Петрология, 2023, T. 31, № 4, стр. 436-460
Муассанит в породах Бобруйского выступа Белорусского кристаллического массива Восточно-Европейского кратона
В. И. Левицкий a, *, И. В. Левицкий a, Л. А. Павлова a, М. В. Лукашова b, **
a Институт геохимии им. А.П. Виноградова СО РАН
Иркутск, Россия
b ООО TESCAN
Санкт-Петербург, Россия
* E-mail: vlevit@igc.irk.ru
** E-mail: LukashovaMV@tescan.ru
Поступила в редакцию 11.10.2021
После доработки 14.03.2022
Принята к публикации 18.05.2022
- EDN: GROGVP
- DOI: 10.31857/S0869590323020048
Аннотация
В Бобруйском погребенном выступе Белорусского кристаллического массива западной части Восточно-Европейского кратона встречены накопления минералов, самородных, интерметаллических, аморфных соединений, содержащих K, Na, Fe, Mn, Сa, Ba, Sr, Cu, Pb, Co, Ni, Sn, Zn, Al, Ce, Nd, La, Pr, Sm, Y, Yb, Nb, Hf, W, Mo, Zr, Cr, V, Ag, Ti, Si, As, P, Bi, O, H, F, Cl, S, Se, C, В, N, F. Среди них присутствует муассанит. Он образует ксеноморфные и субидиоморфные обособления размером до 1.5 мм и представлен гексагональной политипной модификацией 6H. В одном из его зерен обнаружены включения, присущие метеоритам – синоит (Si2N2O), цзифенгит (Si5Fe3) и аваруит (Ni3Fe). Муассанит, ассоциирующие с ним самородные, интерметаллические, аморфные соединения развиты в виде рассеянной убогой разнозернистой вкрапленности в породах разновозрастных комплексов фундамента Бобруйского выступа. Это свидетельствует о наложенном характере минерализации. Всю совокупность наблюдаемых с муассанитом кристаллических и аморфных выделений предлагается обозначить как бобруйскиты. Предполагается, что минералообразование было обусловлено импактным воздействием на породы Бобруйского выступа.
ВВЕДЕНИЕ
В Бобруйском погребенном выступе (БПВ) Белорусского кристаллического массива западной части Восточно-Европейского кратона встречены накопления минералов, самородных и интерметаллических соединений, содержащих K, Na, Fe, Mn, Сa, Ba, Sr, Cu, Pb, Co, Ni, Sn, Zn, Al, Ce, Nd, La, Pr, Sm, Y, Yb, Nb, Hf, W, Mo, Zr, Cr, V, Ag, Ti, Si, As, P, Bi, O, H, F, Cl, S, Se, C, В, N, F. Это крупнейшее в природе сосредоточение минеральных видов с разнообразными составами и редкими морфологическими формами выделений. Кристаллические и аморфные фазы присутствуют в структуре в виде рассеянной разнозернистой вкрапленности в породах разного возраста трех комплексов.
Интерес к редко встречающимся в природе самородным и интерметаллическим соединениям всегда был более значимым, чем к обычным минералам. Как правило, они присутствуют в отдельных единичных зернах экзогенных и эндогенных пород, характеризуя необычные для атмосферы Земли условия восстановительного режима минералообразования. Самородные и интерметаллические соединения, среди которых встречается и муассанит, известны в структурах разного генезиса и возраста – в основных магматических, реже в осадочных породах, гидротермальных месторождениях, метеоритах, алмазоносных кимберлитах и лампроитах.
Минерализация, близкая по морфологии зерен и составам БПВ в виде самородных и интерметаллических фаз (C, Fe, Al, Ni, Cr, Mo, Ti, Cu, Ti, Zn, Pb, Sn, Sb, As, Au, Ag, Hg, Pd, Pt, Ir), с муассанитом встречена в Карпатах, Кубано-Черноморском регионе, Днепровско-Донецкой впадине (Лукин, Мельничук, 2012; Лукин, Самойленко, 2015 и др.). Подобные выделения распространены и в глубокозалегающих горизонтах газовых, газово-нефтяных, нефтяных скважин, грязевых вулканах Крыма (Шнюков и др., 2015) и Кавказа (Шнюков, Лукин, 2011 и др.), базальтах Волыни (Лукин, Мельничук, 2012), нефтяном месторождении Белый Тигр в Восточно-Китайском море (Старостенко и др., 2011 и др.). Большое количество самородных и интерметаллических соединений обнаружено в реголитах Луны (Лунный …, 1980; Мохов и др., 2007; Мохов и др., 2015 и др.).
Специфической особенностью изученных образований является распространение муассанита в породах трех разновозрастных структурно-вещественных комплексов Бобруйского выступа. Муассанит обнаружен в протолочках проб и шлифах, что подтверждает его природное, а не техногенное происхождение. В породах БПВ по ярко-изумрудно-зеленой окраске и прозрачности можно проследить его распределение в комплексах. Он, хотя и встречается в эндогенных и экзогенных образованиях, обычно рассматривается в качестве индикатора глубинного петрогенезиса (Чернышова, 1989). В породах БПВ муассанит наблюдается вместе с широким кругом самородных, интерметаллических, кристаллических и аморфных фаз, формирующихся, как принято считать, в высокоультрабарических и высокотемпературных условиях. Присутствие редких соединений в виде разнозернистой рассеянной вкрапленности в ассоциации с муассанитом может отражать наложенный характер проявления процессов минералообразования. В статье рассматриваются вопросы, касающиеся:
– геологических и петролого-геохимических характеристик вмещающих минерализацию магматических пород разновозрастных комплексов БПВ;
– вещественных, рентгеноструктурных свойств муассанита, его политипных модификаций, включений в муассаните синоита, цзифенгита, аваруита;
– условий формирования наложенных парагенезисов (ассоциаций) с муассанитом (включений в нем), самородных, интерметаллических и аморфных соединений в породах БПВ;
– представлений о проявлениях подобной минерализации в образованиях разного происхождения.
– оценки вероятной природы рассматриваемой минерализации.
МЕТОДЫ ИССЛЕДОВАНИЙ
Проведено комплексное геологическое, петрографическое и минералогическое исследование муассанита и ассоциирующих с ним соединений разных классов в породах и протолочках семи скважин кристаллического фундамента, габбро-долеритовой, риодацит-риолитовой формации, метасоматитах в БПВ. Просмотрены протолочки с самородными и интерметаллическими фазами (<0.01–2 мм) – 150 проб, шлифы пород кристаллического фундамента, риодацит-риолитовой и габбро-долеритовой формаций, даек основного и кислого состава, метасоматитов – 250 проб. Установлены вариации содержаний муассанита и редких минеральных видов, их соотношений между собой.
В Институте геохимии СО РАН (ИГХ СО РАН, г. Иркутск) осуществлены аналитические исследования валовых проб – рентгенофлюоресцентный, количественный эмиссионно-спектральный метод. На микрозонде JEOL-8200 (ИГХ СО РАН, аналитик Л.А. Павлова, 14240 анализов) и на электронном микроскопе ТESCAN LYRA-3 c энергодисперсионной приставкой Oxford Instruments X-Max 80 и для некоторых проб рентгеноструктурным методом EBSD Oxford Instruments NordlysNano в демонстрационно-методическом центре TESCAN (г. Санкт Петербург, аналитик М.В. Лукашова) выполнены исследования состава минералов (150 проб). В ряде образцов определены кристаллографическая система (сингония), группа Лауэ, пространственная группа, параметры элементарной ячейки и углы между ними; по наличию/отсутствию линий Кикучи – принадлежность к кристаллическим или аморфным веществам. Это позволило провести идентификацию фаз по имеющимся литературным данным и базам синтетических соединений. Выполнено детальное изучение состава муассанита, а также ассоциирующих с ним минералов вмещающих пород и наложенных на них самородных, интерметаллических и аморфных фаз, определены их рентгеноструктурные параметры. Муассанит в изученных породах является относительно распространенным минералом, ассоциируя с самородными и интерметаллическими фазами и аморфными металлами, имеет с ними одинаковое происхождение. Он обнаружен в протолочках 23 проб и в 40 шлифах. Присутствие аморфных металлов, впервые обнаруженных в природе, установлено при исследованиях на электронном микроскопе ТESCAN LYRA-3 с рентгеноструктурной приставкой методом EBSD. Предварительно перед исследованием на микроскопе частицы (29 зерен), содержащие Fe, Mn, Cr, Ni, Si, подверглись многократной ионной полировке Ar с целью получения идеальной поверхности. В изученных образцах дифракционные картины линий Кикучи, присущие кристаллическим веществам, отсутствуют, свидетельствуя об их рентгеноаморфном состоянии. По этим данным и составам, полученным для этих же зерен, на электронном микроскопе ТESCAN LYRA-3 и микрозонде JEOL-8200 была установлена их принадлежность к аморфным металлам (Левицкий и др., 2019). Этим же методом в ряде выделений выявлено присутствие аморфного и кристаллического железа и графита, широкого круга аморфных веществ, силикатных и алюмосиликатных стекол.
РЕЗУЛЬТАТЫ ИССЛЕДОВАНИЙ
В предшествующих работах (Солодилова и др., 2012, 2015; Левицкий и др., 2018) было установлено присутствие минерализации с самородными, интерметаллическими и другими редкими соединениями в породах кислого и основного составов Бобруйской кольцевой структуры (БКС). Ранее она выделялась как импактная (Беляшов, 2002). Однотипная минерализация с муассанитом была встречена в породах фундамента и риодацит-риолитовой формации в скважинах, удаленных на 40–70 км на юго-восток от БКС (рис. 1, скв. Паричская). Это свидетельствует о распространении минерализации в породах БПВ вне выделенных кольцевых структур. Ореол распространения в одних и тех же комплексах минерализации с муассанитом в Бобруйском погребенном выступе (30–90 км) намного больше размеров Бобруйской кольцевой структуры (28 × 32 км) (рис. 1, Беляшов, 2002). Геологические, петрографические и минералогические исследования в БПВ показали, что уникальное минералообразование является наложенным на вмещающие породы. Это позволяет обосновать последовательность эндогенных процессов во времени от раннего этапа становления вмещающих пород ВЕК до формирования в них более поздней наложенной минерализации.
Рис. 1.
Схема геологического строения Бобруйской кольцевой структуры (Солодилова и др., 2015). 1 – породы фундамента – микашевичского и житковичского комплексов; 2 – массивы габбро-долеритовой формации, выходящие на поверхность фундамента (а) и дешифрируемые по геофизическим данным (б); 3 – субвулканические тела риодацит-риолитовой формации, выходящие на поверхность фундамента (а) и дешифрируемые по геофизическим данным (б); 4 – осадочные породы платформенного чехла в депрессиях; 5 – фрагменты Припятского глубинного разлома, 6 – тектонические нарушения; 7 – фрагменты кольцевых разломов. Цифрами на карте приведены номера скважин.

Геологическое строение Бобруйской кольцевой структуры (БКС) установлено по результатам глубинного бурения и геофизическим данным (Беляшов, 2002). Строение БКС (рис. 1) определяет микашевичский и житковичский комплексы кристаллического фундамента Восточно-Европейского кратона. В фундаменте, в зонах кольцевых и радиальных разломов залегают породы субвулканической риодацит-риолитовой и габбро-долеритовой формаций (Солодилова и др., 2012; Солодилова и др., 2015; Левицкий и др., 2018).
Кроме того, в БКС присутствуют дайки гранитного и диабазового составов, метасоматиты, но их доля не больше 0.1%. В них также проявлена наложенная минерализация с муассанитом, самородными и интерметаллическими фазами, аморфными металлами.
Общепринятой является следующая последовательность формирования пород: кристаллический фундамент → тела риодацит-риолитовой (Солодилова и др., 2012 и др.) и габбро-долеритовой (Солодилова и др., 2015) формаций → дайки кислых и основных магматических пород. Возраст формирования всех этих пород оценивается в 1.8–2.0 млрд лет (Геохронологическая …, 1989).
Породы кристаллического фундамента представлены микашевичским и житковичским комплексами. В строении микашевичского комплекса доминируют гранодиориты, кварцевые диориты и биотитовые граниты, реже встречаются – диориты и лейкократовые граниты. Гранитоиды житковичского комплекса представлены амфибол-биотитовыми кварцевыми сиенитами, граносиенитами, реже биотитовыми гранитами и лейкогранитами (Аксаментова, 2002; Найденков и др., 2005 и др.). Их абсолютный возраст по аналогии с гранодиоритами и сиенитами северо-запада Украинского щита составляет 2040–2030 млн лет (Геохронологическая …, 1989). По нашему мнению, житковичский и микашевичский комплексы являются классическими мигматит-гранитными образованиями. В микашевичском – преобладают плагиоклазовые, калишпатовые и теневые калишпатовые мигматиты, а в житковичском – амфибол-биотитовые калишпатовые, теневые калишпатовые мигматиты, сиениты и граносиениты. Вторичные преобразования в породах фундамента являются крайнее интенсивными. В целом для пород микашевичского и житковичского комплексов характерны варьирующие содержания: SiO2 (от 52 до 77 мас. %), суммы щелочей (Na2O + K2O) при преобладании Na2O над K2O в средних породах, K2O в кислых разностях – гранитах, гранодиоритах и особенно в граносиенитах житковичского комплекса. В таблице 1 приведены анализы пород микашевичского и житковичского комплексов, в которых были обнаружены или муассанит c самородными и интерметаллическими фазами (табл. 1, выб. 1), или встречены только самородные и интерметаллические фазы без муассанита (табл. 1, выб. 2–4). В измененных и неизменных разностях пород кристаллического фундамента отсутствуют аномальные концентрации петрогенных и редких элементов, за исключением слабо повышенного содержания TiO2 (табл. 1, выб. 4), относительно высоких концентраций Ag, Au, Pt, Pd и значительных Pb, Zr в граносиенитах (табл. 1, выб. 3).
Таблица 1.
Химический (мас. %) и редкоэлементный состав (г/т) пород кристаллического фундамента, габбро-долеритовой и риодацит-риолитовой формаций
| Компо-ненты | 1 | 2 | 3 | 4 | 5 | 6 | 7 | 8 | 9 | |||||
|---|---|---|---|---|---|---|---|---|---|---|---|---|---|---|
| 46ББ 411 | 726 582 | ЮБ 1605 -1713 |
691/2 605.5 |
Х (16) | δ (16) | Х (9) | δ (9) | Х (9) | δ (9) | Х (6) | δ (6) | Х (15) | δ (15) | |
| SiO2 | 63.40 | 70.28 | 67.06 | 57.59 | 70.94 | 0.68 | 70.68 | 1.06 | 69.85 | 2.97 | 47.87 | 1.05 | 48.12 | 1.09 |
| TiO2 | 0.31 | 0.32 | 0.54 | 1.16 | 0.53 | 0.02 | 0.44 | 0.07 | 0.40 | 0.11 | 1.38 | 0.30 | 1.32 | 0.30 |
| Al2O3 | 18.07 | 15.11 | 14.58 | 15.50 | 13.59 | 0.27 | 14.04 | 0.41 | 14.66 | 1.49 | 17.45 | 0.76 | 17.94 | 2.56 |
| Fe2O3* | 3.56 | 2.25 | 4.90 | 8.93 | 3.73 | 0.33 | 2.32 | 0.40 | 2.76 | 0.87 | 13.08 | 1.40 | 12.29 | 2.52 |
| MnO | 0.08 | 0.05 | 0.06 | 0.14 | 0.07 | 0.02 | 0.06 | 0.03 | 0.06 | 0.02 | 0.16 | 0.02 | 0.15 | 0.03 |
| MgO | 1.17 | 0.67 | 1.45 | 3.33 | 0.68 | 0.21 | 0.87 | 0.28 | 0.83 | 0.62 | 6.32 | 0.88 | 6.60 | 1.89 |
| CaO | 3.49 | 1.68 | 1.21 | 5.67 | 1.87 | 0.29 | 1.60 | 0.56 | 1.44 | 0.86 | 8.46 | 0.58 | 8.80 | 1.08 |
| Na2O | 4.83 | 3.89 | 2.79 | 4.02 | 2.60 | 0.63 | 3.17 | 0.42 | 3.91 | 1.04 | 2.84 | 0.25 | 2.92 | 0.78 |
| K2O | 3.58 | 4.84 | 6.53 | 2.16 | 4.95 | 0.29 | 5.19 | 0.41 | 4.94 | 1.51 | 0.91 | 0.22 | 0.80 | 0.39 |
| P2O5 | 0.12 | 0.06 | 0.18 | 0.34 | 0.12 | 0.01 | 0.10 | 0.03 | 0.08 | 0.02 | 0.24 | 0.07 | 0.24 | 0.08 |
| П.п.п. | 1.24 | 0.75 | 0.70 | 1.11 | 0.77 | 0.29 | 0.78 | 0.34 | 0.92 | 0.37 | 1.32 | 1.07 | 0.87 | 1.13 |
| Сумма | 100.03 | 100.04 | 100.27 | 100.08 | 100.00 | 0.06 | 100.00 | 0.36 | 100.03 | 0.06 | 100.14 | 0.08 | 100.19 | 0.16 |
| Li | 16 | 15 | 29 | 14 | 26 | 7 | 17 | 3 | 16 | 9 | 15 | 6 | 15 | 14 |
| Rb | 148 | 199 | 144 | 51 | 198 | 29 | 164 | 15 | 151 | 47 | 14 | 7 | 22 | 32 |
| Cs | 3 | 2 | 3 | 1 | 7 | 3 | 3 | 1 | 3 | 1 | 1 | 0 | 1 | 1 |
| Ba | 920 | 570 | 1830 | 650 | 1116 | 111 | 944 | 402 | 1338 | 636 | 472 | 97 | 517 | 343 |
| Sr | 627 | 233 | 239 | 404 | 176 | 47 | 196 | 31 | 264 | 148 | 386 | 54 | 416 | 158 |
| B | 8.0 | 6.3 | 15.0 | 8.8 | 12.3 | 7.9 | 14.8 | 15.5 | 9.2 | 4.0 | 23.2 | 8.2 | 14.5 | 10.2 |
| Be | 2.9 | 4.2 | 1.6 | 2.5 | 3.7 | 0.4 | 2.0 | 0.6 | 3.0 | 0.4 | 1.1 | 0.2 | 1.2 | 0.5 |
| F | 520 | 730 | 600 | 710 | 863 | 307 | 472 | 133 | 601 | 234 | 406 | 162 | 354 | 120 |
| Mo | 5.9 | 2.4 | 1.6 | 1.9 | 4.1 | 1.6 | 2.0 | 0.6 | 1.5 | 0.9 | 1.7 | 0.7 | 1.6 | 0.4 |
| Sn | 1.8 | 2.6 | 1.7 | 3.1 | 5.6 | 3.2 | 2.6 | 0.2 | 6.7 | 8.9 | 2.0 | 0.3 | 3.4 | 1.9 |
| La | 31 | 48 | 53 | 26 | 53 | 6 | 47 | 8 | 51 | 19 | 14 | 4 | 13 | 5 |
| Ce | 58 | 85 | 103 | 51 | 102 | 13 | 91 | 13 | 95 | 37 | 30 | 8 | 33 | 10 |
| Nd | 11 | 27 | 52 | 17 | 45 | 6 | 37 | 9 | 38 | 21 | 13 | 3 | 16 | 6 |
| Yb | 1.6 | 2.3 | 3.4 | 2.5 | 3.6 | 0.2 | 2.4 | 0.6 | 2.9 | 0.8 | 2.1 | 0.6 | 2.2 | 0.7 |
| Y | 14 | 23 | 31 | 28 | 38 | 3 | 20 | 4 | 28 | 8 | 20 | 6 | 24 | 13 |
| Zr | 149 | 231 | 510 | 124 | 341 | 21 | 233 | 48 | 259 | 92 | 113 | 43 | 122 | 57 |
| Hf | но | но | 13.1 | но | 9.7 | но | 8.7 | но | 9.7 | 0.7 | но | но | но | но |
| Ta | но | но | 0.8 | но | 1.1 | но | 1.0 | но | 1.2 | 0.1 | но | но | но | но |
| Nb | но | но | 16.0 | но | 15.4 | но | 14.6 | но | 20.9 | 7.9 | но | но | но | но |
| Zn | 45 | 39 | 69 | 100 | 112 | 60 | 53 | 13 | 90 | 110 | 143 | 30 | 124 | 26 |
| Pb | 15 | 27 | 19 | 28 | 37 | 13 | 15 | 4 | 55 | 68 | 6 | 2 | 5 | 2 |
| Cu | 13 | 6 | 25 | 15 | 12 | 8 | 10 | 11 | 21 | 24 | 57 | 43 | 45 | 22 |
| Cr | 6 | 8 | 20 | 50 | 22 | 12 | 43 | 15 | 27 | 31 | 124 | 97 | 118 | 69 |
| V | 67 | 29 | 32 | 160 | 24 | 7 | 39 | 8 | 32 | 12 | 202 | 56 | 203 | 55 |
| Ni | 4 | 5 | 16 | 22 | 6 | 3 | 13 | 5 | 10 | 6 | 79 | 24 | 93 | 41 |
| Co | 5.0 | 3.7 | 5.9 | 25.0 | 3.9 | 1.4 | 4.4 | 1.0 | 4.9 | 3.7 | 47.8 | 12.0 | 50.3 | 13.5 |
| Sc | 6.8 | 4.2 | 8.4 | 29.0 | 9.3 | 1.4 | 6.6 | 1.2 | 7.1 | 3.7 | 24.8 | 7.2 | 24.1 | 9.0 |
| Ag | 0.094 | 0.100 | 0.174 | 0.100 | 0.297 | 0.249 | 0.163 | 0.078 | 0.324 | 0.558 | 0.146 | 0.061 | 0.112 | 0.021 |
| Au | 0.010 | 0.007 | 0.005 | 0.006 | 0.015 | 0.007 | 0.010 | 0.004 | 0.011 | 0.017 | 0.006 | 0.004 | 0.007 | 0.004 |
| Pt | 0.050 | 0.040 | 0.050 | 0.030 | 0.055 | 0.022 | 0.027 | 0.020 | 0.029 | 0.017 | 0.015 | 0.003 | 0.040 | 0.022 |
| Pd | 0.003 | 0.002 | 0.003 | 0.001 | 0.002 | 0.003 | 0.002 | 0.002 | 0.009 | 0.011 | 0.001 | 0.001 | 0.001 | 0.001 |
Примечание. 1–4 (номера проб) – породы кристаллического фундамента Бобруйского погребенного выступа: микашевичского комплекса – измененный гранодиорит с муассанитом (1), гранит (2); житковичского комплекса – гранодиорит (3), кварцевый сиенит, порфировидный, измененный (4); 5–7 – породы риодацит-риолитовой формации: гранит-порфир измененный (5), трахириолит слабо измененный (6), трахириодацит порфировой структуры (7); 8, 9 – породы габбро-долеритовой формации: габбро средне-крупнозернистые (8), долериты оливиновые и пироксеновые (9). В этой и последующих таблицах: X – среднее значение в выборке; δ – стандартное отклонение. В скобках указано количество проанализированных проб. но – не определялось.
Кислые вулканиты риодацит-риолитовой формации детально охарактеризованы в (Солодилова и др., 2012). Они представлены риолитами, экструзивными риодацитами и трахириодацитами, риолитами, трахириолитами, трахиандезитами, гранит-порфирами, мелко- и среднезернистыми гранитами. Породы из разных скважин и интервалов различаются по количеству, размеру и минеральному составу вкрапленников при близком петрохимическом составе. Во вкрапленниках риодацитов преобладают полевые шпаты, а риолитов – кварц. Характерная черта формации – порфировые структуры. Количество вкрапленников (кварца, калиевого полевого шпата) варьирует от 10 до 70% объема породы. Темноцветные минералы формации – амфибол, замещенный агрегатом биотита с эпидотом. Возраст кислых эффузивов оценивается как палеопротерозойский ≈1.9 млрд лет (Геохронология …, 1989).
Выборки пород риодацит-риолитовой формации представлены измененными гранит-порфирами (табл. 1, выб. 5); слабо измененными трахириолитами (табл. 1, выб. 6), трахириодацитами с порфировой структурой (табл. 1, выб. 7). Отдельные пробы различаются по содержаниям SiO2 = = 67.4–73.49 мас. % и (Na2O + K2O) = 5.58–10.65 мас. %, K2O = 2.38–7.9 мас. %. Однако для средних значений основных разновидностей пород фиксируются близкие содержания SiO2, Al2O3, MgO, CaO, Na2O, K2O (табл. 1, выб. 5–7). По сумме щелочей (Na2O + K2O) они относятся к субщелочным разновидностям гранитов при доминировании калия над натрием, имеют высокую железистость (0.65–0.89) с преобладанием окисного железа над закисным (табл. 1, выб. 5–7). Каких-либо аномальных содержаний редких элементов в породах формации не выявлено (табл. 1, выб. 5–7). Обращает на себя внимание слабо повышенное содержание в них Ag, Au, Pt, Pd (табл. 1, выб. 5–7). По геохимическим параметрам они соответствуют гранитам А-типа, а по геохимическому типу – гранитам рапакиви.
Породы габбро-долеритовой формации слагают многочисленные дайки, интрузивные тела небольших размеров (первые сотни метров), которые прорывают породы фундамента (Солодилова и др., 2015). Возраст комплекса оценивается в 1.80 млрд лет (Аксаментова, 2002). В породах габбро-долеритовой формации сохранились структура и первичный минеральный состав. Породы слабо дифференцированы от ультрамафитовых оливиновых долеритов до лейкократовых кварцсодержащих габбро. Характерны вариации состава и структуры, переходы от мезократовых к лейкократовым разновидностям, от крупнозернистых к мелко-среднезернистым, от неизмененных пород к измененным. Наиболее распространены оливиновые долериты с офитовой структурой, реже встречаются безоливиновые разности. В центральных частях крупных тел наблюдаются переходы от долеритов к крупно-среднезернистым габбро.
Химический состав формации варьирует от ультрабазитов до лейкократовых кварцевых габбро. Средние составы наиболее распространенных средне-крупнозернистых габбро (табл. 1, выб. 8) и оливиновых и пироксеновых долеритов (табл. 1, выб. 9) близки между собой. Наименее измененные оливиновые долериты отличаются от типичных пород этой формации высоким содержанием Al2O3 (17–18 мас. %), оксидов железа (Fe2O3 + FeO – 19–20 мас. %), суммой щелочей (среднее – 3.23 мас. %; мин. – 2.07 мас. %, макс. – 7.20 мас. %). Породы обладают повышенным содержанием TiO2 (среднее 1.44 мас. %), что присуще породам внутриконтинентальных геодинамических обстановок. Аномальных содержаний каких-либо редких элементов в породах формации не отмечается, но фиксируется слабо повышенное – Co (табл. 1, выб. 8, 9).
Дайки пород кислого состава прорывают тела габбро-долеритовой и риодацит-риолитовой формации, хотя и близки к породам последней по минеральному и химическому составу. Они представлены лейкократовыми и мезократовыми мелкозернистыми и среднезернистыми, часто порфировидными разностями, отражающими их кристаллизацию в гипабиссальных условиях. В изученных породах диоритового и гранодиоритового составов не выявлено каких-либо аномалий редких элементов (табл. 2, выб. 1, 2).
Таблица 2.
Химический (мас. %) и редкоэлементный состав (г/т) пород дайкового комплекса и метасоматических
| Компоненты | 1 | 2 | 3 | 4 | 5 | 6 | 7 |
|---|---|---|---|---|---|---|---|
| SiO2 | 63.40 | 57.59 | 48.79 | 48.56 | 47.75 | 62.23 | 67.60 |
| TiO2 | 0.31 | 1.16 | 1.69 | 0.52 | 2.09 | 0.77 | 0.47 |
| Al2O3 | 18.07 | 15.50 | 17.53 | 12.89 | 15.74 | 15.86 | 14.57 |
| Fe2O3* | 3.56 | 8.93 | 12.17 | 9.08 | 15.20 | 6.70 | 3.94 |
| MnO | 0.08 | 0.14 | 0.17 | 0.23 | 0.18 | 0.10 | 0.07 |
| MgO | 1.17 | 3.33 | 4.51 | 13.11 | 5.18 | 3.27 | 2.59 |
| CaO | 3.49 | 5.67 | 9.00 | 10.17 | 8.03 | 4.04 | 3.07 |
| Na2O | 4.83 | 4.02 | 1.88 | 0.90 | 3.12 | 3.84 | 3.79 |
| K2O | 3.58 | 2.16 | 2.28 | 2.43 | 1.01 | 2.09 | 3.11 |
| P2O5 | 0.12 | 0.34 | 0.38 | 0.19 | 0.46 | 0.09 | 0.13 |
| П.п.п. | 1.24 | 1.11 | 1.43 | 1.62 | 1.24 | 1.00 | 0.65 |
| Сумма | 100.03 | 100.08 | 99.96 | 99.82 | 100.12 | 100.09 | 100.09 |
| Li | 16 | 14 | 20 | 47 | 24 | 21 | 9 |
| Rb | 148 | 51 | 87 | 106 | 30 | 68 | 44 |
| Cs | 3 | 1 | 5 | 6 | 4 | 3 | 1 |
| Ba | 920 | 650 | 630 | 600 | 570 | 600 | 500 |
| Sr | 627 | 404 | 441 | 585 | 319 | 238 | 262 |
| B | 8.0 | 8.8 | 8.3 | 5.9 | 12.0 | 9.6 | 5.6 |
| Be | 2.9 | 5.5 | 1.1 | 5.7 | 1.2 | 2.8 | 2.7 |
| F | 520 | 710 | 470 | 1300 | 800 | 960 | 480 |
| Mo | 5.9 | 1.9 | 3.1 | 1.4 | 2.8 | 2.6 | 1.5 |
| Sn | 1.8 | 3.1 | 3.3 | 2.7 | 2.8 | 2.4 | 2.3 |
| La | 31 | 26 | 19 | 37 | 20 | 32 | 35 |
| Ce | 58 | 51 | 45 | 72 | 54 | 58 | 78 |
| Nd | 11 | 17 | 15 | 24 | 25 | 21 | 28 |
| Yb | 2 | 3 | 2.9 | 1.2 | 2.6 | 2.4 | 1.7 |
| Y | 14 | 28 | 32 | 14 | 33 | 25 | 23 |
| Zr | 149 | 124 | 165 | 40 | 194 | 165 | 197 |
| Zn | 45 | 100 | 160 | 220 | 180 | 86 | 43 |
| Pb | 15 | 28 | 9 | 10 | 10 | 16 | 6 |
| Cu | 13 | 15 | 52 | 7 | 53 | 25 | 6 |
| Cr | 6 | 50 | 94 | 1100 | 93 | 85 | 190 |
| V | 67 | 160 | 210 | 170 | 240 | 140 | 63 |
| Ni | 4 | 22 | 42 | 270 | 51 | 27 | 58 |
| Co | 5 | 25 | 39 | 52 | 45 | 23 | 14 |
| Sc | 7 | 29 | 25 | 28 | 28 | 21 | 9 |
| Ag | 0.094 | 0.100 | 0.160 | 0.150 | 0.110 | 0.130 | 0.130 |
| Au | 0.010 | 0.006 | 0.008 | 0.002 | 0.002 | 0.012 | 0.002 |
| Pt | 0.050 | 0.030 | 0.015 | 0.050 | 0.015 | 0.040 | 0.040 |
| Pd | 0.003 | <0.002 | 0.002 | 0.006 | 0.001 | 0.001 | 0.001 |
Примечание. 1, 2 – дайковые породы: гранодиорит с муассанитом (1 – проба 46ББ 411ф), граносиенит (2 – проба 691/2 605.5ф); 3–5 – метасоматиты апогаббровые: биотит-амфиболовый (3 – проба 691/2 410), биотит-амфиболовый с плагиоклазом (4 – проба 691/2 409га), амфиболовый с плагиоклазом (5 – проба 726 649); 6 – апогранитный порфировый кварц-амфиболовый метасоматит (проба 691/2 410ф); 7 – апотрахиориодацитовый метасоматит (проба 691/2 437.5ф).
Дайки пород основного состава являются наиболее поздними и представлены измененными средне-, мелкозернистыми и интенсивно амфиболизированными и хлоритизированными разностями. Их мощность варьирует от нескольких сантиметров до 5–7 м.
Постмагматические преобразования вмещающих пород. Породы всех вышеописанных комплексов участками интенсивно изменены с переходами от массивных до гнейсовидных, катакластических, бластокатакластических, сланцеватых, брекчеевидных агрегатов. В породах габбро-долеритовой формации отмечается развитие бурых вторичных новообразований, мелкозернистых обособлений и гнезд, содержащих разнозернистые моно- и полиминеральные выделения эпидота, цоизита, граната, актинолита, цеолита, хлорита с примесью пирита и апатита, каемки сфена вокруг зерен ильменита. В дайках кислого состава проявляется рассланцевание, катаклаз. В тектонических зонах развиваются метасоматиты с серицитом, эпидотом, хлоритом, кварцем, пренитом, пиритом, гранатом. В дайках гранитов распространены серицит, хлорит, эпидот, цоизит, кальцит, ильменит, пирит, сфен, оксиды и гидроокислы железа. Продукты постмагматических преобразований вмещающих пород от наложенных образований отличаются отсутствием самородных, интерметаллических и других фаз.
В породах габбро-долеритовой и риодацит-риолитовой формаций встречаются метасоматиты, развитые как непосредственно по этим породам, так и на контактах кислых и основных пород. По ним развиваются биотит-амфиболовые метасоматиты, а по кислым – существенно амфиболовые, но с большей долей кварца и полевого шпата. В большинстве случаев в метасоматитах не отмечается аномальных содержаний редких элементов (табл. 2 выб. 3–7), но в одной пробе биотит-амфиболовых пород выявлены крайне высокие содержания Ni (270 г/т), Cr (1100 г/т).
Наложенные образования развиты в породах комплекса фундамента, габбро-долеритовой и риодацит-риолитовой формаций, а также в дайках. Это самородные и интерметаллические фазы, аморфные металлы, новообразованные минералы, содержащие K, Na, Fe, Mn, Сa, Ba, Sr, Cu, Pb, Co, Ni, Sn, Zn, Al, Ce, Nd, La, Pr, Sm, Y, Yb, Hf, Nb, W, Mo, Zr, Cr, V, Ag, Ti, Si, As, P, Bi, O, H, F, Cl, S, Se, C, В, N, F. Они присутствуют в участках как без каких-либо очевидных структурно-текстурных изменений вмещающих пород, так и в зонах весьма интенсивных преобразований, проявленных, судя по индикаторным минералам, в широком интервале Р-Т параметров. Иногда, но не всегда, фиксируется приуроченность наложенной минерализации к зонам микротрещиноватости, без очевидного нарушения сплошности пород. Практически во всем керне скважин отмечается трещиноватость, имеющая субвертикальную направленность (50°–90°). На ее плоскостях иногда наблюдается рассеянная субмикроскопическая вкрапленность ультрадисперсных кристаллических самородных, интерметаллических фаз, аморфных металлов. Периодически в шлифах отмечаются признаки микробрекчирования с угловатыми и округлыми обособлениями минералов вмещающих пород – полевых шпатов, кварца среди мелко-тонкозернистой основной массы, представленной серицитом, хлоритом, тальком, эпидотом, диаплективными стеклами.
Характеристика наложенных образований. Новообразованные (самородные, интерметаллические, карбиды, нитриды, редкие минералы, аморфные металлы), как правило, имеют ультрадисперсную размерность. Они присутствуют внутри и между зернами породообразующих минералов пород кристаллического фундамента, габбро-долеритовой и риодацит-риолитовой формаций, даек основного и кислого составов, метасоматитов. Редкие минеральные виды распределены неравномерно – от единичных зерен до их скоплений разной формы, содержащих от десятка до сотен разноразмерных зерен. Обычно они встречаются спорадически в отдельных интервалах скважин разных пород. В подавляющем большинстве проб (80–90%) и шлифов самородные и интерметаллические фазы не обнаружены. В основных и кислых магматитах присутствуют в виде убогой их вкрапленности (≤0.01%). Пока выявлено два значимых по содержанию (до 1%) и размеру (до 4–6 м) интервала распространения самородных и интерметаллических фаз в удаленных на значительные расстояния скважинах. Ими иногда обогащены метасоматиты, приуроченные к контактам даек основных и кислых пород, где их содержание также достигает 1%. Можно предполагать присутствие метасоматических пород двух возрастных уровней. Более ранними являются метасоматиты, сформированные в процессах постмагматических преобразований основных и кислых магматитов ВЕК. Поздние метасоматиты содержат самородные и интерметаллические соединения, аморфные металлы. Они образуются в широком интервале температур и давлений. Это высокотемпературные и ультравысокобарические самородные (Fe, W, Mo, Zr, Nb, Cu, Al, Pb, Sn, Zn, Ag, С), природные бронзы (Cu55Sn45, PbSn, SnPb, SnCuZn), латунь (Zn75–80Fe20–25, Cu50–54Zn46–49), карбиды (SiC, NbC, Cr7C3, Cr2C, Mo2C, MoFeC, Ti6C3.75, Fe1.8Mn1.2C, FeMnC), нитриды (TiN, Ti2N, Ti8N4.88), силициды (Fe5Si3, Fe0.34Si0.66) и аморфные металлы (Fe73–90Mn11–21Cr0.4–3.5, Fe42–91Cr5–22.4Mn0.6–1.4, Fe45–68Cr28–44Mo2.6–5.0). Частицы аморфных металлов, как правило, являются матрицей для ультрадисперсных выделений самородных металлов, карбидов, нитридов, силицидов. Кроме того, в породах отмечается разнообразие аморфных веществ пестрого состава (с подтверждением EBSD методом). В шлифах наблюдаются стекла, изотропизация и разложение ранних минералов на микрозернистые новообразованные фазы, обилие низкотемпературных и низкобарических агрегатов с реликтами самородных, интерметаллических фаз, аморфных металлов и муассанита.
В пробах с наложенной минерализацией фиксируются сильно варьирующие соотношения фаз, содержащие только один муассанит; муассанит в ассоциациях с самородными и интерметаллическими видами, аморфными металлами; муассанит в ассоциациях с силикатными и алюмосиликатными фазами. Между двумя последними существуют переходы. Отмечается присутствие фаз близкого состава с одинаковыми формами зерен в породах разных комплексов. Характерным для минерализации с муассанитом является наличие в них хлорита, талька, каолина, широко варьирующих составов в виде моно- и полиминеральной вкрапленности, скоплений, прожилков.
Парагенезисы и ассоциации муассанита. В парагенезисах (ассоциациях) с муассанитом в конкретных пробах присутствуют:
1. Обособления, образующие микросрастания (самородные и интерметаллические фазы, редчайшие и обычные минералы, сульфиды, аморфные металлы) с одинаковыми морфологическими формами и составами в разновозрастных породах кристаллического фундамента, риодацит-риолитовой, габбро-долеритовой, дайковой формаций, метасоматитах (рис. 2). Преобладают ультрадисперсные (нитевидной, ксеноморфной, округлой и неправильной формы) зерна, но встречаются выделения более крупные, до 1.5 мм. Обычно это полиминеральные зерна, крайне неоднородные по составам.
Рис. 2.
Формы выделения самородных металлов в ассоциациях с муассанитом: каплевидно-округлая (1 – граносиенит кристаллического фундамента, проба 46ББ 411); ксеноморфная (2 – порфировидный трахидацит, проба 46ББ 457; 3 – измененное габбро, проба 691 620); удлиненная (4 – порфировидный трахидацит, проба 46ББ 457). Выделения: белого цвета – кварц, плагиоклаз (белые), калиевый полевой шпат (коричневатые); черные и темные (оксиды – ильменит, магнетит; пироксены, амфиболы); желтые сульфиды с блеском (пирит, пирротин); выделения с ярким белым блеском (аморфные металлы, самородное железо).

2. Аморфные металлы составов Fe81–84Mn14.2–16.6 Cr1.8–2.5, Fe50–55Cr45–50 и другие, в своей матрице обычно содержащие самородные Fe, Nb, Zr, W, Mo, карбиды, нитриды. Они имеют неправильную форму и часто зазубренные края зерен. Как правило, аморфные металлы присутствуют в виде тонко- и ультрадисперсной сыпи (<0.01 мм), иногда слагают мельчайшие мономинеральные обособления (рис. 3). Также они образуют сростки с обычными и редкими силикатными и алюмосиликатными минералами. Часто отмечается внешняя крайне маломощная силикатная “рубашка” вокруг зерен железа и аморфных металлов, в которой могут присутствовать биотит, клинопироксен, ортопироксен, плагиоклаз, ильменит, магнетит и многие другие минералы. Образование аморфных металлов (металлических стекол) возможно только при мгновенной кристаллизации со скоростью 3000°/С. Они являются продуктом синтеза и широко используются в промышленности, но в природе они неизвестны. Следует отметить, что именно в аморфных металлах сосредоточено большинство ультрадисперсных выделений самородных (Fe, Nb, W, Zr, Mo; карбидов Nb, Fe, Ti, W, Mo). В матрице самородного железа отмечаются включения корунда и вокруг него – каемки осборнита (TiN) и самородного Nb (рис. 4).
Рис. 3.
Ультрадисперсное выделение линзовидно-округлой формы аморфных металллов состава Fe84Mn14Cr2 c каемками алюмосиликатных минералов (биотит, клинопироксен, ортопироксен, плагиоклаз) из гранит-порфира (проба 691/2 408). CP – обратнорассеянные электроны, SL – вторичные электроны; в характеристических излучениях: Fe, Mn, Cr, Ti, Si, Al, Mg, Ca, K, Na. JEOL-8200, напряжение 10 кВ.

Рис. 4.
Реакционные каемки вокруг зерна корунда. Матрица – самородное железо. Вокруг зерна корунда наблюдаются каемки осборнита и самородного Nb (проба 46ББ 481, риодацит). Обратнорассеянные электроны, TESCAN LYRA-3, напряжение 20 кВ.

3. Муассанит, гранаты, оливин, пироксены (часто железистый фассаит, характерный для метеоритов, жадеит), реже циркон, рутил, ильменит, бадделеит, кварц (в одном случае установлена его тетрагональная ультравысокобарическая модификация – китит), санидин, встречаются как в виде отдельных изометрических округлых (каплевидных), так и угловатых, ксеноморфных, почти всегда мономинеральных зерен размером от 0.001 до 0.5 мм, а также в глобулах.
4. Мономинеральные отдельные округлые (каплевидные, изометричные) выделения (шарики), сложенные или самородным железом с никелем, вюститом (иногда полые, до 0.2 мм), или кальцитом (до 2 мм), или аморфным углеродом (до 0.1 мм).
5. Отдельные обособления самородных Fe, Al могут слагать пластинчатые линзовидные выделения серебристого цвета размером 0.01–1.5 мм, а аморфные металлы с самородным железом – каплеобразные обособления. Формы выделения самородного железа крайне неоднородны в различных зернах. В выделениях самородного железа с аморфными металлами отмечаются ультрадисперсные фазы хромсодержащих частиц. В нем и вокруг его зерен развиваются узкие зонки с биотитом, орто- и клинопироксеном (рис. 5).
Рис. 5.
Ультрадисперсное срастание самородного железа с аморфными металлами, хромсодержащими частицами и наложенными каемками в краевой части зерна, представленные биотитом, ортопироксеном, клинопироксеном, плагиоклазом (проба 46ББ 471, гранит, риодацит-риолитовая формация). СР – обратнорассеянные электроны; в характеристических излучениях: Fe, Cr, Ti, Ca; Si; Al, K, Mg. JEOL-8200, напряжение 10 кВ.

6. Самородная медь, природные латунь и бронза присутствуют в виде проволочковидных и пластинчатых обособлений красноватого цвета размером до 0.4 × 3–8 мм. Самородная медь образует выделения размером до 8 мм (рис. 6). Природные бронза и латунь приурочены к краевым частям выделений самородных Cu, Pb, Zn. Состав природной бронзы – PbCuZnSn крайне неоднороден, размер – 0.01–0.2 мм.
Рис. 6.
Выделения самородной меди в шашке микрозонда. Размер обоих выделений 8 мм; маленькое зерно – 1.5 мм (проба П1 1254-1439; гранит-порфир).

7. Наиболее крупные среди наложенных образований – глобули. Они присутствуют в тех же породах фундамента, риодацит-риолитовой и габбро-долеритовой формаций, в которых встречается муассанит. Глобули имеют округлую, реже неправильную форму, размер от 0.5 до 1.0 см (рис. 7). Из них были выделены и проанализированы микропробы. В глобулах встречаются природные стекла. Широко распространены округлые выделения графита. В контактах аморфных металлов или самородного железа с калиевыми полевыми шпатами отмечаются разноокрашенные каемки (от темно-коричневой до розовой) шириной до 1–3 мм. При изучении на микрозонде и электронном микроскопе состава каемок разных зон установлены переходы от калиевого полевого шпата (пород риодацит-риолитовой формации) до пока не идентифицированной фазы, рассчитанной как (KFeMgCa)1(FeAlSi)3O8. В отдельных выделениях содержания компонентов в каемках меняются (в мас. %): K2О 15–4, Fe2O3 (в пересчете на FeO) 0–16.7, MgO 0–12.8, SiO2 65–43, Al2O3 18.9–15.8. Практически во всех шлифах, но в разной степени, фиксируется замещение ранних высокотемпературных минералов низкотемпературными ассоциациями с хлоритом, тальком, карбонатами, эпидотом.
Рис. 7.
Общий вид и морфологические формы выделений глобулей. В центре находится овально-округлое обособление из пород кристаллического фундамента, по краям – обособления угловатой формы (из пород риодацит-риолитовой формации), возможно, обломки более крупных глобулей.

Для глобул характерно обилие новообразованных минералов, отмеченных выше в п/п 3 этого раздела. Среди них гранаты (обычно пироп-спессартин-альмандинового ряда), оливины, ортопироксены и клинопироксены (часто железистый фассаит), биотит, плагиоклаз, калиевые полевые шпаты (санидин, ортоклаз, микроклин), хлорит, сульфиды, ильменит, магнетит, кварц (до 30–80%). В глобулах отмечается изотропизация минералов, стекла, агрегаты микрозернистых новообразованных фаз. В незначительных количествах отмечены циркон, рутил, бадделеит, рутил, графит. Встречаются глобули с доминированием указанных силикатных минералов (до 50%), либо сульфидов – пирротин, пирит, халькопирит, галенит (20–40%). Доля аморфных металлов в глобулах незначительна. Характерной чертой глобул и отдельных выделений кристаллических фаз в породах является присутствие графита в виде округлых включений, но с зубчатыми краями зерен. В одном случае EBSD методом в них установлен аморфный углерод. Обычно в глобулах интенсивно проявлена хлоритизация, мусковитизация с почти полным замещением исходных алюмосиликатных и, возможно, аморфных фаз.
Исходя из вышеприведенных данных, муассанит может присутствовать в следующих парагенезисах (ассоциациях):
1. В виде отдельных, обычно ксеноморфных выделений при почти полном отсутствии самородных, интерметаллических, кристаллических и аморфных фаз. В большей степени этот тип развит в измененных и неизмененных породах габбро-долеритовой и риодацит-риолитовой формаций (рис. 8).
Рис. 8.
Выделение муассанита ксеноморфной формы в неизмененном долерите (проба 691/2 684). Темные участки – тени. В муассаните включений нет.

2. Самостоятельных изолированных выделений в ассоциации (парагенезисе) с микросрастаниями, содержащими самородные и интерметаллические, аморфные фазы в породах кристаллического фундамента, риодацит-риолитовой, габбро-долеритовой, дайковой формаций, метасоматитах.
3. В парагенезисе с новообразованными поли- и мономинеральными силикатными и алюмосиликатными фазами в виде округлых (каплевидных), таблитчатых, угловатых, ксеноморфных обособлений в породах риодацит-риолитовой, габбро-долеритовой, дайковой формаций.
4. Неизменный муассанит с обособлениями самородных и интерметаллических фаз в виде реликтов в биотит-амфиболовых, хлорит-тальковых и хлоритовых породах с обилием карбонатов. Среди них распространены аномально железистые, глиноземистые, хромистые разности хлорита, талька, амфибола.
Наложенный характер минерализации с муассанитом проявлен в явно более позднем своем развитии по породообразующим минералам и их полифазным выделениям в породах кристаллического фундамента, габбро-долеритовой и риодацит-риолитовой формаций. Она отмечается как в совершенно свежих (неизмененных) породах габбро-долеритовой и риодацит-риолитовой формаций, так и в разной (иногда крайне значительной) степени ранее измененных постмагматическими процессами разностях.
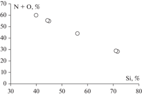
Петрогеохимические характеристики пород. На диаграмме Ла Мэтра (Na2O + K2O)–SiO2 составы пород кристаллического фундамента, габбро-долеритовой, риодацит–риолитовой, дайковых формаций, в которых обнаружены самородные и интерметаллические, аморфные фазы (рис. 9, выб. 1б, 2б, 3б, 4б), а также муассанит (рис. 9, выб. 1в, 2в, 3в, 4в), располагаются в полях, присущих каждому типу основных, средних и кислых магматических пород. Метасоматиты (рис. 9, выб. 5) и глобули (рис. 9, выб. 6) расположены на диаграмме в полях разных составов, отражая специфику их происхождения. Для состава глобул характерен довольно высокий уровень щелочнометалльности – 4–5%. По своему составу они варьируют от тефритов до дацитов. Фиксируется слабая отрицательная корреляция между содержаниями SiO2 и (Na2O + K2O) (рис. 9, выб. 6а, 6б).
Рис. 9.
Диаграмма Ла Мэтра (Na2O + K2O)–SiO2 (мас. %) пород Бобруйского погребенного выступа. Породы: 1 – фундамента микашевичского и житковичского комплексов, 2 – габбро-долеритовой формации, 3 – риодацит-риолитовой формации, 4 – даек основных и кислых пород, 5 – метасоматиты, 6 – глобулы. Выборки минералов и проанализированных валовых проб: а – наложенные минералы в пробах не установлены; б – породы с самородными, интерметаллическими, аморфными фазами и редкими минералами; в – то же, но с муассанитом.

Породы габбро-долеритовой формации имеют невысокие содержания РЗЭ, незначительный наклон линий спектра иногда с небольшой положительной Eu-аномалией, связанной с его накоплением в плагиоклазах. Подобные графики присущи базальтам островных дуг и континентальных рифтов (рис. 10а, выб. 2, 3). Линии спектра РЗЭ для кислых пород кристаллического фундамента и риодацит-риолитовой формации круто наклонены, иногда со значительными отрицательными минимумами Eu (рис. 10а, выб. 4–9). Подобное распределение элементов присуще кислым магматическим породам – посткинематическим палеопротерозойским гранитоидам А-типа (рис. 10а, выб. 3–6).
Рис. 10.
Спайдердиаграмма пород с муассанитом, самородными и интерметаллическими фазами БПВ: (а) нормировано по хондриту (Baynton, 1982), (б) по примитивной мантии (McDonough, Sun, 1995). 1 – порода фундамента (житковичский комплекс: граносиенит, проба ЮБ 1605-1713; 2, 3 – породы габбро-долеритовой формации: габбро массивное, проба 691 568.5 (2), долерит, проба 691 686 (3); 4–9 – породы риодацит-риолитовой формации: трахидацит, проба 46ББ 475-476 (4); трахириодацит, проба 46ББ 422-459 (5); трахириодацит, проба 46ББ 495-496 (6); гранит-порфир, проба П1 1012-108 (7); лейкогранит массивный, проба 46ББ 467 (8); лейкогранит порфировидный, проба 46ББ 486-487 (9).

Спайдердиаграммы пород кристаллического фундамента (рис. 10б, выб. 1), габбро-долеритовой (рис. 10б, выб. 2, 3), риодацит-риолитовой формации (рис. 10б, выб. 4–9) имеют симбатный характер линий, что совершенно не присуще магматическим породам разных составов. Это проявляется в наличии минимумов Nb, Ta, P, Ti и максимумов K, Ba, Pb, Nd, Zr. Каждый из графиков имеет слабое подобие со спайдердиаграммами основных, средних и кислых пород, известных в литературе обстановок формирования (рис. 10а, 10б). Обращают на себя внимание высокие содержания Pb, Nd, Zr, Gd в основных и кислых породах всех комплексов ВЕК (рис. 10б). По петрогеохимическим параметрам (рис. 10а, 10б) породы габбро-долеритовой и риодацит-риолитовой формаций формировались во внутриплитных обстановках.
Ассоциации, морфология выделений, включения, вещественные и рентгеноструктурные параметры муассанита. Муассанит наблюдается среди породообразующих минералов как в свежих, так и слабо-, умеренно- и сильноизмененных породах кристаллического фундамента, габбро-долеритовой и риодацит-риолитовой формаций, дайках основных и кислых пород, метасоматитах. Он встречается с одним и тем же кругом соединений и с практически одинаковыми в разных структурно-вещественных комплексах морфологическими формами выделений и составом.
Морфология выделений муассанита. Во всех разновидностях пород муассанит отмечается в виде зерен размером 0.1–0.3 мм, реже до 1.5 мм. Макроскопически и под стереомикроскопом он всегда идеально прозрачен (чистой воды), имеет изумрудно-зеленый цвет с ярко-, светло- и бледно-голубыми оттенками в разных частях зерен, обычно без каких-либо включений (см. рис. 8). В шлифах габбро фиксируются удлиненные изометричные, с тригональными сечениями, иногда угловатые, но обычно ксеноморфные (рис. 11) и округлые, интенсивно корродированные по краям выделения в плагиоклазе, орто- и клинопироксене. В шлифах с муассанитом всегда в разных количествах фиксируется хлорит (рис. 11) – по рентгеновским данным, обычно клинохлор.
Рис. 11.
Муассанит в шлифах габбро (проба 691/2 699) в проходящем свете (а), скрещенные николи (б), увел. ×64. Moi – муассанит, Pl – плагиоклаз, Cpx –клинопироксен, Opx – ортопироксен, Chl – хлорит.

Минералогические, вещественные, рентгеноструктурные характеристики муассанита. Детально изучен муассанит из слабо измененных трахириолитов скв. П1 1254-1259. Отобранная проба является объединенной для интервала пород в 5 м. Минерализация в нем относится к убогой вкрапленности. Муассанит в пробе 691/2 684 (рис. 8) также идеально прозрачен, имеет изумрудно-зеленый цвет. Он присутствует в кварце, калиевом полевом шпате, плагиоклазе; ассоциирует со вторичными серицитом, хлоритом, эпидотом. Вместе с муассанитом в протолочке обнаружены аморфные металлы (Левицкий и др., 2019, 2020), самородные железо и медь (рис. 6), большое количество редких минералов, сульфиды. В отдельных зернах муассанита при большом увеличении в нем видны включения рудных минералов, а также мельчайшие серые и белые обособления. В исследованной пробе преобладают мелкие неправильной формы обломки более крупных кристаллов муассанита. Встречаются зерна муассанита линзовидно-округлой формы с явно корродированными природными ограничениями на краях. Их размеры составляют от 0.001 мкм до 0.2 мм (рис. 12).
Рис. 12.
Распределение зерен муассанита во вторичных электронах (JEOL-8200), проба П1 1254-1259.44. 1, 2, 3 – области нахождения зерен муссанита угловатой формы, как правило, однородного состава. 4 – зерно муассанита, в котором выполнено определение содержаний C и H вдоль линии (профиль); 5 – зерно муассанита в области 1 с включением синоита, цзифенгита, аваруита.

Был исследован состав 22 зерен (рис. 12) муассанита на электронно-зондовом микроанализаторе JEOL-8200 и электронном микроскопе TESCAN LYRA-3. При исследованиях на микрозонде и электронном микроскопе использовались шашки, напыленные как углеродом, так и золотом. Детально изучено 21 выделение муассанита в трех областях шлифа (рис. 12) и одно отдельное зерно из одной пробы трахириолитов.
Идентификация минерала как муассанит была подтверждена EBSD методом для шести проб пород разного состава из трех скважин и рентгеновскими спектрами для 10 проб из разных пород и скважин. Кроме того, муассанит надежно определяется в шлифах (≈40).
При исследованиях на микрозонде JEOL-8200, электронном микроскопе TESCAN LYRA-3 одних и тех же областей шашек установлены незначительные вариации составов муассанита в разных зернах (%): Si 68.54–70.05 и С 31.0–29.95. В рассчитанных по количеству элементов кристаллохимических формулах муассанита, полученных на обоих приборах, коэффициенты формульных единиц имеют крайне малые вариации их величин с низкими стандартными отклонениями: δSi = = 0.97–1.251, δC = 0.59–0.60 (табл. 3, выб. 1, 2). Во всех анализах муассанита его составы отвечают стехиометрическим формулам.
Таблица 3.
Химический состав (мас. %) муассанита и его политипных модификаций Si5C3
| Компоненты | 1 | 2 | 3 | 4 | 5 | 6 | ||
|---|---|---|---|---|---|---|---|---|
| Х (28) | δ (28) | Х(26) | δ (26) | М-18H | Si5C3 | Х(2) | Х(2) | |
| Si | 70.67 | 0.97 | 70.210 | 1.251 | 50 | 63 | 27.03 | 45.68 |
| C | 29.66 | 0.59 | 29.80 | 0.60 | 50 | 37 | 72.95 | 54.28 |
| Сумма | 100.32 | 100 | 100 | 100 | 99.98 | 99.97 | ||
| Коэффициенты в кристаллохимических формулах минералов (расчет по катионам) | ||||||||
| Si | 1.010 | 0.015 | 1.004 | 0.015 | 0.599 | 3.371 | – | – |
| C | 0.990 | 0.015 | 0.996 | 0.195 | 1.401 | 4.629 | – | – |
| Сумма | 2.000 | 2.000 | 2.000 | 8.000 | ||||
| Рентгеноструктурные характеристики | ||||||||
| Группа Лауэ | 8(6/m) | 8(6/m) | 7(-3m) | 10(m-3) | – | – | ||
| Пространственная группа | 173(P 6_3) | 173(P 6_3) | 156(P 3 m1) | 198 (P 2_1 3) | – | – | ||
| а, Å | 3.095 | 3.095 | 3.073 | 4.523 | – | – | ||
| b, Å | 3.095 | 3.095 | 3.073 | 4.523 | – | – | ||
| c, Å | 15.17 | 15.17 | 45.234 | 4.523 | – | – | ||
| Альфа, ° | 90 | 90 | 90 | 90 | – | – | ||
| Бета, ° | 90 | 90 | 90 | 90 | – | – | ||
| Гамма, ° | 120 | 120 | 120 | 90 | – | – | ||
Примечание. 1, 2 – муассанит гексагональной модификации (6H); 3 – муассанит тригональной модификации (18H); 4 – Si5C3 – аналог синтетической кубической модификации муассанита, 5, 6 – предположительно новые неидентифицированные фазы. Все проанализированы с напылением Au: 1–4 – на электронном микроскопе TESCAN LYRA-3; 5, 6 – на микрозонде JEOL-8200.
При работе на электронном микроскопе TESCAN LYRA-3 в семи пробах EBSD методом были подтверждены рентгеноструктурные параметры зерен муассанита. В зернах шести проб отмечена гексагональная политипная модификация (6H), группа Лауэ – 8(6/m), пространственная группа – 173 (P 6_3); параметры элементарной ячейки составляют а0 = 3.095Å, b0 = 3.095Å, c0 = 15.17Å (табл. 3, выб. 1, 2). Для зерна одной пробы определена тригональная политипная модификация муассанита – 18H (табл. 3, выб. 3). Его кристаллохимическая формула плохо рассчитывается ввиду использования данных приближенного метода анализа, выполненного на электронном микроскопе TESCAN LYRA-3 (табл. 3, выб. 3). При изучении зерен муассанита из других проб EDS и EDSD методами на этом приборе обнаружена неизвестная в природе фаза муассанита Si5C3 (C = 37%, Si = 63%) кубической политипной модификации (табл. 3, выб. 4). По химическому составу и рентгеноструктурным характеристикам это соединение известно как продукт синтеза в условиях высоких температур и давлений (Харенко и др., 1995). К подобным соединениям могут быть отнесены и неидентифицированные фазы с резким доминированием углерода (табл. 3, выб. 5) и примерно при равных соотношениях Si и C (табл. 3, выб. 6). Они имеют стабильные составы, присутствуют в виде зерен по размерам сопоставимых с зернами муассанита.
В отдельном зерне (рис. 13, зерно 4) от одного края до другого изучено соотношение C и Si в муассаните, профиль распределения этих элементов представлен на рис. 13.
Включения в муассаните. Обычно муассанит имеет угловатые, вероятно, обломочные формы зерен. Нами было найдено зерно муассанита, но явно не обломок, размером в поперечнике ≈200 × × 400 мкм (рис. 12, зерно 5). Как и другие зерна он имеет светло-зеленый цвет, является прозрачным, представлен гексагональной (6H) политипной модификацией. В нем сначала на микрозонде (JEOL-8200; аналитик Павлова Л.А.) и позже на электронном микроскопе (TESCAN LYRA-3, аналитик Лукашова М.В.) было изучено включение размером 20 мкм с редчайшими фазами, которые известны в метеоритах: синоит – Si2N2O, цзифенгит – (Fe5Si3) и аваруит – (Ni3Fe).
Синоит – минерал с химической формулой Si2N2O, назван по своему составу. Был утвержден как новый минерал в 1964 г. (Andersen et al., 1964). Обнаружен в хондритовом метеорите провинции Сингх (Пакистан), упавшем в 1905 году. Синоит в пакистанском метеорите встречен в виде зерен размером менее 0.2 мм в обрамлении Fe-Ni сплава и энстатита (Andersen et al., 1964; Rubin, 1997). Вторая находка синоита также была в хондритовом метеорите Нойшванштайн (Германия), упавшем в 2002 г. (Bischoff et al., 2005 и др.). В мировой литературе, несмотря на две его находки в мире, отмечается устойчивый интерес к синоиту, обусловленный тем, что он имеет необычный состав, является минералом-индикатором ультравысоких давлений. Рентгеноструктурные характеристики синоита из Бобруйской структуры и хондитового метеорита Пакистана близки – он также относится к ромбической сингонии той же простраcтранственной группы (Idrestedt, Brosset, 1964; Keil, Andersen, 1965). Различие состоит в более высоких значениях параметров элементарной ячейки – а0, b0, c0 (табл. 4, выб. 1–4) синоита Бобруйской структуры. Отличие отмечается также в содержании минералообразующих элементов – Si, N, O (табл. 4, выб. 2–6).
Таблица 4.
Химический состав, кристаллохимические и рентгеноструктурные характеристики синоита и его возможных политипных аналогов
| Компоненты | 1 | 2 | 3 | 4 | 5 | 6 | 7 | 8 | 9 | 10 | 11 |
|---|---|---|---|---|---|---|---|---|---|---|---|
| Si | 56.07 | 40 | 71.7 | 71.06 | 44.964 | 44.388 | 36.76 | 36.02 | 35.17 | 43.60 | 25.991 |
| Fe2+ | 0.117 | 0.258 | 0.096 | 0.209 | 0.178 | ||||||
| Ni | 0.092 | 0.075 | 0.209 | 0.028 | 0.021 | 0.172 | |||||
| O | 15.97 | 20 | 11.66 | 12.03 | 19.043 | 21.154 | 17.228 | 19.094 | 3.6295 | 0.2925 | 0.2736 |
| C | 12.589 | 13.103 | 44.206 | 48.05 | 64.927 | ||||||
| N | 27.96 | 40 | 16.63 | 16.91 | 35.784 | 34.201 | 33.252 | 31.572 | 16.893 | 8.03 | 8.7904 |
| Сумма | 100 | 100 | 99.99 | 100 | 100 | 100.00 | 100 | 100.219 | 100.00 | 100.00 | 100.15 |
| Коэффициенты в кристаллохимических формулах минералов (расчет по сумме катионов) | |||||||||||
| Si | 2.000 | 1.288 | 2.856 | 2.818 | 1.497 | 1.478 | |||||
| O | 1.000 | 1.130 | 0.815 | 0.837 | 1.113 | 1.237 | |||||
| N | 2.000 | 2.582 | 1.328 | 1.344 | 2.389 | 2.284 | |||||
| Сумма | 5.000 | 5.000 | 4.999 | 4.999 | 4.999 | 4.999 | |||||
| Рентгеноструктурные характеристики | |||||||||||
| Сингония | ромб. | ромб. | ромб. | ромб. | |||||||
| Группа Лауэ | mmm | мmm | mmm | mmm | |||||||
| Пространственная группа | Cmc21 | Cmc21 | Cmc21 | Cmc21 | |||||||
| а0, Å | 8.843 | 8.8742 | 8.8742 | 8.8742 | |||||||
| b0, Å | 5.473 | 5.4894 | 5.4894 | 5.4894 | |||||||
| c0, Å | 4.835 | 4.8464 | 4.8464 | 4.8464 | |||||||
| Альфа, ° | 90 | 90 | 90 | ||||||||
| Бета, ° | 60 | 60 | 60 | ||||||||
| Гамма, ° | 90 | 90 | 90 | ||||||||
Примечание. 1–6 – состав синоита: из хондритового метеорита в Пакистане (1), остальные – проанализированные в породах БПВ (2–6); 7–11 – неидентифицированные фазы, в разных количествах содержащие SiNCO: 7 – SiNOC, 8 – SiNO, 9 – CSiN, 10 – СSiN, 11 – CSiN. Анализы выполнены: 2–4 – TESCAN LYRA-3 (г. Санкт-Петербург); 5–11 – JEOL-8200 (г. Иркутск).
Зерно муассанита с включениями синоита, цзифенгита, аваруита имеет природную линзовидно-округлую форму с деформированными краями, прозрачное со светло-зеленой окраской. Оно было изучено на микрозонде JEOL-8200 (рис. 14а) и электронном микроскопе TESCAN LYRA-3 (рис. 14б). Исследование включений на обоих приборах позволило выявить детали в различии морфологических форм минералов в одном включении. При исследованиях на микрозонде (JEOL-8200) на фотографиях во вторичных и обратнорассеяных электронах из-за мелкого масштаба внешняя каемка и следы деформаций в краях зерен практически не проявились (рис. 14а). На электронном микроскопе в более крупном масштабе у зерен отмечаются как резкие края, так и размытые, сильно деформированные – отражающие разнообразные преобразования в краевых частях одного зерна (рис. 14б).
Рис. 14.
Вид включений синоита, цзифенгита, аваруита в зерне муассанита в обратнорассеянных электронах: JEOL-8200 (а) и TESCAN LYRA-3 (б). 1 – матрица муассанита, 2 – два зерна синоита, 3 – обособление цзифенгита с невыраженным мелким аваруитом (а) и с мелким (б) аваруитом в центральной части зерна (темно-серое).

Еще большие дефекты и деформации зерен фиксируются на фотографиях при большем увеличении на TESCAN LYRA-3. На них отмечаются как разрозненные деформированные обособления синоита (рис. 15, точка 2), так и цзифенгита (рис. 15, точка 3) в виде обособлений разной размерности с неровными зубчатыми краями в муассаните (рис. 15, точка 1). Идентификация фаз – муассанита, синоита, цзифенгита (рис. 15) выполнялась с использованием энергодисперсионного микроанализатора (EDS метод – локальность 2 мкм) и метода дифракции отраженных электронов (EBSD – локальность 120 нм) с анализом картин дифракции. Совокупность EDS + EBSD методов позволила в одной точке определить состав (EDS) и кристаллографические параметры (EBSD) фаз. Дифракционные картины линий Кикучи, являющиеся индивидуальными для каждого соединения при идентификации фаз. По ним было установлено, что включениями в муассаните (рис. 15) являются синоит, цзифенгит и аваруит. На рисунке 16а приведены рентгеновский спектр (EDS данные) и картина линий Кикучи (EBSD данные) синоита (рис. 17а).
Рис. 15.
Фазовая карта и расположение во включении муассанита (1, синий) выделений синоита (2, желтый) и цзифенгита (3, розовый), аваруита (4, мелкие зерна) в обратнорассеянных электронах, TESCAN LYRA-3.

Состав изученных зерен синоита (Si 44.38–71.06%, N – 16.63–35.78%; O – 11.66–35.78%) в некоторых случаях (табл. 4, выб. 1) полностью отвечает составу синоита пакистанского метеорита (Si – 56.07%, N – 27.96%, O – 15.97). Изученный нами синоит, судя по имеющимся анализам, является минералом переменного состава. На это указывают и варьирующие количества элементов и кристаллохимические формулы минералов, приводимые в справочной литературе (Idrestedt, Brosset, 1964; Keil, Andersen, 1965; Rubin, 1997 и др.). В разных частях включений зерен синоита фиксируются вариации его состава с четким проявлением отрицательной прямой корреляции в соотношениях Si–(N + O) (рис. 18).
В этой же матрице, сложенной муассанитом, встречены отдельные зерна со стабильными составами, включающими Si, O, C, N (табл. 4, выб. 7–10). Также отмечено присутствие фаз устойчивого состава Si, C, N (табл. 4, выб. 11). Все они могут являться природными соединениями, по составу варьирущими между муассанитом и синоитом. Это явно новообразованные минеральные виды, данных о которых пока еще очень мало.
Кроме синоита во включении присутствует цзифенгит (рис. 15, точка 3) и аваруит Ni = 75%, Fe = 25%, рис. 15, точка 4 ). При этом цзифенгит слагает почти 1/3 часть зерна во включении муассанита. Цзифенгит (Yu, 1984; Santamaría-Pérez et al., 2004) и аваруит (Skey, 1885; Rodgers, Hey, 1980; Jambor, Burke, 1991) относятся к очень редким минералам. Изученные нами их составы и, соответственнно, кристаллохимические формулы (табл. 5, выб. 1, 2) в целом близки к ранее обнаруженным в метеоритах (Yu, 1984; Santamaría-Pérez et al., 2004; Rodgers, Hey,1980; Jambor, Burke, 1991). Теоретически силицит железа – цзифенгит должен содержать Fe = 75–76.8%, Si = 23.2–25%. Изученный минерал в срастаниях с аваруитом и синоитом содержит (%): Fe 68.881–68.615, Si 24.589–25.284, Ni 5.271–5.294, V 0.708–0.807 (табл. 5, выб. 1, 2). Примечательным является присутствие в цзифенгите существенных количеств никеля – до 5.3%. Рентгеновский спектр цзифенгита приведен на рис. 16б, а дифракционная картина линий Кикучи – на рис. 17б.
Таблица 5.
Химический состав, рентгеноструктурные и кристаллохимические характеристики интерметаллических соединений
| Компоненты | 1 | 2 | 3 | 4 | |
|---|---|---|---|---|---|
| X(4) | δ(4) | ||||
| Si | 24.589 | 25.284 | 16.41 | 0.38 | |
| Fe | 68.881 | 68.615 | 25 | 49.88 | 0.30 |
| Cr | 0.396 | 0 | |||
| V | 0.708 | 0.807 | 0.548 | 0.03 | |
| Ni | 5.271 | 5.294 | 75 | 3.77 | 0.04 |
| O | 1.30 | 0.26 | |||
| C | 23.99 | 0.14 | |||
| N | 3.96 | 0.88 | |||
| Сумма | 100 | 100 | 100 | 99.99 | |
| Коэффициенты в кристаллохимических формулах минералов (расчет по сумме катионов) | |||||
| Si | 3.166 | 3.222 | |||
| Fe | 4.459 | 4.398 | 1.038 | ||
| Ni | 0.325 | 0.322 | 2.962 | ||
| V | 0.050 | 0.056 | |||
| Сумма | 8 | 8 | 4 | ||
| Рентгеноструктурные характеристики минералов | |||||
| Сингония | Кубическая | ||||
| Группа Лауэ | 11(m-3m) | ||||
| Пространственная группа | 221(Pm-3m) | ||||
| а, Å | 3.45 | ||||
| b, Å | 3.45 | ||||
| с, Å | 3.45 | ||||
| Альфа, ° | 90 | ||||
| Бета, ° | 90 | ||||
| Гамма, ° | 90 | ||||
Кроме цзифенгита и аваруита в образце присутствует фаза крайне малых размеров стабильного состава (4 анализа) с Fe, C, Si, N, O (табл. 5, выб. 4). В ней для минералообразующих элементов характерны крайне низкие величины стандартных отклонений δ (Fe = 0.30, C = 0.14, Si = 0.38, N = 0.88, Ni = 0.04). Фаза является промежуточной между силицидами и карбидами железа и требует дальнейшего изучения.
В БПВ минералы, соответствующие составам цзифенгита и аваруита, не единичны. Они встречены в виде отдельных самостоятельных выделений и сростках с аморфными металлами, аморфным углеродом, карбидом железа.
ОБСУЖДЕНИЕ РЕЗУЛЬТАТОВ
Обзор представлений. Муассанит, самородные и интерметаллические фазы редко встречаются в земных условиях, гораздо чаще – на Луне и в метеоритах. Они были описаны в структурах разной генетической природы и возраста (Чернышова, 1989).
Гидротермальные месторождения, магматические породы. Фазы, содержащие единичные зерна Al, Zn, Cr, Cd, Mn, Co, карбиды и силициды, известны в виде редкой вкрапленности в гидротермальных месторождениях и магматических породах (Новгородова, 1983; Новгородова, 1994 и др.). В природе крупными и наиболее распространенными являются выделения самородных железа и меди. Самородные фазы, как правило, наблюдаются в виде только одного элемента, а их формирование связано с определенным типом магматических пород. Для них характерны крупные промышленные скопления в виде месторождений. В них не найден муассанит.
Мантийные, вулканические и эксплозивные образования. Самородные и интерметаллические соединения присущи алмазоносным кимберлитам и лампроитам. В них встречаются Ag, Cu, Si, Zn, Sn, Al, Au, Fe, Pb, тенит, муассанит, когенит, армолколит, рингвудит (Ковальский, Олейников, 1985; Самородное …, 1985; Маршинцев, 1994 и др.). На кристаллах алмазов Архангельской и Якутской алмазоносных провинций присутствуют металлические пленки, содержащие самородные металлы и муассанит (Макеев, 2005; Макеев, Криулина, 2012). По-видимому, мантийная природа этих образований предопределяет появление значительного количества самородных и интерметаллических фаз, включая и сам алмаз в виде небольших и ультрамалых размеров. Самородные и интерметаллические фазы известны в базальтах влк. Большой Толбачек и продуктах эксгаляций (Главатских, 1990 и др.). В вулканитах Плоского Толбачика вместе с ними обнаружены сферулы с самородными и интерметаллическими соединениями и с муассанитом (Сандимирова, 2009 и др.).
В связи с мантийными источниками, при становлении эксплозивных фаз алмазоносных пород Западного Урала (вишеритов) отмечается муассанит с обилием самородных, интерметаллических, аморфных видов. В них кроме муассанита присутствует алмаз, разнообразные шлаковидные и стекловатые частицы (Чайковский, Коротченкова, 2012). В Мраморской зоне Урала формирование схожей минерализации связывается с углеродистым метасоматозом (Азовскова и др., 2002).
Минерализация в метеоритах, на Луне. В метеоритах самородные и интерметаллические виды пользуются широким распространением. В них отмечаются аморфный и политипы кристаллического углерода, самородные и интерметаллические фазы, карбиды (муассанит), нитриды, оксинитриды, фосфиды, силициды, фосфосилициды (Минералы, 1960; Иванов и др., 2019 и др.). В метеоритах может присутствовать большое количество самородных и интерметаллических фаз. А. Муассан (Moissan, 1905) в железном метеорите Каньон Дьябло (штат Аризона, США) обнаружил минерал, имеющий “… яркий цвет, т.е. чаще более или менее светло-зеленый, иногда изумрудно-зеленый …”, который был назван в его честь “муассанитом” (Kunz, 1905). По этому описанию он такой же, как в изученных нами породах. Муассанит известен в тагамитах Попигайского метеоритного кратера, где наблюдался вместе с алмазами, но имеет бледно-голубую и темно-синию, почти черную окраску, представлен политипной модификацией 6H (Громилов и др., 2018).
Огромное количество самородных и интерметаллических соединений встречено в реголитах Луны (Лунный …, 1980; Мохов и др., 2007; Мохов и др., 2015 и др.). В Бобруйском погребенном выступе, как и на Луне, отмечается такое же большое количество минеральных видов. Имеется ряд одинаковых по составу фаз – самородные Nb, Fe, С, но в целом наблюдается иной набор соединений.
Минерализация с муассанитом, подобная наблюдаемой в БПВ, по составам, разнообразию и доминированию ультраразмерных фаз описана в черносланцевых формациях и комплексах Карпат, Кубано-Черноморского региона, Днепровско-Донецкой впадины. Здесь присутствуют самородные и интерметаллические фазы в виде “дисперсных самородно-металлических частиц – ДСМЧ” (Лукин, Самойленко, 2015). Установлено (Лукин, 2009; Лукин, Мельничук, 2012; Лукин, Самойленко, 2015 и др.), что их количество, как и в БПВ, в породах крайне малое. Другие соединения могут содержать C, Fe, Al, Ni, Cr, Mo, Ti, Cu, Ti, Zn, Pb, Sn, Sb, As, Au, Ag, Hg, Pd, Pt, Ir, Os в виде самородных, интерметаллических, редких и обычных минеральных видов. Выделения такой же размерности и составов обнаружены и в глубокозалегающих горизонтах газовых, газово-нефтяных, нефтяных скважин (Лукин, Пиковский, 2004), грязевых вулканах Крыма (Шнюков и др., 2015), на сопредельных с Крымом территориях Кавказа (Шнюков, Лукин, 2011 и др.), в нижневендских базальтах Волыни (Лукин, Мельничук, 2012).
Примечательным является присутствие ультрадисперсных выделений с неправильной, округлой, угловатой формой зерен самородных и интерметаллических фаз в нефти крупнейшего во Вьетнаме месторождения Белый Тигр в Восточно-Китайском море (Старостенко и др., 2011). В нефти отмечаются карбиды (Лукин, 2009), силициды, самородные Fe, Ni, Cr, Сu, Pb, Zn, Sn, Al, Ti, W, In, сплавы AgCd, CuPbSnZn. Наложенная минерализация с ультрадисперсными частицами в разновозрастных осадочных и магматических комплексах Карпат, Крыма, Кубано-Черноморского региона, Днепровско-Донецкой впадины, нефти Белый Тигр (месторождение, Вьетнам) связывается с воздействием флюидов (Лукин, Пиковский, 2004; Лукин, 2009; Старостенко и др., 2011; Шнюков и др., 2015).
Этот краткий обзор показывает, что самородная и интерметаллическая рассеянная минерализация может встречаться в самых разных обстановках.
Параметры, типизация, природа минерализации в породах Бобруйского кольцевой структуры пока еще далеки от понимания. Прежде всего, отметим основные геологические характеристики формирования минерализации. Мы вынуждены констатировать, что возраст ее остается неизвестным. Она сформировалась позднее всех пород, участвующих в строении БКС, в том числе после постмагматических их преобразований. Учитывая возрастные характеристики пород БКС, отрыв минерализации от времени формирования кольцевой структуры, связываемой с импактным событием, составил не менее 200 млн лет. Кроме того, проявления минерализации были обнаружены на достаточно большом удалении от БКС. Ранее нами была зафиксирована приуроченность ассоциаций с муассанитом, самородными и интерметаллическими фазами (Солодилова и др., 2012, 2015; Левицкий и др., 2018) к описанной в литературе импактной Бобруйской кольцевой структуре (Беляшов, 2002). Однако приведенные характеристики однозначно свидетельствуют, что последняя не могла определять образование изученной уникальной минерализации. Это не исключает того, что в регионе имело место еще одно импактное явление, которое не оставило столь выразительных структурных следов, как БКС, но оно могло стать причиной образования рассеянной самородной минерализации.
Р-Т параметры. Обнаруженные в БПВ самородные и интерметаллические минеральные виды, карбиды и нитриды железа, ниобия, молибдена, титана, согласно справочным данным (Лидин и др., 2008 и др.), кристаллизуются в интервале температур 1600–3900°С. Судя по присутствию синоита в муассаните, давление могло составлять 28–64 ГПа (Sekine et al., 2006). В БПВ найден китит – тетрагональная разновидность кварца, устойчивого в ультравысокобарических условиях (Hill et al., 2013). В целом формирование наложенных ассоциаций в БПВ может быть оценено в интервале температур 1600–3900°С, давлений – 28–64 ГПа. Резко доминирует муассанит гексагональной политипной модификацией (6H), которая характерна для кимберлитовых и лампроитовых месторождений алмаза (Shiryaev et al., 2011), а также встречается в импактитах Попигайской астроблемы (Масайтис и др., 1998).
Возможная природа минерализации. Р-Т параметры кристаллизации синоита, самородных минеральных видов, карбидов, нитридов в БПВ соответствуют условиям образования метеоритных фаз и проявления ударного метаморфизма в импактных структурах, прежде всего Попигайской (Масайтис и др., 1998). Общим для обеих структур является присутствие муассанита (хотя разных окрасок), аморфного углерода и других аморфных фаз, микродеформаций в минералах, зон брекчирования.
В то же время среди пород БПВ пока не обнаружено импактитов, т.е. образованных при ударном столкновении и последующем переплавлении ассоциаций мишени (Фельдман, 1999; Петрографический …, 2016). Это тектиты, псевдотахилиты, зювиты, тагамиты (Масайтис и др., 1998; Вишневский, 1994). В БПВ не выявлены и фазовые переходы графита в алмаз, присущие Попигайской астроблеме. В породах БВП не отмечено катаклаза породообразующих минералов, что типично для пород мишени при импактных явлениях. В БПВ также не известны породы, которые можно было бы по структурно-текстурным особенностям и минеральному составу отнести к метеоритам. Не отмечается свойственных для импактитов геохимических аномалий в виде повышенных содержаний платиноидов, прежде всего Ir. Однако в них и в метеоритах распространены одинаковые по составу, но различающиеся по морфологии зерен и размерам самородные (Fe, C) и интерметаллические фазы, муассанит, синоит, аваруит, цзифенгита, железистый фассаит, омфацит, жадеит и др.
Отмеченные выше различия между минерализацией в БПВ и собственно метеоритными и импактными образованиями отражают, с одной стороны, их сходство между собой, обусловленное присутствием одинаковых фаз. С другой – имеются существенные различия по их количеству и разнообразию составов и морфологических форм выделения. Главным отличием минерализации БПВ от классических метеоритных и импактных образований является ее становление не в приповерхностных, а в более глубинных условиях – в палеопротерозойских комплексах ВЕК. К тому же нет данных о присутствии самого кратера, не говоря уже о его местонахождении.
Сознавая существенные различия между импактными образованиями и тем, что отмечается в породах БПВ, мы, тем не менее, пока отдаем предпочтение импактной природе формирования изученной нами уникальной минерализации. Импактный механизм позволяет объяснить появление в породах аморфных металлов редчайших ультравысокобарических фаз, их крайне неравномерное распределение в рассеянном состоянии в разных породах БПВ.
Несмотря на то, что изученная нами минерализация вызывает много вопросов в части ее интерпретации, она, тем не менее, существует и, несомненно, является уникальной как по набору минеральных фаз, так и по геологической обстановке ее распространения. Поэтому мы предлагаем выделить ее как бобруйскитовая минералогическая ассоциация. По своим ультрадисперсным размерам и составам к бобруйскитам могут быть отнесены наблюдаемые в Карпатах, Кубано-Черноморском регионе, Днепровско-Донецкой впадине, Крыму дисперсные самородно-металлические частицы (Лукин, Самойленко, 2015), занимающие близкое геологическое положение.
ВЫВОДЫ
Выполнено систематическое изучение муассанита и включений в нем из пород Бобруйского погребенного выступа. Муассанит представлен гексагональной политипной модификацией 6H. В нем обнаружены включения, присущие метеоритам редчайших минералов – синоита, аваруита, цзифенгита. Судя по присутствующим минералам, минералообразование проходило при Р = 28–64 ГПа и Т = 1600–3900°С.
Муассанит, ассоциирующие с ним самородные, интерметаллические минеральные виды, аморфные металлы, с разнообразными морфологическими формами и размерами выделений, новообразованные в широком интервале Р-Т параметров соединения присутствуют в трех разновозрастных структурно-вещественных комплексах ВЕК. Этот факт, как и открытие аморфных металлов, в природе установлен впервые.
Обосновано выделение типа минерализации в виде рассеянной вкрапленности с муассанитом, широким кругом редких фаз. Мы предлагаем обозначить как бобруйскиты. Площадь их распространения в БПВ может составлять 8750 км2. Это крупнейшее сосредоточение самородных и интерметаллических фаз, редчайших минералов, аморфных металлов.
С учетом широкого развития импактных структур в пределах БПВ (Беляшов, 1998, 2002), мы в качестве рабочей версии допускаем, что формирование рассмотренной в статье уникальной минерализации могло быть связано с импактным событием.
Благодарности. Выражаем глубочайшую признательность и благодарность за участие и помощь на разных этапах исследования БКС В.В. Солодиловой, Н.С. Завадич, А.В. Беляшову. Авторы благодарны рецензентам, чьи замечания способствовали текстовому улучшению.
Источники финансирования. Работа выполнена с использованием оборудования ЦКП “Изотопно-геохимических исследований” ИГХ СО РАН, при поддержке гранта РФФИ № 18-05-00351а и в рамках выполнения Государственного задания по Проекту IX.129.1.3. (№ 0350-2016-0029).
Список литературы
Азовскова О.Б., Малюгин А.А., Суставов С.Т. Самородные металлы и интерметаллиды Мраморской зоны, их генезис и возможная прогнозная оценка // Вест. УрО ВМО. Екатеринбург. 2002. № 1. С. 7–12.
Аксаментова Н.В. Магматизм и палеогеодинамика раннепротерозойского Осницко-Микашевичского вулканоплутонического пояса. Минск: ИГН НАН Беларуси, 2002. 176 с.
Беляшов А.В. Тектоника кумулятивных структур // Литосфера. 1998. № 9. С. 87–97.
Беляшов А.В. Строение Бобруйской кольцевой структуры с точки зрения тектоники куммулятивно-ударных структур // “Вопросы теории и практики геологической интерпретации гравитационных, магнитных и электрических полей”. 29 сессия Международного семинара им. Д.Г. Успенского. Екатеринбург, 2002. С. 35–42.
Вишневский С.А. 3ювитовые мегабрекчии – новый тип отложений взрывного облака в Попигайской астроблеме. Общая характеристика. Новосибирск: Препринт ИМиП СО РАН, 1994. 66 с.
Геология Беларуси // Под ред. А.С. Махнача, Р.Г. Гарецкого, А.В. Матвеева и др. Минск: ИГН НАН Беларуси, 2001. 815 с.
Геохронологическая шкала докембрия Украинского щита // Под ред. Э.В. Соботовича. Киев: Изд-во Наукова Думка, 1989. 144 с.
Главатских С.Ф. Самородные металлы и интерметаллические соединения в продуктах эксгаляций Большого трещинного Толбачинского извержения (Камчатка) // Докл. АН СССР. 1990. Т. 313. № 2. С. 433–437.
Громилов С.А., Афанасьев В.П., Похиленко Н.П. Муассаниты Попигайской астроблемы // Докл. АН СССР. 2018. Т. 481. № 6. С. 643–645.
Иванов А.В., Ярошевский А.А., Иванова М.А. Минералы метеоритов – новый каталог // Геохимия. 2019. Т. 64. № 8. С. 869–932.
Ковальский В.В., Олейников О.Б. Самородные металлы и природные полиминеральные сплавы меди, цинка, свинца, олова и сурьмы в породах кимберлитовой трубки “Ленинград” // Докл. АН СССР. 1985. Т. 285. № 1. С. 203–208.
Лаврентьев М.А. Кумулятивный заряд и принцип его работы // Успехи математических наук. 1957. Т. 12. Вып. 47. № 76. С. 41–56.
Левицкий И.В., Левицкий В.И. Самородные и интерметаллические соединения, аморфные металлы в породах Бобруйского погребенного выступа Восточно-Европейского кратона // Материалы XI Всероссийской молодежной научной конференции “Минералы: строение, свойства, методы исследования”. Екатеринбург: ИГиГ РАН, 2020. С. 160–162.
Левицкий В.И., Солодилова В.В., Завадич Н.С. и др. Самородные и интерметаллические соединения – индикаторы флюидного режима и генетической природы Бобруйской структуры (Республика Беларусь) // Флюидный режим эндогенных процессов континентальной литосферы. Материалы Всероссийского совещания. Иркутск: ИЗК СО РАН, 2015. С. 99–101.
Левицкий В.И., Солодилова В.В., Завадич Н.С. и др. Генетическая природа минерализации с самородными и интерметаллическими соединениями в Бобруйской кольцевой структуре (Республика Беларусь) // Докл. АН. 2018. Т. 481. № 2. С. 174–178.
Левицкий В.И., Павлова Л.А., Левицкий И.В., Лукашова М.В. Аморфные вещества в ассоциациях с самородными и интерметаллическими соединениями в Бобруйском выступе Восточно-Европейского кратона // Материалы XIV Международной научно- практической конференции “Новые идеи в науках о Земле”. Развитие новых идей и тенденций в науках о Земле: минерагения, минералогия и геммология, петрология и геохимия. М.: Изд-во РГГУ, 2019. Т. 2. С. 297–300.
Лидин Р.А., Молочко В.А., Андреева Л.Л. Справочник по общей и неорганической химии: справочное издание. Химические свойства неорганических веществи. М.: КолосС, 2008. 690 с.
Лукин А.Е. Самородно-металлические микро- и нановключения в формациях нефтегазоносных бассейнов – трассеры суперглубинных флюидов // Геофизический журн. 2009. Т. 31. № 2. С. 61–92.
Лукин А.Е., Мельничук В.Г. О природных сплавах в меденосных нижневендских базальтах Волыни // Доповіді НАН України. 2012. № 1. P. 107–116.
Лукин А.Е., Пиковский Ю.И. О роли глубинных и сверхглубинных флюидов в нефтегазообразовании // Геологический журн. 2004. № 3. С. 34–45.
Лукин А.Е. Самойленко И.И. О дисперсных самородно-металлических частицах в черносланцевых формациях эвксинского типа мегаловушках природного газа // Докл. НАН Украины. 2015. № 5. С. 103–110.
Лунный грунт из Моря Кризисов. М.: Наука, 1980. 360 с.
Макеев А.Б. Нанопленки и примазки на поверхности бразильских алмазов (кимберлитовое поле Жуина, Бразилия) // Наноминералогия. Ультра- и микродисперсное состояние минерального вещества. СПб.: Наука, 2005. С. 301–336.
Макеев А.Б., Криулина Г.Ю. Металлические пленки на поверхности и в объеме кристаллов алмаза Архангельской и Якутской алмазоносносных провинций // ЗРМО. 2012. № 1. С. 101–114.
Масайтис В.Л., Мащак М.С., Райхлин А.И. и др. Алмазоносные импактиты Попигайской астроблемы. СПб.: Изд-во ВСЕГЕИ, 1998. 178 с.
Маршинцев В.К. Самородное минералообразование в кимберлитах // Геология и геофизика. 1994. Т. 35. № 12. С. 114–122.
Махнач А.С., Доминиковский Г.Г., Пасюкевич В.И. Кварцевые порфиры кристаллического фундамента Беларуси // Докл. АН БССР. 1975. Т. Х1Х. № 9. С. 826–828.
Мелош Г. Образование ударных кратеров: Геологический процесс. М.: Мир, 1994. 336 с.
Минералы. М.: Изд-во: АН СССР, 1960. Т. 1. С. 17–125.
Мохов А.В., Горностаева Т.А., Карташов П.М. и др. Нанокристаллы самородных железа и титана в импактных стеклах лунного реголита // Докл. АН. 2015. Т. 460. № 4. С. 441–445.
Мохов А.В., Карташов П.М., Богатиков О.А. Новые данные по минералогии Луны (Луна под микроскопом) // Под. ред. Н.С. Бортникова. М.: Наука, 2007. 128 с.
Найденков И.В., Аксаментова Н.В., Архипова А.А., Пап А.М. Cтратиграфическая схема архея–нижнего протерозоя Беларуси (кристаллический фундамент) // Лiтасфера. 2005. № 1. С. 15–26.
Новгородова М.И. Самородные металлы в гидротермальных рудах. М.: Наука, 1983. 287 с.
Новгородова М.И. Кристаллохимия самородных металлов и природных интерметаллических соединений. Итоги науки и техники. Серия кристаллохимия. Изд-во: ВИНИТИ, 1994. Т. 29. 150 с.
Сандимирова Е.И. Микросферулы как индикаторы флюидных (флюидно-магматических) процессов областей современного вулканизма // Вулканизм и геодинамика. IV Всероссийский симпозиум по вулканологии и палеовулканологии. Петропавловск-Камчатский, 2009. Т. 2. С. 806–809.
Солодилова В.В., Завадич Н.С., Левицкий В.И., Павлова Л.А. Минералого-геохимические особенности риодацит-риолитовой формации Бобруйской кольцевой стуктуры // Литосфера. 2012. Т. 36. № 1. С. 113–122.
Солодилова В.В., Завадич Н.С., Левицкий В.И. и др. Минералого-геохимические особенности габбро-долеритовой формации Бобруйской кольцевой структуры // Литосфера. 2015. Т. 43. № 2. С. 46–59.
Старостенко В.И. Лукин А.Е., Цветкова Т.А. и др. Об участии суперглубинных флюидов в нафтидогенезе (по данным изучения уникального нефтяного месторождения Белый Тигр) // Геофизический журн. 2011. Т. 33. № 4. С. 3–32.
Чайковский И.И., Коротченков О.В. Эксплозивные минеральные фазы алмазоносных вишеритов Западного Урала // Литосфера. 2011. Т. 35. № 2. С. 125–140.
Чернышова Л.В. Муассанит // Типоморфизм минералов. М.: Недра, 1989. С. 284–290.
Шнюков Е.Ф., Лукин А.Е. О самородных элементах в различных геоформациях Крыма и сопредельных регионов // Геология и полезные ископаемые Мирового океана. 2011. Т. 38. № 2. С. 5–30.
Шнюков Е.Ф., Деяк М.А., Иванченко В.В. и др. Наложенная минерализация грязевых вулканов Керченского полуострова // Геология и полезные ископаемые Мирового океана. 2015. Т. 42. № 4. С. 5–18.
Andersen C.A., Keil K., Mason B. Silicon oxynitride: a meteoric mineral // Science. 1964. V. 146. P. 256–257.
Bischoff A.I, Thorsten G., Jordinga T. et al. First refinement of the sinoite structure of a natural crystal from the Neuschwanstein (EL6) Meteorite // Naturforsch. V. 37. № 11. https://doi.org/10.1002/chin.200611005
Boynton W.V. Geochemistry of the rare earth elements: meteorite studies // Ed. P. Hendersone. Rare Earth Element Geochemistry. Amsterdam: Elsevier, 1984. P. 63–114.
Hill T. R., Konishi H., Xu H. Natural occurrence of keatite precipitates in UHP clinopyroxene from the Kokchetav Massif: a TEM investigation // Amer. Mineral. 2013. V. 98. P. 187–196.
Idrestedt I., Brosset C. Structure of Si2N2O // Acta Chem. Scand. 1964. V. 18. P. 1879–1886.
Jambor J.L., Burke E.A. New mineral names // Amer. Mineral. 1991. V. 76. P. 2020–2026.
Keil K., Andersen C.A. Occurrences of sinoite, Si2N2O, in meteorites // Nature. 1965. V. 203. P. 745.
Kunz G.F. Moissanite, a natural silicon carbide // Amer. J. Sci. 1905. V. 19. P. 396–397.
McDonough W.F., Sun S.S. The composition of the Earth // Chemical Geol. 1995. V. 120. P. 223–253.
Moissan H. Étude du siliciure de carbone de la météorite de Cañon Diablo // Les Comptes Rendus de l’Académie des Sci. 1905. V. 140. P. 405–406.
Sekine T., He H., Kobayashi T., Shibata K. Sinoite (Si2N2O) shocked at pressures of 28 to 64 GPa // Amer. Mineral. 2006. V. 91. P. 463–466.
Shiryaev A.A., Griffin W.L., Stoyanov E. Moissanite (SiC) from kimberlites. Polytypes, trace elements, inclusions and speculations on origin// Lithos. 2011. V. 122. 4. P. 152–164.
Skey W. On a new mineral (awaruite) from Barn Bay // Transactions and Proceedings of the New Zealand Institute. 1885. V. 18. P. 401–402.
Rodgers K.A., Hey M.H. On the type locality and other occurrences of awaruite (FeNi3) in Westland, New Zealand // Mineral. Mag. 1980. V. 43. P. 647–650.
Rubin A.E. Sinoite (Si2N2O): Crystallization from EL chondrite impact melts // Amer. Mineral. 1997. V. 82. P. 1001–1006.
Yu Z. Two new minerals gupeiite and xifengite in cosmic dusts from Yanshan // Acta Petrol. Mineral. Analytica. 1984. V. 3. P. 231–238.
Дополнительные материалы отсутствуют.
Инструменты
Петрология






