Радиохимия, 2019, т. 61, N 5, c. 409-414
409
Использование слоистых двойных оксидов и гидроксидов Mg и Al
для очистки водных растворов, содержащих 137Cs, 90Sr, 90Y
и U(VI), от красителей
© С. А. Кулюхин*а, Е. П. Красавинаа, И. А. Румера, А. В. Гордеева
а Институт физической химии и электрохимии им. А. Н. Фрумкина РАН,
119071, Москва, Ленинский пр., д. 31, корп. 4; *e-mail: kulyukhin@ipc.rssi.ru
Получена 27.08.2018, после доработки 30.10.2018, принята к публикации 31.10.2018
УДК 66.067 + 539.163
В работе изучена возможность очистки водных растворов, содержащих 137Cs, 90Sr, 90Y и U(VI), от
красителей с использованием слоистых двойных оксидов (СДО) и гидроксидов (СДГ) Mg и Al. Уста-
новлено, что использование СДО-Mg-Al позволяет достаточно быстро и эффективно проводить предва-
рительную очистку радиоактивных растворов, содержащих радионуклиды Cs и Sr, от красителей для
последующего извлечения Cs и Sr другими селективными сорбентами. Использование СДО-Mg-Al,
СДГ-Mg-Al-OH и СДГ-Mg-Al-ЦД (ЦД - циклодекстрин) позволяет проводить одновременную очистку
водных растворов, содержащих <10-2 моль/л UO2(NO3)2, 90Y (аналог трехвалентных f-элементов) и крас-
ку (степень извлечения более 90%).
Ключевые слова: цезий-137, стронций-90, иттрий-90, уран(VI), красители, очистка водных раство-
ров, слоистые двойные гидроксиды.
DOI: 10.1134/S0033831119050083
В настоящее время на объектах ядерного топлив-
и радиоактивных металлов, относятся слоистые
ного цикла, в научно-исследовательских и медицин-
двойные гидроксиды (СДГ) с общей формулой
ских центрах, использующих радиоактивные веще-
M21-xM3+(OH)2Anx/n·mH2O, где M2+ и M3+ - катионы в
ства, возможно образование жидких радиоактивных
степенях окисления +2 и +3 соответственно, а An- -
отходов (ЖРО) сложного химического состава. При
практически любой анион или анионный комплекс
этом образующиеся ЖРО содержат не только раз-
[12-16]. Одним из основных свойств СДГ является
личные радионуклиды, но и такие примеси, как
их способность к замещению анионов в межслое-
ПАВ, красители, комплексообразователи [1, 2]. Кро-
вом пространстве без разрушения слоистой структу-
ме того, ЖРО, содержащие красители, в больших
ры. Это позволяет легко вводить в них и выводить
объемах могут образоваться в результате анализа
различные анионы [17-19]. После высокотемпера-
аварий на АЭС. Так, для того, чтобы обнаружить
турного прокаливания из СДГ образуются слоистые
трещины в бетонных стенах АЭС «Фукусима-1»,
двойные оксиды (СДО), которые обладают «эф-
специалисты решили залить в резервуары с радиоак-
фектом памяти». Данное свойство заключается в
тивной водой краситель [3]. Было решено окрасить
том, что при помещении СДО в водный раствор вос-
радиоактивную воду в белый цвет. В таком случае,
станавливается гидроструктура исходного СДГ. При
надеются специалисты, будет видно трещины, через
этом процесс восстановления гидроструктуры со-
которые вытекает вода. Операция по окрашиванию
провождается включением в межслоевое простран-
была проведена в апреле 2011 г. Всего в резервуары
ство СДГ различных анионов и соединений, присут-
второго энергоблока добавили 13 кг красящего по-
ствующих в водном растворе [16, 20-22]. Помимо
рошка.
анионов в состав СДГ могут легко входить различ-
ные органические соединения, в том числе и краси-
Современная концепция обращения с ЖРО со-
тели [23-26]. Именно это свойство позволяет ис-
стоит в разработке технологических схем, обеспечи-
пользовать СДГ и СДО для очистки водных раство-
вающих их эффективную и дешевую очистку. На
ров от токсичных примесей.
сегодняшний день для этой цели разработано много
различных химических и физических методов,
В работе [22] приведены данные по локализации
включая соосаждение, адсорбцию, биологическое
фенола из водных растворов на твердых матрицах
окисление, фотокатализ, химическую коагуляцию,
СДГ Zn-Al и Mg-Al, содержащих β-циклодекстрин
фильтрацию и т.д. [4-8]. Широкое применение на-
(β-ЦД) в межслоевом пространстве. Показано, что
ходят сорбционные методы с использованием сор-
СДГ-Mg-Al, содержащий β-ЦД, эффективно адсор-
бентов различных типов (активированный уголь,
бирует I2, нафталин, антрацен, ферроцен и другие
глина, полимеры, силикагели, оксиды металлов и
органические соединения из водных растворов, а
другие) [9-11]. К адсорбционным материалам, ис-
СДГ-Zn-Al, содержащий β-ЦД, - фенол, нитробен-
пользуемым для очистки сточных вод от токсичных
зол, фенилаланин и другие органические соедине-
410
С. А. Кулюхин и др.
ния. В связи с этим представляло интерес исследо-
в работе, были марки х.ч. β-Циклодекстрин с мини-
вать возможность применения СДГ-Mg-Al, содержа-
мальным содержанием 98% (Sigma, США) исполь-
щего β-ЦД, для удаления красителей из водных ра-
зовали без предварительной очистки. Молекуляр-
диоактивных растворов.
ная масса β-циклодекстрина составляла 1134.99.
Ранее в работах [16, 27, 28] нами была исследова-
В работе использовали штемпельную краску на
на сорбция 137Cs, 85,90Sr, 90Y и U(VI) на различных
водной основе фирмы Horse синего цвета.
СДГ, а также СДО, полученных при термическом
Состав водопроводной воды, используемой в
разложении соответствующих СДГ. В работах [27,
работе, мг-экв/л: Na+ 0.28, K+ 0.1, Mg2+ 0.82, Ca2+
28] показано, что радионуклиды 137Cs и 85,90Sr прак-
2.1, Cl- 0.13, SO2- 0.6, HCO 2.57; общее солесодер-
тически не сорбируются на СДГ-Mg-Al-CO3 из вод-
жание 0.23 г/л; pH 7.8-8.2.
ных растворов CsNO3 и Sr(NO3)2 с концентрацией
СДО-Mg-Al получали прокаливанием СДГ-Mg-
10-5 моль/л. Для 85,90Sr коэффициенты распределения
Al-CO3, синтезированного по методике, описанной
Kd на СДГ-Mg-Al-X (X = CO2-, SO2-, OH-, NO, Cl-),
в работе [16], на воздухе при ~825 К в течение 2 ч.
а также СДО-Mg-Al не превышают 10 мл/г [29]. Од-
СДГ-Mg-Al-OH получали методом обратимой
новременно было показано, что степень сорбции 90Y
дегидратации СДО-Mg-Al в деионизированной во-
на вышеприведенных СДГ-Mg-Al в 3-5 раз выше,
де и 1.0 моль/л NaOH [28, 29, 31, 32].
чем у 137Cs и 85,90Sr, но при этом не превышает 30%.
СДГ-Mg-Al-ЦД получали путем одновременно-
Что касается U(VI), то на эффективность его сорб-
ции из водных растворов влияет много факторов,
го добавления раствора 3.0 моль/л NaOH и водного
среди которых природа аниона, находящегося в
раствора 10-2 моль/л β-ЦД к водному раствору нит-
межслоевом пространстве СДГ, концентрация ра-
ратов Mg и Al, взятых в мольном отношении 3 : 1.
дионуклида в растворе, химический состав раствора
Образовавшийся осадок СДГ-Mg-Al-ЦД отделяли
от маточного раствора центрифугированием, про-
и др. В работе [30] показано, что U(VI) эффективно
сорбируется на СДГ-Mg-Al-CO3 из водных раство-
мывали водой и сушили при 373 К. Маточный рас-
ров 10-2 моль/л UO2(NO3)2. Через 15 мин контакта
твор объединяли с промывными водами, после че-
твердой и жидкой фаз степень сорбции U(VI) превы-
го в общем растворе определяли количество β-ЦД
шает 99.0% [31]. В то же время из водных растворов
по методике, приведенной в работе [33]. Количест-
во β-ЦД в составе СДГ-Mg-Al-ЦД рассчитывали
10-1 моль/л UO2(NO3)2 степень сорбции U(VI) не
превышает 30% [31]. В связи с этим представляло
как разность между исходным и конечным количе-
интерес исследовать возможность очистки водных
ством β-ЦД в жидкой фазе.
растворов, содержащих 137Cs, 90Sr, 90Y (как аналога
Было установлено, что в результате смешения
трехвалентных f-элементов), U(VI) и красители (на
растворов 1.0 моль/л NaOH, 10-2 моль/л β-ЦД и
примере штемпельной краски), с использованием
нитратов Mg и Al в состав СДГ-Mg-Al-ЦД входит
различных СДО и СДГ Mg и Al. Это и составило
~7.6 мас% β-ЦД.
цель данной работы.
Эксперименты по изучению сорбции 137Cs, 90Sr,
Экспериментальная часть
90Y, U(VI) на твердой фазе СДО-Mg-Al, СДГ-Mg-
Al-OH и СДГ-Mg-Al-ЦД из водопроводной воды,
В работе использовали радионуклиды без носи-
содержащей 0.0008 мл штемпельной краски (да-
теля, поставляемые ОАО «Изотоп»: 137Cs в виде
лее - краска) в 1 мл раствора, проводили по мето-
раствора в 1.3 моль/л HNO3, а также 90Sr + 90Y в
дикам, приведенным в работах [15, 27-31].
виде азотнокислого раствора с кислотностью
<1 моль/л по HNO3. Радиоактивность нуклида 137Cs
Спектры поглощения UO2+ в 0.1 моль/л раство-
измеряли методом γ-спектрометрии с помощью
ре HСlO4 и краски снимали на спектрофотометре
Ge-Li-детектора на многоканальном анализаторе, а
Specord М40 в кварцевых кюветах с толщиной ра-
радиоактивность 90Sr + 90Y - на сцинтилляционном
бочего пространства 0.1-5 см. Расчет концентра-
β-спектрометре с использованием программного
ции UO2+ проводили по полосе λ = 413 нм [ε =
обеспечения LSRM 2000. Радионуклиды 137Cs и 90Sr
7.8 л/(моль·см)]. Содержание краски в растворе
использовали в работе как радиоактивные метки
контролировали по полосе λ = 630 нм.
для весовых количеств неактивных цезия и строн-
На рис. 1 приведен спектр поглощения водопро-
ция. В связи с этим обозначения 137Cs+ и 90Sr2+ от-
водной воды, содержащей 10-1 моль/л UO2+ в при-
носятся к меченым формам, а не к чистым радио-
сутствии и в отсутствие краски (0.0008 мл/мл рас-
нуклидам 137Cs и 90Sr. В работе использовали ра-
твора). Как видно из рис. 1, присутствие краски в
диоактивные растворы с удельной активностью от
растворе практически не сказывается на полосе
2·103 до 3·104 Бк/мл, в которых концентрации Cs+ и/
поглощения UO2+, что позволяет проводить коли-
или Sr2+ составляли 1·10-5 моль/л.
чественное определение U(VI) в маточных раство-
Все соли, щелочи и кислоты, использовавшиеся
рах методом спектрофотометрии.
Использование слоистых двойных оксидов и гидроксидов Mg и Al для очистки водных растворов
411
Таблица 1. Данные по сорбции U(VI) из водопроводной
воды, содержащей UO2(NO3)2 и краску (0.0008 мл/мл
раствора). V/m = 100 мл/г
Степень сорбции U(VI) (%)
Время контак-
та твердой и
из растворов UO2(NO3)2
Сорбент
жидкой фаз,
(моль/л)
мин
10-1
10-2
30
51.9 ± 5.2
-
60
53.3 ± 5.3
СДО-Mg-Al
120
55.6 ± 5.6
>99.9
240
59.3 ± 5.9
60
50.2 ± 5.0
50.7 ± 5.1
СДГ-Mg-Al-
120
50.2 ± 5.0
70.8 ± 7.1
OH
240
52.0 ± 5.2
81.5 ± 8.2
60
48.7 ± 4.9
15.1 ± 1.5
СДГ-Mg-Al-
120
48.7 ± 4.9
25.4 ± 2.5
ЦД
240
50.1 ± 5.0
32.9 ± 3.3
содержащий краску, в результате обратимой дегид-
ратации происходит не только восстановление гид-
роструктуры СДГ-Mg-Al, но и заполнение меж-
слоевого пространства СДГ краской, находящейся
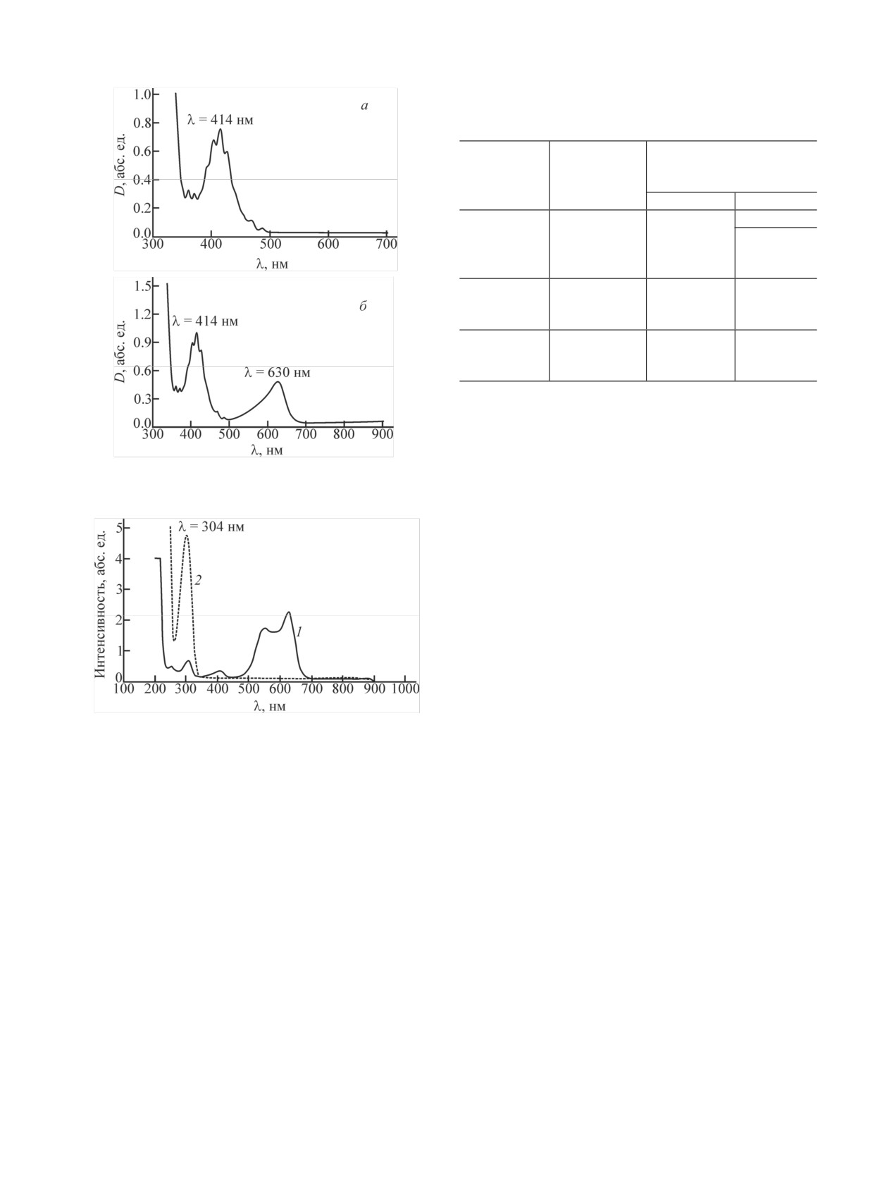
Рис. 1. Спектр поглощения водопроводной воды, содержащей
в водном растворе. При этом раствор обесцвечива-
10-1 моль/л UO2+, в отсутствие (а) и в присутствии краски
(0.0008 мл/мл раствора) (б).
ется, а твердая фаза приобретает синий цвет. Сле-
дует отметить, что в процессе адсорбции перехода
посторонних ионов из СДО-Mg-Al в раствор не
происходит.
После сорбции U(VI) на СДО-Mg-Al из водо-
проводной воды, содержащей 10-1 моль/л UO2+ и
краску (0.0008 мл/мл раствора), маточные раство-
ры приобретали зеленый цвет, а осадки - желтый.
Для СДГ-Mg-Al-OH и СДГ-Mg-Al-ЦД в аналогич-
ных условиях осадки имели темно-синий цвет, а
растворы - ярко-желтый и зеленый для СДГ-Mg-
Al-OH и СДГ-Mg-Al-ЦД соответственно. Добавле-
ние 0.1 моль/л HClO4 к маточным растворам до
pH 1 во всех случаях приводило к изменению окра-
Рис. 2. Спектры поглощения исходного водного раствора,
содержащего краску (1), и маточного раствора после отделе-
ски и образованию растворов желтого цвета, имею-
ния твердой фазы СДГ-Mg-Al-краска (2).
щих спектр поглощения, характерный для UO2+.
Таким образом, добавление кислоты к раствору
Результаты и обсуждение
краски приводит к ее переходу в химическую фор-
му, не имеющую характерного спектра поглоще-
Предварительные эксперименты по синтезу
ния.
СДГ-Mg-Al из нитратных растворов, содержащих
На рис. 3 приведены спектры поглощения ма-
краску, показали, что в процессе образования твер-
точных растворов после контакта водопроводной
дой фазы СДГ-Mg-Al происходит полное извлече-
воды, содержащей 10-2 моль/л U(VI) и краску
ние краски из раствора. При этом синий раствор
(0.0008 мл/мл раствора), с твердой фазой СДО-Mg-
обесцвечивается, а твердая фаза СДГ-Mg-Al прини-
Al, СДГ-Mg-Al-OH и СДГ-Mg-Al-ЦД при V/m =
мает синий цвет. Недостаток данного метода очи-
100 мл/г в течение 120 мин. Как видно из рис. 3,
стки водного раствора от краски заключается в
использование СДО-Mg-Al позволяет практически
том, что в растворе остается заметное количество
полностью сорбировать как краску, так и U(VI).
ионов NO3-, которые также представляют экологи-
Использование СДГ-Mg-Al-OH и СДГ-Mg-Al-ЦД
ческую опасность. В спектре поглощения маточно-
не позволяет полностью локализовать краску и
го раствора присутствует интенсивная полоса иона
U(VI). Во всех случаях бóльшая часть осадка имела
NO (λ = 304 нм) (рис. 2). В связи с этим основное
желтый цвет, указывающий на сорбцию U(VI).
внимание было уделено процессам адсорбции.
В табл. 1 приведены данные по сорбции U(VI)
При помещении СДО-Mg-Al в водный раствор,
на твердой фазе СДО-Mg-Al, СДГ-Mg-Al-OH и
412
С. А. Кулюхин и др.
б
Рис. 3. Спектры поглощения маточных растворов после контакта водопроводной воды, содержащей 10-2 моль/л U(VI) и краску
(0.0008 мл/мл раствора), с твердой фазой СДО-Mg-Al (а), СДГ-Mg-Al-OH (б) и СДГ-Mg-Al-ЦД (в) при V/m = 100 мл/г в течение 120 мин.
СДГ-Mg-Al-ЦД из водопроводной воды, содержа-
положить, что основным механизмом сорбции
щей краску. Как видно из табл. 1, для всех сорбен-
U(VI) на СДО-Mg-Al является участие гидроксо-
тов за 240 мин контакта твердой и жидкой фаз дос-
комплексов в построении гидроксидных слоев
тигается насыщение твердой фазы U(VI). Степень
СДГ. Для СДГ-Mg-Al-OH и СДГ-Mg-Al-ЦД при-
поглощения U(VI) из водопроводной воды, содер-
сутствие различных анионов (ОН-, CO32-) в меж-
жащей 10-1 моль/л UO2(NO3)2 и краску (0.0008 мл/
слоевом пространстве СДГ препятствует сорбции
мл раствора), находится в интервале 45-60%. Учи-
гидроксокомплексов U(VI). Именно этим и объяс-
тывая количество сорбента, взятого в эксперимент,
няется низкая степень извлечения U(VI) по сравне-
получаем, что емкость исследованных сорбентов
нию с СДО. Следует отметить, что присутствие β-
составляет 1.10-1.43 г U(VI) на грамм сорбента.
ЦД в составе СДГ не только не увеличивает сте-
пень сорбции U(VI), но также не повышает степень
Как следует из табл. 1, степень сорбции U(VI)
сорбции краски из водопроводной воды (рис. 3).
на СДО-Mg-Al из водопроводной воды, содержа-
Помимо U(VI) в аналогичных условиях была
щей 10-2 моль/л UO2(NO3)2 и краску (0.0008 мл/мл
исследована сорбция 137Cs, 90Sr и 90Y. В результате
раствора), превышает 99.9%. Таким образом, в ре-
контакта исследованных сорбентов с водопровод-
зультате применения данного сорбента возможна
ной водой, содержащей 137Cs, 90Sr, 90Y и краску
очистка растворов не только от краски, но и одно-
(0.0008 мл/мл раствора), образовывались синие
временно от U(VI). Для СДГ-Mg-Al-OH и СДГ-Mg-
осадки. После сорбции маточные растворы не име-
Al-ЦД степень сорбции U(VI) увеличивается со
ли окраски, т.е. вся краска сорбировалась на иссле-
временем контакта твердой и жидкой фаз, не дос-
дованных материалах.
тигая равновесного значения. Через 240 мин кон-
такта твердой и жидкой фаз степень сорбции U(VI)
В табл. 2 приведены данные по сорбции 137Cs,
составляет 82 ± 8 и 32 ± 3% для СДГ-Mg-Al-OH и
90Sr и 90Y на твердой фазе СДО-Mg-Al, СДГ-Mg-Al-
СДГ-Mg-Al-ЦД соответственно. Полученные дан-
OH и СДГ-Mg-Al-ЦД из водопроводной воды, со-
ные показывают, что наиболее эффективным сор-
держащей краску. Видно, что 137Cs практически не
бентом для U(VI) в присутствии красителей являет-
сорбируется на СДО-Mg-Al, СДГ-Mg-Al-OH и
ся СДО-Mg-Al.
СДГ-Mg-Al-ЦД (степень сорбции 137Cs составляет
В соответствии с диаграммой распределения
<0.01% при времени контакта твердой и жидкой
форм U(VI) в водных растворах в зависимости от
фаз 240 мин и V/m = 100 мл/г). В то же время дан-
рН [34] в диапазоне рН 4-9 преимущественной
ные материалы эффективно извлекают краску из
исследованных растворов. Это позволяет сделать
формой урана является его полимерный однозаряд-
предположение о возможной предочистке радиоак-
ный комплекс состава (UO2)3(OH)5+. Помимо вы-
шеуказанного полимерного комплекса в диапазоне
тивных растворов, содержащих 137Cs, от красите-
рН 4-6 также наблюдается образование UO2OH+ и
лей на СДО-Mg-Al, СДГ-Mg-Al-OH и СДГ-Mg-Al-
ЦД с последующим извлечением 137Cs другими се-
(UO2)2(OH)+, однако их концентрации незначитель-
лективными сорбентами.
ны. В связи с этим можно предположить, что в во-
допроводной воде при рН > 8 U(VI) находится в
Как видно из табл. 2, степень сорбции 90Sr зави-
растворе в виде гидроксокомплексов, сорбция ко-
сит не только от времени контакта твердой и жид-
торых может протекать путем: 1) участия в по-
кой фаз, но и от состава СДГ. Так, степень сорбции
строении гидроксильных слоев СДГ-Mg-Al, 2) об-
90Sr на СДО-Mg-Al из водопроводной воды, содер-
мена с различными анионами (ОН-, CO2-) в меж-
жащей 10-5 моль/л Sr(NO3)2 и краску (0.0008 мл/мл
слоевом пространстве СДГ и 3) взаимодействия с
раствора), достигает максимального значения через
β-ЦД. Исходя из полученных данных можно пред-
60 мин контакта, а затем резко уменьшается, и че-
Использование слоистых двойных оксидов и гидроксидов Mg и Al для очистки водных растворов
413
Таблица 2. Данные по сорбции 137Cs, 90Sr и 90Y на твердой фазе СДО-Mg-Al, СДГ-Mg-Al-OH и СДГ-Mg-Al-ЦД из
водопроводной воды, содержащей краску ([137Cs+] = [90Sr2+] = 10-5 моль/л, V/m = 100 мл/г)
Время контакта твердой и жидкой фаз,
Степень сорбции, %
Сорбент
мин
137Cs
90Sr
90Y
30
-
89 ± 9
92 ± 8
60
0.007 ± 0.001
95 ± 5
93 ± 7
СДО-Mg-Al
120
0.007 ± 0.001
91 ± 9
97.6 ± 2.4
240
-
0.45 ± 0.05
97.9 ± 2.0
30
-
0.07 ± 0.01
92 ± 7
60
<0.001
0.07 ± 0.01
95 ± 5
СДГ-Mg-Al-OH
120
0.034 ± 0.003
0.07 ± 0.01
95 ± 5
240
-
0.06 ± 0.01
91 ± 8
60
0.006 ± 0.001
-
-
СДГ-Mg-Al-ЦД
120
0.005 ± 0.001
0.05 ± 0.01
92 ± 7
240
-
0.05 ± 0.01
92 ± 7
рез 240 мин сорбция 90Sr на СДО-Mg-Al практиче-
сорбция 90Y на СДГ-Mg-Al-OH и СДГ-Mg-Al-ЦД
ски отсутствует. Наблюдаемая зависимость в изме-
путем обмена с различными анионами (ОН-, CO2-)
нении сорбции 90Sr может быть объяснена следую-
в межслоевом пространстве СДГ. Таким образом,
щим образом. Первоначально при внесении СДО-
использование данных сорбентов позволяет прово-
Mg-Al в водопроводную воду в результате обрати-
дить одновременную очистку водных растворов от
мой дегидратации происходит не только восстанов-
90Y и красителей.
ление гидроструктуры СДГ-Mg-Al, но и заполне-
В заключение следует отметить, что использо-
ние межслоевого пространства СДГ компонентами,
вание СДО-Mg-Al позволяет достаточно быстро и
находящимися в водном растворе, в том числе ак-
эффективно проводить предварительную очистку
ва-ионами 90Sr2+. Со временем происходит пере-
радиоактивных растворов, содержащих радионук-
стройка гидроструктуры, сопровождающаяся как
лиды Cs и Sr, от красителей для последующего из-
удалением катионов из межслоевого пространства,
влечения Cs и Sr другими селективными сорбента-
так и обменом анионов между раствором и СДГ.
ми. Использование СДО-Mg-Al, СДГ-Mg-Al-OH и
Так как СО32- имеет максимальную эффективность
СДГ-Mg-Al-ЦД позволяет проводить одновремен-
сорбции на СДГ различного состава [19], то со вре-
ную эффективную очистку водных растворов, со-
менем происходит обмен анионов в межслоевом
держащих <10-2 моль/л UO2(NO3)2, 90Y (аналог
пространстве на СО32- с образованием фазы СДГ-
трехвалентных лантанидов и актинидов) и краску.
Mg-Al-СО3, которая характеризуется наименьшей
эффективностью сорбции по отношению к 90Sr2+. В
Работа выполнена при частичном финансирова-
результате весь 90Sr переходит в раствор и фаза
нии Министерством науки и высшего образования
сорбента остается обогащенной только краской.
Российской Федерации (тема
№ АААА-А16-
Для СДГ-Mg-Al-OH и СДГ-Mg-Al-ЦД степень
116110910010-3).
сорбции 90Sr не превышает ~0.1% при времени кон-
Список литературы
такта твердой и жидкой фаз 240 мин и V/m =
100 мл/г. При этом, как отмечалась выше, данные
[1] Крицкий В. Г., Родионов Ю. А. Дезактивация объектов ядер-
сорбенты эффективно поглощают краску, т.е. воз-
ного топливного цикла. СПб.: КСИ-Принт, 2013. 464 с.
можно удаление красителей без захвата 90Sr твер-
[2] Милютин В. В., Алехина М. Б., Рябчиков Б. Е. Современ-
ные методы очистки техногенных сточных вод от токсич-
дой фазой.
ных примесей. М.: РХТУ им. Д. И. Менделеева, 2016. 132 с.
Для 90Y степень сорбции на всех исследованных
[3] Беловский И. Радиацию покрасят в белый
// https://
сорбентов из водопроводной воды, содержащей
www.gazeta.ru/social/2011/04/04/3574025.shtml. Дата посе-
щения: 30.10.2018.
10-5 моль/л Sr(NO3)2 и краску (0.0008 мл/мл раство-
[4] O’Shea K. E., Dionysiou D. D. // J. Phys. Chem. Lett. 2012.
ра), превышает 90% уже через 30 мин контакта
Vol. 3, N 15. P. 2112-2113.
твердой и жидкой фаз при V/m = 100 мл/г. Учиты-
[5] Ahmed M. B., Zhou J. L., Huu Hao Ngo et al. // J. Hazard.
вая, что при pH > 8 не менее 95 ± 5% 90Y3+ присут-
Mater. 2017. Vol. 323, Part A. P. 274-298.
ствует в растворе в виде гидроксокомплексов
[6] The C. Y., Budiman P. M., Shak K. P. Y., Wu T. Y. // Ind. Eng.
Chem. Res. 2016. Vol. 55, N 16. P. 4363-4389.
Y(OH)2+ [35], можно предположить, что его сорб-
[7] Miller D. J., Dreyer D. R., Bielawski Ch. W. et al. // Angew.
ция, как и сорбция U(VI), протекает в основном
Chem. Int. Ed. 2017. Vol. 56, N 17. P. 4662-4711.
путем участия гидроксокомплексов в построении
[8] Перлов А. Г. Технологии очистки природных вод. М.:
гидроксидных слоев СДГ. Не исключена также
АСВ, 2016. 600 с.
414
С. А. Кулюхин и др.
[9] Ali I. // Chem. Rev. 2012. Vol. 112, N 10. P. 5073-5091.
[23] Shan R.-r., Yan L.-g., Yang Y.-m. et al. // J. Ind. Eng. Chem.
[10] Дремичева Е. С., Лаптедульче Н. К. // Вода: химия и эко-
2015. Vol. 21. P. 561-568.
логия. 2015. N 8. С. 63-68.
[24] Ahmed I. M., Gasser M. S. // Appl. Surf. Sci. 2012. Vol. 259.
[11] Khajeh M., Laurent S., Dastafkan K. // Chem. Rev. 2013.
P. 650-656.
Vol. 113, N 10. P. 7728-7768.
[25] Lei C., Zhu X., Zhu B. et al. // J. Hazard. Mater.
2017.
[12] Bo A., Sarina S., Liu H. et al. // ACS Appl. Mater. Interfaces.
Vol. 321. P. 801-811.
2016. Vol. 8, N 25. P. 16503-16510.
[26] Benselka-Hadj Abdelkader N., Bentouami A., Derriche Z.
[13] Zhou J. Z., Wu Y. Y., Liu C. et al. // Environ. Sci. Technol.
et al. // Chem. Eng. J. 2011. Vol. 169, N 1-3. P. 231-238.
2010. Vol. 44, N 23. P. 8884-8890.
[27] Кулюхин С. А., Красавина Е. П., Гредина И. В. и др. // Ра-
[14] Palmer S. J., Frost R. L. // Ind. Eng. Chem. Res.
2010.
диохимия. 2008. Т. 50, N 5. С. 426-433.
Vol. 49, N 19. P. 8969-8976.
[28] Kulyukhin S. A., Krasavina E. P., Rumer I. A., Gredina I. V. //
[15] Yu S., Wang X., Chen Z. et al. // J. Hazard. Mater. 2017.
INCS News. 2009. Vol. 6, N 3. P. 26-31.
Vol. 321. P. 111-120.
[29] Кулюхин С. А., Красавина Е. П., Румер И. А., Климо-
[16] Климович И. В. Синтетические аналоги гидроталькита в
вич И. В. // Радиохимия. 2014. Т. 56, N 6. С. 506-517.
процессах локализации радиоактивных элементов из рас-
[30] Кулюхин С. А., Красавина Е. П., Гредина И. В., Мизина Л.
творов: Дис
к.х.н. М., 2013. 182 с.
В. // Радиохимия. 2010. Т. 52, N 6. С. 553-560.
[17] Majoni S., Hossenlopp J. M. // J. Phys. Chem. A. 2010.
[31] Кулюхин С. А., Красавина Е. П. // Радиохимия. 2016. Т. 58,
Vol. 114, N 49. P. 12858-12869.
N 4. С. 350-353.
[18] Radha A. V., Vishnu Kamath P., Shivakumara C. // J. Phys.
[32] Третьяков Ю. Д., Лукашин А. В., Елисеев А. А. // Успехи
Chem. B. 2007. Vol. 111, N 13. P. 3411-3418.
химии. 2004. Т. 73, N 9. С. 974-998.
[19] Prasanna S. V., Vishnu Kamath P. // Ind. Eng. Chem. Res.
[33] Измерение концентрации вредных веществ в воздухе
2009. Vol. 48, N 13. P. 6315-6320.
рабочей зоны // Сб. методических указаний Гос. системы
[20] Koilraj P., Srinivasan K. // Ind. Eng. Chem. Res.
2011.
санитарно-эпидемиологического нормирования РФ, МУК
Vol. 50, N 11. P. 6943-6951.
4.1.803-4.1.878-99. М.: Минздрав России, 1999. Вып. 35.
[21] Chitrakar R., Sonoda A., Makita Y., Hirotsu T. // Ind. Eng.
[34] Боголепов А. А., Пшинко Г. Н., Корнилович Б. Ю. // Химия
Chem. Res. 2011. Vol. 50, N 15. P. 9280-9285.
и технология воды. 2007. Т. 29, N 1. С. 18-26.
[22] Xue X., Gu Q., Pan G. et al. // Inorg. Chem. 2014. Vol. 53,
[35] Расчет равновесий в аналитической химии
// www.
N 3. P. 1521-1529.
chemequ.ru. Дата посещения: 30.10.2018.