Петрология, 2023, T. 31, № 5, стр. 463-481
Вариации состава закалочных стекол MORB Срединно-Атлантического хребта, 12°–31° с.ш.: отражение эволюции состава родительских расплавов и влияния гидротермального компонента
С. А. Силантьев a, *, А. И. Буйкин a, А. Р. Цховребова a, В. В. Шабыкова a, В. Е. Бельтенев b
a Институт геохимии и аналитической химии им. В.И. Вернадского РАН
Москва, Россия
b ФГБУ “ВНИИОкеангеология”
Санкт-Петербург, Россия
* E-mail: silantyev@geokhi.ru
Поступила в редакцию 29.09.2022
После доработки 02.12.2022
Принята к публикации 15.01.2023
- EDN: BXMUBN
- DOI: 10.31857/S0869590323050059
Аннотация
В ходе проведенного исследования были изучены геохимические особенности образцов закалочных стекол, отобранных в шести районах осевой зоны Срединно-Атлантического хребта (САХ), расположенных между 12°–31° с.ш. Полученные результаты предоставили информацию о составе родительских для этих закалочных стекол расплавов и позволили оценить возможные геохимические эффекты, отражающие взаимодействие расплавов с гидротермальными системами осевой зоны САХ или с измененным субстратом океанической коры. Показано, что, с одной стороны, базальты семейства E-MORB, к которому относится бóльшая часть образцов изученных закалочных стекол, локализованы преимущественно в “холодных” сегментах САХ, в строении корового разреза которых преобладают серпентиниты. С другой стороны, образцы деплетированных закалочных стекол (N-MORB), относятся к сегментам осевой зоны САХ, в которых обнажения серпентинитов или отсутствуют, или играют подчиненную роль. В закалочных стеклах E-MORB из “холодных” сегментов САХ установлены признаки контаминации базальтовых расплавов компонентами, заимствованными или из вмещающих серпентинитов, или из водно-солевых флюидов, циркулирующих в гидротермальных системах, расположенных в серпентинитах (“serpentinite hosted”). Судя по полученным данным о характере вариаций содержаний Cl, U и Sr в изученных закалочных стеклах, относящихся к семейству N-MORB, признаки внутрикоровой контаминации в них отсутствуют. Предположено, что в образовании родительских расплавов E-MORB в некоторых сегментах САХ принимали участие реликты древней континентальной литосферы, сохранившиеся под осевой зоной хребта и вовлекавшиеся в процесс частичного плавления малоглубинной мантии.
ВВЕДЕНИЕ
Одним из фундаментальных феноменов, определяющих строение и состав океанической коры Срединно-Атлантического хребта (САХ), является его геохимическая сегментация, проявленная в чередовании вдоль его простирания сегментов, сложенных деплетированными базальтами (N-MORB) и их обогащенными разновидностями (E-MORB). Геохимической сегментации, признаки которой установлены в продуктах магматизма рифтовой долины САХ, посвящены многие работы (Schilling et al., 1983; Klein, Langmuir, 1987; Bougault et al., 1988; Bonatti et al., 1992; Дмитриев, 1998; Dosso et al., 1999). В качестве главных факторов, ответственных за наблюдаемую неоднородность в характере распределения вдоль оси САХ индикаторных геохимических параметров MORB, в цитируемых и многих других работах рассматриваются вещественная неоднородность мантийного субстрата под рифтовой долиной и свойственные ему различия в степени плавления. Вариации вдоль оси САХ геохимических особенностей базальтов свидетельствуют также о признаках смешения родоначальных для Е- и N-MORB расплавов, которые определяют особенности состава продуктов вулканизма промежуточных зон между аномальными и нормальными сегментами САХ (например, Eason, Sinton, 2006). Другая характерная особенность осевой зоны САХ заключается в широком распространении здесь признаков гидротермальной активности, которая способствует образованию крупных гидротермальных рудопроявлений. Обнаружение гидротермального поля Семенов, расположенного между известными полями Ашадзе (12°58′ с.ш.) и Логачев (14°45′ с.ш.), позволило считать, что кластеры гидротермальных полей являются обычным элементом строения фундамента САХ в Центральной Атлантике. Характер наблюдаемых корреляций между признаками реологической и петролого-геохимической сегментаций САХ (Sokolov et al., 2020) свидетельствует о том, что в осевой зоне этого хребта реализуются два главных геодинамических сценария, соответствующих двум контрастным режимам спрединга: 1) формирование в “горячих” сегментах САХ нормальной базальтовой коры (“пенроузского типа”); 2) образование в “холодных” сегментах САХ коры, в строении которой принимают участие преимущественно мантийные реститовые перидотиты и габброиды, а проявления базальтового магматизма редуцированы или отсутствуют (“хессовский тип”). Эмпирические данные о строении коры в осевой зоне САХ хорошо согласуются с данными сейсмической томографии, которые позволяют реконструировать картину распределения реологических неоднородностей в мантии. Принято считать, что характер вариаций S-волн (поперечных) отражает термальное состояние мантии (например, Grand et al., 1997; Becker, Boschi, 2002). Картина распределения параметра d(Vp/Vs) в мантийном слое под САХ, соответствующем глубинности в 300 км, показана на рис. 1. Очевидно, что вдоль всего простирания осевой зоны САХ в северном полушарии чередуются нормальные сегменты хребта, сложенные базальтоидами, и аномальные (относительно канонической модели спрединга) сегменты, сложенные ультрамафитами. В соответствии с этой закономерностью гидротермальные поля и рудопроявления САХ образуют два семейства: расположенные в базальтовом субстрате – Брокен Спур, Снейк Пит, ТАГ, Лаки Страйк, Сюрприз, Юбилейное, Зенит–Виктория, Краснов и в перидотитовом – Ашадзе, Семенов, Логачев, Лост Сити, Рейнбоу. Таким образом, существует несомненная связь между гидротермализмом САХ и его вещественной сегментацией (см. Богданов и др., 2006; Силантьев и др., 2009; Andreani et al, 2014; Firstova et al., 2016). Характер распределения двух указанных типов гидротермальных полей вдоль оси САХ позволяет прийти к выводу, что формирование гидротермальных систем, связанных с базальтовым субстратом, происходит в обстановке остывающей литосферы, в то время как гидротермальные системы, расположенные в серпентинитах, образуются при нагреве холодной литосферы. Можно предполагать, что, существует связь между геохимической спецификой гидротермальных процессов в осевой зоне САХ и его вещественной сегментацией. На геохимическую специфику гидротермальных систем СОХ влияет тип корового разреза, к которому они относятся. Эффект влияния состава вмещающих пород на состав гидротермальных построек рифтовой долины наглядно демонстрирует различия в содержании некоторых элементов в массивных сульфидных рудах из труб черных курильщиков САХ, расположенных в серпентинитах и в базальтах (например, Firstova et al., 2016).
Рис. 1.
Горизонтальный срез объемных вариаций скоростей распространения сейсмических S-волн вдоль оси простирания САХ на глубине 300 км, рассчитанный в работе (Дмитриев, Соколов, 2003) по данным цифровой сейсмотомографической модели TX2011 (Grand, 2002), находящейся в открытом доступе (https://ds.iris.edu/spud/earthmodel/10131216). Красным цветом показаны отрицательные аномалии, связанные с понижением сейсмических скоростей в “горячих” сегментах, синим цветом – положительные аномалии “холодных” сегментов. Красными прямоугольниками обозначены районы осевой зоны САХ с широким распространением продуктов базальтового магматизма, где были получены образцы закалочных стекол, соответствующие группам 1–4 в табл. 1. Зеленые прямоугольники очерчивают районы САХ, в которых океанический фундамент сложен преимущественно перидотитами и где были добыты образцы закалочных стекол групп 5–6.

Целью проведенного исследования была оценка возможного влияния активных гидротермальных систем на геохимические параметры MORB, служащие традиционными индикаторами условий петрогенезиса и геохимической природы мантийных источников магматизма в океанических центрах спрединга. Настоящая работа является продолжением исследований, начатых в (Buikin et al., 2022), где, на основании данных по изотопному составу благородных газов и азота и содержанию Н2O и Cl в образцах закалочных стекол рифтовой долины САХ на 16°07′–17°11′ с.ш., было предположено, что наблюдаемые в этих стеклах признаки контаминации благородными газами и азотом немантийного происхождения служат свидетельством взаимодействия магматического расплава с высокотемпературным гидротермальным флюидом. В связи с этим выбранные для нашего исследования образцы должны были соответствовать следующим критериям: отсутствие петрографических признаков постмагматических изменений; достаточная навеска, необходимая для определения изотопного состава благородных газов, азота и СО2 (5–7 граммов чистого стекла); широкий спектр состава, желательно описывающий все разнообразие геохимических типов MORB. Эти критерии явились довольно серьезным ограничительным фактором. Несмотря на это, имеющаяся в распоряжении авторов коллекция в полной мере отвечает указанным требованиям и включает образцы закалочных стекол, полученные в районах рифтовой долины, в которых расположены гидротермальные поля, относящиеся по строению вмещающего их разреза океанической коры к двум главным типам: один из которых связан с базальтами, а другой – с серпентинитами. Таким образом, данные о геохимических характеристиках изученных образцов закалочных стекол, позволяют получить информацию не только о составе родительских для них расплавов, но и оценить возможные геохимические эффекты, отражающие взаимодействие родительских расплавов с гидротермальными растворами.
МЕТОДЫ ИССЛЕДОВАНИЯ
Содержание главных элементов в закалочных стеклах из изученной коллекции определялось в ГЕОХИ РАН (Москва) с помощью рентгеноспектрального микроанализатора SX 100 (САМЕСА) с четырьмя вертикальными спектрометрами, ускоряющим напряжением 15 кВ и током зонда 30 нА (оператор Н.Н. Кононкова). Оценка состава стекол и присутствующих в них кристаллитов оливина и плагиоклаза производилась также с использованием сканирующего электронного микроскопа с полевым катодом (FEG SEM) TESCAN MIRA3, оборудованного энерго-дисперсионным спектрометром ULTIM MAX 100 (Oxford Instruments) под программным управлением Aztec 5.0 (ГЕОХИ РАН). Количественный анализ проводился при ускоряющем напряжении 20 кВ и токе зонда 1.4 нA при накоплении в спектре 106 импульсов. В качестве стандартов использовались чистые элементы и соединения. Точность определения главных элементов составляла около 2 отн. %, порог расчетного содержания примесных элементов составлял 3σ.
Содержание РЗЭ и других элементов примесей в образцах закалочных стекол определялось методом вторично-ионной масс-спектрометрии (ВИМС, ионный зонд) в Ярославском филиале Физико-технологического института им. К.А. Валиева РАН (ЯФ ФТИАН РАН) с использованием вторично-ионного микроскопа CAMECA IMS-4F. Представленные для анализа образцы были оформлены в виде шлифов, рабочая поверхность которых покрывалась слоем золота толщиной 0.03 мкм с помощью установки магнетронного напыления. Основные пункты методики измерений изложены в (Smirnov et al., 1995; Nosova et al., 2002; Fedotova et al., 2008). Первичный пучок ионов ${\text{O}}_{2}^{ - }$ с энергией 10 кэВ фокусировался на поверхности образца в пятно с диаметром около 20–30 мкм. Интенсивность тока первичных ионов составляла 5 нА (протокол “летучие”) и 2 нА (основной протокол). При этом область сбора вторичных ионов ограничивалась полевой диафрагмой диаметром 10 и 25 мкм, соответственно, что, наряду с фокусировкой первичного пучка, определяло локальность анализа. При формировании аналитического сигнала использовался диапазон энергий вторичных ионов 75–125 эВ, для чего на образец, находящийся под базовым потенциалом в 4500 В, подавалось смещение –100 В, а энергетическая щель ограничивалась величиной 50 эВ. Изменение потенциала анализируемой области, связанное с зарядкой образца под действием ионной бомбардировки, корректировалось за счет использования специальной процедуры автоподстройки потенциала образца. Масс-спектральное разрешение составляло M/ΔM = 500.
Выбранная для анализа область в течение двух–трех минут подвергалась распылению пучком, развернутым в растр 30 × 30 мкм, так что от проводящей пленки освобождалась площадка размерами приблизительно 50 × 50 мкм, при этом также производилось удаление слоя поверхностных загрязнений. Измерение производилось в виде пяти циклов накопления сигнала с дискретным переключением масс-пиков в пределах заданного набора. Время накопления изменялось в зависимости от интенсивности сигнала и задавалось автоматически посредством контроля статистики. Максимальное время накопления для каждого компонента не превышало 30 с за один цикл.
Абсолютные концентрации для каждого элемента вычислялись на основе измеренных интенсивностей положительных атомарных вторичных ионов, нормированных на интенсивность вторичных ионов 30Si+, с использованием коэффициентов относительной чувствительности (КОЧ): Ci = = Ii/I30Si × Ki. Калибровочные зависимости получены экспериментально для наборов (7–13) известных, хорошо аттестованных стандартных образцов (Jochum et al., 2000).
Сигналы 153Eu+, 174Yb+, 158Gd+ и 167Er+ очищались от интерферирующих молекулярных ионов оксидов Ba и более легких РЗЭ с использованием схем вычитания, предложенных в (Bottazzi et al., 1994). Вклад 143Nd16O+ учитывался при определении 159Tb+. Величина сигнала NdO находится в стандартной схеме обработки сигналов Yb и Gd. Для коррекции 165Ho+ интенсивность 149Sm16O+ вычислялась на основании измеренной интенсивности 149Sm+ умножением на соответствующий коэффициент. Значение 149Sm16O+/149Sm+ = 0.2 было найдено экспериментально с использованием набора стандартных образцов (Jochum et al., 2000) на основании измерения интенсивностей 149Sm+ и интенсивностей масс-пиков в диапазоне 166–170 а.е.м., на который приходятся изотопы эрбия и оксида самария.
Погрешности определения концентраций микропримесей условно следующие: 5–15% для концентраций >1мкг/г и 15–30% в диапазоне концентраций 1–0.1 мкг/г.
ГЕОЛОГИЧЕСКОЕ ОПИСАНИЕ РАЙОНОВ ОПРОБОВАНИЯ ОCЕВОЙ ЗОНЫ САХ
Изученные образцы закалочных стекол были отобраны в шести районах осевой зоны САХ, расположенных в пределах ее простирания между 12° и 30° с.ш. (табл. 1, рис. 1). Cогласно работам (Hemond et al., 2006; Sokolov et al., 2020), эти районы характеризуются различным строением разреза океанической коры и по преобладающему типу слагающих пород могут быть подразделены на две главные группы. Одна из них включает сегменты САХ, в строении которых преобладают базальты (30°–31° с.ш., 26о с.ш., 16°–18° с.ш.). К другой группе относятся сегменты, в пределах которых распространены обнажения серпентинитов с подчиненными телами габброидов (20°–21° с.ш., 14°–15° с.ш., 12°–14° с.ш.).
Таблица 1.
Районы опробования, в которых были получены изученные закалочные стекла, и их геологическое положение
| Номер образца | Судно и номер рейса | Район отбора образца | Ближайшее гидротермальное поле |
Северная широта | Западная долгота | Глубина, м |
|---|---|---|---|---|---|---|
| 16ABP7-8 | “Академик Борис Петров”, 16 | ОПРД | Брокен Спур (29) | 30.58 | 41.88 | 3470–3319 |
| 64gl | “Профессор Логачев”, 6 | РД | ТАГ (26) | 26.06 | 44.85 | * |
| 14-3/1gl | “Профессор Логачев”, 6 | РД | ТАГ (26) | 26.14 | 44.81 | * |
| 36L12D-3 | “Профессор Логачев”, 36 | ВБРД | Сюрприз (20.75) | 20.76 | 45.64 | 2915–2826 |
| 36L29D-4 | “Профессор Логачев”, 36 | ВБРД | Сюрприз (20.75) | 20.59 | 45.79 | 3153–3041 |
| 36L40D-3 | “Профессор Логачев”, 36 | ЗБРД | Зенит-Виктория (20.13) | 20.14 | 45.75 | 2458–2337 |
| 36L44D-3 | “Профессор Логачев”, 36 | ЗБРД | Зенит-Виктория (20.13) | 20.14 | 45.73 | 2970–2706 |
| 36L46D-2 | “Профессор Логачев”, 36 | ВБРД | Юбилейное (20.15) | 20.15 | 45.62 | 2739–2510 |
| 36L233D-1 | “Профессор Логачев”, 36 | ВБРД | 17.90 | 46.58 | 3350–3000 | |
| 36L235D-1 | “Профессор Логачев”. 36 | ВБРД | 17.94 | 46.61 | 3201–3180 | |
| 16ABP54gl | “Академик Борис Петров”, 16 | ЗБРД | 15.42 | 46.68 | 4186–3700 | |
| 16ABP65-34 | “Академик Борис Петров”, 16 | ЗБРД | 15.04 | 44.95 | 3699–3518 | |
| 16ABP67-7 | “Академик Борис Петров”, 16 | ЗБРД | Логачев (14.75) | 14.86 | 45.03 | 3813–3562 |
| 16ABP67-9 | “Академик Борис Петров”, 16 | ЗБРД | Логачев (14.75) | 14.86 | 45.03 | 3813–3562 |
| 16ABP69-10 | “Академик Борис Петров”, 16 | ЗБРД | Логачев (14.75) | 14.76 | 45.10 | 3500–3225 |
| 16ABP69-11 | “Академик Борис Петров”, 16 | ЗБРД | Логачев (14.75) | 14.76 | 45.10 | 3500–3225 |
| 16ABP69-13 | “Академик Борис Петров”, 16 | ЗБРД | Логачев (14.75) | 14.76 | 45.10 | 3500–3225 |
| 16ABP70-31 | “Академик Борис Петров”, 16 | ЗБРД** | 15.08 | 44.98 | 2500–2450 | |
| 16ABP70-32 | “Академик Борис Петров”, 16 | ЗБРД** | 15.08 | 44.98 | 2500–2450 | |
| 16ABP70-34 | “Академик Борис Петров”, 16 | ЗБРД** | 15.08 | 44.98 | 2500–2450 | |
| 16ABP71-13 | “Академик Борис Петров”, 16 | ЗБРД** | 15.08 | 44.95 | 3068–2629 | |
| 2PD44-1 | “Академик Борис Петров”, 2 | ЗБРД | Логачев (14.75) | 14.33 | 45.05 | 3295 |
| 2PD44-3 | “Академик Борис Петров”, 2 | ЗБРД | Логачев (14.75) | 14.33 | 45.05 | 3295 |
| 2PD45 | “Академик Борис Петров”, 2 | ОПРД | Логачев (14.75) | 14.50 | 44.83 | 3850 |
| 2PD43-3 | “Академик Борис Петров”, 2 | ОПРД | Семенов (13.50) | 13.77 | 45.03 | 3510 |
Примечание. РД – рифтовая долина, ВБРД – восточный борт рифтовой долины, ЗБРД – западный борт рифтовой долины, ОПРД – осевое поднятие в рифтовой долине, НТР – нетрансформная разломная зона. * Данные отсутствуют; **образцы были отобраны на внутреннем угловом поднятии, расположенном на пересечении рифтовой долины с разломом “15°20ʹ”. В скобках c обозначением соседствующего гидротермального поля указаны его координаты – широта северная. Все координаты приведены в децимальном масштабе.
Район рифтовой долины, ограниченный 30°–31° с.ш., расположен к югу от разломной зоны Петров. Закалочные стекла, полученные здесь, были драгированы на осевом поднятии внутри рифтовой долины. Судя по данным, приведенным в (Klitgord et al., 1993), дно рифтовой долины в этом районе сложено свежими пиллоу-базальтами с неизмененными закалочными стеклами, которые, в соответствии с их расположением, относятся к наиболее молодым проявлениям базальтового магматизма рифтовой долины (так называемым “zero age MORB”). К югу от района опробования океанического ложа, где были получены изученные закалочные стекла, находится гидротермальное поле Брокен Спур, которое связано с активным вулканическим центром на осевом поднятии в рифтовой долине САХ на 29°10ʹ с.ш. (Murton et al., 1995).
В сегменте осевой зоны САХ на 26° с.ш. находится хорошо изученное гидротермальное поле TAG, расположенное в восточном борту рифтовой долины, сложенном базальтами и характеризующимся резкой морфологической асимметрией и сильно расчлененным рельефом (Rona et al., 1993). В работах (Rona et al., 1980; Humphris et al., 2015) приводятся данные, свидетельствующие о широко проявленных в районе гидротермального поля TAG признаков гидротермального преобразования базальтового субстрата: в базальтоидах, распространенных здесь, установлены минеральные ассоциации зеленосланцевой и цеолитовой фаций.
В сегментах САХ, расположенных между 20° и 21°, в строении корового разреза участвуют как базальты, так и ультраосновные породы и габброиды (Casey, 1997; Dick et al., 2010). В (Силантьев и др., 2015) представлены данные, позволяющие предполагать присутствие в этом районе под осевой зоной САХ малоглубинных магматических камер, служащих основным источником тепла для инициирования активной гидротермальной системы. В ходе проведения рейсов НИС “Профессор Логачев” в этом отрезке осевой зоны САХ, в бортах рифтовой долины были обнаружены гидротермальные поля Сюрприз (20°45.4ʹ с.ш.), Юбилейное (20°09′ с.ш.) и Зенит–Виктория (20°08′ с.ш.). Поле Сюрприз расположено в восточном борту рифтовой долины на склоне вулканического поднятия (Бельтенев и др., 2017). В строении борта рифтовой долины, на котором расположено поле Юбилейное, согласно (Суханова, 2018), принимают участие крупные блоки, сложенные базальтами. В районе расположения гидротермального поля Зенит–Виктория установлены признаки высокой тектонической активности, проявленные в особенностях подводного рельефа (Суханова, 2018). Это гидротермальное поле находится в пределах вулканического поднятия в рифтовой долине (Cherkashov et al., 2010).
Осевая зона САХ между 16° и 18° с.ш. до настоящего времени слабо изучена. На этом отрезке хребта в строении его осевой зоны резко преобладают базальты; в то время как к северу от этого района, между 19° и 20° с.ш., базальты и перидотиты распространены примерно в равной пропорции (Силантьев и др., 2015). К югу от района, где были получены изученные закалочные стекла, в 37-ом рейсе НИС “Профессор Логачев” был обнаружен и опробован крупный гидротермальный узел Победа, расположенный в восточном борту рифтовой долины, сложенный плутоническими породами, образующими внутренний океанический комплекс (Бельтенев и др., 2016; Maslennikov et al., 2020). Однако в районе драгирования, откуда были получены имеющиеся образцы, судя по поднятому в драгах материалу, распространены свежие пиллоу базальты с обильными корками закалочных стекол. К югу от рудного узла Победа на 16°38ʹ с.ш. находится неактивное гидротермальное поле Краснов. Это рудопроявление, являющееся крупнейшим из известных в настоящее время в САХ, приурочено к интенсивно деформированному блоку океанической коры, сложенному брекчированными базальтами. Поле Краснов расположено к востоку от осевого поднятия в гребневой части восточного борта рифтовой долины (Bel’tenev et al., 2004).
Район осевой зоны САХ, заключенный между 14°–15° с.ш, является одной из наиболее изученных акваторий Центральной Атлантики, которая включает крупный трансформный разлом “15°20ʹ” (Зеленого мыса), смещающий рифтовую долину хребта почти на 200 км. В тальвеге разлома и в примыкающих к нему с юга и севера сегментах САХ широко распространены серпентиниты и их брекчии. В этом районе проявления базальтового магматизма крайне редки, что свидетельствует о несоответствии мощности базальтового слоя, оцененной геохимическими методами, и реального строения океанической коры, характеризующегося здесь резким преобладанием серпентинитов (например, Cannat, Casey, 1995). Данные глубоководного бурения (Shipboard …, 2003) и многочисленных драгирований (Силантьев, 2003) показали, что в обоих бортах рифтовой долины сегментов САХ, примыкающих к разломной зоне с юга и севера, широко распространены абиссальные перидотиты. В осевой зоне САХ между 14°–15° с.ш. располагается резко-градиентная геохимическая аномалия, проявленная в присутствии здесь продуктов базальтового магматизма, сильно обогащенных несовместимыми элементами и относящихся к типичным E-MORB (Bougault et al., 1988; Dosso et al., 1991). В рассматриваемой акватории, на 14°45ʹ с.ш., находится крупное гидротермальное поле Логачев, расположенное на краевом уступе восточного борта рифтовой долины, сложенном серпентинитами.
В 200 км к югу от гидротермального поля Логачев располагается гидротермальное поле Ашадзе (12°59′ с.ш.), которое вместе с гидротермальным полем Семенов, лежащем несколько севернее (13°30′ с.ш.), и полем Логачев образует крупнейший гидротермальный кластер САХ. Гидротермальное поле Ашадзе расположено в западном борту рифтовой долины, в строении которого базальты играют подчиненную роль, а преобладают серпентиниты и габбро (Shipboard …, 2007). Гидротермальное поле Семенов, как и поле Ашадзе, расположено в западном борту рифтовой долины, сложенном ассоциацией пород, типичной для внутренних океанических комплексов: серпентиниты, габброиды, плагиограниты и подчиненные базальты и долериты (Melekestsova et al., 2018). Вблизи от гидротермального поля Семенов, в осевом поднятии рифтовой долины на 13°46′ с.ш., во 2-ом рейсе НИС “Академик Борис Петров” были драгированы знаменитые “popping rocks” – сильно пористые базальты с обильными газовыми включениями в стекловатом матриксе (Sarda, Graham, 1990).
ГЕОХИМИЯ ИЗУЧЕННЫХ ЗАКАЛОЧНЫХ СТЕКОЛ ОСЕВОЙ ЗОНЫ САХ
О содержании главных элементов в изученных закалочных стеклах можно судить по данным, приведенным в табл. 2. В общепринятой классификации геохимических типов MORB в качестве индикаторного параметра обычно используется величина K2O/TiO2, которая позволяет выделять два главных семейства толеитовых базальтов океанических центров спрединга: N-MORB (деплетированные) и E-MORB (обогащенные) (например, Wilson, 1989; Дмитриев, 1998). Базальты, характеризующиеся промежуточными между N-MORB и E-MORB составами, в некоторых работах принято обозначать как T-MORB (переходные MORB) (например, Schilling et al., 1983; Eason, Sinton, 2006). MORB, обнаруживающие очень низкие значения K2O/TiO2 ≤ 0.05, относятся к наиболее деплетированным разновидностям базальтов срединно-океанических хребтов – D-MORB (Shimizu et al., 2016). Вариации состава закалочных стекол, отображенные на рис. 2, демонстрируют, что изученные образцы соответствуют всему спектру геохимических типов MORB и включают закалочные стекла, образованные при различных степенях фракционирования толеитовых расплавов. Линия на рис. 2, разграничивающая поля составов N‑MORB и E-MORB, приведена c использованием данных из (Wilson, 1989; Дмитриев и др., 2006).
Таблица 2.
Содержание главных элементов в изученных закалочных стеклах
| Номер образца | SiO2 | TiO2 | Al2O3 | FeO* | MnO | MgO | CaO | Na2O | K2O | Сумма |
|---|---|---|---|---|---|---|---|---|---|---|
| 16ABP7-8 | 50.90 | 1.56 | 14.47 | 9.55 | 0.13 | 9.27 | 10.85 | 2.16 | 0.55 | 99.43 |
| 64gl | 51.23 | 1.56 | 15.13 | 9.63 | 0.17 | 8.63 | 11.44 | 3.13 | 0.13 | 101.04 |
| 14-3/1gl | 50.79 | 1.40 | 15.60 | 9.45 | 0.16 | 9.15 | 11.77 | 3.21 | 0.11 | 101.62 |
| 36 L12D-3 | 50.21 | 1.56 | 15.76 | 9.77 | 0.18 | 8.59 | 11.76 | 3.36 | 0.13 | 101.32 |
| 36 L16D-3 | 50.28 | 1.20 | 15.34 | 9.31 | 0.16 | 9.77 | 12.27 | 2.56 | 0.09 | 100.98 |
| 36 L29D-4 | 51.03 | 1.51 | 15.11 | 9.30 | 0.15 | 9.10 | 11.72 | 3.12 | 0.14 | 101.17 |
| 36 L40D-3 | 50.89 | 1.43 | 14.99 | 9.63 | 0.16 | 8.32 | 12.42 | 3.01 | 0.11 | 100.96 |
| 36 L44D-3 | 50.62 | 1.69 | 15.21 | 9.75 | 0.18 | 7.99 | 11.84 | 3.40 | 0.11 | 100.80 |
| 36 L46D-2 | 50.58 | 1.58 | 15.17 | 9.71 | 0.17 | 8.21 | 12.09 | 3.20 | 0.10 | 100.81 |
| 36 L233D-1 | 50.26 | 1.50 | 15.07 | 10.06 | 0.21 | 9.18 | 11.47 | 3.04 | 0.19 | 100.98 |
| 36 L235D-1 | 50.76 | 2.08 | 14.04 | 11.73 | 0.17 | 8.18 | 10.97 | 3.24 | 0.13 | 101.31 |
| 16ABP54 gl | 52.05 | 1.72 | 14.51 | 10.19 | 0.23 | 7.39 | 11.03 | 3.38 | 0.28 | 100.79 |
| 16ABP70-31 | 52.09 | 1.60 | 15.01 | 9.03 | 0.19 | 7.80 | 11.45 | 3.00 | 0.48 | 100.65 |
| 16ABP71-13 | 51.10 | 1.09 | 15.13 | 9.38 | 0.10 | 9.30 | 12.31 | 2.48 | 0.20 | 101.09 |
| 16ABP67-9 | 51.95 | 1.59 | 14.48 | 9.09 | 0.15 | 8.99 | 11.17 | 2.47 | 0.54 | 100.42 |
| 16ABP70-32 | 51.35 | 1.51 | 15.04 | 9.39 | 0.17 | 7.24 | 11.30 | 2.93 | 0.46 | 99.39 |
| 16ABP65-34 | 51.15 | 1.32 | 14.98 | 9.18 | 0.19 | 8.71 | 11.52 | 2.68 | 0.42 | 100.16 |
| 16ABP69-13 | 50.87 | 1.11 | 15.29 | 9.32 | 0.17 | 8.97 | 12.43 | 2.51 | 0.22 | 100.88 |
| 16ABP69-11 | 50.57 | 1.09 | 15.11 | 9.34 | 0.21 | 9.27 | 12.27 | 2.51 | 0.23 | 100.59 |
| 16ABP 69-10 | 50.05 | 1.01 | 15.30 | 9.56 | 0.20 | 9.02 | 12.36 | 2.19 | 0.21 | 99.91 |
| 16ABP70-34 | 50.93 | 1.49 | 14.93 | 9.17 | 0.22 | 7.79 | 11.32 | 2.93 | 0.49 | 99.28 |
| 16ABP 67-7 | 51.43 | 1.27 | 14.87 | 9.60 | 0.18 | 7.86 | 11.90 | 2.73 | 0.32 | 100.16 |
| 2PD44-1 | 50.16 | 1.59 | 15.32 | 11.00 | 0.23 | 6.92 | 11.18 | 3.03 | 0.55 | 99.98 |
| 2PD44-3 | 51.01 | 1.90 | 14.48 | 10.62 | 0.13 | 6.54 | 10.81 | 3.17 | 0.59 | 99.25 |
| 2PD45 | 51.11 | 1.65 | 14.57 | 9.85 | 0.19 | 7.57 | 10.97 | 2.99 | 0.53 | 99.43 |
| 2PD40-2 | 49.89 | 1.79 | 14.75 | 10.62 | 0.12 | 8.53 | 11.77 | 2.94 | 0.05 | 100.47 |
| 2PD43-3 | 50.65 | 1.60 | 14.80 | 9.85 | 0.14 | 8.08 | 10.92 | 3.26 | 0.26 | 99.55 |
Рис. 2.
Вариации MgO и K2O/TiO2 в изученных закалочных стеклах (определялись на электронном микроанализаторе). Голубые крестики соответствуют составам, заимствованным из (RIDGE …, 1999). Красным цветом обозначены точки составов изученных закалочных стекол, добытых в районах рифтовой долины, в строении разреза которых резко доминируют базальты. Зеленым цветом показаны составы закалочных стекол из районов осевой зоны САХ, в строении корового разреза которых преобладают серпентиниты. Составы N-MORB и E-MORB, обозначенные крупными синими звездочками, приведены по (Wilson, 1989).

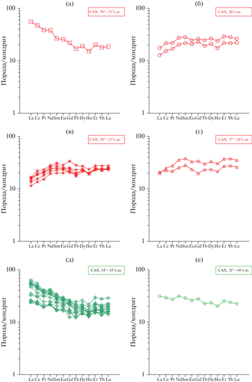
Данные о содержании редкоземельных элементов, приведенные в табл. 3, свидетельствуют о том, что образцы закалочных стекол, отобранные в рифтовой долине САХ между 12° и 31° с.ш., относятся к двум главным группам, к одной из которых принадлежат закалочные стекла с (La/Sm)cn ≤ 1, в то время как другая группа включает образцы, в которых (La/Sm)cn ≥ 1. Как следует из рис. 3 и 4, практически все образцы закалочных стекол, в которых установлены признаки обогащения ЛРЗЭ, получены в сегментах САХ, заключенных между 12° и 15° с.ш. Исключением является обр. 16ABP7-8, который, как было указано выше, драгирован в осевом поднятии внутри рифтовой долины. Точки составов закалочных стекол с (La/Sm)cn ≥ 1, попадающие в интервал значений K2O/TiO2, равный 0.2–0.3, обозначены на рис. 4 как представители T-MORB, образование которых может отражать процессы фракционирования или смешения родительских расплавов. Образцы с (La/Sm)cn ≥ 1, в которых K2O/TiO2 ≥ 0.3, образуют на рис. 4 компактную группу составов, соответствующую типичным E-MORB. Все закалочные стекла, полученные из сегментов, расположенных между 15° и 31° с.ш., обнаруживают (La/Sm)cn ≤ 1 и демонстрируют характер распределения содержаний РЗЭ, нормированных к хондриту, свойственный N-MORB (рис. 4).
Таблица 3.
Содержание редкоземельных элементов в изученных закалочных стеклах
| Номер образца | La | Ce | Pr | Nd | Sm | Eu | Gd | Tb | Dy | Ho | Er | Yb | Lu |
|---|---|---|---|---|---|---|---|---|---|---|---|---|---|
| 16ABP7-8 | 13.09 | 28.93 | 3.67 | 17.84 | 4.10 | 1.50 | 4.52 | 0.63 | 4.87 | 0.86 | 3.36 | 3.07 | 0.47 |
| 64gl | 4.30 | 13.67 | 2.14 | 13.15 | 4.42 | 1.47 | 5.56 | 0.94 | 6.98 | 1.40 | 4.98 | 4.92 | 0.68 |
| 14-3/1gl | 3.12 | 9.71 | 1.66 | 9.83 | 3.44 | 1.24 | 4.92 | 0.73 | 5.49 | 1.03 | 3.77 | 3.80 | 0.57 |
| 36L233D-1 | 4.93 | 13.54 | 2.03 | 11.77 | 4.28 | 1.35 | 4.06 | 0.85 | 5.90 | 1.21 | 4.42 | 4.64 | 0.64 |
| 36L235D-1 | 4.64 | 14.99 | 2.59 | 16.39 | 5.67 | 1.87 | 6.86 | 1.09 | 8.29 | 1.71 | 6.11 | 6.33 | 0.86 |
| 36L12D-3 | 3.72 | 11.09 | 1.90 | 10.82 | 3.77 | 1.38 | 5.12 | 0.71 | 5.75 | 1.06 | 3.95 | 3.75 | 0.60 |
| 36L16D-3 | 2.64 | 8.10 | 1.41 | 8.95 | 3.02 | 1.14 | 4.46 | 0.63 | 5.40 | 1.13 | 4.03 | 4.07 | 0.59 |
| 36L29D-4 | 3.82 | 11.21 | 1.88 | 11.35 | 3.76 | 1.38 | 4.11 | 0.72 | 5.62 | 1.08 | 3.76 | 3.93 | 0.57 |
| 36L40D-3 | 3.13 | 9.33 | 1.68 | 9.95 | 3.42 | 1.33 | 4.47 | 0.69 | 5.77 | 1.08 | 3.79 | 3.83 | 0.61 |
| 36L44D-3 | 3.86 | 13.39 | 2.18 | 12.98 | 4.73 | 1.63 | 6.92 | 1.03 | 6.80 | 1.33 | 4.54 | 4.59 | 0.69 |
| 36L46D-2 | 3.29 | 11.82 | 1.99 | 12.28 | 4.21 | 1.45 | 4.94 | 0.84 | 5.95 | 1.09 | 4.02 | 3.72 | 0.62 |
| 16ABP54gl | 8.17 | 18.98 | 2.94 | 15.83 | 4.34 | 1.66 | 5.02 | 0.89 | 6.43 | 1.20 | 4.77 | 4.60 | 0.71 |
| 16ABP70-31 | 12.11 | 26.30 | 3.45 | 15.98 | 4.28 | 1.42 | 4.54 | 0.58 | 4.44 | 0.83 | 2.91 | 2.75 | 0.45 |
| 16ABP71-13 | 5.68 | 13.91 | 1.80 | 9.69 | 2.49 | 0.94 | 3.31 | 0.44 | 3.68 | 0.71 | 2.59 | 2.30 | 0.40 |
| 16ABP67-9 | 13.13 | 27.15 | 3.50 | 16.91 | 4.21 | 1.47 | 4.22 | 0.60 | 4.61 | 0.82 | 2.67 | 2.95 | 0.43 |
| 16ABP70-32 | 12.64 | 29.11 | 3.66 | 16.87 | 4.74 | 1.68 | 5.28 | 0.76 | 4.97 | 0.93 | 3.60 | 3.40 | 0.52 |
| 16ABP65-34 | 10.94 | 21.86 | 2.88 | 13.56 | 3.66 | 1.30 | 3.48 | 0.53 | 4.24 | 0.84 | 2.74 | 2.76 | 0.39 |
| 16ABP69-13 | 6.05 | 13.49 | 1.78 | 9.97 | 2.52 | 1.02 | 2.49 | 0.46 | 3.65 | 0.72 | 2.47 | 2.53 | 0.35 |
| 16ABP69-11 | 5.92 | 14.80 | 1.94 | 10.19 | 3.06 | 1.10 | 3.12 | 0.53 | 3.63 | 0.76 | 2.44 | 2.60 | 0.39 |
| 16ABP69-10 | 5.47 | 13.24 | 1.81 | 9.81 | 2.63 | 0.96 | 3.02 | 0.46 | 3.57 | 0.74 | 2.50 | 2.26 | 0.39 |
| 16ABP70-34 | 12.01 | 26.14 | 3.23 | 15.59 | 4.07 | 1.25 | 4.76 | 0.67 | 4.50 | 0.85 | 2.82 | 2.68 | 0.45 |
| 16ABP67-7 | 7.59 | 18.23 | 2.28 | 11.24 | 3.49 | 1.18 | 4.59 | 0.56 | 3.97 | 0.81 | 3.03 | 2.71 | 0.34 |
| 2PD44-1 | 13.45 | 29.49 | 3.54 | 18.31 | 4.45 | 1.49 | 5.24 | 0.71 | 4.94 | 0.93 | 3.50 | 3.18 | 0.49 |
| 2PD44-3 | 14.76 | 32.54 | 3.82 | 19.12 | 5.04 | 1.57 | 5.03 | 0.79 | 5.42 | 1.10 | 3.74 | 3.48 | 0.55 |
| 2PD-45 | 13.02 | 28.85 | 3.51 | 18.46 | 4.98 | 1.53 | 4.65 | 0.66 | 5.13 | 0.85 | 3.16 | 3.08 | 0.46 |
| 2PD43-3 | 7.37 | 17.78 | 2.54 | 14.43 | 4.34 | 1.48 | 5.65 | 0.82 | 5.91 | 1.13 | 4.14 | 3.99 | 0.55 |
Рис. 3.
Характер распределения нормализованных к хондриту содержаний РЗЭ (определялись методом SIMS) в изученных закалочных стеклах MORB: (а) – сегмент САХ на 30°–31° с.ш., (б) – сегмент САХ на 26° с.ш., (в) – сегмент САХ на 20°–21° с.ш., (г) – сегмент САХ на 17°–18° с.ш., (д) – сегмент САХ на 14°–15° с.ш., (е) – сегмент САХ на 12°–14° с.ш. Состав хондрита заимствован из (Sun, McDonough, 1989). Условные обозначения см. на рис. 2.

Рис. 4.
Вариации K2O/TiO2 и (La/Sm)cn в изученных закалочных стеклах. В синем контуре расположены точки составов, соответствующие N-MORB; в оранжевом – T-MORB; в сиреневом – E-MORB. Зелеными крестиками показаны вариации состава закалочных стекол из осевой зоны САХ между 13°25′–14° с.ш., представленные в (Pertsev et al., 2021). Залитыми кружками обозначены закалочные стекла из осевой зоны хребта между 12° и 34° с.ш. по (Силантьев и др., 2008): зеленым цветом показаны точки составов образцов, отобранных в “холодных” сегментах; красным – в “горячих”.

Надежными геохимическими индикаторами степени обогащенности толеитовых базальтов являются величины Th/La и Ce/U (например, Halli-day et al., 1995; Shimizu et al., 2016). Как и характер распределения РЗЭ, наблюдаемые в изученных образцах вариации Th/La и Ce/U позволяют прийти к заключению, что все закалочные стекла, полученные в сегментах, в строении которых преобладают базальты, относятся к N-MORB, а в случае обр. 36L46D-2 – к наиболее деплетированным разновидностям N-MORB: D-MORB (табл. 4, рис. 5).
Таблица 4.
Содержание некоторых редких элементов в изученных закалочных стеклах
| Номер образца | Ba | Th | U | Nb | Ta | Pb | Sr | Zr | Hf | Y | Cl* | B | Li | Be |
|---|---|---|---|---|---|---|---|---|---|---|---|---|---|---|
| 16ABP7-8 | 139.89 | 1.19 | 0.39 | 20.41 | 1.40 | 1.32 | 224 | 118 | 4.59 | 24.77 | 250 | 0.99 | 4.277 | 0.76 |
| 64gl | 14.44 | 0.17 | 0.12 | 3.43 | 0.83 | 0.91 | 131 | 112 | 4.99 | 38.09 | 50 | 1.11 | 5.188 | 0.56 |
| 14-3/1gl | 11.04 | 0.13 | 0.07 | 2.85 | 0.65 | 0.74 | 124 | 80 | 3.79 | 30.48 | 60 | 0.79 | 4.669 | 0.46 |
| 36L12D-3 | 15.76 | 0.17 | 0.09 | 3.01 | 0.73 | 0.48 | 148 | 90 | 4.12 | 32.33 | 40 | 0.86 | 4.763 | 0.52 |
| 36L16D-3 | 9.14 | 0.11 | 0.05 | 2.13 | 0.68 | 0.44 | 97 | 67 | 3.71 | 31.21 | 40 | 0.57 | 4.102 | 0.32 |
| 36L29D-4 | 15.66 | 0.21 | 0.07 | 3.71 | 0.72 | 0.47 | 123 | 89 | 4.20 | 31.76 | 50 | 0.79 | 4.561 | 0.47 |
| 36L40D-3 | 8.81 | 0.15 | 0.11 | 2.42 | 0.72 | 0.79 | 115 | 81 | 4.06 | 31.73 | 40 | 0.72 | 4.713 | 0.41 |
| 36L44D-3 | 13.03 | 0.17 | 0.08 | 3.04 | 0.87 | 0.75 | 144 | 114 | 5.12 | 37.21 | 30 | 0.93 | 5.405 | 0.53 |
| 36L46D-2 | 10.60 | 0.09 | 0.06 | 3.07 | 0.78 | 0.55 | 160 | 90 | 4.23 | 32.67 | 40 | 0.85 | 4.850 | 0.47 |
| 36L233D-1 | 33.50 | 0.22 | 0.10 | 5.60 | 0.86 | 0.63 | 142 | 95 | 4.72 | 34.53 | 80 | 0.78 | 4.977 | 0.50 |
| 36L235D-1 | 12.35 | 0.19 | 0.07 | 3.46 | 1.05 | 1.28 | 117 | 134 | 6.27 | 48.66 | 40 | 1.15 | 6.634 | 0.61 |
| 16ABP54gl | 69.25 | 0.54 | 0.18 | 10.76 | 1.18 | 1.13 | 160 | 121 | 5.21 | 37.71 | 130 | 1.11 | 5.877 | 0.70 |
| 16ABP70-31 | 121.83 | 1.13 | 0.40 | 18.39 | 1.14 | 0.99 | 216 | 109 | 3.97 | 23.92 | 230 | 0.98 | 4.166 | 0.75 |
| 16ABP71-13 | 53.54 | 0.50 | 0.18 | 7.62 | 0.70 | 0.42 | 149 | 65 | 3.19 | 18.80 | 90 | 0.61 | 3.232 | 0.42 |
| 16ABP67-9 | 126.77 | 1.25 | 0.41 | 20.38 | 1.19 | 1.22 | 212 | 115 | 4.56 | 24.70 | 190 | 0.98 | 3.953 | 0.76 |
| 16ABP70-32 | 127.23 | 1.14 | 0.31 | 18.71 | 1.28 | 1.12 | 222 | 120 | 4.31 | 26.54 | 230 | 1.01 | 4.338 | 0.73 |
| 16ABP65-34 | 126.02 | 0.92 | 0.32 | 16.66 | 1.25 | 1.13 | 197 | 92 | 3.33 | 22.93 | 220 | 0.83 | 3.893 | 0.60 |
| 16ABP69-13 | 54.39 | 0.47 | 0.11 | 7.82 | 0.70 | 0.58 | 148 | 64 | 2.99 | 20.61 | 110 | 0.63 | 3.292 | 0.42 |
| 16ABP69-11 | 55.38 | 0.57 | 0.19 | 8.08 | 0.75 | 0.59 | 155 | 66 | 2.70 | 20.28 | 100 | 0.64 | 3.397 | 0.43 |
| 16ABP69-10 | 52.37 | 0.51 | 0.16 | 7.82 | 0.60 | 0.46 | 148 | 61 | 2.71 | 19.58 | 100 | 0.61 | 3.319 | 0.40 |
| 16ABP70-34 | 116.86 | 1.07 | 0.38 | 18.13 | 1.11 | 1.03 | 207 | 109 | 3.96 | 23.62 | 240 | 0.98 | 4.185 | 0.71 |
| 16ABP67-7 | 81.47 | 0.80 | 0.25 | 11.06 | 0.81 | 0.59 | 167 | 83 | 3.24 | 21.61 | 150 | 0.81 | 4.112 | 0.53 |
| 2PD 44-1 | 152.07 | 1.12 | 0.45 | 21.70 | 1.38 | 0.91 | 238 | 117 | 4.48 | 26.30 | 210 | 0.90 | 4.242 | 0.75 |
| 2PD44-3 | 170.51 | 1.49 | 0.49 | 25.05 | 1.49 | 1.25 | 255 | 127 | 5.06 | 28.50 | 310 | 0.99 | 5.099 | 0.84 |
| 2PD45 | 139.19 | 1.34 | 0.37 | 20.77 | 1.32 | 1.19 | 218 | 122 | 4.79 | 26.13 | 290 | 0.99 | 4.512 | 0.77 |
| 2PD43-3 | 61.55 | 0.56 | 0.17 | 10.40 | 0.91 | 0.87 | 161 | 109 | 4.62 | 31.79 | 150 | 1.05 | 5.530 | 0.62 |
Рис. 5.
Вариации Ce/U и Th/La в изученных закалочных стеклах (определялись методом SIMS). Области значений Th/La, характерные для E-MORB, N-MORB и D-MORB, показаны по (Shimizu et al., 2016). Условные обозначения см. на рис. 4.

Поведение стронция в процессах образования базальтового субстрата океанической коры характеризуется двумя главными трендами: один определяется фракционной кристаллизацией родительского расплава (например, Winter, 2001); другой тренд связан с низкотемпературным преобразованием базальтов, включающим палагонитизацию их закалочных стекол (например, Verma, 1992). Характер вариаций содержаний Sr, MgO и K2O/TiO2, отображенных на рис. 6, свидетельствует о том, что в закалочных стеклах, относящиеся к N-MORB, наблюдается увеличение содержания Sr без заметного изменения значений K2O/TiO2 (рис. 6а). Такое поведение стронция может отражать эффект образования в закалочном стекле кристаллитов плагиоклаза, как это, например, установлено в обр. 14-3/1gl (рис. 7б). В некоторых образцах закалочных стекол с характеристиками N-MORB (обр. 36L235D-1) обнаружены также кристаллиты оливина (рис. 7а). В этой связи представляется закономерным, что образец с кристаллитами плагиоклаза обнаруживает более высокие содержания CaO и Al2O3 по сравнению с образцом, в котором присутствуют кристаллиты оливина. Приведенные данные позволяют предполагать, что тренды изменения содержания стронция в изученных стеклах преимущественно связаны с фракционной кристаллизацией родительских для них расплавов. Это подтверждает также характер ковариаций между содержаниями Sr и MgO (рис. 6б).
Рис. 6.
Вариации Sr и K2O/TiO2 (а) и Sr и MgO (б) в изученных закалочных стеклах MORB. Условные обозначения см. на рис. 4.

Рис. 7.
Кристаллиты оливина (а) и плагиоклаза (б) в закалочных стеклах N-MORB (обр. 36L235D-1 и обр. 14-3/1gl, соответственно). Изображения получены с помощью сканирующего электронного микроскопа.

В закалочных стеклах семейства E-MORB увеличение содержания Sr при существенно более высоких его концентрациях (≥200 г/т) также происходит в достаточно узком интервале значений K2O/TiO2, сильно превосходящих значения этого параметра в стеклах группы N-MORB. В целом приведенные в табл. 4 данные по содержанию Sr в изученных закалочных стеклах соответствуют оценкам содержания этого элемента в различных геохимических типах MORB (например, Su, 2002; Arevalo, McDonough, 2010).
При изучении закалочных стекол с помощью сканирующего электронного микроскопа минералогических признаков их низкотемпературного изменения обнаружено не было. Однако ранее в некоторых работах приводились данные, свидетельствующие о признаках контаминации родительских расплавов MORB летучими компонентами морского или атмосферного происхождения в условиях магматической камеры (Buikin et al., 2022) или при их закалке во время излияния на поверхность морского дна (Broadley et al., 2017). Для оценки возможного влияния подобной контаминации на состав закалочных стекол из рассмотренных сегментов САХ были использованы данные о содержаниях в них Cl и U (табл. 4), наиболее подвижных элементов в процессе взаимодействия субстрата океанической коры с морской водой и ее гидротермальными дериватами (Verma, 1992; Clog et al., 2013). Отсутствие в образцах из сегментов САХ, сложенных преимущественно базальтами, корреляции содержаний Cl и U с концентрацией Sr может свидетельствовать, о том, что содержания хлора и урана в стеклах состава N‑MORB не обнаруживают значительных вариаций и не зависят от процесса фракционирования родительского расплава (рис. 8а – Cl и рис. 8б – U). Рассматривая характер ковариации содержаний Cl, U и MgO в закалочных стеклах, отобранных в базальтовых сегментах САХ, также можно прийти к заключению, что в изученных образцах хлор не фракционирует в ходе эволюции родительского расплава и его концентрация остается на уровне содержания Cl, характерного для деплетированных MORB (например, Michael, Cornell, 1998) (рис. 9а). Уран в образцах стекол, добытых в базальтовых сегментах САХ, характеризуется таким же поведением, как и Cl (рис. 9б) и обнаруживает узкий интервал концентраций в пределах, свойственных N-MORB и указанных, например, в (Arevalo, McDonough, 2010).
Рис. 8.
Вариации содержаний Сl (определены методом EPMA) и Sr (а), а также U и Sr (определялись методом SIMS) (б) в изученных закалочных стеклах MORB. Условные обозначения см. на рис. 4.

В противоположность этому, в закалочных стеклах из сегментов САХ, где распространены серпентиниты, установлены широкие вариации содержаний Cl и U и их положительная корреляция с концентрацией Sr. Следует заметить, что поскольку уран и стронций характеризуются резко различающимися коэффициентами распределения минерал/расплав (Sun et al., 2017), тренд, наблюдаемый на рис. 8б для составов стекол из этих сегментов САХ, не связан с эффектом фракционной кристаллизации и, возможно, отражает контаминацию расплава гидротермальным флюидом – дериватом морской воды. Точки состава закалочных стекол группы E-MORB, добытых из серпентинитовых сегментов САХ, на рис. 9 занимают гораздо более обширное поле, по сравнению с составами закалочных стекол N-MORB, и существенно превосходят их по содержаниям Cl и U. Четко выраженная на рис. 10 положительная корреляция между содержаниями Cl и U в обогащенных закалочных стеклах, так же как и U-Sr тренд, свойственный тем же образцам на рис. 8б, возможно, отражает контаминацию родительских расплавов MORB компонентами морского происхождения.
Рис. 10.
Вариации содержаний Сl и U в изученных закалочных стеклах MORB. Условные обозначения см. на рис. 4.

ПРИРОДА ГЕОХИМИЧЕСКИХ ТРЕНДОВ ЭВОЛЮЦИИ СОСТАВА ЗАКАЛОЧНЫХ СТЕКОЛ САХ
Если рассматривать приведенные выше данные в контексте существующих сведений о строении и составе литосферы осевой зоны САХ между 12° и 30° с.ш., можно прийти к заключению, что практически все закалочные стекла, относящиеся к семейству E-MORB, были добыты в “холодных” сегментах САХ, коровый разрез которых сложен преимущественно серпентинитами (рис. 11). В то же время стекла типа N-MORB из изученной коллекции отобраны преимущественно в “горячих” сегментах САХ, в строении которых преобладают базальты. Следует подчеркнуть, что в некоторых районах осевой зоны САХ тесно ассоциируют все известные в настоящее время геохимические типы MORB. Этот феномен отражает фундаментальную особенность САХ, которая проявлена в двух типах его геохимической сегментации: крупномасштабной и мелкомасштабной. Первый тип отражает тепловое и, соответственно, реологическое состояние мантийного субстрата, генерирующего расплавы родительские для MORB. Мелкомасштабная сегментация связана с процессами, протекающими внутри корового разреза осевой зоны САХ, и связанными с взаимодействием магматических и гидротермальных систем. Именно такого рода процессы, возможно, могут обеспечивать возникновение в базальтах рифтовой долины САХ геохимических характеристик, которые во многих работах интерпретируются как следствие рециклинга (например, Hemond et al., 2006).
Рис. 11.
Характер распределения вдоль оси САХ между 10° и 40° с.ш. величины K2O/TiO2 в закалочных стеклах MORB. Голубые крестики соответствуют составам, заимствованным из (RIDGE …, 1999). Красным цветом и его оттенками обозначены районы осевой зоны САХ, в которых расположены гидротермальные поля, связанные с базальтовым субстратом и точки составов изученных закалочных стекол, добытых в этих районах. Зеленым цветом показаны районы гидротермальных полей, ассоциирующих с серпентинитами и составы изученных закалочных стекол из этих акваторий. Зеленые тонкие крестики – составы закалочных стекол, представленные в (Pertsev et al., 2021). Сиреневые крестики – составы закалочных стекол, представленные в (Силантьев и др., 2008).

В ходе серпентинизации ультраосновной субстрат океанической коры усваивает из флюида морского происхождения значительные количества хлора, стронция и урана (Силантьев, 2003; Sharp, Barnes, 2004). Об уровне вариации содержаний Sr и U в серпентинитах, ассоциирующих с закалочными стеклами, добытых между 12° и 15° с.ш., можно судить по рис. 12. Характер трендов распределения содержаний Cl и U в обогащенных закалочных стеклах, представленных на рис. 8–10, возможно, отражает специфику состава ассоциирующих серпентинитов, которые являются преобладающим типом пород в этих сегментах, а проявления базальтового магматизма здесь крайне редки. Свидетельства участия in situ гидротермального компонента в эволюции магматического расплава, родительского для MORB рифтовой долины САХ, ранее были приведены в работах (Kendrick et al., 2012; Stroncik, Niedermann, 2016; Buikin et al., 2022). На рис. 13 наглядно представлен характер распределения содержания хлора в закалочных стеклах МORB из сегментов САХ, заключенных между 10° и 40° с.ш. Очевидна приуроченность закалочных стекол с высоким содержанием хлора к районам осевой зоны хребта, сложенным серпентинитами, в которых расположены так называемые “serpentinite hosted” гидротермальные поля. В противоположность стеклам, относящимся к группе E-MORB, образцы деплетированных закалочных стекол (N-MORB), как следует из рис. 11 и 13, расположены в базальтовых сегментах осевой зоны САХ, к которым приурочены гидротермальные поля, ассоциирующие с базальтами (“basalt hosted”). Судя по приведенным выше данным, признаки внутрикоровой контаминации в стеклах этой группы отсутствуют.
Рис. 12.
Вариации содержаний U и Sr в изученных закалочных стеклах MORB и в ассоциирующих с ними серпентинитах из сегментов САХ, заключенных между 12о и 15о с.ш. Состав серпентинитов заимствован из (Силантьев и др., 2011).

Рис. 13.
Вариации вдоль оси САХ между 10° и 40° с.ш. содержания Cl в закалочных стеклах MORB. Условные обозначения см. на рис. 2 и 4.

Несмотря на то, что геохимические особенности закалочного стекла, представленного обр. 16ABP7-8, свидетельствуют о его бесспорной принадлежности к семейству E-MORB, этот образец был драгирован с осевого вулканического поднятия в рифтовой долине, а сведения о присутствии в этом районе обнажений серпентинитов отсутствуют.
Как видно на рис. 11 и 13, станция драгирования, на которой был получен этот образец, находится в 60 милях к северу от крупного гидротермального поля Брокен Спур. В пределах этого поля фиксируются геохимические признаки активного взаимодействия высокотемпературного гидротермального флюида с базальтовым субстратом рифтовой долины (James et al., 1995). Нельзя исключать, что проявления активной гидротермальной циркуляции прослеживаются и к северу от этого поля. Возможно, высокое содержание хлора и урана в этом закалочном стекле является результатом контаминации его родительского расплава компонентами гидротермального флюида морского происхождения. Ранее подобный механизм контаминации был предложен при интерпретации данных о содержаниях H2O, Cl, а также изотопного состава и элементных соотношений He-Ar-N-C(CO2) в закалочных стеклах, полученных в осевой зоне САХ на 16°09ʹ с.ш. вблизи гидротермального поля Краснов (Buikin et al., 2022). Следует заметить, что высокое содержание хлора в закалочных стеклах навряд ли отражает геохимическую специфику расплавов, родительских для E-MORB. В работе (Urann et al., 2017) приводятся аргументы в пользу мнения, что существующие оценки содержания Cl в резервуаре DMM завышены и нуждаются в переоценке, в то время как содержание Cl в MORB почти всегда связано с некоторой контаминацией MORB материалом, обогащенным морской водой или ее дериватами.
Выше была отмечена приуроченность закалочных стекол семейства E-MORB к “холодным” сегментам САХ, в строении которых преобладают серпентиниты. Эта закономерность позволяет по-новому взглянуть на проблему происхождения E-MORB в некоторых районах САХ. В настоящее время, благодаря многочисленным находкам в продуктах магматизма гребневой зоны САХ цирконов с древним возрастом, в ряде работ высказывается предположение об участии в магматизме рифтовой долины САХ реликтов древней континентальной литосферы, сохранившихся под осевой зоной хребта и вовлекающихся в процесс частичного плавления малоглубинной мантии (Бортников и др., 2022). Существуют также геохимические и петрологические свидетельства присутствия в акваториях, включающих рассмотренные сегменты рифтовой долины САХ, литосферных блоков, чужеродных современной океанической литосфере: 35°04ʹ–35°30ʹ с.ш. (Dosso et al., 1999), 15°30ʹ с.ш. (Силантьев, 1998), 10°42ʹ с.ш. (Костицын и др., 2018). Присутствие подобных реликтов древней литосферы под некоторыми районами осевой зоны САХ, возможно, проявляется в чередовании ее “холодных” (“серпентинитовых”) и “горячих” (“базальтовых”) сегментов. Можно предполагать, что участие в магматизме рифтовой долины САХ реликтов древней континентальной литосферы может обеспечить формирование в некоторых MORB геохимических параметров, индикаторных для обогащенных базальтов семейства E-MORB. Возможно, именно в “холодных” сегментах САХ реализуются реологические условия, благоприятствующие образованию долго живущих магматических камер внутри океанической коры. Этот стиль магматизма в низкоскоростном центре спрединга, каковым является САХ, способствует контаминации базальтовых расплавов компонентами, заимствованными или из вмещающих серпентинитов, или из водно-солевых флюидов, циркулирующих в “serpentinite hosted” гидротермальных системах.
Предложенная модель, вероятно, может конкурировать с представлениями о происхождении E-MORB в сегментах САХ между 14°–15° с.ш. и на 30° с.ш. за счет рециклинга щелочных базальтов типа OIB (например, Hemond et al., 2006). К этому можно добавить, что ранее в работе (Yang et al., 2018) был предпринят анализ характера распределения более 60 элементов в 319 образцах закалочных стекол D-MORB, N-MORB и E-MORB из 144 отдельных лавовых покровов из сегментов рифтовой долины САХ между 10° и 40° с.ш. Представленные в этой работе результаты продемонстрировали, что отношения содержаний редких элементов, “чувствительных” к флюидному транспорту в зонах субдукции (Th/U, Nb/U, Ba/Th, Ba/La), характеризуются постоянством и аналогичны их мантийным значениям для N- и E‑MORB. Таким образом, полученные в (Yang et al., 2018) данные свидетельствуют о необходимости переоценки моделей петрогенезиса, объясняющих обогащение родительских расплавов MORB за счет процесса рециклинга.
ЗАКЛЮЧЕНИЕ
Представленные данные о геохимических особенностях образцов закалочных стекол, отобранных в различных сегментах САХ между 12° и 30° с.ш., позволяют сформулировать ряд выводов, имеющих принципиальную важность не только для оценки возможного влияния активных гидротермальных систем на геохимические параметры MORB, но также и для реконструкции природы источников расплавов, родительских для E-MORB.
1. Базальты семейства E-MORB, к которому относится большая часть образцов изученных в настоящей работе закалочных стекол, локализованы преимущественно в “холодных” сегментах САХ, в строении корового разреза которых преобладают cерпентиниты.
2. Образцы деплетированных закалочных стекол N-MORB, относятся к сегментам осевой зоны САХ, в которых обнажения серпентинитов или отсутствуют, или играют подчиненную роль.
3. В закалочных стеклах E-MORB из “холодных” сегментов САХ установлены признаки контаминации базальтовых расплавов компонентами, заимствованными или из вмещающих серпентинитов, или из водно-солевых флюидов, циркулирующих в “serpentinite hosted” гидротермальных системах.
4. Судя по полученным данным о характере вариаций содержаний Cl, U и Sr, в изученных закалочных стеклах, относящихся к семейству N‑MORB, признаки внутрикоровой контаминации в них отсутствуют.
5. Возможно, в образовании родительских для E-MORB расплавов в некоторых сегментах САХ принимают участие реликты древней континентальной литосферы, сохранившиеся под осевой зоной хребта и вовлекающиеся в процесс частичного плавления малоглубинной мантии.
Авторы планируют в ходе проведения дальнейших исследований в рамках затронутой в настоящей работе проблемы определить изотопный состав стронция и неодима, а также благородных газов и азота в изученных закалочных стеклах, что позволит подтвердить или подвергнуть ревизии приведенные выше выводы.
Благодарности. Авторы выражают признательность Н.М. Сущевской за предоставленные образцы закалочных стекол из сегмента САХ на 26°с.ш. и Д.Д. Бадюкову за помощь при работе на электронном микроскопе TESCAN MIRA3.
Источники финансирования. Проведенное исследование осуществлялось при поддержке гранта РНФ № 22-27-00815.
Список литературы
Бортников Н.С., Силантьев С.А., Беа Ф. и др. Разновозрастные цирконы и их изотопный состав (Hf, O) в породах осевой зоны Срединно-Атлантического хребта: свидетельства неоднократного плавления гетерогенной мантии и эпизодической аккреции океанической коры в зоне спрединга // Петрология. 2022. Т. 30. № 1. С. 3–30.
Бельтенев В.Е., Рождественская И.И., Самсонов И.К. и др. Поисковые работы на площади Российского разведочного района в Атлантическом океане с оценкой прогнозных ресурсов ГПС категории Р2 и Р3 в блоках 31–45. Ломоносов: Фонды ФГУНПП “ПМГРЭ”, 2016.
Бельтенев В.Е., Лазарева Л.И., Черкашёв Г.А. и др. Новые гидротермальные рудные поля на Срединно-Атлантическом хребте: Юбилейное (20°09ʹ с.ш.) и Сюрприз (20°45ʹ с.ш.) // Докл. АН. 2017. Т. 476. № 3. С. 305–310.
Богданов Ю.А., Лисицын А.П., Сагалевич А.М., Гуревич Е.Г. Гидротермальный рудогенез океанского дна. М.: Наука, 2006. 527 с.
Дмитриев Л.В. Вариации состава базальтов срединно-океанических хребтов как функция геодинамической обстановки их формирования // Петрология. 1998. Т. 6. № 4. С. 340–362.
Дмитриев Л.В., Соколов С.Ю. Геодинамика трех контрастных типов магматизма океана и их отражение в данных сейсмотомографии // Петрология. 2003. Т. 11. № 6. С. 655–672.
Дмитриев Л.В., Соколов С.Ю., Плечова А.А. Статистическая оценка вариаций состава и P-T условий эволюции базальтов срединно-океанических хребтов и их региональное распределение // Петрология. 2006. Т. 14. № 2. С. 1–22.
Костицын Ю.А., Силантьев С.А., Аносова М.О. и др. Возраст плутонических пород разлома Вима (Центральная Атлантика) и природа их мантийных источников // Геохимия. 2018. № 2. С. 1–23.
Cилантьев С.А. Условия формирования плутонического комплекса Срединно-Атлантического хребта, 13°–17° с.ш. // Петрология. 1998. Т. 6. № 4. С. 381–421.
Силантьев С.А. Вариации геохимических и изотопных характеристик реститовых перидотитов вдоль простирания Срединно-Атлантического хребта как отражение природы мантийных источников магматизма // Петрология. 2003. Т. 11. № 4. С. 339–362.
Силантьев С.А., Данюшевский Л.В., Плечова А.А. и др. Геохимические и изотопные черты продуктов магматизма рифтовой долины САХ в районах 12°49ʹ–17°23ʹс.ш. и 29°59ʹ–33°41ʹс.ш.: свидетельство двух контрастных источников родительских расплавов // Петрология. 2008. Т. 16. № 1. С. 38–65.
Силантьев С.А., Мироненко М.В., Новоселов А.А. Гидротермальные системы в перидотитовом субстрате медленно-спрединговых хребтов. Моделирование фазовых превращений и баланса вещества: Нисходящая ветвь // Петрология. 2009. Т. 17. № 2. С. 154–174.
Силантьев С.А., Краснова Е.А., Каннат М. и др. Перидотит-габбро-трондьемитовая ассоциация пород Срединно-Атлантического хребта в районе 12°58ʹ–14°45ʹ с.ш.: гидротермальные поля Ашадзе и Логачев // Геохимия. 2011. № 4. С. 1–34.
Силантьев С.А., Бортников Н.С., Шатагин К.Н. и др. Перидотит-базальтовая ассоциация САХ на 19°42´–19°59´с.ш.: оценка условий петрогенезиса и баланса вещества при гидротермальном преобразовании океанической коры // Петрология. 2015. Т. 23. № 1. С. 1–23.
Суханова А.А. Минералого-геохимические особенности глубоководных сульфидных руд поля Юбилейное (Российский разведочный район Срединно-Атлантического хребта). Дис. … канд. геол.-мин. наук. СПб.: Государственный горный ун-т, 2018. 137 с.
Andreani M., Escartin J., Delacour A. et al. Tectonic structure, lithology, and hydrothermal signature of the Rainbow massif (Mid-Atlantic Ridge 36°14' N) // Geochem. Geophys. Geosyst. 2014. V. 15. P. 3543–3571.
Arevalo R.Jr., McDonough W.F. Chemical variations and regional diversity observed in MORB // Chemical Geol. 2010. V. 271. P. 70–85.
Becker T.W., Boschi L. A comparison of tomographic and geodynamic mantle models // Geochem. Geophys. Geosyst. 2002. V. 3. P. 1–48.
Bel’tenev V., Shagin A., Markov V. et al. A new hydrothermal field at 16° 38.4ʹ N, 46° 28.5ʹ W on the Mid-Atlantic Ridge // InterRidge News. 2004. № 13. P. 5–6.
Bonatti E., Peyve A., Kepezhinskas P. et al. Upper mantle heterogeneity below Mid-Atlantic Ridge 0°–15° N // J. Geophys. Res. 1992. V. 97. B4. P. 4461–4476.
Bottazzi P., Ottolini L., Vannucci R., Zanetti A. An accurate procedure for the quantification of rare earth elements in silicates // SIMS IX Proceedings. Eds. A. Benninghoven, Y. Nihei, R. Shimizu and H.W. Werner. Chichester: Wileys, 1994. P. 927–930.
Bougault H., Dmitriev L., Schilling J.-G. et al. Mantle hete-rogeneity from trace elements: MAR triple junction near 14° N // Earth Planet. Sci. Lett. 1988. V. 88. P. 27–36.
Broadley M.W., Burgess R., Kumagai H. et al. Halogen variations through the quenched margin of a MORB lava: evidence for direct assimilation of seawater during eruption // Geochem. Geophys. Geosyst. 2017. V. 18. P. 2413–2428.
Buikin A.I., Silantyev S.A., Verchovsky A.B. N-Ar-He-CO2 systematics combined with H2O, Cl, K abundances in MORB glasses demonstrate interaction of magmatic and hydrothermal systems: a case for MAR at 16°07ʹ–17°11ʹ N // Geochem Int. 2022. V. 60. № 11. P. 1068–1086.
Cannat M., Casey J.F. An Ultramafic lift at the Mid-Atlantic Ridge: successive stages of magmatism in serpentinized peridotites from the 15° N Region // Mantle and Lower Crust Exposed in Oceanic Ridges and in Ophiolites. Eds. R.L.M. Vissers and A. Nicolas. Kluwer Academic Publ., 1995. P. 5–34.
Casey J.F. Comparison of major and trace-element geochemistry of abyssal peridotites and mafic plutonic rocks with basalts from the MARK Region of the Mid-Atlantic Ridge // Eds. J.A. Karson, M. Cannat, D.J. Miller, and D. Elthon. Proceedings of the Ocean Drilling Program, Sci. Res. 1997. V. 153. P. 181–241.
Cherkashov G., Poroshina I., Stepanova T. et al. Seafloor massive sulfides from the northern equatorial Mid-Atlantic Ridge: new discoveries and perspectives // Marine Georesources and Geotechnology. 2010. V. 28. № 3. P. 222– 239.
Clog M., Aubaud C., Cartigny P., Dosso L. The hydrogen isotopic composition and water content of southern Pacific MORB: a reassessment of the D/H ratio of the depleted mantle reservoir // Earth Planet. Sci. Lett. 2013. V. 381. P. 156–165.
Dick H.J.B., Lissenberg C.J., Warren J.M. Mantle melting, melt transport, and delivery beneath a Slow-Spreading Ridge: the Paleo-MAR from 23°15′ N to 23°45′ N // J. Petrol. 2010. V. 51. Iss. 1–2. P. 425–467.
Dosso L., Hanan B.B., Bougault H. et al. Sr-Nd-Pb geochemical morphology between 10° and 17° N on the Mid-Atlantic Ridge: a new MORB isotope signature // Earth Planet. Sci. Lett. 1991. V. 106. P. 29–43.
Dosso L., Bougault H., Langmuir C. et al. The age and distribution of mantle heterogeneity along the Mid-Atlantic Ridge (31°–41° N) // Earth Planet. Sci. Lett. 1999. V. 179. P. 269–286.
Eason D., Sinton J. Origin of high-Al N-MORB by fractional crystallization in the upper mantle beneath the Galápagos Spreading Center // Earth Planet. Sci. Lett. 2006. V. 252. P. 423–436.
Fedotova A.A., Bibikova E.V., Simakin S.G. Ion-microprobe zircon geochemistry as an indicator of mineral genesis during geochronological studies // Geochem. Int. 2008. V. 46. № 9. P. 912–927.
Firstova A., Stepanova T., Cherkashov G. et al. Composition and formation of gabbro-peridotite hosted seafloor massive sulfide deposits from the Ashadze-1 hydrothermal field, Mid-Atlantic Ridge // Minerals. 2016. V. 6. № 19. https://doi.org/10.3390/min6010019
Grand S.P. Mantle Shear-Wave Tomography and the Fate of Subducted Slabs // Phil. Trans. R. Soc. Lond. 2002. V. 360. P. 2475–2491.
Grand S.P., van der Hilst R.D., Widiyantoro S. Global seismic tomography: a snapshot of convection in the Earth // GSA Today. 1997. V. 7. № 4. P. 1–7
Halliday A.N., Lee D.-C., Tommasini S. et al. Incompatible trace elements in OIB and MORB and source enrichment in the sub-oceanic mantle // Earth Planet. Sci. Lett. 1995. V. 133. P. 379–395.
Hemond C., Hofmann A.W., Vlastelic I., Nauret F. Origin of MORB enrichment and relative trace element compatibilities along the Mid-Atlantic Ridge between 10° and 24° N // Geochem. Geophys. Geosyst. 2006. V. 7. № 12. Q12010. .https://doi.org/10.1029/2006GC001317
Humphris S.E., Tivey M.K., Tivey M.A. The Trans-Atlantic Geotraverse hydrothermal field: a hydrothermal system on an active detachment fault // Deep Sea Research Part II: Topical Studies in Oceanography. 2015. V. 121. P. 8–16.
James R.H., Elderfield H., Palmer M.R. The chemistry of hydrothermal fluids from the Broken Spur site, 29° N Mid-Atlantic Ridge // Geochim. Cosmochim. Acta. 1995. V. 59. № 4. P. 651–659.
Jochum K.P., Dingwell D.B., Rocholl A. et al. The preparation and preliminary characterisation of eight geological MPI-DING reference glasses for in situ microanalysis // Geost. Newslett. 2000. V. 24. P. 87–133.
Kendrick M.A., Kamenetsky V.S., Phillips D., Honda M. Halogen systematics (Cl, Br, I) in Mid-Ocean Ridge basalts: a Macquarie Island case study // Geochim. Cosmochim. Acta. 2012. V. 81. P. 82–93.
Klein E.M., Langmuir C.H. Global correlations of ocean ridge basalt chemistry with axial depth and crustal thickness // J. Geophys. Res. 1987. V. 92. P. 8089–8115.
Klitgord K.D., Dmitriev L.V., Casey J.F. et al. 12th Cruise of the R/V “Akademik Boris Petrov” (Leg 1)/February 2–February 28. 1989. U.S. Soviet Collaborative Geological and Geophysical Survey of the Mid-Atlantic Ridge near 31° N. The Petrov Fracture Zone // U.S. Geol. Survey Open File Report № 94-7. December 30. 1993.
Michael P.J., Cornell W.C. Influence of spreading rate and magma supply on crystallization and assimilation beneath Mid-Ocean Ridges: evidence from chlorine and major element chemistry of Mid-Ocean Ridge basalt // J. Geophys. Res. 1998. V. 103. B8. P. 18.325–18.356.
Maslennikov V.V., Cherkashov G.A., Artemyev D.A. et al. Pyrite varieties at pobeda hydrothermal fields, Mid-Atlantic Ridge 17°07′–17°08′ N: LA-ICP-MS data deciphering // Minerals. 2020. V. 10. № 7. https://doi.org/10.3390/min10070622
Melekestseva I., Maslennikov V.V., Safina N.P. et al. Sulfide breccias from the Semenov-3 hydrothermal field, Mid-Atlantic Ridge: authigenic mineral formation and trace element pattern // Minerals. 2018. V. 8. № 321. https://doi.org/10.3390/min8080321
Murton B.J., Van Dover C., Southward E. Geological setting and ecology of the Broken Spur hydrothermal vent field: 29°10′ N on the Mid-Atlantic Ridge // Geol. Soc. London. Special Publ. 1995. V. 87. P. 33–41.
Nosova A.A., Sazonova L.V., Narkisova V.V., Simakin S.G. Minor elements in clinopyroxene from Paleozoic volcanics of the Tagil Island Arc in the Central Urals // Geokhimiya. 2002. V. 40. № 3. P. 254–268.
RIDGE Petrological Data Base, LGEO, 1999.
Pertsev A.N., Aranovich L.Ya., Prokofiev V.Y. et al. Potassium-rich granite melt inclusions in zircon from gabbro-hosted felsic stringers, Mid-Atlantic Ridge at 13°34′ N: E‑MORB connection // Lithos. 2021. V. 400–401. 106300.
Rona P.A. TAG hydrothermal field: Mid-Atlantic Ridge crest at latitude 26° N // J. Geol. Soc. 1980. V. 137. P. 385–402.
Rona P.A., Hannington M.D., Raman C.V. et al. Active and relict Sea-Floor hydrothermal mineralization at the TAG hydrothermal field. Mid-Atlantic Ridge // Econom. Geol. 1993. V. 88. P. 1989–2017.
Sarda P., Graham D. Mid-Ocean Ridge popping rocks: implications for degassing at ridge crests // Earth Planet. Sci. Lett. 1990. V. 97. P. 268–289.
Schilling J.-G., Zajac M., Evans R. et al. Petrologic and geochemical variations along the Mid-Atlantic Ridge from 27° and 73° N // Amer. J. Sci. 1983. V. 283. P. 510–586.
Sharp Z.D., Barnes J.D. Water-soluble chlorides in massive seafloor serpentinites: a source of chloride in subduction zones // Earth Planet. Sci. Lett. 2004. V. 226. P. 243–254.
Shimizu K., Saal A.E., Myers C.E. et al. Two-component mantle melting-mixing model for the generation of Mid-Ocean Ridge basalts: implications for the volatile content of the Pacific upper mantle // Geochim. Cosmochim. Acta. 2016. V. 176. P. 44–80.
Shipboard Scientific Party. Drilling Mantle Peridotite along the Mid-Atlantic Ridge from 14° to 16° N. Ocean Drilling Program, Leg 209 Preliminary Report, Texas A&M University, College Station TX, 2003. 160 p.
Shipboard Scientific Party. SERPENTINE. Scientific Cruise Report. February 25–April 5. Iferemer – Centre de Brest. 2007. 375 p.
Smirnov V.K., Sobolev A.V., Batanova V.G. et al. Quantitative SIMS analysis of melt inclusions and host minerals for trace elements and H2O // EOS Trans. Spring Meet. Suppl. AGU 17. 1995. P. 270.
Sokolov S.Y., Chamov N.P., Khutorskoy M.D., Silantyev S.A. Intensity indicators of geodynamic processes along the Atlantic-Arctic Rift System // Geodynam. Tectonoph. 2020. V. 11. № 2. P. 302–319.
Stroncik N.A., Niedermann S. Atmospheric contamination of the primary Ne and Ar signal in mid-ocean ridge basalts and its implications for ocean crust formation // Geochim. Cosmochim. Acta. 2016. V. 172. P. 306–321
Su Y.J. Mid-Ocean Ridge basalt trace element systematics: constraints from database management, ICP-MS analyses, global data compilation, and petrologic modeling. Ph.D. Thesis. New York: Columbia University, 2002. 457 p.
Sun C., Graff M., Liang Y. Trace element partitioning between plagioclase and silicate melt: the importance of temperature and plagioclase composition, with implications for terrestrial and lunar magmatism // Geochim. Cosmochim. Acta. 2017. V. 206. № 3. https://doi.org/10.1016/j.gca,2017.03.003
Sun S.-S., McDonough W.F. Chemical and isotopic systematics of oceanic basalts: implications for mantle composition and processes // Magmatism in Ocean Basins. Eds. A.D. Saunders, M.J. Norry. Geol. Soc. Spec. Publ. London. 1989. V. 42. P. 313–345.
Urann B.M., Le Roux V., Hammond K. et al. Fluorine and chlorine in mantle minerals and the halogen budget of the Earth’s mantle // Contrib. Mineral. Petrol. 2017. https://doi.org/10.1007/s00410-017-1368-7
Wilson M. Igneous Petrogenesis. London: Unwin Hyman, Boston-Sidney-Wellington, 1989. 466 p.
Verma S.P. Seawater alteration effects on REE, K, Rb, Cs, Sr, U, Th, Pb and Sr-Nd-Pb isotope systematics of Mid-Ocean Ridge basalt // Geochem. J. 1992. V. 26. P. 159–177.
Winter J.D. An introduction to igneous and Metamorphic petrology // Upper Saddle River. New York: Prentice Hall, 2001. 697 p.
Yang S., Humayun M., Salters V.J.M. Elemental systematics in MORB glasses from the Mid-Atlantic Ridge // Geochem. Geophys. Geosyst. 2018. V. 19. P. 4236–4259.
Дополнительные материалы отсутствуют.
Инструменты
Петрология



