РАДИОХИМИЯ, 2021, том 63, № 5, с. 492-500
УДК 621.039.733;735;736;85
МАТРИЦЫ НА ОСНОВЕ СТРУВИТОВ
ДЛЯ ОТВЕРЖДЕНИЯ ВЫСОКОСОЛЕВЫХ
БОРСОДЕРЖАЩИХ ЖИДКИХ РАДИОАКТИВНЫХ
ОТХОДОВ
© 2021 г. О. А. Кононенко, В. В. Милютин*, В. И. Макаренков
Институт физической химии и электрохимии им. А. Н. Фрумкина РАН,
119071, Москва, Ленинский пр., д. 31, корп. 4
*e-mail: vmilyutin@mail.ru
Поступила в редакцию 25.05.2020, после доработки 05.12.2020, принята к публикации 12.12.2020
Исследованы процессы, происходящие при образовании матриц струвитов (фосфатов калия-магния и
аммония-магния) в среде высокосолевых борсодержащих модельных растворов, имитирующих упа-
ренные кубовые остатки АЭС с реакторами типа ВВЭР. Получены зависимости прочности матриц от
содержания солей в матрице, определены основные фазы, ответственные за прочность. Показано, что
матрицы, синтезированные при стехиометрическом соотношении реагентов - MgO и NH4H2PO4, по
прочности и выщелачиванию β-радионуклидов не удовлетворяют требованиям к цементированным ра-
диоактивным отходам. Внесение при синтезе матриц 10-20%-ного избытка MgO позволяет значительно
увеличить прочность матриц и снизить степень выщелачивания 137Сs. Получены матрицы, содержащие
до 17-17.5 мас% солей, что в 1.7-2.5 раза больше по сравнению с портландцементными матрицами, и
полностью удовлетворяющие требованиям к цементированным радиоактивным отходам.
Ключевые слова: струвит, жидкие радиоактивные отходы, оксид магния, выщелачивание цезия.
DOI: 10.31857/S0033831121050105
В процессе эксплуатации современных АЭС об-
шихтой при температурах 1150-1250°С, используя
разуется значительное количество радиоактивных
керамические или индукционные плавители [4].
отходов (РАО), наибольший объем среди которых
Состав шихты может быть следующим, мас% [5]:
составляют высокосолевые кубовые остатки (КО).
SiO2
15, Na2O
9, CaBSiO4(OH) (датолит)
24,
Удельная активность КО составляет, как правило,
Al2O3·4SiO2·H2O (бентонит)
9, Fe2O3
3, неле-
106-108 Бк/л и более чем на 95% обусловлена ра-
тучие оксиды из РАО 40. При остекловывании
дионуклидами цезия. Солевой состав КО АЭС с
ДКО происходит денитрация NaNO3 с выделе-
реакторами РБМК представлен, главным образом,
нием оксидов азота и образованием силикатов
нитратом натрия, для АЭС с реакторами ВВЭР -
натрия [6]. Силикаты и бораты натрия, а также
нитратами и боратами натрия и калия. В целях со-
оксиды радиоактивных элементов-металлов хи-
кращения объема эти растворы упаривают до кон-
мически взаимодействуют с шихтой, входя в со-
центрации солей свыше 500 г/л, получая доупарен-
став стекла. Образующаяся по охлаждении рас-
ные кубовые остатки (ДКО).
плава стекла матрица имеет скорости выщела-
Для надежной изоляции ДКО включают в твер-
чивания радионуклидов ниже
10-5 г/(см2 ∙ сут)
дые матрицы. Наиболее эффективны для включе-
и низкую растворимость в природных водах. Эти
ния ДКО боросиликатные стекломатрицы [1, 2]. В
характеристики позволяют размещать остеклован-
них можно поместить до 40 мас% солей из ДКО
ные отходы низкого и среднего уровней активности
[3]. Такие матрицы готовят путем сплавления со-
в различных геологических средах без дополни-
левой части ДКО со специально подобранной
тельных инженерных барьеров [7]. К числу недо-
492
МАТРИЦЫ НА ОСНОВЕ СТРУВИТОВ
493
статков остекловывания относятся унос радиону-
MgO + KH2PO4 + 5H2O → KMgPO4·6H2O, однако
клидов цезия при температурах варки стекла [8, 9],
реакция не доходит до конца [16, 17]. Возможно
сложности с дозированием шихты и необходимость
также получение матриц K-струвита гидратацией
специальной системы для восстановления выделя-
безводного порошка KMgPO4 [18].
ющихся при денитрации оксидов азота до азота [10],
K-струвит выгодно отличается от продуктов ги-
высокие капиталовложения на создание и энергоза-
дратации портландцемента высокой совместимо-
траты на функционирование установок по остекло-
стью с различными хорошо растворимыми в воде
выванию [11, 12], небольшой срок службы обору-
солями. Это дает возможность отверждать смесью
дования, образование вторичных радиоактивных
MgO с KH2PO4 хлоридные, нитратные и смешан-
отходов - отработанных сорбентов из систем воз-
ные нитратно-нитритно-сульфатные радиоактив-
духоочистки от радионуклидов цезия. Кроме того,
ные растворы с получением матриц, содержащих до
в ДКО разных АЭС с ВВЭР соотношение между Na
20% солей и удовлетворяющих всем требованиям к
и B может варьироваться в широких пределах. По-
цементированным ТРО [19-22].
скольку Na и B из ДКО при варке боросиликатного
Большинство радионуклидов, присутствующих
стекла химически входят в состав стекломатрицы,
в КО в катионной форме, образует малораствори-
а соотношение между Na, B, Si и Al для получения
мые фосфаты. Поэтому скорости их выщелачи-
качественного стекла строго регламентировано, для
вания из матриц K-струвита низки и составляют
каждого соотношения Na/B требуется корректиро-
10-4-10-6 г/(см2 ∙ сут) [23-26]. При этом скорости
вать состав шихты, что требует серьезных лабора-
выщелачивания таких радионуклидов, как 90Sr и
торных исследований [7].
60Co, приближаются к верхней, а 239Pu и 241Am - к
Создание более дешевого и безопасного способа
нижней границе скоростей из этого диапазона. Ско-
отверждения высокосолевых среднеактивных РАО,
рости выщелачивания большинства β-радионукли-
в результате которого получались бы матрицы с на-
дов существенно ниже максимально допустимой
полнением по солевой части РАО, приближающим-
величины 1 × 10-3 г/(см2 ∙ сут) [27]. Исключение со-
ся к аналогичному показателю для стекломатриц,
ставляют радионуклиды цезия и технеция в форме
является сложной и актуальной задачей.
TcO; первые предварительно соосаждают в виде
Наиболее дешевым и безопасным способом
(K,Cs)2Ni[Fe(CN)6] или сорбируют на цеолите, вто-
отверждения ДКО является цементирование. Основ-
рые - сорбируют на сильноосновном анионите или
ными недостатками цементирования ДКО портланд-
восстанавливают при pH 8-9 до малорастворимого
цементом (ПЦ) являются невысокая (7-10 мас%)
TcO2 [19, 21].
степень включения солевой части отходов в матри-
Синтез матрицы K-струвита - быстрая и экзо-
цу [7], неполное отверждение ДКО вследствие се-
термическая реакция. Использование высокопро-
диментации ПЦ в высокосолевой среде при водоце-
каленного (>1300°С) оксида магния - периклаза
ментных отношениях (В/Ц) выше 0.5 [13], а также
[28], применение грубодисперсных порошков MgO
высокая скорость выщелачивания β-радионуклидов
[29], а также введение в систему небольших коли-
(134Сs, 137Сs), превышающая нормативную величи-
честв различных реагентов (NaCl, Fe2O3, H3BO3,
ну 10-3 г/(см2 сут).
Na2B4O7·10H2O, Ca(NO3)2·4H2O, Na2SO4·10H2O)
При В/Ц 0.55-0.8 матрицы на основе композици-
[23, 30-32] позволяют увеличить время схватыва-
онного цемента из алюмината кальция и CaSO4 ли-
ния суспензии реагентов. Механизм замедления
шены недостатков традиционных портландцемент-
реакции в случае применения H3BO3 состоит в
ных матриц и могут содержать до 23.9 и 16.4 мас%
образовании временной пленки борофосфата маг-
солей из ДКО АЭС типа РБМК и ВВЭР соответ-
ния - лунбергита (lunebergite) - на поверхности
ственно [14].
MgO. Эта пленка замедляет растворение MgO в
K-струвит, имеющий состав KMgPO4∙6H2O,
кислом растворе KH2PO4 [33]. Оптимально введе-
ние 1% H3BO3 от массы смеси MgO с KH2PO4.
активно исследуется в качестве альтернативы
традиционным портландцементным матрицам
В качестве упрочняющих добавок для бессо-
[15]. Синтез матрицы проходит согласно реакции
левых матриц на основе K-струвита известны
РАДИОХИМИЯ том 63 № 5 2021
494
КОНОНЕНКО и др.
(% добавки от массы смеси MgO с KH2PO4/% уве-
синтезе матриц, имеет pH водного раствора ~3.5,
личения прочности по сравнению с прочностью ма-
между ним и боратами неизбежно химическое вза-
трицы K-струвита без добавок): золы-уноса, бога-
имодействие, что должно отражаться на качестве
тые кремнеземом (30-60/200-300) [34-36], микро-
матриц. В связи с этим изучение возможности по-
волластонит (природный CaSiO3) с фибриллярной
лучения в этих условиях матриц K-струвита удов-
формой частиц (60-50/20-40) [37], рубленое сте-
летворительного качества представляет научный и
кловолокно с длиной фибрилл 0.6-1.2 см (1-3/200)
практический интерес.
[34], нитевидный графит с внутренним диаметром
Наряду с K-струвитом его изоструктурная аммо-
нанотрубок 5-8 нм (1/200) [38]. Микроволластонит
ниевая форма - струвит (NH4MgPO4·6H2O) - также
и рубленое стекловолокно повышают прочность
может рассматриваться в качестве матрицы для им-
матриц на изгиб. Считается, что эффект упрочне-
мобилизации РАО. Монолиты струвита могут быть
ния от кремнеземистых добавок связан с реакцией
получены по реакции MgO c NH4H2PO4 в воде [42].
между SiO2 и кислыми фосфатами.
Как и в случае K-струвита, скорость этого процес-
Добавки высокодисперсных кремнеземов при
са зависит от активности MgO. Добавки H3BO3 и
отверждении насыщенного водного раствора
Na2B4O7·10H2O в 6-7 раз замедляют реакцию [43].
NaNO3 смесью MgO с KH2PO4 могут как повышать,
Более низкая растворимость аммониевой формы по
так и понижать прочность матриц K-струвита в за-
сравнению с калиевой дает основание надеяться на
лучшую способность матриц на ее основе удержи-
висимости от формы и размера частиц кремнезема
[39]. В концентрированных растворах высокозаме-
вать радионуклиды [44-46]. Однако матрицы для
щенных боратов высокодисперсные кремнеземы
отверждения РАО на основе струвита до настояще-
го времени неизвестны.
растворяются, что приводит к понижению прочно-
сти матриц K-струвита, сформированных в среде
Целью работы являлось изучение возможности
таких растворов.
использования струвита и K-струвита в качестве
матриц для отверждения борсодержащих кубовых
Введение микроволластонита, бентонита или
остатков АЭС.
клиноптилолита в количестве 20-40% от массы
матрицы K-струвита при отверждении имитаторов
ВАО, солевая часть которых состоит из NaNO3, при-
ЭКСПЕРИМЕНТАЛЬНАЯ ЧАСТЬ
водит к повышению прочности в 2-3 раза. В случае
применения микроволластонита выщелачивание
При создании матриц руководствовались требо-
152Eu из матриц снижается на порядок [40].
ваниями к цементированным радиоактивным от-
ходам: прочность матриц не менее 4.9 МПа, сред-
При воздействии радиации на матрицы K-стру-
няя скорость выщелачивания β-радионуклидов за
вита нитраты играют роль радиопротектора, по-
90 сут не выше 1 × 10-3 г/(см2 сут) [47]. В качестве
давляющего образование водорода и снижающего
β-радионуклида использовали 137Сs. Выщелачива-
таким образом давление газообразных продуктов
ние 137Cs из матриц определяли по стандартной
радиолиза внутри матриц [41]. Поглощенная доза
процедуре [27, 48].
100 Мрад (от γ-излучения 60Co) вызывает снижение
прочности матриц K-струвита, содержащих поряд-
Прочность матриц при осевом сжатии опреде-
ка 20 мас % NaNO3, на 30-35% [40].
ляли при помощи гидравлического пресса марки
ВПРГ, развивающего усилие до 4 т.
Обращает на себя внимание отсутствие в ли-
тературе информации о включении в матрицы
Удельную активность 137Cs в растворах опреде-
K-струвита жидких радиоактивных отходов, со-
ляли радиометрическим методом по его γ-излуче-
нию с использованием универсального спектроме-
держащих наряду с нитратами, бораты щелочных
металлов, например, кубовых остатков АЭС ВВЭР.
трического комплекса СКС-50М («Грин стар техно-
Для этого типа отходов характерно содержание
лоджиз», Москва).
бора в гидролитически сильнощелочных формах
Внутреннее строение матриц и их химический
(рН > 11) и большая буферная емкость по величи-
состав определяли методом растровой электронной
не pH. Поскольку KH2PO4, использующийся при
микроскопии и локального рентгеноспектрального
РАДИОХИМИЯ том 63 № 5 2021
МАТРИЦЫ НА ОСНОВЕ СТРУВИТОВ
495
микроанализа на электронном микроскопе марки
12
JSM-V3 (Япония) с приставкой для рентгеновского
10
микроанализа JEOL (Getac, Германия).
1
Рентгеновские дифракционные измерения про-
8
водили на дифрактометре URD-63 (режим трубки
6
БСВ-28 (Cu) 20 мА, 30 кВ, фильтр Ni, детектор
4
сцинтилляционный).
3
Для экспериментов использовали реагенты мар-
2
2
4
ки ч.д.а., а также промышленный «тяжелый» MgO
0
производства Израиля с насыпной массой 1.22 г/см3,
0
5
10
15
20
25
прокаленный при 1100°С в течение 2 ч.
% солей в матрице
Для отверждения использовали модельный рас-
Рис. 1. Зависимости прочности матриц (P) на основе
твор, имитирующий доупаренные кубовые остат-
струвитов от содержания солей в матрице: 1 - нитратный
ки (ДКО) АЭС ВВЭР состава, г/дм3: NaNO3
236.6,
ДКО, K-струвит; 2 - нитратный ДКО, струвит; 3 - ни-
тратно-боратный ДКО, K-струвит, 4 - нитратно-борат-
H3BO3 168.2, NaOH 189.6; общее солесодержа-
ный ДКО, струвит.
ние 509 (37.3 мас%); рН 11.8; плотность рас-
твора
1.364 г/см3. Перед применением раствор
мирования матриц. Емкости представляли собой
выдерживали на воздухе в течение 1 месяца с
цилиндры высотой 4 см и площадью основания
целью образования карбонатов за счет реакции
16 см2. Формирование матриц продолжалось 28 сут
с углекислым газом воздуха. В дальнейшем та-
при 20-22°С.
кой ДКО называли нитратно-боратным. Перед
отверждением в раствор вносили радиоактив-
РЕЗУЛЬТАТЫ И ИХ ОБСУЖДЕНИЕ
ную метку 137Cs (без носителя) до активности
(1-2) × 107 Бк/дм3.
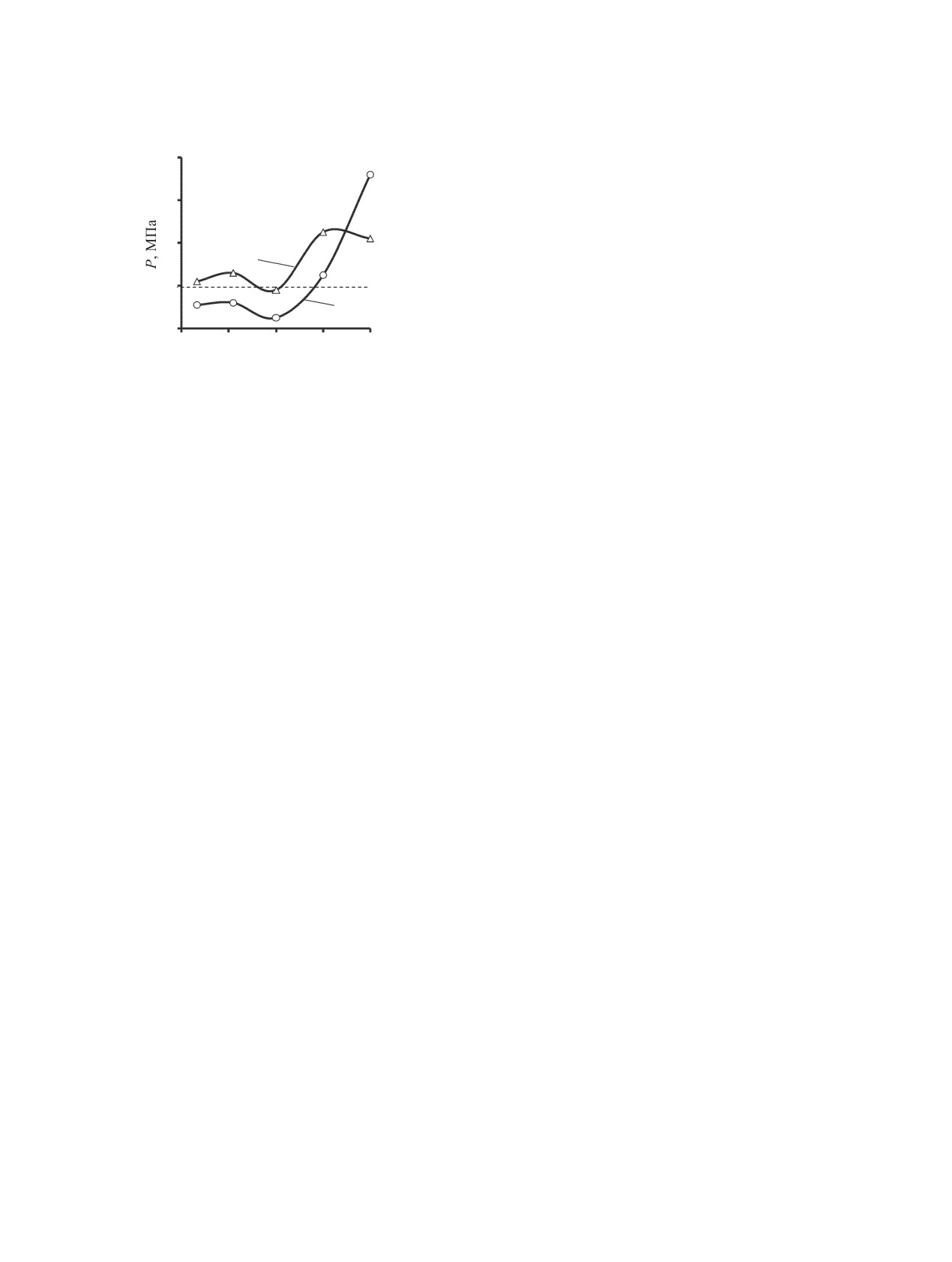
На рис. 1 представлены зависимости прочности
Для изучения влияния на матрицы нитратов и
матриц (P) на основе струвита и K-струвита от со-
боратов натрия по отдельности использовали ни-
держания в них растворимых солей.
тратный и боратный ДКО. Нитратный ДКО пред-
Из рис. 1 видно, что прочность матриц K-стру-
ставлял собой раствор NaNO3 с концентрацией до
вита, полученных отверждением нитратных ДКО,
620 г/дм3 (45.2 мас%). Боратный ДКО отличался
повышается с ростом содержания в них солей, что
от нитратно-боратного ДКО приведенного выше
согласуется с данными других авторов [49]. При
состава отсутствием NaNO3. Также использовали
отверждении нитратных ДКО матрицы на основе
растворы, полученные разбавлением ДКО выше-
K-струвита более чем на порядок прочнее матриц
приведенных составов до необходимого солесо-
на основе струвита и соответствуют требованиям
держания.
к цементированным твердым радиоактивным отхо-
Для связывания цезия в матрицах применя-
дам (ТРО) по прочности при содержании солей в
ли сухой ферроцианид никеля-калия состава
них свыше 15 мас%. Матрицы на основе струвита
K1.33Ni1.33[Fe(CN)6], предварительно полученный
с нитратным ДКО не соответствуют требованиям
по реакции
к цементированным ТРО по прочности, причем их
прочность практически не меняется с ростом содер-
K4[Fe(CN)6] + 1.33Ni(NO3)2
жания солей. Присутствие в отверждаемом раство-
→ K1.33Ni1.33[Fe(CN)6]↓ + 2.66KNO3.
ре боратов совместно с нитратами ослабляет упроч-
Для получения матриц в ДКО вносили
няющее действие нитратов на матрицы K-струвита
KH2PO4 или NH4H2PO4 и при необходимости
и приводит к резкому росту прочности матриц на
K1.33Ni1.33[Fe(CN)6], после чего систему перемеши-
основе струвита. Матрицы на основе струвитов
вали 30 мин. Затем вводили MgO, перемешивали не
непригодны для отверждения нитратно-боратного
более 10 мин и разливали образовавшуюся вязкую
ДКО ввиду их несоответствия требованиям к це-
суспензию по герметизируемым емкостям для фор-
ментированным ТРО по прочности.
РАДИОХИМИЯ том 63 № 5 2021
496
КОНОНЕНКО и др.
свободной поверхности матрицы К-струвита, сфор-
1
мированной в среде нитратного ДКО (рис. 2).
Из рис. 2 видно, что матрица представляет собой
3
совокупность монолитных и пористых областей не-
правильной формы, в которую вкраплены кристал-
2
лы KNO3. В монолитных и пористых областях ос-
2
новной является фаза NaхK(1-х)MgPO4∙6H2O. По-ви-
димому, рост прочности связан с увеличением доли
монолитных областей, богатых натрием (х > 0.5).
Кристаллы KNO3 образуются в результате реакции
между NaNO3 и KMgPO4∙6H2O в процессе форми-
рования матрицы.
Рис. 2. Электронная микрофотография образца K-стру-
Влияние макроколичеств растворимых боратов
вита, сформированного в среде нитратного ДКО. 1 - по-
на фазовый состав матриц на основе струвитов ил-
ристая область состава NaхK(1-х)MgPO4∙6H2O, х << 0.5;
2 - монолитная область состава NaхK(1-х)MgPO4∙6H2O,
люстрируют дифрактограммы на рис. 3.
х > 0.5; 3 - кристалл KNO3.
На дифрактограмме матрицы на основе K-струви-
та, синтезированной в среде боратного ДКО (I) при
Рост прочности матриц K-струвита с ростом
мольном соотношении [MgO]/[KH2PO4] = 1, видно,
содержания NaNO3 в них может быть связан с из-
что помимо основной кристаллической фазы, отве-
менением фазового состава матриц. Для проверки
чающей за прочность - KMgPO4∙6H2O, присутству-
этого предположения была снята микрофотография
ет MgCO3. Борсодержащие фазы, такие как бораты
400
1
1
300
I
1
12
1
1
1
200
2
1
1
1
1
1
111
1
100
2
0
20
25
30
35
40
45
50
55
1200
3
II
800
3
3
3
3
33
3
400
4
4
3
3
4
4
3
4
3
4
4
4
0
10
15
20
25
30
35
4
800
5
4
4
5
5
III
400
4
3
3
4 4
5
4
5
5
3
3
0
10
15
20
25
30
35
2θ, град
Рис. 3. Дифрактограммы матриц: I - К-струвит, боратный ДКО; II - струвит, вода; III - струвит, боратный ДКО. Обозначе-
ния фаз: 1 - KMgPO4∙6H2O (K-струвит), 2 - MgCO3 (магнезит), 3 - Mg(NH4)2(HPO4)2∙4H2O (Schertelite), 4 - NH4MgPO4∙6H2O
(струвит), 5 - NH4NaHPO4∙4H2O (стеркорит).
РАДИОХИМИЯ том 63 № 5 2021
МАТРИЦЫ НА ОСНОВЕ СТРУВИТОВ
497
увеличению прочности, что и наблюдается на прак-
11
тике (рис. 1).
Таким образом, реакция между MgO и (K,NH4)
9
H2PO4 в среде боратных ДКО не доходит до конца
из-за того, что часть MgO вступает в побочные про-
7
1
цессы или блокируется продуктом реакции. Следо-
вательно, внесение избытка MgO по сравнению со
5
2
стехиометрией реакций синтеза струвитов может
способствовать увеличению прочности матриц.
3
0.8
0.9
1
1.1
1.2
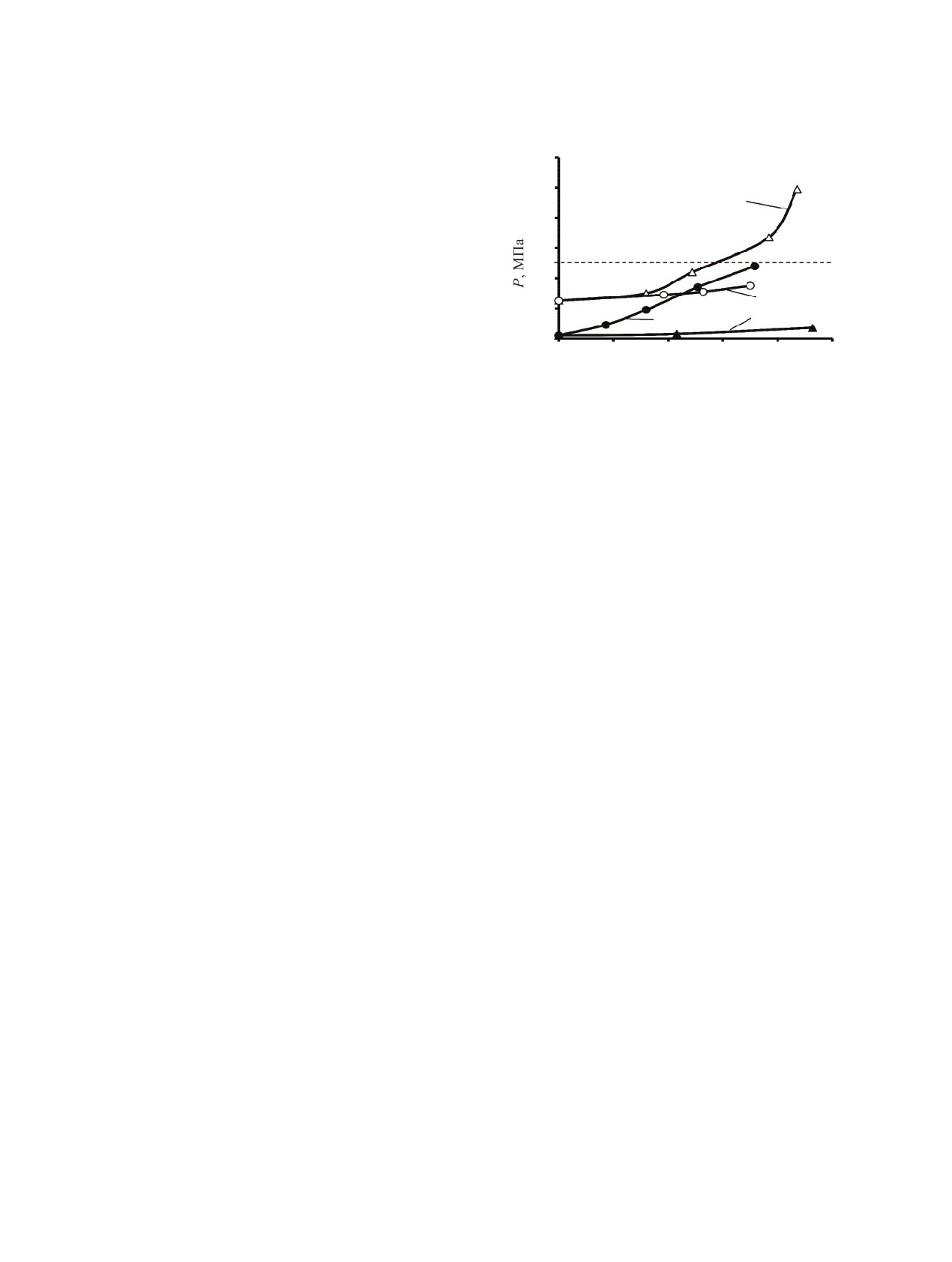
Влияние избытка MgO на прочность матриц на ос-
[MgO]/[(K,NH4)H2PO4]
нове струвитов показано на рис. 4.
Как видно из рис. 4, при внесении избытка MgO
Рис. 4. Зависимости прочности матриц (P) на осно-
ве струвитов от мольного соотношения реагентов при
по сравнению со стехиометрическим количеством
отверждении нитратно-боратного ДКО: 1 - струвит; 2 -
наблюдается увеличение прочности матриц, при
K-струвит.
этом получаемые матрицы удовлетворяют требова-
ниям по прочности к цементированным ТРО.
натрия, на дифрактограммах не видны, по-видимо-
На рис. 5 и 6 приведены параметры выщелачива-
му, из-за их мелкокристалличности. Причина по-
ния 137Cs из матриц на основе струвитов, сформи-
явления MgCO3 в матрице - взаимодействие CO2
рованных в воде и в среде нитратно-боратных ДКО.
воздуха с боратным ДКО в процессе его выдерж-
Как видно на рис. 5 и 6, <R> для 137Cs за 90
ки перед отверждением. Образующиеся в растворе
сут выщелачивания для матриц на основе струви-
карбонаты и гидрокарбонаты натрия могут вступать
тов, сформированных в среде нитратно-боратных
в реакцию с Mg(H2PO4)2 и MgHPO4, давая MgCO3.
ДКО, существенно превышает 10-3 г/(см2 сут), т.е.
Таким образом, часть MgO расходуется на связы-
эти матрицы не удовлетворяют требованиям к це-
вание карбонатов, из-за чего реакция образования
ментированным ТРО по скорости выщелачивания
K-струвита протекает не полностью.
β-радионуклидов. Аналогичные матрицы, сформи-
На рис. 3 приведены дифрактограммы матриц
рованные в воде, закономерно имеют более низкие
на основе струвита при [MgO]/[NH4H2PO4] = 1,
скорости выщелачивания, поскольку отсутствует
полученных при отверждении дистиллированной
конкуренция между Cs+ и Na+ за сорбционные цен-
воды (II) и боратного ДКО (III). Доминирующей
тры матриц. Однако и в этом случае средняя ско-
фазой матрицы в отсутствие боратов (II) является
рость выщелачивания 137Cs за 90 сут превышает
10-3 г/(см2 сут). При стехиометрическом соотно-
Mg(NH4)2(HPO4)2∙4H2O, в меньших количествах
шении реагентов и аналогичных условиях синтеза
присутствует NH4MgPO4∙6H2O, предположительно
матрицы на основе K-струвита лучше удерживают
отвечающий за прочность матрицы. Такой состав
цезий, чем матрицы на основе струвита, что может
продуктов реакции между MgO и NH4H2PO4 ука-
быть связано с тем, что аммониевая форма струвита
зывает на ее незавершенность. Отражения от MgO
имеет бóльшую открытую пористость по сравне-
отсутствуют, вероятно, из-за того, что в ходе реак-
нию с калиевой.
ции размер частиц MgO уменьшается, становясь в
Как видно на рис. 5, избыток MgO при синте-
итоге меньше предела чувствительности дифрак-
зе матрицы на основе K-струвита приводит к сни-
тометра (~3 мкм). Доминирующей фазой матри-
жению выщелачивания 137Cs примерно в 1.5 раза,
цы, сформировавшейся в среде боратного ДКО,
однако этого недостаточно для достижения не-
является NH4MgPO4∙6H2O (III), минорные фазы -
обходимой величины
<R>. Внесение при син-
NH4NaHPO4∙4H2O и Mg(NH4)2(HPO4)2∙4H2O.
тезе матрицы селективного сорбента на цезий -
Увеличение доли NH4MgPO4∙6H2O в составе ма-
K1.33Ni1.33[Fe(CN)6] - позволяет снизить значение
трицы, содержащей бораты, по сравнению с анало-
<R> до приемлемого уровня. Как видно на рис. 6,
гичной матрицей без боратов должно приводить к
при синтезе струвита в условиях избытка MgO об-
РАДИОХИМИЯ том 63 № 5 2021
498
КОНОНЕНКО и др.
25
(б)
10-1
(а)
1
20
5
10-2
2
15
2
3
10
3
10-3
4
5
4
10-4
0
0
15
30
45
60
75
90
Время, сут
0
15
30
45
60
75
90
Время, сут
Рис. 5. Зависимости средней скорости выщелачивания (<R>) (а) и процента вымывшегося 137Cs (б) от времени для матриц
на основе K-струвита: 1 - нитратно-боратный ДКО, стехиометрическое соотношение реагентов; 2 - нитратно-боратный
ДКО, 20%-ный избыток MgO; 3 - вода, стехиометрическое соотношение реагентов; 4 - нитратно-боратный ДКО, 20%-ный
избыток MgO, 5.3 × 10-3 мас% K1.33Ni1.33[Fe(CN)6].
1
70
(б)
(а)
60
10-1
1
50
1
40
10-2
2
30
2
20
10-3
3
3
10
10-4
0
0
15
30
45
60
75
90
0
15
30
45
60
75
90
Время, сут
Время, сут
Рис. 6. Зависимости средней скорости выщелачивания (<R>) (а) и процента % вымывшегося 137Cs (б) от времени для матриц
на основе струвита: 1 - нитратно-боратный ДКО, стехиометрическое соотношение реагентов; 2 - вода, стехиометрическое
соотношение реагентов; 3 - нитратно-боратный ДКО, 20%-ный избыток MgO.
разуется матрица, из которой вымывается на поря-
требованиям к цементированным ТРО по прочности
док меньше 137Cs, чем из аналогичной матрицы в
и выщелачиванию β-радионуклидов, синтез матриц
случае стехиометрического соотношения реаген-
необходимо проводить при мольном соотношении
MgO/(KH2PO4 или NH4H2PO4) =1.1-1.2 (10-20%-
тов. Эта матрица удовлетворяет требованию к <R>
ный избыток MgO относительно стехиометрии ре-
для цементированных ТРО.
акции). Для матриц на основе K-струвита снижение
выщелачивания радионуклидов цезия до приемле-
ЗАКЛЮЧЕНИЕ
мого уровня достигается при внесении селективно-
го сорбента на цезий - ферроцианида никеля-калия
Проведенные исследования показали, что матри-
в количестве 5.3 × 10-3% от массы матрицы. Полу-
цы на основе струвитов могут быть использованы
ченные матрицы содержат до 17-17.5 мас% солей,
для отверждения кубовых остатков АЭС с реактора-
что в 1.7-2.5 раза больше по сравнению с портланд-
ми ВВЭР. Для получения матриц, удовлетворяющих
цементными матрицами и на 4-7% больше, чем в
РАДИОХИМИЯ том 63 № 5 2021
МАТРИЦЫ НА ОСНОВЕ СТРУВИТОВ
499
матрицах, образующихся при гидратации компози-
9.
Tan S., Kirk N., Marshall M., McGann O., Hand R.J. //
ционного цемента из алюмината кальция и гипса.
J. Nucl. Mater. 2019. Vol. 515. P. 392.
10. Лифанов Ф.А, Стефановский С.В., Кобелев А.П.,
Захаренко В.Н. // Атом. энергия. 1990. Т. 69, № 5.
БЛАГОДАРНОСТИ
С. 300.
11. Соболев И.А., Лифанов Ф.А, Стефановский С.В., Ко-
Авторы благодарят центр коллективного пользо-
белев А.П., Корнев В.И., Князев О.А., Дмитриев С.А.,
вания физическими методами исследования ИФХЭ
Цвешко О.Н. // Физика и химия обраб. матер. 1994.
РАН за помощь в проведении дифракционных и ми-
№ 4-5. С. 161.
кроскопических измерений.
12. Лаверов Н.П., Омельяненко Б.И., Юдинцев С.В., Сте-
фановский С.В. // Геология руд. месторождений.
2012. Т. 54, № 1. C. 3.
ФОНДОВАЯ ПОДДЕРЖКА
13. Кононенко О.А, Гелис В.М., Милютин В.В. // Атом.
энергия. 2010. Т. 109, № 4. С. 222.
Работа выполнена при частичном финансирова-
14. Кононенко О.А., Алиев А.Д., Павлов Ю.С., Пуряе-
нии Министерства науки и высшего образования
ва Т.П., Милютин В.В., Козлитин Е.А. // Вопр. ради-
Российской Федерации.
ац. безопасности. 2016. № 4. С. 27.
15. Wagh. A. S. Chemically Bonded Phosphate Ceramics.
КОНФЛИКТ ИНТЕРЕСОВ
Elsevier, 2016. 2nd Ed. 422 p.
16. Xing F., Ding Z., Li Z. // Adv. Cem. Res. 2011. Vol. 23,
Авторы заявляют об отсутствии конфликта ин-
N 2. P. 81.
тересов.
17. Ding Z., Dong B., Xing F., Han N., Li Z. // Ceram. Int.
2012. Vol. 38. P. 6218.
СПИСОК ЛИТЕРАТУРЫ
18. Tan Y., Yu H., Li Y., Wu C., Dong J., Wen J. // Ceram. Int.
2014. Vol. 40. P. 13543.
1.
Соболев И.А., Ожован М.И., Щербатова Т.Д., Ба-
19. Белова К.Ю., Куликова С.А., Винокуров С.Е., Тюпи-
тюхнова О.Г. Стекла для радиоактивных отходов.
на Е.А. // Успехи в химии и хим. технологии. 2019.
М.: Энергоатомиздат, 1999. 240 с.
Т. XXXIII, № 1(211). С. 36.
2.
Radioactive Waste Management and Contaminated Site
20. Винокуров С.Е., Куликова С.А., Крупская В.В., Мя-
Clean-Up / Eds. W.E. Lee, M.I. Ojovan, C.M. Jantzen.
соедов Б.Ф. // Радиоактивные отходы. 2018. № 2(3).
Woodhead, 2013. 912 p.
С. 105.
3.
Kashcheev V.A., Musatov N.D., Ojovan M.I. // MRS
21. Винокуров С.Е., Куляко Ю.М., Слюнчев О.М., Ров-
Adv. 2020. Vol. 5. N 3-4. P. 121.
ный С.И., Ваг А.С., Мэлони М.Д., Мясоедов Б.Ф. //
4.
Международное агентство по атомной энергии. Тех-
Радиохимия. 2009. Т. 51, № 1. С. 56.
нологические и организационные аспекты обраще-
22. Shkuropatenko V.A. // East Eur. J. Phys. 2016. Vol. 3,
ния с радиоактивными отходами: серия учебных
N.1. P. 49.
курсов. № 27. Вена: МАГАТЭ, 2005. 221 с.
23. Vinokurov S.E., Kulikova S.A., Myasoedov B.F.
//
5.
Скворцов М.В., Михайленко Н.Ю. Стефанов-
Materials. 2018. Vol. 11. N 6. Article ID. 976
ский С.В. // Успехи в химии и хим. технологии. 2017.
https://doi.org/103390/ma11060976
Т. XXXI, № 3. С. 108.
24. Vinokurov S.E., Kulikova S.A., Krupskaya V.V.,
6.
Соболев И.А., Ожован М.И., Щербатова Т.Д., Ба-
Danilov S.S., Gromyak I.N., Myasoedov B.F.
// J.
тюхнова О.Г. Стекла для радиоактивных отходов.
Radioanal. Nucl. Chem. 2018. Vol. 315, N 3. P. 481.
М.: Энергоатомиздат, 1999. 240 с.
25. Vinokurov S.E., Kulyako Y.M., Slyuntchev O.M.,
7.
Лаверов Н.П., Омельяненко Б.И., Юдинцев С.В., Сте-
Rovny S.I., Myasoedov B.F. // J. Nucl. Mater.
2009.
фановский С.В., Никонов Б.С. // Геология руд. место-
Vol. 385, N 1. P. 189.
рождений. 2013. Т. 55, № 2. C. 87.
26. Винокуров С.Е., Куликова С.А. Куляко Ю.М., Мали-
8.
Дмитриев С.А., Стефановский С.В., Князев И.А.,
ков Д.А., Мясоедов Б.Ф., Перевалов С.А., Травни-
Лифанов Ф.А. // Физика и химия обраб. матер. 1993.
ков С.С., Трофимов Т.И. Патент RU 2645737. 2017.
№ 4. С. 74.
Опубл. 28.02.2018. Бюл. №7.
РАДИОХИМИЯ том 63 № 5 2021
500
КОНОНЕНКО и др.
27. ГОСТ Р 52126-2003: Отходы радиоактивные. Опре-
докл. Шестой Рос. конф. по радиохимии. Москва,
деление химической устойчивости отвержденных
12-16.10.2009 г. Озерск: Маяк, 2009. С. 136.
высокоактивных отходов методом длительного вы-
39. Кононенко О.А., Милютин В.В., Гелис В.М. // Тез.
щелачивания. М.: Госстандарт России, 2003. 8 c.
докл. VIII Всерос. конф. по радиохимии. Желез-
28. Wagh A.S. // ISRN Ceramics. 2013. Article ID 983731.
ногорск, 28.09-02.10.2015 г. Железногорск,
2015.
http://dx.doi.org/10.1155/2013/983731
С. 287.
40. Винокуров С.Е., Куликова С.А., Крупская В.В., Мясо-
29. Винокуров С.Е., Куликова С.А., Крупская В.В., Тюпи-
на Е.А. // ЖПХ. 2019. Т. 92, № 4. С. 450-457.
едов Б.Ф. // Радиохимия. 2018. Т. 60. № 1. С. 66.
41. Bykov G.L., Ershov V.A., Ershov B.G. // Constr. Build.
30. Bouaoun I., Hammi H., M’nif A. // J. Tunis. Chem. Soc.
Mater. 2020. Vol. 252. Article ID. 119156
2016. Vol. 18. P. 152.
https://doi.org/10.1016/j.conbuildmat.2020.119156
31. Zhao S., Yan H., Zhang H., Wang H., Li Y., Hu Z.,
42. Soudée E., Péra J. // Cem. Concr. Res. 2000. Vol. 30,
Sun H. // Adv. Cem. Res. 2018. Vol. 30, N 2. P. 83.
N 2. P. 315.
32. Yang H., Fu M., Wu B. Zhang Y., Ma R., Qian J. //
43. Hall D.A., Stevens R., El-Jazairi B. // Cem. Concr. Res.
Sci. Technol. Nucl. Install. 2019. Vol. 2019. Article
2001. Vol. 31. N 3. P. 455.
ID 4936379
44. Whitaker A., Jeffery J.W. // Acta Crystallogr. Sect. B.
https://doi.org/10.1155/2019/4936379
1970. Vol. 26, N 10. P. 1429.
33. Jeong S.Y., Wagh A.S. Chemically Bonded Phosphate
45. Taylor A.W., Frasier A.W., Gurney E.L., Smith J.P. //
Ceramics: Cementing the Gap Between Ceramics,
Trans. Faraday Soc. 1963. Vol. 59, N 7. P. 1580.
Cements, and Polymers. (электронный ресурс). https://
www.researchgate.net/publications/228391636. Дата
46. Luff B.B., Reed R.B. // J. Chem. Eng. Data. 1980. Vol. 25,
обращения 20.10.2020.
N 4. P. 310.
47. Федеральные нормы и правила в области использо-
34. Wagh A.S. // ISRN Ceram. 2013. Article ID 983731.
вания атомной энергии НП-019-15. Сбор, переработ-
http://dx.doi.org/10.1155/2013/983731
ка, хранение и кондиционирование жидких радиоак-
35. Liu Z., Qian G., Zhou J., Li C., Xu Y.,Qin Z. // J. Hazard.
тивных отходов. Требования безопасности. М.: НТЦ
Mater. 2008. Vol 157. P. 146.
ЯРБ, 2015. 22 с.
36. Gardner L.J., Bernal S.A., Walling S.A., Corkhill C.L.,
48. Кононенко О.А., Алиев А.Д., Павлов Ю.С., Пуряе-
Provis J.L., Hyatt N.C. // Cem. Concr. Res.
2015.
ва Т.П., Козлитин Е.А., Гелис В.М., Милютин В.В. //
Vol. 74. P. 78.
Вопр. радиац. безопасности. 2014. № 4. С. 3.
37. Wagh A.S., Jeong S., Lohan D., Elizabeth A. US Patent
49. Слюнчев О.М., Козлов П.В., Бобров П.А., Зари-
6518212. 2000. Опубл. 11.02.2003.
пов А.Р., Галузин Д.Д., Ровный С.И. // Тез. докл. V
38. Перевалов С.А., Винокуров С.Е., Молочникова Н.П.,
Всерос. конф. по радиохимии. Дубна, 23-27.10.2006
Мясоедова Г.В., Мищенко С.В., Мясоедов Б.Ф. // Тез.
г. Озерск: Маяк, 2006. С. 234.
РАДИОХИМИЯ том 63 № 5 2021