Российская археология, 2022, № 3, стр. 7-23
Археологическая карта России в первые послевоенные десятилетия (1944–1964 гг.): основные тенденции пространственного распределения памятников археологии в национальном масштабе
О. В. Зеленцова 1, *, Д. С. Коробов 1, **, А. Н. Ворошилов 1, ***
1 Институт археологии РАН
Москва, Россия
* E-mail: olgazelentsova2010@yandex.ru
** E-mail: dkorobov@mail.ru
*** E-mail: voroshilov.aleksej@yandex.ru
Поступила в редакцию 17.11.2021
После доработки 17.11.2021
Принята к публикации 22.03.2022
- EDN: ZQVJVS
- DOI: 10.31857/S0869606322030205
Аннотация
В статье рассматриваются результаты археологического изучения территории России в послевоенное двадцатилетие – с 1944 по 1964 г., которые анализируются с использованием геоинформационной системы национального масштаба “Археологические памятники России”. В информационно-поисковую систему были внесены сведения о 14 730 памятниках археологии на территории Российской Федерации, содержащиеся в 4356 отчетах о полевых исследованиях. Проведенное исследование пространственного распространения археологических памятников, попавших в орбиту полевых работ 1944–1964 гг., демонстрирует уже отмеченные нами общие закономерности, когда до 79% изучавшихся объектов находится на европейской территории России. Приоритетными территориями расселения, по-видимому, являлись открытые пространства степи и лесостепи, где обнаруживается подавляющее большинство археологических древностей как на европейской, так и на азиатской территории.
Современным трендом развития научного знания являются обобщение и обработка больших массивов данных (big data). В этом смысле созданная Институтом археологии РАН при поддержке РНФ и РФФИ геоинформационная система национального масштаба “Археологические памятники России” (АПР), которая включает данные об объектах археологического наследия, исследованных в период 2008–2012 гг., и результаты археологических работ послевоенного двадцатилетия должна стать той платформой, которая позволит получить наиболее целостные срезы прошлого страны в целом и отдельных ее регионов. Создание электронной оболочки карты в виде автоматизированной системы обработки информации (АСОИ) “Терек” проходила в рамках гранта РНФ № 14-1803755 (Макаров и др., 2015а; б). В ходе реализации этого проекта в археологическую информационную систему вносились данные о памятниках археологии, исследованных в XXI в., и, в связи с этим, имевших точные географические координаты. Результаты этой работы показали перспективность и высокий уровень актуальности дальнейшего развития базы данных, в том числе и в направлении ее наполнения архивной информацией о памятниках археологии, изученных в XX столетии, в том числе сразу после Великой Отечественной войны. Именно в эти годы развитие археологической науки в СССР переходит на качественно новый уровень. Между тем работу с археологическими отчетами послевоенных лет в сфере проецирования информации из них на современную карту ощутимо затрудняет излишняя лаконичность сведений о местонахождении археологических объектов. Ситуация еще более усугубляется исчезновением на местности многих ориентиров, использованных в описаниях для привязки археологических реалий. Эти особенности архивных материалов сильно затрудняют работу современных археологов по локализации археологических памятников на карте и существенно ограничивают возможности компьютерного картографирования.
Перечисленные объективные трудности удалось преодолеть в процессе реализации проекта ИА РАН, поддержанного РФФИ (№ 18-09-40053/20). Для максимально эффективной работы с источником информации, а именно с архивными делами отчетов о полевых археологических исследованиях за 1945–1964 гг. из научно-отраслевого архива ИА РАН, удалось найти оптимальный путь для реконструкции местоположения памятника археологии на современной карте. В основе его лежит алгоритм обязательного и последовательного анализа всех доступных источников информации о возможном расположении памятника – от текста отчета и его иллюстраций (схемы, планы, карты, фотографии местности, зарисовки ландшафта и пр.) до публикаций (особенно издания МИА и другие работы тех лет) и современных открытых Интернет-ресурсов с картографической информацией (карты, космоснимки, аэрофотосъемка и т.п.). Залогом успешной реконструкции координат части памятников археологии из раскопок послевоенных лет стала фиксация информации о них на раннем этапе развития информационной системы ИА РАН из отчетов XXI в., где координаты фиксировались при помощи приборов глобального позиционирования. В первую очередь это, конечно, касается тех памятников, изучение которых, начавшись после войны, продолжается до сих пор, или памятников, которые попадали в зону научного интереса современных археологов в XXI в. Не вызывает сомнений, что со временем, при методичном внесении в электронную археологическую карту России информации о современных исследованиях, местоположение многих послевоенных объектов будет уточняться, и реконструированные координаты уступят место данным точных приборов позиционирования.
Для изучения эффективности используемого алгоритма реконструкции координат памятников в рамках проекта проводилась верификация введенных данных. Для этого были организованы выборочные поиски памятников на местности и фиксация их координат при помощи современного оборудования. Проведенный мониторинг показал, что при сравнении реконструированного местоположения и точных координат, взятых при помощи прибора, погрешность составляет от 100 до 500 м (в зависимости от качества архивных данных и сохранности ландшафта), что в масштабах территории огромной страны (макроуровень) не является критичной ситуацией и позволяет адекватно отразить археологическую локацию на современной карте Российской Федерации.
В результате подготовки источниковой базы исследования были обработаны и внесены в информационно-поисковую систему сведения из 4356 отчетов о полевых исследованиях. Всего по отчетам послевоенного двадцатилетия в базу внесены данные о 17 122 памятниках археологии.
Интересную картину о развитии темпов “археологического освоения” страны в послевоенные десятилетия дает количественный анализ этого массива документов из 4356 научных отчетов.
Разбивка по пятилеткам позволяет выявить магистральную тенденцию, проявляющуюся в интенсивном наращивании темпа и масштаба полевых работ:
194411 – 1949 гг. – 424 отчета;
1950 – 1954 гг. – 773 отчета;
1955 – 1959 гг. – 1502 отчета;
1960 – 1964 гг. – 1657 отчетов.
Приведенные данные свидетельствуют о высоком темпе возрождения полевой археологической деятельности в стране. На протяжении первых 15 лет, от пятилетки к пятилетке количество работающих экспедиций, судя по числу сданных в Академию наук отчетов, увеличивается почти вдвое. В последние пять лет послевоенного двадцатилетия происходит стабилизация количественных показателей полевых исследований, что, вероятно, свидетельствует о выходе археологического развития страны на определенное естественное плато.
Особенно стремительным был всплеск исследований в первые годы после войны: от 7 отчетов в 1944 г. и 41 в 1945 г. до 109 отчетов за 1949 г. Примечательно, что только в эту пятилетку наблюдается стабильный ежегодный рост числа отчетной документации, в последующие пятилетки все чаще присутствует некоторое понижение числа отчетов за определенный год, а рост чисел становится в целом менее взрывным.
Общие наблюдения
В результате компьютерной обработки массива данных о памятниках археологии, изучавшихся в первые послевоенные десятилетия (1944–1964 гг.), можно выявить ряд тенденций, связанных с процессом накопления информации в ходе полевых исследований этих лет.
Прежде всего, стоит отметить, что в рассматриваемые годы полевые работы велись не только на территории современной Российской Федерации (РСФСР). В научно-отраслевой архив попадали отчеты, подготовленные археологами из российских учреждений по результатам полевых исследований, проведенных за пределами России, причем как на территории СССР, так и в странах зарубежья. Из 17 122 объектов археологического наследия (ОАН), на которых проводились исследования в 1944–1964 гг. (рис. 1, А), 2392 объекта находятся вне границ РСФСР (порядка 14%). Поскольку обязательной практики сдачи на хранение в научно-отраслевой архив ИА АН СССР полевого отчета с результатами работ, производившимися за пределами Российской Федерации, в те годы не было, данная информация не отражает в полной мере степень археологического изучения внероссийского пространства археологами из российских научных учреждений и в настоящем исследовании рассматриваться не будет. Сведения же об объектах археологического наследия, изучавшихся непосредственно на территории РСФСР, гораздо более полны и объективны.
Рис. 1.
Карта археологических памятников, исследовавшихся в 1944–1964 гг., на всей территории обследования (А) и за пределами Российской Федерации (Б).
Fig. 1. Map of archaeological sites studied in 1944–1964 throughout the survey area (А) and outside the Russian Federation (Б)

В настоящий момент в АСОИ “Терек” содержатся данные о 14 730 археологических памятниках, охваченных полевыми работами на территории Российской Федерации в первые послевоенные десятилетия (1944–1964 гг.) (рис. 2, А). Прослеживается неуклонный рост количества археологических работ и, соответственно, обследованных ОАН, во времени (рис. 3, А). Так, на первые послевоенные годы (1944–1949 гг.) приходится 1265 ОАН (9%), далее с каждым пятилетним интервалом их число удваивается: 2631 (18%) в 1950 –1954 гг., 5309 (36%) в 1955–1959 гг. Начиная с 1960 г. происходит более плавное увеличение количества обследованных памятников, причем в некоторые отдельные годы (например, в 1962 и 1963 г.) намечается небольшое сокращение количества ОАН, подвергавшихся полевому обследованию. Тем не менее в 1960–1964 гг. в совокупности изучено 6543 археологических памятника, что составляет 44% от рассматриваемого массива данных.
Рис. 2.
Карта археологических памятников с границами федеральных округов Российской Федерации: А – исследовавшихся в 1944–1964 гг.; Б – исследовавшихся в 1944–1964 гг. (красный цвет) и в 2009–2012 гг. (синий цвет).
Fig. 2. Map of archaeological sites with the boundaries of the federal districts of the Russian Federation: А – studied in 1944–1964; Б – studied in 1944–1964 (marked in red) and in 2009–2012 (marked in blue)

Рис. 3.
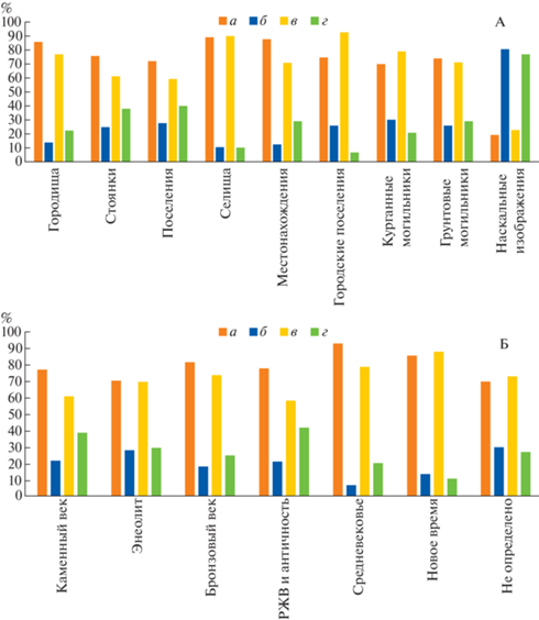
Диаграмма распределения количества археологических памятников: А – по годам исследования: а – всего, б – в России; Б – по федеральным округам РФ и пятилетним интервалам: а – 1944–1949 гг., б – 1950– 1954 гг., в – 1955–1959 гг., г – 1960–1964 гг.
Fig. 3. Diagram of the numeric distribution of archaeological sites: А – by years of research; Б– by federal districts of the Russian Federation and five-year intervals

Распределение в пространстве
Как уже отмечалось в нашем предыдущем исследовании, посвященном пространственному распространению археологических древностей, отраженных в полевых отчетах 2009–2012 гг. (Макаров и др., 2016а. С. 7–10; табл. 1; 2016б. С. 14–16; табл. 1; 2017. С. 624, 625; табл. 1), подавляющее большинство археологических полевых работ происходило на европейской части Российской Федерации. Применяя современное административное деление страны, можно проследить, что основные работы 1944–1964 гг. протекали на территории Приволжского (4830 ОАН, или 33%) и Центрального (3478 ОАН, или 24%) федеральных округов (табл. 1; рис. 2, А). На огромные просторы Сибири приходятся всего 1575 ОАН (11%), а на Дальнем Востоке – чуть более 500 ОАН (3%). Если применить весьма грубую статистическую оценку количества археологических памятников, исследованных в рассматриваемый период, на единицу площади в 1 тыс. км2, то наибольшая концентрация их приходится на Центральный (5.35 ОАН на 1 тыс. км2) и Северо-Кавказский федеральный округ (5.1 ОАН), являющийся самым маленьким по площади (170 тыс. км2) (табл. 1). За счет этого относительно небольшое количество археологических памятников (867 ОАН, или 6%), исследованных на этой территории, расположено значительно компактнее, чем, скажем, на Дальнем Востоке, площадь которого имеет наибольшее значение (6953 тыс. км2), а степень концентрации археологических объектов наименьшая в исследуемой выборке (0.07 ОАН на 1 тыс. км2). Высокие значения относительной плотности памятников археологии демонстрируют также Приволжский (4.66 ОАН на 1 тыс. км2) и Южный федеральные округа (2.53 ОАН). На остальных территориях плотность памятников существенно меньше.
Таблица 1.
Распределение археологических памятников, изучавшихся в 1944–1964 гг., по федеральным округам Table 1. Distribution of archaeological sites studied in 1944–1964 by federal districts of the Russian Federation
| Федеральный округ | Временные интервалы исследования, годы | Всего | Процент от общего количества | Площадь, тыс. км2 | Количество на 1 тыс. км2 | |||||||
|---|---|---|---|---|---|---|---|---|---|---|---|---|
| 1944–1949 | 1950–1954 | 1955–1959 | 1960–1964 | |||||||||
| Дальневосточный | 6 | 1% | 17 | 3% | 246 | 48% | 265 | 52% | 512 | 3 | 6953 | 0.1 |
| Приволжский | 353 | 7% | 774 | 16% | 1609 | 33% | 2380 | 49% | 4830 | 33 | 1037 | 4.7 |
| Северо-Западный | 96 | 7% | 305 | 23% | 425 | 32% | 583 | 44% | 1322 | 9 | 1687 | 0.8 |
| Северо-Кавказский | 57 | 7% | 150 | 17% | 362 | 42% | 349 | 40% | 867 | 6 | 170 | 5.1 |
| Сибирский | 163 | 10% | 220 | 14% | 527 | 33% | 725 | 46% | 1575 | 11 | 4362 | 0.4 |
| Уральский | 43 | 4% | 217 | 21% | 224 | 22% | 575 | 57% | 1014 | 7 | 1819 | 0.6 |
| Центральный | 374 | 11% | 535 | 15% | 1655 | 48% | 1236 | 36% | 3478 | 24 | 650 | 5.4 |
| Южный | 173 | 15% | 413 | 36% | 261 | 23% | 430 | 38% | 1132 | 8 | 448 | 2.5 |
Накладывая пространственное распространение археологических древностей, изученных в 1944–1964 гг., на карту современного административного деления страны, мы видим, что наибольшее количество археологических памятников исследовалось в республиках Татарстан и Башкортостан (1434, или 9% и 1107, или 7% соответственно). Активная разведочная деятельность в Татарии вызвана работами над археологической картой республики, которая началась под руководством Н.Ф. Калинина еще в 1945 г., а затем в 1950-х годах работами Куйбышевской археологической экспедиции ИА АН СССР во главе с А.П. Смирновым (Старостин, 2001. С. 14, 15). В Башкирии уже в начале 1950-х годов выходит работа И.А. Талицкой “Материалы к археологической карте Прикамья” и активно работает несколько экспедиций, в том числе постоянная экспедиция Башкирского филиала АН СССР во главе с А.В. Збруевой, которая планомерно исследует бассейн р. Белой с ее притоками (Археологическая карта Башкирии, 1976. С. 8). Республика Башкортостан и в настоящее время является наиболее развитым российским регионом в археологическом отношении (Макаров и др., 2016а. С. 8; 2016б. С. 18), тогда как количество исследований в Татарстане резко сократилось – там полевыми работами в 2009–2012 гг. было охвачено лишь чуть более 200 памятников археологии.
Полевые исследования не проводились в 1944–1949 гг. только в Ленинграде (Санкт-Петербург), во всех других регионах и областях были обследованы хотя бы единичные археологические объекты. Менее десятка ОАН были изучены в Еврейской автономной области, Ненецком, Ханты-Мансийском и Ямало-Ненецком автономных округах, а также в Республике Калмыкия. Следует отметить, что в последнее время почти во всех этих регионах, за исключением Еврейской АО, археологическая активность существенно повысилась – здесь в 2009–2012 гг. исследовалось от 75 до 174 памятников, а в Ханты-Мансийском АО число включенных в отчеты ОАН достигло 472 (рис. 2, Б).
В 34 регионах количество памятников, изучавшихся в рассматриваемый период, не достигало сотни, еще в 40 оно находилось между 100 и 500 ОАН. В Брянской, Смоленской и Тверской областях число исследованных ОАН было от 503 до 538. Примечательно, что в первых двух регионах в последние десятилетия происходит резкое сокращение археологической активности: так, в 2009–2012 гг. в Брянской области исследованиям подвергалось 76 ОАН, а в Смоленской – 39. В некоторых регионах РФ, напротив, прослеживается значительный рост количества археологических работ. Так, в Белгородской, Новосибирской и Ростовской областях, а также в Краснодарском крае в последнее время было исследовано от 647 до 1164 памятников археологии, тогда как в послевоенные десятилетия полевыми исследованиями там было охвачено от 103 до 287 ОАН (рис. 2, Б).
Очевидная неравномерность археологического изучения огромного пространства страны в послевоенные десятилетия касается не только пространства, но и времени исследования. Так, планомерные археологические исследования Дальнего Востока начинаются, фактически, только с середины 1950-х годов, тогда как в предыдущее десятилетие полевыми работами было охвачено лишь 23 памятника из 512 (табл. 1; рис. 3, Б; 4). На остальных территориях виден постепенный рост археологической активности с начала 1950-х годов. Если в послевоенные годы (1944–1949 гг.) археологическими исследованиями было охвачено от 4% (Сибирь) до 15% (Южный федеральный округ) памятников по каждому крупному региону, то в 1960–1964 гг. полевые работы затрагивают от 38 до 57% памятников (табл. 1; рис. 3, Б; 4).
Типы памятников
Рассмотрим типы памятников, исследовавшихся в первые послевоенные десятилетия. Среди 14 730 ОАН, включенных в АСОИ “Терек”, около половины (6782, или 46%) относится к поселениям открытого типа. Среди них исследователями выделяются стоянки (2634, или 18%), поселения (1671, или 11%) и селища (2477, или 17%). В определении памятника в качестве стоянки, поселения или селища присутствует хронологическая составляющая. Так, стоянками обычно называются временные места обитания, относящиеся к каменному или бронзовому веку, поселениями – постоянные места проживания бронзового и раннего железного века, а селищами – долговременные неукрепленные поселения эпохи средневековья. Однако не стоит исключать и влияние традиции в обозначении памятников археологии, присутствующее у полевых исследователей разных археологических школ. Так, термин “селище” чаще употребляется на европейской территории РФ. 55% селищ, исследованных в 1944–1964 гг., располагается в пределах Поволжского федерального округа, 28% – в Центральном и 10% – в Уральском округе, тогда как на территории Сибири, Дальнего Востока, Северного Кавказа и Юга России чаще используется термин “поселение” для неукрепленных мест обитания средневекового времени.
Значительно меньшее количество памятников относится к укрепленным поселениям (городищам) (2061, или 14%), курганным (2552, или 17%) и грунтовым могильникам (1269, или 9%). Исследователи выделяют также местонахождения (1675, или 11%) – места присутствия археологического материала без признаков кратковременного или долговременного обитания. На остальные типы памятников, фиксируемые в рассматриваемых отчетах 1944–1964 гг., приходится не более 2% ОАН. К ним относится 44 городских поселения, 51 наскальное изображение, 8 кладов, 52 производственных комплекса и 98 культовых сооружений.
Пространственное распространение разных типов памятников следует общей закономерности, описанной выше. Так, на долю европейской части РФ приходится 70% ОАН, исследованных в первые послевоенные десятилетия, среди которых 86% городищ, 89% селищ, 88% местонахождений, от 70 до 75% курганных и грунтовых могильников, стоянок, городских и открытых поселений (рис. 5, А). Лишь наскальные изображения имеют существенный перевес в количестве за Уральским хребтом – 41 из 51 (80%). Прослеженная тенденция в пространственном распространении разных типов памятников сохраняется и в дальнейшем, за некоторыми исключениями. Так, в 2009–2012 гг. возросло количество местонахождений, стоянок и поселений, исследованных к востоку от Уральского хребта (от 29 до 40% против 12–28% памятников, исследованных в 1944–1964 гг.). Количество же полевых работ на городских поселениях на Дальнем Востоке, в Сибири и в Уральском регионе, наоборот, сократилось с 25 до 7%. Почти на 10% сократилась доля курганных могильников, изучавшихся в восточных регионах в 2000-е годы. Несколько увеличилась доля наскальных изображений, исследовавшихся на европейских территориях – с 20 до 23% (рис. 5, А).
Рис. 4.
Карта археологических памятников на территории РФ, исследовавшихся по пятилетним интервалам: А – 1944–1949 гг.; Б – 1950–1954 гг.; В – 1955–1959 гг.; Г – 1960–1964 гг.
Fig. 4. Map of archaeological sites on the territory of the Russian Federation, studied within five-year intervals: А – 1944–1949; Б – 1950–1954; В – 1955–1959; Г –1960–1964

Рис. 5.
Диаграмма распределения по пятилетним интервалам процентного соотношения типов памятников (А) и памятников по эпохам (Б). Условные обозначения: а – европейская часть РФ (1944–1964 гг.); б – азиатская часть РФ (1944–1964 гг.); в – европейская часть РФ (2009–2012 гг.); г – азиатская часть РФ (2009–2012 гг.).
Fig. 5. Distribution diagram for five-year intervals of studying by the percentage of types of sites (А) and the percentage of sites by epoch (Б)

Среди федеральных округов, расположенных к западу от Урала, по количеству исследованных памятников лидируют Поволжский и Центральный, о чем упоминалось выше. Здесь исследовалось 65% городищ, 83 селищ, 68 местонахождений, 61 городских поселений, 48 курганных и 43% грунтовых могильников. Любопытно отметить, что на долю южных регионов и Северного Кавказа приходится 15% курганных могильников, исследовавшихся в 1944–1964 гг., тогда как в 2009–2012 гг. на эти территории приходилось уже 34% обнаруженных и изученных курганных некрополей.
В восточных областях страны большинство изученных в 1944–1964 гг. памятников приходится на Сибирский федеральный округ. Здесь было затронуто полевыми исследованиями 59% от всех наскальных изображений, 20% курганных и 23% грунтовых могильников. Доля памятников разных типов, изучавшихся на Дальнем Востоке и на Урале, как правило, составляет не более 10% от общего числа. Исключением являются наскальные изображения, 18% которых исследовалось в Уральском регионе, и городские поселения, 14% которых изучалось на Дальнем Востоке, но в целом данные категории древностей единичны.
Интересно проследить, не выявляются ли какие-либо приоритеты в исследованиях тех или иных типов памятников на протяжении рассматриваемого периода. Следует отметить, что рост числа исследованных городищ за 1944–1964 гг. происходит достаточно плавно по сравнению с другими типами памятников – за каждый пятилетний интервал увеличивается количество ОАН данного типа примерно на 200 объектов, а в последние годы (1960–1964 гг.) рост практически останавливается (рис. 6, А). Остальные типы памятников демонстрируют гораздо более существенный рост по числу исследованных в каждое из послевоенных пятилетий. В особенности это касается местонахождений, число которых несущественно в первую половину рассматриваемого временного диапазона, но резко возрастает с середины 1950-х годов. Похожая картина существенного увеличения количества исследованных памятников наблюдается для грунтовых и курганных могильников, но при этом резкий рост интереса ко вторым происходит уже с рубежа 1940–1950-х годов (рис. 6, А). И лишь количество изучаемых наскальных изображений существенно не меняется в течение рассматриваемого периода.
Рис. 6.
Диаграмма распределения количества археологических памятников по типам (А) и процентного соотношения памятников по эпохам (Б), исследованных по пятилетним интервалам: а – 1944–1949 гг., б – 1950–1954 гг., в – 1955–1959 гг., г – 1960–1964 гг.
Fig. 6. Distribution diagram of the number of archaeological sites studied by types (А) and the percentage of sites by five-year intervals (Б)

Распределение по эпохам
В АСОИ “Терек” принята двухуровневая хронологическая атрибуция археологических памятников по эпохам и датировкам (Макаров и др., 2015а. С. 12; 2015б. С. 83, 84; 2016б. С. 11). При этом производится отнесение ОАН к одной или нескольким крупным эпохам в случае, если на памятнике присутствуют разновременные находки и культурные слои. Среди исследованных в 1944–1964 гг. археологических памятников более одной трети не получило культурно-хронологической атрибуции (5681 ОАН, или 39%). Отложения и находки каменного века встречаются на 1880 памятниках (13%), энеолита – на 148 (1%), бронзового века – на 2310 (16%), раннего железного века – на 2195 (15%), средневековья – на 3375 (23%), Нового времени – на 579 (4%) (табл. 2). Как уже указывалось ранее, выделение памятников энеолитической эпохи в отдельную категорию производится далеко не повсеместно (Макаров и др., 2016а. С. 9; 2016б. С. 30) – чаще всего их можно встретить на территории Северо-Запада, в южных регионах и на Северном Кавказе, а также на Урале и в Поволжье. В центральных областях и на Дальнем Востоке памятники эпохи энеолита практически отсутствуют в археологических атрибуциях.
Таблица 2.
Распределение археологических памятников, изучавшихся в 1944–1964 гг., по федеральным округам и основным эпохам Table 2. Distribution of archaeological sites studied in 1944–1964 by federal districts the Russian Federation and main epochs
| Федеральный округ | Каменный век | Энеолит | Бронзовый век | РЖВ и античность | Средне-вековье | Новое время | Не определено | |||||||
|---|---|---|---|---|---|---|---|---|---|---|---|---|---|---|
| Дальневосточный | 87 | 5% | 1 | 1% | 10 | 0% | 31 | 1% | 40 | 1% | 9 | 2% | 355 | 6% |
| Приволжский | 242 | 13% | 24 | 16% | 1022 | 44% | 701 | 32% | 1355 | 40% | 257 | 44% | 1664 | 29% |
| Северо-Западный | 288 | 15% | 44 | 30% | 93 | 4% | 94 | 4% | 329 | 10% | 35 | 6% | 553 | 10% |
| Северо-Кавказский | 54 | 3% | 17 | 11% | 148 | 6% | 101 | 5% | 237 | 7% | 24 | 4% | 375 | 7% |
| Сибирский | 250 | 13% | 14 | 9% | 174 | 8% | 253 | 12% | 129 | 4% | 61 | 11% | 828 | 15% |
| Уральский | 80 | 4% | 28 | 19% | 240 | 10% | 195 | 9% | 69 | 2% | 12 | 2% | 531 | 9% |
| Центральный | 729 | 39% | 2 | 1% | 428 | 19% | 392 | 18% | 946 | 28% | 160 | 28% | 1131 | 20% |
| Южный | 150 | 8% | 18 | 12% | 195 | 8% | 428 | 19% | 270 | 8% | 21 | 4% | 244 | 4% |
| Всего | 1880 | 13% | 148 | 1% | 2310 | 16% | 2195 | 15% | 3375 | 23% | 579 | 4% | 5681 | 39% |
Древности Нового времени лишь недавно стали рассматриваться как полноправный объект археологического изучения (Археология, 2005; Беляев, 2017). В послевоенный период они нечасто становились объектом особого археологического исследования – как правило, отложения последних столетий просто фиксировались при исследовании более древних памятников. Тем не менее более половины учтенных в АСОИ “Терек” памятников Нового времени (364 из 579) не содержали иных культурных наслоений или находок, являясь, таким образом, полноценным полевым объектом в процессе исследований первых послевоенных десятилетий. Данная тенденция развивается и в дальнейшем, и к началу 2010-х годов нами учтено уже 1422 археологических памятника Нового и Новейшего времени, исследованных в последние годы, из которых 1047 не содержали отложений других эпох.
Пространственное распространение памятников разных эпох позволяет сделать следующие наблюдения. В целом сохраняется обозначенная выше тенденция, когда около 70% памятников расположены к западу от Уральского хребта. В западных регионах исследовалось в 1944–1964 гг. 78% памятников каменного и раннего железного века, 82% – бронзового, 86% – Нового времени и 93% – древностей эпохи средневековья (табл. 2). Интересно отметить, что со временем эта диспропорция выравнивается для древностей определенных эпох, которые более активно изучаются в процессе полевых работ последних лет (рис. 5, Б). Так, в 2009–2012 гг. на территории Уральского региона, Сибири и Дальнего Востока изучено уже 39% ОАН каменного века из включенных в выборку и 42% ОАН раннего железного века. Вырос интерес и к средневековым памятникам, 21% которых исследовался в восточных регионах (Макаров и др., 2016а. С. 10; табл. 2; 2016б. С. 26; табл. 3; 2017. С. 625. табл. 2). Для остальных эпох тенденции, заложенные в первые послевоенные десятилетия, сохраняются и в последнее время.
Таблица 3.
Распределение археологических памятников, изучавшихся в 1944–1964 гг., по ландшафтным зонам Table 3. Distribution of archaeological sites studied in 1944–1964 by landscape zones
| Тип ландшафта | Каменный век | Энеолит | Бронзовый век | РЖВ и античность | Средне-вековье | Новое время | Не определено | Всего | ||||||||
|---|---|---|---|---|---|---|---|---|---|---|---|---|---|---|---|---|
| Тундра | 27 | 2% | 0 | 0% | 8 | 0% | 7 | 0% | 7 | 0% | 5 | 1% | 74 | 1% | 121 | 1% |
| Болото | 7 | 0% | 2 | 2% | 2 | 0% | 2 | 0% | 2 | 0% | 0 | 0% | 24 | 0% | 36 | 0% |
| Лес | 437 | 28% | 56 | 45% | 277 | 14% | 290 | 17% | 396 | 14% | 93 | 20% | 944 | 19% | 2269 | 18% |
| Кустарник | 6 | 0% | 1 | 1% | 7 | 0% | 8 | 0% | 2 | 0% | 0 | 0% | 17 | 0% | 40 | 0% |
| Пастбища | 133 | 9% | 20 | 16% | 188 | 9% | 214 | 12% | 233 | 8% | 25 | 5% | 585 | 12% | 1271 | 10% |
| Пашня | 948 | 61% | 46 | 37% | 1498 | 76% | 1219 | 70% | 2281 | 78% | 351 | 74% | 3357 | 67% | 8880 | 70% |
| Всего | 1558 | 12% | 125 | 1% | 1980 | 16% | 1740 | 14% | 2921 | 23% | 474 | 4% | 5001 | 40% | 12 617 | 100% |
Если говорить о том, в какие годы из рассматриваемого диапазона прослеживается больший интерес к тем или другим археологическим эпохам, то, как и в случае с большинством типов памятников, растущее количество исследований приходится, как правило, на 1955–1964 гг. При этом, не считая древностей эпохи энеолита и Нового времени, наблюдаются примерно равные в процентном отношении доли ОАН, изучавшиеся в подпериоды 1955–1959 и 1960–1964 гг. Энеолитические памятники начинают активно выделяться и изучаться в самом конце рассматриваемого временного диапазона, с начала 1960-х годов (67% ОАН), тогда как интерес к памятникам Нового времени наиболее активно проявился в 1955–1959 гг. (46%), а затем несколько уменьшился (рис. 6, Б).
Распределение по ландшафтам
Пространственный анализ, проводимый на основе геоинформационных систем, позволяет соотнести те или иные археологические памятники с характеристиками растительности, полученными из открытых источников. Всего для территории Российской Федерации выделяется шесть основных типов ландшафтов – тундра, болото, лесная и кустарниковая растительность, открытые пространства с пастбищными и пахотными землями. Следует отметить, что зоны с разной растительностью в принципе совпадают с основными природными зонами (тундра, тайга, зона смешанных лесов, лесостепь, степь), но могут отличаться в границах распространения. Так, например, зона тундровой растительности помимо собственно тундры характерна для высокогорий юга Сибири и Кавказа. Растительность болот и кустарников распространена как в тундровой зоне, так и в таежной и лесной. Пастбищная растительность в целом характерна для пояса степей, но имеются ее значительные вкрапления в таежную и тундровую зоны. Наконец, большинство пахотных угодий лежит в поясе степи и лесостепи.
Точечная информация о 14 433 памятниках совмещалась с полигональными слоями, отражающими распределение ландшафтов разных типов (рис. 7, А). Как уже упоминалось выше, особенностью нашего картографического анализа памятников археологии, изучавшихся в 1944–1964 гг., является отсутствие их точной географической привязки, полученной в виде координат с помощью навигационных GPS-приемников. Не все археологические памятники удалось локализовать: для 267 из 14 730 отсутствует даже приблизительная географическая привязка, поэтому в дальнейшем анализе используется информация о меньшем количестве ОАН.
Рис. 7.
Карта распространения археологических памятников по ландшафтным зонам (А) и по бассейнам крупных рек (Б). Условные обозначения: а – тундра; б – болото; в – лес; г – кустарник; д – степь; е – пашня.
Fig. 7. Map of the distribution of archaeological sites by landscape zones (А) and by the basins of large rivers (Б)

В результате сопоставления 14 433 памятников с ландшафтными зонами 12 617 из них получили соответствующую атрибуцию. К тундровой зоне отнесен 121 памятник (1%), в болотистых и кустарниковых ландшафтах археологические памятники практически отсутствуют (36 и 40 ОАН соответственно). На лесную зону приходится 2269 памятников, что составляет 18%. 1271 памятник (10%) расположен в степных ландшафтах, нетронутых распашкой. Наконец, подавляющее большинство ОАН – 8880 из 12 617 – было обнаружено в зоне открытых ландшафтов, представляющих пахотные угодья (70%) (табл. 3; рис. 8, А). Последнее обстоятельство может говорить как о более высокой концентрации населения в древности и средневековье в лесостепной и степной зоне, так и о том, что поиск и обнаружение археологических памятников можно провести более успешно на распаханных открытых территориях. Следует отметить, что в последующее время данная тенденция в распределении памятников археологии по зонам растительности сохраняется, хотя в абсолютном исчислении количество ОАН, обнаруженных в малопригодных для жизни областях тундры и болот увеличивается до 346 и 260 соответственно, что составляет по 2% от числа изученных в 2009–2012 гг. археологических памятников (Макаров и др., 2016а. С. 10, 11; табл. 2; 2016б. С. 32; табл. 4).
Рис. 8.
Диаграмма процентного распределения археологических памятников по ландшафтным зонам (А): а – тундра; б – болото; в – лес; г – кустарник; д – пастбища; е – пашня; и количественного распределения ОАН в бассейнах крупных рек, исследованных по пятилетним интервалам (Б): а – 1944–1949 гг., б – 1950–1954 гг., в – 1955–1959 гг., г – 1960–1964 гг.
Fig. 8. Diagram of the percentage distribution of archaeological sites by landscape zones (А) and the quantitative distribution of main finds by the basins of large rivers studied over five-year intervals (Б)

Таблица 4.
Распределение археологических памятников, изучавшихся в 1944–1964 гг., по бассейнам крупных рек Table 4. Distribution of archaeological sites studied in 1944–1964 by major river basins
| Главные реки | Временные интервалы исследования, годы | Всего | Длина, км | Памятников на 1 км длины | ||||||||
|---|---|---|---|---|---|---|---|---|---|---|---|---|
| 1944–1949 | 1950–1954 | 1955–1959 | 1960–1964 | |||||||||
| Алдан | 0 | 0% | 0 | 0% | 0 | 0% | 4 | 100% | 4 | 0.1% | 2273 | 0.0 |
| Амур | 4 | 13% | 0 | 0% | 8 | 25% | 20 | 63% | 32 | 0.7% | 4133 | 0.0 |
| Ангара | 4 | 3% | 13 | 11% | 87 | 74% | 20 | 17% | 118 | 2.6% | 1779 | 0.1 |
| Вилюй | 0 | 0% | 0 | 0% | 0 | 0% | 4 | 80% | 5 | 0.1% | 2650 | 0.0 |
| Волга | 145 | 9% | 223 | 14% | 440 | 29% | 836 | 54% | 1541 | 33.5% | 3531 | 0.4 |
| Десна | 80 | 19% | 3 | 1% | 327 | 78% | 47 | 11% | 418 | 9.1% | 555 | 0.8 |
| Днепр | 7 | 2% | 85 | 26% | 220 | 68% | 30 | 9% | 323 | 7.0% | 485 | 0.7 |
| Дон | 33 | 6% | 90 | 16% | 224 | 41% | 293 | 53% | 549 | 11.9% | 1870 | 0.3 |
| Енисей | 23 | 9% | 6 | 2% | 83 | 32% | 161 | 63% | 256 | 5.6% | 3930 | 0.1 |
| Иртыш | 9 | 13% | 1 | 1% | 1 | 1% | 60 | 87% | 69 | 1.5% | 1900 | 0.0 |
| Кама | 22 | 3% | 212 | 29% | 284 | 39% | 281 | 39% | 721 | 15.7% | 2030 | 0.4 |
| Колыма | 0 | 0% | 0 | 0% | 0 | 0% | 0 | 0% | 0 | 0.0% | 2129 | 0.0 |
| Лена | 5 | 100% | 0 | 0% | 0 | 0% | 0 | 0% | 5 | 0.1% | 4400 | 0.0 |
| Обь | 17 | 8% | 69 | 33% | 18 | 9% | 112 | 53% | 211 | 4.6% | 3050 | 0.1 |
| Печора | 0 | 0% | 0 | 0% | 3 | 3% | 107 | 98% | 109 | 2.4% | 1809 | 0.1 |
| Северная Двина | 0 | 0% | 0 | 0% | 3 | 11% | 27 | 100% | 27 | 0.6% | 1803 | 0.0 |
| Урал | 7 | 3% | 66 | 30% | 27 | 12% | 124 | 57% | 218 | 4.7% | 1550 | 0.1 |
Рассматривая распределение по зонам растительности памятников разных эпох, можно сделать следующее наблюдение. От 75 до 85% археологических первобытных и средневековых древностей вплоть до настоящего времени приходится на открытые пространства степи и лесостепи, в настоящее время занимаемые пастбищными и пахотными угодьями. Количество памятников каменного века, обнаруженных в рассматриваемый период в лесной зоне, несколько больше (28%), чем в последующее время. Максимальное количество древностей лесной зоны прослеживается для энеолитических памятников (45%). Во все перечисленные эпохи памятники, находящиеся в зонах тундровой и болотной растительности, единичны, за исключением ОАН каменного века, где они составляют около 2% от исследованных (34 из 1558) (табл. 3). Любопытно, что данная тенденция в принципе сохраняется и для археологических памятников, изучавшихся в последнее время, но древностей каменного века обнаруживалось и исследовалось больше как в зоне тундры, болот и кустарников (6%), так и в лесной зоне (36%), а доля памятников эпохи энеолита в лесной зоне сокращается до 34%, однако по-прежнему она существенно больше, чем у ОАН последующих периодов (Макаров и др., 2016а. С. 10, 11; табл. 2; 2016б. С. 32; табл. 4).
Распределение по долинам рек
Как и в более раннем исследовании закономерностей в пространственном распространении археологических памятников, изучавшихся в 2009–2012 гг., нами применялись процедуры пространственного анализа для соотнесения ОАН с бассейнами крупных рек Российской Федерации как основных транспортных маршрутов и источников жизнеобеспечения в древности и средневековье. В настоящей работе в геоинформационную систему были добавлены линейные данные с современными течениями рек и границами крупных водохранилищ, вокруг которых была построена буферная зона в 50 км в каждую сторону (рис. 7, Б). Внутри этой 100-км зоны были выделены археологические памятники, которые можно таким образом соотнести с бассейном той или иной реки или ее основных притоков (табл. 4).
Проведенное исследование выявило очень близкие тенденции к уже отмеченными нами ранее (Макаров и др., 2016а. С. 11–13; табл. 4; 2016б. С. 32–36; табл. 5). Прежде всего, с основными бассейнами рек было соотнесено около 31% памятников, исследованных в 1944–1964 гг. (4606 ОАН). Большинство из рассматриваемых памятников лежит в европейской части РФ (рис. 7, Б). 1541 из них по результатам проведенного анализа отнесен к бассейну Волги (34%), 721 – к бассейну Камы (16%), 549 – к Дону (12%). Данное обстоятельство связано, в первую очередь, вероятно, со степенью изученности этих речных массивов в связи с масштабным строительством водохранилищ в 1950–1960-е годы – Чебоксарского и Куйбышевского на Волге, Камского на Каме и строительством Волго-Донского канала. Эти “великие стройки” сопровождались массированными археологическими разведками и раскопками, результаты которых продемонстрированы на карте.
Из сибирских рек выделяется насыщенностью археологическими древностями Енисей (256 ОАН, или 6%), за ним следуют Урал и Обь (218 и 211 ОАН соответственно, около 5%). На Дальнем Востоке в бассейне Амура в рассматриваемый период исследовано чуть более 30 памятников, а в бассейне Колымы – ни одного.
Любопытно рассчитать, какое среднее количество археологических памятников приходится на 1 км речного течения. Наиболее насыщенными археологическими памятниками представляются бассейны Десны и Днепра (0.7–0.8 памятников на 1 км), длина течения которых по территории Российской Федерации составляет около 500 км. Далее следуют Волга, Кама и Дон (0.3–0.4 памятника на 1 км). Все остальные речные бассейны весьма слабо насыщены археологическими памятниками – здесь на 1 км течения приходится 0.1 памятника и менее (табл. 4; рис. 8, Б). В последующие годы исследования археологических памятников в бассейне Десны и особенно Днепра значительно сократились, а в бассейне Дона, наоборот, выросли. Именно эта река дает наибольшую концентрацию археологических древностей, вошедших в полевые отчеты 2009–2012 гг. – здесь на 1 км реки приходится 0.6 памятника археологии, что составляет максимум для данной выборки (Макаров и др., 2016а. С. 11–13; табл. 4; 2016б. С. 32–36; табл. 5).
Подводя итоги, проведенное исследование пространственного распространения археологических памятников, попавших в орбиту полевых работ 1944–1964 гг., демонстрирует практически те же тенденции, что и отмеченные нами в ходе предыдущего изучения закономерностей размещения ОАН на археологической карте России по итогам работ 2009–2012 гг. Сопоставимо и количество картографируемых древностей (14 730 и 15 367), и общие закономерности, прослеженные в ходе анализа. Так, и в том, и в другом случае большинство археологических памятников, изучавшихся в разные годы, находится на европейской территории России (79% в 1944–1964 гг. и 73% в 2009–2012 гг.). При этом в европейской части РФ большинство археологических работ проводилось в Приволжском и Центральном федеральном округе, где было исследовано в совокупности 56% всех памятников в первые послевоенные десятилетия и чуть менее половины – в последние годы. Несколько меняются регионы, отличающиеся наивысшей плотностью расположения археологических древностей: если в первый период это был Центральный округ, где число памятников на 1 тыс. км2 достигало 5.4, то во второй таковым становится Юг России с плотностью памятников 6.0 (Макаров и др., 2016а. С. 8, 9; табл. 1; 2016б. С. 14–16; табл. 1; 2017. С. 624, 625; табл. 1).
Использование достаточно широкого временного диапазона исследований, охватывающего 20 послевоенных лет, позволяет более тонко подойти к характеристике процесса развертывания полевых археологических работ на территории Российской Федерации. Так, можно констатировать, что активность археологов РСФСР резко возрастает с середины 1950-х годов, что отражается как на расширяющемся территориальном охвате страны полевыми исследованиями (рис. 4), так и на вовлечении все большего количества памятников разных типов и эпох в археологические работы (рис. 6). Отдельные территории и типы памятников не испытали кардинального роста, но в целом данная тенденция очевидна.
Приоритетными территориями расселения, по-видимому, являлись открытые пространства степи и лесостепи, где обнаруживается подавляющее большинство археологических древностей как на европейской, так и на азиатской территории. Совершенно очевидно, что данное наблюдение не зависит от степени обследования регионов – точно такая же тенденция прослеживается и по работам последних лет, при небольшом увеличении количества памятников, обнаруженных в зоне тундровой и таежной растительности. Представляется весьма вероятным, что последующее включение новой информации в существующую базу данных существенно не повлияет на этот вывод.
Таким образом, продолжающаяся работа по наполнению АСОИ “Терек” новой информацией об археологических исследованиях на территории Российской Федерации позволяет сделать более обоснованные выводы об основных тенденциях в системе расселения древнего и средневекового населения нашей страны и получить яркую картину поэтапного изучения археологических древностей России в национальном масштабе.
Подготовлено в рамках проекта РФФИ № 18-09-40053/20.
Список литературы
Археологическая карта Башкирии / Ред. О.Н. Бадер. М.: Наука, 1976. 262 с.
Археология позднего периода истории: материалы Круглого стола, проведенного редакцией и редколлегией журнала “Российская археология” // Российская археология. 2005. № 1. С. 81–99.
Беляев Л.А. Археология России Нового времени: тенденции развития // Вестник Томского государственного университета. История. 2017. № 49. С. 66–70.
Макаров Н.А., Зеленцова О.В., Коробов Д.С., Вороши-лов А.Н. Пространство древности: археологические памятники на карте России // Вестник Российской академии наук. 2017. Т. 87, № 7. С. 622–634.
Макаров Н.А., Зеленцова О.В., Коробов Д.С., Черни-ков А.П., Ворошилов А.Н. Геоинформационная система “Археологические памятники России”: методические подходы к разработке и первые результаты наполнения // Краткие сообщения Института археологии. 2015а. Вып. 237. С. 7–19.
Макаров Н.А., Зеленцова О.В., Коробов Д.С., Черни-ков А.П., Ворошилов А.Н. Первые шаги по созданию национальной геоинформационной системы “Археологические памятники России” // Археология, этнография и антропология Евразии. 2015б. Т. 43, № 4. С. 85–93.
Макаров Н.А., Зеленцова О.В., Коробов Д.С., Черни-ков А.П., Ворошилов А.Н. Россия как археологическое пространство: первые итоги работы по созданию национальной ГИС “Археологические памятники России” // Российская археология. 2016а. № 4. С. 5–15.
Макаров Н.А., Зеленцова О.В., Коробов Д.С., Черни-ков А.П., Ворошилов А.Н. Археологические памятники России: опыт создания и аналитического использования ГИС // Россия как археологическое пространство / Отв. ред. Н.А. Макаров. М.: ИА РАН, 2016б. С. 9–39.
Старостин П.Н. Об особенностях и задачах археологической науки // Очерки археологии Татарстана. Казань: Школа, 2001. С. 4–16.
Дополнительные материалы отсутствуют.
Инструменты
Российская археология


