РАДИОХИМИЯ, 2023, том 65, № 5, с. 447-457
УДК 546.35+616.71
ВЛИЯНИЕ ПРИМЕСЕЙ СТРОНЦИЯ И КАЛЬЦИЯ
НА ПРОИЗВОДИТЕЛЬНОСТЬ МЕДИЦИНСКОГО
ГЕНЕРАТОРА 82Sr/82Rb
© 2023 г. В. М. Чудакова, *, С. В. Шатикб, Б. Л. Жуйкова
а Институт ядерных исследований РАН,
117312, Москва, пр. 60-летия Октября, д. 7а
б Российский научный центр радиологии и хирургических технологий Федерального агентства
по высокотехнологической медицинской помощи,
197758, Санкт-Петербург, п. Песочный, ул. Ленинградская, д. 70
*e-mail: tchoudakov@mail.ru
Поступила в редакцию 22.02.2023, после доработки 22.06.2023, принята к публикации 26.06.2023
Генератор 82Sr/82Rb используется для получения радиофармацевтического лекарственного препарата -
раствора хлорида рубидия-82 при ПЭТ-диагностике. В работе исследовано влияние количества ста-
бильных стронция и кальция, поступивших на сорбент на основе гидратированного диоксида олова из
исходного раствора стронция-82 или из элюента (0.9% NaCl) при использовании генератора, на макси-
мальный объем кондиционного раствора, который можно получить из генератора. Показано, что этот
объем определяется величиной CSr + 0.11CCa, где CCa и CSr - мольное содержание кальция и стронция в
1 г сорбента. Полученные результаты позволяют значительно увеличить производительность, а также
надежность используемых генераторов.
Ключевые слова: радионуклидный генератор, стронций-82, рубидий-82, элюент, элюирование, радио-
активные примеси, неактивные примеси.
DOI: 10.31857/S0033831123050076, EDN: XTIBZW
Генератор 82Sr/82Rb предназначен для много-
ГР-02 [1, 4], которые были зарегистрированы и при-
кратного получения стерильного и апирогенного
менялись в Российском научном центре радиологии
раствора - радиофармацевтического лечебного пре-
и хирургических технологий им. акад. А.М. Гранова
парата (РФЛП) с радионуклидом 82Rb («Рубидия
(РНЦРХТ) [5-7]. На основе лицензии от ИЯИ РАН
хлорид, 82Rb из генератора»). Генератор включает
французская фирма NAOGEN PHARMA начинает
в себя колонку c сорбентом, как правило, на осно-
производство генераторов RUBIGEN® [8].
ве гидратированного оксида олова(IV) в α-форме с
Получаемый из генератора РФЛП с 82Rb исполь-
сорбированным на нем радионуклидом 82Sr (T1/2 =
зуют при проведении диагностических процедур
25.55 сут) активностью от 1800 до 5920 МБк [1],
методом позитронной эмиссионной томографии
распадающемся в короткоживущий 82Rb (T1/2 =
(ПЭТ), для изучения перфузии миокарда и других
76 с), который в процессе эксплуатации генератора
вымывают с сорбента и вводят в организм пациен-
процессов в кардиологии [9]. ПЭТ с применением
та в виде 82RbCl в физиологическом растворе (0.9%
генератора является одним из самых эффективных
NaCl).
методов кардиологической диагностики. Генератор
В США широко используется американский ге-
используют также для определения целостности
нератор CARDIOGEN® [2], также известен канад-
гематоэнцефалического барьера и визуализации но-
ский генератор RUBI-FILL® [3].
вообразований в головном мозге в нейроонкологии
В России в Институте ядерных исследований
[7, 10], он перспективен для диагностики рака про-
РАН (ИЯИ РАН) разработаны генераторы ГР-01 и статы [11] и ряда других заболеваний [5].
447
448
ЧУДАКОВ и др.
Активность 82Rb в РФЛП, получаемого из гене-
соотношение активностей 82Sr и 85Sr - порядка 1,
ратора за один цикл элюирования и вводимого в па-
поэтому пределы предупреждения и эксплуатации
циента, составляет обычно от 700 до 2500 МБк [1].
для 82Sr более существенны, чем для 85Sr.
Соотношение активностей радиоактивных изото-
Максимальный объем кондиционного элюата
пов стронция и рубидия в каждой порции РФЛП
зависит от многих факторов, один из которых - со-
является определяющей характеристикой получае-
держание стабильных стронция и кальция, посту-
мого раствора. Попадание радиоизотопов стронция
пивших на сорбент в процессе приготовления гене-
в значительных количествах в организм пациента
ратора или при его клиническом применении.
недопустимо, потому что стронций (как аналог
Источником присутствия стабильного строн-
кальция) аккумулируется в костной ткани, и в ре-
ция на колонке может являться используемый при
зультате облучается костный мозг. По существу-
зарядке генератора раствор 82SrCl2, если удельная
ющим требованиям [2], РФЛП с 82Rb может содер-
активность 82Sr в нем недостаточно высокая. Суще-
жать примесь 82Sr не более 0.01 кБк на 1 МБк 82Rb,
ствующее требование для удельной активности -
а также примесь сопутствующего радиоактивно-
не менее 925 МБк/мг представляется недостаточно
го 85Sr (Т1/2 = 64.9 сут) не более 0.1 кБк на 1 МБк
обоснованным, хотя в реальности удельная актив-
82Rb в порции элюата, вводимой в организм паци-
ность часто во много раз выше и доходит до сотен
ента (определяется как «предел эксплуатации» -
ГБк/мг. При этом содержание кальция в этом рас-
Expiration limit). Элюат, полученный из генератора
творе строго не регламентируется, и при большом
рубидия-82 до достижения предела эксплуатации,
содержании кальция предел эксплуатации генерато-
считается кондиционным. Максимальный объем
ра может достигаться даже при сравнительно высо-
кондиционного раствора, который можно получить
кой удельной активности 82Sr.
из генератора (определяется здесь как его произво-
Влияние примесей в элюенте на работу генера-
дительность), влияет на количество пациентов, ко-
тора также ранее подробно не исследовалось, хотя
торых можно обследовать с помощью одного гене-
в описании [12] содержится рекомендация US Food
ратора, хотя это количество, конечно, зависит еще
and Drug Administration (FDA) - при эксплуатации
от многих других факторов (режима эксплуатации
генератора CARDIOGEN-82® применять физио-
генератора, способности детектирующей аппарату-
логический раствор без добавок и консервантов, в
ры, диагноза, методики, массы тела и др). Макси-
состав которого входит только хлорид натрия опре-
мальный объем кондиционного элюата составляет
деленного класса. Эта рекомендация появилась
в генераторах разных производителей от 17 [2] до
вскоре после того, как в организме трех пациентов,
30 л [3, 6]. С целью снижения вероятности попа-
проходивших обследование с использованием гене-
дания в пациента чрезмерного количества радиои-
ратора CARDIOGEN-82®, обнаружили избыточное
зотопов стронция для генератора CARDIOGEN®
количество 82Sr и 85Sr [13]. В работе [14] иссле-
установлены дополнительные ограничения: даже
довался выход 82Rb из генератора в течение всего
если не достигнут предел эксплуатации генерато-
установленного срока эксплуатации, однако влия-
ра, его клиническое применение прекращается по
ние различных факторов на максимальный объем
достижении объемом полученного элюата 17 л, или
получаемого кондиционного элюата не рассматри-
если с даты изготовления генератора прошло 42 сут.
валось.
Кроме того, предусматривается более частый кон-
троль за содержанием радиоизотопов стронция в
Цель данной работы - изучить влияние примесей
элюате из генераторов: для CARDIOGEN® - либо
кальция и стронция, поступивших на сорбент из ис-
когда достигается объем элюата 14 л, либо в полу-
ходного раствора хлорида стронция-82 или из элю-
чаемом растворе достигается еще допустимое, но
ента, используемого при эксплуатации генератора,
уже достаточно высокое содержание радиоизотопов
на максимальный объем кондиционного элюата и
стронция - 0.002 кБк 82Sr/1 МБк 82Rb или 0.02 кБк
на основе этого определить ограничения содержа-
85Sr/1 МБк 82Rb («предел предупреждения» - Alert
ния этих примесей для достижения максимальной
limit) [2]. В реальных образцах 82Sr, используемых в
производительности и надежности генераторов, ис-
последнее время для зарядки генераторов, исходное
пользуемых как за рубежом, так и в России [15].
РАДИОХИМИЯ том 65 № 5 2023
ВЛИЯНИЕ ПРИМЕСЕЙ СТРОНЦИЯ И КАЛЬЦИЯ
449
ЭКСПЕРИМЕНТАЛЬНАЯ ЧАСТЬ
деляли по γ-линии 776.5 кэВ от дочернего 82Rb, а
85Sr - по линии 514.0 кэВ. Активность 82Sr в экспе-
Сорбент, используемый в генераторе, приготав-
риментах, как правило, составляла около 0.3 МБк,
ливали на основе гидратированного оксида оло-
но в некоторых экспериментах (с генераторами, ис-
ва(IV) в α-форме, поставляемого компанией ITRI,
пользуемыми в клинической практике) - до 5.9 ГБк.
Middlesex (Великобритания). Методика подготовки
Для изучения влияния содержания кальция и
сорбента описана в [4].
стронция, поступивших на колонку, на максималь-
Корпуса генераторных колонок изготавливали,
ный объем получаемого кондиционного элюата с
как описано в [4], из стандартных деталей, постав-
82Rb сначала через колонку пропускали со скоро-
ляемых фирмой Swagelok® (материал - нержаве-
стью 0.5-1.5 мл/ч буферный раствор (TRIS-HCl,
ющая сталь SS 316). Использовали колонки четы-
pH 7.2-7.4), содержащий стабильный и радиоак-
рех видов, характеристики которых приведены в
тивный стронций (82Sr и 85Sr), а также кальций.
табл. 1. Большинство экспериментов проводили со
При этом концентрация стронция в растворе ме-
стандартной колонкой (объем сорбента 1.6 см3).
нялась в диапазоне 12-60 мкг/мл, а кальция - 120-
Стронций-82 получали на линейном ускорителе
440 мкг/мл. При приготовлении растворов исполь-
ИЯИ РАН [16], облучая мишени из металлического
зовали реактивы класса чистоты х.ч.
рубидия в оболочке из нержавеющей стали прото-
При использовании генератора 82Rb ГР-01, в
нами в диапазоне энергий примерно 40-100 МэВ.
соответствии с техническими условиями на его
82Sr выделяли из облученных мишеней в Лос-Ала-
изготовление [21] и требованиями фармакопеи в
мосской национальной лаборатории (Нью-Мекси-
РФ [22], элюентом служит раствор «хлорида натрия
ко, США), в ГНЦ Физико-энергетический институт
0.9% для инфузии» (pH от 5.0 до 7.5) без дополни-
(Обнинск, Россия) или в ИЯИ РАН с помощью раз-
тельных компонентов.
личных методов [17-20]. Конечный продукт пред-
ставлял собой 82SrCl2 в растворе 0.01- 0.1 М HCl
Содержание примесей в элюентах, использовав-
с известным содержанием неактивных примесей.
шихся в данной работе, а также, для сравнения (см.
Содержание стронция в поставляемом растворе
Результаты и обсуждение), некоторых других ком-
определяется удельной активностью 82Sr, которая
мерческих образцов «натрия хлорид 0.9% раствор
менялась в диапазоне от 22 до 270 ГБк/мг, а массо-
для инфузий» приведены в табл. 2. Анализ обессо-
вое содержание кальция менялось от минимально-
ленной воды и коммерческих образцов изотониче-
го (0.1 от содержания стронция) до максимального
ских растворов проводили методом атомно-эмис-
(20 раз выше содержания стронция).
сионной спектрометрии с индуктивно связанной
Активность выделенных из мишени 82Sr и 85Sr,
плазмой (ICAP-61, Thermo Jarrell Ash, США) и
их активность в генераторных колонках и в элюате
масс-спектрометрии с индуктивно связанной плаз-
определяли путем γ-спектрометрических измере-
мой (X-7 ICP-MS, Thermo Elemental, США). Отно-
ний с полупроводниковым детектором из особо-
сительное стандартное отклонение в обоих случаях
чистого германия ORTEC GEM15P4-70. 82Sr опре-
не превышало 0.3. Теми же методами анализирова-
Таблица 1. Характеристики колонок генератора 82Rb и начальное распределение 82Sr в колонках разного размера при
содержании в каждой колонке стабильного Sr - 1.14 мкмоль, Ca - 11.4 мкмоль
Внутренний
Толщина слоя
Часть колонки
Объем
Номер
Длина трубки
диаметр
Масса сухого
сорбента с 82Sr
с начальным
колонки,
колонки
колонки, см
трубки
сорбента, г
при начальном
распределением 82Sr,
см3
колонки, см
распределении, мм
%
1
2.7
0.40
0.34
0.8
12.3
46
2*
2.7
0.86
1.6
3.8
2.7
10
3
5.4
0.84
3.0
7.1
2.9
5.4
4
4.8
1.15
5.0
11.8
1.5
3.1
* Стандартная колонка.
РАДИОХИМИЯ том 65 № 5 2023
450
ЧУДАКОВ и др.
Таблица 2. Содержание щелочноземельных элементов в различных изотонических растворах (0.9% NaCl).
Содержание элемента, мкг/л
Марка, производитель
Mg
Ca
Sr
Ba
Раствор NaCl в обессоленной воде, данная работа
9
32
<0.3
<1.0
Sodium Chloride 0.9% w/v Intravenous Infusion BP
<3
8
<0.2
<0.3
(B. Brown Melsungen AG, Germany), данная работа
Натрия хлорид буфус. «Растворитель для приготовления
<150
2.0
<0.9
лекарственных форм для инъекций», RENEVAL,
Новосибирск
«Растворитель для приготовления лекарственных форм»,
<150
0.9
<0.9
SOLOPHARM, СПб
«Для инъекций», SOLOPHARM, СПб
-
170
<4
<10
«Для инъекций», SOLOPHARM, г. Тверь
-
460
<4
<10
Раствор Рингера для инъекций
-
90000
-
-
ли растворы аммиака и хлорида натрия, применяв-
емые шприцевые насосы для медицинского приме-
шиеся при изготовлении генераторов 82Rb.
нения Terefusion TE-311 или Cole-Parmer-74900-25.
Исследование вымывания стронция с сорбен-
Нанесение разного количества стабильного
та проводили, пропуская через генераторную ко-
стронция на колонку (для последующего изуче-
лонку раствор 0.9% NaCl со скоростью 10 мл/мин.
ния его вымывания изотоническим раствором
При этом осуществлялся регулярный контроль со-
0.9% NaCl) , проводили следующим образом: че-
держания радиоактивного и стабильного стронция
рез стандартную генераторную колонку (объем со-
в элюате. Концентрация стронция в элюате в про-
рбента 1.6 см3, масса сухого сорбента 3.8 г) пред-
цессе вымывания сначала была очень низкой (вы-
варительно пропускали раствор хлорида стронция
мывается только 82Rb), потом концентрация строн-
(концентрация Sr 10 мг/мл) в буферной смеси с
ция резко возрастала, а по окончанию вымывания
TRIS-HCl (pH 7.2-7.4) со скоростью 1.5 мл/ч. При
этом содержание стронция на выходе из колонки
стронция - падала. Вымывание стронция считали
контролировали в каждой порции элюата объемом
завершенным, когда его концентрация в элюате ста-
0.1 мл. Считали, что колонка насыщена стронцием,
новилась ниже 10 мкг/л.
когда он появлялся в элюате в концентрации более
Контроль за концентрацией катионов стабиль-
10 мкг/л.
ного стронция в элюате из генераторных колонок
проводили с помощью двухпроекционного плаз-
РЕЗУЛЬТАТЫ И ИХ ОБСУЖДЕНИЕ
менно-оптического эмиссионного спектрометра с
индуктивно связанной плазмой (OPTIMA 7000 DV,
В процессе изготовления и применения генера-
Perkin Elmer) с диапазоном длин волн 160-900 нм,
тора используют растворы, содержащие в качестве
спектральное разрешение при 200 нм составляло
примесей двухзарядные катионы различных элемен-
0.007 нм. Чувствительность определения стронция
тов, которые могут конкурировать с ионами 82Sr2+,
этим методом составляла 8 мкг/л. Содержание каль-
снижая эффективность их сорбции. В частности, в
ция в элюате не определяли.
используемом нами солянокислом растворе 82Sr, по-
Отношение активности 82Sr к активности 82Rb в
лученного от разных поставщиков, содержание каль-
элюате определяли измерением активности порции
ция менялось от 36 до 220 мкг/мл; стронция - от 6 до
элюата (20 мл) сразу после пропускания каждого
15 мкг/мл; бария - от 5 до 5.5 мкг/мл; магния - от 0.2
литра полученного раствора (это в основном 82Rb) и
до 2.5 мкг/мл. Именно такие растворы мы исполь-
измерением этой порции через час - после полного
зовали для зарядки 20 генераторов ГР-01 и ГР-02
распада 82Rb (таким образом, оставались только ра-
при проведении лабораторных, доклинических и
диоизотопы стронция и 82Rb, равновесный со 82Sr).
медицинских клинических исследований [1, 4, 7].
При нанесении стронция и его вымывании из
В исходных растворах для зарядки генераторов
генераторной колонки использовали программиру-
суммарное содержание Ca, Sr, Mg и Ba составля-
РАДИОХИМИЯ том 65 № 5 2023
ВЛИЯНИЕ ПРИМЕСЕЙ СТРОНЦИЯ И КАЛЬЦИЯ
451
2000
ɚ
160
ɛ
1500
120
1000
80
500
40
0
0
0
10
20
30
40
50
0
10
20
30
40
50
Ɉɛɴɟɦ ɷɥɸɚɬɚ ɥ
Ɉɛɴɟɦ ɷɥɸɚɬɚ ɥ
35
ɜ
5
ɝ
4
25
3
15
2
1
5
0
0
10
20
30
40
50
0
10
20
30
40
50
Ɉɛɴɟɦ ɷɥɸɚɬɚ ɥ
Ɉɛɴɟɦ ɷɥɸɚɬɚ ɥ
0.5
ɞ
0.4
0.3
0.2
0.1
0 0
10
20
30
40
50
Ɉɛɴɟɦ ɷɥɸɚɬɚ ɥ
Рис. 1. Содержание стронция в элюате в зависимости от объема пропущенного раствора (0.9% NaCl) через стандартную
колонку. Стронций предварительно нанесен на сорбент в количестве, мг: (а) 23, (б) 2.3, (в) 0.6, (г) 0.3, (д) 0.1.
ло не менее 85% от общего содержания элементов,
Вымывание стронция из колонок с различ-
образующих в растворе многозарядные ионы. При
ным содержанием стронция. На рис. 1, (а)-(д)
этом суммарная доля кальция и стронция составля-
показана концентрация стронция в элюате в зави-
ла от 70% до 97% от общего содержания щелочно-
симости от пропущенного объема раствора при
разном содержании стронция, предварительно на-
земельных металлов в растворе. Присутствие Mg и
несенного на колонку в процессе приготовления.
Ba также может влиять на работу сорбента. Однако
Видно, что для полного вымывания стронция с со-
содержание магния составляло лишь около 0.5%
рбента в колонках с разным количеством стронция
от общего содержания ионов щелочноземельных
на сорбенте требуется примерно одинаковый объем
металлов, что во много раз меньше, чем содержа-
элюента (около 42 л). То есть исходный фронт ад-
ние кальция (до 80%). Содержание бария - около
сорбированного в начале колонки стронция полно-
0.3% - намного меньше, чем содержание стронция
стью выходит из колонки при пропускании данного
(5-9%). Поэтому мы пока ограничились изучением
объема раствора.
влияния кальция и стронция.
Таким образом, 42 л - это предельно достижи-
Положение и ширина сорбционной зоны 82Sr в
мый объема элюата при любом, даже минимальном
колонке без добавления носителя наиболее подроб-
содержании стронция, который можно получить из
но изучены в нашей работе [1]. В присутствии носи-
колонки объемом 1.6 см3 (в колонках с большим ко-
теля продвижение стронция по колонке ускоряется.
личеством сорбента объем раствора, необходимый
При этом ширина сорбционного пика стронция, как
для вымывания всего стронция, будет очевидно
показал эксперимент, в присутствии 0.3 мг носите-
больше). Однако наличие жестких ограничений на
ля примерно в 1.4 раза больше, чем при минималь-
содержание радиоизотопов стронция в РФЛП при-
ном содержании носителя (менее 30 мкг).
водит к тому, что при клиническом применении
РАДИОХИМИЯ том 65 № 5 2023
452
ЧУДАКОВ и др.
18
еме пропущенного раствора 19.3 л предел эксплуа-
16
тации будет достигаться при содержании кальция
14
CСа = 3.0 мкмоль/г. Из соотношения коэффициентов
12
а для стронция и кальция следует, что влияние кон-
10
&a
центрации кальция в мольных единицах на объем
8
получаемого кондиционного элюата в среднем со-
6
ставляет 0.11 от влияния концентрации стронция.
4
6U
Слабое влияние кальция на сорбцию стронция на
2
0
других сорбентах ранее отмечалось в литерату-
0
2
4
6
8
10
12
ре [23]. Это, по-видимому, объясняется различием
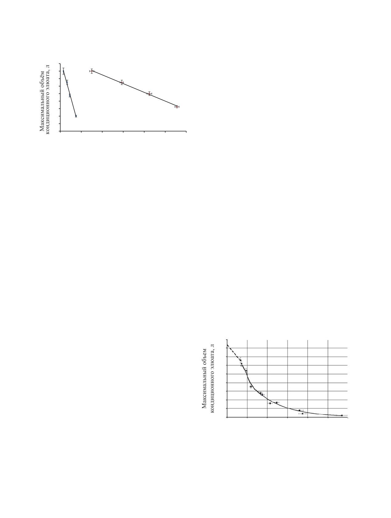
ɋɨɞɟɪɠɚɧɢɟ 6U ɢɥɢ &ɚ ɧɚ ɫɨɪɛɟɧɬɟ ɦɤɦɨɥɶ ɝ
ионных радиусов стронция и кальция. Те активные
Рис. 2. Зависимость максимального объема кондицион-
центры на сорбенте, которые наиболее подходят по
ного элюата из генератора 82Rb от содержания на сорбен-
те стронция (при CCa = 3.0 мкмоль/г) и кальция (при CSr =
ионному радиусу для сорбции катионов стронция,
0.3 мкмоль/г) в стандартной колонке
в меньшей степени блокируются ионами кальция.
Исходя из этого результата, показательна будет
генератора вымывание из него даже сравнительно
небольшой части имеющегося 82Sr должно быть ис-
зависимость максимального объема кондиционного
элюата от величины CSr + 0.11CCa (мкмоль на 1 г
ключено, так как его попадание в кровеносную си-
сухого сорбента). На рис. 3 показана такая зависи-
стему пациента недопустимо. Поэтому максималь-
мость для стандартной генераторной колонки, по-
ный объем кондиционного элюата, полученного из
лученная на основе данных разных экспериментов.
генератора, будет всегда меньше объема, необходи-
Она позволяет оценить получаемый объём конди-
мого для полного вымывания стронция (см. ниже).
ционного элюата до достижения предела эксплуа-
Влияние содержания стабильного стронция
тации при различном количестве кальция и строн-
и кальция в сорбенте на максимальный объем
ция, поступивших на сорбент. Как показано выше,
полученного из генератора кондиционного элю-
объем кондиционного элюата, полученный из стан-
ата. Стронций и кальций могут влиять с различной
дартной колонки, не может быть выше 42 л даже
эффективностью на максимальный объем конди-
при минимальном содержании стронция и кальция
ционного элюата, полученного из генератора. На
на сорбенте.
рис. 2 представлена зависимость максимального
Влияние объема колонки на максималь-
объема кондиционного элюата (V) из генератора
ный объем получаемого кондиционного элюа-
со стандартной колонкой до достижения предела
та (РФЛП). На рис. 4 приведены значения отноше-
эксплуатации от содержания на сорбенте катионов
стронция CSr (при неизменном содержании кальция
45
3.0 мкмоль/г) и кальция CCa (при неизменном со-
40
держании стронция 0.3 мкмоль/г).
35
В обоих случаях эта зависимость является ли-
30
нейной: V = aC + b (где С - концентрация кальция
25
или стронция на сорбенте). Обработка по методу
20
наименьших квадратов дает следующие значения
15
коэффициентов a и b: для кальция а = -1.11 л·г/мк-
10
моль, b = 19.3 л (r2 = 0.9996); для стронция a =
5
-10.14 л·г/мкмоль, b = 19.3 л (r2 = 0.9984). Экс-
0
траполяция этой линейной зависимости позволяет
0
0.5
1
1.5
2
2.5
3
CSr + 0.11CCa ɦɤɦɨɥɶ ɝ
заключить, что при отсутствии кальция и при кон-
Рис. 3. Зависимость максимального объема кондицион-
центрации стронция на сорбенте CSr = 0.3 мкмоль/г
ного элюата из генератора от величины СSr + 0.11СCa, где
предел эксплуатации генератора должен достигать-
СSr и СCa (мкмоль/г) - содержание стронция и кальция на
ся при пропускании 19.3 л раствора, и при полном
сорбенте в стандартной генераторной колонке в расчете
отсутствии стабильного стронция при таком же объ-
на 1 г сухого сорбента.
РАДИОХИМИЯ том 65 № 5 2023
ВЛИЯНИЕ ПРИМЕСЕЙ СТРОНЦИЯ И КАЛЬЦИЯ
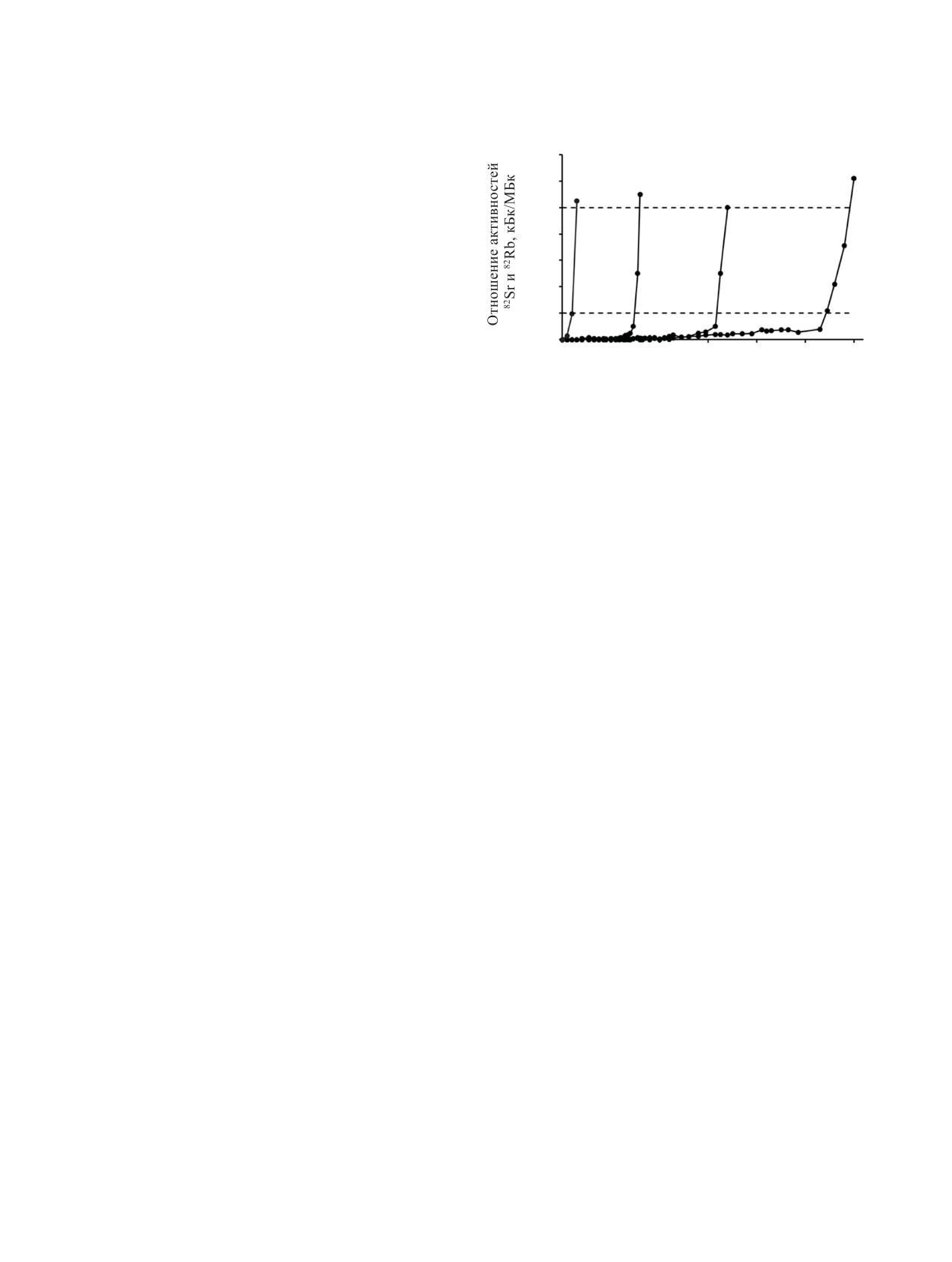
453
ния активностей 82Sr и 82Rb в элюате в зависимо-
0.014
сти от пропущенного объема раствора для четырех
0.012
колонок с разными объемом и массой сорбента. В
ɉɪɟɞɟɥ ɷɤɫɩɥɭɚɬɚɰɢɢ
0.010
данных экспериментах для зарядки генератора ис-
1
2
3
4
пользовали хлоридный раствор, который содержал
0.008
11 МБк 82Sr и 1.14 мкмоль стабильного стронция
0.006
для каждой колонки, и в этот раствор дополни-
0.004
тельно вносили десятикратное количество кальция
ɉɪɟɞɟɥ ɩɪɟɞɭɩɪɟɠɞɟɧɢɹ
(11.4 мкмоль); при этом массовое отношение Са/Sr
0.002
составило 4.6 - достаточно типичное в реальных
0
растворах, используемых для зарядки медицинских
генераторов. Как видно из рис. 4, с момента начала
Ɉɛɴɟɦ ɷɥɸɚɬɚ ɥ
элюирования до достижения отношения активно-
Рис. 4. Отношение активностей 82Sr и 82Rb в элюате
стей 82Sr и 82Rb, соответствующего пределу пред-
в зависимости от пропущенного объема раствора
(0.9% NaCl) для колонок с разным объемом и массой
упреждения, происходит сначала постепенное, а
сорбента. 1 - 0.34 см3 (0.8 г); 2 - 1.6 см3 (3.8 г); 3 -
потом резкое увеличение содержания 82Sr в элюате.
3.0 см3 (7.1 г); 4 - 5.0 см3 (11.8 г). Количество Sr в каждой
После достижения предела предупреждения предел
колонке 1.14 мкмоль; количество Ca - 11.4 мкмоль.
эксплуатации во всех колонках достигался при про-
объема элюента и наличии большого числа подго-
пускании дополнительно не более 2-3 л раствора.
товленных пациентов целесообразно использовать
Поэтому после достижения предела предупрежде-
генератор с большей активностью и объемом сор-
ния целесообразно более частое тестирование элю-
бента до 5 см3.
ата на содержание радиостронция - при последу-
ющем пропускании каждых 0.5 л раствора, чтобы
Зависимость максимального объема конди-
избежать попадания недопустимого количества 82Sr
ционного элюата от удельной активности 82Sr.
и 85Sr в организм пациента.
Как показано выше, количество неактивного строн-
ция влияет на максимальный объем кондиционного
Как видно из рис. 4, производительность генера-
тора 82Rb зависит от объема колонки и массы сор-
элюата в большей степени, чем количество каль-
бента. На рис. 5 показана зависимость максималь-
ция. Содержание неактивного стронция в основном
определяется удельной активностью используемого
ного объема кондиционного элюата, который мож-
но получить из генератора, от объема генераторной
82Sr в поставляемом хлоридном растворе, которая
колонки для четырех разных колонок (характери-
может быть разной в зависимости от метода и усло-
стики колонок указаны в табл. 1). Как видно, эта за-
вий получения радионуклида.
висимость носит линейный характер. Можно пред-
По существующим в настоящее время требо-
положить, что точка пересечения экстраполирован-
ваниям, приведенным в спецификациях произво-
ной линии с осью абсцисс соответствует объему
дителей, эта удельная активность должна быть не
того слоя сорбента, в котором 82Sr распределяется
менее 925 МБк/мг [24, 25]. Однако, если раствор с
сразу после зарядки генератора. Тогда этот слой со-
такой низкой удельной активностью будет реаль-
ставляет около 0.16 см3 (0.6 г).
но использоваться при изготовлении генератора
Начальное распределение 82Sr в разных колонках,
82Rb со стандартной начальной активностью 82Sr
рассчитанное из этих данных, показано в табл. 1.
3700 МБк и стандартной генераторной колонкой,
Как видно, 82Sr изначально занимает почти полови-
то на сорбент поступит 4 мг стабильного стронция
ну колонки с малым объемом сорбента (0.34 см3),
(12 мкмоль/г). Тогда достижение предела эксплуа-
предел эксплуатации генератора по стронцию воз-
тации будет происходить в самом начале процесса
можен вскоре после начала эксплуатации, поэтому
элюирования (рис. 3), и с помощью такого генерато-
ее использование ненадежно даже с небольшой
ра можно получить менее 1 л кондиционного элю-
активностью и небольшим периодом эксплуата-
ата даже при минимальном содержании кальция.
ции. Оптимальный объем сорбента - 1.6 см3. При
А при удельной активности около 10 ГБк/мг, т.е.
длительном использовании при прокачке большого
в 10 раз больше, чем установлено действующими
РАДИОХИМИЯ том 65 № 5 2023
454
ЧУДАКОВ и др.
Влияние содержания кальция и стронция в
70
элюенте, используемом при эксплуатации гене-
ратора, на максимальный объем получаемого
РФЛП. Катионы кальция и стронция всегда присут-
30
ствуют также в элюенте - изотоническом растворе
(0.9% NaCl), применяемом при вымывании 82Rb в
процессе клинического применения генератора.
0
Основной источник этих примесей - твердый хло-
Ɉɛɴɟɦ ɤɨɥɨɧɤɢ ɫɦ3
рид натрия, используемый при приготовлении это-
Рис. 5. Максимальный объем кондиционного элюата из
го раствора элюента (вода высокой чистоты обычно
генераторов с колонками различного объёма. Количество
доступна, так же маловероятно поступление приме-
Sr в каждой колонке 1.14 мкмоль; Ca - 11.4 мкмоль. Па-
сей из материала используемых сосудов).
раметры колонок см. табл. 1.
В табл. 2 приведено определенное нами содер-
требованиями, можно будет получить всего лишь
жание щелочноземельных элементов в разных рас-
несколько литров кондиционного элюата, что яв-
творах элюентов, использованных в данной работе,
ляется недостаточным для эффективной эксплуата-
а также некоторых других медицинских растворах
ции генератора.
для инъекций (0.9% NaCl), реализуемых в России.
На рис. 6 приведен рассчитанный на основании
Как видно, определяющим является содержание в
зависимости, приведенной на рис. 3, максималь-
этих растворах кальция, так как содержание строн-
ный объем кондиционного элюата в зависимости
ция в этих растворах более чем на два порядка
от удельной активности 82Sr (стандартная колонка
меньше. Содержание магния и бария также не столь
с начальной активностью 82Sr 3.7 ГБк) при различ-
ном соотношении содержания стронция и кальция
существенно.
в исходном растворе. Видно, что получить 17 л
На рис. 7 показана зависимость максимально-
кондиционного элюата (предел для американского
го объема кондиционного элюата от содержания
генератора CARDIOGEN®) при минимальном со-
кальция в используемом элюенте при разном со-
держании кальция (массовое отношение кальция и
держании стронция, которое определяется удель-
стронция 0.1) возможно, если удельная активность
ной активностью исходного раствора 82SrCl2 и ак-
82Sr в растворе 82SrCl2 не менее 30 ГБк/мг, а при
тивностью генератора (вычислено из усредненных
максимальном содержании кальция (отношение
экспериментальных данных рис. 3). При высокой
кальция и стронция 20) - не менее 90 ГБк/мг. Чтобы
удельной активности 82Sr увеличение ее значения
обеспечить получение 30 л кондиционного элюата
40
(как установлено для генераторов ГР-01 и ГР-02)
1
2
3
4
при минимальном содержании кальция, удельная
35
активность 82Sr должна быть не менее 65 ГБк/мг, а
30
при максимальном содержании кальция - не менее
25
180 ГБк/мг.
20
В табл. 3 приведено несколько примеров - рас-
15
четный максимальный объем кондиционного элюа-
10
та, который может быть получен из генераторов при
5
разных значениях содержания стронция (определя-
0
емых удельной активностью 82Sr) в генераторных
0
50
100
150
200
250
300
ɍɞɟɥɶɧɚɹ ɚɤɬɢɜɧɨɫɬɶ 82Sr ȽȻɤ/ɦɝ
колонках разного объема и с разной типичной на-
чальной активностью. Причем соотношение массо-
Рис. 6. Максимальный объем кондиционного элюата из
генератора (стандартный объем колонки, активность 82Sr
вого содержания кальция и стронция здесь приведе-
в генераторе 3.7 ГБк) в зависимости от удельной активно-
ны как достаточно типичное (4.6), так и максималь-
сти 82Sr при разном массовом отношении Ca/Sr в исход-
ное (18), реально встречающееся в растворах, по-
ном растворе хлорида стронция-82. Ca/Sr: 1 - 0.1, 2 - 5,
ставляемых для зарядки медицинских генераторов.
3 - 10, 4 - 20.
РАДИОХИМИЯ том 65 № 5 2023
ВЛИЯНИЕ ПРИМЕСЕЙ СТРОНЦИЯ И КАЛЬЦИЯ
455
Таблица 3. Предельные значения удельной активности 82Sr в исходном хлоридном растворе, необходимые для по-
лучения определенного объема кондиционного элюата из генераторов с разной активностью 82Sr и объемом колонки
при различном соотношении кальция и стронция
Объем
Удельная активность
Максимальный объем
Активность 82Sr, ГБк
Массовое отношение Ca/Sr
колонки, см3
82Sr, ГБк/мг
кондиционного элюата, л
1.6
1.1
18
27
17
1.6
1.1
18
45
30
1.6
3.7
18
90
17
1.6
3.7
18
180
30
1.6
3.7
4.6
37
18
3.0
3.7
4.6
37
33
5.0
3.7
4.6
37
60
сравнительно мало влияет на значение максималь-
кальций не так эффективно дезактивирует центры
ного объема кондиционного раствора (рис. 6 и 7).
адсорбции, как в условиях зарядки генератора (рас-
твор другого состава и подается с гораздо меньшей
Из табл. 2 и рис. 7 следует, что далеко не каж-
дый коммерческий изотонический раствор прием-
скоростью не более 1.5 мл/ч). В растворе 0.9% NaCl
содержание катионов натрия гораздо выше содер-
лем для использования с генератором 82Rb. Если
для приготовления изотонического раствора (0.9%
жания катионов кальция, и дезактивированные цен-
NaCl) использовать, например, фармацевтический
тры адсорбции могут регенерироваться путем ка-
хлорид натрия, производимый фирмой PanReac
тионного обмена кальция на натрий. Поэтому воз-
AppliChem ITW Reagents (Италия) [26], содержа-
можно, что в результате будет приемлемо несколько
щий щелочноземельные элементы (очевидно, в ос-
большее содержание кальция в элюенте. Этот во-
новном кальций) в количестве до 0.005%, то тогда
прос требует дополнительного исследования.
содержание кальция в полученном изотоническом
Но в любом случае для достижения стабиль-
растворе будет 460 мкг/л, и, как видно из рис.7, при
ных результатов при работе с генератором можно
удельной активности 82Sr 90 ГБк/мг получить из
рекомендовать использовать для элюирования изо-
генератора более чем 17 л кондиционного раствора
тонический раствор одного производителя с ми-
будет невозможно, а при более высокой удельной
нимальным содержанием кальция. Использование
активности можно будет получить не более 24 л
изотонических растворов с большим содержанием
кондиционного элюата. Если же применять раствор
кальция может привести к попаданию радиоактив-
для инъекций с большим содержанием кальция,
ного стронция в организм пациента.
достижение предела эксплуатации может проис-
45
ходить в самом начале эксплуатации генератора.
40
1
Например, при использовании в качестве элюента
35
растворов Рингера, в каждом литре которого содер-
2
30
жится несколько десятков миллиграммов Cа [27],
25
невозможно получить даже 1 л кондиционного элю-
3
20
ата, поскольку предел эксплуатации будет достиг-
15
нут сразу после нескольких первых инъекций (все-
10
го 50-100 мл).
5
Зависимость максимального объема кондицион-
ного элюата от содержания кальция в элюенте, при-
0 0.0
0.5
1.0
1.5
2.0
веденная на рис. 7, определена в предположении,
ɋɨɞɟɪɠɚɧɢɟ Ca ɜ ɷɥɸɟɧɬɟ ɦɤɝ ɦɥ
Рис. 7. Расчетные значения максимального объема кон-
что весь кальций из этого раствора будет погло-
диционного элюата из генератора (стандартная колонка)
щаться сорбентом. В то же время нельзя исключить,
при различном содержании Ca в элюенте (0.9% NaCl).
что в режиме элюирования при высокой скорости
Активность 82Sr в генераторе 3.7 ГБк (100 мКи). Удельная
подачи раствора 0.9% NaCl (от 10 до 100 мл/мин)
активность 82Sr, ГБк/мг: 1 - 270, 2 - 180, 3 - 90.
РАДИОХИМИЯ том 65 № 5 2023
456
ЧУДАКОВ и др.
ЗАКЛЮЧЕНИЕ
СПИСОК ЛИТЕРАТУРЫ
Установлены пределы содержания кальция и
1.
Чудаков В.М., Жуйков Б.Л., Ермолаев С.В., Коха-
стронция (определяемый удельной активностью
нюк В.М., Мостова М.И., Зайцев В.В., Шатик С.В.,
Костеников Н.А., Рыжкова Д.В., Тютин Л.А. //
82Sr) в растворах, используемых при изготовлении
Радиохимия. 2014. Т. 56. С. 455. Chudakov V.M.,
и использовании генератора 82Sr/82Rb. Максималь-
Zhuikov B.L., Ermolaev S.V., Kokhanyuk V.M., Mosto-
ный объем кондиционного раствора, получаемого
va M.I., Zaitsev V.V., Shatik S.V., Kostenikov N.A.,
из генераторов с разным объемом сорбента, опре-
Ryzhkova D.V., Tyutin L.A.// Radiochemistry.
2014.
деляется величиной мольной концентрации CSr +
Vol. 56, N 5. P. 535.
0.11CCa. В частности, для получения 30 л раствора
2.
CARDIOGEN-82 ® Rubidium Rb
82.
43-8200H.
РФЛП из стандартного генератора 1.6 см3 с актив-
Revised October 2020.
ностью 3.7 ГБк эта величина не должна превышать
https://www.bracco.com/us-en-2020-11-24-spc-
0.33 мкмоль в расчете на 1 г сухого сорбента. Уста-
cardiogen-82
новлены ограничения для удельной активности 82Sr,
3.
RUBY-FILL® (Rubidium Rb-82 Generators) and
используемого при изготовлении генератора, а так-
Elution System. https://www.draximage.com/products/
же ограничения для содержания кальция в элюенте,
USA/ruby-fill-(rubidium-rb-82-generator)-and-elution-
system
используемом при эксплуатации генератора (изото-
4.
Жуйков Б.Л., Чудаков В.М., Коханюк В.М. Патент РФ
нический раствор - 0.9% NaCl). Данные ограниче-
№ 2546731. 2013.
ния будут внесены в документацию на производ-
5.
Гранов А.М., Тютин Л.А., Тлостанова М.С. Рыжко-
ство генераторов ГР-01(02) (Россия) и RUBIGEN®
ва Д.В., Костеников Н.А., Ходжибекова М.М., Стан-
компании NAOGEN PHARMA (Франция).
жевский А.А., Пищик В.Г., Аветисян А.О., Штуков-
Полученные данные позволяют значительно
ский О.А., Мостова М.И., Зайцев В.В., Шатик С.В.,
повысить производительность и надежность гене-
Жуйков Б.Л. // Медицинская визуализация. 2013.
раторов, уже используемых за рубежом и в России,
N 2. С. 75.
а также разработать генераторы с более высокой
6.
Костеников Н.А., Жуйков Б.Л., Чудаков В.М., Илю-
щенко Ю.Р., Шатик С.В., Зайцев В.В., Сысоев Д.С.,
производительностью с объемом получаемого кон-
Панфиленко А.Ф., Станжевский А.А. // Лучевая диа-
диционного элюата до 60 л.
гностика и терапия. 2017. № 3 (8). С. 5.
БЛАГОДАРНОСТИ
https://doi.org/10.22328/2079-5343-2017-3-5-13
7.
Kostenikov N.A.; Zhuikov B.L., Chudakov V.M.,
Ilyushenko Yu.R., Shatik S.V., Zaitsev V.V., Sisoev D.S.,
Авторы выражают благодарность С.В. Ермола-
Stanzhevskiy A.A. // Brain Behav. 2019. Vol. 9. P. 316.
еву и другим сотрудникам Лаборатории радиоизо-
https://doi.org/10.1002/brb3.1212
топного комплекса ИЯИ РАН за ценные замечания
8.
NAOGEN PHARMA. RUBIGEN®. https://www.
и помощь в проведении экспериментов, В.К. Каран-
naogen-pharma.com/en/our-products/
дашеву (АСИЦ ИПТМ РАН) за проведение анализа
9.
Chatal J-F., Rouzet F., Haddad F., Bourdeau C.,
исходных растворов.
Mathieu C., Le Guludec D. // Front. Med. 2015. Vol. 2.
P. 65.
ФОНДОВАЯ ПОДДЕРЖКА
https://doi.org/10.3389/fmed.2015.00065
10. Brooks D.J., Beaney R.P, Lammertsma A.A.,
Исследование выполнено с использованием
Leenders K.L., Horlock P.L., Kensett M.J., Marshall J.,
оборудования Центра коллективного пользова-
Thomas D.G., Jones T. // J. Cereb. Blood Flow Metab.
1984. N 4. P. 535.
ния ИЯИ РАН (cоглашение с Минобрнауки №
https://doi.org/10.1038/jcbfm.1984.78
14.621.21.0014, уникальный идентификатор работ
11. Jochumsen M.R., Tolbod L.P., Pedersen B.G.,
RFMEF162117X0014).
Nielsen M.M., Hoyer S., Flokaer J., Borre M.,
Bouchelouche K., Sorensen J. // J. Nucl. Med. 2019.
КОНФЛИКТ ИНТЕРЕСОВ
Vol. 60. P. 1059.
https://doi.org/10.2967/jnumed.118.219188
Авторы заявляют об отсутствии конфликта ин-
12. CardioGen-82® (Rubidium Rb82 Generator). Bracco
тересов.
Imaging. https://cardiogen.com/cardiac-pet/
РАДИОХИМИЯ том 65 № 5 2023
ВЛИЯНИЕ ПРИМЕСЕЙ СТРОНЦИЯ И КАЛЬЦИЯ
457
13. Suleiman O.H. // FDA Update: The Strontium/Rubidium
21. Регистрационное удостоверение на медицинское из-
Generator. U.S. Food and Drug Administration. Nuclear
делие № РЗН 2014/1669 от 01.07.2014 г. Генератор
Regulatory Commission’s Advisory Committee on
рубидия-82 ГР-01 (ГР-02) по ТУ 9452-025-05627150-
Medical Use of Isotopes. April 16-17, 2012. https://
2012.
www.nrc.gov/docs/ML1210/ML12101A274.pdf
22. Государственная фармакопея Российской Федерации
14. Ahmadi A, Klein R, Lewin H.C., Beanlands R.S.B.,
XIV издания. Фармсубстанции минерального проис-
deKemp R.S.B. // J. Nucl. Cardiol. 2020. Vol. 27, N 5.
хождения. ФС.2.2.0014. Натрия хлорид.
P. 1728-1738.
23. Суетина А.К., Белоконова Н.В., Воронина А.В. Раз-
https://doi.org/10.1007/s12350-020-02200-6
работка и апробация высокочувствительного метода
15. Чудаков В.М., Шатик С.В., Жуйков Б.Л. Пат. RU
определения Sr-90 в природных водах // Актуальные
2765983 C1. 30.03.2021.
проблемы развития технических наук: сборник ста-
16. Zhuikov B.L., Kokhanyuk V.M., Konyakhin N.A.,
тей участников XXIV Областного конкурса науч-
Vincent J. // Nucl. Instrum. Meth. Phys. Res. A. 1999.
но-исследовательских работ «Научный Олимп» по
Vol. 438. P. 173.
направлению «Технические науки». - Екатеринбург:
17. Жуйков Б.Л., Коханюк В.М., Глущенко В.Н., Пили-
Уральский федеральный университет, 2021. С. 137-
пенко С.И., Кавхута Г.А., Винсент Д., Кэкетт М. //
142. http://hdl.handle.net/10995/106026
Радиохимия. 1994. Т. 36, № 6. С. 494.
24. Strontium-82 Radiochemical Strontium Chloride
Zhuikov B. L., Kokhanyuk V. M., Gluschenko V.N.,
Solution. Sr-82 Fact Sheet. MDS Nordion. Canada.
Pilipenko S.I., Kavkhuta G.A., Vincent J., Cackette M. //
NM01 10. Can. Rev. 05|04. www.nordion.com
Radiochemistry. 1994. Vol. 36, N 6. 548.
25. Strontium-82. Product Catalog. National Isotope
18. Phillips D.R., Peterson E.J., Taylor W.A., Jamriska D.J.,
Development Center, Oak Ridge National Laboratory,
Hamilton V.T., Kitten J.J., Valdez F.O., Salazar L.L.,
1996-2013.
Pitt L.R., Heaton R.C., Kolsky K.L., Mausneret L.F. //
26. Sodium Chloride (USP, BP, Ph, Eur.). PanReac
Radiochim. Acta. 2000. Vol. 88. P. 149.
AppliChem ITW Reagents. CODE 141659. CAS 7647-
https://doi.org/10.1524/ract.2000.88.3-4.149
19. Жуйков Б.Л., Коханюк В.М., Винсент Д.C. // Радио-
14-5. https://itwreagents.com/italy/en/product/sodium-
химия. 2008. Т. 50, № 2. С. 162.
chloride-usp-bp-ph-eur-jp-pure-pharma-grade/141659
20. Жуйков Б.Л., Ермолаев С.В., Коханюк В.М. Пат. RU
27. Машковский М.Д. Лекарственные средства 15-е изд.
2356113. 2008.
М.: Новая волна, 2005. С. 681.
Effect of Strontium and Calcium Admixtures
on Productivity of 82Sr/82Rb Medical Generator
V. M. Chudakova, *, S. V. Shatikb, B. L. Zhuikova
a Institute for Nuclear Research of Russian Academy of Sciences, Moscow, 117312 Russia
b Russian Scientific Center for Radiology and Surgical Technology, St. Petersburg, 197758 Russia
*e-mail: tchoudakov@mail.ru
Received on February 22, 2023; revised on June 22, 2023; accepted on June 26, 2023
The 82Sr/82Rb generator is used to produce a medical radiopharmaceutical rubidium-82 chloride in saline
solution for PET investigation. In this work, we studied the effect of the amount of stable strontium and calcium
delivered to the sorbent (hydrated tin dioxide), on the maximum volume of radiopharmaceutical solution that
can be obtained from the generator. Sr and Ca may be delivered to the sorbent from the initial solution of
strontium-82 or from the eluent (0.9% NaCl) during medical application of the generator. It is shown that this
volume depends on the value CSr + 0.11CCa, where CSr and CCa - molar concentrations of the elements in 1 g
of the sorbent. The obtained results make it possible to increase significantly the productivity and reliability of
the used generators.
Keywords: radionuclide generator, strontium-82, rubidium-82, eluent, elution, radioactive impurities, non-
radioactive impurities
РАДИОХИМИЯ том 65 № 5 2023