Петрология, 2022, T. 30, № 6, стр. 644-662
Сравнительная характеристика расслоенности мафит-ультрамафитовых интрузивов Олангской группы, Северная Карелия
А. Р. Цховребова a, *, Е. В. Коптев–Дворников b, Д. А. Бычков b
a Институт геохимии и аналитической химии им. В.И. Вернадского РАН
Москва, Россия
b Московский государственный университет им. М.В. Ломоносова, Геологический факультет
Москва, Россия
* E-mail: tsann3@gmail.com
Поступила в редакцию 01.04.2022
После доработки 30.04.2022
Принята к публикации 18.05.2022
- EDN: WOKJSM
- DOI: 10.31857/S0869590322060097
Аннотация
Олангская группа – компактный исследовательский полигон для проверки петрогенетических концепций. Несмотря на возрастную и пространственную близость три интрузива имеют разный состав исходных магм, различные наборы кумулятивных парагенезисов, различное внутреннее строение и характер ритмической расслоенности. С помощью кластерного анализа содержаний главных элементов восстановлены кумулятивные парагенезисы в изохимически измененных горных породах Ципрингского и Луккулайсваарского массивов. В строении разрезов массивов Кивакка и Ципринга, несмотря на разный состав исходных магм и разный порядок кристаллизации, имеет место четкое разделение на зоны по кумулятивным парагенезисам, на границах зон наблюдается ограниченное развитие ритмического переслаивания (с мощностью ритмов от первых метров до первых десятков метров). В противоположность этому в Луккулайсваарском интрузиве нет четкого выделения кумулятивных зон, и по всей мощности массива установлено крупномасштабное ритмическое переслаивание (мощности ритмов от первых десятков до первых сотен метров). Возможно, различный характер ритмичности в трех интрузивах отражает разные сценарии внутрикамерной конвекции магм.
ВВЕДЕНИЕ
Предлагаемая публикация продолжает начатое Я.В. Бычковой совместно с Е.В. Коптевым–Дворниковым изучение объективных количественных характеристик ритмической расслоенности в интрузивах Олангской группы.
Ритмическая расслоенность мафит-ультрамафитовых и щелочных плутонов является одним из самых загадочных проявлений магматической эволюции. К проблеме ее формирования можно относиться двояко. С одной стороны – это, пусть и интересная, но частная проблема образования расслоенных интрузивов – далеко не самых распространенных объектов в земной коре. С другой стороны, значение самих расслоенных интрузивов для петрологии отнюдь не пропорционально их распространенности. К ним следует относиться как к самым глубинным магматическим образованиям, в которых можно непосредственно наблюдать результаты магматической эволюции in situ. Выводы о механизмах формирования расслоенных интрузивов можно распространить и на процессы, происходящие в ненаблюдаемых камерах под вулканами. С этих позиций генетическая концепция, которая, помимо общих закономерностей строения расслоенных интрузивов, способна объяснить и происхождение ритмичности, может претендовать на ведущую роль в учении о магматической эволюции в целом. Одновременно механизм формирования ритмической расслоенности является важной прикладной проблемой, поскольку в расслоенных интрузивах рудные горизонты, обогащенные хромитом или титаномагнетитом, или благородными металлами, как правило, приурочены к ритмически расслоенным пачкам пород.
Главная генетическая проблема ритмической расслоенности – необходимость на фоне монотонного остывания и кристаллизации интрузива предложить реалистичный с физической и физико-химической точек зрения процесс, который приводил бы к формированию многократно повторяемой последовательности слоев пород, отвечающих различным, не всегда последовательным, стадиям фракционирования материнской магмы.
Сложность проблемы усугубляется тем, что характеристики самого феномена весьма непостоянны. По-видимому, этим обстоятельством обусловлено то, что число конкурирующих гипотез формирования ритмической расслоенности подбирается к двум десяткам (их обзор и анализ выполнены в ряде обобщающих работ (например, Ярошевский, 1970; Namur et al., 2015). С этих позиций представляется полезным сравнить изученные закономерности ритмической расслоенности в Киваккском массиве с особенностями этого феномена в двух других интрузивах Олангской группы. Выбор этих объектов для сравнительного исследования определяется их компактным географическим расположением, близким возрастом, общей геолого-тектонической обстановкой и соизмеримыми мощностями. В то же время эти массивы по результатам предыдущих исследований (Коптев–Дворников и др., 2001; Семенов и др., 1995; Glebovitsky et al., 2001) различаются наборами кумулатов и, вероятно, различным содержанием флюидных компонентов.
Массив Кивакка имеет особое значение в исследованиях ультраосновных и основных расслоенных комплексов. Уровень геологической, петрографической и геохимической изученности интрузива, хорошая обнаженность пород его вертикального разреза, включая зоны контакта, слабое проявление вторичных изменений, логичное и соответствующее ожиданиям распределение элементов – все это делает массив Кивакка представителем классического дифференцированного комплекса. Опираясь на своего рода эталон, выявление особенностей и уникальных черт двух соседствующих массивов – Луккулайсваары и Ципринги – становится более эффективным и корректным.
ГЕОЛОГИЧЕСКОЕ ПОЛОЖЕНИЕ И ВНУТРЕННЕЕ СТРОЕНИЕ ИНТРУЗИВОВ ОЛАНГСКОЙ ГРУППЫ
В Северной Карелии в 1931 г. Ю.С. Неуструевым была обнаружена цепь расслоенных перидотит-габброноритовых интрузий, объединенных в Олангскую группу. Интрузивы Олангской группы (в нее входят Киваккский, Луккулайсваарский и Ципрингский массивы (Клюнин и др., 1994; Лавров, 1979; Семенов и др., 1995; Шмыгалев, 1968)) приурочены к региональной зоне субширотных разломов и являются восточной ветвью протяженного пояса расслоенных массивов, западная ветвь которого продолжается на территорию Финляндии (Alapieti, 1982).
Вмещающими породами для этих интрузивов являются мигматизированные биотитовые и амфиболовые гнейсы, гранитогнейсы и гранодиоритогнейсы верхнего архея (Turchenko и др., 1991). По отношению к ним интрузивы дискордантны. Они обладают автономной внутренней структурой и расслоенностью, свидетельствующей об их формировании в условиях стабилизации вмещающей среды (Лавров, 1979; Семенов и др., 1995). В более поздние этапы геологического развития массивы вместе с вмещающими породами были наклонены от первоначального залегания на 35°–80°, испытали незначительные дизъюнктивные нарушения, рассланцевание и амфиболизацию краевых частей.
Интрузивы обладают крупными размерами, их характерной особенностью является дифференцированность и расслоенность (Богачев и др., 1968).
В основу крупномасштабной стратиграфии расслоенных серий во всех трех интрузивах положен принцип кумулятивных парагенезисов. В соответствии с законами кристаллизации многокомпонентных систем, на диаграммах плавкости с понижением температуры переход из области кристаллизации избыточной фазы на двойную, тройную и т.д. котектики сопровождается увеличением числа кристаллизующихся фаз (за исключением перитектик). Таким образом, направление, в котором происходит увеличение числа минералов в кумулусе, отражает направление заполнения интрузивной камеры твердыми фазами, а последовательность смены кумулятивных парагенезисов – порядок кристаллизации материнской магмы.
ИНТРУЗИВ КИВАККА
Киваккский интрузив находится на северо-западном берегу оз. Пяозеро. Изотопные определения возраста пород интрузива дали следующие значения: 2420 ± 23 млн лет (Sm-Nd метод) и 2444 ± ± 1 млн лет (U-Pb метод) (Амелин, Семенов, 1990; Барков и др., 1991; Amelin, Semenov, 1996).
Строение Киваккского интрузива характеризуется резко выраженной расслоенностью (рис. 1). В плане слои в виде полос сменяют друг друга от юго-восточной придонной части массива к северо-западной апикальной. В целом внутреннее строение массива характеризуется сменой ультрамафитовых пород габброидами при движении с юго-востока на северо-запад (от подошвы интрузива к его кровле). Видимая мощность массива в центральной части достигает ~2000 м (Коптев–Дворников и др., 2001).
Рис. 1.
Схема геологического строения Киваккского интрузива. 1 – нижняя и верхняя приконтактовые зоны; 2 – оливинитовая зона; 3, 4 – норитовая зона (3 – подзона переслаивания бронзититов и норитов); 5 – габброноритовая зона; 6 – зона габброноритов с пижонитом; 7 – разрывные нарушения; 8 – профиль пробоотбора (по материалам Коптев–Дворников и др., 2001).

В пределах массива установлен ряд разломов северо-западного, поперечного к слоистости, простирания. Наиболее крупный из них отделяет юго-западную часть интрузива. Максимальная амплитуда смещения по нему достигает 500 м.
Внешние очертания интрузива допускают интерпретацию его первоначальной формы как вертикального опрокинутого конуса с углом при вершине около 80° и высотой около 3.9 км. Впоследствии интрузив был наклонен на северо-запад под углом 36° и частично эродирован.
Геологические наблюдения, петрографические, петрохимические и геохимические данные (Коптев–Дворников и др., 2001; Лавров, 1979) выявили в разрезе верхнюю и нижнюю приконтактовые зоны и расслоенную серию, которая слагает основной объем интрузива.
Нижняя приконтактовая зона сложена преимущественно придонными габброноритами мощностью не более 100 м. Снизу вверх по разрезу наблюдается переход к расслоенной серии через переслаивание от габброноритов к оливинитам. Мощность участка переслаивания составляет 15 м.
Видимая мощность pасслоенной серии достигает около 1900 м, снизу вверх в ней выделяют зоны оливинитов, норитов, габброноритов и габброноритов с претерпевшим инверсию пижонитом в качестве ромбического пироксена:
1. Оливинитовая зона11 залегает в основании расслоенной серии. Преобладающим кумулятивным минералом в зоне является оливин. Породы характеризуются наличием текстурных неоднородностей, а также вариациями зернистости. Мощность оливинитовой зоны составляет 400 м. В верхних 50 м заметную роль играет кумулятивный бронзит. Переход к вышележащей норитовой зоне происходит через переслаивание гарцбургитов и бронзититов (мощность переслаивания 20–30 м).
2. Норитовая зона достигает мощности 700 м. Кумулятивными минералами в зоне являются бронзит и плагиоклаз. Нижние 400 м норитовой зоны представлены среднемасштабным ритмическим переслаиванием меланократовых и мезо-лейкократовых норитов и выделены в подзону переслаивания бронзититов и норитов. Породы характеризуются существенной неоднородностью не только количественно-минерального состава, но и контрастными текстурными рисунками сопряженных прослоев. Через весь интрузив прослеживается маркирующий горизонт крупнозернистых меланократовых норитов, представляющих рыхлый бронзитовый кумулат. Он перекрывается мощной толщей относительно однородных мезо-лейкократовых норитов.
3. Выше по разрезу залегает габброноритовая зона, сложенная в основном габброноритами, породами с трехминеральным бронзит-плагиоклаз-авгитовым кумулятивным парагенезисом. Она характеризуется относительной однородностью пород как по количественно-минеральному составу, так и по текстурно-структурным характеристикам. Мощность зоны около 420 м.
4. Самым верхним подразделением расслоенной серии является зона габброноритов с инвертированным пижонитом в качестве низкокальциевого пироксена. Ее мощность составляет 320 м. Слагающие ее породы слабо отличаются по химическому составу от нижележащих габброноритов, однако кумулятивный ортопироксен сменяется претерпевшим инверсию пижонитом.
Завершается расслоенная серия наиболее дифференцированными породами, для которых традиционно используется название “сэндвичевый горизонт”.
Выше этого горизонта залегают породы верхней приконтактовой зоны. Они характеризуется неустойчивой мощностью до 50 м и представлены эпидотизированными габброноритами.
Характер наблюдавшихся границ между переслаивающимися породами резкий, но фациальный. Нигде не зафиксировано присутствие закалочных зон и разрывных нарушений, следов тектонических деформаций пород и минералов на границах переслаивающихся пород (Коптев–Дворников и др., 2001).
Смена кумулятивных парагенезисов снизу вверх в разрезе Киваккского интрузива, происходила в следующем порядке: оливин → оливин + + ортопироксен → ортопироксен + плагиоклаз → → ортопироксен + плагиоклаз + клинопироксен → → клинопироксен + плагиоклаз + пижонит.
Ритмической расслоенности в Киваккском интрузиве посвящено специальное исследование (Бычкова и др., 2007; Бычкова, Коптев–Дворников, 2004; Бычкова, 2003). Детальное геологическое описание выявило два типа переслаивающихся пород: 1) сантиметровая расслоенность мощностью порядка первых сантиметров; 2) метровая расслоенность мощностью до первых десятков метров. Прослои сантиметровой расслоенности характеризуются невыдержанной мощностью, выклиниваются по простиранию, нередко имеют нечеткие границы, в результате чего им определена роль явлений второго порядка, осложняющих основную ритмичность. Слои метровой расслоенности с четкими резкими, но не секущими границами прослежены по простиранию как минимум на 800 м. Установлено, что ритмическое переслаивание пород в Киваккском интрузиве сопровождает появление каждого нового кумулятивного минерала в вертикальном разрезе. Внутри ритма слои отличаются кумулятивными парагенезисами.
По итогам исследования контрастной расслоенности киваккского типа была предложена многослойно-суспензионная понятийная модель ее формирования, допускающая построение численной системной проверяемой модели (Бычкова, Коптев–Дворников, 2004). Мы предположили, вслед за рядом исследователей (Wager, Deer, 1939; Френкель и др., 1988; Трубицын, Харыбин, 2012 и др.), что конвекция может возникать в результате образования в градиентной зоне кристаллизации у кровли суспензии более плотной, чем нижележащая, и струйного погружения на дно этой смеси кристаллов и расплава как целого. Важным концептуальным результатом М.Я. Френкеля стало понимание того, что струи погружающейся суспензии не обязательно достигают поверхности кумулуса. Если в толще магмы существует вертикальный градиент плотности (не обязательно линейный), то отдельные струи могут приобрести нулевую плавучесть на некотором промежуточном уровне и растечься по горизонтали в виде слоя.
Таким образом, возможно возникновение многослойной системы, когда в матрице одноминеральной суспензии (расплав + 1 тв. фаза) на разных уровнях в порядке уменьшения плотности снизу вверх располагаются слои более фракционированных двух- и даже трехминеральных суспензий.
ИНТРУЗИВ ЛУККУЛАЙСВААРА
Интрузив Луккулайсваара прорывают гранито-гнейсы с возрастом 2702 ± 84 млн лет (U-Pb) и перекрыт он метаморфизованными в условиях фации зеленых сланцев базальными конгломератами и вулканитами с возрастом 2432 ± 22 млн лет (U-Pb). Возраст самого массива составляет 2442 ± ± 1 млн лет (Семенов и др., 1997; Amelin et al., 1995; Amelin, Semenov, 1996; Turchenko et al., 1991).
Интрузив представляет наклоненное под углом ~45° к северу тело, имеющее очертание неправильного эллипса (рис. 2). Краевые его части перекрыты чехлом четвертичных отложений (Богачев и др., 1968). Мощность интрузива ~4.6 км.
Рис. 2.
Схема геологического строения района оз. Ципринга. Линии I, II, III – профили геохимического опробования. 1 – метавулканиты (2.4 млрд лет), 2 – граниты, 20 – гранито-гнейсы и мигматиты фундамента (2.6–2.7 млрд лет), 21 – разрывные нарушения. Расслоенный интрузив Ципринга: 3 – монцодиориты; зона магнетитовых габброноритов: 4 – габбронориты и магнетитсодержащие габбронориты, 5 – переслаивание габброноритов и магнетитовых габброноритов; 6 – зона габброноритов; 7 – зона оливиновых габбро; зона троктолитов: 8 – подзона лейкократовых троктолитов-анортозитов, 9 – подзона мезократовых троктолитов; нижняя приконтактовая зона: 10 – габбро-пегматиты, 11 – лейкократовые троктолиты-анортозиты, 12 – переслаивание троктолитов, оливиновых габбро и габброноритов, магнетитсодержащих габброноритов. Расслоенный интрузив Луккулайсваара: 13 – нерасчлененные толщи расслоенного комплекса; 14 – верхняя краевая зона: переслаивание норитов и габброноритов; 15 – зона габброноритов II; 16 – зона норитов II; 17 – зона габброноритов I; 18 – зона норитов I; 19 – зона переслаивания оливинитов, дунитов, гарцбургитов и бронзититов (по материалам Семенов и др., 1995).

Предыдущими исследованиями (Glebovitsky и др., 2001) в массиве выделены нижняя и верхняя приконтактовые зоны, а породы расслоенной серии по набору кумулятивных минералов делятся на пять зон:
1. Зона ультраосновных пород, которая представлена переслаиванием оливинитов, гарцбургитов и бронзититов. Ортопироксен встречается в форме ойкокристаллов с хадакристаллами оливина и хромита.
2. Зона норитов I сложена в основном меланократовыми норитами. Оливин встречается спорадически как второстепенный минерал.
3. Зона габброноритов I, характерной чертой последних является наличие линз мелко-микрозернистых габброноритов и норитов, быстро выклинивающихся слоев пятнистых анортозитов и оливинсодержащих меланократовых норитов и гарцбургитов, пойкилитовых норитов и пироксенитов.
4. Зона норитов II, представленная лейкократовыми норитами-анортозитами.
5. Зона габброноритов II.
К границе расслоенной серии с перекрывающей верхней приконтактовой зоной приурочен сэндвичевый горизонт.
Отличительной особенностью Луккулайсваарского интрузива является наличие вложенных в расслоенность многочисленных тел микрогабброноритов. Крупное тело микрогабброноритов мощностью до 100 м залегает в средней части массива (Богачев и др., 1968; Glebovitsky и др., 2001).
Набор кумулатов, определенный по некоторым относительно слабо измененным породам, сохранивших реликты первичномагматических минералов либо диагностируемые псевдоморфозы по ним, близок к набору кумулатов Киваккского массива.
В пределах Луккулайсваарского массива отмечены спорадические участки тонкой (сантиметровой) ритмической расслоенности, как правило, приуроченные к областям присутствия тел микрогабброноритов. Выдержанная по простиранию ритмичность метровой мощности, подобная обнаруженной в Киваккском интрузиве, предыдущими исследованиями не установлена.
ИНТРУЗИВ ЦИПРИНГА
Интрузив Ципринга расположен с юго-западной стороны оз. Ципринга. В плане массив имеет удлиненную форму, вытянутую в восточном–северо-восточном направлении (рис. 2). Длина составляет 11 км, ширина – 5–8 км (Шмыгалев, 1968).
По изотопным данным U-Pb и Sm-Nd систем возраст массива составляет 2441.3 ± 1.7 и 2430 ± ± 26 млн лет соответственно (Семенов и др., 1995).
Комплекс залегает в зоне контакта гранито-гнейсов верхнего архея, диоритов и гранитов, которые перекрываются осадочно-вулканогенными образованиями панааярвинской свиты нижнего протерозоя (Шмыгалев, 1968).
В интрузиве имеется отчетливо проявленная слоистость, которая ориентирована под углом ~65°. Значительная часть пород массива сильно изменена (Семенов, 2012).
В разрезе выделяются верхняя и нижняя приконтактовые зоны и расслоенная серия, составляющая основной объем интрузива (Семенов и др., 1995). Так, с юга на север выделяют:
1. Нижняя приконтактовая зона мощностью 400 м, которая в нижней части представлена переслаиванием габброноритов, оливиновых габбро, лейкотроктолитов, а в верхней – лейкотроктолитами до анортозитов, габброноритами, а также наблюдаются линзы грубозернистых магнетитовых габброноритов и тела габбро-пегматитов.
2. Зона троктолитов с нижней мезотроктолитовой и верхней лейкотроктолитовой подзонами, мощность зоны 1350 м. Залегает в основании расслоенной серии. Основными минералами являются оливин и плагиоклаз. По соотношению этих минералов выделяются две подзоны:
Подзона мезотроктолитов – мощностью 640 м.
Подзона лейкотроктолитов – имеет мощность 710 м, к границе подзон приурочено переслаивание меланократовых и лейкократовых троктолитов мощностью около 10–15 м при мощности отдельных слоев порядка 0.1–0.2 м.
3. Зона оливиновых габбро мощностью 300 м с прослоями оливинсодержащих пижонитовых габброноритов. Представлена зона оливин-плагиоклаз-клинопироксеновым парагенезисом.
4. Зона габброноритов с инвертированным пижонитом в качестве ромбического пироксена, сложена плагиоклаз-клинопироксен-пижонитовыми кумулатами. Мощность 310 м.
5. Зона пижонитовых феррогабброноритов и магнетитовых габброноритов мощностью до 530 м. Нижние 140 м зоны представлены пачкой переслаивающихся габброноритов и магнетитовых габброноритов. Средняя часть – габброноритами с редкими прослоями магнетитсодержащих габброноритов, а верхняя часть сложена магнетитсодержащими габброноритами с отдельными прослоями габброноритов.
На границе между расслоенной серией и верхней приконтактовой зоной расположены породы сэндвичевого горизонта.
6. Верхняя приконтактовая зона имеет мощность около 200 м.
Мощность интрузива около 3100 м.
Cмена кумулятивных парагенезисов в массиве Ципринга осуществлялась в следующем порядке: оливин + плагиоклаз → оливин + плагиоклаз + + авгит → плагиоклаз + авгит + пижонит → плагиоклаз + авгит + пижонит + магнетит.
Тонкая (сантиметровая) ритмическая расслоенность в интрузиве обнаружена на границе лейкократовых и меланократовых троктолитов, т.е. не сопровождается изменением кумулятивных парагенезисов в сопряженных слоях.
Ритмичность метрового масштаба мощности установлена в верхней четверти разреза. Она сопряжена с появлением кумулятивного титаномагнетита и представлена чередованием слоев с кумулятивным титаномагнетитом и без него.
Таким образом три дифференцированных интрузива Олангской группы, несмотря на схожее тектоническое положение и близкий возраст, демонстрируют разные типы развития метровой ритмической расслоенности, чем и привлекли наше внимание.
МЕТОДЫ ИССЛЕДОВАНИЯ
Значительная часть пород интрузивов Ципринга и Луккулайсваара существенно изменена, поэтому петрографическое описание и выделение кумулятивных парагенезисов осложнено. В этих условиях для идентификации пород особое значение приобретают петрохимические данные по составу пород опорных разрезов.
Кластерный анализ представляет статистическую процедуру, в основе которой лежит классификация данных, содержащих набор информации о ряде объектов. Сформированный кластер можно охарактеризовать его внутригрупповой суммой квадратов отклонений, которая равна сумме квадратов расстояний от точек кластера до их средней величины (для измерения расстояний использовалась евклидова метрика). По этому методу при каждом последующем шаге объединяются два близко расположенных, т.е. наиболее схожих по параметрам, кластера и происходит минимизация внутригрупповых сумм квадратов. Для выделения петрохимически устойчивых групп пород авторы использовали один из вариантов иерархического кластерного анализа (Ward Jr, 1963), апробированный нами для классификации магматических пород и дополненный нормативным пересчетом составов пород, результаты которого приводятся в объемных процентах.
Условием корректного применения метода кластерного анализа для восстановления первично магматического количественно-минерального состава пород интрузивов Ципринга и Луккулайсваара является установление изохимической природы вторичных изменений исследуемых пород.
Доказательством того, что рассчитанные нормативные составы пород отвечают первичномагматическим (т.е., что процесс вторичных изменений носил изохимический характер), являются корреляции между концентрациями никеля, стронция и нормативными содержаниями их минералов-концентраторов (оливина и плагиоклаза, соответственно) в магматическом процессе.
Содержания никеля и стронция в породах массивов определены методом ИСП-МС в лаборатории кафедры геохимии Геологического факультета МГУ с помощью масс-спектрометра с двойной фокусировкой Element-2 фирмы Thermo Scietific. Аналитики Бычкова Я.В., Панчева Т.В., Арьяева Н.С., Бычков Д.А., Цховребова А.Р., Гнучев Я.Ю. Пробы были подготовлены к анализу методом кислотного разложения (Бычкова и др., 2019). Результаты определения приведены в табл. 1.
Таблица 1.
Содержания Ni и Sr в породах Киваккского, Луккулайсваарского и Ципрингского интрузивов
| Проба | H, м | Hотн | * | Содержание, мкг/г | Проба | H, м | Hотн | * | Содержание, мкг/г | ||
|---|---|---|---|---|---|---|---|---|---|---|---|
| Ni | Sr | Ni | Sr | ||||||||
| Киваккский интрузив | |||||||||||
| KB-402 | 121.5 | 0.061 | I | 1840 | 48 | KB-443 | 1020 | 0.510 | I | 240 | 240 |
| KB-403 | 140 | 0.070 | I | 1670 | 86 | KB-444 | 1040 | 0.520 | I | 440 | 290 |
| KB-404 | 152 | 0.076 | I | 1300 | 22 | KB-445 | 1060 | 0.530 | I | 780 | 188 |
| KB-405 | 203.7 | 0.102 | I | 1620 | 24 | KB-446 | 1080 | 0.540 | I | 330 | 200 |
| KB-406 | 223 | 0.112 | I | 1660 | 25 | KB-447 | 1100 | 0.550 | I | 280 | 260 |
| KB-407 | 241 | 0.120 | I | 1980 | 40 | KB-448 | 1120 | 0.560 | I | 176 | 240 |
| KB-408 | 262 | 0.131 | I | 2190 | 41 | KB-449 | 1140 | 0.570 | I | 240 | 240 |
| KB-409 | 293 | 0.147 | I | 2130 | 38 | KB-450 | 1164 | 0.582 | I | 210 | 280 |
| KB-410 | 308 | 0.154 | I | 1910 | 33 | KB-451 | 1180 | 0.590 | I | 220 | 260 |
| KB-411 | 322 | 0.161 | I | 2030 | 36 | KB-452 | 1200 | 0.600 | I | 230 | 250 |
| KB-412 | 345 | 0.172 | I | 2030 | 27 | KB-455 | 1260 | 0.630 | I | 210 | 320 |
| KB-413 | 367 | 0.184 | I | 1930 | 50 | KB-456 | 1280 | 0.640 | I | 270 | 280 |
| KB-414 | 390 | 0.195 | I | 1940 | 37 | KB-458 | 1320 | 0.660 | I | 250 | 250 |
| KB-415 | 410 | 0.205 | I | 1940 | 45 | KB-459 | 1340 | 0.670 | I | 240 | 260 |
| KB-416 | 428 | 0.214 | I | 1480 | 44 | KB-461 | 1380 | 0.690 | I | 230 | 280 |
| KB-417 | 448 | 0.224 | I | 1790 | 52 | KB-463 | 1417 | 0.709 | I | 220 | 270 |
| KB-418 | 468 | 0.234 | I | 1570 | 30 | KB-464 | 1437 | 0.719 | I | 210 | 260 |
| KB-419 | 506 | 0.253 | I | 400 | 240 | KB-465 | 1458 | 0.729 | I | 64 | 390 |
| KB-421 | 546 | 0.273 | I | 580 | 52 | KB-466 | 1477 | 0.738 | I | 193 | 290 |
| KB-422 | 568 | 0.284 | I | 450 | 58 | KB-467 | 1498 | 0.749 | I | 185 | 300 |
| KB-423 | 593 | 0.296 | I | 430 | 60 | KB-468 | 1519 | 0.760 | I | 87 | 260 |
| KB-424 | 612 | 0.306 | I | 560 | 58 | KB-469 | 1538 | 0.769 | I | 176 | 290 |
| KB-425 | 642 | 0.321 | I | 730 | 42 | KB-472 | 1607 | 0.803 | I | 137 | 310 |
| KB-426 | 655 | 0.327 | I | 360 | 187 | KB-473 | 1623 | 0.812 | I | 115 | 360 |
| KB-427 | 676 | 0.338 | I | 400 | 145 | KB-475 | 1665 | 0.832 | I | 300 | |
| KB-428 | 700 | 0.350 | I | 530 | 58 | KB-476 | 1685 | 0.842 | I | 118 | 310 |
| KB-429 | 723 | 0.361 | I | 310 | 220 | KB-477 | 1707 | 0.854 | I | 187 | 270 |
| KB-430 | 748 | 0.374 | I | 560 | 50 | KB-478 | 1727 | 0.863 | I | 100 | 330 |
| KB-432 | 791 | 0.396 | I | 440 | 52 | KB-479 | 1750 | 0.875 | I | 100 | 340 |
| KB-433 | 819 | 0.410 | I | 340 | 197 | KB-480 | 1773 | 0.887 | I | 330 | |
| KB-434 | 839 | 0.419 | I | 330 | 240 | KB-482 | 1823 | 0.911 | I | 101 | 310 |
| KB-435 | 859 | 0.430 | I | 560 | 78 | KB-483 | 1843 | 0.922 | I | 81 | 360 |
| KB-436 | 879 | 0.440 | I | 300 | 230 | KB-484 | 1868 | 0.934 | I | 80 | 360 |
| KB-437 | 900 | 0.450 | I | 350 | 184 | KB-485 | 1898 | 0.949 | I | 230 | 480 |
| KB-440 | 960 | 0.480 | I | 170 | 230 | KB-486 | 1919 | 0.960 | I | 51 | 360 |
| KB-441 | 980 | 0.490 | I | 163 | 250 | KB-487 | 1943 | 0.971 | I | 72 | 350 |
| Луккулайсваарский интрузив | |||||||||||
| 552-284 | 95 | 0.020 | I | 1360 | 37 | Лу-309 | 2603 | 0.560 | III | 200 | 360 |
| 552-139 | 190 | 0.041 | I | 1380 | 56 | Лу-311 | 2720 | 0.585 | III | 153 | 270 |
| 550/89,0 | 395 | 0.085 | I | 1560 | 29 | Лу-312 | 2783 | 0.598 | III | 175 | 250 |
| Лу-601 | 910 | 0.196 | II | 210 | 270 | Лу-313 | 2858 | 0.615 | III | 155 | 290 |
| Лу-603 | 1035 | 0.223 | II | 185 | 250 | Лу-314 | 2899 | 0.623 | III | 161 | 230 |
| Лу-604 | 1080 | 0.232 | II | 132 | 250 | Лу-315 | 2967 | 0.638 | III | 90 | 330 |
| Лу-605 | 1240 | 0.267 | II | 193 | 210 | Лу-316 | 3013 | 0.648 | III | 163 | 240 |
| Лу-606 | 1325 | 0.285 | II | 270 | 270 | Лу-317 | 3075 | 0.661 | III | 147 | 230 |
| Лу-607/1 | 1414 | 0.304 | II | 370 | 11 | Лу-318 | 3122 | 0.671 | III | 185 | 200 |
| Лу-609 | 1499 | 0.322 | II | 200 | 220 | Лу-319 | 3182 | 0.684 | III | 186 | 230 |
| Лу-613 | 1805 | 0.388 | II | 158 | 250 | Лу-321 | 3207 | 0.690 | III | 135 | 290 |
| Лу-614 | 1915 | 0.412 | II | 380 | 270 | Лу-322 | 3278 | 0.705 | III | 134 | 290 |
| Лу 358 | 1992.1 | 0.428 | 240 | 300 | Лу-323 | 3448 | 0.742 | III | 137 | 260 | |
| Лу-301 | 2000 | 0.430 | III | 800 | 230 | Лу-324 | 3509 | 0.755 | III | 156 | 260 |
| Лу 356 | 2002.1 | 0.431 | III | 960 | 95 | Лу-325 | 3544 | 0.762 | III | 154 | 250 |
| Лу-235 | 2045 | 0.440 | III | 320 | 164 | Лу-326 | 3645 | 0.784 | III | 110 | 340 |
| Лу-302 | 2182 | 0.469 | III | 220 | 300 | Лу-10/1 | 3745 | 0.805 | III | 113 | 320 |
| Лу-303/1 | 2280 | 0.490 | III | 166 | 270 | Лу-10/2 | 3915 | 0.842 | III | 64 | 470 |
| Лу-304 | 2307 | 0.496 | III | 107 | 320 | Лу-10/4 | 3975 | 0.855 | III | 81 | 310 |
| Лу-305/1 | 2364 | 0.508 | III | 320 | 250 | Лу-237 | 4085 | 0.878 | III | 24 | 290 |
| Лу-307 | 2490 | 0.535 | III | 160 | 270 | ||||||
| Ципрингский интрузив | |||||||||||
| Ц84-2 | 30 | 0.010 | I | 220 | 220 | ПЦ137 | 2240 | 0.723 | II | 146 | 350 |
| Ц136 | 100 | 0.032 | I | 190 | 290 | ПЦ202 | 2255 | 0.727 | II | 111 | 290 |
| Ц138-1 | 380 | 0.123 | I | 151 | 350 | ПЦ203 | 2278 | 0.735 | II | 124 | 310 |
| Ц137-3 | 480 | 0.155 | I | 560 | 300 | ПЦ204 | 2306 | 0.744 | II | 340 | 280 |
| Ц134-3 | 620 | 0.200 | I | 550 | 390 | ПЦ205 | 2330 | 0.752 | II | 240 | 250 |
| Ц134-12 | 800 | 0.258 | I | 230 | ПЦ206 | 2356 | 0.760 | II | 168 | 310 | |
| Ц44 | 950 | 0.307 | I | 640 | 220 | ПЦ207 | 2390 | 0.771 | II | 176 | 240 |
| Ц65,65/5 | 1030 | 0.332 | I | 240 | 420 | ПЦ212 | 2407 | 0.777 | II | 200 | 250 |
| Ц65-13 | 1035 | 0.334 | I | 320 | 350 | ПЦ106 | 2415 | 0.779 | II | 220 | 180 |
| Ц65-1 | 1050 | 0.339 | I | 179 | 440 | ПЦ211 | 2433 | 0.785 | II | 89 | 330 |
| Ц41 | 1640 | 0.529 | I | 163 | 420 | ПЦ110 | 2460 | 0.794 | II | 111 | 310 |
| Ц100 | 1690 | 0.545 | I | 310 | 240 | ПЦ209 | 2484 | 0.801 | II | 166 | 380 |
| Ц40-2 | 1710 | 0.552 | II | 138 | 220 | ПЦ208 | 2510 | 0.810 | II | 130 | 330 |
| Ц102 | 1750 | 0.565 | II | 210 | 230 | ПЦ213 | 2532 | 0.817 | II | 220 | 350 |
| Ц113-1 | 1900 | 0.613 | II | 168 | 270 | ПЦ214 | 2561 | 0.826 | II | 165 | 370 |
| Ц104 | 1930 | 0.623 | II | 142 | 230 | ПЦ108-2 | 2770 | 0.894 | II | 124 | 440 |
| ПЦ189 | 1980 | 0.639 | II | 176 | 280 | ПЦ108-1 | 2840 | 0.916 | II | 93 | 400 |
| ПЦ170 | 2060 | 0.665 | II | 88 | 290 | ПЦ35 | 2890 | 0.932 | II | 25 | 380 |
| Ц106 | 2180 | 0.703 | II | 85 | 280 | ПЦ66 | 2960 | 0.955 | II | 119 | 330 |
| ПЦ201 | 2235 | 0.721 | II | 124 | 290 | ||||||
* Номер профиля опробования на соответствующем интрузиве (см. рис. 2).
Никель в породах в отсутствии сульфидов концентрируется в оливине, и взаимосвязь между их распределениями видна во всех трех интрузивах как на корреляционных графиках, так на графиках распределений никеля и оливина по высоте в разрезах массивов (рис. 3, 5, 7).
Рис. 3.
Распределение содержаний оливина и никеля в вертикальном разрезе Киваккского интрузива и корреляция между ними.

Рис. 4.
Распределение содержаний плагиоклаза и стронция в вертикальном разрезе Киваккского интрузива и корреляция между ними.

Рис. 5.
Распределение содержаний оливина и никеля в вертикальном разрезе Луккулайсваарского интрузива и корреляция между ними.

В породах массивов Кивакка и Луккулайсваара видны четкие корреляции содержаний стронция и нормативного плагиоклаза как относительно друг друга, так и по высоте в разрезах (рис. 4 и 6). В породах интрузива Ципринга несмотря на то, что корреляция между содержаниями стронция и плагиоклаза отсутствует, характер распределения содержаний по высоте в разрезе на рис. 8 не оставляет сомнений в том, что распределение Sr в массиве контролируется плагиоклазом.
Рис. 6.
Распределение содержаний плагиоклаза и стронция в вертикальном разрезе Луккулайсваарского интрузива и корреляция между ними.

Рис. 7.
Распределение содержаний оливина и никеля в вертикальном разрезе Ципрингского интрузива и корреляция между ними.

Рис. 8.
Распределение содержаний плагиоклаза и стронция в вертикальном разрезе Ципрингского интрузива и корреляция между ними.

Кроме вышеизложенного, во многих случаях специфика локализации вторичных минералов свидетельствует о том, что вторичные процессы протекали в условиях закрытой системы: по железомагнезиальным ортомагматическим минералам развивались железомагнезиальные вторичные минералы, а по кальцийсодержащим – кальцийсодержащие низкотемпературные минералы.
Таким образом, можно утверждать, что вторичные изменения пород обсуждаемых интрузивов имели изохимический характер. Следует заметить, что степень вторичных изменений минимальна в породах Киваккского массива и максимальна в породах интрузива Луккулайсваара.
РЕЗУЛЬТАТЫ КЛАСТЕРНОГО АНАЛИЗА
Кластерный метод, являясь строгим количественным методом анализа многомерных множеств, тем не менее содержит два субъективных пункта. Первый из них связан с формированием выборки, которую нужно разбить на группы, а второй – с выбором шага объединения, на котором следует остановиться, т.е. с выбором количества кластеров и их состава.
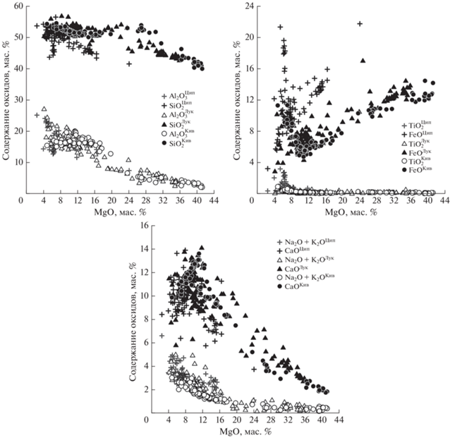
Для кластерного анализа в выборку включены полученные в нашей исследовательской группе опубликованные ранее силикатные анализы горных пород массивов (Коптев–Дворников и др., 2001; Семенов и др., 1995; Glebovitsky et al., 2001): всего 303 анализа: 124 из них – пробы массива Луккулайсваара, 92 – Ципринга и 87 – Кивакка. Разнообразие составов горных пород, слагающих интрузивы, демонстрируют вариационные диаграммы на рис. 9.
Рис. 9.
Вариационные диаграммы составов изверженных пород, слагающих Киваккский, Луккулайсваарский и Ципрингский интрузивы.

Совместная обработка химических анализов пород трех массивов проводилась с целью выяснения сходства и различия наборов кумулатов в этих интрузивах и, поскольку все пробы привязаны к вертикальной координате в разрезах, то и с целью выявления сходства и различия распределения кумулатов в разрезах.
Что касается второго субъективного момента, то мы преследовали цель получить такую петрохимическую классификацию, которая приближалась бы к принятой нами петрографической (кумулятивной), имеющей генетический смысл. Сопоставление петрохимических типов и структурно-петрографических видов пород, выполненное нами ранее с методической целью для массивов с менее измененными вторичными процессами породами (Киваккский, Йоко-Довыренский, Бураковский и др.), показало, что если нормативное содержание пироксена в породе с кумулятивной структурой превышает 10 об. %, а плагиоклаза – 25 об. %, то эти минералы имеют, как правило, кумулятивную природу, если меньше – то интеркумулятивную. Результаты кластерного анализа раздельных выборок силикатных анализов пород Киваккского и Ципрингского интрузивов показали, что они четко подразделяется на кластеры (петрохимические типы), отвечающие этим эмпирическим критериям, т.е. эти кластеры могут быть интерпретированы как соответствующие кумулаты.
Сопоставление петрохимических типов со структурно-петрографическими видами пород Киваккского и Ципрингского интрузивов показывает их хорошее соответствие (в табл. 2, 3 – сопоставление проведено только по породам, не измененным вторичными процессами).
Таблица 2.
Сопоставление петрохимических типов и структурно-петрографических видов пород в Киваккском интрузиве
| Структурно-петрографическиевиды | Петрохимические типы | |||||||
|---|---|---|---|---|---|---|---|---|
| Кл.1 | Кл.2 | Кл.3 | Кл.4 | Кл.5 | Кл.6 | Кл.7 | Кл.8 | |
| Оливиниты | 9 | 2 | ||||||
| Гарцбургиты | 5 | 2 | ||||||
| Бронзититы | 9 | |||||||
| Нориты | 22 | |||||||
| Габбронориты | 1 | 21 | 2 | |||||
| Габбронориты пижонитовые | 11 | 3 | ||||||
Таблица 3.
Сопоставление петрохимических типов и структурно-петрографических видов пород в Ципрингском интрузиве (по породам, не измененным вторичными процессами)
| Структурно-петрографическиевиды | Петрохимические типы | ||||||
|---|---|---|---|---|---|---|---|
| Кл.1 | Кл.2 | Кл.3 | Кл.4 | Кл.5 | Кл.6 | Кл.7 | |
| Меланотроктолиты | 1 | ||||||
| Мезотроктолиты | 9 | 1 | |||||
| Лейкотроктолиты | 1 | 7 | 1 | ||||
| Оливиновые габбро | 3 | ||||||
| Габбронориты | 7 | ||||||
| Магнетит, содержащий габбронориты | 2 | ||||||
| Магнетитовые габбронориты | 2 | ||||||
Справедливость допущений, принятых для вышеупомянутой кумулятивной интерпретации нормативных содержаний минералов для Луккулайсваарского интрузива не может быть предварительно оценена из-за сильных вторичных изменений. Тем не менее, поскольку эти критерии оказались справедливы для существенно различающихся по составу материнских магм и набором кумулатов Киваккского, Ципрингского, Бураковского и Йоко-Довыренского массивов, можно с достаточной уверенностью распространить их (критерии) и на породы Луккулайсваарского интрузива, тем более что состав его исходной магмы относится к тому же марианит-бонинитовому типу, что и магма Киваккского массива.
В соответствии с ранее упомянутыми критериями выделения кумулятивных минералов, полученные кластеры объединены в 12 петрохимических групп и подгрупп по признаку одинакового набора кумулятивных минералов в каждой группе (табл. 4).
Группы названы по кумулятивному парагенезису:
1. Оливиниты. Группа представлена исключительно оливиновыми кумулатами Киваккского массива.
2. Бронзититы. В группу бронзитовых кумулатов входят образцы двух массивов: Кивакка и Луккулайсваара.
3. Гарцбургиты. Оливин-бронзитовые кумулаты присутствуют в массивах Кивакка и Луккулайсваара.
4. Нориты. Плагиоклаз-бронзитовый кумулат присутствуют в массивах Кивакка и Луккулайсваара.
5. Троктолиты. Группа оливин-плагиоклазовых кумулатов четко подразделяется на две подгруппы: мезо- и лейкотроктолитов. Этот кумулятивный парагенезис наблюдается только в Ципрингском массиве.
6. Габбронориты. В эту группу объединены плагиоклаз-пироксеновые кумулаты. Она подразделяется на четыре подгруппы, из которых породы подгруппы собственно габброноритов принадлежат Киваккскому и Луккулайсваарскому интрузивам. Остальные три подгруппы, различающиеся содержанием кумулятивного магнетита, в которых ортопироксен представлен претерпевшим инверсию пижонитом, объединяют породы массива Ципринга.
7. Оливиновые габбро. Группа представлена трехминеральным плагиоклаз-клинопироксен-оливиновым кумулатом. Оливиновое габбро присутствует только в массиве Ципринга.
8. Пижонитовые кварцсодержащие габбронориты не образуют общего кластера. Признаком для их выделения послужили присутствие нормативного кварца (до 6%) и самые высокие для каждого массива содержания некогерентного фосфора (Коптев–Дворников и др., 2001; Семенов и др., 1995; Glebovitsky et al., 2001). По положению в разрезе они отвечают сэндвичевым горизонтам, являясь низкотемпературными дифференциатами.
Данные в табл. 4 убедительно демонстрируют, что в результате формализованной классификации химических составов горных пород трех плутонов методом кластерного анализа породы массивов Луккулайсваара и Кивакка объединяются в общие петрохимические группы, в то время как породы Ципрингского интрузива образуют группы с отличающимися кумулятивными парагенезисами.
СРАВНЕНИЕ ВЕРТИКАЛЬНЫХ РАЗРЕЗОВ МАССИВОВ И ТИПОВ РИТМИЧНОСТИ В НИХ
Образцы, использованные для кластерного анализа, охватывают полный вертикальный разрез каждого из массивов. Пробы имеют привязку к вертикальной координате в разрезе, что позволяет выявить положение в разрезах массивов выделенных в результате кластерного анализа петрохимических групп и распределение установленных по формальным критериям кумулятивных парагенезисов. Поскольку массивы имеют разную мощность вертикального разреза, удобнее сопоставлять не абсолютные, а относительные высоты (абсолютная высота пробы в разрезе, отнесенная к мощности массива) (рис. 10).
Рис. 10.
Опорные разрезы Киваккского (а), Луккулайсваарского (б) и Ципрингского (в) интрузивов. Распределение петрохимических групп и кумулятивных минералов в вертикальном разрезе массивов. 1 – сэндвичевый горизонт; 2 – габбронориты; 3 – нориты; 4 – бронзититы; 5 – гарцбургиты; 6 – оливиниты; 7 – магнетитсодержащие пижонитовые габбронориты; 8 – магнетит-пижонитовые габбронориты; 9 – пижонитовые габбронориты; 10 – лейкократовые троктолиты; 11 – троктолиты; 12 – оливиновые габбро.

Нетрудно видеть совпадение с ранее предложенными стратиграфическими характеристиками метровой расслоенности и ее положением в разрезе для Киваккского и Ципрингского массивов (Коптев–Дворников и др., 2001; Семенов и др., 1995; Glebovitsky и др., 2001). Здесь неожиданностей не появилось.
В Луккулайсваарском массиве все выглядит иначе. Ранее в строении габброидной части разреза Луккулайсваарского интрузива выделяли две повторяющиеся последовательности зон норитов I, габброноритов I и норитов II, габброноритов II (Glebovitsky и др., 2001). В результате формализованной классификации горных пород Луккулайсваарского массива методом кластерного анализа выяснилось, что вместо двукратной смены в разрезе норитов габброноритами проявилось сквозное крупномасштабное (порядка 100–200 м) переслаивание норитов и габброноритов, захватывающее всю габброидную толщу расслоенной серии. При этом в двучленных ритмах снизу вверх растет относительная мощность габброноритов и уменьшается норитов.
Таким образом, построение опорных разрезов для всех интрузивов, основанное на результатах кластерного анализа, показывает, что несмотря на близкий возраст и единую тектоническую обстановку, вертикальные разрезы массивов значительно отличаются.
ОБСУЖДЕНИЕ
Совместный анализ пространственной и внепространственной структур трех интрузивов выявил, что набор кумулятивных парагенезисов и их последовательность в разрезах свидетельствуют о разном порядке кристаллизации материнских магм. Средневзвешенный состав пород Киваккского массива характеризуется высоким содержанием магния, относительно высоким содержанием кремнезема и низким содержанием оксида титана (Коптев–Дворников и др., 2001). По этим признакам состав отвечает магмам марианит-бонинитового ряда (Богатиков и др., 1987). Средневзвешенный состав Луккулайсваарского интрузива также относится к магмам марианит-бонинитового ряда, но с меньшим содержанием магния и более высоким кремнезема, чем средневзвешенный состав Киваккского массива (Glebovitsky и др., 2001). Средневзвешенный состав Ципрингского интрузива и набор его кумулятивных парагенезисов характерны для магм толеитового типа с повышенными содержаниями железа и глинозема (Семенов и др., 1995). Средневзвешенные составы трех массивов приведены в табл. 5.
Таблица 5.
Средневзвешенные составы интрузивов
| Компоненты | Киваккский | Луккулайсваарский | Ципрингский |
|---|---|---|---|
| SiO2 | 49.84 | 51.74 | 49.82 |
| TiO2 | 0.23 | 0.27 | 0.58 |
| Al2O3 | 12.54 | 15.29 | 17.92 |
| FeO | 8.96 | 7.79 | 10.37 |
| MnO | 0.16 | 0.16 | 0.15 |
| MgO | 18.11 | 12.75 | 8.17 |
| CaO | 8.4 | 9.67 | 9.73 |
| Na2O | 1.51 | 1.98 | 2.73 |
| K2O | 0.23 | 0.31 | 0.46 |
| P2O5 | 0.02 | 0.03 | 0.06 |
Эти составы были использованы в качестве исходных для внедрившихся магм при моделировании динамики формирования Киваккского и Ципрингского интрузивов с помощью программы КОМАГМАТ версии 3.5 (Арискин, Бармина, 2000; Френкель и др., 1988; Френкель, 1995). Результаты численного моделирования динамики формирования Киваккского интрузива (Коптев–Дворников и др., 2011, 2012; Bychkova и др., 2019) демонстрируют, что кристаллизация средневзвешенного состава, принятого в качестве родительской магмы, происходит в том же порядке, в котором сменяются кумулятивные парагенезисы в вертикальном разрезе массивов и при этом удается количественно воспроизвести распределение главных и примесных химических элементов в разрезе. Можно сделать обоснованный вывод, что Киваккский и Ципрингский интрузивы сформировались в результате одноактных внедрений магм и дифференциации in situ.
Выявленные ранее и установленные в настоящей статье характеристики строения массива Луккулайсваара делали бесперспективным моделирование его формирования с помощью программы КОМАГМАТ, поскольку в КОМАГМАТ’е используется весьма упрощенный способ моделирования внутрикамерной конвекции.
Различающиеся по исходному составу магм и порядку кристаллизации Киваккский и Ципрингский интрузивы имеют схожие характеристики ритмической расслоенности: метровая мощность ритмов и приуроченность к участкам изменения кумулятивных парагенезисов. Однако в Киваккском массиве ритмическое переслаивание бронзититов и норитов происходит в нижней половине разреза, т.е. отвечает относительно раннему этапу формирования массива, тогда как в Ципрингском интрузиве чередование магнетит-пижонитовых габброноритов и пижонитовых габброноритов наблюдается в верхних частях разреза, т.е. на относительно поздних стадиях кристаллизации.
В то же время относящиеся к близкому типу исходных магм и одинаковому набору кумулатов интрузивы Кивакка и Луккулайсваара имеют явно различный характер ритмичности.
Наличие вставленных в расслоенную серию Луккулайсваарского массива тел микрогаббро и другой стиль ритмичности могут свидетельствовать о дополнительных внедрениях, а могут и отражать другой сценарий внутрикамерной конвекции магм. Одним из путей решения этой дилеммы является формализация высказанной ранее струйно-суспензионной гипотезы (Бычкова, Коптев–Дворников, 2004) и превращение ее в численную системную модель, что позволит количественно рассмотреть различные варианты возникновения инверсии плотности в магматической камере, что, в свою очередь, может привести к различающемуся характеру конвективных течений.
ВЫВОДЫ
1. Олангская группа – компактный исследовательский полигон для проверки петрогенетических концепций. Несмотря на возрастную и пространственную близость три интрузива имели разный состав исходных магм, различные наборы кумулятивных парагенезисов, различное внутреннее строение и характер ритмической расслоенности.
2. С помощью кластерного анализа содержаний главных элементов восстановлены кумулятивные парагенезисы в изохимически измененных горных породах Ципрингского и Луккулайсваарского интрузивов.
3. Анализ пространственной и внепространственной структур массивов показал, что набор кумулятивных парагенезисов и их последовательность в разрезах интрузивов подтверждают отнесение интрузивов Кивакка и Луккулайсваара к производным магм, отвечающих по составу бонинит-марианитовому ряду, а материнской магмы массива Ципринга – к толеитам с повышенными содержаниями железа и глинозема.
4. В строении разрезов массивов Кивакка и Ципринга, несмотря на разный состав исходных магм и разный порядок кристаллизации имеют место четкое разделение на зоны по кумулятивным парагенезисам, на границах зон наблюдается ограниченное развитое ритмическое переслаивание (с мощностью ритмов от первых метров до первых десятков метров). В противоположность этому в Луккулайсваарском интрузиве нет четкого выделения кумулятивных зон, и по всей мощности массива установлено крупномасштабное ритмическое переслаивание (мощности ритмов от первых десятков до первых сотен метров).
Благодарности. Мы посвящаем эту публикацию памяти семьи Куликовых, известных исследователей магматических объектов Балтийского щита. Виктория Владимировна и Вячеслав Степанович Куликовы и их дочь Яна Вячеславовна Бычкова (в девичестве Куликова) представляют семью, члены которой объединены не только родственными связями, но и общей интеллектуальной деятельностью (см., например (Куликов и др., 2008) и многие другие). Я.В. Бычкова состоялась как исследователь процессов магматической эволюции и, в частности, проблемы генезиса контрастной ритмической расслоенности в мафит-ультрамафитовых массивах на материале дифференцированных интрузивов Олангской группы. В своих изысканиях она успешно сочетала унаследованные от родителей приемы полевых исследований изверженных горных пород в условиях Крайнего Севера с глубоким анализом полученных ею геохимических и петрографических материалов, включая методы численного моделирования (Бычкова, 2003, Bychkova и др., 2019), что позволило ей убедительно обосновать многослойно-суспензионную гипотезу образования ритмической расслоенности киваккского типа.
Мы искренне благодарим Редколлегию и рецензентов журнала “Петрология” за рассмотрение рукописи статьи и полезные замечания, послужившие улучшению качества публикации.
Список литературы
Амелин Ю.В., Семенов В.С. О возрасте и источнике магм нижнепротерозойских расслоенных интрузий Карелии // Тез. докл. “Изотопное датирование эндогенных рудных формаций”. Тбилиси. 1990. С. 40–42.
Арискин А.А., Бармина Г.С. Моделирование фазовых равновесий при кристаллизации базальтовых магм. М.: МАИК “Наука/Интерпериодика”, 2000.
Барков А.Ю., Ганнибал Л.Ф., Рюнгенен Г.И., Балашов Ю.А. Датирование цирконов из расслоенного массива Кивакка, Северная Карелия // Методы изотопной геологии. Тез. докл. Всесоюзной школы-семинара. Звенигород. 1991. С. 21–23.
Богатиков О.А., Косарева Л.В., Шарков Е.В. Средние химические составы магматических горных пород. Справочник. М.: Недра, 1987. 152 с.
Богачев А.И. Куликов В.С., Пекуров А.В., Слюсарев В.Д. Новые данные по геологии и магматизму синклинорной зоны Ветреного Пояса // Вулканогенные и гипербазитовые комплексы протерозоя Карелии. Тр. Ин-та геологии. Петрозаводск: Карельский филиал АН СССР, 1968. С. 5–25.
Бычкова Я.В. Закономерности строения контрастной ритмической расслоенности в Киваккском интрузиве. Дис. … канд. геол.-мин. наук. М.: МГУ, 2003.
Бычкова Я.В., Коптев–Дворников Е.В. Ритмическая расслоенность Киваккского типа: геология, петрография, гипотеза формирования // Петрология. 2004. Т. 12. № 3. С. 281–302.
Бычкова Я.В., Коптев–Дворников Е.В., Кононкова Н.Н., Каменева Е.Е. Составы породообразующих минералов Киваккского расслоенного массива (Северная Карелия) и закономерности вариаций состава минералов подзоны ритмического переслаивания // Геохимия. 2007. № 2. С. 159–179.
Бычкова Я.В., Бычков А.Ю., Бычков Д.А. Методы геохимических исследований. Часть 2. Многоэлементный анализ примесей в геологических пробах методом ИСП-МС (подготовка к измерению и обработка данных). М.: Книга-Мемуар, 2019. 88 с.
Клюнин С.Ф., Гроховская Т.Л., Захаров А.А., Соловьева Т.В. Геология и перспективы платиноносности Олангской группы массивов (Северная Карелия) // Геология и генезис месторождений платиновых металлов. М.: Наука, 1994. С. 111–125.
Коптев–Дворников Е.В., Киреев Б.С., Пчелинцева Н.Ф., Хворов Д.М. Распределение кумулятивных парагенезисов, породообразующих и второстепенных элементов в вертикальном разрезе Киваккского интрузива (Олангская группа интрузивов, Северная Карелия) // Петрология. 2001. Т. 9. № 1. С. 3–27.
Коптев–Дворников Е.В., Ярошевский А.А., Вейс В.А. Направленная кристаллизация не является механизмом магматической эволюции // Вестн. ОНЗ РАН. 2011. Т. 3. № 6040.
Коптев–Дворников Е.В., Арьяева Н.С., Бычков Д.А. Уравнение термобарометра для описания сульфид-силикатной ликвации в базитовых системах // Петрология. 2012. Т. 20. № 5. С. 1–18.
Куликов В.С., Бычкова Я.В., Куликова В.В., Костицын Ю.А. Интрузив Руйга как типовой представитель малоглубинной фации палеопротерозойской перидотит-габбро-коматиит-базальтовой ассоциации Ветреного Пояса, Юго-Восточная Фенноскандия // Петрология. 2008. Т. 16. № 6. С. 571–592.
Лавров М.М. Гипербазиты и расслоенные перидотит-габбро-норитовые интрузии докембрия Северной Карелии. Л.: Наука, 1979.
Семенов С.В. Генетические типы Fe-Ni-Cu-сульфидного и платинометального оруденения в расслоенном базит-ультрабазитовом интрузиве Луккулайсваара (Северная Карелия). Дис. … канд. геол.-мин. наук. СПб.: ИГГД РАН, 2012.
Семенов В.С., Коптев–Дворников Е.В., Берковский А.Н. и др. Расслоенный троктолит-габбро-норитовый интрузив Ципринга, Северная Карелия: геологическое строение, петрология // Петрология. 1995. Т. 3. № 6. С. 1–23.
Семенов В.С., Беляцкий Б.В., Кольцов А.Б. и др. Метасоматиты расслоенного комплекса Луккулайсваара и связанная с ним платинометальная минерализация (Олангская группа интрузий, Северная Карелия) // Петрология. 1997. Т. 5. № 2. С. 137–159.
Трубицын В.П., Харыбин Е.В. Обобщенная неустойчивость Рэлея-Тейлора для суспензий, седиментационная конвекция // Физико-химическая кинетика в газовой динамике. 2012. Т. 13. № 1. С. 1–19.
Френкель М.Я., Ярошевский А.А., Арискин А.А. и др. Динамика внутрикамерной дифференциации базитовых магм. М.: Наука, 1988. 213 с.
Френкель М.Я. Тепловая и химическая динамика дифференциации базитовых магм. М.: Наука, 1995. 239 с.
Шмыгалев В.И. Интрузии основных и ультраосновных пород Олангской группы // Вулканогенные и гипербазитовые комплексы протерозоя Карелии. Тр. Ин-та геологии. Петрозаводск: Карельский филиал АН СССР, 1968. С. 209–219.
Ярошевский А.А. О происхождении ритмических структур изверженных горных пород // Геохимия. 1970. № 5. С. 562–574.
Alapieti T. The Koillismaa layered igneous complex, Finland-Its structure, mineralogy, and geochemistry, with emphasis on the distribution of chromium // Geol. Sur. Finland Bull. 1982. V. 319.
Amelin Y.V., Semenov V.S. Nd and Sr isotope geochemistry of the mafic layered intrusions of the Baltic Shield: Constraints on the origin of early Proterozoic and “boninitic” magmas // Contrib. Mineral. Petrol. 1996. V. 124. P. 255–272.
Amelin Y.V., Heaman L.M., Semenov V.S. U-Pb geochronology of layered mafic intrusions in the eastern Baltic Shield: Implications for the timing and duration of Paleoproterozoic continental rifting // Precambr. Res. 1995. V. 75. № 1–2. P. 31–46.
Bychkova Y.V., Mikliaeva E.P., Koptev–Dvornikov E.V. et al. Proterozoic Kivakka layered mafic-ultramafic intrusion, Northern Karelia, Russia: Implications for the origin of granophyres of the upper boundary group // Precambr. Res. 2019. V. 331. P. 105381.
Glebovitsky V.A., Semenov V.S., Belyatsky B.V., Koptev–Dvornikov E.V. The structure of the Lukkulaisvaara intrusion, Oulanka group, northern Karelia: Petrological implications // Canada Mineral. 2001. V. 39. № 2. P. 607–637.
Namur O., Bénédicte Abily, Boudreau A.E. et al. Igneous layering in basaltic magma chambers // Layered Int. 2015. https://doi.org/10.1007/9789401796521
Turchenko S.I., Semenov V.S., Amelin Ju.V., Levchenkov O.A. The early Proterozoic riftogenic belt of northern Karelia and associated Cu-Ni, PGE and Cu-Au mineralizations // Geologiska Föreningen i Stockholm Förhandlingar. 1991. V. 113. № 1. P. 70–72.
Wager L.R., Deer W.A. Geological investigations in East Greenland, Pt. III. The petrology of the Skaergaard Intrusion, Kangerdlugssuaq, East Greenland // Medd. Grønl. 1939. V. 105. P. 1–352.
Ward Jr J. H. Hierarchical grouping to optimize an objective function // J. Amer. Statist. Assoc. 1963. V. 58. № 301. P. 236–244.
Дополнительные материалы отсутствуют.



