Петрология, 2022, T. 30, № 5, стр. 520-544
Состав и изотопные параметры метабазальтов и габброидов Онотского гранит-зеленокаменного блока (юго-запад Сибирской платформы) как индикаторы эволюции литосферной мантии от архея к палеопротерозою
О. М. Туркина a, b, *, А. Э. Изох a, b, А. В. Лавренчук a, b, Я. Ю. Шелепов a, b
a Институт геологии и минералогии СО РАН
Новосибирск, Россия
b Новосибирский государственный университет
Новосибирск, Россия
* E-mail: turkina@igm.nsc.ru
Поступила в редакцию 12.11.2021
После доработки 08.12.2021
Принята к публикации 14.01.2022
- EDN: FDBXBR
- DOI: 10.31857/S0869590322040069
Аннотация
Суммированы данные по содержанию главных и редких элементов и Sm-Nd изотопному составу метабазитов (амфиболитов) и габброидов Онотского блока (Шарыжалгайский выступ, юго-запад Сибирского кратона). Онотский блок образован тектонически совмещенными пластинами, сложенными палеоархейским тоналит-трондъемит-гранодиоритовым (ТТГ) комплексом и метаосадочно-вулканогенным комплексом одноименного зеленокаменного пояса (ЗКП). Мезоархейские (∼2.88 млрд лет) метабазальты (амфиболиты) зеленокаменного пояса и палеопротерозойские (∼1.86 млрд лет) интрузивные габбронориты и габброиды мелких тел формировались в обстановках рифтогенного и постколлизионного растяжения соответственно. Архейские амфиболиты ЗКП и из включений в породах ТТГ-комплекса по составу отвечают низкотитанистым толеитовым базальтам и андезитобазальтам. Породы базальтового состава характеризуются плоскими редкоземельными спектрами ((La/Sm)n = 0.9–1.9), обеднением Nb относительно Th и La (Nb/Nb* = 0.4–1.1) и широким диапазоном преимущественно положительных εNd(Т) (от +5.2 до –1.0). Обогащение некогерентными элементами, Eu-минимум и отрицательные εNd(Т) амфиболитов андезибазальтового состава являются результатом контаминации палеоархейскими плагиогнейсами сиалического основания ЗКП. Палеопротерозойские габбронориты имеют высокое значение Mg# и крайне низкие концентрации Ti и некогерентных элементов. Они характеризуются низкими значениями (Nb/Y)РМ (0.8–1.0) в сочетании с отрицательными εNd(Т) (от 0 до –1.4) и слабым обогащением легкими РЗЭ и Th относительно Nb. Габброиды мелких тел имеют низкие значения (La/Sm)n, положительные εNd(Т) от +2.8 и +0.3 и отрицательную Nb-аномалию (Nb/Nb* = 0.3–0.4). Характерные черты редкоэлементного состава и результаты расчетного моделирования свидетельствуют о формировании амфиболитов, габброноритов и габбро преимущественно из слабо деплетированных мантийных источников. Изотопный состав Nd палеопротерозойских габброидов обусловлен эволюцией архейской литосферной мантии. Вариации изотопного и редкоэлементного состава амфиболитов отражают исходно деплетированный характер мезоархейской мантии и ее метасоматическое преобразование при воздействии флюидов/расплавов, предшествующее плавлению на рубеже ∼2.88 млрд лет. Геохимические и изотопные Nd характеристики габброноритов и габброидов свидетельствуют об увеличении гетерогенности литосферной мантии к палеопротерозою, обусловленной предшествующими архейскими процессами. Различная степень деплетирования Nb относительно Th и La как архейских, так и палеопротерозойских базитов является результатом метасоматоза мантийного субстрата и не отражает геодинамические условия их формирования.
ВВЕДЕНИЕ
Раннедокембрийские породы основного состава: базальты и габброиды являются основным источником информации о составе мантии и ее эволюции на протяжении архея и палеопротерозоя. Анализ изотопного состава Nd в породах раннего докембрия выявил наличие деплетированного мантийного резервуара, начиная с палеоархея, и линейное или нелинейное изменение его εNd(Т) во времени – 3.9–1.8 млрд лет (Bennet, 2003). Базальты архейских зеленокаменных поясов характеризуются преимущественно положительными значениями εNd(Т), отражающими их формирование из деплетированной мантии (Polat, 2009; Polat et al., 1999, 2008; Tomlinson et al., 2002; Sandeman et al., 2006; Said et al., 2009; Furnes et al., 2013; Szilas et al., 2015; Cook et al., 2016). В то же время, согласно исследованиям последнего десятилетия, для ряда палеопротерозойских дайковых и интрузивных комплексов были установлены отрицательные значения εNd(Т), свидетельствующие о долгоживущих обогащенных источниках литосферной мантии (Гонгальский и др., 2008; Sandeman et al., 2013; Hughes et al., 2014; Humbert et al., 2020). Геохимический анализ базальтов древнейшего зеленокаменного пояса Исуа в Западной Гренландии (~3.8 млрд лет) выявил гетерогенность их мантийных источников, варьирующих от деплетированных до слабо обогащенных (Komiya et al., 2004). Различия между этими источниками были относительно малы в сравнении с таковыми в мантийных источниках современных базальтов спрединговых хребтов (MORB) и океанических островов (OIB). По данным (Condie, 2018), раннеархейские базальты не обнаруживают резко выраженных геохимических характеристик, обусловленных генерацией из обогащенных или деплетированных мантийных резервуаров. Геохимические сигнатуры, присущие обогащенным, деплетированным и гидратированным (преобразованным под действием флюида) мантийным источникам, более отчетливо проявлены у базальтов, формировавшихся в течение переходного периода геологической истории от 3 до 2 млрд лет.
В Онотском гранит-зеленокаменном блоке Шарыжалгайского выступа (юго-западная часть Сибирского кратона) установлены мафические ассоциации двух возрастных уровней. Мезоархейские (∼2.88 млрд лет) метабазальты (амфиболиты) представлены в разрезе зеленокаменного пояса (Turkina et al., 2020). К палеопротерозойскому этапу (∼1.86 млрд лет) относится формирование массивов и более мелких тел недеформированных постскладчатых габброноритов и габброидов. Наличие в Онотском блоке разновозрастных базитовых комплексов позволяет проследить изменение характера литосферной мантии от архея к палеопротерозою и оценить время формирования обогащенных мантийных источников. В настоящей работе представлены геохимические и изотопные (Sm-Nd) данные по разновозрастным амфиболитам и габброидам Онотского блока с целью определить характер мантийных источников раннедокембрийских мафических пород.
ГЕОЛОГИЧЕСКАЯ ХАРАКТЕРИСТИКА ОНОТСКОГО БЛОКА
Шарыжалгайский выступ является южным обнаженным окончанием Тунгусской провинции фундамента Сибирской платформы (рис. 1а). Он состоит из четырех блоков (с северо-запада на юго-восток): Булунского, Онотского, Китойского и Иркутного, ограниченных региональными разломами северо-западного и субмеридионального простирания. Китойский и Иркутный террейны сложены палеоархей-палеопротерозойскими магматическими и осадочными породами, метаморфизованными в условиях амфиболитовой и гранулитовой фаций (Ножкин, Туркина, 1993; Poller et al., 2005; Turkina et al., 2012). Онотский и Булунский террейны образованы палеоархейскими (3.4–3.3 млрд лет) породами тоналит-трондьемит-гранодиоритового (ТТГ) комплекса и метаосадочно-вулканогенными последовательностями зеленокаменных поясов (Ножкин и др., 2001; Бибикова и др., 2006; Туркина, Ножкин, 2008; Туркина и др., 2009). Формирование структуры Шарыжалгайского мегаблока завершилось в результате позднепалеопротерозойских аккреционно-коллизионных событий, что фиксируется метаморфизмом и интрузивным, преимущественно гранитоидным магматизмом на рубеже 1.88–1.84 млрд лет во всех его блоках (Донская и др., 2002; Poller et al., 2004; Туркина, Капитонов, 2019 и ссылки в этой работе; Donskaya, 2020).
Рис. 1.
Геологическая схема Шарыжалгайского выступа. 1 – метаосадочно-вулканогенные комплексы зеленокаменных поясов Булунского и Онотского блоков, 2 – палеоархейские плагиогнейсы и плагиогранитоиды ТТГ-комплекса, 3 – гранулитогнейсовые комплексы Иркутного и Китойского блоков, 4 – маркирующие горизонты, 5 – архейские гранитоиды, 6 – архей-палеопротерозойские гранитоиды нерасчлененные, 7 – палеопротерозойские гранитоиды, 8 – тектонические границы: а – разломы, б – надвиги, 9 – геологические границы (а), несогласного залегания (б). На врезке (а): Главные тектонические элементы Сибирского кратона: 1 – выступы фундамента, 2 – погребенный фундамент, 3 – палеопротерозойские орогенные пояса. На врезке (б): Схема блоков Шарыжалгайского выступа.

Онотский блок протягивается с северо-запада (бассейн р. Онот) на юго-восток (р. Китой) на расстояние более 80 км при ширине от 8–10 до 20 км (рис. 1). С юго-запада по Алагнино-Холомхинскому разлому Онотский блок граничит с Китойским, а с востока Онотский блок отделен от Иркутного Дабадским разломом. На северо-востоке комплексы Онотского блока несогласно перекрыты венд-кембрийскими отложениями чехла Сибирской платформы. Онотский блок образован тектонически совмещенными пластинами, сложенными палеоархейским тоналит-трондьемит-гранодиоритовым комплексом и метаосадочно-вулканогенным комплексом одноименного зеленокаменного пояса (рис. 2) (Ножкин и др., 2001; Туркина, Ножкин, 2008). Породы двух комплексов подвержены деформациям и образуют пакет пластин, надвинутых на высокометаморфизованные породы Китойского блока. Гнейсовидные плагиограниты и плагиогнейсы (ТТГ-комплекс) обнажены, главным образом, на северо-западе и вдоль северо-восточной границы террейна, они образуют основание зеленокаменной последовательности (Ножкин и др., 2001; Туркина, Ножкин, 2008; Turkina et al., 2020). Палеоархейские (∼3.4 млрд лет) биотитовые плагиогнейсы и гнейсовидные плагиограниты содержат многочисленные субпластовые тела и будины амфиболитов и имеют состав, типичный для архейских высокоглиноземистых ТТГ-серий (Туркина, 2004; Бибикова и др., 2006).
Рис. 2.
Геологическая схема северо-западной части Онотского блока (Ножкин и др., 2001). 1 – современные аллювиальные отложения; 2 – платформенные отложения; 3–5 – породные ассоциации Онотского зеленокаменного пояса: 3 – амфиболиты, амфиболовые сланцы, метапелиты с горизонтами мраморов и железистых кварцитов, 4 – биотитовые и амфибол-биотитовые ортогнейсы с горизонтами амфиболитов и линзами мраморов в основании, 5 – маркирующие горизонты мраморов; 6 – ультрамафиты (метаперидотиты, тальк-серпентиновые сланцы); 7 – палеоархейские плагиогнейсы и плагиогнейсограниты (ТТГ-комплекс) с включениями амфиболитов; 8 – раннедокембрийские граниты Китойского блока; 9 – породные ассоциации гранулит-гнейсовой провинции Китойского блока; 10 – палеопротерозойские габброиды; 11 – палеопротерозойские гранитоиды; 12 – тектонические нарушения надвигового типа: а – установленные, б – предполагаемые; 13 – разломы (а) и другие геологические границы (б); 14 – элементы залегания слоистости. Буква в кружке (А) – Алзагайский габброноритовый массив.

По данным геологического картирования (Государственная …, 2006), отложения Онотского зеленокаменного пояса (ЗКП) характеризуются северо-западным простиранием с крутым падением на юго-запад и подразделяются на три толщи (свиты), имеющие между собой тектонические контакты, осложненные надвигами (рис. 2). Нижняя (малоиретская) толща трассируются вдоль юго-западной границы Онотского блока в южной его половине. Эта примерно 3000-метровой мощности толща состоит из светло-серых тонкозернистых и тонкополосчатых биотит-амфиболовых, амфибол-биотитовых и редко биотитовых микрогнейсов, а также будинообразных тел и редких тонких (до первых метров) прослоев тонкозернистых амфиболитов. На юго-востоке пояса в верхней части разреза установлены среднезернистые мраморы и кальцифиры.
Вторая камчадальская толща имеет мощность 1250–2500 м. Она сложена амфиболитами и амфиболовыми сланцами, мраморизованными доломитами и магнезитами в нижней части, а в верхней – тальк-хлоритовыми породами, хлорит-серицитовыми сланцами с прослоями известняков и доломитов, кварцитов и железистых кварцитов. Вышележащие отложения толщи Соснового Байца прослеживаются широкой полосой вдоль северо-восточной границы Онотского блока и характеризуются латеральной неоднородностью литологического состава. На северо-западе (бассейн р. Онот) она сложена преимущественно амфиболитами с горизонтами кварцитов, железистых кварцитов и хлорит-актинолитовых сланцев, сменяющихся биотитовыми, гранат-ставролит-биотитовыми и амфиболовыми сланцами. В центральной и юго-восточной части ЗКП (бассейн р. Малая Белая) увеличивается доля биотитовых и гранатсодержащих сланцев в средней и верхней части разреза. Мощность толщи существенно изменяется от 850–1150 м на северо-западе до 3500 м на юго-востоке.
Время формирования вулканитов ЗКП определено U-Pb методом по циркону из микрогнейсов (метариолиов) нижней толщи и составляет 2886 ± 8 млн лет (Turkina et al., 2020). Верхнюю границу образования ЗКП определяет минимальный возраст детритовых цирконов (∼2.75 млрд лет) из гранат-ставролитовых сланцев камчадальской толщи (Туркина и др., 2014). Отложения Онотского зеленокаменного пояса и ТТГ-комплекс метаморфизованы в условиях эпидот-амфиболитовой фации около 1.88 млрд лет назад (Туркина, Ножкин, 2008). И те, и другие секутся многочисленными посттектоническими интрузиями и жильными телами палеопротерозойских гранитоидов и, реже, габброидов. Наиболее крупный Шумихинский массив (1.86 млрд лет) сложен преимущественно биотитовыми гранодиоритами и гранитами А-типа (Донская и др., 2002; Туркина, Капитонов, 2017). Алзагайский габброидный массив расположен на правобережье р. Онот ниже устья р. Алзагайка и представляет в плане вытянутое тело (4 × 0.7 км), отдельные части которого смещены по разлому субмеридионального простирания. Массив имеет секущие контакты с амфиболитами камчадальской толщи и сложен габброноритами и оливиновыми габброноритами в различной степени амфиболизированными. Более мелкие тела амфиболизированных габброидов (видимого размера от первых метров до первых сотен метров) встречаются в районе горы Камчадал и р. Бибой, где они прорывают породы камчадальской свиты. В пользу палеопротерозойского возраста как габброноритов, так и габброидов свидетельствуют, с одной стороны, их секущие контакты с мезоархейскими породами ЗКП, а с другой – отсутствие деформаций, отражающих постскладчатый характер габброидов. Габбронориты секутся долеритовыми дайками неопротерозойского нерсинского комплекса, рассматриваемого в составе Иркутской крупной изверженной провинции (∼725–715 млн лет) (Ernst et al., 2016) и отвечающего последнему этапу эндогенной активности в Шарыжалгайском мегаблоке, что служит дополнительным аргументом в пользу палеопротерозойского возраста габброидов.
АНАЛИТИЧЕСКИЕ МЕТОДЫ
Содержание главных и редких элементов в породах определялись в ЦКП многоэлементных и изотопных исследований СО РАН (г. Новосибирск) рентгенофлюоресцентным методом на спектрометре ARL-9900 XL и методом ICP-MS на масс-спектрометре высокого разрешения ELEMENT (Finigan Mat) с ультразвуковым распылителем U-5000AT+ по методике (Николаева и др., 2008). На стадии химической подготовки образцов использовали сплавление с особо чистым метаборатом лития при 1050°С в платиновых тиглях с последующим растворением полученного сплава в разбавленной азотной кислоте. Для обеспечения стабильности полученного раствора поддерживали общую кислотность на уровне 5% HNO3 и добавляли следовые количества HF, что необходимо для корректного определения высокозарядных элементов. Сплавление при высокой температуре обеспечивает разложение практически всех наиболее трудновскрываемых минералов, которые могут быть концентраторами редкоземельных и высокозарядных элементов, а повышение кислотности и добавки HF в качестве комплексообразователя стабилизируют эти растворы и минимизируют потери высокозарядных элементов, которые могут происходить в результате гидролиза при низкой кислотности. Пределы обнаружения редкоземельных и высокозарядных элементов составляли от 0.005 до 0.1 мкг/г. Точность анализа в среднем – 2–5 отн. %.
Определение концентраций и изотопного состава Sm и Nd проводилось методом TIMS на мультиколлекторном термоионизационном масс-спектрометре двойной фокусировки TRITON Plus в ЦКП “Геоаналитик” Института геологии и геохимии им. академика А.Н. Заварицкого Уральского отделения Российской академии наук (ИГГ УрО РАН, г. Екатеринбург) в статическом режиме по методике, описанной в работе (Аникина и др., 2018). Холостое внутрилабораторное загрязнение равнялось 0.07 нг для Sm и 0.4 нг для Nd. Точность определения концентраций Sm и Nd составляла ±1% (2σ), изотопных отношений 147Sm/144Nd ±0.3% (2σ), 143Nd/144Nd ±0.003% (2σ) (см. табл. 2). Измеренные отношения 143Nd/144Nd были нормализованы к 148Nd/144Nd = 0.241572. Оценка качества измерений контролировалась по изотопному стандарту JNdi-1, за период исследования средневзвешенное значение (N = 16) отношения 143Nd/144Nd составляло 0.512109 ± 6 (2σ). Для деплетированной мантии были приняты параметры: 147Sm/144Nd = 0.2136 и 143Nd/144Nd = 0.51315 (Goldstein, Jacobsen, 1988), значения величины εNd определялись относительно CHUR (147Sm/144Nd = = 0.1967, 143Nd/144Nd = 0.512638) (Jacobsen, Wasserburg, 1984).
ПЕТРОГРАФИЯ АМФИБОЛИТОВ, ГАББРОИДОВ И ПОРОД ДАЙКОВЫХ ТЕЛ
Большинство амфиболитов из разреза зеленокаменного пояса это тонкозернистые слабо гнейсовидные породы с минеральной ассоциацией Amph + Pl + Qtz ± Bt11. Содержание кварца в них до 5%. В составе нижней (малоиретской) толщи среди доминирующих в разрезе микрогнейсов встречаются две разновидности амфиболитов. В преобладающих будинированных телах амфиболиты имеют низкое содержание биотита 2–3% и обогащены сфеном. В редких маломощных (первые десятки см) прослоях амфиболиты обогащены биотитом (до 8%) и ильменитом. В камчадальской свите амфиболиты преобладают над другими типами метаморфических пород. Они деформированы и иногда перекристаллизованы с укрупнением зерен. В качестве второстепенных минералов в амфиболитах присутствует эпидот, а акцессорные минералы представлены сфеном, рудным минералом и редко апатитом. Амфиболиты из будинированных субпластовых тел среди пород ТТГ-комплекса имеют более массивную текстуру и характеризуются минеральной ассоциацией Amph + Pl + Qtz, содержание амфибола составляет 50–60%. Их главные акцессорные минералы – это сфен и ильменит, содержание которых может достигать 1–2%.
Р-Т условия метаморфизма оценены по минеральным парагенезисам и составу минералов из амфибол-биотитовых микрогнейсов нижней малоиретской толщи и составляют Т = 660–690°С и Р = 6 ± 0.5 кбар (Turkina et al., 2020).
Габбронориты Алзагайского массива состоят из клино- (19–25%) и ортопироксена (20–25%) и плагиоклаза (45–60%). Они в различной степени амфиболизированы, содержание вторичного амфибола может достигать 30–40%. Структуры пород габбро-офитовые с элементами пойкилитовых и пойкилоофитовых. Характерная зональность плагиоклазов в сочетании со структурными особенностями габброидов указывает на гипабиссальные условия их становления. Единичные ксеноморфные зерна оливина почти полностью замещены бледно-зеленым амфиболом и тальком. Вторичные минералы включают эпидот, тальк, хлорит, а акцессорные минералы представлены сфеном, рутилом и хромитом. Мелкие жильные тела сложены в различной степени амфиболизированными микрогаббро, состоящими из реликтов клинопироксена, плагиоклаза, амфибола и акцессорных апатита и рудного.
ГЕОХИМИЯ АМФИБОЛИТОВ И ГАББРОИДОВ ОНОТСКОГО БЛОКА
Главные элементы. Архейские амфиболиты малоиретской и камчадальской свит Онотского ЗКП и амфиболиты из включений в породах ТТГ-комплекса по содержанию главных элементов (SiO2 = 48–56 мас. %) отвечают базальтам, редко андезибазальтам нормального ряда щелочности (табл. 1), что согласуется с их систематикой по инертным редким элементам (рис. 3). Диапазон Mg# от 58 до 38 отражает дифференцированный характер метабазальтов, а высокое значение FeO*/MgO отношения – принадлежность к толеитовой серии. Амфиболиты характеризуются обеднением CaO и слабым снижением содержания Al2O3 при уменьшении Mg#, что предполагает фракционирование клинопироксена и плагиоклаза (рис. 3). Все амфиболиты имеют низкие концентрации TiO2 (0.65–1.4 мас. %) и P2O5 (0.03–0.14 мас. %), возрастающие при снижении Mg# (рис. 3). Сходство в распределение главных элементов для амфиболитов ЗКП и из включений в породах ТТГ-комплекса предполагает их образование из близких по составу магм.
Таблица 1.
Содержания петрогенных (мас. %) и редких (ppm) элементов в амфиболитах и габброидах Онотского блока
| Компо-ненты | 1 | 2 | 3 | 4 | 5 | 6 | 7 | 8 | 9 | 10 | 11 | 12 |
| 20-95 | 21-95 | 25-95 | 4-03 | 5-03 | 45-16 | 172-95 | 5-20 | 102-95 | 7-20 | 80-95 | 92-95 | |
| SiO2 | 49.9 | 49.99 | 48.92 | 54.03 | 55.4 | 50.94 | 48.59 | 48.99 | 48.5 | 48.24 | 50.16 | 50.68 |
| TiO2 | 0.70 | 0.73 | 1.22 | 0.66 | 0.65 | 0.83 | 0.853 | 0.91 | 0.9 | 0.87 | 0.985 | 0.85 |
| Al2O3 | 14.33 | 13.23 | 17.74 | 12.23 | 13.04 | 14.50 | 14.74 | 14.94 | 14.79 | 14.52 | 14.54 | 13.55 |
| Fe2O3* | 11.58 | 11.41 | 13.03 | 12.81 | 11.98 | 13.39 | 12.63 | 12.63 | 11.57 | 12.13 | 11.96 | 13.48 |
| MnO | 0.205 | 0.207 | 0.18 | 0.219 | 0.184 | 0.18 | 0.191 | 0.19 | 0.226 | 0.20 | 0.234 | 0.22 |
| MgO | 8.49 | 8.18 | 3.97 | 7.59 | 4.98 | 6.19 | 8.93 | 8.10 | 7.73 | 7.62 | 7.47 | 7.12 |
| CaO | 12.42 | 12.24 | 10.68 | 9.21 | 8.23 | 9.09 | 9.62 | 10.66 | 11.21 | 12.24 | 11.75 | 10.31 |
| Na2O | 1.28 | 1.72 | 2.85 | 1.85 | 2.15 | 2.83 | 1.72 | 2.38 | 2.61 | 1.95 | 1.65 | 1.79 |
| K2O | 0.34 | 0.34 | 0.55 | 1 | 2.17 | 0.90 | 0.61 | 0.65 | 0.69 | 0.37 | 0.33 | 0.78 |
| P2O5 | 0.031 | 0.045 | 0.11 | 0.067 | 0.07 | 0.10 | 0.048 | 0.07 | 0.05 | 0.06 | 0.054 | 0.06 |
| П.п.п. | 0.72 | 0.2 | 0.52 | 0.4 | 0.36 | 0.44 | 1.57 | 0.88 | 1.2 | 1.47 | 0.67 | 0.86 |
| Сумма | 100.0 | 98.3 | 99.9 | 100.1 | 99.2 | 99.5 | 99.50 | 100.5 | 99.48 | 99.85 | 99.80 | 99.89 |
| Th | 0.76 | 0.98 | 1.72 | 3.3 | 4.8 | 1.5 | 0.44 | 0.22 | 0.5 | 0.71 | 0.6 | 0.57 |
| Rb | 8.5 | 19 | 14.8 | 45 | 85 | 30 | 9.3 | 12.0 | 21 | 6.8 | 7.6 | 27 |
| Ba | 47 | 106 | 94 | 330 | 494 | 141 | 52 | 66 | 100 | 47 | 73 | 112 |
| Sr | 116 | 127 | 162 | 222 | 157 | 166 | 108 | 135 | 112 | 127 | 113 | 140 |
| La | 3.0 | 4.2 | 5.7 | 15 | 14.1 | 11.1 | 3.2 | 2.7 | 3.6 | 3.8 | 4.7 | 4.3 |
| Ce | 7.5 | 10.5 | 14.4 | 29 | 29 | 24 | 8.1 | 7.4 | 8.7 | 9.2 | 11 | 9.0 |
| Pr | 1.06 | 1.5 | 2.1 | 3.9 | 3.7 | 3.5 | 1.4 | 1.18 | - | 1.30 | 1.7 | 1.33 |
| Nd | 5.2 | 6.4 | 9.9 | 14 | 15.0 | 14.9 | 6.7 | 6.1 | 6.5 | 6.5 | 7.9 | 5.9 |
| Sm | 1.50 | 2.0 | 3.0 | 3.5 | 3.7 | 3.6 | 2.0 | 2.00 | 2 | 2.2 | 2.4 | 1.58 |
| Eu | 0.58 | 0.73 | 1.10 | 0.90 | 1.00 | 0.97 | 0.86 | 0.70 | 0.76 | 0.70 | 0.88 | 0.68 |
| Gd | 2.1 | 2.8 | 3.6 | 4.2 | 3.9 | 4.2 | 2.92 | 2.6 | 2.6 | 2.5 | 3.06 | 2.2 |
| Tb | 0.39 | 0.49 | 0.66 | 0.65 | 0.69 | 0.77 | 0.53 | 0.44 | 0.48 | 0.46 | 0.54 | 0.36 |
| Dy | 2.7 | 3.3 | 4.3 | 4.5 | 4.5 | 5.2 | 3.5 | 3.1 | – | 3.3 | 3.7 | 2.3 |
| Ho | 0.57 | 0.73 | 0.96 | 0.98 | 1.02 | 1.11 | 0.81 | 0.70 | – | 0.71 | 0.83 | 0.53 |
| Er | 1.57 | 2.2 | 2.9 | 2.7 | 3.0 | 3.2 | 2.2 | 2.0 | – | 2.1 | 2.4 | 1.56 |
| Tm | 0.25 | 0.33 | 0.42 | 0.41 | 0.48 | 0.48 | 0.35 | 0.30 | – | 0.32 | 0.36 | 0.25 |
| Yb | 1.66 | 2.1 | 2.7 | 2.8 | 3.0 | 3.2 | 2.4 | 2.0 | 1.68 | 2.1 | 2.5 | 1.60 |
| Lu | 0.24 | 0.33 | 0.43 | 0.41 | 0.46 | 0.46 | 0.37 | 0.30 | 0.26 | 0.31 | 0.38 | 0.24 |
| Zr | 38 | 43 | 89 | 105 | 158 | 97 | 54 | 52 | 78 | 47 | 56 | 36 |
| Hf | 1.07 | 1.50 | 2.2 | 3.3 | 3.8 | 2.6 | 1.8 | 1.36 | 2 | 1.37 | 1.9 | 1.06 |
| Ta | 0.12 | 0.2 | 0.26 | 0.41 | 0.55 | 0.60 | 0.16 | 0.18 | 0.12 | 0.11 | 0.17 | 0.11 |
| Nb | 1.73 | 2.8 | 4.4 | 5.5 | 7.7 | 8.3 | 2.4 | 2.7 | 2.2 | 1.82 | 2.5 | 2.2 |
| Y | 15.6 | 19 | 27 | 24 | 28 | 31 | 21 | 19.7 | 16 | 19.4 | 24 | 15.8 |
| Cr | – | – | – | – | – | – | 210 | 335 | 212 | 225 | 127 | 110 |
| Ni | – | – | – | – | – | – | 132 | 133 | 93 | 96 | 80 | 54 |
| Co | – | – | – | – | – | – | 54 | 51 | 40 | 53 | 55 | 54 |
| V | – | – | – | – | – | – | 237 | 264 | 238 | 280 | 250 | 333 |
| Mg# | 59 | 59 | 38 | 54 | 45 | 48 | 58 | 56 | 57 | 55 | 55 | 51 |
| (La/Yb)n | 1.2 | 1.3 | 1.4 | 3.7 | 3.2 | 2.4 | 0.9 | 0.9 | 1.4 | 1.2 | 1.3 | 1.8 |
| (La/Sm)n | 1.3 | 1.3 | 1.2 | 2.8 | 2.4 | 1.9 | 1.0 | 0.86 | 1.1 | 1.1 | 1.2 | 1.7 |
| (Nb/La)PM | 0.5 | 0.6 | 0.8 | 0.3 | 0.5 | 0.7 | 0.7 | 1.0 | 0.6 | 0.5 | 0.5 | 0.5 |
| (Nb/Th)PM | 0.27 | 0.34 | 0.31 | 0.20 | 0.19 | 0.64 | 0.7 | 1.4 | 0.5 | 0.3 | 0.5 | 0.5 |
| Nb/Nb* | 0.41 | 0.50 | 0.51 | 0.28 | 0.34 | 0.72 | 0.74 | 1.25 | 0.59 | 0.40 | 0.54 | 0.52 |
| (Th/La)PM | 2.0 | 1.9 | 2.4 | 1.7 | 2.7 | 1.1 | 1.1 | 0.7 | 1.1 | 1.5 | 1.0 | 1.1 |
| Компо-ненты | 13 | 14 | 15 | 16 | 17 | 18 | 19 | 20 | 21 | 22 | 23 | 24 |
| 88-95 | 21-20 | 106-95 | 13-20 | 26-20 | 6-20 | 55-03 | 51-03 | 57-03 | 157-95 | 64-95 | 38-03 | |
| SiO2 | 48.56 | 51.38 | 50.54 | 49.18 | 50.08 | 55.94 | 48.61 | 49.2 | 49.13 | 49.05 | 49.49 | 51.2 |
| TiO2 | 1.08 | 0.87 | 0.96 | 0.94 | 1.32 | 0.83 | 1.00 | 0.95 | 0.97 | 1.39 | 1.30 | 1.41 |
| Al2O3 | 15.33 | 13.57 | 13.82 | 15.29 | 14.57 | 12.94 | 12.58 | 13.69 | 13.73 | 13.99 | 14.28 | 13.48 |
| Fe2O3* | 14.47 | 12.83 | 13.63 | 12.69 | 14.43 | 11.17 | 15.93 | 13.27 | 14.47 | 14.32 | 15.61 | 18.15 |
| MnO | 0.23 | 0.21 | 0.20 | 0.21 | 0.22 | 0.22 | 0.243 | 0.211 | 0.241 | 0.22 | 0.247 | 0.244 |
| MgO | 6.07 | 6.59 | 7.58 | 7.19 | 5.93 | 4.63 | 7.98 | 7.62 | 6.8 | 7.31 | 6.32 | 6.16 |
| CaO | 9.72 | 10.59 | 9.20 | 10.20 | 9.55 | 9.49 | 9.65 | 11.88 | 11.66 | 9.97 | 9.38 | 5.4 |
| Na2O | 3.00 | 2.22 | 2.15 | 2.53 | 1.62 | 2.31 | 2.24 | 2.72 | 2.22 | 2.44 | 1.15 | 1.63 |
| K2O | 0.47 | 0.42 | 0.38 | 1.01 | 0.67 | 1.28 | 0.32 | 0.26 | 0.38 | 0.65 | 1.05 | 0.71 |
| P2O5 | 0.09 | 0.07 | 0.10 | 0.08 | 0.12 | 0.12 | 0.081 | 0.075 | 0.078 | 0.12 | 0.088 | 0.142 |
| П.п.п. | 0.78 | 1.01 | 1.29 | 0.80 | 0.76 | 0.81 | 0.46 | 0.3 | 0.56 | 0.84 | 1.04 | 0.77 |
| Сумма | 99.95 | 99.90 | 100.0 | 100.2 | 99.37 | 99.86 | 99.09 | 100.2 | 100.2 | 100.3 | 99.96 | 99.29 |
| Th | 0.87 | 0.88 | 1.20 | 0.97 | 0.33 | 5.7 | 0.55 | 0.34 | 0.29 | 0.73 | 0.84 | 1.09 |
| Rb | 8.6 | 11.1 | 12.3 | 5.4 | 21 | 38 | 6 | 3.7 | 8 | 16 | 28 | 9.4 |
| Ba | 114 | 95 | 69 | 58 | 89 | 268 | 27 | 27 | 65 | 79 | 61 | 80 |
| Sr | 184 | 156 | 88 | 88 | 113 | 168 | 65 | 153 | 124 | 111 | 113 | 117 |
| La | 5.5 | 5.0 | 7.4 | 6.2 | 4.4 | 21 | 4.2 | 3.38 | 3.06 | 5.5 | 4.3 | 6.94 |
| Ce | 13.0 | 11.1 | 16.4 | 16.4 | 11.6 | 42 | 9.5 | 7.85 | 7.71 | 13 | 11 | 15.98 |
| Pr | 1.94 | 1.55 | 2.3 | 2.7 | 1.91 | 5.0 | 1.8 | 1.27 | 1.21 | 2.3 | 1.9 | 2.34 |
| Nd | 8.2 | 7.1 | 10.1 | 13.9 | 9.5 | 19.6 | 8.1 | 6.01 | 6.23 | 10 | 9 | 10.7 |
| Sm | 2.5 | 1.97 | 2.5 | 4.3 | 2.9 | 4.2 | 2.6 | 1.85 | 2.10 | 3.1 | 2.7 | 3.33 |
| Eu | 1.08 | 0.72 | 0.97 | 1.45 | 1.02 | 1.05 | 0.86 | 0.76 | 0.84 | 1 | 1.1 | 1.12 |
| Gd | 3.4 | 2.3 | 3.2 | 6.3 | 3.9 | 4.2 | 3.7 | 2.78 | 2.81 | 4.5 | 4.3 | 4.25 |
| Tb | 0.60 | 0.40 | 0.57 | 1.02 | 0.71 | 0.60 | 0.63 | 0.44 | 0.47 | 0.78 | 0.77 | 0.72 |
| Dy | 3.8 | 2.8 | 3.6 | 6.5 | 5.0 | 4.0 | 4.2 | 3.17 | 3.33 | 5.2 | 4.9 | 5.15 |
| Ho | 0.86 | 0.61 | 0.80 | 1.43 | 1.07 | 0.81 | 0.94 | 0.73 | 0.74 | 1.1 | 1.1 | 1.08 |
| Er | 2.4 | 1.80 | 2.1 | 3.8 | 3.3 | 2.5 | 2.8 | 2.22 | 2.31 | 3.3 | 3.2 | 3.48 |
| Tm | 0.38 | 0.27 | 0.32 | 0.55 | 0.51 | 0.40 | 0.47 | 0.34 | 0.37 | 0.47 | 0.54 | 0.51 |
| Yb | 2.4 | 1.83 | 2.1 | 3.6 | 3.3 | 2.6 | 2.8 | 2.13 | 2.24 | 3.4 | 3.3 | 3.33 |
| Lu | 0.35 | 0.27 | 0.32 | 0.51 | 0.48 | 0.38 | 0.39 | 0.37 | 0.36 | 0.47 | 0.46 | 0.55 |
| Zr | 64 | 46 | 78 | 122 | 85 | 142 | 57 | 42 | 36 | 95 | 90 | 85 |
| Hf | 1.81 | 1.25 | 1.86 | 3.3 | 2.5 | 3.8 | 1.8 | 1.60 | 1.38 | 2.4 | 2.2 | 1.41 |
| Ta | 0.14 | 0.21 | 0.22 | 0.25 | 0.25 | 0.50 | 0.16 | 0.17 | 0.17 | 0.39 | 0.29 | 0.27 |
| Nb | 2.4 | 2.8 | 3.4 | 3.9 | 3.6 | 6.8 | 2.9 | 2.7 | 2.9 | 5.2 | 4.1 | 4.70 |
| Y | 24 | 17.1 | 22 | 39 | 31 | 25 | 24 | 21.7 | 22.5 | 31.0 | 30.0 | 35.1 |
| Cr | 89 | 111 | 131 | 83 | 148 | 265 | – | – | – | – | – | – |
| Ni | 50 | 55 | 60 | 58 | 116 | 94 | – | – | – | – | – | – |
| Co | 55 | 46 | 48 | 60 | 50 | 30 | – | – | – | – | – | – |
| V | 307 | 299 | 257 | 557 | 293 | 156 | – | – | – | – | – | – |
| Mg# | 45 | 50 | 52 | 53 | 45 | 45 | 50 | 53 | 48 | 50 | 45 | 40 |
| (La/Yb)n | 1.6 | 1.8 | 2.3 | 1.2 | 0.9 | 5.4 | 1.0 | 1.1 | 0.9 | 1.1 | 0.9 | 1.4 |
| (La/Sm)n | 1.4 | 1.6 | 1.9 | 0.9 | 1.0 | 3.1 | 1.0 | 1.1 | 0.9 | 1.1 | 1.0 | 1.3 |
| (Nb/La)PM | 0.4 | 0.5 | 0.4 | 0.6 | 0.8 | 0.3 | 0.7 | 0.8 | 0.9 | 0.9 | 0.9 | 0.7 |
| (Nb/Th)PM | 0.3 | 0.4 | 0.3 | 0.5 | 1.3 | 0.1 | 0.6 | 1.0 | 1.2 | 0.8 | 0.6 | 0.5 |
| Nb/Nb* | 0.40 | 0.48 | 0.41 | 0.58 | 1.08 | 0.22 | 0.69 | 0.93 | 1.10 | 0.94 | 0.78 | 0.62 |
| (Th/La)PM | 1.3 | 1.4 | 1.3 | 1.3 | 0.6 | 2.2 | 1.1 | 0.8 | 0.8 | 1.1 | 1.6 | 1.3 |
| Компо-ненты | 25 | 26 | 27 | 28 | 29 | 30 | 31 | 32 | 33 | 34 | 35 | 36 |
| 24-20 | 13-03 | 45-20 | 74-95 | 23-20 | 18-20 | 17-20 | 16-20 | 73-95 | 22-20 | 27-20 | 29-20 | |
| SiO2 | 48.85 | 47.54 | 50.00 | 48.72 | 48.44 | 48.66 | 48.78 | 49.11 | 47.98 | 49.28 | 48.84 | 49.26 |
| TiO2 | 0.72 | 0.67 | 0.37 | 0.32 | 0.32 | 0.43 | 0.43 | 0.35 | 0.38 | 0.28 | 0.44 | 0.54 |
| Al2O3 | 14.44 | 14.83 | 14.65 | 15.29 | 14.83 | 14.06 | 14.65 | 15.17 | 15.39 | 15.76 | 14.92 | 15.89 |
| Fe2O3* | 11.48 | 12.02 | 9.42 | 8.49 | 8.07 | 8.65 | 8.41 | 7.92 | 8.34 | 7.46 | 8.80 | 9.33 |
| MnO | 0.20 | 0.38 | 0.16 | 0.16 | 0.14 | 0.14 | 0.15 | 0.14 | 0.14 | 0.13 | 0.16 | 0.16 |
| MgO | 8.25 | 6.00 | 8.86 | 11.96 | 11.94 | 11.86 | 11.66 | 11.56 | 11.26 | 11.01 | 10.67 | 10.41 |
| CaO | 12.71 | 14.29 | 11.13 | 11.83 | 12.20 | 12.15 | 12.20 | 12.20 | 12.19 | 12.19 | 11.72 | 11.99 |
| Na2O | 1.76 | 2.49 | 1.49 | 1.35 | 1.33 | 1.43 | 1.51 | 1.71 | 1.29 | 1.54 | 1.63 | 1.87 |
| K2O | 0.35 | 0.75 | 1.41 | 0.18 | 0.30 | 0.21 | 0.40 | 0.21 | 0.34 | 0.42 | 0.54 | 0.23 |
| P2O5 | 0.05 | 0.08 | 0.06 | 0.03 | 0.03 | 0.04 | 0.04 | 0.03 | 0.03 | 0.02 | 0.04 | 0.04 |
| П.п.п. | 1.09 | 0.62 | 1.90 | 1.40 | 2.01 | 1.52 | 1.52 | 1.22 | 1.90 | 2.13 | 1.51 | 0.04 |
| Сумма | 100.07 | 99.86 | 99.61 | 99.98 | 99.85 | 99.40 | 99.97 | 99.82 | 99.52 | 100.39 | 99.48 | 99.92 |
| Th | 0.81 | 0.11 | 0.73 | 0.14 | 0.13 | 0.17 | 0.17 | 0.13 | 0.20 | 0.086 | 0.17 | 0.21 |
| Rb | 9.5 | 9.8 | 18.1 | 5.9 | 23 | 9.8 | 25 | 9.0 | 22 | 35 | 20.0 | 6.1 |
| Ba | 52 | 30 | 86 | 46 | 40 | 43 | 67 | 33 | 63 | 46 | 118 | 46 |
| Sr | 123 | 98 | 138 | 146 | 145 | 149 | 157 | 151 | 152 | 164 | 157 | 181 |
| La | 3.7 | 1.53 | 3.4 | 1.30 | 1.50 | 2.0 | 2.00 | 1.33 | 2.1 | 1.12 | 2.00 | 2.3 |
| Ce | 8.5 | 4.2 | 8.0 | 3.1 | 3.4 | 4.8 | 4.7 | 3.6 | 5.0 | 2.6 | 4.7 | 5.7 |
| Pr | 1.18 | 0.63 | 1.13 | 0.41 | 0.49 | 0.68 | 0.68 | 0.49 | 0.65 | 0.42 | 0.66 | 0.80 |
| Nd | 5.8 | 3.7 | 5.5 | 2.1 | 2.5 | 3.3 | 3.2 | 2.4 | 3.2 | 2.0 | 3.4 | 4.0 |
| Sm | 1.81 | 1.29 | 1.65 | 0.78 | 0.87 | 1.04 | 0.96 | 0.78 | 0.97 | 0.65 | 1.17 | 1.30 |
| Eu | 0.67 | 0.44 | 0.66 | 0.25 | 0.36 | 0.40 | 0.39 | 0.31 | 0.37 | 0.31 | 0.43 | 0.44 |
| Gd | 2.2 | 1.73 | 2.3 | 0.90 | 1.10 | 1.31 | 1.13 | 1.03 | 1.23 | 0.78 | 1.17 | 1.60 |
| Tb | 0.40 | 0.35 | 0.42 | 0.15 | 0.18 | 0.23 | 0.19 | 0.17 | 0.23 | 0.13 | 0.20 | 0.27 |
| Dy | 2.9 | 2.6 | 2.7 | 1.02 | 1.18 | 1.50 | 1.30 | 1.14 | 1.37 | 0.88 | 1.48 | 1.70 |
| Ho | 0.63 | 0.55 | 0.62 | 0.22 | 0.25 | 0.33 | 0.29 | 0.25 | 0.29 | 0.20 | 0.33 | 0.38 |
| Er | 1.72 | 1.63 | 1.81 | 0.75 | 0.74 | 0.95 | 0.85 | 0.73 | 0.93 | 0.58 | 1.00 | 1.14 |
| Tm | 0.26 | 0.27 | 0.27 | 0.12 | 0.11 | 0.15 | 0.13 | 0.12 | 0.15 | 0.090 | 0.15 | 0.17 |
| Yb | 1.61 | 1.77 | 1.72 | 0.72 | 0.72 | 0.92 | 0.85 | 0.73 | 0.90 | 0.58 | 0.93 | 1.05 |
| Lu | 0.24 | 0.27 | 0.25 | 0.10 | 0.11 | 0.14 | 0.13 | 0.11 | 0.13 | 0.087 | 0.14 | 0.16 |
| Zr | 41 | 39 | 40 | 14.6 | 15.6 | 22 | 29 | 16.6 | 22 | 11.9 | 22 | 27 |
| Hf | 1.21 | 1.13 | 1.11 | 0.39 | 0.44 | 0.60 | 0.64 | 0.44 | 0.55 | 0.41 | 0.62 | 0.71 |
| Ta | 0.11 | 0.1 | 0.1 | 0.05 | 0.05 | 0.08 | 0.08 | 0.05 | 0.06 | 0.05 | 0.07 | 0.11 |
| Nb | 1.78 | 1.30 | 1.66 | 0.83 | 0.86 | 1.08 | 1.29 | 1.18 | 1.19 | 0.65 | 1.24 | 1.29 |
| Y | 17.2 | 17 | 17.0 | 7.0 | 6.7 | 9.2 | 8.6 | 7.2 | 9.1 | 6.0 | 9.4 | 10.6 |
| Cr | 273 | 383 | 256 | 1123 | 1 060 | 1 140 | 1 055 | 906 | 1136 | 593 | 848 | 578 |
| Ni | 90 | 128 | 87 | 327 | 317 | 295 | 275 | 289 | 323 | 266 | 208 | 250 |
| Co | 52 | 45 | 57 | 51 | 56 | 57 | 53 | 55 | 50 | 52 | 52 | 58 |
| V | 264 | 294 | 273 | 168 | 193 | 209 | 193 | 185 | 172 | 182 | 213 | 227 |
| Mg# | 59 | 50 | 65 | 74 | 75 | 73 | 73 | 74 | 73 | 75 | 71 | 69 |
| (La/Yb)n | 1.6 | 0.6 | 1.3 | 1.2 | 1.4 | 1.5 | 1.6 | 1.2 | 1.6 | 1.3 | 1.4 | 1.5 |
| (La/Sm)n | 1.3 | 0.7 | 1.3 | 1.0 | 1.1 | 1.2 | 1.3 | 1.1 | 1.4 | 1.1 | 1.1 | 1.1 |
| (Nb/La)PM | 0.5 | 0.8 | 0.5 | 0.6 | 0.6 | 0.5 | 0.6 | 0.9 | 0.5 | 0.6 | 0.6 | 0.5 |
| (Nb/Th)PM | 0.3 | 1.4 | 0.3 | 0.7 | 0.8 | 0.7 | 0.9 | 1.1 | 0.7 | 0.9 | 0.9 | 0.7 |
| Nb/Nb* | 0.37 | 1.13 | 0.38 | 0.71 | 0.71 | 0.66 | 0.80 | 1.03 | 0.66 | 0.75 | 0.76 | 0.66 |
| (Th/La)PM | 1.8 | 0.6 | 1.7 | 0.9 | 0.7 | 0.7 | 0.7 | 0.8 | 0.8 | 0.6 | 0.7 | 0.7 |
Примечание. Амфиболиты: 1–6 – малоиретская толща, 7–18 – камчадальская толща, 19–24 – включения в ТТГ-комплексе; 25–27 – габброиды мелких тел, 28–36 – габбронориты Алзагайского массива. Mg# – магнезиальный номер. ${\text{F}}{{{\text{e}}}_{{\text{2}}}}{\text{O}}_{{\text{3}}}^{*}$ – общее железо. Прочерк – нет данных.
Таблица 2.
Sm-Nd изотопные данные для амфиболитов и габброидов Онотского блока
| № п/п |
Номер образца |
Sm, ppm | Nd, ppm | 147Sm/144Nd | 143Nd/144Nd | εNd(T) |
|---|---|---|---|---|---|---|
| 1 | 20-95 | 1.63 | 5.26 | 0.18718 | 0.512670 ± 19 | 4.2 |
| 2 | 21-95 | 2.0 | 6.2 | 0.19600 | 0.512596 ± 12 | 2.6 |
| 3 | 4-03 | 3.06 | 13.4 | 0.13842 | 0.511439 ± 12 | –1.8 |
| 4 | 5-03 | 1.7 | 17.9 | 0.15140 | 0.511558 ± 12 | –4.1 |
| 5 | 80-95 | 2.09 | 6.69 | 0.1894 | 0.512695 ± 3 | 3.9 |
| 6 | 88-95 | 2.57 | 8.6 | 0.18010 | 0.512586 ± 3 | 5.2 |
| 7 | 92-95 | 1.75 | 6.0 | 0.17636 | 0.512248 ± 15 | –0.1 |
| 8 | 106-95 | 2.78 | 9.9 | 0.16962 | 0.512137 ± 8 | 0.3 |
| 9 | 5-20 | 2.04 | 6.3 | 0.19640 | 0.512730 ± 13 | 1.9 |
| 10 | 21-20 | 1.99 | 7.14 | 0.16850 | 0.512173 ± 15 | 1.4 |
| 11 | 38-03 | 3.3 | 10.7 | 0.18656 | 0.512392 ± 18 | –1.0 |
| 12 | 51-03 | 1.82 | 5.6 | 0.19569 | 0.512746 ± 17 | 2.5 |
| 13 | 57-03 | 0.87 | 2.6 | 0.20067 | 0.512785 ± 20 | 1.4 |
| 14 | 64-95 | 2.78 | 8.6 | 0.19539 | 0.512586 ± 11 | –0.5 |
| 15 | 157-95 | 3.06 | 10.0 | 0.18500 | 0.512490 ± 14 | 1.6 |
| 16 | 16-20 | 0.63 | 2.26 | 0.18170 | 0.512418 ± 15 | –0.7 |
| 17 | 18-20 | 1.24 | 4.22 | 0.17770 | 0.512337 ± 7 | –1.4 |
| 18 | 22-20 | 0.64 | 2.23 | 0.17320 | 0.512333 ± 6 | –0.3 |
| 19 | 23-20 | 0.93 | 3.08 | 0.18240 | 0.512401 ± 8 | –1.2 |
| 20 | 29-20 | 1.33 | 4.62 | 0.17420 | 0.512319 ± 10 | –0.9 |
| 21 | 24-20 | 1.66 | 5.3 | 0.18970 | 0.512569 ± 12 | 0.3 |
| 22 | 45-20 | 1.81 | 5.96 | 0.18320 | 0.512618 ± 7 | 2.8 |
Рис. 3.
Диаграммы SiO2–(Na2O + K2O), Nb/Y–Zr/TiO2, Mg#–TiO2, Mg#–CaO для амфиболитов и габброидов Онотского блока. Амфиболиты: 1 – малоиретская толща, 2 – камчадальская толща, 3 – включения в ТТГ-комплексе; 4 – габбронориты Алзагайского массива; 5 – габбро мелких тел.

Габбронориты Алзагайского массива с содержанием SiO2 = 48–49.3 мас. % имеют высокие значения Mg# = 75–69. Имеющаяся петрохимическая выборка показывает слабую диффенцированность в исследованной части массива. Более дифференцированные разности с Mg# = 65–50 представлены габбро из мелких тел (рис. 3). От габброноритов к жильным габбро при уменьшении Mg# происходит снижение Al2O3 при слабо изменяющемся содержании CaO. Габбронориты имеют крайне низкие концентрации TiO2 (0.28–0.54 мас. %) и P2O5 (0.02–0.04 мас. %), их содержание выше в габброидах мелких тел: TiO2 (0.37–0.72 мас. %) и P2O5 (0.05–0.08 мас. %).
Редкие элементы. Амфиболиты ЗКП и из включений в породах ТТГ-комплекса обеднены некогерентными редкими элементами. Концентрация Th в этих породах, как правило, не превышает 1 ppm, возрастая, наряду с Nb и Zr, лишь в разностях андезибазальтового состава (Th = 3.3–5.7 ppm), встречающихся преимущественно среди амфиболитов малоиретской толщи в нижней части разреза (рис. 4). Низкие концентрации Rb (4–28 ppm), Ba (27–114 ppm) и Sr (65–184 ppm) в амфиболитах являются типичным для толеитовых базальтов (тип TH1) архейских зеленокаменных поясов (Condie, 1981).
Рис. 4.
Диаграммы TiO2–Nb, TiO2–Zr, TiO2–Th, П.п.п.–Zr для мафических пород Онотского блока. Условные обозначения 1–5 соотвествуют таковым на рис. 3. Средний состав: 6 – пород ТТГ-комплекса, 7 – гранат-ставролитовых сланцев ЗКП, 8 – микрогнейсов (метариолитов) ЗКП.

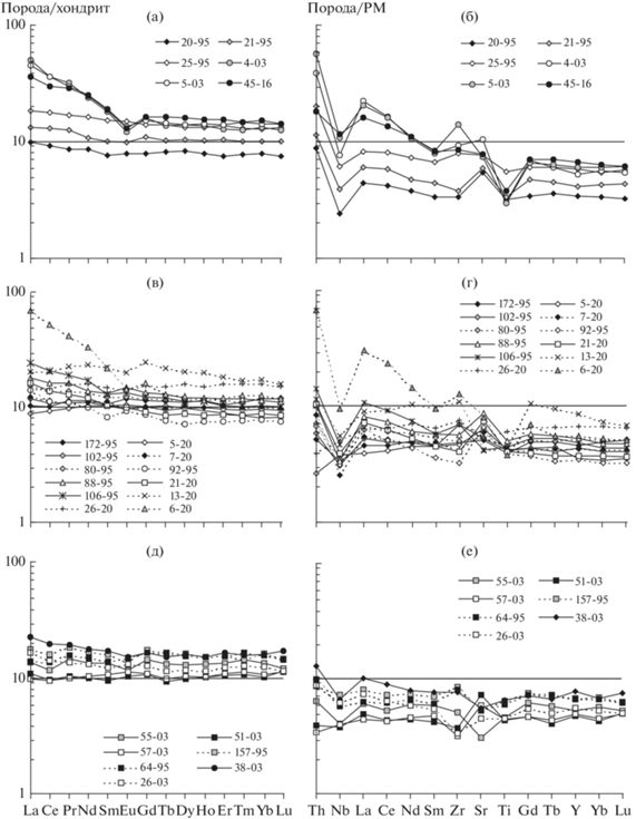
Большинство амфиболитов базальтового состава ЗКП и из включений в породах ТТГ-комплекса характеризуются слабо фракционированными спектрами РЗЭ ((La/Sm)n = 0.9–1.9). В породах андезибазальтового состава отчетливо проявлено обогащение легкими РЗЭ ((La/Sm)n = 1.9–3.1) и появляется слабый Eu-минимум (Eu/Eu* = 0.7–0.8) (рис. 5). Величина (Gd/Yb)n для всех амфиболитов (1.0–1.4) близка к хондритовой. Амфиболиты характеризуются низкими концентрациями высокозарядных элементов (Zr, Nb, Y), которые имеют прямую корреляцию с содержанием TiO2 (рис. 4). От общих трендов отклоняются породы андезибазальтового состава, обогащенные Zr (до 97–158 ppm) и Nb (5.5–8.3 ppm). Среди всей совокупности выделяется два образца (13–20 и 26–20) амфиболитов камчадальской свиты, которые обогащены тяжелыми РЗЭ (Ybn = 16–17) в сравнении с доминирующими разностями (Ybn = 8–12) и имеют повышенные концентрации Th, Zr, Nb (рис. 5б). Преобладающие амфиболиты демонстрируют плоские мультиэлементные спектры с отрицательной аномалией Nb (рис. 5б, 5г, 5е). Деплетирование Nb в различной степени выражено как для амфиболитов ЗКП (Nb/Nb* = 0.4–1.2), так и амфиболитов из включений в породах ТТГ‑комплекса (Nb/Nb* = 0.6–1.1). Породы андезибазальтового состава имеют более фракционированные мультиэлементные спектры с резкими минимумами по Nb (Nb/Nb* = 0.2–0.7) и Ti.
Рис. 5.
Резкоземельные и мультиэлементные спектры амфиболитов Онотского блока: (а, б) – малоиретская толща, (в, г) – камчадальская толща, (д, е) – включения в ТТГ-комплексе.

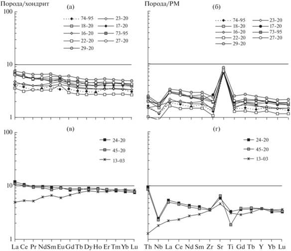
Габбронориты Алзагайского массива в силу высокой магнезиальности обладают наиболее низкими концентрациями некогерентных редких элементов, их концентрации возрастают в габброидах мелких тел, коррелируя с увеличением содержания TiO2 (рис. 4). Редкоземельные спектры габброноритов плоские ((La/Sm)n = 1.0–1.4 и (Gd/Yb)n = = 1.0–1.2) с концентрациями 3–8 хондритовых уровней (рис. 6а). На мультиэлементных спектрах проявлено слабое обеднение Nb (Nb/Nb* = 0.7–1.0) и резкий Sr-максимум (рис. 6б). Габброиды из мелких тел имеют слабо дифференцированные спектры РЗЭ ((La/Sm)n = 0.7–1.3) (рис. 6в). На мультиэлементных спектрах габбро проявлено обеднение Nb и максимум по Sr (рис. 6г). От габброноритов ((Th/La)PM = 0.7–0.9) габброиды мелких тел отличает повышенное (Th/La)PM = 0.6–1.8.
ИЗОТОПНЫЙ Sm-Nd СОСТАВ БАЗИТОВ ОНОТСКОГО БЛОКА
При анализе изотопного состава для амфиболитов ЗКП и из включений в породах ТТГ-комплекса принят возраст 2.86 млрд лет, соответствующий возрасту магматического циркона из микрогнейсов (метариолитов) малоиретской толщи, а для габброноритов и габброидов – 1.86 млрд лет, что отвечает времени проявления палеопротерозойского гранитоидного и габброидного магматизма в Онотском и других блоках Шарыжалгайского выступа. Изотопные данные суммированы в табл. 2 и на рис. 7.
Рис. 7.
Диаграмма Т– εNd для пород Онотского блока. Амфиболиты: 1 – малоиретская толща, 2 – камчадальская толща, 3 – включения в ТТГ-комплексе; 4 – андезибазальтового состава; 5 – габбронориты Алзагайского массива; 6 – габбро мелких тел; 7 – плагиогнейсы ТТГ-комплекса: средний состав: 8 – гранат-ставролитовые сланцы и 9 – микрогнейсы (метариолиты). Пунктирной линией показана эволюция изотопного Nd состава мантийного источника при 147Sm/144Nd = 0.19.

Архейские амфиболиты ЗКП базальтового состава имеют широкий диапазон преимущественно положительных значений εNd(Т) от +5.2 (превышающих величину для мезоархейской деплетированной мантии) до –0.1. Амфиболиты из включений в породах ТТГ-комплекса смещены в область более низких величин εNd(Т) от +2.5 до –1.0, сохраняя преимущественно деплетированные изотопные характеристики. Резко выделяются амфиболиты андезибазальтового состава из нижней части разреза ЗКП, имеющие отрицательные значения εNd(Т) (–1.8 и –4.3). Палеопротерозойские габбронориты Алзагайского массива характеризуются отрицательными εNd(Т) от –0.3 до –1.4, а габброиды мелких тел – εNd(Т) +2.8 и +0.3.
ОБСУЖДЕНИЕ РЕЗУЛЬТАТОВ
Суждение о происхождении раннедокембрийских базитов Онотского блока с оценкой их мантийных источников требует предварительного анализа процессов постмагматического перераспределения элементов, коровой контаминации и фракционной кристаллизации, которые могли изменить состав пород относительно их исходных магм.
Влияние постмагматических процессов
При низком соотношении вода/порода наиболее инертными являются тяжелые РЗЭ, Zr, Hf, Nb, Ta, тогда как более подвижными – легкие РЗЭ и Th (Ludden, Gelinas, 1982; Humphris, 1984). Изученные амфиболиты характеризуются невысокими величинами потерь при прокаливании (П.п.п.) (0.2–1.6%), отражающими в целом незначительные низкотемпературные изменения. Более высокие значения П.п.п. (до 2.1%) установлены для габброноритов и габброидов, что коррелирует с широким развитием в них таких минералов как хлорит и тальк. Как инертные элементы – Zr, Nb и легкие РЗЭ, так и наиболее мобильные Rb и Ba не обнаруживают корреляции с П.п.п., что свидетельствует об отсутствии влияния низкотемпературных процессов на распределение редких элементов (рис. 4г). Вместе с тем отсутствие отчетливой корреляции между K2O и Rb, Ba, а также между CaO и Sr, указывающее на возможность перераспределения этих элементов в результате вторичных изменений, исключает эти элементы из рассмотрения при анализе происхождения базитов.
Роль фракционной кристаллизации
Амфиболиты и габброиды мелких тел, представляющие продукты метаморфизма вулканических и (или) субвулканических пород основного состава, характеризуются значениями Mg# преимущественно в диапазоне 56–60, т.е. образовались при кристаллизации в различной степени фракционированных расплавов. Согласно трендам распределения петрогенных элементов, основными фракционирующими фазами для архейских метабазитов были клинопироксен и плагиоклаз, кристаллизация которых слабо изменяет отношения некогерентных элементов в расплаве (Туркина и др., 2021). Данный вывод подтверждается отсутствием корреляции между Mg# и такими отношениями, как (Nb/Y)PM, (Nb/Zr)PM, (La/Sm)n. Это позволяет использовать отношения редких элементов в породах с наиболее высоким значениями Mg# для характеристики исходной магмы. Исключение составляют, как отмечалось выше, породы андезибазальтового состава, отличающиеся обогащением некогерентными редкими элементами.
В отличие от амфиболитов габбронориты являются плутоническими породами, и их состав не идентичен таковому исходного расплава. Чтобы ограничить индикаторные отношения для исходного расплава, было выполнено моделирование равновесной кристаллизации габброноритов с оценкой распределения редких элементов в сосуществующем расплаве. Согласно оценкам по программе PETROLOG 3 (Danyushevsky, Plechov, 2011) и минеральным ассоциациям габброноритов, эти породы отвечают высокой степени кристаллизации (рис. 8а). С помощью программы PETROLOG 3 при Р = 2 кбар и буфере QFM были рассчитаны равновесные составы пород при степени кристаллизации 60–75% и определены содержания минералов в кристаллизате (%): Ol 0–4, Opx – 16–24, Pl – 23–30, Cpx – 7–14, Mag – 1 и Ol – 0–3, Opx – 20–30, Pl – 30–37, Cpx – 11–19, Mag – 1 соответственно для двух образцов габброноритов. Эти соотношения в целом согласуются с петрографическим составом пород. Оценки давления взяты с учетом петрографических особенностей габброидов (офитовые структуры и зональность плагиоклаза), а буфер QFM – исходя из присутствия магнетита в интеркумулусе пород. Рассчитанные пропорции кристаллизующихся фаз были использованы при оценке редкоэлементного состава сосуществующего расплава. Результаты расчета, на примере двух образцов (74-95 и 23-20), приведены в табл. 3 и на рис. 8б. Независимо от степени кристаллизации, модельные расплавы характеризуются сходной конфигурацией мультиэлементных спектров. Модельные сосуществующие расплавы имеют более высокие значения отношений (La/Sm)n и (Nb/Y)PM в сравнении с рассматриваемыми породами. Величины (Nb/Y)PM (0.8 до 1.0) в модельном расплаве не могут превышать соответствующие значения в исходном расплаве. Это в свою очередь означает, что значение (Nb/Y)PM отношения в мантийном источнике габброноритов не превышает единицы, т.е. источник был слабо деплетированным. Модельные расплавы, подобно породам, характеризуются отрицательной аномалией Nb ((Nb/La)PM = 0.54–0.61), что означает обеднение Nb как материнской магмы, так и ее мантийного источника. Низкие значения (La/Sm)n для модельных (1.1–1.4), а следовательно, и материнских расплавов предполагают мантийный источник, не имеющий значительного обогащения легкими РЗЭ.
Рис. 8.
(а) Соотношения фаз в модельных кумулатах для состава габбронорита (обр. 74-95) в зависимости от температуры, пунктирными линиями показаны температурные срезы для степени кристаллизации 60 и 75%. (б) Диаграмма (La/Sm)n–(Nb/Y)РМ для габброноритов (обр. 74-95 и 23-20) и сосуществующих модельных расплавов: 1 – исходный состав пород, 2 – состав модельных расплавов при степени кристаллизации 60%, 3 – состав модельных расплавов при степени кристаллизации 75%. Нормировано по (Sun, McDonough, 1989).

Таблица 3.
Результаты расчета модели фракционной кристаллизации для габброноритов Алзагайского массива
| Компо-ненты | Kd | 74-95 | Cl 0.6 (74) | Cl 0.75 (74) |
23-20 | Clo 0.6 (23) |
Cl 0.75 (23) |
|||
|---|---|---|---|---|---|---|---|---|---|---|
| Opx | Cpx | Pl | Mag | |||||||
| Th | 0.0004 | 0.014 | 0.15 | 0.1 | 0.14 | 0.31 | 0.45 | 0.13 | 0.29 | 0.42 |
| Nb | 0.002825 | 0.006 | 0.1 | 0.7 | 0.83 | 1.9 | 2.87 | 0.86 | 2.0 | 3.0 |
| La | 0.0001 | 0.05 | 0.06 | 0.02 | 1.3 | 3.0 | 4.6 | 1.5 | 3.5 | 5.3 |
| Ce | 0.0026 | 0.089 | 0.05 | 0.02 | 3.1 | 7.3 | 11.1 | 3.4 | 7.9 | 11.9 |
| Nd | 0.010267 | 0.178 | 0.05 | 0.03 | 2.1 | 4.9 | 7.27 | 2.5 | 5.7 | 8.3 |
| Sm | 0.018 | 0.378 | 0.07 | 0.02 | 0.78 | 1.7 | 2.4 | 0.87 | 1.8 | 2.5 |
| Zr | 0.01775 | 0.198 | 0.09 | 0.71 | 14.6 | 32.3 | 46.5 | 16 | 34.1 | 48.6 |
| Gd | 0.028 | 0.487 | 0.07 | 0.02 | 0.9 | 1.9 | 2.6 | 1.1 | 2.2 | 3.0 |
| Tb | 0.035 | 0.516 | 0.08 | 0.02 | 0.15 | 0.33 | 0.44 | 0.18 | 0.36 | 0.48 |
| Y | 0.0935 | 0.52 | 0.01 | 0 | 7.0 | 14.9 | 20.4 | 6.7 | 13.6 | 18.2 |
| Yb | 0.093917 | 0.517 | 0.09 | 0.02 | 0.72 | 1.5 | 1.94 | 0.72 | 1.4 | 1.8 |
| Lu | 0.1 | 0.536 | 0.12 | 0.02 | 0.1 | 0.19 | 0.26 | 0.11 | 0.21 | 0.27 |
| (Nb/Y)PM | 0.74 | 0.8 | 0.9 | 0.8 | 0.9 | 1.0 | ||||
| (La/Sm)n | 1.1 | 1.1 | 1.2 | 1.1 | 1.2 | 1.4 | ||||
| (Nb/La)PM | 0.6 | 0.61 | 0.6 | 0.55 | 0.55 | 0.54 | ||||
Влияние коровой контаминации
Амфиболиты андезибазальтового состава характеризуются пониженными значениями Mg# (54–45) в сочетании с повышенными содержаниями SiO2, Th (3.3–5.7 ppm), легких РЗЭ, Zr (105–158 ppm), Nb (5.5–7.7 ppm) в сравнении с преобладающими амфиболитами. Эти лейкократовые разности амфиболитов имеют наиболее высокое (La/Sm)n = 2.4–3.1, резкое обеднение Nb (Nb/Nb* = = 0.22–0.34) и минимум по Ti на мультиэлементных спектрах. Такие особенности состава являются типичными для ультраосновных/основных пород, контаминированных верхнекоровым материалом (Hollings, Kerrich, 1999), и установлены, например, для коматиитов Ветренного пояса (Балтийский щит) (Puchtel et al., 1997). Свидетельством коровой контаминации служат и отрицательные значения εNd(Т) (–1.9 и –4.1) пород андезибазальтового состава в отличии от большинства амфиболитов Онотского ЗКП. На диаграмме (La/Sm)n–(Nb/La)PM большинство амфиболитов, габброноритов и габбро образуют субвертикальный тренд с широким диапазоном (Nb/La)PM, тогда как точки пород андезибазальтового состава за счет повышенного значения (La/Sm)n отношения отклоняются в направлении потенциальных коровых контаминантов в составе Онотского блока: пород ТТГ-комплекса, микрогнейсов (метариолитов) и гранат-ставролитовых сланцев (метапелитов) (рис. 9а). Метариолиты и метапелиты близки по значениям (La/Sm)n и (Nb/La)PM к метаандезибазальтам и, следовательно, не могли быть коровым контаминантом. Анализ изотопного состава Nd амфиболитов также показывает (рис. 9б), что метариолиты и метапелиты не служили коровым контаминантом, поскольку имеют, соответственно, близкие или более высокие значения εNd(Т) в сравнении с метаандезибазальтами. Потенциальный коровый контаминант – плагиогнейсы ТТГ-комплекса – на время 1.86 млрд лет характеризуются εNd ∼ –19. Согласно количественной оценке, по концентрациям La, Sm, Nb амфиболиты андезибазальтового состава могли быть образованы при ассимиляции 20–40% плагиогнейсов ТТГ-комплекса, а контаминация ∼30% плагиогнейсов ТТГ-комплекса снижает величину εNd(Т) до значений, установленных для амфиболитов андезибазальтового состава. Три точки амфиболитов камчадальской толщи на диаграмме (La/Sm)n–(Nb/La)РМ также следуют тренду смешения при минимальном вкладе корового компонента 10–20%; по изотопным данным для амфиболитов с наиболее низкими значениями εNd(Т) вклад корового компонента не превышает 10%. Чтобы исключить влияние коровой контаминации, при оценке состава мантийных источников для амфиболитов следует ограничиться породами с (La/Sm)n ≤ 1.4 и εNd(Т) ≥ +1.4.
Рис. 9.
Диаграммы (La/Sm)n–(Nb/La)РМ и (La/Sm)n–εNd для пород Онотского блока. Амфиболиты: 1 – малоиретская толща, 2 – камчадальская толща, 3 – включения в ТТГ-комплексе; 4 – андезибазальтового состава; 5 – габбронориты Алзагайского массива; 6 – габбро мелких тел; 7 – предполагаемый исходный мафический расплав. (а) – средний состав: 8 – плагиогнейсов ТТГ-комплекса, 9 – гранат-ставролитовых сланцев, 10 – микрогнейсов (метариолитов). 11 – линия смешения. (б) – средний состав: 8 и 9 – плагиогнейсов ТТГ-комплекса: 8 – на мезоархейское и 9 – на палеопротерозойское время, 10 – гранат-ставролитовых сланцев, 11 – микрогнейсов (метариолитов); 12 – линии смешения, иллюстрирующие контаминацию породами ТТГ-комплекса. Цифрами показана доля корового контаминанта.

В отличие от амфиболитов габбро из мелких тел с положительными значениями εNd(Т) и пониженным (Nb/La)PM (0.5) не обнаруживают увеличение величины (La/Sm)n (рис. 9а), т.е. вариации их изотопных и редкоэлементных параметров не связаны с коровой контаминацией. Модельные составы расплавов для габброноритов имеют слабо повышенные значения (La/Sm)n (1.0–1.4) при пониженных (Nb/La)PM (0.5–0.9) и отрицательных εNd(Т) (–0.3 до –1.4). Величины (La/Sm)n и (Nb/La)PM отвечают 10–20% вкладу корового контаминанта, представленного породами ТТГ-комплекса, что не согласуется с высокой магнезиальностью этих пород и величинами εNd(Т), допускающими долю корового компонента не более 3%. Следовательно, палеопротерозойские габбронориты и габбро не имеют геохимических признаков коровой контаминации, и вариации их редкоэлементного и изотопного состава определяются характером мантийных источников.
Главным индикатором, исключающим влияние коровой контаминации, за исключением амфиболитов андезибазальтового состава, как для архейских, так и палеопротерозойских базитов является хорошо выраженная прямая корреляция между TiO2 и Nb, Zr (рис. 4), поскольку вклад корового материала при увеличении концентраций Nb, Zr должен сопровождаться обеднением TiO2.
Состав мантийных источников
Для оценки состава мантийных источников базитов Онотского блока использованы отношения некогерентных элементов и расчетное моделирование. Величины (Nb/Y)PM и (Nb/Zr)PM отражают наклон базовой линии для мультиэлементных спектров мафических пород в отношении немобильных элементов, что позволяет оценить деплетированный ((Nb/Y)PM и (Nb/Zr)PM < 1) или недеплетированный ((Nb/Y)PM и (Nb/Zr)PM > 1) характер мантийных источников, тогда как повышенные (La/Sm)n, (La/Nb)PM и (Th/Nb)PM служат индикаторами обогащения в результате мантийного метасоматоза (Kerrich, Wyman, 1997; Pearce, Parkinson, 1993). Исключая контаминированные разности, все амфиболиты обладают (Nb/Y)PM и (Nb/Zr)PM ≤ 1, что, учитывая KdNb < KdY и KdNb < KdZr при плавлении мантийных перидотитов, свидетельствует в пользу деплетированного источника. Использованные коэффициенты распределения редких элементов и состав источников суммированы в табл. 4, составы модельных расплавов в табл. 5. Результаты расчетного моделирования (рис. 10а–10в) предполагают формирование протолитов амфиболитов ЗКП при 10–20% плавлении слабо деплетированного мантийного источника, что согласуется с изотопным составом Nd (εNd(Т) от +5.2 до –0.1) в породах. Состав амфиболитов из включений в породах ТТГ-комплекса согласуется с 15% плавлением как слабо деплетированного, так и примитивного мантийного источника, что коррелирует с их более низкими значениями εNd(Т) по сравнению с таковыми для амфиболитов ЗКП. Различное, но слабое обогащение легкими РЗЭ (La/Sm)n = 1–1.7) и Th относительно Nb для амфиболитов является первичной чертой их мантийных источников и, вероятно, обусловлено метасоматозом под действием флюида/расплава.
Таблица 4.
Коэффициенты распределения и состав слабо деплетированного (DepM), примитивного (PM) и деплетированного (DMM) мантийных источников для моделей частичного плавления
| Компоненты | Kd | DepM | PM | DMM | |||
|---|---|---|---|---|---|---|---|
| Ol | Opx | Cpx | Spl | ||||
| Th | 0.00025 | 0.0005 | 0.007 | 0.013 | 0.051 | 0.085 | 0.008 |
| Nb | 0.00007 | 0.0013 | 0.004 | 0.01 | 0.428 | 0.713 | 0.149 |
| La | 0.0001 | 0.0008 | 0.043 | 0.0006 | 0.481 | 0.687 | 0.192 |
| Ce | 0.00055 | 0.0016 | 0.088 | 0.0006 | 1.25 | 1.78 | 0.55 |
| Nd | 0.00175 | 0.0056 | 0.235 | 0.0006 | 1.08 | 1.35 | 0.581 |
| Sm | 0.0015 | 0.015 | 0.405 | 0.0006 | 0.4 | 0.444 | 0.239 |
| Zr | 0.0015 | 0.032 | 0.112 | 0.07 | 10.1 | 11.2 | 5.082 |
| Gd | 0.0029 | 0.034 | 0.52 | 0.0009 | 0.536 | 0.596 | 0.358 |
| Tb | 0.0025 | 0.054 | 0.61 | 0.0012 | 0.097 | 0.108 | 0.07 |
| Y | 0.0015 | 0.095 | 0.67 | 0.002 | 4.095 | 4.55 | 3.328 |
| Yb | 0.05 | 0.22 | 0.71 | 0.0045 | 0.444 | 0.493 | 0.365 |
| Lu | 0.0325 | 0.22 | 0.58 | 0.0053 | 0.067 | 0.074 | 0.058 |
| (Nb/Zr)PM | 0.66 | 1 | 0.46 | ||||
| (Nb/Y)PM | 0.67 | 1 | 0.28 | ||||
| (La/Sm)n | 0.78 | 1 | 0.52 | ||||
| (Nb/La)PM | 0.86 | 1 | 0.75 | ||||
Таблица 5.
Состав модельных расплавов из слабо деплетированного (DepM), примитивного (PM) и деплетированного (DMM) мантийных источников
| Компоненты | DepM | PM | DMM | ||
|---|---|---|---|---|---|
| Cld 0.1 | Cld 0.15 | Cld 0.2 |
Cl 0.15 | Cldm 0.1 |
|
| Th | 0.5 | 0.3 | 0.26 | 0.6 | 0.08 |
| Nb | 4.3 | 2.9 | 2.1 | 4.7 | 1.49 |
| La | 4.8 | 3.2 | 2.4 | 4.5 | 1.9 |
| Ce | 12 | 8 | 6.2 | 11.5 | 5.5 |
| Nd | 10 | 7.2 | 5.4 | 8.4 | 5.6 |
| Sm | 3.4 | 2.6 | 2.0 | 2.6 | 2.0 |
| Zr | 100 | 67 | 50 | 69 | 50 |
| Gd | 4.1 | 3.3 | 2.7 | 3.3 | 2.7 |
| Tb | 0.7 | 0.6 | 0.5 | 0.6 | 0.5 |
| Y | 26 | 23 | 20 | 23 | 21 |
| Yb | 2.0 | 1.9 | 1.8 | 1.9 | 1.7 |
| Lu | 0.3 | 0.3 | 0.28 | 0.31 | 0.3 |
| (Nb/Y)PM | 1.06 | 0.8 | 0.69 | 1.3 | 0.44 |
| (La/Sm)n | 0.91 | 0.8 | 0.78 | 1.7 | 0.62 |
| (Nb/La)PM | 0.86 | 0.86 | 0.86 | 1.01 | 0.74 |
Примечание. Концентрации в модельных расплавах (Cl) при степени плавления от 10 до 20%. Соотношения фаз при немодальном плавлении шпинелевого лерцолита: в источнике – Ol (0.57), Opx (0.25), Cpx (0.16), Spl (0.02), при образовании расплава – Ol (0.07), Opx (0.25), Cpx (0.8), Spl (0.02), по (Pfänder et al., 2002). Использовано уравнение: Cl/Co = 1/D(1 – PF/D)1/P – 1, где концентрация в расплаве (Cl) и источнике (Co), валовые коэффициенты распределения исходных фаз (D) и плавящихся фаз (P), F – степень плавления.
Рис. 10.
Результаты расчетного моделирования плавления мантийных источников в сравнении с мафическими породами Онотского блока. Амфиболиты: (а) – малоиретская толща (MI – средний состав, 4-03 – амфиболит андезибазальтового состава), (б) – камчадальская толща (К – средний состав, 5-20 – амфиболит, деплетированный легкими РЗЭ), (в) – включения в ТТГ-комплексе (51-03 и 157-95 – амфиболиты). Модельные расплавы: (а, б) – Cl0.1d, Cl0.15d, Cl0.2d из слабо деплетированного мантийного источника; (в) – Cl0.15d, Cl0.15 из слабо деплетированного и примитивного (Sun, McDonough, 1989) источников. Цифры указывают степень плавления. Граничные параметры моделирования см. в тексте и табл. 4 и 5.

Габброиды мелких тел с (La/Sm)n = 0.7–1.3 характеризуются более низкими величинами (Nb/Y)PM (0.5–0.6) и (Nb/Zr)PM (0.6–0.7) в сравнении с амфиболитами, что указывает на плавление более деплетированного мантийного источника, близкого по составу к современной деплетированной мантии по оценке (Workman, Hart, 2005). В пользу деплетированного источника свидетельствуют и величины εNd(Т) +2.8 и +0.3 этих пород. Эти оценки согласуются с результатами расчетного моделирования плавления деплетированного источника (рис. 11а).
Рис. 11.
(а) – габбро мелких тел (обр. 45-20 и 13-03 – габбро, недеплетированные и деплетированные легкими РЗЭ); (б) – габбронориты (обр. 74-95 – габбронорит и модельные расплавы (Cl0.6 и C10.75) при степени кристаллизации 60 и 75%. Модельные расплавы: (а) Cl0.1dm – из деплетированной мантии (Workman, Hart, 2005); (б) – Cl0.15d, Cl0.2d – из слабо деплетированного источника. Цифры указывают степень плавления. Граничные параметры моделирования см. в тексте и табл. 4 и 5.

Оценка состава мантийного источника для габброноритов сделана на основании состава модельных расплавов для одного из образцов (74-95). Низкие отношения (Nb/Y)PM (0.8–1.0) для габброноритов свидетельствуют о деплетированном характере источника. Это согласуется с результатами расчетного моделирования, показывающего, что такие расплавы могут быть получены при 10–15% плавлении слабо деплетированной мантии (рис. 11б). Поскольку материнский расплав имел более низкие концентрации несовместимых элементов, то для его образования требуется более высокая степень плавления. Независимо от концентраций рассматриваемых элементов в модельных и материнских расплавах, их мультиэлементные спектры характеризуются (Nb/Y)PM ≤ 1, т.е. связаны со слабо деплетированным источником. Эти результаты контрастируют с отрицательными значениями εNd(Т) (от –0.3 до –1.4) габброноритов.
Совместный анализ результатов расчетного моделирования, индикаторных отношений редких элементов и изотопного состава позволяет проследить изменение характера источников для базитов Онотского блока от архейского к палеопротерозойскому этапу. Потенциальные источники мафических магм могли включать субконтинентальную литосферную и астеносферную мантию. Мантийные источники архейского времени имели деплетированные редкоэлементные ((Nb/Y)PM = 0.6–1.0) и изотопные (εNd(Т) до +5.2) характеристики в сочетании с варьирующим вкладом долгоживущего компонента, обогащенного легкими РЗЭ и Th, что привело к широким вариациям изотопного состава метабазальтов (εNd(Т) от +5.2 до –1.0) и их различной степени деплетирования Nb относительно Th и La (Nb/Nb* = 1.2–0.4). Исходя из этих изотопных и геохимических данных, доминирующим источником архейских базальтов, вероятно, служила субконтинентальная литосферная мантия, сохраняющая свою изотопную и геохимическую гетерогенность вследствие изоляции от конвектирующей астеносферы.
Формирование базальтов Онотского зеленокаменного пояса в мезоархее в результате плавления субконтинентальной литосферной мантии, вероятно, привело к дальнейшему ее деплетированию некогерентными редкими элементами, что фиксируется в составе палеопротерозойских габброидов мелких тел с более низкими величинами (Nb/Y)PM (0.5–0.6) и (Nb/Zr)PM (0.6–0.7) в сравнение с архейскими метабазальтами. Изотопный состав этих пород (εNd(Т) +2.8 и +0.3) отвечает области эволюции архейской деплетированной литосферной мантии с высоким значением 147Sm/144Nd (∼0.21). Индикатором увеличения гетерогенности литосферной мантии в палеопротерозое служат габбронориты с отрицательным εNd(Т). Подобная гетерогенность источников установлена, например, для палеопротерозойских силлов и базальтов кратона Каапваль, включающих высоко- и низко-Th разновидности с положительными и отрицательными значениями εNd(Т) соответственно (Humbert et al., 2020). Изотопный состав Nd в габброноритах допускает возможность их образования из архейской литосферной мантии, эволюционировавшей в результате радиоактивного распада при пониженной величине 147Sm/144Nd (∼0.19) (рис. 7). Редкоэлементный и изотопный состав всех палеопротерозойских габброидов не требует значительного обогащения легкими лантаноидами на архейском этапе. Предполагаемый диапазон 147Sm/144Nd (0.21–0.19) для их мантийных источников коррелирует с вариациями этого отношения в архейских метабазальтах (147Sm/144Nd = = 0.2–0.18). Следовательно, эволюция в процессе радиоактивного распада гетерогенной архейской литосферной мантии определяет вариации изотопного состава палеопротерозойских габброидов. Различная степень обеднения Nb относительно La и Th как архейских метабазальтов, так и палеопротерозойских габброидов предполагает в качестве доминирующего источника литосферную мантию, испытавшую метасоматоз под действием флюидов/расплавов.
Геодинамические условия мафического магматизма
Детальные исследования вещественных характеристик базальтов архейских зеленокаменных поясов выявили широкое разнообразие их состава, по которому они сопоставляются с современными базальтами океанических плато, субдукционных обстановок и континентальных рифтов (Furnes et al., 2013; Condie, 1994; Komiya et al., 2004; Щипанский, 2008; Слабунов, 2008; Thurston, 2015). Главным аргументом в пользу формирования зеленокаменных поясов в обстановке континентального рифтинга считается наличие континентального основания, перекрытого кластическими и/или карбонатными осадками и основными вулканическими породами (Hartlaub et al., 2004). Формирование мезоархейских вулканитов ЗКП в обстановке растяжения при рифтогенезе древней континентальной коры детально обосновано в работе (Turkina et al., 2020). В Онотском зеленокаменном поясе кислые метавулканиты нижней толщи, ассоциирующие с карбонатными осадками (мраморами), формировались в мелководной остановке. Перекрывающие метабазальты содержат прослои карбонатов, железистых кварцитов и глиноземистых сланцев, что указывает на углубление бассейна вследствие продолжающегося растяжения. Аргументами в пользу рифтогенной энсиалической обстановки для этого зеленокаменного пояса являются бимодальный и антидромный характер вулканических ассоциаций, сходство метариолитов нижней толщи с кислыми вулканитами типа FIII архейских ЗКП, образующимися в результате плавления при низком давлении в обстановке растяжения и рифтинга (Lesher et al., 1986; Hart et al., 2004), а также изотопный состав метариолитов (εNd(Т) от –3.8 до –0.8 и εHf(Т) от –5.3 до –8.5), указывающий на коровый источник. Анализ происхождения метабазальтов ЗКП показал, что породы андезибазальтового состава с повышенным (La/Sm)n и низкими εNd(Т) (–1.8 и –4.1) были контаминированы коровым материалом, отвечающим породам ТТГ-комплекса. Все эти данные позволяют заключить, что ЗКП формировался в результате растяжения/рифтинга палеоархейского континентального основания. Доминирующим источником для метабазальтов зеленокаменного пояса была субконтинентальная литосферная мантия.
Формирование габброноритов и габброидов мелких тел относится к палеопротерозойскому этапу магматизма и следует за главным этапом деформации и метаморфизма в Онотском блоке. В пользу принадлежности к постколлизионному этапу свидетельствует дискордантность тел габброидов по отношению к главным складчатым структурам. В отличие от архейских амфиболитов габброиды не метаморфизованы, за исключением неравномерно проявленной амфиболизации, которая, скорее, обусловлена воздействием палеопротерозойских гранитов, а не метаморфизмом. Амфиболизация не сопровождалась перераспределением наиболее мобильных элементов Rb и K, сохраняющих низкие концентрации в габброидах. Таким образом, становление габброидов было связано с палеопротерозойским тектоно-магматическим этапом (∼1.88–1.84 млрд лет), проявленным, прежде всего, в образовании гранитоидов во всех блоках Шарыжалгайского выступа. В Онотском блоке к постколлизионным относятся гранитоиды Шумихинского (1.86–1.85 млрд лет) и Гиргинтуйского (1.87 млрд лет) массивов (Донская и др., 2002; Туркина, Капитонов, 2017; Левицкий и др., 2002), образование которых следует за метаморфизмом на рубеже ∼1.88 млрд лет (Туркина, Ножкин, 2008). Палеопротерозойский мафический магматизм (∼1.86–1.84 млрд лет) наиболее широко проявлен в Иркутном блоке Шарыжалгайского мегаблока и представлен габброноритами Малозадойского массива (Мехоношин и др., 2016), габбро-долеритами китойского роя даек (Гладкочуб и др., 2013) и монцодиоритами Тойсукского массива (Туркина, Капитонов, 2019). Геологические и геохронологические данные свидетельствуют о субсинхронности палеопротерозойского мафического и гранитоидного магматизма в пределах Шарыжалгайского мегаблока и его связи с обстановкой постколлизионного растяжения.
Субконтинентальная литосферная мантия Онотского блока
В Онотском блоке базитовый магматизм как мезоархейского, так и палеопротерозойского этапов происходил в обстановках растяжения (рифтогенного или постколлизионного), где главными источниками мафических расплавов могли быть субконтинентальная литосферная мантия и астеносфера, которые контрастно различаются по геохимическим и изотопным параметрам.
Большинство амфиболитов, габброноритов и габбро Онотского блока формировались из слабо деплетированных до примитивно-мантийных источников, о чем свидетельствует положение точек этих пород на диаграмме Zr/Y–Nb/Y между точками деплетированной (DM) и примитивной (PM) мантии (рис. 12а). Согласно изотопным данным, архейские породы имели долгоживущие в различной степени деплетированные источники, эволюционировавшие к палеопротерозою в результате радиоактивного распада. Деплетированные характеристики характерны для литосферной мантии, образованной как рестит от удаления мафических расплавов. На долговременное деплетирование субконтинентальной литосферы Онотского блока указывает и изотопный состав палеоархейских (∼3.4 млрд лет) пород ТТГ-комплекса (εNd(Т) от +1.2 до –0.4 для пород, εHf(Т) от +3.3 до –0.1 для цирконов), образованных из производных мантии метабазитовых источников (Туркина и др., 2013). Вместе с тем все амфиболиты, габбронориты и габбро в различной степени обогащены легкими РЗЭ и Th относительно модельных расплавов из деплетированных мантийных субстратов, что приводит к появлению Nb-минимума на мультиэлементных спектрах и смешению фигуративных точек пород из области мантийных трендов в область “гидратированных” или обогащенных источников (рис. 12б, 12в). Традиционно такие геохимические характеристики рассматриваются как следствие либо контаминации коровым материалом, либо плавления мантийного сегмента, измененного под действием флюидов/расплавов в надсубдукционных зонах (Saunders et al., 1991; Pearce, Parkinson, 1993; Straub, Zellmer, 2012), подобная интерпретация предлагается и для архейских мафических пород с аналогичным обеднением Nb относительно Th и La (Smithies et al., 2004; Sandeman et al., 2006; Polat et al., 2008; Polar, 2009; Jenner et al., 2009; Furnes et al., 2013). Как показано выше, коровая контаминация не влияла на геохимические и изотопные характеристики большинства амфиболитов и габброидов. В геологической истории литосферы Онотского блока неизвестно проявление как архейских, так и палеопротерозойских субдукционных процессов и связанного с ними магматизма. Магматические ассоциации субдукционного генезиса слагают основной объем коры Иркутного блока Шарыжалгайского выступа (Turkina et al., 2012), но их образование ∼2.7 млрд лет произошло после мезоархейского мафического магматизма в Онотском блоке. Обогащение легкими РЗЭ и Th относительно Nb для мафических пород, безусловно, является признаком метасоматических процессов, представляющих единственный механизм обогащения мантии некогерентными элементами, но, вероятно, не всегда связано с надсубдукционными процессами, и, следовательно, такие геохимические сигнатуры не могут служить бесспорным доказательством субдукционной геодинамической обстановки.
Рис. 12.
Индикаторные диаграммы состава мантийных источников для мафических пород Онотского блока. Амфиболиты: 1 – малоиретская толща, 2 – камчадальская толща, 3 – включения в ТТГ-комплексе; 4 – габбронориты Алзагайского массива; 5 – габбро мелких тел. (а) – мантийные источники: 6: DM – деплетированный, DEP – глубинный деплетированный, EN – обогащенный, REC – рециклированный (Condie, 2005); 7: PM – примитивный. (б) – 6: N-MORB и E-MORB – нормальные и обогащенные базальты срединно-океанических хребтов, OIB – базальты океанических островов. (в) – мантийные источники: 6 – PM – примитивный, HM – гидратированный, DM – деплетированный, EN – обогащенный; 7 – континентальная кора (Condie, 2018).

ЗАКЛЮЧЕНИЕ
В Онотском блоке Шарыжалгайского выступа (юго-запад Сибирского кратона) мафические ассоциации представлены мезоархейскими (∼2.88 млрд лет) метабазальтами (амфиболитами) зеленокаменного пояса и палеопротерозойскими (∼1.86 млрд лет) интрузивными габброноритами и габброидами мелких тел, которые формировались в обстановках рифтогенного и постколлизионного растяжения соответственно.
Архейские амфиболиты ЗКП и из включений в породах ТТГ-комплекса по составу отвечают низкотитанистым толеитовым базальтам и андезитобазальтам. Породы базальтового состава характеризуются плоскими редкоземельными спектрами ((La/Sm)n = 0.9–1.9), обеднением Nb относительно Th и La (Nb/Nb* = 0.4–1.1) и широким диапазоном преимущественно положительных εNd(Т) (от +5.2 до –1.0). Обогащение некогерентными элементами, Eu-минимум и отрицательные значения εNd(Т) амфиболитов андезибазальтового состава являются результатом контаминации палеоархейскими плагиогнейсами сиалического основания ЗКП. Палеопротерозойские габбронориты имеют высокие значения Mg# и крайне низкие концентрации Ti и некогерентных элементов. Они характеризуются низкими величинами (Nb/Y)PM (0.8–1.0) в сочетании с отрицательными значениями εNd(Т) (от 0 до –1.4) и слабым обогащением легкими РЗЭ и Th относительно Nb. Габброиды мелких тел имеют низкое значение (La/Sm)n, εNd(Т) от +2.8 и +0.3 и отрицательную Nb-аномалию (Nb/Nb* = 0.3–0.4).
Характерные черты редкоэлементного состава и результаты расчетного моделирования свидетельствуют о формировании амфиболитов, габброноритов и габбро преимущественно из слабо деплетированных мантийных источников. Изотопный состав Nd палеопротерозойских габброидов обусловлен эволюцией гетерогенной архейской литосферной мантии, перидотиты которой имеют варьирующее Sm/Nd отношение.
Изотопный и редкоэлементный состав амфиболитов отражает исходно деплетированный характер мезоархейской мантии и ее метасоматическое преобразование при воздействии флюидов/расплавов, предшествующее плавлению на рубеже ∼2.88 млрд лет. Геохимические и изотопные Nd характеристики габброноритов и габброидов свидетельствуют об увеличении гетерогенности палеопротерозойской литосферной мантии, обусловленной предшествующими архейскими процессами. Различная степень деплетирования Nb относительно Th и La как архейских, так и палеопротерозойских базитов является результатом метасоматоза мантийного субстрата и не отражает геодинамические условия их формирования.
Благодарности. Авторы признательны рецензентам А.А. Щипанскому и А.И. Слабунову за конструктивные замечания, способствовавшие улучшению работы.
Источники финансирования. Работа выполнена при поддержке РФФИ (грант № 20-05-00265). Систематизация данных по составу габброидов выполнена в рамках базового проекта фундаментальных исследований ИГМ СО РАН. Изотопные Sm-Nd анализы выполнены в ЦКП “Геоаналитик” ИГГ УрО РАН. Дооснащение и комплексное развитие ЦКП “Геоаналитик” ИГГ УрО РАН осуществляется при финансовой поддержке гранта Министерства науки и высшего образования Российской Федерации, Соглашение № 075-15-2021-680.
Список литературы
Аникина Е.В., Малич К.Н., Белоусова Е.А. и др. U-Pb возраст и Hf-Nd-Sr изотопная систематика жильных пород Волковского массива (Средний Урал, Россия) // Геохимия. 2018. № 3. С. 209–221.
Бибикова Е.В., Туркина О.М., Кирнозова Т.И., Фугзан М.М. Древнейшие плагиогнейсы Онотского блока Шарыжалгайского выступа: изотопная геохронология // Геохимия. 2006. № 3. С. 347–352.
Гладкочуб Д.П., Писаревский С.А., Мазукабзов А.М. и др. Первые свидетельства палеопротерозойского позднеколлизионного базитового магматизма в Присаянском выступе фундамента Сибирского кратона // Докл. АН. 2013. Т. 450. № 4. С. 440–444.
Гонгальский Б.И., Суханов М.К., Гольцман Ю.В. Sm-Nd изотопная система Чинейского анортозит-габброноритового плутона (Восточное Забайкалье) // Проблемы геологии рудных месторождений, минералогии, петрологии и геохимии. М.: ИГЕМ РАН, 2008. С. 57–60.
Государственная геологическая карта Российской федерации. М: 1 : 1000000 (третье поколение). Лист N-48-Иркутск. Объяснительная записка // Т.Ф. Галимова, С.А. Пермяков, В.Т. Бобровский и др. Санкт-Петербург, 2006. Часть 1. 490 с.
Донская Т.В., Сальникова Е.Б., Скляров Е.В. и др. Раннепротерозойский постколлизионный магматизм южного фланга Сибирского кратона: новые геохронологические данные и геодинамические следствия // Докл. АН. 2002. Т. 382. № 5. С. 663–667.
Левицкий В.И., Мельников А.И., Резницкий Л.З. и др. Посткинематические раннепротерозойские гранитоиды юго-западной части Сибирской платформы // Геология и геофизика. 2002. Т. 43. № 8. С. 717—731.
Мехоношин А.С., Эрнст Р.Э., Седерлунд У. и др. Связь платиноносных ультрамафит-мафитовых интрузивов с крупными изверженными провинциями (на примере Сибирского кратона) // Геология и геофизика. 2016. Т. 57. № 5. С. 1043–1057.
Николаева И.В., Палесский С.В., Козьменко О.А., Аношин Г.Н. Определение редкоземельных и высокозарядных элементов в стандартных геологических образцах методом масс-спектрометрии с индукционно-связанной плазмой // Геохимия. 2008. № 10. С. 1085–1091.
Ножкин А.Д., Туркина О.М. Геохимия гранулитов. Новосибирск: Изд-во ОИГГиМ СО РАН, 1993. 219 с.
Ножкин А.Д., Туркина О.М., Мельгунов М.С. Геохимия метаосадочно-вулканогенных толщ и гранитоидов Онотского зеленокаменного пояса // Геохимия. 2001. № 1. С. 31–50.
Слабунов А.И. Геология и геодинамика архейских подвижных поясов (на примере Беломорской провинции Фенноскандинавского щита). Петрозаводск: КарНЦ РАН, 2008. 296 с.
Туркина О.М. Амфиболит-плагиогнейсовый комплекс Онотского блока, Шарыжалгайский выступ: изотопные и геохимические свидетельства эволюции континентальной коры в раннем архее // Докл. АН. 2004. Т. 399. № 5. С. 678–682.
Туркина О.М., Капитонов И.Н. Изотопный Lu-Hf состав циркона как индикатор источников расплава для палеопротерозойских коллизионных гранитоидов (Шарыжалгайский выступ, Сибирский кратон) // Геология и геофизика. 2017. Т. 58. № 2. С. 181–199.
Туркина О.М., Капитонов И.Н. Источники палеопротерозойских коллизионных гранитоидов (Шарыжалгайский выступ, ЮЗ Сибирского кратона): от литосферной мантии до верхней коры // Геология и геофизика. 2019. Т. 60. № 4. С. 489–513.
Туркина О.М., Ножкин А.Д. Океанические и рифтогенные метавулканические ассоциации зеленокаменных поясов северо-западной части Шарыжалгайского выступа, Прибайкалье // Петрология. 2008. Т. 16. № 5. С. 501–526.
Туркина О.М., Бережная Н.Г., Ларионов А.Н. и др. Палеоархейский тоналит-трондьемитовый комплекс северо-западной части Шарыжалгайского выступа (юго-запад Сибирского кратона): результаты U-Pb и Sm-Nd исследования // Геология и геофизика. 2009. Т. 50. № 1. С. 21–37.
Туркина О.М., Капитонов И.Н., Сергеев С.А. Изотопный состав Hf в цирконе из палеоархейских плагиогнейсов и плагиогранитоидов Шарыжалгайского выступа (юг Сибирского кратона) и его значение для оценки роста континентальной коры // Геология и геофизика. 2013. Т. 54. № 3. С. 357–370.
Туркина О.М., Сергеев С.А., Капитонов И.Н. U-Pb возраст и Lu-Hf изотопные характеристики детритовых цирконов из метаосадков Онотского зеленокаменного пояса (Шарыжалгайский выступ, юг Сибирского кратона) // Геология и геофизика. 2014. Т. 55. № 11. С. 1581–1597.
Туркина О.И., Изох А.Э., Ножкин А.Д. Метабазиты зеленокаменного пояса Булунского блока (юго-запад Сибирской платформы) как индикаторы состава и изотопных параметров архейской мантии // Петрология. 2021. Т. 29. № 4. С. 365–387.
Щипанский А.А. Субдукционные и мантийно-плюмовые процессы в геодинамике формирования архейских зеленокаменных поясов. М.: ЛКИ, 2008. 543 с.
Bédard J. Parental magmas of the Nain Plutonic Suite anorthosites and mafic cumulates: A trace element modelling approach // Contrib. Mineral. Petrol. 2001. V. 141. P. 747–771.
Bennet V.C. Compositional evolution of the mantle // Treatise on Geochemistry. 2003. V. 2. P. 493–519.
Condie K. Archean Greenstone Belts. Amsterdam: Elsevier, 1981. 434 p.
Condie K. Greenstones through time // Archean Crustal Evolution. Ed. K.C. Condie. Amsterdam: Elsevier, 1994. P. 85–120.
Condie K.C. High field strength element ratios in Archean basalts: A window to evolving sources of mantle plumes // Lithos. 2005. V. 79. P. 491–504.
Condie K.C. A planet in transition: The onset of plate tectonics on Earth between 3 and 2 Ga? // Geoscience Frontiers. 2018. V. 9. P. 51–60.
Cook Y.A., Sanislav I.V., Hammerli J. et al. A primitive mantle source for the Neoarchean mafic rocks from the Tanzania Craton // Geoscience Frontiers. 2016. V. 7. P. 911–926.
Danyushevsky L.V., Plechov P. PETROLOG 3: Integrated software for modeling crystallization processes // Geochemistry, Geophysics, Geosystems. 2011. V. 12. № 7. https://doi.org/10.1029/2011GC003516
Donskaya T.V. Assembly of the Siberian Craton: Constraints from Paleoproterozoic granitoids // Precambrian Res. 2020. V. 348. 105869.
Ernst R.E., Hamilton M.A., Söderlund U. et al. Long-lived connection between southern Siberia and northern Laurentia in the Proterozoic // Nature Geoscience. 2016. V. 9. P. 464–469.
Furnes H., De Wit M., Robins B. A review of new interpretations of the tectonostratigraphy, geochemistry and evolution of the Onverwacht Suite, Barberton greenstone belt, South Africa // Gondwana Res. 2013. V. 23. P. 403–428.
Goldstein S.J., Jacobsen S.B. Nd and Sm isotopic systema-tics of river water suspended material: implications for crustal evolution // Earth Planet. Sci. Lett. 1988. V. 87. P. 249–265.
Hart T.R., Gibson H.L., Lesher C.M. Trace element geochemistry and petrogenesis of felsic volcanic rocks associated with volcanogenic massive Cu–Zn–Pb sulfide deposits // Econom. Geol. 2004. V. 99. P. 1003–1013.
Hartlaub R.P., Heaman L.M., Ashton K.E., Chacko T. The Archean Murmac Bay Group: Evidence for a giant Archean rift in the Rae Province, Canada // Precambrian Res. 2004. V. 131. P. 345–372.
Hollings P., Kerrich R. Trace element systematics of ultramafic and mafic volcanic rocks from the 3 Ga North Caribou greenstone belt, northwestern Superior Province // Precambrian Res. 1999. V. 93. P. 257–279.
Hughes H.S.R., McDonald J., Goodenough K.M. et al. Enriched lithospheric mantle keel below the Scottish margin of the North Atlantic Craton: Evidence from the Palaeoproterozoic Scourie Dyke Swarm and mantle xenoliths // Precambrian Res. 2014. V. 250. P. 97–126.
Humbert F., Agangic A., Massuyeau M. et al. Rifting of the Kaapvaal Craton during the early Paleoproterozoic: Evidence from magmatism in the western Transvaal subbasin (South Africa) // Precambrian Res. 2020. V. 342. 105687.
Humphris S.E. The mobility of the rare earth elements in the crust // Rare Earth Element Geochemistry. Ed. P. Henderson. Amsterdam: Elsevier, 1984. P. 317–342.
Jacobsen S.B., Wasserburg G.J. Sm-Nd evolution of chondrites and achondrites // Earth Planet. Sci. Lett. 1984. V. 67. P. 137–150.
Jenner F.E., Bennett V.C., Nutman A.P. et al. Evidence for subduction at 3.8 Ga: Geochemistry of arc-like metabasalts from the southern edge of the Isua Supracrustal Belt // Chemical Geol. 2009. V. 261. P. 83–98.
Kerrich R., Wyman D.A. Review of developments in trace element fingerprinting of geodynamic settings and their implications for mineral exploration // Australian J. Earth Sci. 1997. V. 44. P. 465–487.
Komiya T., Maruyama S., Hirata T. et al. Geochemistry of the oldest MORB and OIB in the Isua Supracrustal Belt, southern West Greenland: Implications for the composition and temperature of early Archean upper mantle // The Island Arc. 2004. V. 13. P. 47–72.
Lesher C.M., Goodwin A.M., Campbell I.H., Gorton M.P. Trace-element geochemistry of ore-associated and barren, felsic metavolcanic rocks in the Superior Province, Canada // Canadian J. Earth Sci. 1986. V. 23. P. 222–237.
Ludden J., Gelinas L. Archaean metavolcanics from the Rouyn-Noranda district, Abitiby greenstone belt, Quebec. 2. Mobility of trace elements and petrogenetic constraints // Canadian J. Earth Sci. 1982. V. 19. P. 2276–2287.
Pearce J.A., Parkinson I.J. Trace element models for mantle melting: application to volcanic arc petrogenesis // Eds. H.M. Prichard, T. Alabaster, N.B.W. Harris, C.R. Neary. Magmatic Processes and Plate Tectonics: Geological Society of London, Special Publ. 1993.V. 76. P. 373–403.
Pfänder A., Jochum K.P., Kozakov I. et al. Coupled evolution of back-arc and arc-like mafic crust in the late-Neoproterozoic Agadagh Tes-Chem ophiolite, Central Asia: Evidence from trace element and Sr-Nd isotope data // Contrib. Mineral. Petrol. 2002. V. 143. P. 154–174.
Polat A. The geochemistry of Neoarchean (ca. 2700 Ma) tholeiitic basalts, transitional to alkaline basalts, and gabbros,Wawa Subprovince, Canada: Implications for petrogenetic and geodynamic processes // Precambrian Res. 2009. V. 168. P. 83–105.
Polat A., Kerrich R., Wyman D.A. Geochemical diversity in oceanic komatiites and basalts from the late Archean Wawa greenstone belts, Superior Province, Canada: Trace element and Nd isotope evidence for a heterogeneous mantle // Precambrian Res. 1999. V. 94. P. 139–173.
Polat A., Frei R., Appel P.W.U. et al. The origin and compositions of Mesoarchean oceanic crust: Evidence from the 3075 Ma Ivisaartoq greenstone belt, SW Greenland // Lithos. 2008. V. 100. P. 293–321.
Poller U., Gladkochub D., Donskaya T. et al. Timing of Early Proterozoic magmatism along the Southern margin of the Siberian craton (Kitoy area) // Trances. Roal. Sci. Edinb. Earth Sci. 2004. № 95. P. 215–225.
Poller U., Gladkochub D., Donskaya T. et al. Multistage magmatic and metamorphic evolution in the Southern Siberian craton: Archean and Paleoproterozoic zircon ages revealed by SHRIMP and TIMS // Precambrian Res. 2005. V. 136. P. 353–368.
Puchtel I.S., Haase K.M., Hofmann A.W. et al. Petrology and geochemistry of crustally contaminated komatiitic basalts from the Vetreny Belt, southeastern Baltic Shield: Evi-dence for an early Proterozoic mantle plume beneath rifted Archean continental lithosphere // Geochem. Cosmochem. Acta. 1997. V. 61. № 6. P. 1205–1222.
Said N., Kerrich R. Geochemistry of coexisting depleted and enriched Paringa Basalts, in the 2.7 Ga Kalgoorlie Terrane, Yilgarn Craton, Western Australia: Evidence for a heterogeneous mantle plume event // Precambrian Res. 2009. V. 174. P. 287–309.
Sandeman H.A., Hanmer S., Tella S. et al. Petrogenesis of Neoarchaean volcanic rocks of the MacQuoid supracrustal belt: A back-arc setting for the northwestern Hearne subdomain, western Churchill Province, Canada // Precambrian Res. 2006. V. 144. P. 140–165.
Sandeman H.A., Heaman L.M., LeCheminant A.N. The Paleoproterozoic Kaminak dykes, Hearne craton, western Churchill Province, Nunavut, Canada: Preliminary constraints on their age and petrogenesis // Precambrian Res. 2013. V. 232. P. 119–139.
Saunders A.D., Norry M.J., Tarney J. Fluid influence on the trace element compositions of subduction zone magmas // Phil. Trans. Royal Soc. London A. 1991. V. 335. P. 377–392.
Smithies R.H., Champion D.C., Sun S.-S. Evidence for early LREE-enriched mantle source regions: diverse magmas from the c. 3.0 Ga Mallina Basin, Pilbara Craton, NW Australia // J. Petrology. 2004. V. 45. P. 1515–1537.
Straub S.M., Zellmer G.F. Volcanic arcs as archives of plate tectonic change // Gondwana Res. 2012. V. 21. P. 495–516.
Szilas K., Hoggmann J.E., Hansmeier C. et al. Sm-Nd and Lu-Hf isotope and trace-element systematics of Mesoarchaean amphibolites, inner Ameralik fjord, southern West Greenland // Mineral. Mag. 2015. V. 79. № 4 P. 857–876.
Sun S.S., McDonough W.F. Chemical and Isotopic Systematics of Oceanic Basalts: Implications for Mantle Composition and Processes // Magmatism in the Oceanic Basins. Eds. A.D. Saunders and M.J. Norry. Geol. Soc. Spec. Publ. 1989. V. 42. P. 313–345.
Thurston P.C. Igneous rock associations 19. Greenstone belts and granite-greenstone terranes: Constraints on the nature of the Archean World // Geoscience Canada. 2015. V. 42. P. 437–484.
Tomlinson K.Y., Davis D.W., Percival J.A. et al. Mafic to felsic magmatism and crustal recycling in the Obonga Lake greenstone belt, western Superior Province: Evidence from geochemistry, Nd isotopes and U-Pb geochronology // Precambrian Res. 2002. V. 114. P. 295–325.
Turkina O.M., Berezhnaya N.G., Lepekhina E.N., Kapitonov I.N. U-Pb (SHRIMP-II), Lu-Hf isotope and trace element geochemistry of zircons from high-grade metamorphic rocks of the Irkut terrane, Sharyzhalgay Uplift: Implications for the Neoarchaean evolution of the Siberian Craton // Gondwana Res. 2012. V. 21. P. 801–817.
Turkina O.M., Sukhorukov V.P., Sergeev S.A. Mesoarchean bimodal volcanic rocks of the Onot greenstone belt, southwestern Siberian craton: Implications for magmatism in an extension/rift setting // Precambrian Res. 2020. https://doi.org/10.1016/j.precamres.2020.105731
Workman R.K., Hart A.R. Major and trace element composition of the depleted MORB mantle (DMM) // Earth Planet. Sci. Lett. 2005. V. 231. P. 53–72.
Дополнительные материалы отсутствуют.



