Петрология, 2023, T. 31, № 4, стр. 408-418
Термодинамическая модель флюидной системы H2O–CO2–NaCl–CaCl2 при P-T параметрах средней и нижней коры
М. В. Иванов *
Институт геологии и геохронологии докембрия РАН
Санкт-Петербург, Россия
* E-mail: m.v.ivanov@ipgg.ru
Поступила в редакцию 21.09.2022
После доработки 15.10.2022
Принята к публикации 18.11.2022
- EDN: RBVFMZ
- DOI: 10.31857/S0869590323040040
Аннотация
На основе полученных ранее уравнений состояния тройных систем H2O–CO2–CaCl2 и H2O–CO2–NaCl выведено уравнение состояния четверной системы H2O–CO2–NaCl–CaCl2, выраженное в терминах избыточной свободной энергии Гиббса. Построена соответствующая численная термодинамическая модель. Основная часть численных параметров модели совпадает с соответствующими параметрами тройных систем. Параметр взаимодействия NaCl–CaCl2 был получен из экспериментального ликвидуса смеси солей. Аналогично термодинамическим моделям для H2O–CO2–CaCl2 и H2O–CO2–NaCl область применимости модели: 1–20 кбар и 500–1400°C. Модель позволяет предсказывать физико-химические свойства флюида, принимающего участие в большинстве процессов глубинного петрогенеза: фазовое состояние системы (гомогенный или многофазный флюид, наличие или отсутствие твердых солей), химические активности компонентов, плотности флюидных фаз и концентрации компонентов в сосуществующих фазах. С помощью модели подробно исследовано фазовое состояние и активность воды на сечениях H2O–CO2–соль при изменении отношения ${{{{x}_{{{\text{NaCl}}}}}} \mathord{\left/ {\vphantom {{{{x}_{{{\text{NaCl}}}}}} {({{x}_{{{\text{NaCl}}}}} + {{x}_{{{\text{CaC}}{{{\text{l}}}_{{\text{2}}}}}}})}}} \right. \kern-0em} {({{x}_{{{\text{NaCl}}}}} + {{x}_{{{\text{CaC}}{{{\text{l}}}_{{\text{2}}}}}}})}}.$ Исследованы изменения состава и плотности сосуществующих флюидных фаз при постоянной активности воды и изменении полного состава системы. Получен набор фазовых диаграмм на сечениях H2O–NaCl–CaCl2 при изменении мольной доли CO2. Выявлена зависимость от давления для максимальной активности воды в области сосуществования несмесимых флюидных фаз при различном солевом составе системы. Термодинамическое поведение системы со смешанным составом соли в значительной степени отличается от поведения систем с одним солевым компонентом вследствие снятия ограничений, вытекающих из меньшего числа компонентов в тройной системе.
ВВЕДЕНИЕ
Глубинные водные флюиды играют важнейшую роль в коровом петрогенезисе и в транспорте глубинного вещества в верхнюю кору. Знание физико-химических свойств глубинных флюидов является важнейшим инструментом для исследования метаморфического, метасоматического и магматического петрогенезиса, особенностей проявления и развития этих глобальных геологических процессов. Типичными компонентами водных флюидов являются хлориды щелочных или щелочноземельных металлов и растворенные неполярные газы, в частности CO2. С приближением глубинного флюида к поверхности температура и давление существенно изменяются, что приводит к изменению физико-химических характеристик флюида. В результате снижения давления может происходить распад гомогенного флюида на несмесимые флюидные фазы с контрастными физическими и химическими свойствами и с составами, значительно отличающимися от состава исходного флюида. Помимо проблем петро- и рудогенеза знание количественных характеристик глубинных флюидов необходимо для решения ряда задач геодинамики, в частности проблемы предсказания землетрясений (Леонов и др., 2006; Киссин, 2009; Родкин, Рундквист, 2017; Manning, 2018). Водные флюиды состава H2O–CO2–соль входят в число наиболее широко распространенных флюидов, участвующих в процессах глубинного метаморфизма и метасоматоза, выноса глубинного рудного вещества в верхние слои земной коры (Trommsdorf et al., 1985; Bischoff et al., 1996; Aranovich et al., 1987; Markl, Bucher, 1998; Heinrich et al., 2004; Manning, Aranovich, 2014; Аранович, 2017). Наиболее ранние термодинамические модели флюидной системы H2O–CO2–NaCl для высоких температур и давлений были представлены в работах (Joyce, Holloway, 1993; Duan et al., 1995). Современные численные термодинамические модели тройных систем H2O–CO2–соль (Аранович и др., 2010; Иванов, Бушмин, 2019, 2021) для P-T параметров средней и нижней коры обеспечивают хорошее воспроизведение экспериментальных данных (Zhang, Frantz, 1989; Котельников, Котельникова, 1990; Johnson, 1991; Frantz et al., 1992; Aranovich, Newton, 1996; Shmulovich, Graham, 1999, 2004). Упомянутые термодинамические модели водных флюидов, содержащих соли и углекислый газ относятся к системам, содержащим одну определенную соль (NaCl или CaCl2). Однако водно-солевые флюиды, как правило, содержат смесь нескольких солей. Водно-солевые флюиды, содержащие смесь солей KCl–NaCl, были исследованы в работе (Aranovich, Newton, 1997). Флюидные включения, содержащие смесь нескольких солей, являются обычным объектом лабораторных исследований методом микротермометрии (Van den Kerkhof, Hein, 2001). В этих исследованиях, в частности, уделяется внимание системе H2O–NaCl–CaCl2 (Steelt-MacInnis et al., 2011). Обе соли этой системы относятся к наиболее широко распространенным солям коровых флюидов (Liebscher, 2007). Включения, содержащие H2O–NaCl–CaCl2, могут содержать газы, в том числе CO2, или быть образованы в процессе фазового распада флюида вода–газ–соль. Термодинамические модели, описывающие флюид со смешанным составом солей в условиях захвата этих включений, т.е. при достаточно высоких температурах и давлениях, в настоящее время отсутствуют.
В наших предшествующих работах (Иванов, Бушмин, 2019, 2021) были разработаны численные термодинамические модели двух тройных флюидных систем с компонентами вода, CO2, соль. Обе модели справедливы при температурах от 500°C до 1400°C и давлениях от 1 до 20 кбар. Модели были построены для солей NaCl (Иванов, Бушмин, 2021) и CaCl2 (Иванов, Бушмин, 2019). В настоящей статье мы представляем термодинамическую модель четырехкомпонентной системы H2O–CO2–NaCl–CaCl2, которая является естественным развитием наших моделей для систем H2O–CO2–NaCl и H2O–CO2–СaCl2.
ТЕОРЕТИЧЕСКИЙ МЕТОД
Свободная энергия Гиббса
Представленное ниже выражение для избыточной свободной энергии Гиббса смешения в четырехкомпонентной системе Gmix основано на подходе, аналогичном примененному для трехкомпонентных систем в (Аранович и др., 2010; Иванов, Бушмин, 2019, 2021). Выражение для энтропийной части свободной энергии Гиббса GS получено путем распространения выражений для соответствующих сомножителей в активностях компонентов для тройных систем (Аранович и др., 2010) на четверную систему. При использовании для мольных долей компонентов обозначений ${{x}_{1}} = {{x}_{{{{{\text{H}}}_{{\text{2}}}}{\text{O}}}}},$ ${{x}_{2}} = {{x}_{{{\text{C}}{{{\text{O}}}_{{\text{2}}}}}}},$ ${{x}_{3}} = {{x}_{{{\text{NaCl}}}}},$ ${{x}_{4}} = {{x}_{{{\text{CaC}}{{{\text{l}}}_{{\text{2}}}}}}},$ ${{x}_{1}} + {{x}_{2}} + {{x}_{3}} + {{x}_{4}} = 1$ это слагаемое имеет вид:
(1)
$\begin{gathered} {{G}_{{\text{S}}}} = RT\{ (1 - {{x}_{2}})\ln (1 - {{x}_{2}}) - \\ - \,\,[{{x}_{1}} + (1 + {{\alpha }_{3}}){{x}_{3}} + (1 + {{\alpha }_{4}}){{x}_{4}}] \times \\ \times \,\,\ln [{{x}_{1}} + (1 + {{\alpha }_{3}}){{x}_{3}} + (1 + {{\alpha }_{4}}){{x}_{4}}] + {{x}_{1}}\ln {{x}_{1}} + \\ + \,\,{{x}_{2}}\ln {{x}_{2}} + (1 + {{\alpha }_{3}}){{x}_{3}}\ln [(1 + {{\alpha }_{3}}){{x}_{3}}] + \\ + \,\,(1 + {{\alpha }_{4}}){{x}_{4}}\ln [(1 + {{\alpha }_{4}}){{x}_{4}}]\} , \\ \end{gathered} $где ${{\alpha }_{3}},$ ${{\alpha }_{4}}$ – это числа дополнительных частиц, образованных при диссоциации соответствующих молекул ($0 \leqslant {{\alpha }_{{\text{3}}}} \leqslant 1,$ $0 \leqslant {{\alpha }_{{\text{4}}}} \leqslant 2$); T – температура в Кельвинах; R – универсальная газовая постоянная.
Выражение для вклада в свободную энергию Гиббса Gwg, происходящего от взаимодействия молекул воды и CO2, совпадает с предложенным в (Аранович и др., 2010; Аранович, 2013) и использованным в (Иванов, Бушмин, 2019, 2021):
(2)
${{G}_{{{\text{wg}}}}} = {{W}_{{12}}}\frac{{{{x}_{1}}{{x}_{2}}({{x}_{1}} + {{x}_{2}})}}{{({{V}_{1}}{{x}_{1}} + {{V}_{2}}{{x}_{2}})}},$где W12 = 0.202 Дж м3/моль (Аранович и др., 2010; Аранович, 2013), а V1 и V2 – мольные объемы чистой воды и углекислого газа при заданных температуре и давлении.
Свободная энергия Гиббса тройных систем H2O–CO2–CaCl2 и H2O–CO2–NaCl (Иванов, Бушмин, 2019, 2021) содержит слагаемое, отвечающее парному взаимодействию молекул воды и соли W2x1x3. Для четверной системы с двумя солями соответствующее выражение должно включать слагаемые, отвечающие взаимодействию H2O–NaCl, H2O–CaCl2, а также новое слагаемое, описывающее взаимодействие двух солей NaCl–CaCl2:
(3)
${{G}_{{{\text{wss}}}}} = {{W}_{{{\text{13}}}}}{{x}_{{\text{1}}}}{{x}_{{\text{3}}}} + {{W}_{{{\text{14}}}}}{{x}_{{\text{1}}}}{{x}_{{\text{4}}}} + {{W}_{{{\text{34}}}}}{{x}_{{\text{3}}}}{{x}_{{\text{4}}}}$с коэффициентами W13, W14, W34 для взаимодействий H2O–NaCl, H2O–CaCl2 и NaCl–CaCl2 соответственно. Для тройной системы H2O–CO2–соль слагаемое в свободной энергии Гиббса, отвечающее взаимодействию CO2–соль, использовалось в форме, соответствующей модели субрегулярного раствора (Аранович и др., 2010):
Аналогично, соответствующие слагаемые для четверной системы имеют вид:
(4)
${{G}_{{{\text{gs}}}}} = {{{{{{x}_{2}}{{x}_{3}}[{{x}_{2}}{{W}_{{23}}} + {{x}_{3}}{{W}_{{32}}}]} \mathord{\left/ {\vphantom {{{{x}_{2}}{{x}_{3}}[{{x}_{2}}{{W}_{{23}}} + {{x}_{3}}{{W}_{{32}}}]} {({{x}_{2}} + {{x}_{3}}) + {{x}_{2}}{{x}_{4}}[{{x}_{2}}{{W}_{{24}}} + {{x}_{4}}{{W}_{{42}}}]}}} \right. \kern-0em} {({{x}_{2}} + {{x}_{3}}) + {{x}_{2}}{{x}_{4}}[{{x}_{2}}{{W}_{{24}}} + {{x}_{4}}{{W}_{{42}}}]}}} \mathord{\left/ {\vphantom {{{{{{x}_{2}}{{x}_{3}}[{{x}_{2}}{{W}_{{23}}} + {{x}_{3}}{{W}_{{32}}}]} \mathord{\left/ {\vphantom {{{{x}_{2}}{{x}_{3}}[{{x}_{2}}{{W}_{{23}}} + {{x}_{3}}{{W}_{{32}}}]} {({{x}_{2}} + {{x}_{3}}) + {{x}_{2}}{{x}_{4}}[{{x}_{2}}{{W}_{{24}}} + {{x}_{4}}{{W}_{{42}}}]}}} \right. \kern-0em} {({{x}_{2}} + {{x}_{3}}) + {{x}_{2}}{{x}_{4}}[{{x}_{2}}{{W}_{{24}}} + {{x}_{4}}{{W}_{{42}}}]}}} {({{x}_{2}} + {{x}_{4}})}}} \right. \kern-0em} {({{x}_{2}} + {{x}_{4}})}}.$Свободная энергия Гиббса смешения для тройных систем H2O–CO2–соль также содержала слагаемое, описывающее взаимодействие трех типов молекул в системе ${{W}_{{123}}}{{x}_{1}}{{x}_{2}}{{x}_{3}},$ т.е. вода–CO2–соль. Для четверной системы соответствующий член состоит из двух слагаемых – для взаимодействия H2O–CO2–NaCl и H2O–CO2–CaCl2:
(5)
${{G}_{{{\text{wgs}}}}} = {{W}_{{{\text{123}}}}}{{x}_{{\text{1}}}}{{x}_{{\text{2}}}}{{x}_{{\text{3}}}} + {{W}_{{{\text{124}}}}}{{x}_{{\text{1}}}}{{x}_{{\text{2}}}}{{x}_{{\text{4}}}}.$Выражения (2)–(5) содержат все слагаемые, отвечающие парным и тройным взаимодействиям частиц, присутствующие в системе H2O–CO2–NaCl–CaCl2. В принципе, полное выражение для свободной энергии Гиббса могло бы включать слагаемое, отвечающее взаимодействию всех четырех типов частиц, например ${{W}_{{1234}}}{{x}_{1}}{{x}_{2}}{{x}_{3}}{{x}_{4}}.$ Однако для определения величины соответствующего параметра ${{W}_{{1234}}}$ отсутствуют экспериментальные данные. Кроме того, представляется естественным предположить, что взаимодействие четырех типов частиц, скорее всего, будет менее существенным, чем парные и тройные взаимодействия. Таким образом, используемое нами полное выражение для свободной энергии Гиббса смешения Gmix рассматриваемого четырехкомпонентного флюида имеет вид:
(6)
${{G}^{{{\text{mix}}}}}({{x}_{1}},{{x}_{2}},{{x}_{3}},{{x}_{4}}) = {{G}_{{\text{S}}}} + {{G}_{{{\text{wg}}}}} + {{G}_{{{\text{wss}}}}} + {{G}_{{{\text{gs}}}}} + {{G}_{{{\text{wgs}}}}}.$При x3 = 0 или x4 = 0 уравнения (1)–(6) переходят в уравнения для тройных систем H2O–CO2–CaCl2 (Иванов, Бушмин, 2019) или H2O–CO2–NaCl (Иванов, Бушмин, 2021). Знание свободной энергии Гиббса (6) позволяет определить другие термодинамические функции четверной системы H2O–CO2–NaCl–CaCl2. Важнейшими из них являются химические потенциалы, активности компонентов и плотность флюида. Формулы для этих величин даны в Приложении (см. ниже).
Выражение (6) описывает избыточную свободную энергию смешения для гомогенного четырехкомпонентного флюида. В более общем случае рассматриваемая нами система может содержать до двух флюидных фаз, каждая из которых описывается уравнением (6), а также твердые фазы солей. Избыточная свободная энергия Гиббса такой, в общем случае многофазной системы, имеет вид:
(7)
$\begin{gathered} {{G}^{{\text{M}}}}({{x}_{1}},{{x}_{2}},{{x}_{3}},{{x}_{4}}) = {{f}_{1}}{{G}^{{{\text{mix}}}}}({{y}_{{11}}},{{y}_{{21}}},{{y}_{{31}}},{{y}_{{41}}}) + \\ + \,\,{{f}_{2}}{{G}^{{{\text{mix}}}}}({{y}_{{12}}},{{y}_{{22}}},{{y}_{{32}}},{{y}_{{42}}}) + \Delta {{\mu }_{{{\text{s3}}}}}{{x}_{{{\text{s3}}}}} + \Delta {{\mu }_{{{\text{s4}}}}}{{x}_{{{\text{s4}}}}}, \\ \end{gathered} $где $\Delta {{\mu }_{{{\text{s3}}}}},$ $\Delta {{\mu }_{{{\text{s4}}}}}$ – величины изменения химических потенциалов NaCl и CaCl2 при переходе твердое тело–жидкость, ${{x}_{{{\text{s3}}}}},$ ${{x}_{{{\text{s4}}}}}$ – мольные доли твердых солей в многофазной системе, f1, f2 – мольные доли двух, в общем случае, различающихся по составу флюидных фаз:
Фазовое состояние системы при заданных мольных долях компонентов $({{x}_{1}},{{x}_{2}},{{x}_{3}},{{x}_{4}})$ определяется путем численной минимизации величины ${{G}^{{\text{M}}}}$ относительно переменных $({{x}_{{11}}},{{x}_{{21}}},{{x}_{{31}}},{{x}_{{41}}},{{x}_{{{\text{s3}}}}},{{x}_{{{\text{s4}}}}})$ при условии неотрицательности всех величин ${{x}_{{ij}}}.$
ЧИСЛЕННЫЕ ПАРАМЕТРЫ МОДЕЛИ
Параметры Wij в уравнении (1) предполагаются зависящими от температуры (T) и давления (P), но не зависящими от мольных долей компонентов. Форма P-T зависимостей параметров Wij, Wijk и соответствующие численные значения даны в (Иванов, Бушмин, 2019, 2021). Эти параметры, полученные фитированием экспериментальных данных, сохранены в термодинамической модели четырехкомпонентной системы, представленной в настоящей работе. Избыточная свободная энергия многофазной системы (7) содержит также функции $\Delta {{\mu }_{{{\text{s3}}}}}(P,T),$ $\Delta {{\mu }_{{{\text{s4}}}}}(P,T).$ Вид этих функций и соответствующие численные параметры даны в работах (Иванов, Бушмин, 2019, 2021). Параметры ${{\alpha }_{3}}$ и ${{\alpha }_{4}}$ также предполагаются зависящими от температуры и давления, но не зависящими от мольных долей составляющих систему частиц. Тем самым эти величины являются усредненными по концентрациям компонентов числами дополнительных частиц, образованных при диссоциации молекул NaCl и CaCl2. Данное предположение является наиболее существенным упрощением, присутствующим в термодинамических моделях (Аранович и др., 2010; Иванов, Бушмин, 2019, 2021). Снижение точности моделей, использующих данное предположение, возможно в случае крайне низких концентраций солей (${{x}_{3}},{{x}_{4}} \ll {{x}_{1}}$), когда величины ${{\alpha }_{3}}$ и ${{\alpha }_{4}}$ должны приближаться к своим максимальным значениям ${{\alpha }_{3}} = 1$ и ${{\alpha }_{4}} = 2,$ и в противоположном случае малой мольной доли воды, когда обе величины ${{\alpha }_{3}}$ и ${{\alpha }_{4}}$ становятся близкими к нулю.
Единственным новым параметром модели четырехкомпонентной системы, который не был получен в предшествующих работах, является параметр W34, описывающий эффект взаимодействия частиц NaCl и CaCl2 во флюиде. В случае x1 = x2 = 0 уравнение (6) сохраняет только энтропийные слагаемые (1) и слагаемое W34x3x4. При этом уравнение (7) оказывается уравнением состояния для смеси солей NaCl и CaCl2, находящихся либо в расплавленном, либо в твердом состоянии. Для P = 1 бар и температур выше 500°C наши уравнения дают α3 = α4 = 0, что обеспечивает обычную форму энтропийного слагаемого в свободной энергии для смеси двух веществ NaCl и CaCl2. Таким образом, уравнение (7) должно описывать переход твердое тело–жидкость в смеси солей NaCl и CaCl2. Экспериментальные данные по ликвидусу в системе NaCl–CaCl2 при P = 1 бар хорошо известны (Seltveit, Flood, 1958; Chartrand, Pelton, 2001). Ликвидус имеет простую форму, типичную для смесей, не образующих промежуточных соединений. Подбор значений параметра W34 позволяет воспроизвести экспериментальный ликвидус NaCl и CaCl2. На рис. 1 приведено сравнение ликвидуса, полученного с нашим уравнением состояния при W34 = –10.3 кДж/моль, с экспериментальными результатами (Seltveit, Flood, 1958). При W34 = –10.3 кДж/моль эвтектическая точка соответствует температуре 502°C и xNaCl = 0.482, что находится в очень хорошем согласии с многочисленными экспериментальными данными (Chartrand, Pelton, 2001). Полученное значение W34 = –10.3 кДж/моль в сочетании с параметрами из (Иванов, Бушмин, 2019, 2021) образует полный набор параметров нашей термодинамической модели четырехкомпонентной системы H2O–CO2–NaCl–CaCl2.
РЕЗУЛЬТАТЫ
Фазовые диаграммы. Их эволюция при изменении состава солевой компоненты
Фазовые диаграммы тройных систем при фиксированных P-T параметрах исчерпывающим образом представляются в виде треугольников составов с чистыми компонентами в вершинах треугольников. Фазовые поля – это двумерные области внутри треугольника, а границы этих областей – это линии, в частности линия сольвуса. Аналогичная фазовая диаграмма для четверной системы должна быть тетраэдром с объемными фазовыми полями и двумерными поверхностями – границами этих полей. Содержательное и более или менее точное представление результатов в такой форме затруднительно. Более удобно представление фазовых диаграмм на плоских сечениях тетраэдра составов, в частности, на сечениях с фиксированным составом солевой части системы ${{r}_{{{\text{NaCl}}}}} = {{{{x}_{{{\text{NaCl}}}}}} \mathord{\left/ {\vphantom {{{{x}_{{{\text{NaCl}}}}}} {{{x}_{{{\text{salt}}}}}}}} \right. \kern-0em} {{{x}_{{{\text{salt}}}}}}},$ где ${{x}_{{{\text{salt}}}}} = {{x}_{{{\text{NaCl}}}}} + {{x}_{{{\text{CaC}}{{{\text{l}}}_{{\text{2}}}}}}}.$ Фазовые диаграммы на этих сечениях оказываются треугольниками в координатах ${{x}_{{{{{\text{H}}}_{{\text{2}}}}{\text{O}}}}}{\kern 1pt} - {\kern 1pt} {{x}_{{{\text{C}}{{{\text{O}}}_{{\text{2}}}}}}}{\kern 1pt} - {\kern 1pt} {{x}_{{{\text{salt}}}}}$ и имеют вид, сходный с фазовыми диаграммами тройных систем. При ${{r}_{{{\text{NaCl}}}}} = 0$ или ${{r}_{{{\text{NaCl}}}}} = 1$ эти фазовые диаграммы являются фазовыми диаграммами тройных систем H2O–CO2–CaCl2 или H2O–CO2–NaCl соответственно.
На рис. 2 представлена серия фазовых диаграмм ${{x}_{{{{{\text{H}}}_{{\text{2}}}}{\text{O}}}}}{\kern 1pt} - {\kern 1pt} {{x}_{{{\text{C}}{{{\text{O}}}_{{\text{2}}}}}}}{\kern 1pt} - {\kern 1pt} {{x}_{{{\text{salt}}}}},$ соответствующая плавному изменению состава солевой компоненты системы от чистого NaCl (рис. 2а) до чистого CaCl2 (рис. 2м). Все диаграммы рис. 2 построены для типичных P-T условий амфиболитовой фации метаморфизма: T = 600°C и P = 5 кбар. Крайние тройные системы на рис. 2а и 2м показывают сложную фазовую картину, состоящую из пяти различных полей (1–5 на рис. 2). В обширном поле-3 присутствуют три сосуществующие фазы, что обеспечивает постоянство активностей компонентов во всем поле (${{a}_{{{{{\text{H}}}_{{\text{2}}}}{\text{O}}}}} = 0.367,$ ${{a}_{{{\text{C}}{{{\text{O}}}_{{\text{2}}}}}}} = 0.783,$ ${{a}_{{{\text{NaCl}}}}} = 0.345$ при ${{r}_{{{\text{NaCl}}}}} = 1$ и ${{a}_{{{{{\text{H}}}_{{\text{2}}}}{\text{O}}}}} = 0.290,$ ${{a}_{{{\text{C}}{{{\text{O}}}_{{\text{2}}}}}}} = 0.837,$ ${{a}_{{{\text{CaC}}{{{\text{l}}}_{{\text{2}}}}}}} = 0.531$ при ${{r}_{{{\text{NaCl}}}}} = 0$). Фазовая диаграмма рис. 2ж для флюида с равными мольными долями NaCl и CaCl2 содержит только два фазовых поля, а именно: поле гомогенного флюида и поле двух сосуществующих флюидных фаз. Сходным образом выглядят фазовые диаграммы для $0.24 \leqslant {{r}_{{{\text{NaCl}}}}} \leqslant 0.67.$
Рис. 2.
Эволюция фазовых диаграмм системы H2O–CO2–соль при изменении отношения xNaCl/xsalt, xsalt, T = 600°C, P =5 кбар. Жирная синяя линия – граница поля двух сосуществующих флюидных фаз (сольвус). Незалитыми кружками обозначены критические точки поля двухфазного флюида. Жирные зеленые и оранжевые линии обозначают границы полей существования твердых фаз NaCl (а)–(е) и CaCl2 (з)–(м) соответственно. Числа в рамках обозначают области (поля) различного фазового состава: 1 – гомогенный флюид, 2 – две сосуществующие флюидные фазы, 3 – две флюидные фазы, сосуществующие с твердой солью ((а–е) – NaCl и (з–м) – CaCl2), 4 – рассол, сосуществующий с твердой солью, 5 – богатый CO2 флюид, сосуществующий с твердой солью. Тонкие черные линии – изолинии химической активности воды. Значения активности ${{a}_{{{{{\text{H}}}_{{\text{2}}}}{\text{O}}}}} = 0.1,0.2,0.3,0.4,0.5,0.6,0.8$ в последовательности линий сверху вниз и справа налево (частично обозначены цифрами на рис. 2а, 2е, 2ж, 2м).

Сравнение пары рис. 2а и 2б и пары рис. 2л и 2м показывает, что добавление даже 0.1% CaCl2 к чистому NaCl в первом случае и 0.2% NaCl к чистому CaCl2 во втором случае принципиально изменяет фазовую диаграмму. Поле-3 с тремя сосуществующими фазами радикальным образом увеличивается, в то время как поле-5 богатого CO2 флюида, сосуществующего с твердой солью, сокращается до незначительных размеров. Поле-3 на рис. 2б и рис. 2л уже не является областью постоянной активности воды как в случае чистой соли. В отличие от случая чистых солей, это поле пересекается изолиниями ${{a}_{{{{{\text{H}}}_{{\text{2}}}}{\text{O}}}}}.$ Для системы с чистым NaCl активность воды в области сосуществования двух флюидных фаз (поле-2 и поле-3) не могла быть меньше ${{a}_{{{{{\text{H}}}_{{\text{2}}}}{\text{O}}}}} = 0.367.$ Добавление даже долей процента второй соли делает возможным сосуществование двух флюидных фаз при сколь угодно малой активности воды. То же самое происходит и при добавлении малых количеств NaCl к чистому CaCl2. Переход к еще более смешанному составу соли (рис. 2в–2е и 2к–2з) ведет к перестроению положения изолиний активности воды, постепенному сокращению поля-3 и изменению положения сольвуса.
Составы и плотности сосуществующих флюидных фаз
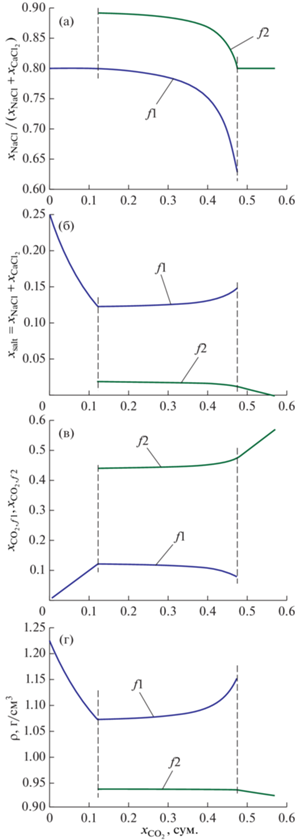
Значительное отличие четырехкомпонентной флюидной системы от тройных систем связано с составом сосуществующих флюидных фаз. В тройной системе вода–газ–соль изолинии активностей компонентов являются кривыми в поле гомогенного флюида. Если они пересекают сольвус и переходят в поле двух сосуществующих флюидов, они становятся прямыми линиями – коннодами, соединяющими две точки пересечения с сольвусом. Составы двух сосуществующих флюидных фаз вдоль конноды постоянны. Одна из этих фаз имеет состав гомогенного флюида в верхней точке пересечения. Состав другой фазы совпадает с составом гомогенного флюида в нижней точке пересечения. В четырехкомпонентной системе различие между энергиями взаимодействия NaCl и CaCl2 с водой и CO2 приводит к перераспределению солей между сосуществующими флюидными фазами при изменении полного состава системы. В результате составы сосуществующих флюидных фаз не являются постоянными вдоль изолиний постоянных активностей. Эти изолинии не являются коннодами и, в общем случае, они не являются прямыми линиями. Пример перераспределения солевых компонент вдоль линии постоянной активности воды дан на рис. 3. На этом рисунке представлены данные, характеризующие составы и плотность двух флюидных фаз, обозначенных как f1 и f2, вдоль изолинии ${{a}_{{{{{\text{H}}}_{{\text{2}}}}{\text{O}}}}} = 0.6$ на рис. 2е (полный состав системы соответствует ${{r}_{{{\text{NaCl}}}}} = 0.8$) в зависимости от полной мольной доли CO2 в системе (${{x}_{{{\text{C}}{{{\text{O}}}_{{\text{2}}}}{\text{,total}}}}}$ на рис. 3). На рисунке 3а представлены отношения rNaCl для фаз f1 и f2. Для гомогенного флюида ${{r}_{{{\text{NaCl}}}}} = 0.8$. После того как изолиния пересекает сольвус при ${{x}_{{{\text{C}}{{{\text{O}}}_{{\text{2}}}}}}} = 0.122,$ появляется вторая флюидная фаза f2 (зеленая кривая). Эта фаза находится в равновесии с исходной фазой при ${{a}_{{{{{\text{H}}}_{{\text{2}}}}{\text{O}}}}} = 0.6,$ однако отношение мольных долей солей в ней очень отличается от общего ${{r}_{{{\text{NaCl}}}}} = 0.8.$ Эта вторая фаза обогащена NaCl за счет незначительной потери NaCl в исходном флюиде (синяя линия). В ходе следования вдоль изолинии две флюидные фазы обмениваются солями и другими компонентами. Далее, при ${{x}_{{{\text{C}}{{{\text{O}}}_{{\text{2}}}}}}} = 0.474$, исходная флюидная фаза f1 исчезает, в то время как фаза f2 приходит к соотношению мольных долей солей гомогенного флюида ${{r}_{{{\text{NaCl}}}}} = 0.8.$ Фаза f1 является преимущественно водно-солевой с небольшим содержанием углекислого газа, в то время как f2 это водно-углекислотная фаза с очень незначительным содержанием соли. В случае тройной системы с одной солью сосуществующие фазы так же были бы водно-солевой и водно-углекислотной, но их составы и плотности были бы постоянными на линии постоянной активности воды (конноде).
Рис. 3.
(а) Отношение ${{{{x}_{{{\text{NaCl}}}}}} \mathord{\left/ {\vphantom {{{{x}_{{{\text{NaCl}}}}}} {({{x}_{{{\text{NaCl}}}}} + {{x}_{{{\text{CaC}}{{{\text{l}}}_{{\text{2}}}}}}})}}} \right. \kern-0em} {({{x}_{{{\text{NaCl}}}}} + {{x}_{{{\text{CaC}}{{{\text{l}}}_{{\text{2}}}}}}})}}$ в сосуществующих флюидных фазах вдоль изолинии ${{a}_{{{{{\text{H}}}_{{\text{2}}}}{\text{O}}}}} = 0.6$ при T = 600°C, P = 5 кбар и суммарном отношении ${{{{x}_{{{\text{NaCl}}}}}} \mathord{\left/ {\vphantom {{{{x}_{{{\text{NaCl}}}}}} {\left( {{{x}_{{{\text{NaCl}}}}} + {{x}_{{{\text{CaC}}{{{\text{l}}}_{{\text{2}}}}}}}} \right)}}} \right. \kern-0em} {\left( {{{x}_{{{\text{NaCl}}}}} + {{x}_{{{\text{CaC}}{{{\text{l}}}_{{\text{2}}}}}}}} \right)}} = 0.8$ (рис. 2е). Границы области сосуществования двух флюидных фаз обозначены вертикальными прерывистыми линиями. (б) Суммарные солености флюидных фаз на изолинии ${{a}_{{{{{\text{H}}}_{{\text{2}}}}{\text{O}}}}} = 0.6.$ (в) Мольная доля CO2 в сосуществующих флюидных фазах. (г) Плотности флюидных фаз.

Фазовые диаграммы в координатах H2O–NaCl–CaCl2
Помимо фазовых диаграмм рис. 2 на сечениях с постоянным соотношением мольных долей двух солей на рис. 4 мы приводим фазовые диаграммы водно-солевой системы при фиксированных мольных долях углекислого газа. Это фазовая диаграмма трехкомпонентной системы вода–две соли на рис. 4а и фазовые диаграммы рис. 4б, 4в и 4г для ненулевых ${{x}_{{{\text{C}}{{{\text{O}}}_{{\text{2}}}}}}}.$ При отсутствии углекислого газа в системе (рис. 4а) распада флюида на несмесимые флюидные фазы не происходит. Поэтому гомогенный флюид, содержащий H2O, NaCl и CaCl2, присутствует при всех не обращающихся в ноль мольных долях этих компонентов. При высокой концентрации одной из солей и относительно малой мольной доле воды гомогенный флюид сосуществует с твердой фазой соответствующей соли.
Рис. 4.
Фазовые диаграммы на сечениях с постоянной мольной долей CO2, T = 600°C, P = 5 кбар. Обозначения фазовых полей см. рис. 2. В поле-3 две флюидные фазы, сосуществующие с твердой солью, поле-4 рассол, сосуществующий с твердой солью, дополнительно указан состав твердой соли (NaCl или CaCl2). (a) ${{x}_{{{\text{C}}{{{\text{O}}}_{{\text{2}}}}}}} = 0,$ (б) ${{x}_{{{\text{C}}{{{\text{O}}}_{{\text{2}}}}}}} = 0.005,$ (в) ${{x}_{{{\text{C}}{{{\text{O}}}_{{\text{2}}}}}}} = 0.1,$ (г) ${{x}_{{{\text{C}}{{{\text{O}}}_{{\text{2}}}}}}} = 0.4,$ (д) схема расположения сечений в тетраэдре составов.

Добавление в систему даже небольшого количества углекислого газа (рис. 4б) приводит к появлению широкого поля флюида, распавшегося на водно-углекислотную и водно-солевую фазы. Дальнейшее увеличение доли CO2 в системе (рис. 4в) ведет к серьезному сокращению поля гомогенного флюида и к его почти полному исчезновению при ${{x}_{{{\text{C}}{{{\text{O}}}_{{\text{2}}}}}}} = 0.4$ (рис. 4г).
Ограничения на величину активности воды в области распада флюида на две фазы
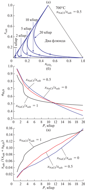
Как видно из фазовых диаграмм, представленных на рис. 2, в рассматриваемой нами четырехкомпонентной системе химическая активность воды в области двухфазного флюида не имеет ограничения снизу и может падать до величин, близких к нулю. В этом отношении термодинамическое поведение четверной системы со смешанным составом солевой компоненты отличается от поведения сходных тройных систем с одним солевым компонентом. Однако, так же как и в тройных системах, в системе H2O–CO2–NaCl–CaCl2 величина химической активности воды в области распада флюида на две сосуществующие флюидные фазы ограничена сверху. Величина этой предельной активности зависит от температуры, давления и соотношения мольных долей CO2 и CaCl2 в составе соли. На рис. 5а представлены сольвусы для флюида H2O–CO2–NaCl–CaCl2 с равными мольными долями NaCl и CaCl2 для нескольких давлений от 1 кбар до 20 кбар при 700°C. С ростом давления поле гомогенного флюида расширяется, а сольвусы вместе с критическими точками, в которых активность воды принимает значения, максимально возможные для флюида в гетерогенном поле, смещаются в область более высоких концентраций соли и углекислого газа. Возрастание мольных долей солей и CO2 ведет к падению активности воды в критических точках. На рис. 5б приведены зависимости от давления этой предельной величины ${{a}_{{{{{\text{H}}}_{{\text{2}}}}{\text{O}}}}}$ при T = 700°C для двух крайних систем с чистыми солями и для промежуточной системы с ${{r}_{{{\text{NaCl}}}}} = 0.5.$ Во всех трех системах рост давления ведет к расширению поля гомогенного флюида и, соответственно, падению активности воды в критической точке поля двухфазного флюида. При увеличении давления от 4 кбар и выше наиболее резким является падение активности воды с солью в виде чистого CaCl2. С увеличением доли NaCl в составе солевой компоненты зависимость ${{a}_{{{{{\text{H}}}_{{\text{2}}}}{\text{O}}}}}(P)$ становится более пологой.
Рис. 5.
(а) Сольвусы (синие кривые) и критические точки (незалитые кружки) для флюида H2O–CO2–NaCl–CaCl2, ${{{{x}_{{{\text{NaCl}}}}}} \mathord{\left/ {\vphantom {{{{x}_{{{\text{NaCl}}}}}} {{{x}_{{{\text{salt}}}}}}}} \right. \kern-0em} {{{x}_{{{\text{salt}}}}}}} = 0.5$ при T = 700°C и давлении от 1 до 20 кбар. (б) Максимальная активность воды в области сосуществования двух флюидных фаз при трех различных солевых составах флюидной системы в зависимости от давления при T = 700°C. (в) Минимальная соленость водно-солевой составляющей флюида, при которой возможен его распад на две фазы, T = 700°C.

Как видно из рис. 5а рост давления приводит к увеличению мольной доли соли в составе флюида в критической точке. Одновременно происходит значительное возрастание мольной доли углекислого газа. Вследствие этого минимально возможное отношение ${{{{x}_{{{\text{salt}}}}}} \mathord{\left/ {\vphantom {{{{x}_{{{\text{salt}}}}}} {({{x}_{{{\text{salt}}}}} + {{x}_{{{{{\text{H}}}_{{\text{2}}}}{\text{O}}}}})}}} \right. \kern-0em} {({{x}_{{{\text{salt}}}}} + {{x}_{{{{{\text{H}}}_{{\text{2}}}}{\text{O}}}}})}}$ в водно-солевой части расслоенного флюида возрастает в большей степени, чем мольная доля соли в полном составе флюида. Широко распространенный метод микротермометрии (Van den Kerkhof, Hein, 2001), применяемый для исследования природных включений, позволяет определить именно величину ${{{{x}_{{{\text{salt}}}}}} \mathord{\left/ {\vphantom {{{{x}_{{{\text{salt}}}}}} {({{x}_{{{\text{salt}}}}} + {{x}_{{{{{\text{H}}}_{{\text{2}}}}{\text{O}}}}})}}} \right. \kern-0em} {({{x}_{{{\text{salt}}}}} + {{x}_{{{{{\text{H}}}_{{\text{2}}}}{\text{O}}}}})}}.$ Величина этого отношения в критической точке в зависимости от давления представлена на рис. 5в для трех соотношений ${{{{x}_{{{\text{NaCl}}}}}} \mathord{\left/ {\vphantom {{{{x}_{{{\text{NaCl}}}}}} {{{x}_{{{\text{salt}}}}}}}} \right. \kern-0em} {{{x}_{{{\text{salt}}}}}}}.$
ЗАКЛЮЧЕНИЕ
В настоящей работе получены следующие результаты.
1. Выведено выраженное в терминах избыточной свободной энергии Гиббса уравнение состояния флюидной системы H2O–CO2–NaCl–CaCl2. Область применимости уравнения состояния: температуры от 500 до 1400°C и давления от 1 до 20 кбар. Полученное уравнение состояния является обобщением полученных в работах (Иванов, Бушмин, 2019, 2021) уравнений состояния тройных систем H2O–CO2–CaCl2 и H2O–CO2–NaCl. При отсутствии в системе одной из солей уравнение настоящей работы переходит в уравнения состояния из работ (Иванов, Бушмин, 2019, 2021).
2. Получены формулы для химических активностей компонентов, соответствующие выведенному уравнению для избыточной свободной энергии Гиббса.
3. Большая часть численных параметров уравнения была получена в предшествующих исследованиях краевых систем H2O–CO2–NaCl и H2O–CO2–CaCl2. Параметр для взаимодействия NaCl–CaCl2 получен из экспериментальных данных по ликвидусу смеси этих солей.
4. Уравнение состояния делает возможным вычисление большинства термодинамических характеристик для произвольных мольных долей компонентов.
5. В настоящей работе представлена серия фазовых диаграмм системы при фиксированном отношении мольных долей NaCl и CaCl2. Фазовые диаграммы такого рода, выглядящие сходно с такими диаграммами для тройных систем, позволяют прослеживать изменения в термодинамике системы H2O–CO2–соль при изменении состава соли. Наряду с особенностями, зависящими от свойств пары NaCl–CaCl2 и специфическими для нашей модели, такое исследование позволяет выявить фундаментальные различия между тройными и четырехкомпонентными системами.
6. При заданных P-T как в тройных, так и в четырехкомпонентных системах существуют верхние пределы активности воды в поле сосуществования двух флюидных фаз. В случае если P-T условия позволяют существование фазы твердой соли, для тройных систем существует также нижний предел для активности воды в поле сосуществования двух флюидных фаз. Этот эффект отсутствует в четырехкомпонентных флюидных системах с двумя солями. Активность воды в поле двухфазного флюида в четырехкомпонентной системе со смешанным составом соли может снижаться до значений, близких к нулю.
7. В поле четырехкомпонентного флюида, расслоенного на две сосуществующие флюидные фазы, линии постоянных активностей компонентов не являются коннодами, т.е. линиями, на которых составы сосуществующих фаз постоянны. При движении вдоль этих линий происходит перераспределение компонентов между сосуществующими фазами. Детально исследован пример изменения состава и плотности сосуществующих флюидных фаз при изменении полного состава системы и зафиксированной постоянной активности воды.
8. Получена серия фазовых диаграмм системы в координатах H2O–NaCl–CaCl2 при фиксированных мольных долях CO2. Диаграммы содержат фазовые поля двух твердых солей, сосуществующих как с гомогенным, так и с распавшимся на две фазы флюидом. Прослежено изменение полей гомогенного и двухфазного флюида при изменении мольной доли CO2.
9. Получены зависимости от давления для максимальной активности воды в области сосуществования несмесимых флюидных фаз при различном солевом составе системы.
Сравнение полученных результатов с аналогичными результатами для флюидов с одной солью из (Аранович и др., 2010; Иванов, Бушмин, 2019, 2021) показывает, что термодинамическое поведение четверной системы со смешанным составом солевой компоненты в значительной степени отличается от поведения краевых тройных систем с одним солевым компонентом вследствие снятия ограничений, вытекающих из меньшего числа компонентов в тройной системе. Данный качественный вывод не является специфическим для построенной нами термодинамической модели и предположительно должен оставаться справедливым и для других возможных моделей рассмотренной и сходных систем. Использование численных термодинамических моделей многокомпонентных флюидных систем расширяет возможности теоретического анализа геологических процессов с участием флюидов, а также дает новый инструмент для интерпретации результатов исследований флюидных включений.
Компьютерная программа, выполняющая расчеты по представленной выше термодинамической модели доступна по адресу https://www.dropbox.com/sh/70xaght7deludws/AAA5QygWCrr4sGFqxQpx1b24a?dl=0.
Финансовые источники. Работа выполнена в рамках госзадания по теме НИР ИГГД РАН FMUW-2021-0002.
Список литературы
Аранович Л.Я. Флюидно-минеральные равновесия и термодинамические свойства смешения флюидных систем // Петрология. 2013. Т. 21. № 6. С. 588–599.
Аранович Л.Я. Роль рассолов в высокотемпературном метаморфизме и гранитизации // Петрология. 2017. Т. 25. № 5. С. 491–503.
Аранович Л.Я., Закиров И.В., Сретенская Н.Г., Геря Е.В. Тройная система H2O–CO2–NaCl при высоких Р-T параметрах: Эмпирическая модель смешения // Геохимия. 2010. № 5. С. 1–10.
Иванов М.В. Бушмин С.А. Уравнение состояния флюидной системы H2O–CO2–CaCl2 и свойства флюидных фаз при P-T параметрах средней и нижней коры // Петрология. 2019. Т. 27. № 4. С. 431–445.
Иванов М.В., Бушмин С.А. Термодинамическая модель флюидной системы H2O–CO2–NaCl при P-T параметрах средней и нижней коры // Петрология. 2021. Т. 29. № 1. С. 90–103.
Киссин И.Г. Флюиды в земной коре: геофизические и тектонические аспекты. М.: Наука, 2009. 328 с.
Котельников А.Р., Котельникова З.А. Экспериментальное изучение фазового состояния системы H2O–CO2–NaCl методом синтетических флюидных включений в кварце // Геохимия 1990. № 4. С. 526–537.
Леонов Ю.Г., Киссин И.Г., Русинов В.Л. (ред). Флюиды и геодинамика. М.: Наука, 2006. 283 с.
Родкин М.В., Рундквист Д.В. Геофлюидогеодинамика. Приложение к сейсмологии, тектонике, процессам рудо- и нефтегенеза. Долгопрудный: Издательский дом “Интеллект”, 2017. 288 с.
Aranovich L.Y., Newton R.C. H2O activity in concentrated NaCl solutions at high pressures and temperatures measured by the brucite – periclase equilibrium // Contrib. Mineral. Petrol. 1996. V. 125. P. 200–212.
Aranovich L.Y., Newton R.C. H2O activity in concentrated KCl and KCl–NaCl solutions at high temperatures and pressures measured by the brucite-periclase equilibrium // Contrib. Mineral. Petrol. 1997. V. 127. P. 261–271.
Aranovich L.Ya., Shmulovich K.I., Fed’kin V.V. The H2O and CO2 regime in regional metamorphism // Int. Geol. Rev. 1987. V. 29. P. 1379–1401.
Bischoff J.L., Rosenbauer R.J., Fournier R.O. The generation of HCl in the system CaCl2–H2O: Vapor-liquid relations from 380–500°C // Geochim. Cosmochim. Acta. 1996. V. 60. P. 7–16.
Chartrand P., Pelton A.D. Thermodynamic equation and optimization of the LiCl–NaCl–KCl–RbCl–CsCl–MgCl2‒CaCl2 system using the modified quasi-chemical model // Metall. Mater. Trans. A 2001. V. 32A. P. 1361–1383.
Duan Z., Møller N., Weare J.H. Equation of state for the NaCl–H2O–CO2 system: prediction of phase equilibria and volumetric properties // Geochim. Cosmochim. Acta. 1995. V. 59. P. 2869–2882.
Frantz J.D., Popp R.K., Hoering T.C. The compositional limits of fluid immiscibility in the system H2O–CO2–NaCl as determined with the use of synthetic fluid inclusions in conjunction with mass spectrometry // Chem. Geol. 1992. V. 98. P. 237–255.
Heinrich W., Churakov S.S., Gottschalk M. Mineral-fluid equilibria in the system CaO–MgO–SiO2–H2O–CO2–NaCl and the record of reactive fluid flow in contact metamorphic aureoles // Contrib. Mineral. Petrol. 2004. V. 148. P. 131–149.
Johnson E. L. Experimentally determined limits for H2O–CO2–NaCl immiscibility in granulites // Geology. 1991. V. 19. P. 925–928.
Joyce D.B., Holloway J.R. An experimental determination of the thermodynamic properties of H2O–CO2–NaCI fluids at high temperatures and pressures // Geochim. Cosmochim. Acta. 1993. V. 57. P. 733–746.
Liebscher A. Experimental studies in model fluid systems // Rev. Mineral. Geochem. 2007. V. 65. № 1. P. 15–47.
Manning C.E. Fluids of the lower crust: deep is different // Annu. Rev. Earth Planet. Sci. 2018. V. 46. P. 67–97.
Manning C.E., Aranovich L.Y. Brines at high pressure and temperature: thermodynamic, petrologic and geochemical effects // Precambr. Res. 2014. V. 253. P. 6–16.
Markl G., Bucher K. Composition of fluids in the lower crust inferred from metamorphic salt in lower crustal rocks // Nature. 1998. V. 391. P. 781–783.
Seltveit A., Flood H. Determination of the solidus curve by tracer technique. The system CaCl2–NaCl // Acta Chem. Scand. 1958. V. 12. P. 1030–1041.
Shmulovich K.I., Graham C.M. An experimental study of phase equilibria in the system H2O–CO2–NaCl at 800°C and 9 kbar // Contrib. Mineral. Petrol. 1999. V. 136. P. 247–257.
Shmulovich K.I., Graham C.M. An experimental study of phase equilibria in the systems H2O–CO2–CaCl2 and H2O–CO2–NaCl at high pressures and temperatures (500–800°C, 0.5–0.9 GPa): geological and geophysical applications // Contrib. Mineral. Petrol. 2004. V. 146. P. 450–462.
Steele-MacInnis M., Bodnar R.J., Naden J. Numerical mo-del to determine the composition of H2O–NaCl–CaCl2 fluid inclusions based on microthermometric and microanalitic data // Geochim. Cosmochim. Acta. 2011. V. 75. P. 21–40.
Trommsdorff V., Skippen G., Ulmer P. Halite and sylvite as solid inclusions in high-grade metamorphic rocks // Contrib. Mineral. Petrol. 1985. V. 89. P. 24–29.
Van den Kerkhof A.M., Hein U.F. Fliud inclusion petrography // Lithos. 2001. V. 55. P. 27–47.
Zhang Y.-G., Frantz J.D. Experimental determination of the compositional limits of immiscibility in the system CaCl2–H2O–CO2 at high temperatures and pressures using synthetic fluid inclusions // Chem. Geol. 1989. V. 74. P. 289–308.
Дополнительные материалы отсутствуют.



