М. Модель отскока и рассеяния несферических частиц при высокоскоростном взаимодействии с обтекаемой поверхностью // ЖТФ. 2022. Т. 92. Вып. 5. С. 665–675.
Tsirkunov Yu.M., Panfilov S.V. Modelling of particle-wall interaction in two-phase flows at moderate and high particle impact velocity // Proc. of the Third Int. Conf. on Multiphase Flow, ICMF’98, Lyon, France, June 8–12, 1998. Paper 693. 8 p.
Konan N.A., Kannengieser O. Simonin O. Stochastic modeling of the multiple rebound effects for particle-rough wall collisions // Int. J. Multiphase Flow. 2009. V. 35. P. 933–945.
Radenkovic D., Simonin O. Stochastic modelling of three-dimensional particle rebound from isotropic rough wall surface // Int. J. Multiphase Flow. 2018. V. 109. P. 35–50.
Radenkovic D., Simonin O. Modelling of three-dimensional particle rebound from an anisotropic rough wall // Powder Technology. 2021. V. 393. P. 165–183.
Tsirkunov Yu.M. Gas-particle flows around bodies – key problems, modeling and numerical analysis. // Proc. 4th Int. Conf. on Multiphase Flow: CD-ROM Proceedings ICMF’2001, May 27–June 1, 2001, New Orleans, LA, USA. Ed.: E. Michaelides. Paper No. 607. 2001. P. 1–31.
Hölzer A. and Sommerfeld M. Lattice Boltzmann simulations to determine drag, lift and torque acting on non-spherical particles // Computers & Fluids. 2009. V. 38. P. 572–589.
Henderson Ch.B. Drag coeccients of spheres in continuum and rarefied flows // AIAA Journal. 1976. V. 14. № 6. P. 707–708.
Rubinow S.I. and Keller J.B. The transverse force on a spinning sphere moving in a viscous fluid // J. Fluid Mech. 1961. V. 11. P. 447–459.
Oesterlé B., Bui Dinh T. Experiments on the lift of a spinning sphere in a range of intermediate Reynolds numbers // Experim. in Fluids. 1998. V. 25. P. 16–22.
Dennis S.C.R., Singh S.N. and Ingham D.B. The steady flow due to a rotating sphere at low and moderate Reynolds numbers. // J. Fluid Mech. 1980. V. 101. P. 257–279.
Стасенко А.Л. Коэффициенты восстановления скорости частицы при отражении от поверхности твердого тела. // ИФЖ. 2007. Т. 80. № 5. С. 38–44.
Лашков В.А. Коэффициент восстановления скорости при прямом ударе // Вестник СПбГУ, Сер. 1. 2010. № 4. С. 127–136.
Ray S., Kempe T., Frölich J. Efficient modelling of particle collisions using a nonlinear viscoelastic contact force // Int. Journal of Multiphase Flow. 2015. V. 76. P. 101–110.
Erosion / Edt. C.Preece. 1979. Academic Press, New York = Эрозия: пер. с англ. / Под ред. К. Прис // М.: Мир, 1982. 464 с.
Дополнительные материалы отсутствуют.
Инструменты
Известия РАН. Механика жидкости и газа






