Петрология, 2023, T. 31, № 2, стр. 202-216
Самородное железо в траппах Сибири
М. Д. Томшин a, *, А. Г. Копылова a, А. Е. Васильева a, **
a Институт геологии алмаза и благородных металлов СО РАН
Якутск, Россия
* E-mail: tmd@diamond.ysn.ru
** E-mail: lexy_v@rambler.ru
Поступила в редакцию 23.03.2022
После доработки 12.08.2022
Принята к публикации 18.09.2022
- EDN: GROKZZ
- DOI: 10.31857/S086959032302005X
Аннотация
Результаты исследования интрузивов траппов на Сибирской платформе с масштабным проявлением самородного железа позволили выявить объединяющие их черты. Интрузивы слабо дифференцированы, имеют сходное строение и близкий минералогический, петрохимический и геохимический состав. Во всех изученных телах обнаружены две ассоциации породообразующих минералов – раннемагматическая глубинная (докамерная) и внутрикамерная. Самородное железо формирует желвакообразные сегрегации, в которых в подчиненном количестве присутствуют когенит, троилит и магнетит-вюстит. В металлическом железе активно концентрируются Ni, Co, Au и PGE. Содержание их увеличивается в металле по сравнению с вмещающей силикатной породой в сотни и даже в тысячи раз. В основе образования самородного железа лежит флюидно-магматическое взаимодействие вещества магмы с восстановительными компонентами флюида, преимущественно метан-водородного состава. В результате этого взаимодействия происходит процесс диспергирования первично однородной базальтовой жидкости на силикатную и металлическую составляющие. Тонкодисперсные фазы железа в процессе перемещения формируют капельно-жидкие сегрегации, на поверхности которых образуется мономолекулярный слой газа, препятствующий укрупнению капель металла. В гипабиссальной камере происходит дегазация магмы, в том числе и от металлических сферул, начинается процесс слияния капель и образование самородного железа в виде желвакообразных обособлений.
ВВЕДЕНИЕ
С момента открытия самородного железа на о. Диско (Гренландия) в 1870 г. (Nordenskiöld, 1870) прошло уже полтора века. За это время самородное железо было найдено в Германии, в базальтах Бюль (Ramdohr, 1952), в базальтах севера Русской платформы (Данилов, Юшкин, 1979), в траппах Сибири (Баженов и др., 1959; Сигунов, 1969; Левашов и др., 1991; Томшин и др., 2019) и менее значимые находки на Алтае, на Дальнем Востоке, на Камчатке и в других местах, но до сих пор у исследователей нет единого взгляда на его происхождение.
Преобладающее мнение – восстановление металла из базальтового расплава углеродом осадочных пород (Törnebohm, 1878; Melson, Switzer, 1966; Pedersen, 1979; Howarth et аl., 2017; Рябов и др., 1985 и др.). Возникают вопросы – каким образом образовалось железо, установленное в виде округлых включений (явный признак его расплавленного состояния) в раннемагматических (мантийных) минералах; почему имеются огромные скопления самородного железа в интрузивах, не контактировавших с углеродсодержащими породами, и его нет там, где это взаимодействие наблюдается? Имея в своем распоряжении фактический материал по всем известным на территории Сибирской платформы трапповым интрузивам с проявлениями самородного железа и используя ранее опубликованный материал, авторы предлагают свое видение на происхождение этого уникального явления.
Находки теллурического железа в микроколичествах в виде акцессориев известны в разнообразных изверженных породах, в том числе и в траппах Сибирской платформы. Единичные магнитные шарики размером до 0.2 мм, выполненные беспримесным железом со шпинель-вюститовой оторочкой, в свое время были установлены в протокристаллах битовнита в анортозитовых габбро-долеритах Усть-Ханньинского и Биллехского (бассейн р. Вилюй), а также Черногорского (Норильский район) интрузивов (Округин, 1982; Самородное …, 1985; Олейников, Округин, 1981). Характерная особенность данных интрузивов – длительное фракционирование магматического расплава в восстановительных условиях глубинной промежуточной камеры на границе кора–мантия в обстановке высоких давлений (~12 кбар) и высоких температур (~1500°С) (Олейников, Томшин, 1976; Олейников и др., 1980; Томшин, 1983). Подобное фракционирование характеризуется ранней кристаллизацией плагиоклаза анортит-битовнитового состава и его накоплением в головных частях магматических колонн. Этот механизм эволюции был описан как анортозитовая тенденция дифференциации базальтовых магм (Томшин, 1983). Кроме акцессорной формы в траппах Сибири известны уникальные скопления желвакообразных обособлений самородного железа весом от нескольких килограммов до нескольких тонн. Такие скопления установлены в Джалтульском (р. Курейка) (Баженов и др., 1959; Старицкий, 1965; Самородное …, 1985), Хунгтукунском11 (р. Котуй) (Сигунов, 1969; Самородное …, 1985; Рябов и др., 1985; Рябов, Аношин, 1999; Ryabov, Lapkovsky, 2010), Айхальском (п. Айхал) (Томшин и др., 2019; Kopylova, Vasilyeva, 2020) и Чуньском (р. Подкаменная Тунгуска) (Левашов и др., 1991) трапповых интрузивах, расположенных соответственно на северо-западе, севере, северо-востоке и юге платформы (рис. 1).
Рис. 1.
Схематическая карта расположения трапповых интрузий центральной части Сибирской платформы, по (Виленский, 1967) с дополнениями. 1 – четвертичные отложения; 2 – континентальный мезозой (J1–2); 3 – нерасчлененная туфо-лаво-интрузивная толща (Р2–Т1); 4 – верхнепалеозойские (С2–3, Р1–2) терригенные отложения; 5 – морские нижне- и среднепалеозойские отложения (Ꞓ–S); 6 – верхнепротерозойские отложения (PR2); 7 – Анабарский щит; 8 – нерасчлененные интрузивные траппы. Интрузивы с проявлениями самородного железа: I – Джалтульский интрузив, II – Хунгтукунский массив, III – Айхальский силл, IV – Чуньский интрузив.

Таким образом, несмотря на свою уникальность, самородное железо в траппах Сибири распространено широко. Все перечисленные интрузивы относятся к пермо-триасовым трапповым образованиям Сибирской платформы и были сформированы из однотипного, в петрохимическом плане, толеит-базальтового расплава. Хунгтукунский, Айхальский и Чуньский силлы имеют соизмеримые мощности (в среднем 90–140 м) и размеры (протяженность интрузивов от 20 до 35 км), т.е. сопоставимые объемы с эволюционирующим расплавом. Джалтульский интрузив образован путем последовательного поступления в интрузивную камеру более магнезиальной магмы, имеет значительную мощность (до 500 м) и протяженность до 70 км. Он дифференцирован от троктолитов до монцонитов. Ранее (Самородное …, 1985) по этому интрузиву была представлена подробная характеристика, и поэтому в настоящей работе имеющийся по нему в нашем распоряжении материал будет привлекаться лишь по мере необходимости.
МЕТОДЫ ИССЛЕДОВАНИЙ
Интрузивы в траппах Сибири с масштабным проявлением самородного железа изучались как самостоятельно, так и совместно с геологами Красноярской и Амакинской геолого-съемочных экспедиций во время полевых работ в 1976, 1981–1985, 1988, 2018 гг. Все образцы долеритов отбирались из коренных обнажений в береговых выходах интрузивов, а также из керна скважин. Желваки железа были взяты как из коренных обнажений, так и из развалов. При изучении вещественного состава интрузивов применялись традиционные методы петрографических исследований. Химический анализ пород выполнен классическим методом мокрой химии в ОФХМА ИГАБМ СО РАН (г. Якутск). Микроэлементный состав в долеритах и самородном железе определен методом масс-спектрометрии с индуктивно связанной плазмой (ICP-MC) на приборе Elan 6100 DRC в стандартном режиме в ИМГРЭ. Состав минералов получен на рентгеновском микрозондовом анализаторе Camebax-micro при ускоряющем напряжении 20 кВ и силе тока 50 мА и на сканирующем электронном микроскопе JSM-6480LV фирмы Jeol с энергодисперсионным спектрометром INCA-Energy и волновой приставкой (WDS) при ускоряющем напряжении 20 кВ и силе тока 1 нА в ИГАБМ СО РАН. Рентгенофазовый анализ образцов железа, подготовленных в виде стружки и в аншлифах, выполнен также в ИГАБМ СО РАН на дифрактометре D2 PHASER фирмы Bruker при CuKα излучении, напряжении 30 кВ и силе тока 10 мА. Для расшифровки полученных результатов использована база данных PDF 2. Замеры твердости самородного железа по Бринеллю проведены твердомером “Heckert” (ИФТПС СО РАН) по ГОСТ 9012-89 при нагрузке 1840 H, время выдержки 10 с.
ХАРАКТЕРИСТИКА ИНТРУЗИВОВ
Исследование Хунгтукунского, Айхальского и Чуньского интрузивов с масштабным проявлением самородного железа выявило много объединяющих их черт. Внедрение базальтовой магмы, формировавшей интрузивы, проходило в пермо-триасовое время по границе между терригенно-карбонатными породами нижнего палеозоя с терригенными (в основном аргиллиты и песчаники) отложениями верхнего палеозоя. Поверхность кровли силлов неровная с западинами, заполненными туфогенно-осадочным материалом нижнего триаса. В прикровлевых горизонтах интрузивов изредка отмечаются ксенолиты аргиллитов, которые в разной степени ороговикованы, но без каких-либо признаков плавления вещества. На контакте с траппами во вмещающих породах образуются маломощные (до 3–7 см) закалочные зоны: ороговикование по аргиллитам и мраморизация по карбонатам. Во всех рассматриваемых интрузивах не установлено контактов с углями или иными содержащими органику породами. Отсутствие непосредственных контактов Хунгтукунского интрузива с углями подчеркивал в своей работе В.В. Рябов (Рябов и др., 1985, стр. 13).
Все интрузивы слабо дифференцированы и, в зависимости от содержания в долеритах оливина, состав их пород меняется от оливинсодержащих (5–6 об. % оливина) до троктолитовых (16–18 об. % оливина) габбро-долеритов. Последние образуют линзообразные прерывистые горизонты мощностью до 10 м в центральных частях силлов. В верхней половине интрузивов появляются участки габбро-долеритов с повышенным содержанием протокристаллов плагиоклаза. В Хунгтукунском интрузиве отмечались участки, обогащенные (до 10 об. %) гломеропорфировыми скоплениями плагиоклаза (An92–87). В Джалтульском интрузиве среди габбро-долеритов появляются обособления плагиоклазитов, на 90% сложенных анортит-битовнитом (рис. 2). Протокристаллы плагиоклаза типичны и для долеритов, окружающих желваки железа. В прикровлевых частях интрузивов нередко располагаются шлиры габбро-пегматитов и субщелочных габбро. В верхней трети интрузивов сосредоточены скопления самородного железа.
Общим для всех интрузивов является наличие в составе пород двух парагенезисов породообразующих минералов – глубинного раннемагматического (докамерного) и внутрикамерного на месте становления интрузива. Раннемагматический парагенезис представлен порфировыми кристаллами битовнита (An87–76), в центре которых располагаются оплавленные ядра анортит-битовнита (An95–82), и округлыми зернами хризолит-гиалосидерита (Fa28–36). Докамерную генерацию дополняют генетически важные акцессории – муассанит, шпинель, гранат пироп-альмандинового ряда. Минералы внутрикамерного этапа кристаллизации магмы характеризуются пойкилоофитовыми соотношениями и имеют типичный для траппов состав. Плагиоклаз основной массы образован лейстами лабрадора, клинопироксен представлен крупными ойкокристаллами авгита, оливин образует скопления округлых зерен, отвечающих по составу гиалосидериту. Специфичность условий кристаллизации магмы в пределах оторочки желваков обособления железа находит свое отражение в повышении железистости темноцветных минералов. В габбро-долеритах появляются зерна более железистого гиалосидерита Fa42–49. Клинопироксен меняет свой состав от Wo37En42–46Fs15–17 до Wo38En39–40Fs22–23, т.е. кальциевость минерала остается постоянной, изменяется только соотношение ферросилитовой и энстатитовой составляющих. Максимально железистые оливин и пироксен установлены во фрагментах долеритов, расположенных внутри сегрегаций самородного железа – с высокожелезистым авгитом (Wo21–24En32–34Fs42–47) здесь ассоциирует пижонит (Wo7–12En41–34Fs52–54), железистость оливина возрастает до Fa80–95. Следует отметить в долеритах из оторочек желваков присутствие сульфидов, особенно пирротина и халькопирита.
Все интрузивы с масштабным проявлением металлического железа сформированы расплавом толеит-базальтового состава, содержание MgO в котором на 1.5–2 мас. % выше, а содержание оксидов железа практически на 2 мас. % ниже средних значений, чем в распространенном типе трапповых интрузивов Тунгусской синеклизы (табл. 1).
Таблица 1.
Средний химический состав долеритов интрузивов, содержащих самородное железо
| Компо- ненты |
Хунгтукунский | Айхальский | Чуньский | Среднее | |||||||
|---|---|---|---|---|---|---|---|---|---|---|---|
| 1 | 2 | 3 | 4 | 5 | 6 | 7 | 8 | 9 | 10 | 11 | |
| SiO2 | 48.67 | 47.86 | 47.06 | 48.37 | 44.90 | 49.30 | 48.29 | 48.43 | 41.26 | 46.78 | 48.88 |
| TiO2 | 1.12 | 0.89 | 0.77 | 1.00 | 3.9 | 1.35 | 1.14 | 1.17 | 0.93 | 0.73 | 1.51 |
| Al2O3 | 15.40 | 15.70 | 15.42 | 15.61 | 14.36 | 15.03 | 16.21 | 16.04 | 12.85 | 19.31 | 14.38 |
| Fe2O3 | 3.66 | 3.35 | 3.22 | 2.88 | 4.96 | 3.62 | 2.76 | 2.88 | 9.62 | 1.43 | 3.96 |
| FeO | 8.35 | 8.25 | 8.45 | 8.74 | 12.63 | 7.80 | 7.89 | 7.87 | 13.84 | 9.69 | 9.21 |
| MnO | 0.17 | 0.17 | 0.17 | 0.09 | 0.21 | 0.21 | 0.20 | 0.20 | 0.22 | 0.27 | 0.16 |
| MgO | 7.43 | 9.40 | 11.47 | 8.60 | 9.53 | 7.76 | 9.13 | 8.93 | 11.25 | 8.09 | 6.60 |
| CaO | 10.70 | 10.62 | 10.06 | 10.70 | 9.16 | 11.63 | 11.20 | 11.26 | 7.32 | 10.80 | 10.69 |
| Na2O | 2.19 | 1.97 | 1.73 | 2.07 | 2.08 | 2.01 | 1.86 | 1.88 | 1.16 | 1.92 | 2.36 |
| K2O | 0.44 | 0.36 | 0.30 | 0.41 | 0.31 | 0.42 | 0.37 | 0.38 | 0.22 | 0.52 | 0.65 |
| P2O5 | 0.11 | 0.08 | 0.07 | 0.09 | 0.09 | 0.11 | 0.09 | 0.09 | 0.08 | 0.18 | 0.21 |
| H2O | 1.65 | 1.21 | 1.08 | 1.36 | 0.85 | 1.15 | 1.26 | 1.24 | 1.75 | 0.68 | 1.07 |
| Сумма | 99.89 | 99.86 | 99.80 | 99.92 | 99.92 | 100.40 | 100.40 | 100.39 | 100.50 | 100.40 | 99.66 |
| Mg# | 53 | 60 | 64 | 57 | 58 | 56 | 62 | 60 | 47 | 61 | 50 |
| n | 48 | 9 | 5 | 51 | 7 | 1 | 6 | 7 | 1 | 3 | 435 |
Примечание. Содержание оксидов петрогенных элементов приведены в мас. %. 1, 6 – оливинсодержащий габбро-долерит; 2, 7, 10 – оливиновый габбро-долерит; 3 – троктолитовый габбро-долерит; 4, 8, 10 – среднее по интрузиву; 5, 9 – околожелваковый габбро-долерит, 11 – среднее по траппам северо-востока Тунгусской синеклизы (данные авторов); n – количество анализов.
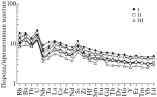
Наличие этапа раннего фракционирования расплава отразилось и на составе долеритов из интрузивов, содержащих самородное железо (табл. 2). Присутствие в долеритах раннемагматических оливина и пироксена обусловило относительный рост концентраций связанных с ними сидерофильных элементов, прежде всего Ni, Co, Cr. Для данной группы интрузивов характерны минимальные содержания крупноионных литофилов – Rb, K, Ba, Th, U и высокозарядных элементов – Zr, Hf, Ta, Y, Nb. Относительно типичных траппов в них значительно уменьшается сумма редких земель при практически близких значениях отношения (La/Yb)n. Распределение элементов-примесей в долеритах интрузивов отражено на рис. 3. Спектры практически идентичны, расположены близко параллельно. Распределение REE отличается умеренным фракционированием – (La/Yb)n = = 2.2–3.4, значения Eu/Eu* близки к единице. На спайдер-диаграммах отчетливо выражен максимум стронция – характерный признак трапповых интрузивов, сформированных расплавом, эволюционирующим в докамерных условиях с фракционированием раннемагматического высококальциевого плагиоклаза.
Таблица 2.
Состав долеритов из интрузивов, содержащих самородное железо
| Интрузив | Хунгтугунский | Айхальский | Среднее | |||||||||||
|---|---|---|---|---|---|---|---|---|---|---|---|---|---|---|
| Обнажение | Дж-35 | Х-8 | Дж-49 | Ай-3 | Ай | |||||||||
| Номер образца | 3 | 7 | 14 | 18 | 36 | 74 | 4 | 7 | 1 | 3 | 8 | 0 | А | Б |
| SiO2 | 49.8 | 49.29 | 48.24 | 46.34 | 46.96 | 48.49 | 48.5 | 48.71 | 48.77 | 47.73 | 49.3 | 41.26 | 48.38 | 48.57 |
| TiO2 | 0.88 | 1.00 | 0.93 | 0.77 | 0.78 | 1.10 | 1.11 | 1.1 | 1.06 | 1.12 | 1.35 | 0.93 | 1.02 | 1.48 |
| Al2O3 | 15.7 | 15.3 | 15.56 | 13.51 | 16.17 | 15.19 | 15.17 | 15.66 | 16.15 | 15.9 | 15.03 | 12.85 | 15.39 | 14.62 |
| Fe2O3 | 2.09 | 3.99 | 0.94 | 6.94 | 3.64 | 2.98 | 1.69 | 3.88 | 3.00 | 2.05 | 3.62 | 9.62 | 3.17 | 3.88 |
| FeO | 8.52 | 7.32 | 9.94 | 6.66 | 7.92 | 8.94 | 10.51 | 8.05 | 7.47 | 8.93 | 7.8 | 13.84 | 8.37 | 9.35 |
| MnO | 0.2 | 0.21 | 0.19 | 0.19 | 0.16 | 0.17 | 0.18 | 0.19 | 0.15 | 0.22 | 0.21 | 0.22 | 0.19 | 0.19 |
| MgO | 8.71 | 8.65 | 10.12 | 13.19 | 10.58 | 7.85 | 8.17 | 7.87 | 8.96 | 9.86 | 7.76 | 11.25 | 9.25 | 7.04 |
| CaO | 10.91 | 9.88 | 10.79 | 9.4 | 10.58 | 10.8 | 10.98 | 10.76 | 11.62 | 10.78 | 11.63 | 7.32 | 10.74 | 10.77 |
| Na2O | 2.05 | 2.05 | 2.00 | 1.85 | 1.8 | 2.08 | 2.00 | 1.88 | 1.74 | 1.83 | 2.01 | 1.16 | 1.94 | 2.23 |
| K2O | 0.39 | 0.55 | 0.38 | 0.3 | 0.33 | 0.46 | 0.49 | 0.53 | 0.33 | 0.36 | 0.42 | 0.22 | 0.41 | 0.64 |
| P2O5 | 0.12 | 0.14 | 0.12 | 0.08 | 0.07 | 0.11 | 0.09 | 0.13 | 0.09 | 0.08 | 0.11 | 0.08 | 0.10 | 0.19 |
| Н2О+ | 0.4 | 0.92 | 0.82 | 0.76 | 0.92 | 1.13 | 1.17 | 1.21 | 0.8 | 0.54 | 0.79 | 0.54 | 0.86 | 0.80 |
| Сумма | 99.81 | 99.34 | 100.1 | 99.99 | 99.91 | 99.30 | 100.1 | 99.97 | 99.5 | 100.1 | 100.1 | 99.40 | 99.81 | 99.86 |
| Mg# | 60 | 59 | 63 | 65 | 63 | 55 | 55 | 55 | 61 | 62 | 56 | 47 | 60 | 50 |
| Cs | 0.18 | 0.17 | 0.31 | 0.30 | 0.22 | 0.53 | 0.23 | 0.24 | 0.28 | 1.32 | 0.63 | 0.21 | 0.40 | 0.47 |
| Rb | 8.91 | 5.54 | 8.77 | 6.52 | 7.00 | 11.80 | 9.35 | 12.00 | 7.63 | 7.78 | 10.10 | 5.38 | 8.68 | 12.90 |
| Ba | 113 | 10 | 119 | 83.8 | 91.3 | 129 | 115 | 123 | 88.5 | 87.7 | 106 | 66.1 | 106 | 165 |
| Th | 0.86 | 0.95 | 0.87 | 0.72 | 0.78 | 1.16 | 0.99 | 1.19 | 0.75 | 0.76 | 1.01 | 0.72 | 0.91 | 1.17 |
| U | 0.35 | 0.39 | 0.34 | 0.25 | 0.29 | 0.46 | 0.36 | 0.45 | 0.28 | 0.28 | 0.40 | 0.27 | 0.35 | 0.54 |
| Nb | 3.93 | 4.73 | 6.62 | 3.10 | 3.45 | 5.26 | 4.07 | 4.90 | 3.18 | 3.08 | 4.18 | 2.62 | 4.23 | 7.29 |
| Ta | 0.27 | 0.33 | 0.45 | 0.21 | 0.24 | 0.36 | 0.28 | 0.34 | 0.22 | 0.21 | 0.29 | 0.18 | 0.29 | 0.46 |
| Sr | 185 | 191 | 249 | 147 | 182 | 195 | 181 | 183 | 162 | 157 | 160 | 129 | 181 | 236 |
| Zr | 70.6 | 80.5 | 68.4 | 57.2 | 62.5 | 93.9 | 81.2 | 91.6 | 57.3 | 59.8 | 78.6 | 51.8 | 73.0 | 129.0 |
| Hf | 1.69 | 1.94 | 1.60 | 1.33 | 1.43 | 2.27 | 1.90 | 2.18 | 1.29 | 1.39 | 1.88 | 1.19 | 1.72 | 3.17 |
| Y | 17.6 | 19.2 | 15.5 | 14.0 | 15.0 | 21.8 | 19.1 | 21.0 | 14.9 | 14.6 | 19.9 | 11.7 | 17.50 | 31.9 |
| La | 5.90 | 6.67 | 7.67 | 4.92 | 5.33 | 7.97 | 6.56 | 7.83 | 4.76 | 4.99 | 6.34 | 3.84 | 6.27 | 10.20 |
| Ce | 14.0 | 15.7 | 16.8 | 11.5 | 12.6 | 18.8 | 15.3 | 18.0 | 11.0 | 11.6 | 14.9 | 9.0 | 14.56 | 22.51 |
| Pr | 1.90 | 2.13 | 2.18 | 1.54 | 1.64 | 2.51 | 2.08 | 2.39 | 1.47 | 1.51 | 2.04 | 1.18 | 1.95 | 3.00 |
| Nd | 8.37 | 9.46 | 8.98 | 6.90 | 7.34 | 11.20 | 9.39 | 10.60 | 6.56 | 6.69 | 8.79 | 5.10 | 8.57 | 14.88 |
| Sm | 2.21 | 2.54 | 2.29 | 1.81 | 2.00 | 3.02 | 2.53 | 2.78 | 1.86 | 1.91 | 2.41 | 1.45 | 2.31 | 4.12 |
| Eu | 0.89 | 0.94 | 0.86 | 0.69 | 0.76 | 1.03 | 0.94 | 1.00 | 0.75 | 0.72 | 0.91 | 0.79 | 0.86 | 1.32 |
| Gd | 2.65 | 3.08 | 2.56 | 2.19 | 2.33 | 3.58 | 3.06 | 3.33 | 2.32 | 2.18 | 3.16 | 1.78 | 2.77 | 4.64 |
| Tb | 0.50 | 0.55 | 0.45 | 0.40 | 0.43 | 0.63 | 0.54 | 0.61 | 0.41 | 0.42 | 0.54 | 0.31 | 0.50 | 0.81 |
| Dy | 3.25 | 3.49 | 2.83 | 2.55 | 2.69 | 3.93 | 3.46 | 3.80 | 2.70 | 2.59 | 3.47 | 2.08 | 3.16 | 5.27 |
| Ho | 0.71 | 0.75 | 0.61 | 0.55 | 0.61 | 0.87 | 0.75 | 0.85 | 0.58 | 0.58 | 0.76 | 0.45 | 0.69 | 1.08 |
| Er | 1.99 | 2.12 | 1.74 | 1.60 | 1.71 | 2.40 | 2.11 | 2.33 | 1.66 | 1.66 | 2.19 | 1.36 | 1.96 | 3.15 |
| Tm | 0.29 | 0.32 | 0.25 | 0.24 | 0.24 | 0.35 | 0.30 | 0.34 | 0.25 | 0.24 | 0.33 | 0.19 | 0.29 | 0.70 |
| Yb | 1.83 | 2.02 | 1.60 | 1.46 | 1.57 | 2.30 | 2.02 | 2.14 | 1.58 | 1.56 | 2.05 | 1.28 | 1.83 | 2.74 |
| Lu | 0.29 | 0.32 | 0.25 | 0.24 | 0.24 | 0.36 | 0.32 | 0.34 | 0.25 | 0.24 | 0.32 | 0.22 | 0.29 | 0.42 |
| Ni | 181 | 169 | 219 | 542 | 275 | 118 | 146 | 131 | 151 | 188 | 118 | 122 | 203 | 123 |
| Co | 54.8 | 54.0 | 57.7 | 81.9 | 61.5 | 50.0 | 53.7 | 50.9 | 53.0 | 57.5 | 50.6 | 49.1 | 56.9 | 50.0 |
| Cr | 486 | 367 | 355 | 367 | 357 | 240 | 182 | 173 | 601 | 457 | 493 | 80 | 371 | 229 |
| V | 251 | 272 | 243 | 215 | 227 | 311 | 280 | 284 | 253 | 230 | 307 | 303 | 261 | 310 |
| Cu | 112 | 141 | 167 | 720 | 171 | 161 | 171 | 166 | 115 | 132 | 165 | 289 | 202 | 190 |
| Zn | 67.7 | 77.5 | 76.2 | 77.5 | 66.9 | 78.3 | 81.7 | 77.1 | 70.9 | 65.0 | 80.1 | 80.0 | 74.1 | 111 |
| Ga | 15.6 | 15.9 | 14.7 | 12.5 | 14.4 | 16.6 | 15.7 | 16.4 | 14.4 | 14.0 | 15.5 | 12.1 | 15.01 | 20.0 |
| Mo | 1.38 | 1.36 | 3.26 | 1.49 | 1.23 | 0.90 | 0.94 | 0.83 | 0.95 | 0.64 | 1.09 | 3.93 | 1.28 | 1.63 |
| W | 0.35 | 0.34 | 0.30 | 0.96 | 0.60 | 0.25 | 0.07 | 0.04 | 0.30 | 0.27 | 0.14 | 0.41 | 0.33 | 0.57 |
| ∑REE | 44.76 | 50.09 | 49.10 | 36.60 | 39.44 | 58.92 | 49.4 | 56.33 | 36.19 | 36.88 | 48.26 | 29.08 | 46.01 | 74.84 |
| (La/Yb)n | 2.32 | 2.37 | 3.44 | 2.41 | 2.43 | 2.49 | 2.33 | 2.63 | 2.16 | 2.30 | 2.22 | 2.15 | 2.46 | 2.67 |
| Eu/Eu* | 1.12 | 1.03 | 1.08 | 1.06 | 1.07 | 0.95 | 1.03 | 1.01 | 1.10 | 1.08 | 1.00 | 1.51 | 1.05 | 0.93 |
| Nb/Nb* | 0.63 | 0.68 | 0.92 | 0.60 | 0.61 | 0.63 | 0.58 | 0.58 | 0.61 | 0.57 | 0.60 | 0.57 | 0.64 | 0.76 |
Примечание. Содержание оксидов петрогенных элементов приведены в мас. %, редких элементов – в ppm. Eu/Eu* = Enn/0.5(Smn + Gdn), Nb/Nb* = 0.3618Nb/√ThLa; (La/Yb)n – значения нормированы по составу хондрита (Sun, McDonough, 1989). Обр. Ай-0 – околожелваковый долерит; среднее: А – интрузивы с самородным железом (11 ан.), Б – наиболее распространенная группа траппов (27 ан.).
Рис. 3.
Распределение элементов-примесей в долеритах интрузивов с проявлением самородного железа. Нормировано к составу примитивной мантии (Sun, McDonough, 1989). I – Хунгтукунский массив, II – Айхальский силл, III – околожелваковый долерит.

Габбро-долериты, располагающиеся вокруг желваков железа, отличаются по химическому составу от пород основной части интрузива, прежде всего высокой железистостью (табл. 1, ан. 5, 9). Повышение содержания общего железа в габбро-долеритах происходит за счет мельчайших капель металлического железа, встречающихся в виде включений в породообразующих минералах, и за счет увеличения железистой компоненты темноцветных минералов. Анализ микроэлементного состава в долеритах показывает снижение содержаний в них сидерофильных (Ni, Co и особенно Cr), литофильных (Ba, Rb, Cs), высокозарядных (Zr, Hf, Ta, Y, Nb) и редкоземельных элементов (REE) (табл. 2). Отмечающийся рост концентраций халькофильных элементов (Cu, Mo, W) обусловлен постоянным присутствием вокруг желваков железа сульфидных минералов. В долеритах оторочки желваков железа повышена доля раннего плагиоклаза (An81–85), которая достигает 20 об. %; на спайдер-диаграмме отчетливо выражены максимумы стронция и европия, которые активно экстрагировались плагиоклазом основного состава (рис. 3).
ОБОСОБЛЕНИЯ САМОРОДНОГО ЖЕЛЕЗА
Обособления самородного железа приурочены к верхним частям силлов. Даже обнаруженная в Хунгтукунском массиве пластина “сливного” железа весом около 10 тонн располагается в прикровлевой его части. В пределах Джалтульского интрузива в обнажении горы Озерной на ее плоской вершине установлено большое количество скоплений желваков железа общим весом в несколько сотен тонн. Основная масса встреченных в Айхальском силле желваков железа, отдельные из которых весят более 400 кг, также находится в пределах его кровли в виде делювиальных высыпок. Желвакообразные сегрегации железа имеют четкие контакты с вмещающими долеритами, обозначенные окисно-железистой обохренной коркой, по которой они легко препарируются. При разрушении пород желваки сохраняются, образуя элювиальное скопление на плоских поверхностях, либо располагаются по склону и в подножии обнажений.
Желваки имеют эллипсовидную или неправильно-изометричную форму чаще всего размером 30–50 см в поперечнике. По текстурным особенностям выделяется четыре морфологических типа проявлений железа: микровкрапленный, сидеронитовый, губчатый и массивный. Микровкрапленное железо образует мельчайшие (до 1 мм) каплевидные обособления, включенные в породообразующие минералы габбро-долеритов (рис. 4 и 5). Сидеронитовая форма обычно образована крупными обособленными каплями металла, занимающими до 20–40% объема породы (рис. 6а). Губчатый тип представляет собой единый металлический каркас из мелких капель железа, доля которых часто превышает 50% объема желвака (рис. 6б). Массивная текстура формируется при тесном соприкосновении мелких капель железа. В этом случае содержание металла в обособлении достигает 80–90 об. %. Подобные скопления железа пластичны, часто деформировались, приобретая причудливо изогнутые формы (рис. 6в и 6г). При полном слиянии отдельных капель формировались самородки, которые встречаются довольно редко. Разные морфологические типы выделения железа зависят, прежде всего, от длительности процесса коалисценции, что подтверждено экспериментально (Борисов, 2021).
Рис. 4.
Каплевидные включения железа в породообразующих минералах долеритов. Хунгтукунский интрузив, обр. Дж-35-9а, шлиф, увел. 9×, без анализатора.

Рис. 5.
Микровкрапленное железо в породообразующих минералах долеритов. Айхальский интрузив: (а) – обр. Ай-0, (б) – обр. Ай-1.

Рис. 6.
Морфологические типы выделений самородного железа: (а) – сидеронитовый (Хунгтукунский интрузив, обр. Дж-35-1а), (б) – губчатый (Хунгтукунский интрузив, обр. Дж-48-26), (в) – массивный (Айхальский интрузив, обр. Ай-1), (г) – массивный (Хунгтукунский интрузив, обр. Дж-34-15).

Железо Айхальского и Чуньского силлов представлено малоникелистой разностью – ферритом (α-Fe) с содержанием никеля, не превышающим десятые или сотые доли процента (табл. 3, 4). В Хунгтукунском массиве, наряду с широким распространением желваков ферритового состава, в его западной части встречаются массивные обособления, железо в которых по содержанию никеля приближается к камаситу (α-Fe, Ni). Ранее было показано, что высокие концентрации Ni и Co характерны для желваков с крупными сливными выделениями (Goodrich, Bird, 1985; Олейников, Копылова, 2000). При этом концентрации Au, Pt, Pd, Rh, Ru в железе по сравнению с вмещающими долеритами увеличиваются в десятки и даже сотни раз (Олейников, Копылова, 1995; Олейников, Копылова, 2000; Олейников и др., 1999; Howarth et al., 2017; Mann et al., 2012 и др.). Растворимость серебра в железе очень низкая. Невысокое содержание Ag характерно и для долеритов (0.1–0.3 ррm). Кроме благородных металлов в железе активно концентрируются Ga, As, Sb, Sn, Mo, Ge, проявляя при этом четко выраженные сидерофильные свойства. Присутствие меди в самородном железе в пределах 0.1–0.3% объясняется наличием мельчайших эмульсионных выделений как самостоятельных, так и в ассоциации с троилитом или когенитом (рис. 7).
Таблица 3.
Состав феррита, когенита, троилита (мас. %)
| Элементы | Феррит | Когенит | Троилит | ||||||||
|---|---|---|---|---|---|---|---|---|---|---|---|
| Ай-1 | 34-15г | 35-9н | 48-4а | Ай-1 | 34-15г | 35-9н | 46-4а | Ай-1 | 35-9н | 45-8а | |
| Fe | 98.69 | 92.41 | 98.16 | 98.31 | 92.54 | 87.39 | 91.41 | 92.46 | 61.65 | 63.89 | 63.53 |
| Ni | 0.06 | 4.93 | 0.28 | 0.82 | 0.05 | 1.08 | 0.52 | 0.15 | 0.38 | ||
| Co | 0.08 | 1.10 | 0.22 | 0.15 | 0.07 | 0.54 | 0.30 | 0.19 | 0.22 | ||
| Cu | 0.20 | 0.70 | 0.38 | 0.17 | 0.16 | 0.89 | – | 0.12 | 0.63 | ||
| Ge | 0.33 | 0.056 | 0.27 | 0.10 | |||||||
| S | 37.49 | 35.49 | 35.13 | ||||||||
| Cумма | 99.39 | 99.14 | 99.43 | 99.72 | 99.14 | 100.1 | 99.29 | ||||
Таблица 4.
Содержание редких элементов в самородном железе (ppm)
| Элементы | Ай-1 | Дж-48-3а | Дж-48-26 | Дж-42-37 | Дж-35А-29 | 34-Д-1 |
|---|---|---|---|---|---|---|
| Ni | 489 | 370 | 1664 | 1161 | 1750 | 34 300 |
| Co | 240 | 160 | 216 | 407 | 963 | 7698 |
| Cu | 1449 | 1700 | 1847 | 3373 | 3175 | 0.46 |
| Au | 0.03 | 0.07 | 0.99 | 0.07 | 0.33 | 4.60 |
| Ag | 0.10 | 0.19 | 0.13 | 0.16 | 0.27 | 0.35 |
| Pt | 0.083 | 0.15 | 0.37 | 0.86 | 0.06 | 2.82 |
| Pd | 0.047 | 0.16 | 0.96 | 0.18 | 0.38 | 22.2 |
| Rh | 0.006 | 0.03 | 0.17 | 0.01 | 0.26 | 2.48 |
| Ir | 0.001 | 0.0022 | 0.001 | 0.0031 | 0.0008 | 0.19 |
| Ru | 0.100 | 0.012 | 0.094 | 0.037 | 0.010 | 3.72 |
| Ge | 326 | 5.7 | 9.5 | 9.1 | 52 | 390 |
| Sn | 10.96 | 9.2 | 4.28 | 10.01 | 12.17 | 30.1 |
| Zn | 6.2 | 6.7 | 14.5 | 5.2 | 8.4 | 8.58 |
| Pb | 0.27 | 2.2 | 0.57 | 0.94 | 0.42 | 2.4 |
| Sb | 1.02 | 5.84 | 1.66 | 3.84 | 1.52 | 20.2 |
| As | 13.81 | 119 | 42.22 | 30.20 | 13.76 | 609 |
| Ga | 21.6 | 3.39 | 30.2 | 23.3 | 30.0 | 5.3 |
| W | 7.94 | 0.06 | 18.19 | 6.89 | 9.01 | 0.016 |
| Mo | 4.24 | 6.92 | 5.85 | 6.45 | 11.15 | 10.52 |
МИНЕРАЛЫ, СОПУТСТВУЮЩИЕ САМОРОДНОМУ ЖЕЛЕЗУ
С железом постоянно ассоциируют самородные металлы, интерметаллиды, карбиды, сульфиды (Самородное …, 1985; Томшин и др., 2019; Рябов, Лапковский, 2010; Kamenetsky et al., 2013; Ryabov, Lapkovsky, 2010), установлен и описан графит, в том числе в форме клифтонита (Левашов, Олейников, 1984). В самородном железе отмечаются включения силикатного расплава и породообразующих минералов.
Когенит – наиболее распространенный минерал в желваках железа. Значительная способность железа к растворению углерода быстро снижается при температуре ниже 900°С, что приводит к выделению когенита (Вегман и др., 2004). Содержание когенита в разных образцах одного и того же интрузива может существенно различаться. Чаще всего его единичные обособления встречаются на границе самородного железа с силикатами или с расплавными включениями иногда в ассоциации с троилитом (рис. 8). Максимальное содержание когенита может достигать 25 об. %. В этом случае наблюдается структура эвтектоидного распада с выделением когенита в виде иероглифических структур (рис. 8в). В когените установлена невысокая, но стабильная примесь Ni, Co и Cu (табл. 4).
Рис. 8.
Формы выделений когенита и троилита в самородном железе (Айхальский интрузив): (а) – кайма когенита вокруг слабо раскристаллизованного расплавного включения, (б) – троилит с прерывистой каймой когенита, (в) – эвтектические перлитовые структуры когенита, (г) – троилит на контакте плагиоклаза и самородного железа и эвтектические (иероглифические) выделения когенита в матрице железа. Мелкие вкрапления черного цвета в железе – железокремнистые обособления (фото (а) и (б)). Pl – плагиоклаз, Mgt – магнетит, остальные условные обозначения см. на рис. 7.

Троилит в парагенезисе с ферритом встречается в разных морфологических разновидностях. Обычно троилит располагается на границе железа с силикатной породой (рис. 8г). Вторая его форма – самостоятельные выделения часто с прерывистой каймой когенита (рис. 8б). Иногда сульфид встречается в виде ксеноморфных зерен среди породообразующих минералов, находящихся внутри желвака. Троилит редко содержит примеси других элементов (табл. 4).
Для мелких, особенно каплевидных, выделений феррита, располагающихся в силикатном матриксе, характерно его замещение по периферии оксидными минералами. Для наиболее обогащенного никелем железа Хунгтукунского интрузива наблюдаются вюститовые (FeO), вюстит-магнетитовые либо магнетитовые (FeFe2O4) оторочки. По ферриту Айхальского и Чуньского силлов фиксируется лишь магнетит, подчеркивая тем самым более окислительные и менее глубинные условия становления интрузивов и низкое содержание никеля в железе данных силлов.
Кроме минеральных включений в железе установлены фрагменты долеритов и округлые включения силикатного расплава размером 70–260 мкм разной степени раскристаллизации (рис. 9). В долеритах диагностированы плагиоклаз, высокожелезистые пироксен (Fs31–36), оливин (Fa78–79). С ними часто ассоциируют акцессорные герцинит, апатит, ильменит. В слабо раскристаллизованных расплавных включениях просматриваются лишь микронные удлиненные недиагностируемые кристаллиты. Точечный анализ стекловатых включений показал непостоянность его состава. Основными компонентами здесь являются FeO (до 26 мас. %) и SiO2 (42 мас. %), в меньших количествах присутствуют, в мас. %: MgO 4, CaO 8 и Al2O3 12, а также оксиды фосфора до 3, натрия до 2 и титана до 1.
Рис. 9.
Включение фрагмента долерита (а) и слабо раскристаллизованного расплавного включения (б) в железе (Айхальский интрузив). Мелкие вкрапления черного цвета в железе – железо-кремниевые обособления. Fe – самородное железо, Zn – самородный цинк, G – расплавное включение, Pl – плагиоклаз, Px – пироксен, Ilm – ильменит.

В железе, особенно Айхальского силла, постоянны обильные мельчайшие железокремнистые выделения (мелкие вкрапления черного цвета на светлом фоне на рис. 8а, 8б и 9а, 9б). По содержаниям SiO2 (44.5 мас. %) и FeO (55 мас. %) можно предположить, что данное вещество по составу приближается к твердому раствору FeSi (Новгородова, 1983).
ОБСУЖДЕНИЕ
О восстановлении железа углеродом осадочных пород. Наиболее распространенное мнение о происхождении самородного железа – его восстановление из базитового расплава углеродсодержащим веществом осадочных пород (Iacono-Marziano et al., 2012; Howarth et al., 2017). Это мнение существует с момента первого описания находки железа на о. Диско (Гренландия). Предполагается, что излившиеся порфировые базальтовые лавы контактировали и захватывали ксенолиты меловых и третичных углесодержащих осадочных пород. В результате пирометаморфических процессов ассимилированный углерод восстанавливал компоненты оксида железа в магме с образованием самородного железа (Törnebohm, 1878; Melson, Switzer, 1966; Pedersen, 1979; Ulff-Møller, 1989 и др.). Обнаруженное впоследствии железо в долеритах даек, игравших роль подводящих каналов для излившихся лав и не имевших контактов с меловыми и третичными осадками, объясняется, в основном теми же авторами, восстановлением железа углеродом графитсодержащих сланцев, ксенолиты которых встречаются в интрузивах. Возникает вопрос – достаточно ли было графита в сланцах, чтобы восстановить то количество железа, которое там было обнаружено? Согласно (Melson, Switzer, 1966), ксенолиты состоят на 90% из анортит-битовнита, небольшого количества шпинели и включенного в шпинель графита. Еще один вопрос – сможет ли графит (во всех вышеперечисленных работах, речь идет о графите, а не об углероде), температура плавления которого свыше 3000°С, играть роль восстановителя в базальтовой магме с естественной температурой внедрения 1200–1250°С? И, наконец, вызывает сомнение правильность интерпретации “ксенолитов”. Еще в работе (Vaasjoki, 1965) они описывались как “анортозиты”, которые, скорее всего, аналогичны обнаруженным в Джалтульском интрузиве плагиоклазитам, имеющим магматическую (кумулятивную) природу. Следует подчеркнуть, что плагиоклаз в ксенолитах сланцев имеет кристаллическую природу – центральное более анортитовое оплавленное ядро и периферийные зоны роста (Vaasjoki, 1965; Melson, Switzar, 1966). Таким образом, из анализа опубликованного материала трудно предположить, что железо о. Диско связано с его восстановлением углеродом осадочных пород в приповерхностных условиях. О магматической природе железа о. Диско говорится в работе (Bird, Weathers, 1977). Не отрицал мантийного происхождения железа в дайках в своей ранней работе и Ф. Ульф-Мюллер (Ulff-Møller, 1977). В.В. Рябов с соавторами (Рябов и др., 1985; Рябов, Лапковский, 2010), изучая Хунгтукунский интрузив, пришли к выводу, что восстановление железа до нуль-валентного состояния произошло в близповерхностных условиях под влиянием восстановительных газов, выделившихся в результате термального воздействия траппов на битуминозные сланцы. Возникает вопрос, почему в трапповых силлах, расположенных в том же районе, что Хунгтукунский интрузив, и контактирующих с теми же самыми битумсодержащими сапропелевыми отложениями, восстановление железа не произошло?
В.В. Золотухин и Ю.Р. Васильев (Золотухин, Васильев, 1967) считают, что образование железа произошло метасоматическим путем в постмагматическую стадию. Во всех рассмотренных случаях предполагается восстановление железа из силикатного расплава в пост- или позднемагматическую стадию эволюции базитового расплава в близповерхностных условиях. Однако данное заключение не объясняет появление самородного железа в виде включений в породообразующих минералах долеритов, и, в первую очередь, в протокристаллах, возникших в докамерной глубинной обстановке. Именно в битовните анортозитовых габбро-долеритов Усть-Ханьинского интрузива (Олейников, Округин, 1981) впервые в траппах Сибири были обнаружены сферулы железа. Предпринятые нами целенаправленные поиски самородного железа в трапповых интрузивах, контактирующих с различными по качеству углями Вилюйского бассейна, с углями, превращенными под воздействием траппов в графит Ногинского месторождения (р. Н. Тунгуска), с битуминозными образованиями куонамской свиты (нижний кембрий) на р. Оленек не дали положительных результатов.
Причины появления железа в мантийной обстановке. Все трапповые интрузивы с проявлениями железа сформированы расплавом, несущим в себе признаки глубинной докамерной эволюции (анортозитовая тенденция магматической дифференциации). В вещественном отношении это явление фиксируется в обязательном появлении в магматитах докамерного парагенезиса породообразующих минералов. Последние представлены анортит-битовнитом (An95–76) и форстерит-хризолитом (Fa12–28). Их дополняют муассонит, разнообразные самородные металлы, гранат пироп-альмандитового ряда, богатые Mg, Al и Cr шпинелиды, дистен, корунд (Округин, 1982). Перечисленные минералы фиксируют восстановительные условия и барофильность обстановки в мантийном промежуточном очаге, существовавшем при Р ~ 12–15 кбар и Т ~ 1450–1550°С.
Б.В. Олейников и А.В. Округин в своей работе (Олейников, Округин, 1981) обосновали условия метамагматической металлизации базальтовой магмы на докамерном этапе ее эволюции. Сущность данного процесса заключается в частичном восстановлении до нуль-валентного состояния ряда петрогенных элементов за счет флюидно-магматического взаимодействия вещества магмы с восстановительными компонентами сквозьмагматического, по (Коржинский, 1955), или интрателлурического, по (Кузнецов, Изох, 1969), флюида. Предполагается, что в подобных сквозьмагматических флюидах важную роль играли гидридные соединения (Ларин, 1980). Последние обеспечивали инфильтрацию водорода и других восстановительных компонентов в глубинную промежуточную камеру, что способствовало процессу диспергирования первично однородной базальтовой жидкости на ликваты различного состава как на силикатной, так и на металлической основе (Панков, 1991). О металл-силикатной ликвации в базальтовом расплаве при его взаимодействии с водородом свидетельствуют эксперименты (Персиков и др., 2019) по восстановлению железа из силикатного расплава. Именно тонкодисперсное состояние флюидно-магматической системы обусловило реализацию самородной фазы нахождения элементов, прежде всего, железа. Данное заключение подтверждено находками мельчайших каплевидных выделений железа в породообразующих минералах габбро-долеритов, образованных из базальтовых магм, прошедших докамерную эволюцию (Олейников и др., 1980). Наличие в раннемагматических породообразующих минералах (особенно в анортит-битовните) включений никелистого железа (рис. 4 и 5) свидетельствует о том, что восстановление железа из силикатного субстрата началось до кристаллизации этих минералов. Именно поэтому валовое содержание железа в трапповых интрузивах с самородным проявлением металла на 2 мас. % ниже типичных значений (см. табл. 1). Проведенные исследования газовой составляющей в самородном железе и во вмещающих габбро-долеритах (Шуколюков и др., 1981) показали, что преобладающим летучим компонентом как в металле, так и в силикатной части является водород (до 75%). Кроме водорода постоянно присутствуют CH4, N2, CO и CO2. Данные о значительных количествах преимущественно метан-водородного флюида в литосферной мантии в связи с траппами Сибири приводятся в работе (Huang et al., 2020). Таким образом, ранняя докамерная стадия эволюции базальтовых флюидно-магматических систем характеризуется высоковосстановительной обстановкой, способствует дисперсионному распаду системы на несмешивающиеся жидкости (Панков, 1991), приводит к реализации металл-силикатной ликвации и, как следствие этого, к появлению в расплаве самородных форм ряда петрогенных элементов.
Условия сохранности железа в магматическом процессе. Можно предположить, что тонкодисперсные фазы железа в процессе перемещения вместе с расплавом в ходе перемешивания и коалесценции формируют капельно-жидкие сегрегации размером от нескольких микрометров до 2–3 мм. Их сохранность предопределяется, прежде всего, процессами физического взаимодействия металла с компонентами восстановительного флюида, когда на поверхности металла образуется мономолекулярный слой газа (Самородное …, 1985; Левашов, Округин, 1984). Наиболее активными свойствами обладают газы, содержащие углеводородные радикалы (Фролов, 1982). Углеводороды – постоянные компоненты газовой фазы как в железе, так и в габбро-долеритах и поэтому, согласно (Буслаева, Новгородова, 1989), как элементоорганические соединения они также способствуют переносу металла. Мономолекулярная пленка на поверхности капель железа, прежде всего, защищает металл от окисления. Кроме того, такая пленка затрудняет процесс коалесценции, ведущий к образованию более крупных капель и сегрегаций, и обеспечивает взвешенное положение мельчайших частиц железа в силикатном расплаве – все вместе взятое препятствует процессу их оседания под действием силы тяжести в придонные зоны магматической колонны. Наконец, при подъеме в перемещающемся расплаве усиливается процесс отделения растворенной в магме газовой фазы, что приводит к повышению концентрации поверхностно-активных веществ (в основном СН4) на поверхности сферул железа, к образованию на них пузырьков газа и повышению флотационного эффекта (Олейников и др., 1985). При поступлении полифазной базальтовой магмы в гипабиссальную камеру и при дальнейшем ее горизонтальном движении в частично раскристаллизованном расплаве усиливается дегазация магмы, в том числе и от металлических сферул. Таким образом, ничто не мешает процессу слипания и слияния капель железа, образованию крупных его сегрегаций вплоть до формирования желвакообразных обособлений. Во время горизонтального движения последние сминаются, деформируются, из них выдавливается силикатное вещество. В центральной части желваки приобретают массивное сложение, а в периферийных участках сохраняются условия для формирования губчатой текстуры. Часть желваков успевает оседать, располагаясь в верхней трети траппового интрузива.
ЗАКЛЮЧЕНИЕ
Установлено, что на Сибирской платформе трапповые интрузивы с проявлением самородного железа имеют широкое распространение. Показано, что проявление железа приурочено исключительно к интрузивам, магма которых фракционировала в глубинной (около 40 км от палеоповерхности) промежуточной камере. В обстановке промежуточной камеры в ходе флюидно-магматического взаимодействия базальтового расплава с высокотемпературным интрателлурическим флюидом, обладающим восстановительными свойствами, происходит диспергирование первично однородной базальтовой жидкости на ликваты на силикатной и металлической основе. Именно тонкодисперсное состояние флюидно-магматической системы обусловило реализацию самородной фазы нахождения элементов, прежде всего, железа.
Благодарности. Авторы благодарны рецензентам за ценные советы и замечания, которые позволили существенно доработать статью.
Источники финансирования. Работа выполнена в рамках плана НИР ИГАБМ СО РАН.
Список литературы
Баженов И.К., Индукаев Ю.В., Яхно А.В. Самородное железо в габбро-долеритах р. Курейки (Красноярский край) // Зап. ВМО. 1959. Ч. 88. Вып. 2. С. 180–184.
Буслаева Е.Ю., Новгородова М.И. Элементоорганические соединения в проблеме миграции рудного вещества. М.: Наука,1989. 150 с.
Борисов А.А. Форма выделений металлического железа в экспериментальных стеклах: не верь глазам своим // Петрология. 2021. Т. 29. № 1. С. 104–109.
Вегман Е.Ф., Жеребин Б.Н., Похвиснев А.Н., Юсфин Ю.С. Производство черных металлов и сплавов. М.: Академ-книга, 2004. 774 с.
Виленский А.М. Петрология интрузивных траппов севера Сибирской платформы. М.: Наука, 1967. 269 с.
Данилов М.А., Юшкин Н.П. Первая находка олигоценовой лавы с самородным железом на севере Русской платформы // Докл. АН СССР. 1979. Т. 249. № 6. С. 1430–1432.
Золотухин В.В., Васильев Ю.Р. Особенности механизма формирования некоторых трапповых интрузий Сибирской платформы. М.: Наука, 1967. 232 с.
Коржинский Д.С. Проблемы петрографии магматических пород, связанные со сквозь магматическими растворами и гранитизацией // Магматизм и связь с ними полезных ископаемых. М.: Изд-во АН СССР, 1955. С. 220–234.
Кузнецов Ю.А., Изох Э.П. Геологические свидетельства интрателлурических потоков тепла и вещества как агентов метаморфизма и магмообразования // Проблемы петрологии и генетической минералогии. М.: Наука, 1969. Т. I. С. 7–20.
Ларин В.Н. Гипотеза изначально гидридной Земли (новая глобальная концепция) М.: Недра, 1980. 216 с.
Левашов В.К., Округин А.В. Оценка физических условий формирования сегрегаций самородного железа в базальтовом расплаве // Геохимия и минералогия базитов и ультрабазитов Сибирской платформы. Якутск. 1984. С. 54–62.
Левашов В.К., Олейников Б.В. Земной клифтонит в ассоциации с самородным железом габбро-долеритов горы Озерная (Сибирская платформа) // Докл. АН СССР. 1984. Т. 278. № 3. С. 719–722.
Левашов В.К., Томшин М.Д., Глушков В.М. Новое местонахождение самородного железа на Сибирской платформе // Самородное металлообразование в магматическом процессе. Якутск: ЯНЦ СОРАН, 1991. С. 4–9.
Новгородова М.И. Самородные металлы в гидротермальных рудах. М.: Наука, 1983. 286 с.
Округин А.В. Акцессорные минералы раннемагматического этапа эволюции вещества базитов Сибирской платформы. Автореф. дис. … канд. геол.-мин. наук. Л. 1982. 17 с.
Олейников Б.В., Копылова А.Г. Золото в металлической фазе земных базитов // Докл. АН СССР. 1995. Т. 345. № 5. С. 600–602.
Олейников Б.В., Копылова А.Г. Новый генетический тип благороднометальной минерализации в трапповых интрузивах севера Сибирской платформы // Отечественная геология. 2000. № 5. С. 21–23.
Олейников Б.В., Округин А.В. Ферритизация базитового расплава и ее петрологическое значение // Минералогия и геохимия ультраосновных и базитовых пород Якутии. Якутск: ЯНЦ СО РАН, 1981. С. 5–19.
Олейников Б.В., Томшин М.Д. Глубинная дифференциация магмы платформенных базитов // Докл. АН СССР. 1976. Т. 231. № 1. С. 177–180.
Олейников Б.В., Томшин М.Д., Округин А.В. Петрологические черты докамерной эволюции магмы платформенных базитов // Изв. АН СССР. Сер. геол. 1980. № 1. С. 52–71.
Олейников Б.В., Округин А.В., Томшин М.Д., Левашов В.К. Самородное металлообразование в платформенных базитах // Самородные металлы в изверженных породах. Якутск, 1985. Ч. 1. С. 3–6.
Олейников Б.В., Копылова А.Г., Коробейникова А.Ф., Колпакова Н.А. Платина и палладий в металлической фазе земных базитов // Докл. АН СССР. 1999. Т. 364. № 1. С. 107–109.
Панков В.Ю. Особенности эволюции базальтовой магмы в восстановительных условиях // Самородное металлообразование в магматическом процессе: Сб. научных трудов. Якутск: ЯНЦ СО РАН, 1991. С. 48–61.
Персиков Э.С., Бухтияров П.Г., Аранович Л.Я. и др. Экспериментальное моделирование процесса образования самородных металлов в земной коре при взаимодействии водорода с базальтовыми расплавами // Геохимия. 2019. Т. 64. № 10. С. 1015–1025.
Рябов В.В., Аношин Г.Н. Железо-платиновая минерализация в интрузивных траппах Сибирской платформы // Геология и геофизика. 1999. Т. 40. № 2. С. 162–174.
Рябов В.В., Лапковский А.А. Уникальная полиминеральная ассоциация кобальт-никелевых и благородных фаз в габбро-долеритах траппового массива Джалтул (Сибирская платформа) // Докл. АН. 2010. Т. 434. № 4. С. 522–526.
Рябов В.В., Павлов А.Л., Лопатин Г.Г. Самородное железо сибирских траппов. Новосибирск: Наука, 1985. 168 с.
Самородное металлообразование в платформенных базитах // Под ред. Б.В. Олейникова, А.В. Округина, М.Д. Томшина и др. Якутск: ЯНЦ СО РАН, 1985. 188 с.
Сигунов П.Н. Хунктукунская дифференцированная никеленосная интрузия // Ученые записки НИИГА. Региональная геология. Л. 1969. Вып. 16. С. 53–61.
Старицкий Ю.Г. Самородное железо и медь с реки Курейки // Зап. ВМО. 1965. Т. 94. Вып. 5. С. 580–582.
Томшин М.Д. Петрологические черты анортозитовой тенденции дифференциации платформенных базитов. Автореф. дис. … канд. геол.-мин. наук. Томск, 1983. 16 с.
Томшин М.Д., Салихов Р.Ф., Матушкин А.И. и др. Самородное железо в долеритах Айхальского силла (первая находка в Якутии) // Природные ресурсы Арктики и Субарктики. 2019. Т. 24. № 9. С. 50–63.
Фролов Ю.Г. Курс коллоидной химии. Поверхностные явления и дисперсные системы. М.: Химия, 1982. 400 с.
Шуколюков Ю.А., Верховский А.Б., Друбецкой Е.Р. и др. Поиски изотопных признаков мантийного происхождения вещества самородных металлов в трапповых породах // Геохимия. 1981. № 10. С. 1442–1452.
Bird J.M., Weathers M.S. Native iron occurrences of Disko Island. Greenland // J. Geol. 1977. V. 85. P. 359–371.
Goodrich C.A., Bird J.M. Formation of iron-carbon alloys in basaltic magma at Uivfaq, Disko Island: the role of carbon in mafic magmas // J. Geol. 1985. V. 934. P. 75–492.
Howarth G.H., Day J.M.D., Pernet-Fisher J.F. et al. Precious metal enrichment at low-redox in terrestrial native Fe-bearing basalts investigated using laser-ablation ICP-MS // Geochim. Cosmochim. Acta. 2017. V. 203. P. 343–363.
Huang Jin-Xiang, Xiong Qing, Gain Sarah E.M. et al. Immiscible metallic melts in the deep Earth: clues from moissanite (SiC) in volcanic rocks // Sci. Bull. 2020. № 65. P. 1479–1498.
Iacono-Marziano G., Gaillard F., Scaillet B. et al. Extremely reducing conditions reached during basaltic intrusion in organic matter-bearing sediments // Earth Planet. Sci. Lett. 2012. P. 319–326.
Kamenetsky V.S., Charlier B., Zhitova L. et al. Magma chamber–scale liquid immiscibil-ity in the Siberian Traps represented by melt pools in native iron // Geology. 2013. V. 41. № 10. P. 1091–1094.
Kopylova A.G., Vasilyeva A.E. The new discovery of native iron in traps of the Siberia. IOP Conference Series: Earth and Environmental Science. Prague: IOP Publishing, 2020. V. 609. https://doi.org/10.1088/1755-1315/609/1/012074
Mann U., Frost D.J., Rubie D.C. et al. Partitioning of Ru, Rh, Pd, Re, Ir and Pt between liquid metal and silicate at high pressures and high temperatures-Implications for the origin of highly siderophile element concentrations in the Earth’s mantle // Geochim. Cosmochim. Acta. 2012. V. 84. P. 593–613.
Melson W.G., Switzer C. Plagioclase-spinel-graphite xenoliths in metallic iron-bearing basalts, Disko Island, Greenland // Amer. Mineral. 1966. V. 51. № 5–6. P. 664–676.
Nordenskiöld A.E. Redogörelse för en Ekspedition till Grönland aar 1870. Őfvers. K. Vetensk. Akad. Förh. 1870. V. 27. P. 973–1082.
Pedersen A.K. Basaltic glass with high-temperature equilibrated immiscible sulphide bodies with native iron from Disko, Central West Greenland // Contrib. Mineral. Petrol. 1979. V. 69 № 4. P. 397–407.
Ramdohr P. Neue Beobachtugen am Bühleisen. Sittr. – Ber. Berliner Akad. Wiss., Math-nat. Kl. 1952. № 5. S. 9–24.
Ryabov V.V., Lapkovsky A.A. Native iron (-platinum) ores from the Siberian Platform trap intrusions // Aust. J. Earth Sci. 2010. V. 57. № 6. P. 707–736.
Sun S.S., McDonough W.F. Chemical and isotopic systema-tics of oceanic basalts: implications for mantle composition and processes // Eds. A.D. Saunders, M.J. Norry. Magmatism in ocean basins. Geol. Soc. London. Spec. Publ. 1989. № 42. P. 313–345.
Törnebohm A.E. Ueber die Eisenführenden Gesteine von Ovifak und Assuk in Grønland: Bihang. Kongl. Svtnska Vet. Akad. Yandl. 1878. V. 5. № 10.
Ulff-Møller F. Native iron bearing intrusions of the Hammer Dal Complex, north-west Disko. – Rapp. Grø nlands geol. Unders., 1977. V. 81. P. 15–33.
Ulff-Møller F. Formation of native iron in sediment-contaminated magma: I. A case study of the Hanekammen Complex on Disko Island, West Greenland // Geochim. Cosmochim. Acta. 1989. V. 54. P. 57–70.
Vaasjoki O. On basalt rocks with native iron in Disko, West Greenland // Bull. Commiss. Geol. Finlande. 1965. № 218. P. 85–97.
Дополнительные материалы отсутствуют.
Инструменты
Петрология




