Петрология, 2023, T. 31, № 4, стр. 349-375
Высокофракционированные граниты массива Раумид (Южный Памир): изотопное (δ18О) И геохимическое изучение
Е. О. Дубинина a, *, А. С. Авдеенко a, В. Н. Волков a, С. А. Коссова a, Е. В. Ковальчук a
a Институт геологии рудных месторождений, петрографии, минералогии и геохимии РАН
Москва, Россия
* E-mail: elenadelta@inbox.ru
Поступила в редакцию 11.03.2022
После доработки 18.05.2022
Принята к публикации 22.06.2022
- EDN: GQRRRZ
- DOI: 10.31857/S0869590323020024
Аннотация
На примере “природной лаборатории” – эоценовых гранитов массива Раумид, насчитывающего восемь фаз внедрения, рассмотрены процессы кристаллизационной дифференциации, ретроградного изотопного обмена и автометаморфизма. Работа основана на комплексном (изотопно-кислородном, петрографическом, геохимическом) изучении представительных образцов каждой из фаз внедрения массива. Проведены изотопные и геохимические исследования породообразующих минералов (Qz, Pl, Kfs, Bt), а также их разностей, имеющих визуальные признаки постмагматических изменений. Геохимические черты гранитов массива Раумид соответствуют как гранитам А-типа, так и высокофракционированным гранитам I-типа. Показано, что породы массива Раумид не являются аналогом эоценовых гранитоидов террейна Цяньтан в Центральном Тибете и Ванчского комплекса, как это предполагалось ранее (Chapman et al., 2018). Проведена оценка условий дифференциации кислых расплавов, сформировавших плутон Раумид (Т = 750–800°С, Р = 4.5–7.8 кбар с преимущественной кристаллизацией Pl). Внедрение расплавов в гипабиссальную зону становления плутона протекало как минимум в два этапа: ранний (γ1–γ3) и поздний (γ4–γ8), хотя, возможно, что породы γ7 и γ8 фаз относились к отдельному этапу. Температура закрытия изотопной системы кислорода кварца (Тq) варьирует от 420 до 610°С. Рассмотрено влияние многофазного внедрения расплавов на Тq и кажущиеся скорости остывания. Изучение измененных и неизмененных разностей минералов показало, что автометаморфизм частично перекрывался по времени с ретроградным изотопным кислородным обменом в остывающей породе. Моделирование изменения величины δ18О полевых шпатов при соссюритизации Pl и каолинитизации Kfs описывает наблюдаемые изотопные параметры минералов при ограниченном содержании водного флюида (отношение флюид/минерал 0.3–0.05), который мог отделяться при остывании пород плутона Раумид.
ВВЕДЕНИЕ
Граниты имеют ключевое значение для понимания процессов дифференциации вещества Земли (Wu et al., 2003; Brown, 2013 и др.). Способность несовместимых элементов накапливаться при дифференциации расплавов определяет актуальность изучения гранитов и для рудной геологии (Wu et al., 2017; Lee, Morton, 2015). Однако граниты – крайне сложный объект для исследований в связи с особенностью их минерального состава. В них мало или вообще отсутствуют минералы, пригодные для геохимической термобарометрии (Anderson, 1996), хотя в последнее время многие исследователи опираются на изучение химических и изотопных особенностей редких и акцессорных минералов гранитов (например, циркона: King et al., 2004; Zhang et al., 2020; Savko et al., 2019; Wei et al., 2002 и др.).
Изотопная геохимия кислорода играет важную роль в изучении гранитов, хотя в этой области существует целый ряд проблем. С одной стороны, методы изотопно-кислородной термометрии породообразующих минералов позволяют судить о процессах генерации и эволюции расплавов (дифференциации, контаминации), оценивать скорость остывания интрузивных тел и условия взаимодействия пород с флюидной фазой (см. обзоры, например, Valley, 2001). С другой стороны, атрибутом гранитов является ретроградный изотопный обмен, поскольку все их породообразующие минералы обладают высокими скоростями диффузии кислорода (Jenkin et al., 1994; Giletti, 1986 и др.). Кроме того, гранитные расплавы могут содержать значительное количество воды, в присутствии которой не только особенно эффективно протекает диффузионный обмен (Kohn, 1999), но и инициируются процессы автометаморфизма. В отличие от ретроградного обмена, последние сопровождаются перекристаллизацией существующих и формированием новых минералов, за счет чего искажаются не только первичные изотопные характеристики минералов, но и составы, приобретенные при ретроградном обмене. Следовательно, для корректной интерпретации изотопно-кислородных данных важно дифференцировать процессы автометаморфизма и диффузионного ретроградного обмена.
Настоящая работа посвящена определению возможностей изотопно-кислородной геохимии породообразующих минералов гранитов в установлении условий и факторов, контролирующих процессы формирования гранитного тела, включая постмагматическую стадию. Для решения такой задачи необходим объект, не измененный метаморфическими событиями, без следов ассимиляции окружающих пород (например, Wei et al., 2000; Дубинина и др., 2010) и взаимодействия с внешним флюидом (Wei et al., 2002). В качестве такого объекта нами был выбран расположенный на Южном Памире массив Раумид, который можно отнести к разряду уникальных природных лабораторий. Граниты массива Раумид молодые (35.5 ± 0.9 млн лет, Костицын и др., 2007б; Волков и др., 2016), практически не затронутые процессами метаморфизма и вторичными изменениями. Массив имеет историю становления, насчитывающую восемь фаз внедрения, породы которых близки по химическому составу, а также по изотопным параметрам (например, по изотопному составу Nd, Волков и др., 2016). Граниты массива Раумид просты по минеральному составу (Qz + Pl + + Kfs + Bt), причем количественное соотношение минералов в породах всех фаз внедрения почти одинаково (Волков, Негрей, 1974; настоящая работа). Микроэлементный состав гранитов массива Раумид показывает отсутствие признаков значимой ассимиляции или взаимодействия с внешним флюидом (Костицын и др., 2007а).
Для гранитов массива Раумид отчетливо проявлены визуально различимые постмагматические изменения полевых шпатов: измененный плагиоклаз представлен мутными кристаллами с агрегатами соссюрита, а калиевый полевой шпат – мутными кристаллами с пелитизированными зонами (Костицын, Волков, 1989; Шатагин, Волков, 2020). Изучение изотопного состава стронция в прозрачном и мутном плагиоклазе показало, что постмагматические изменения приводят к нарушению Rb-Sr изотопной системы минерала (Шатагин, Волков, 2020). Если рассматривать граниты массива Раумид как закрытую систему, то вариации величины δ18О в минералах должны описываться в рамках двух постмагматических процессов – ретроградного диффузионного обмена и автометаморфизма. Идея нашего подхода состояла в том, что следы ретроградного диффузионного обмена могут сохраниться только в минералах, не имеющих внешних признаков метасоматических изменений и перекристаллизации. В породах массива Раумид к таким минералам можно отнести кварц и неизмененные (прозрачные) разности полевых шпатов. Измененные при автометаморфизме зерна полевых шпатов, вероятно, несут дополнительный изотопный сигнал, приобретенный при взаимодействии с флюидом. Таким образом, массив Раумид представляет уникальную возможность проследить процессы ретроградного обмена в изучении неизмененных, а процессы автометаморфизма – при изучении измененных разностей одних и тех же минералов.
ГЕОЛОГИЧЕСКАЯ ХАРАКТЕРИСТИКА МАССИВА РАУМИД И ДАННЫЕ ПРЕДЫДУЩИХ ИССЛЕДОВАНИЙ
Массив Раумид, сложенный двуполевошпатовыми биотитовыми гранитами, расположен на северном склоне Рушанского хребта (Южный Памир). Массив относят к Ванчскому комплексу (Vanj complex) кислых пород эоценового этапа магматизма на Памире и Тибете (42–36 млн лет), формирование которого связывают с отрывом/деламинацией части литосферной мантии, вызванным столкновением Индийской и Азиатской плит (Chapman et al., 2018). Это событие, возможно, имевшее пульсирующий характер, вызывало периодический подток мантийного вещества под утоненную область литосферы, что, в свою очередь, инициировало эпизоды плавления на разных структурных этажах коры (Ducea et al., 2013). Среди гранитных тел Ванчского комплекса плутон Раумид относится к наиболее молодым – его формирование произошло в гипабиссальных условиях 35.5 ± 0.9 млн лет назад (Костицын и др., 2007б; Волков и др., 2016). Согласно данным (Chapman et al., 2018), для гранитоидов Ванчского комплекса характерны черты, присущие адакитам (высокие величины La/Yb и Sr/Y, обеднение тяжелыми РЗЭ и Y, отсутствие отрицательной аномалии Eu и т.д., например, Collins et al., 1982; Castillo, 2012; Wang et al., 2021). Эти и другие характеристики позволили авторам отнести гранитоиды Ванчского комплекса к продуктам плавления деламинированной коры на глубинах более 50 км. Однако, согласно опубликованным данным (Костицын и др., 2007а; Волков, 1990; Волков, Негрей, 1974) и результатам настоящей работы, состав пород массива Раумид не является типичным для Ванчского комплекса, поскольку они лишены каких-либо адакитовых черт.
Последовательность фаз внедрения гранитных расплавов (рис. 1), формировавших массив Раумид, была прослежена по наличию ксенолитов, апофиз и жил, секущих породы более ранних эпизодов внедрения (Волков, Негрей, 1974). Граниты первой фазы внедрения (γ1) составляют около 10% вскрытой части массива и приурочены к его краевым участкам. Они представляют собой массивные порфировидные среднезернистые граниты и отличаются от пород остальных фаз внедрения более высоким содержанием биотита (до 7%). Граниты второй фазы внедрения (γ2), представленные крупнозернистыми светло-серыми породами порфировидной структуры, слагают внутреннюю зону массива, занимая до 60% объема ее вскрытой части. Граниты третьей фазы внедрения (γ3) слагают небольшие штоки и линейные дайки протяженностью до несколько километров и мощностью до несколько десятков и первых сотен метров. Размещение наиболее крупных даек контролируется региональными разломами, мелкие тела приурочены преимущественно к трещинам в породах γ1 и γ2. Породы γ3 составляют всего 1–2% от объема массива Раумид. Для них характерно минимальное содержание биотита и мелкозернистая структура основной массы с резко выделяющимися вкрапленниками полевых шпатов, кварца и биотита.
Рис. 1.
Расположение массива Раумид и его геологическая схема по (Волков, 1990). 1–7 – (γ1–γ7) фазы внедрения гранитов, 8 – вмещающие породы, 9 – локализация образцов, обсуждаемых в настоящей работе. Граниты γ8 фазы внедрения представлены мелкими телами, которые не различимы в масштабе данной схемы.

Граниты четвертой фазы внедрения (γ4) образуют крупную кольцевую дайку, разомкнутую на северо-востоке. Максимальная мощность ее в южной части массива достигает 2.5 км. Граниты γ4 локализованы среди пород γ1, γ2 и γ3 фаз внедрения и занимают около 20% вскрытой части массива Раумид. Для них характерна крупнозернистая основная масса и почти полное отсутствие порфировидных вкрапленников. Среднезернистые порфировидные граниты пятой фазы внедрения (γ5) расположены в северо-восточной части массива в виде сужающегося с глубиной штока, от апикальной части которого отходит мощная пластообразная залежь. Эрозионным срезом граниты γ5 разделены на два изолированных выхода и занимают около 6% объема плутона. Граниты шестой фазы внедрения (γ6) занимают около 3% объема массива. По составу и структуре они близки к породам γ5, но отличаются меньшим размером минеральных зерен и несколько более высоким содержанием плагиоклаза. Граниты седьмой и восьмой фаз внедрения (γ7 и γ8) расположены в северо-восточной части массива и занимают менее 1% его объема. Породы γ7 представлены массивными среднезернистыми порфировидными, а породы γ8 – мелкозернистыми афировыми гранитами.
Геохимические черты гранитов массива Раумид описываются процессами “глубоко протекавшей фракционной кристаллизации фельзитовых магм без очевидных следов контаминации” (Костицын и др., 2007а). Действительно, процессов контаминации, выраженных в сдвигах изотопного или элементного состава, для гранитов массива Раумид не было установлено. Тем не менее в породах трех фаз внедрения из пяти присутствуют ксенолиты как окружающих, так и более глубинных пород (ороговикованных песчаников и сланцев в γ1 и γ2, пород основного состава в γ1, гнейсов и аляскитов в γ4, Волков, Негрей, 1974). Однако, по-видимому, процесс захвата ксенолитов не сопровождался их ассимиляцией или реакционным взаимодействием с гранитными расплавами. Согласно опубликованным результатам ICP-MS анализа содержаний микроэлементов в 58 образцах гранитов массива Раумид, при переходе от пород первой фазы внедрения к последней (т.е. в ряду γ1–γ8) происходит эволюция микроэлементного состава гранитов. Она состоит в существенном накоплении Ta (2 → 62 ppm), Nb (27 → 106 ppm), Rb (170 → 440 ppm), Pb (25 → → 85 ppm), Y (18 → 120 ppm), HREE, U (6 → 30 ppm), Be (5 → 25 ppm), Cs (5 → 11 ppm) и Hf (2 → 9 ppm). Одновременно отмечается снижение содержаний Ba (320 → 16 ppm), Sr (127 → 2 ppm), Th (85 → → 18 ppm), Zr (207 → 30 ppm) и LREE. В том же ряду происходит нарастание величины отрицательной Eu-аномалии, примерно на порядок для γ8 по сравнению с γ1. Общий вид спектров REE при переходе от γ1 к γ8 изменяется не только в сторону увеличения отрицательной Eu-аномалии, но и в сторону уменьшения концентраций LREE и умеренного возрастания HREE. Значение La/Lu, нормированное на хондрит, уменьшается от 10–15 в гранитах γ1 до 0.2–1 в гранитах γ8 (Костицын и др., 2007а). Изотопное отношение (87Sr/86Sr)0 варьирует в гранитах массива Раумид от 0.7067 до 0.7106 (Шатагин, Волков, 2020), в то время как величина εNd(T) остается постоянной (–4.0, Волков и др., 2016).
Граниты массива Раумид сложены кварцем, К-Na полевым шпатом (микроклин-пертит), плагиоклазом (олигоклаз), на долю которых приходится примерно по 30 об. %, железистым биотитом (2–4%) и редко встречающимися ортитом, цирконом, апатитом, торитом, флюоритом, фергюсонитом и монацитом. Для пород всех фаз внедрения отмечаются видимые следы постмагматических изменений минералов, однако общее содержание измененных минералов составляет всего 2–5 об. %. В шлифах отмечается присутствие альбита пертитовых вростков и реакционных кайм на границах между зернами плагиоклаза и микроклина, реже – развитие мусковита и флюорита. В гранитах γ4–γ8 фаз внедрения наблюдается хлоритизация биотита. Визуально постмагматические изменения отчетливо проявлены в полевых шпатах. Измененный плагиоклаз представлен мутными кристаллами с агрегатами соссюрита, а калиевый полевой шпат – мутными кристаллами с пелитизированными зонами.
МАТЕРИАЛЫ И МЕТОДЫ АНАЛИЗА
Материалы
Для настоящей работы было выбрано по одному представительному образцу породы каждой из фаз внедрения. Локализация мест отбора образцов показана на геологической схеме (рис. 1). Породы всех фаз внедрения (кроме γ8) обладают выраженной порфировидной структурой (рис. 2а, 2б). В каждом из выбранных образцов был проанализирован валовый химический состав, минеральный состав и изотопный состав кислорода всех имеющихся разновидностей породообразующих минералов. В нашу задачу не входило изучение акцессорных и редких минералов, которых в гранитах массива Раумид содержится очень мало. В табл. 1 приведены данные о гранулометрическом и минеральном составе изученных образцов, из которых следует, что содержание породообразующих минералов в гранитах разных фаз внедрения варьирует в пределах первых процентов, за исключением γ1, где несколько повышено содержание биотита (до 7 об. %) по сравнению с породами остальных фаз внедрения (2–3%).
Рис. 2.
Породы массива Раумид. (a, б) – внешний вид порфировых (γ2) и афировых (γ8) гранитов; (в, г) – фото неизмененных и измененных зерен плагиоклаза (Pl, Pl-2) и калиевого полевого шпата (Kfs, Kfs-2), отобранных для изотопного анализа кислорода; (д, е) – фото шлифов под микроскопом: (д) – измененные зерна плагиоклаза c микровключениями эпидота (цоизита) и серицита (обр. 314, γ3), (е) – измененный КПШ с агрегатами каолинита на поверхности кристаллов (обр. 920, γ2); (ж) – развитие хлорита по зернам биотита (обр. 951-1, γ4, фото под электронным микроскопом в обратнорассеянных электронах); (з) – мусковит, сформированный на этапе автометаморфизма (обр. 826, γ5, изображение с помощью поляризационного микроскопа, николи скрещены).

Таблица 1.
Содержание породообразующих минералов (об. %) в гранитах массива Раумид
| Фазы внедрения | Номер образца | Абс. отметка отбора образца, м | Qz | Pl | Kfs | Bt | Ms |
|---|---|---|---|---|---|---|---|
| γ1 | 909-1 | 4100 | 35 | 27 | 31 | 7 | |
| γ2 | 936-1 | 3700 | 36 | 29 | 31 | 4 | |
| γ3 | 818-1 | 3600 | 38 | 25 | 35 | 2 | |
| γ4 | 956-1 | 4700 | 36 | 22 | 40 | 3 | |
| γ5 | 967 | 3800 | 40 | 27 | 31 | 2 | <1 |
| γ6 | 116 | 4200 | 38 | 30 | 30 | 2 | |
| γ7 | 122-1 | 4100 | 36 | 27 | 33 | 4 | |
| γ8 | 826-2 | 4000 | 35 | 27 | 33 | 4 | <1 |
Все минеральные фракции для изотопного анализа кислорода отбирались вручную под микроскопом. Отбор фракций биотита (Bt), хлоритизированного биотита (Bt-Chl) и хлорита (Chl) для изотопного анализа контролировался по цвету зерен. Неизмененный Bt в гранитах массива Раумид имеет красно-коричневый цвет, Chl является ярко-зеленым, а зерна Bt-Chl – зеленовато-бурые. При отборе фракций полевых шпатов были хорошо различимы измененные замутненные зерна Pl и Kfs (рис. 2в, 2г). Анализ под электронным микроскопом показал, что измененные зерна Pl имеют микровключения эпидота (цоизита) и серицита, а измененный Kfs содержит агрегаты каолинита на поверхности кристаллов (рис. 2д, 2е). Мы присвоили измененным разновидностям Pl и Kfs обозначения Pl-2 и Kfs-2, чтобы отличать их далее от визуально неизмененных разностей Pl и Kfs. Постмагматические изменения в гранитах γ5–γ8 фаз внедрения также проявлены и в развитии Chl по зернам Bt (рис. 2ж). В породах γ5 и γ8 присутствуют следовые количества мусковита, имеющего, по-видимому, автометаморфическое происхождение (рис. 2з). Мономинеральные фракции Chl и Ms также были отобраны для изотопного анализа.
Химический состав пород и минералов
Анализ содержаний породообразующих оксидов и некоторых микроэлементов в валовых пробах образцов гранитов γ1–γ8 (табл. 2) выполнен с помощью метода РФА на ваккумном спектрометре последовательного действия Axios mAX (PANalytical, Нидерланды) в ИГЕМ РАН (оператор Якушев А.И., г. Москва).
Таблица 2.
Химический состав (мас. %, г/т) образцов, в которых проводилось изучение изотопного состава кислорода
| Компоненты | Фаза внедрения | |||||||
|---|---|---|---|---|---|---|---|---|
| γ1 | γ2 | γ3 | γ4 | γ5 | γ6 | γ7 | γ8 | |
| SiO2 | 73.83 | 75.9 | 76.02 | 76.28 | 76.39 | 75.86 | 76.55 | 75.73 |
| TiO2 | 0.25 | 0.18 | 0.15 | 0.09 | 0.11 | 0.07 | 0.1 | 0.05 |
| Al2O3 | 13.62 | 12.63 | 12.12 | 11.67 | 12.96 | 12.78 | 12.58 | 13.12 |
| Fe2O3 | 2.09 | 1.95 | 1.43 | 1.47 | 1.32 | 1.35 | 1.26 | 1.06 |
| MnO | 0.06 | 0.04 | 0.03 | 0.03 | 0.03 | 0.04 | 0.03 | 0.04 |
| MgO | 0.41 | 0.24 | 0.16 | 0.05 | 0.21 | 0.02 | 0.07 | 0.03 |
| CaO | 1.11 | 0.92 | 0.81 | 0.65 | 0.79 | 0.57 | 0.62 | 0.57 |
| Na2O | 3.77 | 3.46 | 3.63 | 3.42 | 3.63 | 3.82 | 3.78 | 4.29 |
| K2O | 4.64 | 4.56 | 4.67 | 4.79 | 4.42 | 4.75 | 4.34 | 4.57 |
| P2O5 | 0.08 | 0.05 | 0.02 | 0.008 | 0.03 | 0.012 | 0.017 | 0.004 |
| S | 0.02 | 0.02 | 0.01 | 0.02 | 0.02 | – | 0.01 | 0.02 |
| П.п.п. | н/а | н/а | 0.90 | 0.72 | н/а | 0.6 | 0.62 | 0.93 |
| Сумма | 99.9 | 100.0 | 99.9 | 99.2 | 99.9 | 99.9 | 100.0 | 100.4 |
| Rb | 261 | 224 | 214 | 232 | 289 | 431 | 278 | 321 |
| Sr | 132 | 60 | 60 | 33 | 53 | 23 | 56 | 9 |
| Y | 30 | 21 | 42 | 40 | 44 | 70 | 52 | 69 |
| Zr | 156 | 162 | 92 | 96 | 148 | 126 | 99 | 94 |
| Nb | 32 | 24 | 53 | 42 | 46 | 69 | 55 | 93 |
| Ba | 296 | 119 | 106 | 72 | 81 | 58 | 93 | 102 |
| Pb | 31 | 34 | 39 | 51 | 62 | 53 | 85 | |
| Th | 41 | 54 | 45 | 56 | 34 | 35 | 24 | |
| U | 8 | 8 | 12 | 13 | 12 | 9 | 19 | |
Для большого числа образцов гранитов массива Раумид ранее были опубликованы результаты по содержанию микроэлементов, полученные методом ICP-MS (Костицын и др., 2007а). Мы дополнили эти результаты данными РФА анализа, установив П.п.п. и содержания петрогенных элементов в тех же образцах (Supplementary22 1, ESM_1.xlsx). РФА анализ был проведен также для дополнительной партии образцов (Supplementary 2, ESM_2.xlsx).
Составы зерен Pl, Kfs и Bt были изучены на электронно-зондовом микроанализаторе JEOL JXA-8200 при ускоряющем напряжении 20 кВ и токе зонда 20 нА с использованием программы ZAF-коррекции фирмы JEOL. Для анализа Pl и Kfs были использованы зерна, отобранные вручную для изотопного анализа кислорода (по 20–30 зерен каждого вида). Анализ составов зерен Bt и Chl был проведен в прозрачно-полированных шлифах, изготовленных из наиболее представительных образцов каждой фазы внедрения.
Изотопный анализ кислорода
Для экстракции кислорода из образцов силикатных минералов (1–1.5 мг) проводился их нагрев с помощью 30W CO2-лазера (λ = 10.63 мкм) в среде BrF5 (метод фторирования с применением лазерного нагрева, Sharp, 1990). Полученный кислород очищался от примесей и остатков реагента и подавался в систему напуска масс-спектрометра “DELTAplus” (Finnigan). Измерения проводились относительно рабочего эталона О2, изотопный состав которого калиброван в международной шкале V-SMOW с помощью международных стандартов NBS-28 (кварц) и UWG-2 (гранат) (Valley et al., 1995). Воспроизводимость измерений по результатам многократного анализа внутреннего стандарта кварца POLARIS (δ18О = 13.0‰) составляет ±0.1‰ (1σ).
РЕЗУЛЬТАТЫ
Состав пород массива Раумид
Породы массива Раумид являются высококремниевыми: содержание SiO2 в образцах γ2–γ8 фаз внедрения изменяется от 75.73 до 76.55 мас. %, и только в гранитах γ1 оно немного снижено (73.83 мас. %, табл. 2). Состав всех пород массива близок к гранитной эвтектике (рис. 3), точки всех фаз внедрения компактно расположены на тройной диаграмме Qz–Ab–Or в поле недосыщенных водой гранитных расплавов, кристаллизующихся на небольших глубинах. На диаграмме Fe–SiO2 граниты массива Раумид уверенно попадают в поле пород железистого типа (рис. 4а). Их железистость является высокой (Fe* = 0.8–1.0)33, но она определяется не столько высоким содержанием железа, сколько низким содержанием магния (MgO от 0.38 для γ1 до <0.2 для γ2–γ8, табл. 2). На классификационной диаграмме MALI–SiO2 (Frost et al., 2001) породы массива Раумид попадают в поле известково-щелочных гранитов (рис. 4б), их насыщение алюминием (A/CNK = 0.88–1.06; ASI = 0.93–1.13) является умеренным (рис. 4в), а по соотношению основных породообразующих оксидов (Sylvester, 1989), они относятся к фракционированному типу (рис. 4г). Индекс дифференцированности пород массива является высоким (от 94.8 для γ1 до 98.1 для γ8).
Рис. 3.
Породы массива Раумид на диаграмме Qz‒Ab–Or. 1 – точки минимумов, соответствующих насыщенному водой расплаву при 0.5, 1, 2, 5 и 10 кбар (Luth et al., 1964); 2 – точки безводных минимумов при 0.5 и 0.8 кбар (Holtz et al., 2001); 3 – граниты γ1–γ8 фаз внедрения массива Раумид.

Отмечается снижение содержаний Sr и Zr с ростом SiO2, в то время как для Rb, Y, Nb и Pb – возрастание (табл. 2, Supplementary 1, ESM_1.xlsx, Supplementary 2, ESM_2.xlsx), что указывает на процесс дифференциации данных расплавов. В отношении петрогенных оксидов отмечается резкое снижение содержаний TiO2, FeOt, MgO, CaO и P2O5 на фоне роста SiO2 в породах первых трех фаз внедрения (γ1–γ3). Для пород остальных фаз содержание кремнезема почти постоянно. Содержания Na2O и K2O не показывают связи ни с количеством кремнезема, ни с порядком эпизодов внедрения.
Состав минералов гранитов массива Раумид
Pl и Kfs. Составы Pl и Kfs изучены в порциях минералов, подготовленных для изотопного анализа кислорода. Составы Pl и Kfs отвечают олигоклазу (0 < An < 20%) и ортоклазу соответственно (табл. 3, рис. 5а). Они не обнаруживают корреляции с последовательностью фаз внедрения гранитов, но изменяются при переходе от неизмененной разности к измененной (Pl → Pl-2 и Kfs → Kfs-2). Этот переход сопровождается выносом Na из Kfs (составы сдвигаются в сторону чистого ортоклаза и привносом Na в Pl (сдвиг составов в сторону альбита, рис. 5а)). Одновременно происходит обеднение Ca и K в Pl-2 и повышение содержания калия в Kfs-2. Комплементарное перераспределение К и Na между Pl и Kfs указывает на возможность обмена K и Na между этими минералами в закрытой системе.
Таблица 3.
Составы (мас. %) неизмененных (Pl, Kfs) и измененных (Pl-2, Kfs-2) плагиоклаза и полевого шпата гранитов массива Раумид, отобранных для изотопного анализа кислорода
| Компо-ненты | γ1 | γ2 | γ3 | γ4 | γ5 | γ6 | γ7 | |||||||
|---|---|---|---|---|---|---|---|---|---|---|---|---|---|---|
| Плагиоклаз | ||||||||||||||
| Pl | Pl-2 | Pl | Pl-2 | Pl | Pl-2 | Pl | Pl-2 | Pl | Pl-2 | Pl | Pl-2 | Pl | Pl-2 | |
| SiO2 | 62.68 | 63.45 | 65.31 | 66.56 | 63.96 | 65.21 | 66.48 | 65.03 | 65.33 | 66.25 | 67.66 | 68.36 | 65.12 | 66.29 |
| Al2O3 | 23.10 | 22.70 | 21.60 | 20.94 | 22.37 | 20.69 | 20.64 | 20.55 | 21.46 | 20.94 | 20.15 | 19.73 | 20.92 | 20.18 |
| FeO | 0.10 | 0.07 | 0.08 | 0.06 | 0.07 | 0.04 | 0.04 | 0.07 | 0.04 | 0.05 | 0.03 | 0.02 | 0.07 | 0.05 |
| CaO | 4.50 | 4.08 | 2.81 | 1.66 | 3.70 | 2.48 | 1.58 | 1.90 | 2.74 | 2.08 | 0.96 | 0.39 | 2.21 | 1.33 |
| Na2O | 8.74 | 9.27 | 9.83 | 10.63 | 9.50 | 10.48 | 10.72 | 10.39 | 9.91 | 10.50 | 11.21 | 11.51 | 10.28 | 10.73 |
| K2O | 0.46 | 0.33 | 0.53 | 0.26 | 0.46 | 0.17 | 0.38 | 0.23 | 0.45 | 0.41 | 0.31 | 0.15 | 0.34 | 0.27 |
| BaO | 0.02 | 0.01 | 0.01 | 0.00 | 0.01 | 0.01 | 0.00 | 0.01 | 0.00 | 0.01 | 0.02 | 0.01 | 0.00 | 0.01 |
| Сумма | 99.59 | 99.90 | 100.18 | 100.11 | 100.06 | 99.07 | 99.85 | 98.17 | 99.94 | 100.24 | 100.35 | 100.16 | 98.95 | 98.87 |
| An, % | 20 | 16 | 15 | 4 | 24 | 9 | 9 | 11 | 14 | 9 | 6 | 3 | 11 | 2 |
| Калиевый полевой шпат | ||||||||||||||
| Компо-ненты | Kfs | Kfs-2 | Kfs | Kfs-2 | Kfs | Kfs-2 | Kfs | Kfs-2 | Kfs | Kfs-2 | Kfs | Kfs-2 | Kfs | Kfs-2 |
| SiO2 | 65.15 | 64.55 | 64.98 | 65.30 | 65.06 | 64.71 | 65.42 | 64.97 | 65.57 | 65.16 | 65.24 | 64.60 | 64.71 | 64.76 |
| Al2O3 | 18.26 | 18.01 | 18.05 | 18.04 | 18.18 | 18.02 | 18.25 | 18.14 | 18.32 | 18.07 | 18.08 | 17.89 | 18.08 | 18.10 |
| FeO | 0.03 | 0.02 | 0.04 | 0.02 | 0.03 | 0.05 | 0.07 | 0.05 | 0.06 | 0.01 | 0.04 | 0.03 | 0.04 | 0.00 |
| CaO | 0.01 | 0.05 | 0.01 | 0.00 | 0.00 | 0.00 | 0.00 | 0.00 | 0.02 | 0.00 | 0.01 | 0.00 | 0.00 | 0.00 |
| Na2O | 0.97 | 0.72 | 0.90 | 0.26 | 1.12 | 0.59 | 1.07 | 0.85 | 1.06 | 0.20 | 1.15 | 0.40 | 0.87 | 0.20 |
| K2O | 15.60 | 15.50 | 15.79 | 16.78 | 15.46 | 16.09 | 15.59 | 15.91 | 15.60 | 16.87 | 15.40 | 16.43 | 15.73 | 16.87 |
| BaO | 0.06 | 0.02 | 0.02 | 0.01 | 0.02 | 0.02 | 0.02 | 0.02 | 0.03 | 0.03 | 0.02 | 0.01 | 0.03 | 0.00 |
| Сумма | 100.09 | 98.87 | 99.80 | 100.40 | 99.86 | 99.48 | 100.41 | 99.95 | 100.66 | 100.35 | 99.95 | 99.36 | 99.47 | 99.92 |
Рис. 5.
Состав минералов гранитов массива Раумид. (а) – полевые шпаты в координатах Ab–An–Or; (б) – биотит в координатах (FeO + MnO)–10TiO2–MgO (Nachit et al., 2005). 1– хлорит, 2 – биотит, данные всех измерений, 3 – биотит, данные измерений зерен без следов изменений.

Bt. На фоне отсутствия других минеральных термобарометров биотит в высокофракционированных гранитах является одним из самых информативных минералов (Mohammadi et al., 2021; Shabbani, Lalonde, 2003; Dong et al., 2014). Состав Bt был определен на электронно-зондовом микроанализаторе (табл. 5) в прозрачно-полированных шлифах, в которых заранее были отмечены наименее измененные красно-бурые зерна, аналогичные тем, которые отбирались для изотопного анализа кислорода. В координатах (FeO + MnO)–(10TiO2)–(MgO) (рис. 5б) состав биотита гранитов массива Раумид находится в поле первично-магматического состава, определенного для щелочных и крайне дифференцированных гранитов (Nachit et al., 2005; Mohammadi et al., 2021). Точки хлоритизированных Bt и Chl лежат на этой диаграмме в области вторичных составов.
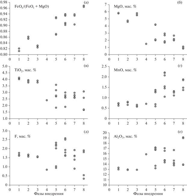
В отличие от Pl и Kfs, состав которых не меняется в зависимости от последовательности внедрения гранитов, Bt отчетливо показывает наличие эволюционных трендов от аннита в породах γ1–γ3 до сидерофиллита в породах γ4–γ8. В направлении от γ1 к γ8 возрастает его железистость (рис. 6а), снижаются содержания MgO и TiO2 (рис. 6б, 6в), возрастает содержание MnО (рис. 6г). Почти для всех элементов в Bt γ4–γ8 фаз внедрения отмечается существенный разброс содержаний по сравнению с таковыми в Bt γ1–γ3. Например, концентрация F плавно снижается от 1.70 до 0.85 в направлении от γ1 к γ3, но, начиная с γ4, наблюдается рост его содержания, вплоть до 2.5 мас. % (рис. 6д), при этом содержание Cl остается стабильно низким, ≤0.14 мас. % (табл. 4). Также отчетливо прослеживается повышение содержания Al2О3 в Bt пород поздних фаз внедрения (рис. 6е). Процесс хлоритизации проявлен в породах γ4–γ8, и его развитие начинается от появления тонких врастаний (рис. 2е) до полного замещения биотита хлоритом. Усредненные данные по составу хлорита приведены в табл. 4.
Таблица 4.
Состав (мас. %) биотита и хлорита гранитов массива Раумид
| Компонеты | γ1 | γ2 | γ3 | γ4 | γ5 | γ6 | γ7 | γ8 | Chl* |
|---|---|---|---|---|---|---|---|---|---|
| SiO2 | 35.67 | 35.26 | 35.76 | 34.47 | 35.85 | 35.91 | 35.25 | 33.94 | 23.7 ± 0.68 |
| TiO2 | 4.09 | 3.86 | 3.83 | 2.33 | 2.51 | 2.61 | 2.66 | 2.87 | 0.16 ± 0.10 |
| Al2O3 | 13.14 | 12.95 | 12.95 | 15.64 | 16.98 | 15.76 | 15.18 | 13.71 | 19.58 ± 1.37 |
| Cr2O3 | 0.02 | 0.00 | 0.01 | 0.00 | 0.00 | 0.01 | 0.02 | 0.01 | 0.01 ± 0.01 |
| FeO | 26.22 | 28.29 | 27.31 | 29.53 | 26.28 | 26.69 | 28.91 | 32.06 | 40.54 ± 1.45 |
| MnO | 0.70 | 0.75 | 0.62 | 0.72 | 1.33 | 1.76 | 1.26 | 1.42 | 0.96 ± 0.64 |
| MgO | 5.80 | 4.70 | 5.63 | 1.50 | 2.09 | 2.29 | 2.25 | 1.07 | 2.18 ± 1.30 |
| CaO | 0.04 | 0.01 | 0.00 | 0.03 | 0.00 | 0.01 | 0.01 | 0.10 | 0.06 ± 0.11 |
| Na2O | 0.10 | 0.07 | 0.09 | 0.10 | 0.12 | 0.07 | 0.10 | 0.06 | 0.02 ± 0.03 |
| K2O | 9.38 | 9.34 | 9.43 | 9.29 | 9.44 | 9.32 | 9.10 | 8.70 | 0.16 ± 0.30 |
| F | 1.70 | 1.65 | 1.57 | 0.85 | 2.20 | 2.03 | 1.55 | 0.39 | 0.22 ± 0.06 |
| Cl | 0.10 | 0.13 | 0.13 | 0.12 | 0.14 | 0.07 | 0.12 | 0.12 | 0.01 ± 0.01 |
| Cумма | 96.95 | 97.01 | 97.32 | 94.58 | 96.95 | 96.52 | 96.40 | 94.45 | 87.61 ± 0.56 |
| Пересчет на 22 катиона | |||||||||
| Si | 11.36 | 11.35 | 11.39 | 11.38 | 11.42 | 11.54 | 11.40 | 11.37 | 8.67 |
| Al | 3.70 | 3.68 | 3.65 | 4.55 | 4.59 | 4.48 | 4.34 | 4.73 | 6.32 |
| Ti | 0.98 | 0.94 | 0.92 | 0.59 | 0.66 | 0.63 | 0.65 | 0.55 | 0.04 |
| Mg | 1.38 | 1.13 | 1.34 | 0.37 | 0.60 | 0.55 | 0.54 | 0.24 | 0.59 |
| Fe2+ | 3.49 | 3.81 | 3.64 | 4.02 | 3.58 | 3.59 | 3.91 | 3.90 | 6.19 |
| Mn | 0.09 | 0.10 | 0.08 | 0.10 | 0.16 | 0.24 | 0.17 | 0.23 | 0.15 |
| Ca | 0.01 | – | – | – | – | – | – | – | 0.01 |
| Na | 0.02 | 0.01 | 0.01 | 0.01 | 0.02 | 0.01 | 0.01 | 0.02 | 0.00 |
| K | 0.95 | 0.96 | 0.96 | 0.95 | 0.96 | 0.96 | 0.94 | 0.95 | 0.02 |
| XMg | 0.283 | 0.229 | 0.269 | 0.083 | 0.124 | 0.133 | 0.122 | 0.056 | |
Таблица 5.
Изотопный состав кислорода минералов и пород (δ18ОBR) массива Раумид
| Фазы внедрения | Номер образца | δ18О(VSMOW), ‰ | ||||||||||
|---|---|---|---|---|---|---|---|---|---|---|---|---|
| Qz | Pl | Pl-2 | Кsp | Кsp-2 | Bt | Bt + Chl | Chl | Ms | BR* | BR** | ||
| γ1 | 909-1 | 10.5 | 9.1 | 8.3 | 8.3 | 8.4 | 5.5 | – | – | – | 9.21 | 9.39 |
| γ2 | 936-1 | 10.1 | 8.7 | 8.6 | 8.4 | 8.2 | 6.8 | – | – | – | 9.10 | 9.19 |
| γ3 | 818-1 | 10.1 | 9.1 | 7.3 | 8.3 | 7.0 | 7.3 | – | – | – | 9.22 | 9.28 |
| γ4 | 956-1 | 10.3 | 8.6 | 7.4 | 8.3 | 7.3 | 7.5 | – | – | – | 9.12 | 9.21 |
| γ5 | 967 | 10.5 | 9.5 | 8.2 | 8.4 | 8.4 | 5.6 | 5.2 | 4.0 | 7.9 | 9.52 | 9.62 |
| γ6 | 116 | 10.3 | 9.1 | 8.8 | 9.1 | 8.3 | 7.4 | 5.9 | 3.7 | – | 9.57 | 9.55 |
| γ7 | 122-1 | 10.4 | 8.9 | 7.8 | 8.0 | 5.5 | 6.7 | 4.7 | 2.8 | – | 9.14 | 9.27 |
| γ8 | 826-2 | 10.7 | 8.9 | 9.1 | 8.8 | 8.6 | 5.9 | 6.0 | 4.1 | 8.0 | 9.44 | 9.51 |
| Среднее (±R2) | 10.4 ± 0.2 | 9.0 ± 0.3 | 8.2 ± 0.6 | 8.4 ± 0.3 | 7.7 ± 1.1 | 6.6 ± 0.8 | – | – | – | 9.30 ± 0.19 | 9.38 ± 0.17 | |
* Величина δ18ОBR рассчитана по уравнению (1) с использованием визуальных оценок содержания минералов (табл. 1). ** Величина δ18ОBR рассчитана по уравнению (1) с использованием расчета содержаний минералов в породе методом CIPW.
Изотопный состав кислорода породообразующих минералов и валовых проб пород
В ряду γ1–γ8 величина δ18О отдельных минералов варьирует в очень узких пределах, всего в 2–3 раза превышающих аналитическую погрешность: δ18О(Qz) = 10.4 ± 0.2‰, δ18О(Pl) = 9.0 ± 0.3‰ и δ18О(Kfs) = 8.4 ± 0.3‰. Исключением является Bt: несмотря на то, что его содержание в породах очень мало, величина δ18О(Bt) варьирует от 5.5 до 7.5‰.
Изотопный состав валовых проб пород (δ18ОBR) был рассчитан с учетом содержания в них главных породообразующих минералов (табл. 1) и величины δ18О из табл. 5:
(1)
$\begin{gathered} {{\delta }^{{18}}}{{{\text{О}}}_{{{\text{BR}}}}} = {\text{ }}{{\delta }^{{18}}}{\text{О}}(Qz)X(Qz) + {{\delta }^{{18}}}{\text{О}}(Pl)X(Pl) \\ + \,\,{{\delta }^{{18}}}{\text{О}}(Kfs)X(Kfs) + {{\delta }^{{18}}}{\text{О}}(Bt)X(Bt), \\ \end{gathered} $где Х – доля кислорода породы, приходящаяся на соответствующий минерал. При таком расчете возможна погрешность, связанная с визуальной оценкой количества минералов в образце. Тем не менее такой балансовый расчет более корректен для крупнозернистых кислых пород, чем непосредственный анализ маленьких навесок (≈1 мг) валовых проб. Для сравнения в табл. 5 приведены величины δ18ОBR, при расчете которых использованы содержания минералов, рассчитанные методом CIPW. Можно видеть, что результаты, полученные при разных способах оценки содержания минералов, совпадают в пределах 0.1–0.2‰. В дальнейших построениях мы будем опираться на величину δ18ОBR, рассчитанную первым способом, поскольку метод CIPW не позволяет корректно оценить содержание биотита в породе.
Величина δ18ОBR варьируют крайне незначительно (от 9.10 до 9.57‰, табл. 1), тем не менее, заметно, что ее значения δ18ОBR ранних фаз внедрения находится в узком интервале (9.10–9.22‰), а в породах поздних фаз она находится в более высоком диапазоне (9.44–9.57‰). Исключением являются граниты γ4 и γ7, в которых δ18ОBR является низкой относительно остальных фаз внедрения (δ18О(γ4) = 9.12‰ и δ18О(γ7) = 9.14‰). В первом случае это связано с пониженной величиной δ18О(Pl), во втором – с низким значением величины δ18О(Kfs), что, по-видимому, вызвано более сильным проявлением постмагматических изменений в породах γ4 и γ7.
По сравнению с Pl и Kfs в измененных Pl-2 и Kfs-2 величина δ18О снижена на 0.8 и 0.7 ‰ соответственно, и отличается существенными вариациями (δ18О(Pl-2) = 8.2 ± 0.6‰, δ18О(Kfs-2) = 7.7 ± 1.1‰). То же касается величины δ18О хлоритизированного Bt (δ18О(Bt + Chl) = 4.7–6.0‰) и хлорита (δ18О(Chl) = = 2.8–4.1‰). Таким образом, в измененных минералах величина δ18О закономерно снижается относительно их неизмененных разностей и заметно варьирует в пределах 1–2‰.
Изотопный состав кислорода Ms, фракции которого были выделены в гранитах γ5 и γ8, оказался почти идентичным для обеих фаз (7.9 и 8.0‰ соответственно).
ОБСУЖДЕНИЕ РЕЗУЛЬТАТОВ
Происхождение расплавов гранитов массива Раумид
Одновременно с тем, что граниты массива Раумид являются высокофракционированными, для них характерны и геохимические черты гранитов А-типа (Lee, Morton, 2015; Wu et al., 2017; Whalen et al., 1996; Zhang et al., 2020; Frost, Frost, 2011 и др.), что проявляется при Fe* = 0.8–1.0 и высоком содержании Ga (в среднем около 21 г/т, при вариациях от 16 до 29 г/т), Nb (24–106 ppm), Y (18–120 ppm), Ce (14–130 ppm), высоком значении отношения 104 × Ga/Al (2.38–4.56) и резком дефиците европия (0.02–0.7 ppm). Ситуация, когда высокофракционированные граниты I-типа имеют геохимические характеристики, близкие к таковым гранитов А-типа, неоднократно описана в литературе (Whalen et al., 1987; Eby, 1992).
На диаграмме Rb–(Nb + Y) (Pearce, 1984) граниты массива Раумид находятся в поле внутриплитных гранитов, что позволяет их рассматривать на дискриминационной диаграмме (K2O + Na2O)–10 000Ga/Al (Whalen et al., 1987), где они попадают в область гранитов A-типа (рис. 7a, 7б). На классической диаграмме Y–Nb–Ce (Eby, 1992) граниты массива Раумид находятся в области А1 (рис. 7в), в то время как на дискриминационной диаграмме, основанной на содержании породообразующих оксидов (Гребенников, 2014), граниты массива Раумид принадлежат полю типа А2 (рис. 7г). По-видимому, далеко зашедшая кристаллизационная дифференциация привела к обогащению расплавов Nb, что обеспечило их переход из поля А2 в поле А1 на диаграмме Y–Nb–Ce (Eby, 1992), не повлияв на содержания макроэлементов в расплаве. Двойственность характеристик гранитов массива Раумид хорошо заметна и в координатах FeOt/MgO–(Zr + Nb + Ce + Y), где породы γ1–γ3 группируются в области дифференцированных гранитов, а γ4–γ8 – в области гранитов А-типа (рис. 7д).
Рис. 7.
Граниты массива Раумид на классификационных диаграммах. (а) Rb–(Nb + Y) (Pearce et al., 1984, СКГ– синколлизионные граниты, ВПГ – внутриплитные граниты, ОГ – орогенные граниты, ВДГ – граниты вулканических дуг); (б) (K2O + Na2O)–10000Ga/Al (Whalen et al., 1987); (в) Y–Nb–Ce (Eby, 1992); (г) 5Fe2O3–(Na2O + K2O)–5(СаО + + MgO) (Гребенников, 2014); (д) FeO/MgO–(Zr + Nb + Ce + Y) (Whalen et al., 1987). Условные обозначения см. на рис. 4.

Если граниты массива Раумид являются высоко дифференцированными породами, то установить их тип (I, S или M) в рамках обычных диаграмм Fe*–SiO2 или MALI–SiO2 (рис. 4a, 4б) практически невозможно, поскольку эти диаграммы не работают в области высокого содержания SiО2 (Wu et al., 2017; Гребенников, 2014). По составу РЗЭ граниты массива Раумид были отнесены к I-типу, “эволюционировавшему до состава редкометальных высоко дифференцированных гранитов” (Костицын и др., 2007а). Однако по содержанию редких элементов (рис. 7д) расплавы первых фаз внедрения (γ1–γ3) уже являлись фракционированными породами, а породы последующих фаз (γ4–γ8) – переходят в поле гранитов А-типа. Подобный переход от высокофракционированных пород к гранитам А-типа может указывать на последовательное исчерпание единого корового источника (Collins et al., 1982; Whalen et al., 1987; Creaser et al., 1991), что согласуется с высоким содержанием фтора в биотите пород массива Раумид (Gao et al., 2014).
Таким образом, следуя стандартным классификациям, породы массива Раумид можно отнести как к высокофракционированным гранитам I-типа, так и к гранитам А-типа. Если для гранитов I-типа подразумевается конкретный источник (метавулканиты, ортометаморфические породы), то генезис гранитов А-типа связан с разными сценариями. К ним относят фракционирование мантийных расплавов, контаминированных коровым материалом (Bonin, 2007; Frost, Frost, 1997), частичное плавление континентальной коры на разных уровнях (Collins et al., 1982; Whalen et al., 1987; Frost et al., 2002 и др.), рециклинг фрагментов континентальной или океанской коры (Yang et al., 2017). В нашем случае первый вариант маловероятен, поскольку при дифференциации расплавов максимальный изотопный сдвиг кислорода может составить не более 1.5‰ (Bucholz et al., 2017). Чтобы повысить величину δ18О от состава мантийных расплавов ≈6 до 9‰, требуется слишком высокая доля корового контаминанта (40–50%, если принимать состав коры δ18О = 8.9 ± ± 0.7‰, согласно (Simon, Lecuyer, 2005)), и подобный расплав уже трудно назвать мантийной выплавкой. Кроме того, данные по изотопному составу Nd свидетельствуют против гибридного происхождения расплавов массива Раумид (Волков и др., 2016).
Вариант с рециклингом фрагментов коры оправдан тектонической позицией плутона Раумид, расположенного в пределах Ванчского комплекса, породы которого относят к одновозрастным аналогам более северных кислых адакитов террейна Цяньтан в Центральном Тибете (Chapman et al., 2018). Считается, что источником этих пород являлись гранулиты (Long et al., 2015), а также тоналиты и гранодиориты (Ou et al., 2017) утолщенной континентальной коры. Адакитовые породы обладают высоким значением Sr/Y >40, что обычно связывают с присутствием граната в зоне плавления, протекающего на значительных глубинах (Moyen, 2009), однако в гранитах массива Раумид значение Sr/Y является экстремально низким (0.02–5.67, табл. 2, Supplementary 1, ESM_1.xlsx, Supplementary 2, ESM_2.xlsx). Положение гранитов массива Раумид в координатах Sr–Y (рис. 8) резко отличает их как от эоценовых пород террейна Цяньтан в Центральном Тибете (Wang et al., 2008; Ou et al., 2017; Long et al., 2015), так и от пород Ванчского комплекса (Chapman et al., 2018). Очевидно, что несмотря на свой эоценовый возраст, граниты массива Раумид не проявляют генетической связи с адакитовыми породами террейна Цяньтан в Центральном Тибете.
Рис. 8.
Породы Центрального Тибета, Ванчского комплекса и гранитов массива Раумид в координатах Sr–Y. Поля TTG, низкокремнеземистых (LSA) и высококремнеземистых (HSA) адакитов, S- и I-типов гранитов, а также точки обедненной мантии (DMM) и континентальной коры (СС) показаны в соответствии с (Moyen, 2009). Поля 1–3 – низко- и высококремнеземистые гранитоиды террейна Цяньтан (Центральный Тибет): 1 – (Wang et al., 2008); 2 – (Ou et al., 2017); 3 – (Long et al., 2015). Гранитоиды Ванчского комплекса – по (Chapman et al., 2018). Данные для массива Раумид – настоящая работа и (Костицын и др., 2007). На врезке – направления изменения состава расплава при кристаллизации соответствующих минералов.

На Sr–Y диаграмме точки составов пород массива Раумид формируют ярко выраженный тренд с направленностью, указывающей на фракционирование плагиоклаза в источнике (рис. 8), причем эти точки преимущественно последних фаз внедрения сильнее всего отклоняются от поля обычных гранитов. Вероятно, породы всех фаз внедрения массива Раумид связаны единым процессом фракционирования элементов с участием плагиоклаза, скорее всего, частичным плавлением вещества коры. В принципе, анатектические граниты в пределах южнопамирской структуры присутствуют, хотя они существенно моложе (18–20 млн лет, Chapman et al., 2018).
Изотопный состав кислорода пород массива Раумид (9.1–9.6‰, табл. 5) не опровергает их принадлежность к высоко дифференцированным гранитам I-типа, если метавулканические породы имели кислый состав или были сформированы по гидротермально измененным основным породам, например по базальтам океанской коры, претерпевшим взаимодействие с морской водой при Т ≤ ≤ 150°С (согласно уравнению базальт–вода, Zhao, Zheng, 2003). Однако изотопно-кислородные данные не противоречат и предположению о принадлежности гранитов массива Раумид к А-типу. В отличие от гранитов I- и S-типов, для которых принято разграничение по величине δ18О, единых представлений об изотопно-кислородном составе гранитов А-типа не выработано. Например, в работе (Siegel et al., 2017) считается, что он характеризуется промежуточной величиной δ18О между I- и S-типами. Однако граница между I- и S-типами не является четко обозначенной и устанавливалась для разных гранитных плутонов разного возраста и разной геологической позиции. Для палеозойского батолита Берридэйл (Юго-Восточная Австралия, O’Neil, Chappell, 1977) был выделен диапазон δ18О 7.9–9.4‰ (I-тип) и 9.9–10.5‰ (S‑тип). Для позднедокембрийских южноафриканских гранитов провинции Юго-Западный Кейп (Harris et al., 1997) допускалось перекрытие величин δ18ОBR гранитов I- и S-типов в районе 9.5‰, а при изучении батолита Новой Англии граница между I- и S-типами была установлена на уровне 10‰ (O’Neil, Chappel, 1977), которую авторы не считают окончательной. Тем не менее, исходя из этих оценок, промежуточное положение гранитов А-типа между I- и S-типами задает крайне узкий диапазон их величин δ18О (9–10‰). Обратившись к имеющимся в литературе данным, мы видим, что это далеко не так.
На рис. 9 представлены данные об изотопном составе кислорода гранитов А-типа разного возраста и из разных геологических позиций. Подбор данных, возможно, не является исчерпывающим, но в настоящее время в большинстве работ приводятся величины δ18О по циркону, и эти данные не были включены в общую подборку, поскольку главным критерием для составления рис. 9 было соответствие валовому составу породы. На рис. 9 значения величины δ18О гранитов А-типа попадают и в область гранитов I-типа, и в область гранитов S-типа, а также выходят за общепринятые пределы, хотя основная часть данных все-таки тяготеет к области I-типа. Однако это не означает, что для А-типа гранитов превалирует магматогенный или мантийный источник, поскольку пониженная величина δ18О в гранитах может быть также результатом постмагматических процессов или процессов обмена с флюидом. Причиной широких вариаций величины δ18О являются самые различные геологические обстановки, в которых формируются расплавы гранитов А-типа, а также разные типы вещества их протолитов (Bonin, 2007; Collins et al., 1982; Whalen et al., 1987; Frost et al., 2002; Yang et al., 2017; Zhang et al., 2014). Интересно, что величина δ18О для гранитов массива Раумид на рис. 9 точно соответствуют промежуточному диапазону 9–10‰, по-прежнему указывая на возможную их принадлежность, как и к высоко дифференцированному I-типу, так и к А‑типу.
Кристаллизационная дифференциация расплавов
Близкий изотопный состав кислорода пород всех восьми фаз внедрения (δ18ОBR = 9.3 ± 0.2‰, табл. 5) подтверждает, что как на стадии генерации расплавов, так и на стадии становления плутона Раумид процессы ассимиляции внешнего материала и сколь-нибудь заметное взаимодействие с посторонним флюидом отсутствовали. Процесс кристаллизационной дифференциации, хорошо прослеживающийся по содержанию микро- и макроэлементов, величина δ18О фиксирует слабо (от 9.1–9.2‰ в породах ранних γ1–γ3 до 9.4–9.6‰ в породах поздних γ4–γ8 фаз внедрения). Это закономерно для дифференциации кислых расплавов (Дубинина и др., 2020), поскольку набор кристаллизующихся минералов отличается небольшими коэффициентами фракционирования с кислым расплавом.
Мы провели два варианта расчета изменения величины δ18О риолитового расплава при его дифференциации в закрытой системе. В первом варианте принято соотношение кристаллизующихся минералов, соответствующее наблюдаемому минеральному составу пород массива Раумид (в пересчете на содержание кислорода в минералах Qz : Pl : Kfs : Bt = 1 : 0.67 : 0.78 : 0.07). Для такого соотношения минералов величина изотопного фракционирования Δ(S–L) между твердыми минералами (S) и расплавом (L) составляет +0.16 ± ± 0.02‰ при Т = 900°С и +0.29 ± 0.03‰ при Т = = 700°С (Zhao, Zheng, 2003). Эта величина невелика, но она является положительной во всем температурном диапазоне кристаллизации гранитов, что должно приводить к исчерпанию остаточного расплава в отношении изотопа 18О и к уменьшению величины δ18ОBR в ряду γ1–γ8 (пунктирные линии на рис. 10). В гранитах массива Раумид этого не наблюдается, следовательно, необходимо предположить иной состав кристаллизующейся фазы, имеющий отрицательную величину Δ(S–L).
Рис. 10.
Изменение изотопного состава кислорода остаточного расплава при кристаллизации риолитовой магмы в температурном интервале 650–900°С. Сплошные линии – расчет для кристаллизации плагиоклаза из риолитового расплава (Zhao, Zheng 2003). Пунктирные линии – расчет для случая кристаллизации из расплава минералов (Qz + Pl + + Kfs + Bt) в соотношении, наблюдаемом в гранитах массива Раумид. Точечные линии с овалами – интервалы валового изотопного состава пород ранних (γ1–γ3) и поздних (γ4–γ8) фаз внедрения гранитов массива Раумид.

Для пород массива Раумид наиболее вероятной является преимущественная кристаллизация Pl, на что указывает глубокий, возрастающий в ряду γ1–γ8, Eu-минимум в их спектре РЗЭ (Костицын и др., 2007а). Величина изотопного сдвига между плагиоклазом и риолитовым расплавом (Δ(Pl–L)) имеет отрицательные значения в широком диапазоне содержаний анортитового минала в плагиоклазе при Т < 900°С (Zhao, Zheng, 2003). Мы приняли, что состав кристаллизующегося плагиоклаза был близок к таковому в породах первой фазы внедрения (An20). Для такого состава плагиоклаза величина Δ(Pl–L) составляет –0.26, –0.34 и –0.42 при температурах 900, 750 и 650°С соответственно (согласно средневзвешенным величинам фракционирования Δ(Ab–L) и Δ(An–L), Zhao, Zheng, 2003). В процессе кристаллизации Pl (An20) из риолитового расплава при этих температурах происходит искомое возрастание величины δ18О(L) (сплошные линии на рис. 10). Значения величины δ18ОBR ранних (γ1–γ3) и поздних (γ4–γ8) фаз внедрения гранитов массива Раумид соответствуют в этом расчете разным степеням кристаллизации магмы (f = 20–40% и f = 60–85% соответственно), что может указывать на дискретное, поэтапное поступление гранитных расплавов в зону становления массива Раумид.
Поэтапное поступление расплавов поддерживается также данными по химическому составу биотита, что указывает на участие этого минерала в процессе кристаллизационной дифференциации. Если это так, то биотит должен был перемещаться в уже закристаллизованном виде при движении расплавов из магматической камеры в зону становления массива (например, по механизму MUSH модели, Bachmann, Bergantz, 2004). Это объясняет повышенное содержание Bt в породах первой фазы внедрения (до 7 об. %) и резко сниженное содержание биотита (2–3 об. %) в породах всех последующих фаз.
Приняв гипотезу о внутрикамерной кристаллизации биотита, мы использовали данные о содержаниях TiО2, MgO и Al2О3 в биотите для оценки Р-Т условий кристаллизационной дифференциации. Для определения температуры был использован Ti–ХMg термометр (Henry et al., 2005), согласно которому породы ранних фаз (γ1–γ3) располагаются в области изотерм 790–800°С, а породы поздних фаз внедрения – в области изотерм 730–760°С (рис. 11). Эти результаты близки к оценкам температуры насыщения расплава по циркону (800–810°С для γ1–γ2, 760–800°С для γ2–γ6 и 755–760°С для γ7, γ8; Watson, Harrison, 1983; Boehnke et al., 2013).
Рис. 11.
Температура формирования биотита по Ti–ХMg термометру (Henry, 2005). Серые кружки – данные, полученные для биотита, красные кружки – представительные образцы, характерные для γ1–γ8 фаз внедрения гранитов массива Раумид.

Высокое содержание алюминия в биотите гранитов массива Раумид (12.05–13.14 и 15.18–16.50% для пород γ1–γ3 и γ4–γ8 соответственно, (A/CNK)Bt = 1.26 ± 0.01 для γ1–γ3 и 1.56 ± 0.07 для γ4–γ8) на фоне умеренной глиноземистости самих гранитов (A/CNK = 0.88–1.06) предполагает, что биотит мог формироваться при более высоком давлении, чем давление в зоне становления массива. Для оценки давления мы использовали эмпирический мономинеральный барометр (Uchida et al., 2007): P, кбар = 3.03Altot – 6.53(±0.33), где Altot – общее содержание алюминия в биотите, пересчитанное на 22 атома кислорода. Расчет показал, что для биотита из пород γ1–γ3 давление составляет 4.51–4.67 кбар, в то время как для биотита из пород γ4–γ8 – 6.6–7.8 кбар. Полученные оценки соответствуют Р-Т параметрам гранулитовой фации метаморфизма и характерны для глубин 10–20 км в пределах континентальной коры. На коровое происхождение биотита указывает также его высокая железистость (Dong et al., 2014).
Приведенный расчет кристаллизационной дифференциации накладывает жесткое ограничение на стартовый состав исходного расплава (δ18О(L) = 9 ± 0.1‰), который оказывается близким к среднему составу пород континентальной коры (8.9 ± 0.7‰, Simon, Lecuyer, 2005). Кислый расплав с подобной величиной δ18О может возникать при частичном плавлении метаморфических пород как с участием, так и без участия флюида (Dubinina et al., 2015). Предположение о метаморфической природе протолита и его частичном плавлении согласуется и с экспериментальными данными (например, обзор (Gao et al., 2016) и ссылки в нем), которые указывают на возможность получения расплавов с геохимическими характеристиками гранитов массива Раумид при дегидратационном плавлении Bt-содержащих метаморфических пород (Weinberg, Hasalova, 2015).
Температура закрытия изотопной системы кислорода минералов
Процессы остывания пород описывают с помощью диффузионных уравнений, где фигурируют температуры закрытия минералов (например, Dodson, 1973). Наиболее информативными для этой цели являются минералы с минимальными скоростями диффузии, и для гранитной ассоциации минералов таковым является Qz. Из-за того, что он закрывается первым, на величину δ18О(Qz) влияет изотопный состав кислорода всех остальных минералов (Valley, 2001; Giletti 1986; Kohn, Valley, 1998; Farquhar et al., 1993), и это влияние будет тем сильнее, чем ниже температура закрытия. Для расчета температуры закрытия изотопной системы кислорода кварца (Тq)44 можно использовать подход, основанный на термометрических уравнениях и условии материального баланса (например, Jenkin et al., 1994, Farquhar et al., 1993).
Для расчета Тq мы приняли допущение о закрытости изотопной системы породы в отношении изотопов 18О и 16О и приняли упрощенный порядок температуры закрытия минералов: Qz → → Bt → (P), где Р = Kfs + Pl рассматривается как единая минеральная фаза. Это допущение основано на том, что при составе плагиоклаза An10–20 (характерно для гранитов массива Раумид, табл. 3) изотопное фракционирование между Pl и Kfs соизмеримо с погрешностью анализа и варьирует слабо (в интервале 400–800°С около 0.2‰ для Pl (An20) и около 0.3‰ для Pl (An10), в соответствии с (Vho et al., 2020)). Кроме того, для Pl и Kfs характерны близкие скорости диффузии кислорода, и при близких размерах кристаллов их температуры закрытия также должны быть близки. Мы используем упрощенный вид зависимости коэффициента фракционирования от температуры Δ ≈ ($ \approx {{10}^{3}}{\text{Ln}}\alpha \left( {a--b} \right) = {{A}_{{a--b}}} \times {{10}^{6}}{{T}^{{--2}}}$), который обычно применяется в описании магматических процессов (Chacko et al., 2001). Наконец, мы допускаем, что в области температуры закрытия изотопной системы кислорода минералов переходная зона минимальна или отсутствует (Valley, 2001), т.е. величины Тq, Tb и Tp (температуры закрытия кварца, биотита и полевых шпатов соответственно) – это минимальные граничные значения температуры, при которых минерал находится в изотопном равновесии с остальными открытыми минералами, а при более низких температурах изотопный обмен кислорода для данного минерала полностью прекращается. В момент достижения породой Тq все ее минералы “открыты” и находятся в изотопном равновесии друг с другом, так что:
(2)
$\Delta _{{p--b}}^{q} = {{A}_{{p--b}}} \times {{10}^{6}}T_{q}^{{--2}}\,\,\,\,{\text{и}}\,\,\,\,\Delta _{{q--p}}^{q} = {{A}_{{q--p}}} \times {{10}^{6}}T_{q}^{{--2}},$где ${{A}_{{p--b}}}$ и ${{A}_{{q--p}}}$ – коэффициенты в соответствующих термометрических уравнениях (${{10}^{3}}{\text{Ln}}\alpha \left( {a--b} \right) = $ $ = {{A}_{{a--b}}} \times {{10}^{6}}{{T}^{{--2}}}$). Оба равенства (2) можно объединить, исключив из них Тq:
(3)
$\frac{{\Delta _{{p--b}}^{q}}}{{{{A}_{{p--b}}}}} = \frac{{\Delta _{{q--p}}^{q}}}{{{{A}_{{q--p}}}}}\,\,\,\,{\text{и}}\,\,\,\,\Delta _{{p--b}}^{q} = \Delta _{{q--p}}^{q}\frac{{{{A}_{{p--b}}}}}{{{{A}_{{q--p}}}}}.$Баланс масс для кислорода породы, состоящей из трех минералов (q – Qz, b – Bt и p – (Pl + Kfs)), имеет вид:
(4)
${{\delta }_{R}} = {{X}_{q}}{{\delta }_{q}} + {{X}_{b}}{{\delta }_{b}} + {{X}_{p}}{{\delta }_{p}},$где Xq, Xb, Xp – доля кислорода породы, приходящаяся на каждый из минералов (${{X}_{q}} + {{X}_{p}} + {{X}_{b}} = 1$). Например, для кварца содержание кислорода в формуле составляет kq = 0.53, и при его содержании в породе хq доля кислорода кварца в породе составит:
Величина δq в уравнении (4) соответствует измеренной величине δ18О(Qz). Изотопный состав остальных минералов при Тq составит:
(5)
$\begin{gathered} {{\delta }_{b}} = {{\delta }_{p}}--{{\left( {\Delta _{{p--b}}^{q}} \right)}_{{Tq}}} = \\ = {{\delta }_{q}}--{{\left( {\Delta _{{q--p}}^{q}} \right)}_{{Tq}}}--{{\left( {\Delta _{{p--b}}^{q}} \right)}_{{Tq}}}\,\,\,\,{\text{и}} \\ {{\delta }_{p}} = {{\delta }_{q}}--{{\left( {\Delta _{{q--p}}^{q}} \right)}_{{Tq}}}. \\ \end{gathered} $Подставив (2), (4) и (5) в уравнение (3), получаем выражение для изотопного состава кислорода всей породы:
(6)
${{\delta }_{R}} = {{\delta }_{q}}--{{\left( {\Delta _{{q--p}}^{q}} \right)}_{{Tq}}}\left( {{{X}_{p}} + {{X}_{b}}\left( {1 + \frac{{{{A}_{{p--b}}}}}{{{{A}_{{q--p}}}}}} \right)} \right).$В закрытой системе (δR = const) изотопный сдвиг между кварцем и полевыми шпатами составит:
(7)
$\Delta _{{q--p}}^{q} = \frac{{{{\delta }_{q}}--{{\delta }_{R}}}}{{{{X}_{p}} + {{X}_{b}}\left( {1 + \frac{{{{A}_{{p--b}}}}}{{{{A}_{{q--p}}}}}} \right)}} = {{A}_{{q--p}}} \times {{10}^{6}}{{({{T}_{q}})}^{{--2}}}.$Из уравнения (7) можно выразить величину Tq$:$
(8)
$\begin{gathered} {{T}_{q}}\left( {^\circ C} \right) = \\ = \sqrt {\frac{{{{A}_{{q--p}}} \times {{{10}}^{6}}\left( {{{X}_{p}} + {{X}_{b}}\left( {1 + {{{{A}_{{p--b}}}} \mathord{\left/ {\vphantom {{{{A}_{{p--b}}}} {{{A}_{{q--p}}}}}} \right. \kern-0em} {{{A}_{{q--p}}}}}} \right)} \right)}}{{\left( {{{\delta }_{q}}--{{\delta }_{R}}} \right)}}} --273. \\ \end{gathered} $При расчете Tq по уравнению (8) нами использовалась система согласованных термометрических уравнений (Chacko et al., 2001). В качестве коэффициентов Aq–p и Ap–b были использованы значения, приведенные в данной системе для пар кварц–альбит и альбит–флогопит. Полученные значения Tq варьируют от 420 до 610°С (табл. 6). Как и ожидалось, Tq не коррелирует с оценками температур изотопных равновесий в минеральных парах (табл. 6), что объясняется ретроградным изотопным обменом (Farquhar et al., 1993; Giletti 1986; Kohn, Valley, 1998).
Таблица 6.
Характеристика фаз внедрения расплавов массива Раумид, оценки температуры закрытия кварца (Тq), температуры изотопного равновесия кислорода между минералами (Teq) и кажущиеся скорости остывания (V ')
| Фазы внедрения | Объем пород массива, % | а, мм* | Тq** | Teq**, °С | Vʹ, град/млн лет*** | |||||
|---|---|---|---|---|---|---|---|---|---|---|
| Pl-Bt [≈Тb] |
Pl-Ms | Qz-Bt | Qz-Pl | R = 1 мм | R = 2 мм | R = 3 мм | ||||
| γ1 | 10 | 4 (0.1–6) | 420 ± 30 | 350 | 380 | 440 | 40 | 10 | 5 | |
| γ2 | 58 | 4 (0.5–5) | 500 ± 35 | 570 | 540 | 440 | 590 | 150 | 65 | |
| γ3 | 2 | 2 (0.1–3) | 530 ± 37 | 670 | 600 | 640 | 1420 | 360 | 160 | |
| γ4 | 20 | 4 (0.2–6) | 440 ± 32 | 880 | 600 | 340 | 80 | 20 | 10 | |
| γ5 | 6 | 2 (0.3–5) | 480 ± 34 | 330 | 250 | 390 | 610 | 320 | 80 | 35 |
| γ6 | 3 | 3 (0.2–6) | 610 ± 41 | 570 | 590 | 530 | 11200 | 2800 | 1250 | |
| γ7 | 0.5 | 2 (0.1–5) | 420 ± 31 | 570 | 490 | 390 | 40 | 10 | 5 | |
| γ8 | 0.5 | 2 (0.1–3) | 430 ± 30 | 380 | 400 | 400 | 340 | 60 | 15 | 7 |
* Преобладающий в породе размер кристаллов кварца, в скобках – диапазон от минимальных до максимальных размеров; ** значения округлены до десятков; *** расчет по уравнению Додсона (Dodson, 1973) для радиусов (R) кристаллов кварца 1, 2 и 3 мм, диффузионное уравнение из (Dennis, 1984а), геометрический фактор 55.
В породах массива Раумид суммарная масса (Kfs + Pl) резко преобладает над массой Bt, и, исходя из допущения о закрытости изотопной системы остывающей породы, Тb должна быть близка к температуре изотопного равновесия между Bt и полевыми шпатами (≈ТPl-Bt), причем должно выполняться соотношение Тb < Тq. Однако результаты расчета ТPl-Bt (табл. 6) показывают, что для пород массива Раумид это соотношение нарушено в половине случаев (γ2, γ3, γ4 и γ7), т.е. имеет место более сложный процесс перераспределения изотопов кислорода после закрытия кварца.
Динамика остывания пород массива Раумид
Становление плутона Раумид протекало за счет многократного внедрения кислых расплавов (Волков, Негрей, 1974 и др.), поэтому рассматривать его остывание по моделям, созданным для однофазного интрузивного тела, некорректно. Однако можно рассчитать кажущиеся скорости остывания (V '), которые должны так или иначе отразить влияние термальных событий, вызванных последовательным поступлением расплавов. Используя рассчитанную по уравнению (8) Тq (табл. 6), мы провели оценку V ' по уравнению Додсона (Dodson, 1973) методом последовательных итераций. Поскольку зернистость пород массива Раумид неравномерна, расчеты проведены в интервале радиусов кристаллов кварца от 1 до 3 мм (т.е. для изометричных зерен размером 2–6 мм, характерных для пород всех фаз внедрения, табл. 6). При расчете использовано диффузионное уравнение для кварца в присутствии водного флюида (Dennis, 1984а). Попытка расчета с использованием диффузионного уравнения, полученного в “сухих” условиях (Dennis, 1984b), приводит к нереально низким оценкам скоростей остывания.
Кажущиеся скорости остывания разных фаз внедрения V ' варьируют в очень широком диапазоне (1–104 град./млн лет) и изменяются немонотонно в ряду γ1–γ8, что является следствием импульсного теплового режима, неравномерности прогрева пород и разного объема расплава, поступающего при внедрении разных фаз (оценки объемов фаз внедрения по данным (Волков, Негрей, 1974) приведены в табл. 6). К сожалению, оценок временного интервала между фазами в нашем распоряжении нет, но очевидно, что наличие длинных и коротких пауз между ними также должно сказываться на значениях V '. Моделирование динамики остывания многофазного массива – самостоятельная сложная задача, здесь можно только в общих чертах предсказать примерные значения Тq и V '. Прогрев породы выше Тq должен приводить к открытию изотопной системы кварца и фиксации ее последнего остывания, которое может происходить медленнее, как за счет дополнительного теплового импульса, так и за счет возрастания общего объема массива. Можно предполагать, что порода, прогретая повторно, будет иметь более низкие значения Тq и V '. Если между фазами внедрения был существенный временной перерыв или объем внедрившейся фазы не привел к существенному прогреву пород, то повторного открытия изотопной системы кислорода кварца не произойдет, и порода покажет характеристики последнего термального события, при котором открывалась изотопная система кварца. В случае подобного перерыва может наблюдаться немонотонное поведение Тq и V '.
Имеющиеся оценки Тq и V ' (рис. 12а, 12б) показывают, что восьмикратное внедрение гранитных расплавов происходило в два или три этапа. Установленная ритмичность для Тq и V ', в зависимости от порядка внедрения, полностью согласуется с различием геохимических и изотопных характеристик пород ранних (γ1–γ3) и поздних (γ4–γ8) фаз внедрения. Начало каждого из этапов фиксируется низкими значениями Тq и V ' – это породы, которые нагревались повторно, возможно, дважды. Например, на первом этапе в ряду γ1–γ3 породы γ1 прогревались при внедрении γ2 и γ3, после чего, по-видимому, следовал временной перерыв, после которого внедрение γ4 и остальных фаз уже не затронуло изотопную систему кварца пород предыдущих фаз. Аналогично, на втором этапе в ряду γ4–γ6 на породы γ4 повлияло внедрение двух последующих фаз – γ5 и γ6. Крайне малое количество расплавов γ7 и γ8 фаз внедрения не привело к открытию изотопных систем кварца пород предыдущих фаз внедрения. Породы γ7 и γ8 могли завершать второй этап, внедряясь между еще не остывшими породами γ5 и γ6 (рис. 1), что и привело к медленному остыванию сравнительно мелких магматических тел этих фаз. Однако они могли формировать и самостоятельный, третий этап, что согласуется с результатами изучения Sm-Nd изотопной системы пород массива Раумид (Волков и др., 2016, рис. 12в), которые указывают на трехэтапную эволюцию состава источника.
Рис. 12.
Температура закрытия изотопной системы кислорода кварца Тq (а) и кажущаяся скорость остывания V ' (б) гранитов разных фаз внедрения массива Раумид. (б): 1–3 – расчет для радиусов кристаллов кварца 1, 2 и 3 мм соответственно; (в) – приведено изменение изотопного отношения 147Sm/144Nd в образцах тех же фаз внедрения, по (Волков и др., 2016).

Тепловое воздействие последовательно внедряющихся расплавов на породы предыдущих фаз внедрения прослеживается в закономерном пространственном распределении значений Тq. Почти все изученные образцы были отобраны в интервале высот 3600–4200 м (за исключением обр. 956-1 (γ4), высота отбора 4700 м) и формируют единый тренд уменьшения Тq с возрастанием высоты отбора (рис. 13). Можно предположить, что возникновение подобного тренда связано с многократным прогревом и что наблюдаемые значения Тq – результат согласованного остывания центральной части массива. Это наблюдение снимает вопрос о влиянии локального положения отдельных образцов на оценку Тq. Направленность тренда показывает, что на данном гипсометрическом уровне верхние зоны массива остывали медленнее, чем нижние, возможно, за счет конвективного переноса тепла, направленного снизу вверх. Из тренда существенно выбивается точка, соответствующая образцу γ6 фазы внедрения, для которого характерна максимальная Тq = 610°С. Возможно, что породы данной фазы практически не испытали прогрева при внедрении последних двух фаз, и тогда Тq может реально отражать скорость остывания массива после внедрения γ6. По нашим оценкам, она составляет 1250–11200 град./млн лет (табл. 6), что приближенно соответствует длительности остывания массива Раумид в несколько десятков–первых сотен тысяч лет.
Автометаморфизм пород массива Раумид
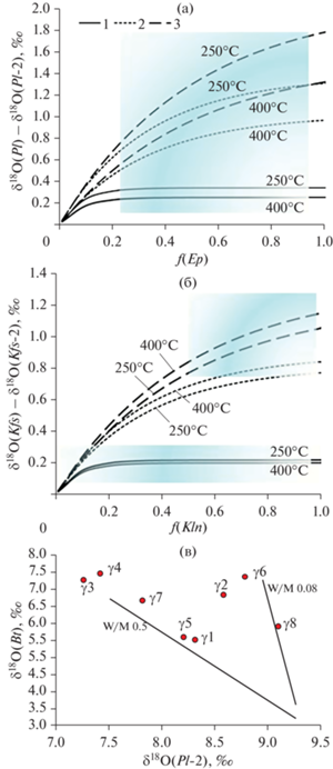
Автометаморфизм пород массива Раумид проявлен в снижении величины δ18О измененных минералов (Kfs-2, Pl-2) относительно визуально неизмененных разностей Kfs и Pl, причем этот процесс воспроизводится для пород всех восьми фаз внедрения (табл. 5). Та же тенденция сохраняется при переходе от биотита к хлориту: δ18О(Bt) > δ18О(Chl-Bt) > δ18О(Chl). Поскольку породы массива Раумид мы рассматриваем как закрытую систему, изотопный обмен с внешним флюидом, который обычно привлекается для объяснения пониженных значений δ18О в минералах гранитов, исключен. Следовательно, важно понять, в пользу какой минеральной фазы перераспределяется изотоп 18О, покидая измененные полевые шпаты. Наиболее реальным кандидатом на эту роль является биотит, который показывает дискордантность температуры закрытия по отношению к кварцу. Эта дискордантность проявлена в зернах биотита, не имеющих визуальных признаков изменений, откуда следует, что процесс автометаморфизма в гранитах массива Раумид частично или полностью протекал параллельно с ретроградным диффузионным обменом между биотитом и полевыми шпатами, т.е. в температурном интервале между Тq и Тb. Поскольку нами предполагается автометаморфическое происхождение мусковита (рис. 2з) в гранитах массива Раумид, минеральная пара Pl–Ms может дать дополнительную оценку температуры автометаморфизма для γ5 и γ8 (250°С для γ5 и 400°С для γ8, расчет по уравнению Ab–Ms, Chacko et al., 2001). Однако не стоит исключать и более высокую температуру данного процесса.
В процессах автометаморфизма происходит согласованное изменение изотопных систем нескольких минералов. Например, было показано, что формирование альбита и хлоритизация биотита при автометаморфизме гранитов массива Шварцвальд были связаны единым процессом катионного и изотопного обмена, протекающего по механизму растворения–кристаллизации (O’Neil, Taylor, 1967; Fiebig, Hoefs, 2002). Следуя этим представлениям, мы описали перераспределение изотопов кислорода между минералами на стадии автометаморфизма гранитов массива Раумид (рис. 14), используя модель растворения–кристаллизации минералов в закрытой относительно флюида системе (Dubinina, Lakshtanov, 1997). Для расчета мы приняли, что в процессе автометаморфизма происходит замещение Pl эпидотом и Kfs каолинитом в домене породы, который вместе с постоянным количеством флюида составляет закрытую систему. В расчетах принималось, что до начала перекристаллизации флюид находится в изотопном равновесии с исходным неизмененным минералом (Pl или Kfs), т.е. масса породы доминировала над массой флюида. Далее происходило частичное растворение исходного минерала, имеющего постоянный изотопный состав кислорода (9.0‰ для Pl и 8.4‰ для Kfs, табл. 5) и кристаллизация новых минералов (Ep и Kln) в равновесии с водным раствором при выбранной температуре. Расчет проведен для двух значений температуры (250 и 400°С) с использованием согласованных уравнений из (Vho et al., 2019) для изотопного фракционирования кислорода в системах Ep–вода и Kln–вода. Значения величины δ18О измененных минералов (Pl-2 и Kfs-2) являются взвешенной суммой исходного и новообразованного минералов:
Рис. 14.
Расчет изотопного сдвига кислорода между неизмененными и измененными разностями плагиоклаза (а) и калиевого полевого шпата (б) в зависимости от прогресса их перекристаллизации с формированием эпидота и каолинита (f(Ер) и f(Kln) соответственно). На рис. (а, б) – расчетные линии получены для температур 250 и 400°С, варианты расчета 1, 2 и 3 соответствуют соотношению W/M: 0.05, 0.2 и 0.3 соответственно. Залитые поля – наблюдаемые изотопные сдвиги в гранитах массива Раумид. На рис. (в) – расчет изменения величины δ18О(Bt) по мере изменения величины измеренного δ18О(Pl-2) плагиоклаза в ходе его автометаморфической перекристаллизации при 250°С, расчетные линии соответствуют значениям отношения W/M 0.5 и 0.08.

где f – степень протекания процесса перекристаллизации плагиоклаза и полевого шпата (0 ≥ f ≥ 1). В конце перекристаллизации f = 1, т.е. весь Pl замещен эпидотом или весь Kfs замещен каолинитом. Кроме оценки значений δ18О для Pl-2 и Kfs-2, проводился расчет δ18О(Bt), исходя из условия его изотопного равновесия с флюидом. Это условие допустимо при крайне низком содержании Bt в породе, когда его влиянием на величину δ18О флюида можно пренебречь.
Проведенный расчет перераспределения изотопа 18О между всеми минералами, затронутыми автометаморфизмом гранитов, показывает, что наблюдаемые величины δ18О в Pl-2, Kfs-2 и Bt могли быть сформированы при растворении–кристаллизации в закрытой системе. Наблюдаемые изотопные сдвиги в измененных минералах в диапазоне 250–400°С можно получить при массовых отношениях вода/порода(минерал) (W/M) от 0.3 до 0.05 (рис. 14). При более высоких температурах количество флюида могло быть выше (W/M = = 0.8 при 500°С). Однако даже такие количества водного флюида не требуют его поступления извне и могут быть обеспечены флюидным потоком, покидающим гранитный плутон по мере его кристаллизации и остывания, исключительно за счет фильтрации флюида из внутренних зон массива к внешним. При этом в локальных доменах породы соотношение W/R может значительно повышаться, приводя к формированию метасоматизированных зон и изменению ее текстуры (Bartley et al., 2020). Расчеты, проведенные по линейной модели для остывающих гранитов, расплав которых изначально содержал 3.5% воды, показали, что эффективное отношение W/R в апикальной части массива может достигать 0.6 (Дубинина и др., 2010). Согласно эмпирическим оценкам по содержанию SiO2 (Yang et al., 2021), содержание воды в исходном расплаве гранитов массива Раумид могло составлять 4.1–4.9 мас. %, т.е. эффективное отношение W/R при остывании гранитов массива вполне могло достигать 0.70–0.85.
Схема формирования массива Раумид
Приведенные данные позволяют предложить непротиворечивую схему поэтапного развития событий, которые привели к формированию гранитного массива Раумид (рис. 15). К первому этапу относится внедрение гранитов γ1–γ3 фаз, ко второму – всех остальных, хотя можно полагать, что граниты γ7 и γ8 представляют отдельный, третий этап (Волков и др., 2016). Судя по близким изотопным (εNd, δ18О) и геохимическим параметрам, источником расплавов всех фаз внедрения являлась примерно одна и та же зона утолщенной континентальной коры, сложенная Bt-содержащими метаморфическими породами. Магматическая камера, где протекала кристаллизационная дифференциация кислых расплавов, могла находиться на глубине 10–20 км. Основной этап ее разгрузки (γ1–γ3) произошел после кристаллизации 20–40% расплава, после чего камера частично заполнилась новой порцией расплавов, поступивших из того же источника. Далее процесс кристаллизационной дифференциации повторился и дошел до ее более высоких степеней (60–85%), после чего имел место второй, и, возможно, третий этапы разгрузки магматической камеры. Опубликованные данные изучения Sm-Nd системы гранитов массива Раумид согласуются с приведенной схемой, и показывают, что на каждом этапе поступления расплавов из источника повышалось изотопное Sm/Nd отношение (Волков и др., 2016), т.е. в зоне частичного плавления происходило своеобразное исчерпание источника в отношении легких РЗЭ.
ЗАКЛЮЧЕНИЕ
Изотопная геохимия кислорода позволяет решать вопросы, связанные с условиями кристаллизации расплавов, динамикой остывания пород и автометаморфизмом, т.е. основными факторами формирования гранитного тела. Однако величина δ18О не является индикатором геодинамических обстановок формирования гранитов, и в случае гранитов А-типа она, прежде всего, отражает разнообразие протолитов кислых расплавов.
Мы показали, что плутон Раумид может быть отнесен к разряду объектов, становление которых проходит в условиях закрытой системы – без ощутимого привноса постороннего вещества и участия внешнего флюида. Происхождение расплавов массива Раумид можно связать с процессами корового анатексиса, несмотря на то, что его массовое проявление в регионе началось примерно через 15–17 млн лет после формирования плутона (Chapman et al., 2018). По изотопным и геохимическим данным, дифференциация кислых расплавов, формировавших массив Раумид, происходила при 750–800°С и 4.5–7.8 кбар, т.е. в условиях средней коры, хотя становление самого плутона протекало на существенно меньших глубинах (Р ≈ 2 кбар).
На примере массива Раумид рассмотрены вопросы, важные при изучении других гранитных тел. Например, несмотря на то, что для полифазных массивов кажущиеся скорости остывания пород не имеют отношения к реальным скоростям остывания, они могут отражать динамику поступления магматического материала в зону становления интрузива. Детальное изучение как неизмененных, так и измененных разностей Pl, Kfs и Bt позволяет получить представление об условиях ретроградного изотопного обмена и автометаморфической перекристаллизации минералов. В случае гранитов массива Раумид оба процесса перекрывались во времени, вероятно, это может быть справедливо и для других гранитов. Соотношение флюид/порода при автометаморфизме может быть небольшим, что не требует привлечения внешнего источника флюидной фазы.
Сравнение изотопно-геохимических характеристик измененных и неизмененных разностей минералов гранитов показывает, что отсутствие признаков изменений (визуальных, либо определяемых инструментальными методами) в минералах гранитов не гарантирует правильности получаемых оценок температуры, поскольку все минералы гранитов активно участвуют в процессах постмагматического изотопного обмена. Этот вывод важен и для геохронологических исследований, где сохранность изотопной системы минерала имеет критическое значение.
Благодарности. Настоящая работа состоялась благодаря усилиям самоотверженного исследователя массива Раумид Валентина Николаевича Волкова – автора коллекции образцов, изученных нами. Он провел крайне трудоемкую работу по отбору минералов и активно участвовал в обсуждении всех новых результатов по мере их появления. Авторы глубоко признательны рецензентам, в частности Н.Н. Круку, замечания которого были крайне полезны и конструктивны.
Источники финансирования. Работа проведена в рамках Государственного задания ФГБУН ИГЕМ РАН.
Список литературы
Волков В.Н. Генезис вертикальной зональности Раумидского гранитного Плутона (Южный Памир) // Изв. АН СССР. Сер. Геолог. 1990. № 6. С. 52–63.
Волков В.Н., Негрей Е.В. Строение плутона Раумид и проблема становления гранитных интрузивов // Сов. геология. 1974. № 3. С. 46–59.
Волков В.Н., Шатагин К.Н., Крамчанинов А.Ю. О роли процессов контаминации и гибридизма при формировании гранитов многофазного раумидского массива (Памир) по данным изотопного Sm-Nd исследования // Докл. АН. 2016. Т. 470. № 3. С. 331–334.
Гребенников А.В. Гранитоиды А-типа: проблемы диагностики, формирования и систематики // Геология и геофизика. 2014. Т. 55. № 9. С. 1356–1373.
Дубинина Е.О., Носова А.А., Авдеенко А.С. и др. Изотопная (Sr, Nd, O) систематика высоко-Sr-Ba гранитоидов позднемиоценовых интрузивов района Кавказских Минеральных Вод // Петрология. 2010. Т. 18. № 3. С. 227–256.
Дубинина Е.О., Андреева О.А., Авдеенко А.С. и др. Фракционирование изотопов кислорода в системе фенокрист–расплав: оценка равновесий в щелочных лавах вулкана Чанбайшань (Северо-Восточный Китай) // Петрология. 2020. Т. 28. № 5. С. 545–560.
Костицын Ю.А., Волков В.Н. Неоднородность первичного изотопного состава стронция и петрогенезис гранитов Раумидского массива (Южный Памир) // Геохимия. 1989. № 6. С. 853–864.
Костицын Ю.А., Волков В.Н., Журавлев Д.З. Редкие элементы и эволюция гранитного расплава (на примере Раумидского массива, Ю. Памир) // Геохимия. 2007а. № 10. С. 1057–1069.
Костицын Ю.А., Белоусова Е.А., Волков В.Н. и др. Сравнительные исследования изотопного и элементного состава цирконов и материнских гранитов Раумидского массива // Материалы XVIII симпозиума по геохимии изотопов им. А.П. Виноградова, Москва, 14–16 ноября 2007 г. М.: ГЕОХИ РАН, 2007б. С. 51–52.
Шатагин К.Н., Волков В.Н. Особенности Rb-Sr изотопной системы гранитов: результаты сравнительного изучения свежей и измененной разности плагиоклаза из лейкогранитов Раумидского массива (Памир) // Докл. АН. 2020 Т. 493. № 2 С. 41–44.
Anderson J.L. Status of thermobarometry in granitic batholiths // Earth Environ. Sci. Trans. R. Soc. Edinburgh. 1996. V. 87. № 1–2. P. 125–138.
Bachmann O., Bergantz G.W. On the origin of crystal-poor rhyolites: extracted from batholithic crystal mushes // J. Petrol. 2004. V. 45. № 8. P. 1565–1582.
Bartley J.M., Glazner A.F., Stearns M.A. et al. The granite aqueduct and autometamorphism of plutons // Geosciences. 2020. V. 10. Iss. 4. P. 136.
Boehnke P., Watson E.B., Trail D. et al. Zircon saturation re-revisited // Chem. Geol. 2013. V. 351. P. 324–334
Bonin B. Ultrametamorphism and crustal anataxis // Geology. 2007. V. II. 7 p.
Brown M. Granite: from genesis to emplacement // Geol. Soc. Amer. Bull. 2013. V. 125. P. 1079–1113.
Bucholz C.E., Jagoutz O., VanTongeren J.A. et al. Oxygen isotope trajectories of crystallizing melts: Insights from modeling and the plutonic record // Geochim. Cosmochim. Acta. 2017. V. 207. P. 154–184.
Castillo P.R. Adakite petrogenesis // Lithos. 2012. V. 134–135. P. 304–316.
Chacko T., Cole D.R., Horita J. Equilibrium oxygen, hydrogen and carbon isotope fractionation factors applicable to geological systems // Stable isotope geochemistry. Rev. Mineral. Geochem. 2001. V. 43. P. 1–81.
Chapman J.B., Scoggin S.H., Kapp P. et al. Mesozoic to Cenozoic magmatic history of the Pamir // Earth Planet. Sci. Lett. 2018. V. 482. P. 181–192.
Collins W.J., Beams D.S., Whitea J.R. et al. Nature and origin of A-type granites with particular reference to southeastern Australia // Contrib. Mineral. Petrol. 1982. V. 80. P. 189–200.
Creaser R.A., Price R.C., Wormald R.J. A-type granites revisited: assessment of a residual-source model // Geology. 1991. V. 19. P. 163–166.
Dennis P.F. Oxygen self-diffusion in quartz under hydrothermal conditions // J. Geoph. Res. 1984a. V. 89. P. 4047–4057.
Dennis P.F. Oxygen self-diffusion in quartz // Prog. Exp. Petrol. NERC Publ. D. 1984b. V. 25. P. 260–265.
Dodson M.I. Closure temperature in cooling geochronological and petrological systems // Contrib. Mineral. Petrol. 1973. V. 40. P. 259–274.
Dong Q., Du Y., Pang Z. et al. Composition of biotite within the Wushan granodiorite, Jiangxi Province, China: petrogenetic and metallogenetic implications // Earth Sci. Res. J. 2014. V. 18. № 1. P. 39–44.
Dubinina E.O., Lakshtanov L.Z. A kinetic model of isotopic exchange in dissolution-precipitation processes // Geochim. Cosmochim. Acta. 1997. V. 61. P. 2265–2273.
Dubinina E.O., Aranovich L.Y., van Reenen D.D. et al. Involvement of fluids in the metamorphic processes within different zones of the Southern Marginal Zone of the Limpopo complex, South Africa: an oxygen isotope perspective // Precambr. Res. 2015. V. 256. P. 48–61.
Ducea M.N., Seclaman A.C., Murray K.E. et al. Mantle drip magmatism beneath the Altiplano-Puna plateau, central Andes // Geology. 2013. V. 41. № 8. P. 915–918.
Eby N. Chemical subdivision of the A-type granitoids: petrogenetic and tectonic implications // Geology. 1992. № 1. P. 641–644
Farquhar J., Chacko T., Frost B.R. Strategies for high-temperature oxygen isotope thermometry: a worked example from the Laramie Anorthosite Complex, Wyoming, USA // Earth. Planet. Sci. Lett. 1993. V. 117. P. 407–422.
Fiebig J., Hoefs J. Hydrothermal alteration of biotite and plagioclase as inferred from intragranular oxygen isotope- and cation-distribution patterns // Eur. J. Mineral. 2002. V. 14. P. 49–60.
Frost C.D., Frost B.R. Reduced rapakivi-type granites: the tholeiite connection // Geology. 1997. V. 25. P. 647–650.
Frost C.D., Frost B.R. On ferroan (A-type) granitoids: their compositional Variability and Modes of Origin // J. Petrol. 2011. V. 52. № 1. P. 39–53.
Frost B.R., Arculus R.J., Barnes C.G. et al. A geochemical classification of granitic rocks // J. Petrol. 2001. V. 42. № 11. P. 2033–2048.
Frost C., Frost B., Bell J. et al. The relationship between A-type granites and residual magmas from anorthosite: evidence from the northern Sherman batholith, Laramie Mountains, Wyoming, USA // Precambr. Res. 2002. V. 119. P. 45–71.
Gao P., Zhao Z.-F., Zheng Y.-F. Petrogenesis of Triassic granites from the Nanling Range in South China: implications for geochemical diversity in granites // Lithos. 2014. V. 210–211. P. 40–56.
Gao P., Zheng Y.-F., Zhao Z.-F. Experimental melts from crustal rocks: a lithochemical constraint on granite petrogenesis // Lithos. 2016. V. 266. P. 133–157.
Giletti B.J. Diffusion effects on oxygen isotope temperatures of slowly cooled igneous and metamorphic rocks // Earth. Planet. Sci. Lett. 1986. V. 77. P. 218–228.
Harris C., Faure K., Diamond R.E. et al. Oxygen and hydrogen isotope geochemistry of S-and I-type granitoids: the Cape Granite suite, South Africa // Chem. Geol. 1997. V. 143. P. 95–114.
Henry D.J., Guidittic C.V., Thomson J.A. The Ti-saturation surface for low-to-medium pressure metapelitic biotites: implications for geothermometry and Ti-substitution mechanisms // Amer. Mineral. 2005. V. 90. P. 316–328.
Holtz F., Becker A., Freise M. et al. The water-undersaturated and dry Qz-Ab-Or system revisited. Experimental results at very low water activities and geological implications // Contrib. Mineral. Petrol. 2001. V. 141. P. 347–357.
Jenkin G.R.T., Farrow C.M., Fallic A.E. et al. Oxygen isotope exchange and closure temperatures in cooling rocks // J. Metamorph. Petrol. 1994. V. 12. P. 221–215.
King E.M., Valley J.W., Stockli D.F. et al. Oxygen isotope trends of granitic magmatism in the Great Basin: location of the Precambrian craton boundary as reflected in zircons // Geol. Soc. Amer. Bull. 2004. V. 116. № 3–4. P. 451–462.
Kohn M.J. Why most “dry” rocks should cool “wet” // Amer. Mineral. 1999. V. 84. P. 570–580.
Kohn M.J, Valley J.W. Obtaining equilibrium oxygen isotope fractionations from rocks: theory and examples // Contrib. Mineral. Petrol. 1998. V. 132. P. 209–224.
Lee C-T. A., Morton D.M. High silica granites: Terminal porosity and crystal settling in shallow magma chambers // Earth. Planet. Sci. Lett. 2015. V. 409. P. 23–31.
Long X., Wilde S.A., Wang Q. et al. Partial melting of thickened continental crust in central Tibet: evidence from geochemistry and geochronology of Eocene adakitic rhyolites in the northern Qiangtang Terrane // Earth Planet. Sci. Lett. 2015. V. 414. P. 30–44.
Luth W. C., Jahns R. H., Tuttle O. F. The granite system at pressures of 4 to 10 kilobars // J. Geophys. Res. 1964. V. 69. Iss. 4. P. 759–773.
Mohammadi N., Lentz D., McFarlane C. et al. Biotite composition as a tool for exploration: an example from Sn-W-Mo-bearing Mount Douglas Granite, New Brunswick, Canada // Lithos. 2021. V. 382–383. P. 105926.
Moyen J.-F. High Sr/Y and La/Yb ratios: the meaning of the “adakitic signature” // Lithos. 2009. V. 112. P. 556–574.
Nachit H., Ibhi A., Abia E. H. et al. Discrimination between primary magmatic biotites, reequilibrated biotites and neoformed biotites // C. R. Geosci. 2005. V. 337. № 16. P. 1415–1420.
O’Neil J. R., Chappell B. W. Oxygen and hydrogen isotope relations in the Berridale Batholith // J. Geol. Soc. 1977. V. 133. P. 559–71.
O’Neil J.R., Taylor H.P.J. The oxygen isotope and cation exchange // Amer. Mineral. 1967. V. 52. P. 1414–1437.
Ou Q., Wang Q., Wyman D.A. et al. Eocene adakitic porphyries in the central-northern Qiangtang Block, central Tibet: partial melting of thickened lower crust and implications for initial surface uplifting of the plateau // J. Geophys. Res., Solid Earth. 2017. V. 122. P. 1025–1053.
Pearce J.A., Harris N.B.W., Tindle A.J. Trace element discrimination diagrams for the tectonic interpretation of granitic rocks // J. Petrol. 1984. V. 25. P. 956–983.
Savko K.A., Samsonov A.V., Kholina N.V. et al. 2.6 Ga high-Si rhyolites and granites in the Kursk Domain, Eastern Sarmatia: petrology and application for the Archaean palaeocontinental correlations // Precambri. Res. 2019. V. 322. P. 170–192.
Sharp Z.D. A laser-based microanalytical method for the in situ determination of oxygen isotope ratios in silicates and oxides // Geochim. Cosmochim. Acta. 1990. V. 54. P. 1353–1357.
Shabbani A.T., Lalonde A. Composition of biotite from granitic rocks of the Canadian Appalachian: a potential tectonomagmatic indicator? // Can. Mineral. 2003. V. 41. № 6. P. 1381–1396.
Siegel K., Williams‑Jones A.E., Stevenson R. A Nd‑ and O‑isotope study of the REE‑rich peralkaline Strange Lake granite: implications for Mesoproterozoic A‑type magmatism in the Core Zone (NE‑Canada) // Contrib. Mineral. Petrol. 2017. V. 172. P. 54.
Simon L., Lécuyer C. Continental recycling: the oxygen isotope point of view // Geochem. Geophys. Geosyst. 2005. V. 6. № 8. P. 1–10.
Steinitz A., Katzir Y., Valley J.W. et al. The origin, cooling and alteration of A-type granites in southern Israel (northernmost Arabian–Nubian shield): a multi-mineral oxygen isotope study // Geol. Mag. 2009. V. 146. № 2. P. 276–290.
Sylvester P.J. Post-collisional alkaline granites // J. Geol. 1989. V. 97. P. 261–280.
Trumbull R.B., Harris C., Frindt S. et al. Oxygen and neodymium isotope evidence for source diversity in Cretaceous anorogenic granites from Namibia and implications for A-type granite genesis // Lithos. 2004. V. 73. P. 21–40.
Uchida E., Endo S., Makino M. Relationship between solidification depth of granitic rocks and formation of hydrothermal Ore Deposits // Resour. Geol. 2007. V. 57. P. 47–56.
Valley J.W. Stable isotope thermometry at high temperatures // Stable Isotope Geochemistry. Rev. Mineral. Geochem. 2001. V. 43. P. 365–414.
Valley J.W., Kitchen N., Kohn M.J. et al. UWG-2, a garnet standard for oxygen isotope ratios: Strategies for high precision and accuracy with laser heating // Geochim. Cosmochim. Acta. 1995. V. 59. P. 5223–5231.
Vho A., Lanari P., Rubatto D. An internally-consistent database for oxygen isotope fractionation between minerals // J. Petrol. 2020. https://doi.org/10.1093/petrology /egaa001
Wang J., Dan W., Wang Q. et al. High-Mg# adakitic rocks formed by lower-crustal magma differentiation: mineralogical and geochemical evidence from garnet-bearing diorite porphyries in Central Tibet // J. Petrol. 2021. V. 62. Iss. 4. https://doi.org/%2010.1093/petrology/egaa099
Wang Q., Wyman D.A., Xu J. et al. Eocene melting of subducting continental crust and early uplifting of central Tibet: evidence from central-western Qiangtang high-K calc-alkaline andesites, dacites and rhyolites // Earth Planet. Sci. Lett. 2008. V. 272. P. 158–171.
Watson E.B., Harrison M. Zircon saturation revisited: temperature and composition effects in a variety of crustal magma types // Earth Planet. Sci. Lett. 1983. V. 64. P. 295–304.
Wei C.S., Zheng Y.F., Zhao Z.F. Hydrogen and oxygen isotope geochemistry of A-type granites in the continental margins of eastern China // Tectonophysics. 2000. V. 328. P. 205–227.
Wei C.S., Zheng Y.F., Zhao Z.F. et al. Oxygen and neodymium isotope evidence for recycling of juvenile crust in northeast China // Geology. 2002. V. 30 Iss. 4. P. 375–378.
Weinberg R. F., Hasalova P. Water-fluxed melting of the continental crust: a review // Lithos. 2015. V. 212–215. P. 158–188.
Whalen J.B., Currie K.L., Chappell B.W. A-type granites: geochemical characteristics discrimination and petrogenesis // Contrib. Mineral. Petrol. 1987. V. 95. P. 407–419.
Whalen J.B., Jenner G.A., Longstaffe F.J. et al. Geochemical and isotopic (O, Nd, Pb and Sr) constraints on A-type granite petrogenesis based on the Topsails igneous suite, Newfoundland Appalachians // J. Petrol. 1996. V. 37. Iss. 6. P. 1463–1489.
Wu F.Y., Jahn B.M., Wilde S.A. et al. Highly fractionated I-type granites in NE China (II): isotopic geochemistry and implications for crustal growth in the Phanerozoic // Lithos. 2003. V. 67. № 3–4. P. 191–204.
Wu F.Y., Liu X.C., Ji W.Q. et al. Highly fractionated granites: recognition and research // Sci. China: Earth Sci. 2017. V. 60. № 7. P. 1201–1219.
Yang X.M., Lentz D.R., Chi G. Ferric-ferrous iron oxide ratios: effect on crystallization pressure of granites estimated by Qtz-geobarometry // Lithos. 2021. V. 380–381. P. 105920.
Yang W.B., Niu H.C., Hollings P. et al. The role of recycled oceanic crust in the generation of alkaline A-type granites // J. Geophys. Res. Solid Earth. 2017. V. 122. Iss. 12. Р. 9775–9783.
Zhang B., Chen C., Gong X. et al. The Kamusite A2-type granites in the Karamaili tectonic belt, Xinjiang (NW China): tracing staged postcollisional delamination in the eastern Junggar // Geol. Mag. 2020. https://doi.org/10.1017/S0016756820000813
Zhang X.H., Yuan L.L., Xue F.H. et al. Early permian A-type granites from central Inner Mongolia, North China: magmatic tracer of post collisional tectonics and oceanic crustal recycling // Gondwana Res. 2014. https://doi.org/10.1016/j.gr.2014.02.011
Zhao Z.F., Zheng Y.F. Calculation of oxygen isotope fractionation in magmatic rocks // Chem. Geol. 2003. V. 193. P. 59–80.
Дополнительные материалы
- скачать EMS_1.xlsx
- Supplementary 1: EMS_1.xlsx. Содержание петрогенных оксидов (данные РФА, мас.%) и микроэлементов в гранитах массива Раумид (данные ICP-MS, г/т)
- скачать EMS_2.xlsx
- Supplementary 2: EMS_2.xlsx. Содержание петрогенных оксидов (данные РФА, мас.%) и микроэлементов в гранитах массива Раумид (данные РФА, г/т)
Инструменты
Петрология







