БИОФИЗИКА, 2022, том 67, № 1, с. 183-187
БИОФИЗИКА СЛОЖНЫХ СИСТЕМ
УДК 573.7.017.6+519.711.3
СНИЖЕНИЕ СКОРОСТИ СТАРЕНИЯ ЧЕЛОВЕКА В XX ВЕКЕ
И ЕГО ВОЗМОЖНЫЕ ПРИЧИНЫ
© 2022 г. В.И. Донцов*, В.Н. Крутько*, **, О.В. Митрохин**, Н.А. Ермакова**
*Федеральный исследовательский центр «Информатика и управление» РАН, 119333, Москва, ул. Вавилова, 44/2
**Первый Московский государственный медицинский университет имени И.М. Сеченова Минздрава России
(Сеченовский Университет), 119991, Москва, ул. Трубецкая, 8/2
E-mail: dontsovvi@mail.ru
Поступила в редакцию 19.02.2021 г.
После доработки 30.03.2021 г.
Принята к публикации 16.11.2021 г.
С середины ХХ века наблюдается снижение скорости старения для развитых мировых стран с
максимумом для возрастов 60-85 лет. Расчет коэффициентов корреляции для показателей условий
жизни и степени снижения скорости старения показал, что наибольшее значение для всех возрастов
имеет эффективность здравоохранения в стране. Скорость старения, рассчитанная по приросту
интенсивности смертности, снижается в среднем в 1.4-2.0 раза к 2000 г. в сравнении с 1960 г.
Наибольшее снижение скорости старения демонстрируют Япония (3.3 раза для старших возрастов)
и Австралия (2.8 раза для средних возрастов). Вероятной причиной является значительное
улучшение медико-социальной помощи и качества жизни с середины ХХ столетия, а также влияние
терапии хронических заболеваний на механизмы собственно старения (на синдромы, общие для
старения и хронических болезней). Полученные результаты открывают возможность влияния на
скорость старения, что ранее считалось маловероятным.
Ключевые слова: старение, смертность, формула Гомперца, скорость старения, замедление старения,
причины замедления старения.
DOI: 10.31857/S0006302922010203
рения для настоящего времени. В геронтологии
Во всем мире наблюдаются резкое постарение
принято связывать старение со смертностью,
населения и связанные с ним медико-демографи-
подразумевая под количественной характеристи-
ческие и социально-экономические проблемы,
что и определяют повышенный интерес к пробле-
кой старения интенсивность смертности, для че-
го существуют таблицы выживаемости стандарт-
ме старения в настоящее время. Сущностью ста-
ной возрастной когорты с уже вычисленными
рения является снижение общей жизнеспособно-
статистическими показателями, среди которых
сти с возрастом, что, в частности, снижает трудо-
есть и величина интенсивности смертности m [3].
способность и ограничивает возможности
повышения пенсионного возраста, на которое
Демографические показатели являются важней-
шими и общепринятыми для количественной ре-
вынуждены идти многие страны. С другой сторо-
гистрации старения, при этом используется (см.
ны, с середины XX века наблюдается феномен
работу [4]) как обработка их по формуле Гомпер-
снижения скорости старения для развитых стран
ца-Мейкема (Gompertz-Makeham), так и про-
[1]. Все это требует надежных методов количе-
ственного исчисления скорости старения и выяс-
стейший способ - вычисление разности соседних
значений m, что отражает мгновенные значения
нения возможностей целенаправленных влияний
скорости старения d(m) с шагом, с которым со-
на старение человека.
ставлены таблицы (обычно за один год) - соб-
Так как прямое определение жизнеспособно-
ственно значения скорости старения в данном
сти организма затруднено, используют противо-
возрасте.
положное ему понятие - уязвимость, в пределе -
Нами показано, что с середины XX века на-
смертность. Почти 200 лет назад Б. Гомперц [2]
блюдается феномен снижения скорости старения
показал, что смертность с возрастом растет по
для развитых стран [1].
экспоненте, что является основным законом ста-
Целью настоящего исследования было изуче-
Сокращениe: ВВП - валовый внутренний продукт
ние возможных причин этого феномена.
183
184
ДОНЦОВ и др.
МАТЕРИАЛЫ И МЕТОДЫ
соседних возрастов в логарифмическом масштабе
в возрастах 1-110 лет с десятилетними интервала-
Показатели старения, вычисляемые по дан-
ми в истории и рассчитывали показатели форму-
ным смертности населения, являются с давних
лы Гомперца-Мейкема, используя известные
пор основой рассмотрения старения на примере
методы [4]. Для выявления влияния различных
популяций, что позволяет исследовать изменение
условий на скорость старения исследовали кор-
скорости старения в истории и для разных стран;
реляции снижения показателя d(m) для 1960-
для этого была предложена формула Гомперца-
2000 гг. с различными показателями условий жиз-
Мейкема [2, 4]:
ни населения стран.
m(t) = R0ехр(kt) + A.
Для выяснения связи процесса снижения скоро-
сти старения с показателями жизни мы использова-
В соответствии с формулой в каждый отдель-
ли несколько показателей на 2016-2019 г.: валовый
ный момент времени (возраста) интенсивность
внутренний продукт (ВВП) на душу населения в
смертности зависит от трех констант и возраста t.
тыс. $ (по данным Международного валютного
Для оценки скорости старения можно использо-
фонда, https://svspb.net/danmark/vvp-stran-na-du-
вать показатели (m - A) - интенсивность смерт-
shu-naselenija-wb.php); индекс человеческого разви-
ности без фонового внешнего компонента A, не
тия - общий показатель развития страны (Индексы
зависимого от старения (то есть зависимого
и индикаторы человеческого развития; http://hdr.
от внутреннего компонента - старения организ-
undp.org/sites/default/files/2018_human_development_
ма) - и коэффициент возрастной смертности k,
statistical_update_ru.pdf); показатели индекса процве-
определяющий скорость нарастания смертности,
тания стран Института Legatum (The Legatum Pros-
зависимой от старения; также используют коэф-
perity Index) - на основе множества различных пока-
фициент R0, определяющий, как считают, так на-
зателей, объединенных в девяти категориях: эконо-
зываемый начальный уровень скорости старения.
мика, развитие бизнеса, качество управления,
Наилучшим образом, однако, скорость старе-
обучение, здоровье, безопасность, личностные сво-
ния отражает приращение интенсивности смерт-
боды, социальный капитал и экология (https://
ности d(m) (можно принять как разницу показа-
www.prosperity.com/rankings); рейтинг эффективно-
телей интенсивности смертности для соседних
сти здравоохранения (https://medmost.org/rejting-ef-
возрастных групп), которое нивелирует констан-
fektivnosti-zdravoohraneniya) и процент ВВП, расхо-
ту A для данной возрастной группы; показатель
дуемый на здравоохранение (https:// gtmarket.ru/rat-
d(m) лучше отражает собственно скорость старе-
ings/expenditure-on-health/info); а также уровень
ния, чем (m - A), так как в последнем случае ис-
здоровья населения (https://worldpopulationreview.
пользуется среднее значение A, которое в реаль-
com/country-rankings/healthiest-countries) по пока-
ности может значительно меняться для различ-
зателямпродолжительностижизни,здоровогообра-
ных возрастных периодов; аналогично это же
за жизни, экологии и медицинской помощи. Оце-
касается и коэффициентов k и R0, которые к тому
нивали 22 страны, для которых имелись данные для
же по своей природе могут изменяться очень не-
1960-2000 гг., используя показатель изменения ско-
намного. Также разумно использовать показате-
рости старения d(m) и корреляцию процессов сни-
ли старения для собственно возрастов, когда ста-
жения скорости старения с показателями здоровья и
рение выраженно проявляется - от 20-25 лет и
условиями жизни.
старше, иначе в период роста и развития сложная
кривая интенсивности смертности ведет к отри-
РЕЗУЛЬТАТЫ И ОБСУЖДЕНИЕ
цательным значениям показателя d(m); формула
Гомперца-Мейкема также описывает только
С начала XX века постоянно растет ожидаемая
возрастные периоды после окончания роста и
продолжительность жизни населения: для двена-
развития организма. Также следует учитывать,
дцати стран, данные по которым доступны с
что показатель m не отражает прямо старение -
1900 г., к 2000 г. ожидаемая продолжительность
собственно старение отражает лишь наклон гра-
жизни увеличилась более чем на
29 лет (с
фика m; в то же время показатель d(m) по своей
50.3 ± 3.7 до 79.6 ± 1,3 лет, P < 0.001), при этом ос-
природе как раз отражает скорость - изменение
новной прирост наблюдается в первую половину
показателя по времени, т. е. собственно скорость
XX века - на 21.5 лет (до 71.8 ± 1.7 лет к 1960 г.). В
старения.
то же время показатель максимальной продолжи-
тельности жизни увеличивался главным образом
Мы проводили изучение возрастной смертно-
к концу XX века: от 106.3 ± 1.5 лет в 1900 г. до
сти [1], основываясь на данных Human Mortality
109.2 ± 1.0 лет к 1960 г. и до 111.5 ± 0.7 лет к 2000 г.
Database
[3], охватывающей данные дожития
стандартной когорты с
1741 по 2010 гг. для
(всего на 5.3 лет или 4.9% за 100 лет).
40 стран (с разным доступным периодом в исто-
Для 65-летних лиц для двенадцати стран, по
рии). Строили графики изменения общей интен-
которым имеются данные с 1900 г. (Бельгия, Да-
сивности смертности m и ее приращения d(m) для
ния, Англия, Финляндия, Франция, Исландия,
БИОФИЗИКА том 67
№ 1
2022
СНИЖЕНИЕ СКОРОСТИ СТАРЕНИЯ ЧЕЛОВЕКА В XX ВЕКЕ
185
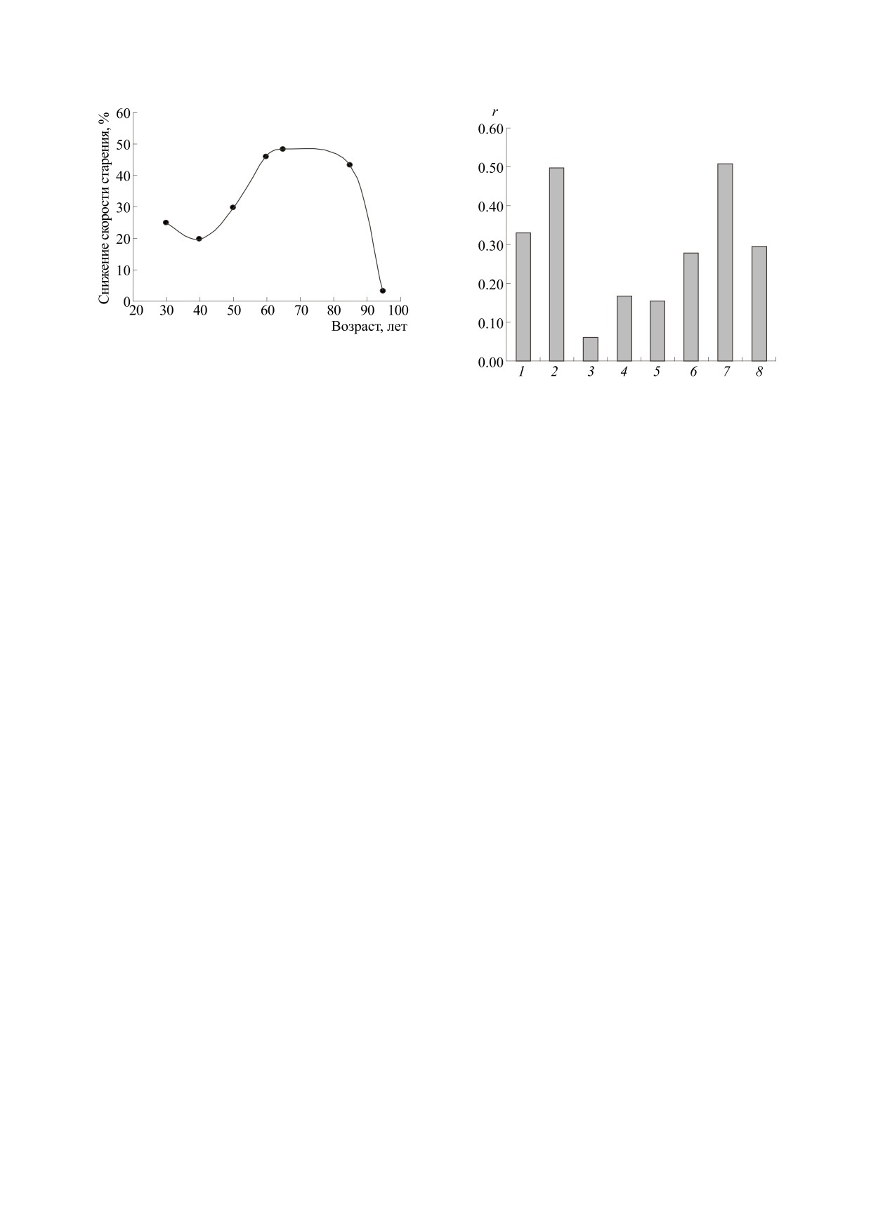
Рис. 1. Снижение скорости старения в зависимости от
возраста для 1960-2000 гг. По оси абсцисс - возраст в
годах, по оси ординат - снижение (в %) за 40 лет скоро-
сти старения d(m) по отношению к 1960 г.
Рис. 2. Корреляции показателя снижения скорости
старения (1960-2000 гг.) с показателями здоровья и
долголетия для 22 стран. По оси ординат - коэффи-
циент корреляции степени снижения скорости старе-
Италия, Нидерланды, Норвегия, Шотландия,
ния (ранг по таблице 1) с показателями развития и
Швеция и Швейцария), снижение параметра, от-
благополучия для 22 стран. По оси абсцисс - пара-
ражающего скорость старения (m - A) за 100 лет к
метры: 1 - индекс процветания, 2 - эффективность
2000 г. составило в среднем
2.79 раза (с
здравоохранения, 3 - % ВВП на здравоохранение, 4 -
0.0313 ± 0.0070 до 0.0112 ± 0.0019; Р < 0.001); ана-
уровень здоровья, 5 - ВВП на душу населения, 6 -
логично для параметра d(m) - в среднем 2.76 раза
индекс человеческого развития, 7 - ожидаемая про-
0.00273
±
0.00058 до
0.00099
±
0.000026;
должительность жизни, лет, 8 - уровень жизни.
Р < 0.001).
На рис. 1 видно снижение скорости старения с
Наследственность может вносить, видимо, до
1960 по 2000 гг. (среднее по 22 странам, показа-
25% в длительность жизни и формирует феномен
тель d(m) с максимумом для старших возрастов -
долгожителей [5, 6], влияя, однако, лишь на за-
60-85 лет.
ключительные этапы жизни, что и определяет ма-
лое влияние внешних воздействий на долгожите-
В таблице показана степень снижения показа-
лей. Влияние внешних условий на скорость ста-
телей d(m) для этих 22 стран для возраста 65 лет с
рения в целом также вполне вероятно [7, 8].
1960 по 2000 гг. в процентах.
Для объяснения возможностей процессов из-
На рис. 2 отражена корреляция процессов
менения скорости старения следует привлечь
снижения скорости старения (снижение показа-
представления о сущности и главных механизмах
теля d(m) для 65-летих с 1960 по 2000 гг.) с показа-
старения и, в частности, о синдромах старения;
телями уровня развития, благополучия, здоровья
мы предложили взгляд на старение, сближающий
и долголетия для 22 стран. Видно, что степень
изменения при естественном старении и при воз-
снижения скорости старения коррелирует с ожи-
растных заболеваниях [9]: изменения общей жиз-
даемой продолжительностью жизни и эффектив-
неспособности при обоих процессах эквивалентны
ностью системы здравоохранения, причем это
влиянию на биологическое старение. Это связано с
мало связано с долей вложения ВВП в систему
тем, что организм реагирует на любые неблагопри-
здравоохранения.
ятные влияния стандартным образом - так назы-
Степень снижения скорости старения для раз-
ваемые типичные патологические процессы
ных стран различна и достигает 3.3 раза, состав-
(склероз, ишемия, оксидативный стресс, дистро-
ляя в среднем 1.4-2.0 раза к 2000 г. в сравнении с
фия тканей, иммунодефицит, воспаление и пр.).
1960 г. по показателю d(m). Наибольшее сниже-
В таком случае профилактика возрастных заболе-
ние скорости старения демонстрируют Япония
ваний и высокий уровень медицинской и соци-
(3.3 раза) и Австралия (2.8 раза), причем для Япо-
альной помощи при высоком качестве жизни бу-
нии максимум снижения скорости старения от-
дут сказываться и на видимой скорости старения.
мечается для старших, а для Австралии - для
Зависимость скорости снижения старения от эф-
средних возрастов, при этом в Японии большее
фективности здравоохранения показывает их
значение имеет эффективность здравоохранения,
прямую связь. Это является весьма обнадежива-
а в Австралии - условия жизни.
ющим результатом, так как до настоящего време-
БИОФИЗИКА том 67
№ 1
2022
186
ДОНЦОВ и др.
Снижение показателя скорости старения d(m) за 40 лет (1960-2000 гг.)
Страна
1960-1969 гг.
2000-2009 гг.
Разность
%
Рейтинг
1
Австралия
1.87E-03
8.90E-04
9.80E-04
52.4
9
2
Австрия
2.30E-03
8.75E-04
1.43E-03
62.0
3
3
Беларусь
1.60E-03
1.45E-03
1.50E-04
9.4
22
4
Бельгия
2.25E-03
9.46E-04
1.30E-03
58.0
5
5
Болгария
2.40E-03
1.63E-03
7.70E-04
32.1
21
6
Канада
1.73E-03
9.96E-04
7.34E-04
42.4
15
7
Чехия
2.50E-03
1.32E-03
1.18E-03
47.2
11
8
Дания
1.99E-03
1.27E-03
7.20E-04
36.2
20
9
Англия и Уэллс
2.01E-03
1.10E-03
9.10E-04
45.3
13
10
Финляндия
2.38E-03
8.89E-04
1.49E-03
62.6
2
11
Франция
1.75E-03
7.39E-04
1.01E-03
57.8
6
12
Венгрия
2.35E-03
1.35E-03
1.00E-03
42.6
14
13
Италия
1.93E-03
8.72E-04
1.06E-03
54.8
8
14
Япония
2.31E-03
7.06E-04
1.60E-03
69.4
1
15
Нидерланды
1.83E-03
1.08E-03
7.50E-04
41.0
17
16
Норвегия
1.78E-03
9.64E-04
8.16E-04
45.8
12
17
Польша
2.32E-03
1.35E-03
9.70E-04
41.8
16
18
Португалия
2.17E-03
1.06E-03
1.11E-03
51.2
10
19
Испания
1.91E-03
8.50E-04
1.06E-03
55.5
7
20
Швеция
1.71E-03
1.05E-03
6.60E-04
38.6
19
21
Швейцария
2.08E-03
7.97E-04
1.28E-03
61.7
4
22
США
1.82E-03
1.10E-03
7.20E-04
39.6
18
M
2.05E-03
1.06E-03
9.87E-04
48.2
m
2.71E-04
2.45E-04
3.26E-04
13.1
Min
1.60E-03
7.06E-04
1.50E-04
9.4
Max
2.50E-03
1.63E-03
1.60E-03
69.4
ни поиски собственно геропротекторов для чело-
является значительное улучшение медико-соци-
века не давали значимых результатом, хотя в экс-
альной помощи и качества жизни с середины XX
перименте удается сдерживать и даже обращать
столетия, а также возможное влияние терапии
старение животных [10].
хронических заболеваний на механизмы соб-
ственно старения.
ЗАКЛЮЧЕНИЕ
ФИНАНСИРОВАНИЕ РАБОТЫ
Использование нескольких показателей ско-
рости старения для ряда стран однозначно указы-
Исследование выполнено при частичной фи-
вает на снижение скорости биологического ста-
нансовой поддержке РФФИ: грант 1919-2021 гг.
рения с средины XX века. Вероятной причиной
№ 19-29-01046 «Разработка базы знаний, моделей
БИОФИЗИКА том 67
№ 1
2022
СНИЖЕНИЕ СКОРОСТИ СТАРЕНИЯ ЧЕЛОВЕКА В XX ВЕКЕ
187
и методов для оценки и управления здоровьем
3. The Human Mortality Database: http://www.mortal-
и трудоспособностью как важнейшими состав-
ity.org (Last modified: Jun-2013 Year. Available
ляющими индивидуального личностного потен-
25.01.2019).
циала».
4. L. A. Gavrilov and N. S. Gavrilova, The Biology of Life
Span: A Quantitative Approach (Harwood Acad. Publ.,
NY, 1991).
КОНФЛИКТ ИНТЕРЕСОВ
5. L. Hayflick, PLoS Genet. 3, E220 (2007). DOI:
Авторы заявляют об отсутствии конфликта
10.1371/journal.pgen.0030220
интересов.
6. В. И. Донцов, Здравоохранение Российской Фе-
дерации 63 (1), 42 (2019). DOI: 10.18821/0044-
СОБЛЮДЕНИЕ ЭТИЧЕСКИХ СТАНДАРТОВ
197Х-2019-63-1-42-47
Настоящая работа не содержит описания ис-
7. A. I. Ribeiro, E. T. Krainski, M. S. Carvalho, et al.,
следований с использованием людей и животных
Geospat. Health
12,
581
(2017).
DOI:
в качестве объектов.
10.4081/gh.2017.581
8. C. E. Finch, Proc. Natl. Acad. Sci. USA 107, 1718
СПИСОК ЛИТЕРАТУРЫ
(2010). DOI: 10.1073/pnas.0909606106
1. V. I. Dontsov, V. N. Krut’ko, and O. V. Mitrohin,
9. V. N. Krut’ko, V. I. Dontsov, A. V. Khalyavkin, and
Dokl. Biol. Sci. 491,
39
(2020). DOI: 10.1134/
A. M. Markova, Front. Biosci. - Landmark 23, 909
S0012496620020027
(2018). DOI: 10.2741/4624
2. B. Gompertz, Philosoph. Trans. Roy. Soc. Lond. A
10. В. И. Донцов и В. Н. Крутько, Биохимия 82, 1883
115, 513 (1825). DOI: 10.1098/rstl.1825.0026
(2017).
Decline in the Rate of Human Aging in the 20 Century: Potential Causes
V.I. Dontsov*, V.N. Krut’ko*, **, O.V. Mitrokhin**, and N.A. Yermakova**
*Federal Research Center “Computer Science and Control”, Russian Academy of Sciences,
ul. Vavilova 44/2, Moscow, 119333 Russia
**Sechenov First Moscow State Medical University, Ministry of Health of the Russian Federation,
ul. Trubetskaya 8/2, Moscow, 119991 Russia
Since the mid-20th century, a decrease in the rate of aging in developed countries has been noted among peo-
ple ages 60 to 85. The correlation coefficients between life indicator and the extent of the decline in the rate
of aging indicated that healthcare effectiveness is of greatest significance for all ages in the country. The rate
of aging, calculated from the increase in the mortality intensity, decreased 1.4-2.0 times on average by 2000,
as compared to 1960. Japan (3.3 times for older subjects) and Australia (2.8 times for middle-aged subjects)
show the largest decrease in the rate of aging. The probable cause is a significant improvement in medical and
social care and quality of life since the mid-20th century, as well as the impact of chronic disease therapy on
the mechanisms of aging itself (on the syndromes common to aging and chronic diseases). The results open
up the possibility of influencing the rate of aging, which was previously considered unlikely.
Keywords: aging; mortality, Gompertz function, aging rate, slowdown in aging process, causes of slowing the aging
process
БИОФИЗИКА том 67
№ 1
2022