Петрология, 2022, T. 30, № 5, стр. 545-568
Минералого-геохимические и Nd-Sr изотопные характеристики амфиболитов высокобарического комплекса Алаг-Хадны (Юго-Западная Монголия): внутриконтинентальный рифтогенез как прекурсор субдукции континентальной окраины
С. Ю. Скузоватов a, *, М. А. Горнова a, А. А. Каримов a
a Институт геохимии им. А.П. Виноградова СО РАН
Иркутск, Россия
* E-mail: skuzovatov@igc.irk.ru
Поступила в редакцию 15.12.2021
После доработки 10.02.2022
Принята к публикации 10.03.2022
- EDN: KRFVFK
- DOI: 10.31857/S0869590322040057
Аннотация
В пределах субдукционно-аккреционных комплексов высокобарические породы (глаукофановые сланцы, эклогиты) зачастую совмещены с породами более низких ступеней метаморфизма, последние представляют собой их ретроградно преобразованные аналоги, или были вовлечены в аккреционные процессы на более поздних стадиях, и, таким образом, характеризуют совершенно иные этапы формирования структуры и эволюции аккреционных поясов. В Юго-Западной Монголии в состав Центрально-Азиатского пояса входят палеосубдукционные комплексы неопротерозой-раннепалеозойского возраста, представленные эклогитами и ассоциирующими с ними породами комплекса Алаг-Хадны. В настоящей работе представлены результаты минералого-геохимических и изотопных исследований амфиболитов из указанного комплекса, природа и соотношение с эклогитами для которых до настоящего времени являлись неопределенными. Структура изученных пород меняется от мелкозернистых гранобластовых и нематогранобластовых эпидот-клиноцоизитовых до среднезернистых нематобластовых титанит-эпидотовых амфиболитов, интенсивно перекристаллизованных в результате поздних деформаций. Первичные парагенезисы представлены амфиболами – паргаситом и магнезиальной роговой обманкой ([B]Na = 0.07–0.16, IVAl = 0.79–1.69, [A](Na + K + 2Ca) = 0.14–0.64, [С](Al + Fe3+ + Ti) = = 0.58–1.29, Fe2+/(Fe2+ + Mg) = 0.18–0.46 при Fe3+/(Fe3+ + Al) = 0.18–0.77), кислым-средним плагиоклазом (An24–36), эпидотом-клиноцоизитом (0.13 < ${{X}_{{{\text{F}}{{{\text{e}}}^{{{\text{3 + }}}}}}}}$ < 0.25), тогда как ретроградная ассоциация включает в себя альбит и магнезиальную роговую обманку. Расчеты с использованием состава амфиболов, амфиболовой и амфибол-плагиоклазовой термобарометрии показали пиковые условия равновесия (570–630°С, 7–9 кбар) в высокотемпературной эпидот-амфиболитовой фации, с ретроградным преобразованием в условиях зеленосланцевой фации. Петрохимические характеристики амфиболитов соответствуют таковым умеренно-титанистых толеитов низкой щелочности, однако редкоэлементный состав значительно варьирует от близких к N-MORB до E-MORB, в различной степени обогащены Nb, Ta, Th, U, имеют минимумы по Eu и Ti, обусловленные фракционированием родоначальных расплавов для исходных пород. Изотопный состав Nd (εNd(550) от +5.1 до –9.1) и Sr ((87Sr/86Sr)550 0.7057–0.7097) подтверждает различный, преимущественно умеренно-деплетированный, характер мантийных источников базитов, но в то же время указывает на существование “аномальных” областей мантийных источников с нерадиогенным изотопным составом Nd. Полученные данные свидетельствуют о формировании протолита амфиболитов в обстановке внутриконтинентального растяжения в пределах континентальной окраины, вероятно, связанной с образованием ограниченного неопротерозойского океанического бассейна с последующей поздневендской-раннекаледонской конвергенцией. Предполагается, что метаморфизм умеренных-повышенных давлений амфиболитов, схожий по P-T параметрам с регрессивным метаморфизмом эклогитов и ассоциирующих метаосадочных пород, связан с аккреционным процессами, сопряженными с раннепалеозойским субдукционно-аккреционным метаморфизмом (~550–540 млн лет), либо является результатом финальной аккреции с формированием зоны тектонического меланжа между Озерной зоной и Дзабханским террейном (~515–490 млн лет или моложе).
ВВЕДЕНИЕ
Субдукционно-аккреционные комплексы, сформированные на конвергентных границах плит, характеризуются присутствием высокобарических пород (эклогитов и глаукофановых сланцев) в ассоциации с серпентинитовым меланжем, метаосадочными и фельзическими породами (Ernst, 2005). В палеосубдукционных комплексах тихоокеанского (океанического) типа высокобарические породы, как правило, представлены метаморфизованными аналогами пород океанической коры (базиты типов N-, T-, E-MORB, ассоциирующие терригенные, силикакластические флишевые метаосадки, глубоководные глины), они генетически связаны с эволюцией палеоокеанов близкого возраста, тогда как для палеозон континентальной субдукции (альпийского типа) может наблюдаться существенное разнообразие как геохимических, так и возрастных характеристик пород, вовлеченных в субдукцию. В ряде случаев полиметаморфические палеосубдукционные пояса содержат вещественные индикаторы перехода от океанической к континентальной субдукции (Song et al., 2006; Zhang et al., 2013). Вне зависимости от типа субдукционных поясов распространенным является случай совмещения в пределах палеосубдукционных структур пород различной степени метаморфизма. В частности, метабазиты средних ступеней метаморфизма (амфиболиты, гранатовые амфиболиты) могут представлять собой как продукт ретроградного преобразования эклогитов, так и породы, не испытавшие значительного погружения. Таким образом, принципиально важным является комбинирование геохимических, изотопных и термобарометрических данных для расшифровки истории аккреционных структур.
В пределах недавно выявленного высокобарического комплекса Алаг-Хадны в Юго-Западной Монголии (Štípská et al., 2010; Skuzovatov et al., 2018) эклогиты совмещены с ортогнейсами и метаосадочными породами, демонстрирующими петрологические индикаторы субдукционного метаморфизма (Skuzovatov, 2021), а также с породами более низких ступеней метаморфизма (метакарбонатами, амфиболитами). Геохимические исследования показали потенциально единую палеоокеаническую природу метабазитов всего комплекса и, таким образом, его формирование во внутриокеанической обстановке в венд-раннекембрийское время (Štípská et al., 2010), что не подтвердилось более детальными изотопно-геохимическими исследованиями (Skuzovatov et al., 2018). В настоящей работе приведены минералого-геохимические и изотопные данные для амфиболитов, наблюдаемых в южной периферии эклогитсодержащего комплекса, которые могут представлять собой ранее не подтвержденные фрагменты океанической коры неопротерозойского океанического бассейна, пространственно и генетически связанные с тектонической эволюцией высокобарических пород.
ГЕОЛОГИЧЕСКОЕ СТРОЕНИЕ ЮГО-ЗАПАДНОЙ МОНГОЛИИ И РАЙОН ИССЛЕДОВАНИЙ
Центрально-Азиатский складчатый пояс (ЦАСП), ограниченный Сибирским, Таримским и Северо-Китайским кратонами, является крупнейшей областью, где на протяжении фанерозоя происходило наращивание континентальной коры (Jahn et al., 2000; Sengör et al., 1993). Пояс состоит из террейнов различной геодинамической природы, главным образом, субдукционно-аккреционных комплексов, микроконтинентов с докембрийским фундаментом и офиолитов. ЦАСП был сформирован в результате эволюции и закрытия Палеоазиатского океана во временной период от неопротерозоя до перми (например, Козаков и др., 2012; Ярмолюк и др., 2006; Jahn et al., 2000; Sengör et al., 1993). Монгольский сегмент ЦАСП – это центральная структура пояса, его западная и юго-западная области являются типичным примером коллажа высокоградных докембрийских блоков, палеозойских дуг и аккреционных комплексов (рис. 1а) (Ярмолюк и др., 2006; Dobretsov et al., 2003; Khain et al., 2003; Kröner et al., 2010). Северная часть Монголии в основном сложена раннепалеозойскими (каледонскими) комплексами, отделенными от позднепалеозойских (герцинских) комплексов Южной Монголии Главным Монгольским линеаментом (Tomurtogoo, 1997). Область настоящего исследования расположена в западной части Гоби-Алтая в пределах Озерной зоны венд-раннепалеозойских офиолитов и субдукционно-аккреционных комплексов (Руднев и др., 2013; Matsumoto, Tomurtogoo, 2003) между указанным линеаментом и сутурой, отделяющими Озерную зону от комплексов Дзабханского микроконтинента и Байдарикского блока (Козаков и др., 2007, 2012).
Рис. 1.
(а) Геологическая структура центрального сегмента Центрально-Азиатского складчатого пояса, по (Козаков и др., 2021). 1 – четвертичные отложения; 2 – турбидитные отложения девона–карбона; 3 – нерасчлененные вулкано-плутонические комплексы палеозоя–раннего мезозоя; 4 – палеоокеанические и островодужные герциниды Южно-Алтайской зоны; 5 – отложения континентального склона и пассивной окраины; 6 – поздние каледониды Монголо-Алтайской зоны; 7 – палеоокеанические и островодужные комплексы эдиакария–нижнего кембрия Озерной зоны; 8 – эдиакарий–неопротерозойские офиолиты Баянхонгорской зоны; 9 – ранненеопротерозойские палеоокеанические и островодужные комплексы; 10–15 – установленные и предполагаемые блоки кристаллических пород: 10 – раннего докембрия, 11 – нерасчлененные шельфовые и вулканические толщи Баянхонгорской зоны и метаморфические породы Южно-Хангайского метаморфического пояса (поздний неопротерозой), 12 – метаморфические комплексы раннего неопротерозоя (обнаженные и предполагаемые под чехлом), 13 – метаморфические комплексы позднего неопротерозоя, 14 – метаморфические комплексы раннего палеозоя, 15 – метаморфические комплексы позднего палеозоя; 16 – тектонические границы, разломы; 17 – положение объекта исследований. (б) Схема геологического строения района исследований, по (Buriánek et al., 2017) с изменениями авторов.

Район полевых исследований был расположен в пределах хребта Замтын в 20 км к северо-востоку от сомона Чандмань (рис. 1б). Детальное описание геологической структуры района было впервые приведено в (Hanžl, Aichler, 2007) и в (Štípská et al., 2010). Согласно цитируемым материалам, нижние уровни структуры заняты высокоградными породами кристаллического комплекса Замтын-Нуруу с U-Pb возрастами цирконов от неопротерозоя до раннего кембрия (948–541 млн лет) (Hanžl, Aichler, 2007; Kröner et al., 2010; Buriánek et al., 2017). Комплексы фундамента тектонически перекрыты вулканогенно-осадочными и карбонатными породами формации Цахир-Уул с раннекембрийской фауной (Kröner et al., 2010). Эклогиты были исходно обнаружены в виде отдельных будин размером до нескольких сотен метров в метаосадочных породах и карбонатах (Štípská et al., 2010; Skuzovatov et al., 2018) и приурочены к блоку, содержащему ортогнейсы и метапелиты (кристаллический комплек Алаг-Хадны) (Štípská et al., 2010; Skuzovatov et al., 2018). На основании геохимических характеристик, схожих с базальтами T-MORB, высокобарические породы были отнесены к аккреционному комплексу раннекембрийской палеозоны субдукции, надвинутой на кристаллические породы фундамента. Более поздние модели предполагают формирование осадочных и магматических протолитов пород в обстановке континентальной окраины, эволюция которой происходила от ранненеопротерозойского рифтогенеза (Skuzovatov et al., 2018) или надсубдукционного-задугового магматизма (Buriánek et al., 2017) до раннекаледонской субдукционно-аккреционной стадии (540–530 млн лет). Параметры метаморфизма эклогитов (600–620°С, 19–21 кбар) интерпретируются как результат субдукции континентальной окраины (Štípská et al., 2010; Skuzovatov et al., 2018). Возраст эклогитов (543 млн лет, Ar-Ar по фенгиту) и метапелитов (537 млн лет, тот же метод) (Štípská et al., 2010) схож с возрастом метаморфогенных цирконов из ортогнейсов (538 млн лет) (Buriánek et al., 2017; Skuzovatov, 2021). Детальные P-T оценки для пород различной литологии, ассоциирующих с эклогитами, позволили установить различную степень метаморфического преобразования для метагранитоидов фундамента и метаосадочных сланцев (не более 600–670°С и 11–14 кбар) и для метапелитов (до 500–570°С и 21–23 кбар), вероятно, имевших общую субдукционную историю с эклогитами. С юга зона высокобарических пород находится в тектоническом контакте с венд-раннекембрийскими карбонатами формации Майхан-Цахир, вмещающими тела амфиболитов, ареал распространения которых, в свою очередь, ограничен с юга метаперидотитами. Минеральные ассоциации и геохимические особенности метаперидотитов указывают на формирование исходных пород в обстановке растяжения с последующией надсубдукционной рефертилизацией расплавами и/или флюидами и метаморфизмом при Р-Т параметрах, схожих с таковыми для эклогитов (640–720°С, 16–20 кбар) (Gornova et al., 2020).
АНАЛИТИЧЕСКИЕ МЕТОДЫ
Подготовка проб и все аналитические исследования проведены в ЦКП “Изотопно-геохимических исследований” ИГХ СО РАН (г. Иркутск). Составы породообразующих и акцессорных минералов в амфиболитах получены методом рентгеноспектрального микроанализа с использованием микроанализатора JEOL JXA8200 при размере пучка 2 мкм, токе 15 нА и ускоряющем напряжении 20 кВ. Для калибровки использован набор стандартных образцов, включая альбит для Na, пироповый гранат для Al, калиевый полевой шпат для K, диопсид для Ca, форстерит для Mg, Mn-гранат для Mn, Ti-ильменит для Ti и Cr-шпинель для Cr. Расчет формульных составов амфиболов, согласно рекомендованной классификации, произведен с использованием алгоритма ACES (Amphibole Classification Excel Spreadsheet, версия 1.9.8; Locock, 2014). Данные пересчета формульных коэффициентов приведены без учета компенсации заряда Ti4+ замещением OH– на O2– в позиции W, что систематически занижает долю Fe3+ на ~6–7%. Для эпидота-клиноцоизита и плагиоклаза формулы рассчитаны на 8 катионов и 16 зарядов (8 атомов кислорода) соответственно, для титанита – на 3 катиона. Представительные составы минералов из амфиболитов комплекса Алаг-Хадны приведены в табл. 1; в полном объеме исходные данные приведены в Supplementary22, ESM_1.xlsx.
Таблица 1.
Представительные составы минералов из амфиболитов комплекса Алаг-Хадны, Юго-Западная Монголия (мас. %)
| Компо-ненты | Обр. M16-36 | Обр. M16-37 | Обр. M16-41 | |||||||||||||||||||
| Amp1 | Amp2 | Ep1 | Ep2 | Pl1 | Pl2 | Ti-Mаg | Ti-Mаg | Amp1 | Amp2 | Ep1 | Ep2 | Pl1 | Pl2 | Rt | Ttn | Amp1 | Amp2 | Ep1 | Ep2 | Pl1 | Pl2 | |
| SiO2 | 46.3 | 45.9 | 39.0 | 38.9 | 61.8 | 61.9 | 0.00 | 0.00 | 44.4 | 44.8 | 39.3 | 39.0 | 60.3 | 63.4 | 0.00 | 30.3 | 45.0 | 44.3 | 39.0 | 38.8 | 67.5 | 63.0 |
| TiO2 | 0.66 | 0.61 | 0.10 | 0.12 | 0.00 | 0.00 | 15.8 | 19.2 | 0.52 | 0.60 | 0.24 | 0.22 | 0.00 | 0.00 | 97.1 | 36.7 | 0.82 | 0.84 | 0.00 | 0.23 | 0.00 | 0.00 |
| Al2O3 | 10.8 | 11.1 | 23.4 | 23.4 | 24.1 | 22.9 | 0.00 | 0.00 | 13.1 | 12.6 | 24.9 | 24.9 | 25.0 | 23.1 | 0.10 | 0.96 | 12.5 | 12.4 | 24.6 | 23.6 | 21.1 | 23.2 |
| Cr2O3 | 0.00 | 0.00 | 0.00 | 0.00 | 0.00 | 0.00 | 0.00 | 0.00 | 0.00 | 0.00 | 0.00 | 0.00 | 0.00 | 0.00 | 0.00 | 0.00 | 0.00 | 0.00 | 0.00 | 0.00 | 0.00 | 0.00 |
| FeO | 15.5 | 15.4 | 12.1 | 12.2 | 0.21 | 0.17 | 77.7 | 74.1 | 15.8 | 15.6 | 10.4 | 10.4 | 0.37 | 0.20 | 0.69 | 0.60 | 15.5 | 15.5 | 11.0 | 12.0 | 0.34 | 0.31 |
| MnO | 0.33 | 0.34 | 0.16 | 0.16 | 0.00 | 0.00 | 0.61 | 0.23 | 0.27 | 0.28 | 0.13 | 0.16 | 0.00 | 0.00 | 0.00 | 0.00 | 0.29 | 0.26 | 0.15 | 0.17 | 0.00 | 0.00 |
| MgO | 12.4 | 12.4 | 0.00 | 0.00 | 0.00 | 0.00 | 0.00 | 0.00 | 11.3 | 11.5 | 0.00 | 0.00 | 0.00 | 0.00 | 0.00 | 0.00 | 11.5 | 12.0 | 0.00 | 0.00 | 0.00 | 0.00 |
| CaO | 11.5 | 11.6 | 23.1 | 23.1 | 6.28 | 5.03 | 0.00 | 0.00 | 11.3 | 11.3 | 23.1 | 23.4 | 7.30 | 4.55 | 0.40 | 28.6 | 11.4 | 11.4 | 23.4 | 23.5 | 1.13 | 4.73 |
| Na2O | 1.83 | 2.02 | 0.00 | 0.00 | 7.75 | 8.43 | 0.13 | 0.00 | 1.85 | 2.22 | 0.00 | 0.00 | 7.15 | 8.69 | 0.00 | 0.00 | 2.17 | 2.09 | 0.00 | 0.00 | 9.95 | 8.74 |
| K2O | 0.21 | 0.21 | 0.00 | 0.00 | 0.00 | 0.00 | 0.00 | 0.00 | 0.31 | 0.31 | 0.00 | 0.00 | 0.00 | 0.00 | 0.00 | 0.00 | 0.41 | 0.39 | 0.00 | 0.00 | 0.55 | 0.00 |
| P2O5 | 0.00 | 0.00 | 0.00 | 0.00 | 0.00 | 0.00 | 0.00 | 0.00 | 0.00 | 0.00 | 0.00 | 0.00 | 0.00 | 0.00 | 0.00 | 0.20 | 0.00 | 0.00 | 0.00 | 0.00 | 0.00 | 0.00 |
| Сумма | 99.4 | 99.5 | 97.9 | 97.8 | 100.2 | 98.6 | 94.2 | 93.6 | 98.9 | 99.3 | 98.2 | 98.0 | 100.1 | 99.9 | 98.3 | 97.5 | 99.5 | 99.1 | 98.0 | 98.2 | 100.5 | 100.0 |
| Si | 6.66 | 6.60 | 3.06 | 3.06 | 2.75 | 2.76 | 0.00 | 0.00 | 6.44 | 6.50 | 3.07 | 3.05 | 2.68 | 2.82 | 0.00 | 1.01 | 6.51 | 6.41 | 3.05 | 3.04 | 3.00 | 2.80 |
| Ti | 0.07 | 0.07 | 0.01 | 0.01 | 0.00 | 0.00 | 0.61 | 0.76 | 0.06 | 0.07 | 0.01 | 0.01 | 0.00 | 0.00 | 0.98 | 0.92 | 0.09 | 0.09 | 0.00 | 0.01 | 0.00 | 0.00 |
| Al | 1.88 | 1.87 | 2.17 | 2.18 | 1.26 | 1.21 | 0.00 | 0.00 | 2.24 | 2.15 | 2.29 | 2.30 | 1.31 | 1.21 | 0.00 | 0.04 | 2.13 | 2.11 | 2.26 | 2.18 | 1.10 | 1.22 |
| Fe2+ | 1.45 | 1.44 | 0.12 | 0.10 | 0.01 | 0.01 | 0.00 | 0.00 | 1.46 | 1.66 | 0.14 | 0.09 | 0.01 | 0.01 | 0.00 | 0.00 | 1.67 | 1.39 | 0.08 | 0.07 | 0.01 | 0.01 |
| Fe3+ | 0.41 | 0.42 | 0.68 | 0.70 | 0.00 | 0.00 | 3.35 | 3.23 | 0.45 | 0.23 | 0.54 | 0.59 | 0.00 | 0.00 | 0.01 | 0.02 | 0.20 | 0.48 | 0.64 | 0.71 | 0.00 | 0.00 |
| Mn | 0.04 | 0.04 | 0.01 | 0.01 | 0.00 | 0.00 | 0.03 | 0.01 | 0.03 | 0.03 | 0.01 | 0.01 | 0.00 | 0.00 | 0.00 | 0.00 | 0.04 | 0.03 | 0.01 | 0.01 | 0.00 | 0.00 |
| Mg | 2.65 | 2.66 | 0.00 | 0.00 | 0.00 | 0.00 | 0.00 | 0.00 | 2.44 | 2.49 | 0.0 | 0.00 | 0.00 | 0.00 | 0.00 | 0.00 | 2.47 | 2.60 | 0.00 | 000 | 0.00 | 0.00 |
| Ca | 1.78 | 1.78 | 1.95 | 1.95 | 0.30 | 0.24 | 0.00 | 0.00 | 1.76 | 1.76 | 1.94 | 1.96 | 0.35 | 0.22 | 0.01 | 1.02 | 1.78 | 1.76 | 1.96 | 1.97 | 0.05 | 0.23 |
| Na | 0.54 | 0.55 | 0.00 | 0.00 | 0.67 | 0.73 | 0.01 | 0.00 | 0.52 | 0.62 | 0.00 | 0.00 | 0.62 | 0.75 | 0.00 | 0.00 | 0.61 | 0.59 | 0.00 | 0.00 | 0.86 | 0.75 |
| K | 0.04 | 0.04 | 0.00 | 0.00 | 0.00 | 0.00 | 0.00 | 0.00 | 0.06 | 0.06 | 0.00 | 0.00 | 0.00 | 0.00 | 0.00 | 0.00 | 0.08 | 0.07 | 0.00 | 0.00 | 0.03 | 0.00 |
| Компо-ненты | Обр. M16-41 | Обр. M16-44 | Обр. M16-43 | Обр. M16-42 | ||||||||||||||||||
| Ttn | Amp1 | Amp2 | Ep1 | Ep2 | Rt | Amp1 | Amp2 | Ep1 | Ep2 | Pl1 | Pl2 | Ttn | Rt | Amp1 | Amp2 | Ep1 | Ep2 | Pl1 | Pl2 | Ttn | ||
| SiO2 | 31.3 | 43.3 | 44.1 | 39.5 | 39.6 | 0.00 | 45.7 | 44.9 | 39.3 | 38.9 | 67.5 | 59.2 | 31.2 | 0.00 | 46.5 | 49.6 | 39.4 | 39.0 | 62.6 | 67.7 | 31.2 | |
| TiO2 | 37.4 | 0.69 | 0.65 | 0.13 | 0.15 | 95.5 | 0.58 | 0.67 | 0.00 | 0.14 | 0.00 | 0.00 | 36.3 | 93.8 | 0.53 | 0.44 | 0.10 | 0.00 | 0.00 | 0.00 | 38.1 | |
| Al2O3 | 0.81 | 14.5 | 14.1 | 26.1 | 26.7 | 0.00 | 11.1 | 10.2 | 23.2 | 23.9 | 20.7 | 25.6 | 1.16 | 0.00 | 11.2 | 8.76 | 24.9 | 22.7 | 23.5 | 20.3 | 0.71 | |
| Cr2O3 | 0.13 | 0.00 | 0.00 | 0.00 | 0.00 | 0.00 | 0.00 | 0.00 | 0.00 | 0.00 | 0.00 | 0.00 | 0.00 | 0.16 | 0.00 | 0.00 | 0.00 | 0.00 | 0.00 | 0.00 | 0.29 | |
| FeO | 0.76 | 16.6 | 16.5 | 9.50 | 7.91 | 0.58 | 16.0 | 16.5 | 12.3 | 11.5 | 0.00 | 1.20 | 0.77 | 0.93 | 12.7 | 11.9 | 9.57 | 13.1 | 0.17 | 0.18 | 0.53 | |
| MnO | 0.00 | 0.28 | 0.26 | 0.16 | 0.11 | 0.00 | 0.30 | 0.35 | 0.16 | 0.16 | 0.00 | 0.00 | 0.00 | 0.00 | 0.41 | 0.38 | 0.13 | 0.35 | 0.00 | 0.00 | 0.11 | |
| MgO | 0.00 | 9.78 | 10.1 | 0.00 | 0.00 | 0.00 | 11.3 | 11.7 | 0.00 | 0.00 | 0.00 | 0.00 | 0.00 | 0.00 | 13.8 | 15.2 | 0.00 | 0.00 | 0.00 | 0.00 | 0.00 | |
| CaO | 28.7 | 11.4 | 11.4 | 23.2 | 23.6 | 0.36 | 11.6 | 11.7 | 23.5 | 23.3 | 1.04 | 0.50 | 28.4 | 1.07 | 11.7 | 11.9 | 23.5 | 23.2 | 5.81 | 1.09 | 28.8 | |
| Na2O | 0.00 | 1.66 | 1.67 | 0.00 | 0.00 | 0.00 | 1.55 | 1.42 | 0.00 | 0.00 | 9.51 | 4.86 | 0.00 | 0.00 | 1.75 | 1.42 | 0.00 | 0.00 | 7.78 | 10.6 | 0.00 | |
| K2O | 0.00 | 0.58 | 0.62 | 0.00 | 0.00 | 0.00 | 1.10 | 1.12 | 0.00 | 0.00 | 0.28 | 5.08 | 0.00 | 0.00 | 0.31 | 0.25 | 0.00 | 0.00 | 0.11 | 0.00 | 0.00 | |
| P2O5 | 0.00 | 0.00 | 0.00 | 0.00 | 0.00 | 0.00 | 0.00 | 0.00 | 0.00 | 0.00 | 0.00 | 0.00 | 0.16 | 0.00 | 0.00 | 0.00 | 0.00 | 0.00 | 0.00 | 0.00 | 0.00 | |
| Сумма | 99.1 | 98.7 | 99.3 | 98.5 | 98.1 | 96.4 | 99.3 | 98.5 | 98.4 | 97.9 | 99.1 | 96.4 | 98.0 | 95.9 | 99.0 | 99.9 | 97.7 | 98.2 | 99.9 | 99.7 | 99.7 | |
| Si | 1.02 | 6.34 | 6.41 | 3.06 | 3.07 | 0.00 | 6.67 | 6.60 | 3.08 | 3.06 | 3.01 | 2.64 | 1.03 | 0.00 | 6.64 | 6.96 | 3.09 | 3.07 | 2.79 | 3.01 | 1.02 | |
| Ti | 0.92 | 0.08 | 0.07 | 0.01 | 0.01 | 0.99 | 0.06 | 0.07 | 0.00 | 0.01 | 0.00 | 0.00 | 0.90 | 0.97 | 0.06 | 0.05 | 0.01 | 0.00 | 0.00 | 0.00 | 0.93 | |
| Al | 0.03 | 2.50 | 2.41 | 2.38 | 2.44 | 0.00 | 1.91 | 1.77 | 2.14 | 2.21 | 1.09 | 1.34 | 0.05 | 0.00 | 1.89 | 1.45 | 2.30 | 2.10 | 1.23 | 1.06 | 0.03 | |
| Fe2+ | 0.00 | 1.81 | 1.78 | 0.14 | 0.11 | 0.00 | 1.80 | 1.59 | 0.10 | 0.09 | 0.00 | 0.04 | 0.00 | 0.00 | 1.13 | 1.08 | 0.11 | 0.09 | 0.01 | 0.01 | 0.01 | |
| Fe3+ | 0.02 | 0.23 | 0.23 | 0.48 | 0.40 | 0.01 | 0.16 | 0.43 | 0.71 | 0.66 | 0.00 | 0.00 | 0.02 | 0.01 | 0.39 | 0.33 | 0.52 | 0.77 | 0.00 | 0.00 | 0.01 | |
| Mn | 0.00 | 0.03 | 0.03 | 0.01 | 0.01 | 0.00 | 0.04 | 0.04 | 0.01 | 0.01 | 0.00 | 0.00 | 0.00 | 0.00 | 0.05 | 0.05 | 0.01 | 0.02 | 0.00 | 0.00 | 0.00 | |
| Mg | 0.00 | 2.14 | 2.20 | 0.00 | 0.00 | 0.00 | 2.45 | 2.56 | 0.00 | 0.00 | 0.00 | 0.00 | 0.00 | 0.00 | 2.94 | 3.19 | 0.00 | 0.00 | 0.00 | 0.00 | 0.00 | |
| Ca | 1.01 | 1.79 | 1.77 | 1.92 | 1.96 | 0.01 | 1.82 | 1.85 | 1.97 | 1.96 | 0.05 | 0.02 | 1.00 | 0.02 | 1.80 | 1.79 | 1.98 | 1.95 | 0.28 | 0.05 | 1.00 | |
| Na | 0.00 | 0.47 | 0.47 | 0.00 | 0.00 | 0.00 | 0.44 | 0.41 | 0.00 | 0.00 | 0.82 | 0.42 | 0.00 | 0.00 | 0.49 | 0.39 | 0.00 | 0.00 | 0.67 | 0.91 | 0.00 | |
| K | 0.00 | 0.11 | 0.12 | 0.00 | 0.00 | 0.00 | 0.21 | 0.21 | 0.00 | 0.00 | 0.02 | 0.29 | 0.00 | 0.00 | 0.06 | 0.04 | 0.00 | 0.00 | 0.01 | 0.00 | 0.00 | |
Для определения валового состава фрагменты пород измельчали в щековых дробилках и перемалывали в тонкие порошки (<0.02 мм) с помощью стальных мельниц. Содержание главных оксидов было определено рентгенофлюоресцентным анализом с использованием спектрометра Bruker S4 Pioneer. Содержание редких и рассеянных элементов было проанализировано методом ICP-MS на квадрупольном масс-спектрометре NexION 300D (Perkin Elmer) с предварительной пробоподготовкой путем открытого кислотного разложения. Для обоих типов валового анализа использовался набор стандартных образцов (СТ-1, СГД-1, BHVO-1) для контроля точности и воспроизводимости измерений.
Для анализа изотопного состава Nd и Sr методом изотопного разбавления порошки валовых проб c добавленными трассерами 149Sm-150Nd и 85Rb-84Sr разлагали в тефлоновых бюксах Savillex в смеси кислот HF–HNO3–HClO4 3 : 1 : 0.3 по объему в ультразвуковой ванне, затем упаривали на плите при 100°С и обрабатывали 6 N HCl для удаления образовавшихся фторидов и 2 N HCl перед нанесением на колонки. Выделение Sr проходило в две стадии ионно-обменной хроматографии с использованием смол BioRad AG 50W × 8 (200–400 mesh) и BioRad AG 50W × 12 (200–400 mesh). Для выделения суммы РЗЭ и Sm-Nd использовались смолы BioRad AG 50W × 12 (200–400 mesh) и LN-Resin (Eichrome). Изотопный анализ Sr проводился на термоионизационном масс-спектрометре Finnigan MAT 262 (ЦКП “Геодинамики и геохронологии” ИЗК СО РАН) в статическом режиме. Измеренные величины нормировались на 88Sr/86Sr = 8.37521 и контролировались повторными измерениями стандартных образцов NBS-987 и BCR-2. Анализ изотопного состава Nd проводился на многоколлекторном масс-спектрометре MC-ICP-MS Neptune Plus в статическом режиме c контролем точности путем повторного анализа стандартных образцов JNdi-1 и BCR-2.
РЕЗУЛЬТАТЫ ИССЛЕДОВАНИЙ
Петрография и минералогия пород
Амфиболиты образуют протяженные округлые тела (от первых метров до 2 км по удлинению) в карбонатах формации Майхан-Цахир между зоной высокобарических пород и метаперидотитами и являются тектоническими мегабудинами. Стоит отметить, что непосредственного совмещения эклогитов и амфиболитов ни в карбонатах к югу от зоны высокобарических пород, ни в пределах самой зоны не наблюдается: максимально ретроградно преобразованные эклогиты здесь представлены апоэклогитовыми гранатовыми амфиболитами. Сами породы сложены амфиболом (40–70%), клиноцоизитом (20–30%), плагиоклазом (20–30%), в ряде случаев кварцем (до 10%) и акцессорными титанитом/рутилом/титаномагнетитом, имеют серо-черный цвет, полосчатую текстуру, от мелко- до среднезернистой структуру с присутствием частых прожилков серицит-кальцит-хлоритового состава. Петрографическое исследование выявило широкий спектр характерных структур и текстур (рис. 2, 3): от массивных и мелкозернистых (зерна до 100 мкм) гранонематобластовых без каких-либо признаков директивности (рис. 2а, 2г; 3а, 3е) до заметно ориентированных, нематобластовых и полосчатых, связанных, прежде всего, с ориентировкой амфибола и эпидота-клиноцоизита (рис. 2б, 2д, 2е; 3в, 3д). В ряде амфиболитов полосчатость сопровождается существенным увеличением крупности зерен (до 1–1.5 мм, рис. 2д, 3д) как породообразующих амфибола и эпидота-клиноцоизита, так и акцессорного титанита. Признаков мигматизации в породах не наблюдается. Аббревиатура минералов приведена в соответствии с (Whitney, Evans, 2010).
Рис. 2.
Петрографические особенности изученных эпидот-клиноцоизитовых амфиболитов (фотографии в проходящем свете).

Рис. 3.
Детальные структурные взаимоотношения породообразующих и акцессорных минералов в амфиболитах (микрофотографии в режиме обратно-рассеянных электронов).

Амфибол относится к Ca-группе и по составу варьирует от паргасита до магнезиальной роговой обманки ([B]Na = 0.07–0.16, IVAl = 0.79–1.69) (рис. 4а; приведено согласно Tsujimori et al., 2006). Согласно классификации амфиболов по (Hawthorne et al., 2012), фигуративные точки составов лежат преимущественно в поле магнезиальной роговой обманки при [A](Na + K + 2Ca) = 0.14–0.64, [C](Al + + Ti + Fe3+) = 0.58–1.29 (рис. 4б). Схожая картина наблюдается при пересчете составов на формульные коэффициенты по (Holland, Blundy, 1994). Содержание Ti (0.02–0.10 форм. ед.) меняется незначительно при более существенных вариациях IVAl (см. выше) и VIAl (0.19–0.85 форм. ед.). Рассчитанная железистость (Fe2+/(Fe2+ + Mg)) амфиболов находится в пределах 0.18–0.46 при Fe3+/(Fe3+ + Al) = 0.18–0.77. Наблюдаемые тренды и особенности состава типичны для метаморфических амфиболов в метабазитах средних ступеней (Геря и др., 1997; Zenk, Schulz, 2004; Schumacher, 2007) и указывают на отсутствие реликтов первично-магматического амфибола. В пределах отдельных образцов амфибол не зонален или слабо зонален, центральные зоны представлены более высокотитанистым и высокоглиноземистым амфиболом. В образцах М16-42 и М16-43 подобная зональность наиболее очевидна ввиду заметного обеднения Al, Na и/или Ti в краевых зонах (рис. 4). Подобная закономерность, как и общий характер и масштаб вариации состава амфибола, в данных образцах предполагает переуравновешивание первичных амфибол-эпидот-плагиоклазовых парагенезисов на уровне низкотемпературной эпидот-амфиболитовой фации.
Минералы группы клиноцоизита варьируют по железистости (Fe3+ = 0.37–0.77 форм. ед., Fe3+/(Fe3+ + Al) = 0.13–0.25, рис. 5а) и относятся к эпидотам, в редких случаях – к клиноцоизитам (Fe3+ = 0.4–0.5 форм. ед.). Эпидот-клиноцоизит содержит 0.10–0.35 мас. % MnO, демонстрирует гомогенное распределение пистацитового минала или его рост по мере продвижения к периферийным зонам (выраженное, например, в очевидной зональности в обратно-рассеянных электронах на рис. 3г).
Плагиоклаз обнаруживает значительные вариации по составу (рис. 5б). В образцах с отсутствием признаков наложенных процессов плагиоклаз представлен олигоклаз-андезином (An24–36). Во многих случаях по первичному олигоклаз-андезину развивается вторичный плагиоклаз от существенно более кислого состава до альбита (An2–10) или альбит-эпидот-серицитовый агрегат. Амфиболиты с преобладанием кислого плагиоклаза характеризуются присутствием кварца и, отмеченным выше, изменением состава амфибола в сторону тремолита/ферроактинолита (более высокого SiO2 и низких Al2O3 и Na2O).
Минералы Ti в амфиболитах представлены акцессорными титаномагнетитом, рутилом и титанитом. Титаномагнетит (13.2–19.2 мас. % TiO2) обнаружен в одном образце с наиболее массивной и мелкозернистой структурой (обр. M16-36, рис. 2а). В двух образцах (М16-41, М16-42) наблюдается титанит (0.80–1.80 мас. % Al2O3) (рис. 3д, 3б). В образцах М16-37 и М16-43 выявлены рутил (0.56–0.93 мас. % FeO) и титанит (0.96–1.33 мас. % Al2O3, 0.13–0.17 мас. % F, 0.13–0.20 мас. % P2O5), причем последний присутствует как в виде отдельных зерен, так и в виде кайм замещения/обрастания рутила (рис. 3в, 3е). В амфиболите, обр. М16-44, обнаружен только рутил (рис. 3 г).
Минеральная термобарометрия
Несмотря на крайне ограниченные вариации минерального состава метабазитов средних ступеней (Oh, Liou, 1998), куда более вариативным может быть состав зональных породообразующих фаз, в частности Ca-амфибола (Laird, Albee, 1981; Raase, 1994; Zenk, Schulz, 2004), который является важным источником информации о P-T эволюции пород. Состав амфиболов, в частности степень чермакитового и глаукофанового изоморфизма, зависит от степени метаморфизма, что приводит к увеличению содержаний Ti, VIAl, [A]Na с ростом температуры и VIAl и [M4]Na с ростом давления (Brown, 1977; Spear, 1980; Геря и др., 1997; Ernst, Liu, 1998; Zenk, Schulz, 2004). В настоящей работе оценки P-T параметров получены по амфибол-плагиоклазовому геотермометру (Holland, Blundy, 1994). Применимость последнего, однако, ограничена ввиду (1) присутствия свободного кварца, участвующего в амфиболобразующих реакциях, только в двух образцах, (2) повсеместного замещения первичного плагиоклаза (присутствие двух генераций плагиоклаза или полное отсутствие андезин-олигоклаза) и (3) потенциально неравновесного характера ассоциации позднего амфибола с альбитом. Следствием этого могут являться несколько завышенные значения температуры (в расчете на давление 7 кбар), полученные по всем бескварцевым амфиболитам (~690–750°С для обр. М16-36, 650–730°С для обр. М16-37, 680–710°С для обр. М16-41), чуть более низкие значения 640–690°С для обр. М16-42 с единичными зернами кварца. Наблюдается отсутствие нормальных оценок для кварцсодержащих амфиболитов (обр. М16-43, М16-44), где плагиоклаз представлен исключительно альбитом. Серия P-T оценок, полученных по составу амфибола с использованием геотермобарометров, согласно (Геря и др., 1997), в модифицированном виде по (Zenk, Schulz, 2004), сосредоточены в относительно узком диапазоне более умеренных температур (570–630°С) и давлений (4–7 кбар), с более низкими параметрами, характерными для бедных Al и Ti кайм двух образцов М16-42 и М16-43 (500–550°С, 3–4 кбар) (рис. 6).
Петро- и геохимические характеристики пород
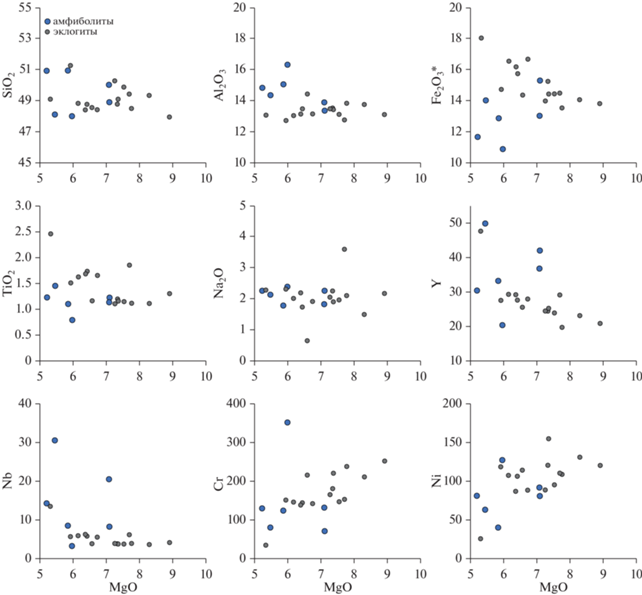
Изученные амфиболиты характеризуются довольно ограниченным диапазоном содержания SiO2 = 48.0–51.0 мас. % и суммы щелочей (K2O + + Na2O) = 2.07–2.85 мас. %, низко-умеренным TiO2 = 0.49–1.45 мас. % и Mg# = 0.44–0.52, которые соответствуют низкотитанистым железистым толеитам (табл. 2). Магнезиальность пород (Mg# = 0.30–0.38) соответствует наименее магнезиальным эклогитам, при этом для амфиболитов с наименьшим содержанием магния (MgO менее 6 мас. %) характерны наибольшие отклонения от состава эклогитов (рис. 7), в частности повышенные содержания Al2O3 и CaO и, напротив, пониженные FeO и TiO2.
Таблица 2.
Содержание главных (мас. %) и редких элементов (г/т) в амфиболитах комплекса Алаг-Хадны, Юго-Западная Монголия
| Компоненты | М16-36 | М16-37 | М16-41 | М16-42 | М16-43 | М16-44 |
|---|---|---|---|---|---|---|
| SiO2 | 48.9 | 50.0 | 51.0 | 48.0 | 50.9 | 48.1 |
| TiO2 | 1.22 | 1.13 | 1.10 | 0.79 | 1.23 | 1.45 |
| Al2O3 | 13.3 | 13.9 | 15.1 | 16.3 | 14.8 | 14.4 |
| Fe2O3* | 15.3 | 13.0 | 12.8 | 10.8 | 11.6 | 14.0 |
| MnO | 0.23 | 0.19 | 0.19 | 0.21 | 0.18 | 0.22 |
| MgO | 7.10 | 7.09 | 5.86 | 5.98 | 5.22 | 5.47 |
| CaO | 11.1 | 11.8 | 10.7 | 13.9 | 12.2 | 12.0 |
| Na2O | 2.27 | 1.83 | 1.79 | 2.40 | 2.27 | 2.14 |
| K2O | 0.19 | 0.24 | 0.54 | 0.35 | 0.51 | 0.71 |
| P2O5 | 0.12 | 0.14 | 0.13 | 0.08 | 0.16 | 0.34 |
| П.п.п | 0.78 | 1.29 | 1.4 | 1.67 | 1.49 | 1.11 |
| Сумма | 100.6 | 100.6 | 100.6 | 100.5 | 100.6 | 100.0 |
| Cs | 0.06 | 0.10 | 0.15 | 0.10 | 0.12 | 0.11 |
| Rb | 6.50 | 7.70 | 17.8 | 13.9 | 14.2 | 17.6 |
| Ba | 40.5 | 37.2 | 143 | 79.1 | 84.5 | 115 |
| Th | 1.12 | 2.60 | 2.88 | 0.34 | 1.75 | 4.54 |
| U | 0.31 | 0.72 | 0.79 | 0.12 | 0.60 | 1.16 |
| Nb | 8.10 | 20.3 | 8.36 | 3.13 | 14.1 | 30.3 |
| Ta | 0.53 | 1.27 | 0.54 | 0.19 | 0.83 | 1.88 |
| La | 5.85 | 13.2 | 13.4 | 2.51 | 10.9 | 22.8 |
| Ce | 13.3 | 28.0 | 27.5 | 5.97 | 23.7 | 47.8 |
| Pb | 1.48 | 1.66 | 3.81 | 1.24 | 4.73 | 5.58 |
| Pr | 1.91 | 3.63 | 3.58 | 0.92 | 3.14 | 6.00 |
| Sr | 127 | 261 | 199 | 172 | 215 | 182 |
| Nd | 9.37 | 15.5 | 14.6 | 4.91 | 14.0 | 24.7 |
| Zr | 90.0 | 134.0 | 90.0 | 50.0 | 94.0 | 190 |
| Hf | 2.62 | 3.84 | 2.26 | 1.42 | 2.51 | 5.30 |
| Sm | 3.36 | 4.35 | 3.72 | 1.89 | 3.77 | 6.40 |
| Eu | 1.15 | 1.25 | 1.06 | 0.71 | 1.34 | 1.59 |
| Gd | 5.00 | 5.45 | 4.63 | 2.77 | 4.72 | 7.71 |
| Tb | 0.96 | 0.97 | 0.81 | 0.53 | 0.81 | 1.33 |
| Dy | 6.80 | 6.42 | 5.42 | 3.49 | 5.40 | 8.73 |
| Y | 42.0 | 36.7 | 33.2 | 20.4 | 30.4 | 49.8 |
| Ho | 1.59 | 1.39 | 1.21 | 0.75 | 1.13 | 1.84 |
| Er | 4.98 | 4.12 | 3.67 | 2.38 | 3.32 | 5.52 |
| Tm | 0.72 | 0.60 | 0.54 | 0.32 | 0.48 | 0.79 |
| Yb | 4.83 | 3.82 | 3.48 | 2.17 | 3.21 | 5.19 |
| Lu | 0.72 | 0.57 | 0.53 | 0.32 | 0.48 | 0.77 |
| V | 483 | 351 | 255 | 303 | 335 | 385 |
| Cr | 71.4 | 132 | 124 | 350 | 130 | 80.7 |
| Co | 57.5 | 52.6 | 41.5 | 44.9 | 39.4 | 51.1 |
| Ni | 80.9 | 91.8 | 40.5 | 127 | 81.2 | 63.3 |
| Cu | 182 | 176 | 69.3 | 133 | 47.0 | 102 |
| Zn | 111 | 88.9 | 98.4 | 63.0 | 79.5 | 129 |
| Ga | 56.7 | 49.4 | 49.5 | 44.4 | 40.0 | 47.1 |
Рис. 7.
Бинарные диаграммы для содержания некоторых петрогенных компонентов (в мас. %) и редких элементов (в г/т) в амфиболитах. Для сравнения приведены составы эклогитов комплекса Алаг-Хадны (Skuzovatov et al., 2018).

Рис. 8.
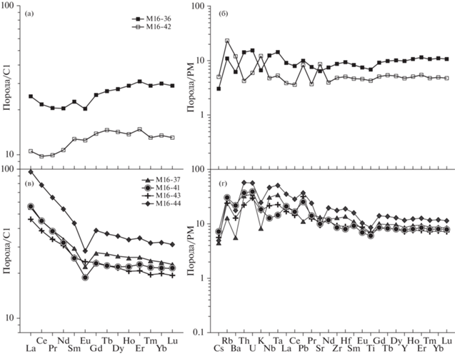
Спектры распределения редкоземельных (а, в) и редких элементов (б, г) для амфиболитов комплекса Алаг-Хадны. Содержания элементов нормированы на состав хондрита (C1) и примитивной мантии (PM) (Sun, McDonough, 1989). Обр. М16-41 амфиболита отмечен кружком здесь и на последующих графиках.

При малых вариациях петрохимических характеристик изученные породы имеют вариативные редкоэлементные характеристики (рис. 8). В амфиболитах установлены два типа распределения РЗЭ: с обеднением ((La/Yb)N 0.79–0.82) и обогащением ((La/Yb)N 2.31–2.99, (La/Sm)N 1.89–2.24) легкими РЗЭ относительно тяжелых (рис. 8). Нормированные содержания HREE соответствуют 20–30 хондритовым уровням, что выше, чем в типичных N-MORB и E-MORB. Исключение представляет один обр. M16-42 с YbN ~ 14, что ниже по сравнению с N-MORB. Во всех образцах, за исключением обр. M16-42, установлен Eu-минимум. Для двух образцов (М16-36, М16-42) с массивной текстурой без значительного присутствия эпидота-клиноцоизита характерны спектры с обеднением легкими РЗЭ относительно тяжелых ((La/Yb)N 0.79–0.82), положительным или пологим распределением легких РЗЭ ((La/Sm)N 0.83–1.09) и слабой отрицательной Eu-аномалией (Eu/Eu* = 0.86–0.94) (рис. 8а). На спектрах распределения несовместимых элементов (рис. 8б) наблюдаются положительные аномалии Th, U, Nb-Ta, Zr-Hf и отрицательная по Ti, а также относительное обогащение крупноионными литофильными элементами (Cs, Rb и Ba). Распределение остальных элементов этой группы не одинаково в рассматриваемых образцах. В амфиболите, обр. M16-36, присутствуют минимумы по Sr, K и максимум по Pb. Образец M16-42 имеет обратные (положительные) аномалии по K, Pb и Sr.
Для четырех остальных образцов М16-37, М16-41, М16-43, М16-44, характеризующихся различной степенью полосчатости, наблюдается обогащение легкими РЗЭ относительно N-MORB и E‑MORB (рис. 8в) ((La/Yb)N 2.31–2.99, (La/Sm)N 1.89–2.24), фракционирование средних РЗЭ относительно тяжелых c (Sm/Yb)N в пределах 1.16–1.34, Eu-, Sr- и Ti-минимумы, обогащение Th и U (за исключением одного образца) и обогащение Nb и Ta относительно легких РЗЭ (рис. 8г), схожее с наблюдаемым для обр. М16-36 (рис. 8б). Кроме того, наблюдаются минимумы по K, Ba и максимум по Pb, за исключением обр. M16-37, для которого характерен минимум по Рb.
Изотопный состав Nd-Sr
Амфиболиты характеризуются узким диапазоном первичных отношений 87Sr/86Sr (0.7057–0.7097), рассчитанных на возраст 550 млн лет (предполагаемый возраст аккреционных событий), при более заметных вариациях измеренных отношений 87Rb/86Sr (0.0863–0.2756) (табл. 3, рис. 9). Изотопный состав Nd варьирует более существенно – εNd(550) от +5.1 до -9.1. Соответствующие значения модельного возраста T(DM) реалистичны только для трех образцов (808–1418 млн лет), тогда как оценки двухстадийного возраста для пяти из шести образцов довольно близки – 817–1134 млн лет, а наиболее древний возраст (1930 млн лет) установлен для образца с наименее радиогенным составом Nd.
Таблица 3.
Изотопный состав Nd и Sr в амфиболитах комплекса Алаг-Хадны, Юго-Западная Монголия
| Номер образца | Sr, ppm | Rb, ppm | 87Rb/86Sr | 87Sr/86Sr | ± | Nd, ppm | Sm, ppm | 147Sm/144Nd | 143Nd/144Nd | ± | εNd(550) | Модельный возраст, млн лет | |
|---|---|---|---|---|---|---|---|---|---|---|---|---|---|
| T(DM) | T(DM-2st) | ||||||||||||
| M-16-37 | 224 | 6.7 | 0.0863 | 0.70667 | 0.00002 | 15.1 | 4.05 | 0.16295 | 0.512570 | 0.000006 | 1.0 | 1402 | 1132 |
| M-16-36 | 108 | 5.6 | 0.1504 | 0.70568 | 0.00002 | 10.0 | 3.49 | 0.21250 | 0.512893 | 0.000008 | 3.9 | – | 911 |
| M-16-41 | 167 | 16.0 | 0.2756 | 0.70973 | 0.00002 | 14.2 | 3.48 | 0.14961 | 0.512000 | 0.000008 | –9.1 | – | 1930 |
| M-16-42 | 155 | 13.0 | 0.2482 | 0.70699 | 0.00001 | 6.21 | 2.28 | 0.2241 | 0.512996 | 0.000015 | 5.1 | – | 817 |
| M-16-43 | 178 | 12.0 | 0.2003 | 0.70812 | 0.00002 | 13.1 | 3.51 | 0.16381 | 0.512572 | 0.000007 | 1.0 | 1418 | 1134 |
| M-16-44 | 159 | 15.0 | 0.2656 | 0.70826 | 0.00002 | 24.6 | 4.24 | 0.10481 | 0.512493 | 0.000006 | 3.6 | 808 | 929 |
ОБСУЖДЕНИЕ РЕЗУЛЬТАТОВ
Условия метаморфизма
Исследованные амфиболиты имеют ограниченные минеральные ассоциации, которые, например, в отсутствие граната исключают достоверное определение температуры и давления. Наблюдаемая ассоциация (кислый-средний плагиоклаз + эпидот-клиноцоизит + Ca-амфибол) в отсутствие хлорита соответствует высокобарической зоне эпидот-амфиболитовой и амфиболитовой фаций метаморфизма (Maruyama et al., 1983; Starr et al., 2020). Умеренно-железистый состав эпидота-клиноцоизита в амфиболитах (${{X}_{{{\text{F}}{{{\text{e}}}^{{{\text{3 + }}}}}}}}$ < 0.25) характерен таковому в амфиболитовой фации (Starr, Pattison, 2019), хотя и зависит от общей степени окисления железа в породе. Примечательно, что более высокое содержание Fe3+ во внешних зонах зонального эпидота и отдельных замещенных доменах указывает на рост/перекристаллизацию эпидота-клиноцоизита при снижении температуры (Starr, Pattison, 2019) и/или постепенный рост окислительного потенциала на поздних, низкотемпературных стадиях метаморфизма (Raith, 1976; Keskinen, Liou, 1987). О потенциальной роли снижения температуры свидетельствуют вариации составов амфибола и плагиоклаза, хотя равновесность того или иного амфибола с плагиоклазом конкретного состава в изученных амфиболитах напрямую оценить было проблематично. Тем не менее по трендам изменения состава двух минеральных фаз можно предположить, что наиболее глиноземистые (IVAl > 1.3 форм. ед.) роговые обманки могли формироваться в равновесии с наиболее кальциевыми (более 20% анортита) олигоклаз-андезинами в температурном интервале 600–650°С. Частичное переуравновешивание при более низких температурах в эпидот-амфиболитовой фации могло происходить в ассоциации наиболее натрового плагиоклаза с наиболее кремнеземистым амфиболом. Отсутствие амфиболов ряда тремолит–актинолит, которые могли быть равновесны с альбитом, в виде кайм или самостоятельных индивидов/агрегатов может свидетельствовать как раз о незавершенном процессе. Кроме того, для пород средних ступеней метаморфизма неоднократно описаны сопутствующие деформациям растворения/переотложения вариации состава основных породообразующих фаз, включая амфибол, плагиоклаз и эпидот-клиноцоизит (например, Triboulet, Audren, 1988; Guintoli et al., 2018). Интенсивно проявленные как в эклогитах, так и ассоциирующих породах деформации, таким образом, могли выступать катализатором процесса переуравновешивания на регрессивной стадии.
Принципиально важным для восстановления метаморфической эволюции амфиболитов является присутствие индикаторов высокобарических условий, таких как гранат и рутил. В исследованных амфиболитах фазой-концентратором Ti в большинстве случаев является титанит, однако в ряде случаев есть свидетельства замещения титанитом рутила (рис. 3е). Присутствие реликтов рутила в некоторых амфиболитах указывает на то, что породы подверглись метаморфизму повышенных давлений, однако конкретные границы областей устойчивости рутила и титанита зависят от валового состава пород, в том числе известковистости (например, Frost et al., 2000), магнезиальности пород, а также содержания в ней SiO2. В частности, равновесие рутил–титанит в породах средних ступеней метаморфизма, согласно (Kapp et al., 2009), определяется реакциями с сопутствующим участием граната и без него:
(1)
${{2Czo} \mathord{\left/ {\vphantom {{2Czo} {Zo}}} \right. \kern-0em} {Zo}} + Rt + Qtz = 3An + Ttn + {{{\text{H}}}_{{\text{2}}}}{\text{O}},$Согласно ранним экспериментальным данным для метабазитов (Oh, Liou, 1998; Kapp et al., 2009), в области умеренных температур (500–700°С) реакция перехода рутил–титанит проходит в диапазоне 12–14 кбар, и, следовательно, титанит может быть продуктом ретроградного преобразования более высокобарических пород. Тем не менее для усредненного состава базальтов СОХ и частных примеров для базитов схожего состава P-T моделирование указывает на появление рутила при тех же умеренных до высоких температур 500–700°С, но при заметно более низких давлениях 7–8 кбар (Starr et al., 2019). Подобные результаты согласуются с таковыми термобарометрических исследований эпидот-клиноцоизитовых амфиболитов (Kapp et al., 2009), по результатам которых P-T условия равновесия рутилсодержащих разностей амфиболитов широко варьируют (~500–780°С, 7–12 кбар) и значительно перекрываются с Р-Т параметрами, определенными для титанитсодержащих пород (~500–650°С, 5–11 кбар). Таким образом, реликты рутила в ядерных частях зерен титанита, обнаруженные в некоторых из изученных образцов, могут указывать на давление более 5–7 кбар, что согласуется с пиковыми P-T условиями, восстановленными по амфибол-плагиоклазовым парагенезисам (вероятно, до ~7 кбар и не более ~650°С). Приведенные литературные данные указывают на то, что более высокие P-T параметры, в частности более высокое давление, для образования рутила не требуются. Поле стабильности граната в амфиболитах обычно шире, чем у рутила, и распространяется в область сравнительно более низких давлений. Вместе с тем появление граната в метабазитах, близких к базальтам СОХ, при ~500–800°С связано с реакциями, затрагивающими низкотемпературный амфибол и эпидот-клиноцоизит при переходе от эпидот-амфиболитовой к эклогитовой фации при ~8–10 кбар (например, Ernst, Liu, 1998; Oh, Liou, 1998; Starr et al., 2020), что даже несколько выше величин, характерных для рутила. Таким образом, отсутствие в наблюдаемых парагенезисах реликтов граната или его низкобарических псевдоморфоз (например, плагиоклаз-роговообманковых или кварц-клиноцоизитовых) в присутствии реликтов рутила предполагает метаморфическую эволюцию пород вне области высоких давлений, не выше ~7 кбар.
Расчеты P-T параметров метаморфизма амфиболитов из комплекса Алаг-Хадны указывают на их индивидуальную эволюцию с барровианским типом метаморфизма, отличную от таковой эклогитов, однако минералогических индикаторов высокобарического метаморфизма для первых установлено не было. В то же время в работе (Javkhlan et al., 2019) показано, что метаморфизм эклогитов комплекса Алаг-Хадны мог быть двухэтапным, с завершающим аккреционным/коллизионным этапом, характеризующимся формированием гранатовых амфиболитов (Grt + An1–13 + + Mg-Hbl + Ep) при ~550–610°С и 7–8 кбар с последующим остыванием и декомпрессией до условий зеленосланцевой фации (Chl + Ab + Ep + Act). Однако вызывает определенное сомнение равновесность граната: эклогитовый гранат в породах имеет характерную прогрессивную зональность с возрастанием XMg и снижением XCa к периферии и сменой минеральной ассоциации включений от водосодержащей (клиноцоизит/эпидот, амфибол) к безводной (кварц, рутил, омфацит), что не предполагает роста, растворения/переотложения или сколь-либо значимого диффузионного переуравновешивания гранатов в результате позднего термального события. Следовательно, парагенезис кислый плагиоклаз + роговая обманка + эпидот/клиноцоизит, схожий по условиям формирования с таковым для изученных амфиболитов, может указывать на общий характер P-T эволюции для амфиболитов и регрессивного метаморфизма эклогитов.
Природа вариаций геохимических характеристики
Несмотря на ограниченное число исследованных образцов, амфиболиты обнаруживают существенные вариации геохимических характеристик и изотопных отношений. Спектры распределения несовместимых элементов пород довольно схожи: мультиэлементные диаграммы для амфиболитов (рис. 8б, 8г), за исключением наиболее деплетированного амфиболита, обр. М16-36, характеризуются обогащением Th и U относительно крупноионных литофильных элементов, нетипичным для океанических базальтов N-MORB и E-MORB типов, Pb-максимумом (за исключением одного образца) и схожим с E-MORB обогащением Nb и Ta относительно легких РЗЭ (за исключением одного образца). Амфиболиты при этом имеют различные содержания рассматриваемых элементов. Причины столь значительных вариаций могут заключаться в (1) совмещении в рамках аккреционной структуры пород исходно различного состава (от деплетированных, близких к N-MORB, до обогащенных базитов, близких к E-MORB и континентальным базитам), (2) влиянии внутрикоровой контаминации расплавов, (3) фракционировании расплавов или комбинации двух последних факторов.
Амфиболиты имеют содержание TiO2 (на уровне типичных MORB, ~1.5 мас. %), а также близкие к N-MORB содержания SiO2 (в пределах 49–51 мас. %), Na2O (~2 мас. %) при систематически более высоком содержании FeO (>11 мас. %) (рис. 7). Магнезиальность пород ниже, чем в примитивных расплавах MORB (Mg# 47.3–52.3), следовательно, их составы не соответствуют первичным расплавам и могут быть результатом фракционирования расплавов в процессе кристаллизации оливина, плагиоклаза и Ti-магнетита. Следствием этого могут быть высокие содержания тяжелых РЗЭ и отрицательные аномалии Eu и Ti в породах. Относительно других пород протолит амфиболита, обр. M16-42, мог быть обогащен минералом c низкими содержаниями РЗЭ, например плагиоклазом. Это подтверждается высоким содержанием в породе Al2O3 и положительными аномалиями Rb и Sr, тогда как отсутствие положительной аномалии Eu может быть связано с интрузивной, а не эффузивной природой протолита амфиболита.
Амфиболиты имеют существенные вариации по крупноионным элементам, выраженным в значениях отношений Sr/Nb и Rb/Sr (рис. 10в, 10г), а также по отношению к менее мобильным элементам, например Th или легким РЗЭ (рис. 10а, 10б). В породах средних ступеней метаморфизма крупноионные литофильные элементы распределены между плагиоклазом и амфиболом, а содержание Sr наиболее существенное в плагиоклазе. Большинство изученных амфиболитов содержат плагиоклаз двух генераций: обогащенный анортитом (XAn > 0.2) и альбит с примесью K2O, частично (в виде кайм) или полностью замещающий исходный плагиоклаз (рис. 5б). Ранее было неоднократно показано, что преобразование пород океанической коры в низкотемпературных условиях, вплоть до зеленосланцевой фации, может приводить к потере Sr и других флюидомобильных элементов в связи с замещением первично-магматического или более высокотемпературного метаморфического, богатого анортитом плагиоклаза (например, Kirchner, Gillis, 2012). Таким образом, вариации содержаний Rb и Sr могут быть обусловлены преобразованием исходного основного-среднего плагиоклаза и отражать подвижность крупноионных литофильных элементов как при флюидном метасоматозе протолита, так и при ретроградном преобразовании самих амфиболитов.
Рис. 10.
Соотношение между изотопными характеристиками Nd и индикаторными элементными отношениями в амфиболитах (данные текущего исследования) и в высокобарических породах комплекса Алаг-Хадны (Skuzovatov et al., 2018).

Дискриминационные диаграммы, основанные на содержании немобильных при метаморфических преобразованиях компонентов (Pearce, 2014; Saccani, 2015), позволяют классифицировать все образцы амфиболитов как толеитовые базальты (рис. 11а). На диаграмме ThN–NbN (рис. 11б) точки составов амфиболитов лежат в области океанических базальтов, причем деплетированные легкими РЗЭ амфиболиты – в поле N-MORB, а обогащенные – в перекрывающихся полях E-MORB и P-MORB. Дополнительное нормирование содержаний редких элементов к YbN-MORB позволяет минимизировать эффект фракционирования (Pearce et al., 2021) и указывает на близость деплетированных легкими РЗЭ амфиболитов к N-MORB по всем характеристикам за исключением обогащения Th и U (рис. 12а). Обогащение амфиболитов консервативными Th, Nb и Ta должно отражать состав источника плавления при образовании их протолитов. Таким образом, протолиты деплетированных амфиболитов не могли образоваться только при участии деплетированного мантийного источника. Нормированные к N-MORB и YbN-MORB составы обогащенных легкими РЗЭ амфиболитов комплекса Алаг-Хадны (обр. M16-37, M16-43, M16-44) подобны E-MORB, в частности составу толеитовых базальтов офиолитового комплекса Сарв-Абад (Иран) (Saccani et al., 2014), за исключением более высоких содержаний тех же Th и U (рис. 12б). В этих породах не отмечается какого-либо прогрессивного вклада типично корового, обогащенного компонента. Вместе с тем, согласно использованным моделям дискриминации, эклогиты комплекса Алаг-Хадны наиболее соответствуют базитам типов N-MORB и G-MORB (рис. 11–13).
Рис. 11.
(а) Классификационная диаграмма для вулканических пород в координатах Zr/Ti–Nb/Y, по (Pearce, 2014). (б) Дискриминационная диаграмма ThN–NbN, по (Saccani, 2015). Значения нормированы на N-MORB (Sun, McDonough, 1989). Серое поле – область океанических базальтов.

Рис. 12.
Yb- и N-MORB-нормированные мультиэлементные диаграммы для амфиболитов и эклогитов комплекса Алаг-Хадны. Условные обозначения см. на рис. 11. Для сравнения приведены составы вулканитов N-, P-, E- и G-MORB типов из офиолитового комплекса Сарв-Абад (Saccani и др., 2014).

Рис. 13.
Дискриминационная диаграмма разделения вулканических пород N- и G-MORB в координатах Dy/Yb–Ce/Yb, по (Saccani и др., 2015). Значения нормированы на хондрит C1 (Sun, McDonough, 1989). Условные обозначения см/ на рис. 11.

Контаминация базитовых, подобных MORB, расплавов коровым субстратом должна сопровождаться проявлением минимумов по высокозарядным элементам (прежде всего, Nb-Ta и Ti) относительно РЗЭ и соответствующим увеличением значений отношений, в частности Th/La, La/Nb, Sr/Nb, что в общем случае не характерно для изученных пород (рис. 10а–10в). Подтверждением этому выступает отсутствие корреляции между изотопным составом Nd и вышеобозначенными отношениями в исследованных породах и, напротив, типично радиогенный состав Nd в амфиболитах, наиболее обогащенных легкими РЗЭ (например, в обр. М16-44). Кроме того, низкая щелочность и титанистость амфиболитов также не типична для континентальных толеитов. Таким образом, систематически повышенное содержание крупноионных литофильных элементов, Th и U может быть отчасти обусловлено процессами генерации исходных расплавов. Вместе с тем среди эклогитов и амфиболитов присутствуют образцы с отношением Th/Nb выше, чем в MORB (Pearce et al., 2021), а также единичные образцы с минимумами Nb–Ta и нерадиогенным изотопным составом Nd (εNd(Т) < 0). Такие особенности могут быть объяснены контаминацией исходных расплавов континентальной корой. Кроме того, обогащение амфиболитов и эклогитов всех выделенных геохимических типов по Th, U и (в разной степени) Nb и Ta, по сравнению с базитами типа MORB, свидетельствует о потенциальном участии в процессе плавления вещества литосферной мантии.
Геодинамическая обстановка формирования протолита амфиболитов и взаимоотношение с высокобарическими породами в аккреционной системе Юго-Западной Монголии
В аккреционном комплексе Алаг-Хадны присутствует ассоциация метаморфических пород, протолиты которых могли образоваться из расплавов, подобных N-MORB, G-MORB и E-MORB, при преимущественном плавлении астеносферной мантии деплетированного и обогащенного типа, соответственно. Принципиальным отличием реконструируемого протолита эклогитов от такового для амфиболитов являются вариации между составами N-MORB и G-MORB (рис. 13), в меньшей степени обогащенными базитами типов E‑MORB и P-MORB (рис. 11, 12). Для базитов типа G-MORB обогащение средними РЗЭ относительно тяжелых интерпретируется как результат плавления гранатсодержащего мантийного источника (например, Montanini et al., 2008). Таким образом, предполагается вовлечение в плавление более глубинной (гранат-перидотитовой) фации мантии либо, что наиболее вероятно, присутствие метасоматизированных (гранат-пироксенитовых) мантийных доменов среди типичных шпинелевых перидотитов (Saccani et al., 2015), подвергаемых плавлению при генерации большинства MORB-подобных расплавов (Niu, 1997). Схожий с амфиболитами уровень обогащения Nb и другими несовместимыми элементами относительно N‑MORB характерен для базитов типа E-MORB, связанных с различной степенью вовлечения обогащенных областей мантии, метасоматизированных расплавами астеносферного/нижнемантийного или субдукционного происхождения (Gale et al., 2013 для обзора). Согласно Р. Кастильо с соавторами (Castillo et al., 2002), в осевых частях зон растяжения, формируемых при континентальном рифтогенезе, состав вулканитов может иметь более обогащенный и фракционированный в сравнении с N-MORB характер вулканитов, схожий с таковым изученных амфиболитов. В недавней классификации (Dilek, Furnes, 2014) описаны офиолиты континентальной окраины, представляющие собой фрагменты новообразованной океанической коры типов N-MORB, G-MORB и E-MORB зоны перехода океан–континент, которая формировалась во время раскола континента. Следовательно, протолит эклогитов и амфиболитов мог быть сформирован в пределах единой рифтогенной пассивной окраины, что неоднократно предполагалось для пространственно совмещенных пород типов N-MORB, T-MORB и E-MORB (Andreasson, Albrecht, 1995).
В то время как изотопно-геохимические особенности большинства амфиболитов и эклогитов комплекса Алаг-Хадны указывают на умеренно-деплетированный мантийный источник родоначальных для протолита расплавов, согласующийся с обстановкой растяжения и формированием океанической коры, в рамках этих процессов сложно объяснить существование пород с нерадиогенными Nd (εNd(Т) < 0) характеристиками как среди амфиболитов (рис. 9, 10, табл. 3), так и среди эклогитов (Skuzovatov et al., 2018). Соответствующие величины εNd(Т) могут быть проинтерпретированы как влияние корового субстрата через контаминацию или взаимодействие с коровым флюидом на стадии амфиболизации (рис. 9), однако изотопные характеристики не коррелируют с геохимическими признаками вклада корового компонента и в целом соответствует крайним составам обогащенных E-MORB, например таковых для Индийского океана (например, White, Klein, 2014).
Пространственная связь амфиболитов с карбонатным меланжем, в котором установлена кембрийская фауна (Kröner et al., 2010), в отличие от преимущественно ранненеопротерозойских (тонийских) и мезопротерозойских возрастов кристаллических пород комплексов Алаг-Хадны и Замтын-Нуруу (Buriánek et al., 2017; Skuzovatov, 2021), указывает на вероятную связь протолита амфиболитов и эклогитов с близкими модельными характеристиками Nd (T(DM) ~ 1500–800 млн лет) с неопротерозойским рифтогенезом, возраст которого пока не ясен (~900–540 млн лет). По модели, предложенной в (Skuzovatov et al., 2018), формирование протолита эклогитов было связано с рифтогенезом пассивной континентальной окраины и формированием ограниченного океанического бассейна, свидетельством чего является отсутствие сопряженных фрагментов океанических или островодужных офиолитов. Геохимически- и изотопно-неоднородные протолиты амфиболитов N-MORB и E-MORB типов, таким образом, могут представлять собой недостающий фрагмент этой рифтогенной ассоциации.
Совокупность существующих P-T оценок для эклогитов и ассоциирующих с ними метагранитоидов и метаосадочных пород указывает на субдукционный и аккреционный/коллизионный тренды метаморфизма при последовательной смене тектонического режима, сопровождавшего закрытие ограниченного океанического бассейна. Отсутствие свидетельств о более высокобарических условиях метаморфизма позволяет предполагать, что протолит амфиболитов не подвергался субдукционному эклогитовому метаморфизму, а мог быть вовлечен в аккреционный метаморфизм умеренных-повышенных давлений в позднем эдиакарии–раннем кембрии, фиксируемый 40Ar-39Ar возрастом высокобарических пород (Štípská et al., 2010) и возрастом метаморфогенных цирконов из метагранитоидов и метаосадочных пород (Buriánek et al., 2017; Skuzovatov, 2021). Отметим, что рассматриваемые метаморфические комплексы находятся в зоне сочленения раннекаледонской Озерной зоны и Дзабханского террейна, содержащей разновозрастные (от палеопротерозойских, ранне- и неопротерозойских до раннепалеозойских) тектонические пластины с породами от гранулитовой до амфиболитовой фации (Козаков и др., 2021; Bold al., 2016; Buriánek et al., 2017; Kröner et al., 2010). Верхний предел возраста метаморфизма в указанных блоках в разных частях зоны меланжа ограничен периодом ~515–490 млн лет, следовательно, формирование самой зоны меланжа происходило после завершения раннепалеозойского метаморфизма в данном диапазоне.
ЗАКЛЮЧЕНИЕ
Полученные данные указывают на присутствие в аккреционном комплексе Алаг-Хадны ассоциации высокобарических пород и пород умеренных давлений с геохимическими характеристиками N‑MORB, G-MORB и E-MORB, типичными для офиолитовых комплексов зоны перехода океан–континент. С учетом текущей тектонической позиции, приуроченной к двум гнейсовым комплексам схожего возраста – Алаг-Хадны и Замтын-Нуруу (~960–950 млн лет), формирование протолита амфиболитов и эклогитов, наиболее вероятно, происходило в обстановке внутриконтинентального растяжения, связанной с формированием ограниченного неопротерозойского океанического бассейна и последующей поздневендской-раннекаледонской конвергенцией. При отсутствии надежных геохронологических данных, мы предполагаем, что метаморфизм умеренных-повышенных давлений с формированием амфиболитов указанной геохимической специфики, схожий по P-T параметрам с регрессивным метаморфизмом эклогитов и ассоциирующих метаосадочных пород, связан с аккреционным процессами, приведшими к раннепалеозойскому субдукционно-аккреционному метаморфизму (~550–540 млн лет), либо является результатом финальной аккреции с формированием зоны тектонического меланжа между Озерной зоной и Дзабханским террейном (~515–490 млн лет или моложе).
Благодарности. Авторы благодарны П.Я. Азимову и И.К. Козакову за ценные комментарии и обоснованные доводы, которые позволили существенно доработать интерпретацию и представление материалов.
Финансовые источники. Исследования проведены в рамках государственного задания ИГХ СО РАН (темы 0284-2021-0007 и 0284-2021-0006) при поддержке Гранта Президента РФ МК-67.2020.5.
Список литературы
Геря Т.В., Перчук Л.Л., Трибуле К. и др. Петрология Туманшетского зонального метаморфического комплекса, Восточный Саян // Петрология. 1997. Т. 5. № 6. С. 563–595.
Козаков И.К., Сальникова Е.Б., Вонг Т. и др. Кристаллические комплексы нижнего докембрия Дзабханского микроконтинента Центральной Азии: возраст, источники, тектоническая позиция // Стратиграфия. Геол. корреляция. 2007. Т. 15. № 2. С. 3–24.
Козаков И.К., Ярмолюк В.В., Ковач В.П. и др. Раннебайкальский кристаллический комплекс в фундаменте Дзабханского микроконтинента раннекаледонской складчатой области Центральной Азии // Стратиграфия. Геол. корреляция. 2012. Т. 20. № 3. С. 3–12.
Козаков И.К., Ковач В.П., Сальникова Е.Б. и др. Формирование неопротерозойской континентальной коры в структурах центрального сегмента Центрально-Азиатского складчатого пояса // Петрология. 2021. Т. 29. № 2. С. 195–224.
Руднев С.Н., Ковач В.П., Пономарчук В.А. Венд-раннекембрийский островодужный плагиогранитоидный магматизм Алтае-Саянской складчатой области и Озерной зоны Западной Монголии (геохронологические, геохимические и изотопные данные) // Геология и геофизика. 2013. Т. 54. № 10. С. 1628–1647.
Ярмолюк В.В., Коваленко В.И., Ковач В.П. и др. Ранние стадии формирования Палеоазиатского океана: результаты геохронологических, изотопных и геохимических исследований позднерифейских и венд-кембрийских комплексов Центрально-Азиатского складчатого пояса // Докл. АН. 2006. Т. 410. № 5. С. 657–662.
Andreasson P.-G., Albrecht L. Derivation of 500 Ma eclogites from the passive margin of Baltica and a note on the tectonometamorphic heterogeneity of eclogite-bearing crust // Geol. Mag. 1995. V. 132. № 6. P. 729–738.
Bold U., Crowley J.L., Smith E.F. et al. Neoproterozoic to early Paleozoic tectonic evolution of the Zavkhan terrane of Mongolia: Implications for continental growth in the Central Asian Orogenic Belt // Lithosphere. 2016. V. 8. № 6. P. 729–750.
Brown E.H. The crossite content of Ca-amphibole as a guide to pressure of metamorphism // J. Petrol. 1977. V. 18. P. 53–72.
Buriánek D., Schulmann K., Hrdličkova K. et al. Geochemical and geochronological constraints on distinct Early Neoproterozoic and Cambrian accretionary events along southern margin of the Baydrag continent in western Mongolia // Gondwana Res. 2017. V. 47. P. 200–227.
Castillo P.R., Hawkins J.W., Lonsdale P.F. et al. Petrology of Alarcon Rise lavas, Gulf of California: Nascent intracontinental ocean crust // J. Geophys. Res. 2002. V. 107. B10. P. 2222.
Dilek Y., Furnes H. Ophiolites and their origins // Elements. 2014. V. 10. P. 93–100.
Dobretsov N.L., Buslov M.M., Vernikovsky V.A. Neoproterozoic to Early Ordovician evolution of the Paleo-Asian Ocean: Implications to the break-up of Rodinia // Gondwana Res. 2003. V. 6. № 2. P. 143–159.
Ernst W.G. Alpine and Pacific styles of Phanerozoic mountain building: Subduction-zone petrogenesis of continental crust // Terra Nova. 2005. V. 17. P. 165–188.
Ernst W.G., Liu J.G. Experimental phase-equilibrium study of Al- and Ti-contents of calcic amphibote in MORB – a semiquantitative thermobarometer // Amer. Mineral. 1998. V. 83. P. 952–969.
Frost B.R., Chamberlain K.R., Schumacher J.C. Sphene (titanite): Phase relations and role as a geochronometer // Chem. Geol. 2000. V. 172. P. 131–148.
Gale A., Dalton C.A., Langmuir C.H. et al. The mean composition of ocean ridge basalts // Geochem. Geophys. Geosystems. 2013. V. 14. P. 489–518.
Gornova M.A., Karimov A.A., Skuzovatov S.Yu., Belyaev V.A. From decompression melting to mantle-wedge refertilization and metamorphism: Insights from peridotites of the Alag-Khadny accretionary complex (SW Mongolia) // Minerals. 2020. V. 10. № 5. P. 396.
Guintoli F., Menegon L., Warren C.J. Replacement reactions and deformation by dissolution and precipitation processes in amphibolites // J. Metamorph. Geol. 2018. V. 36. P. 1263–1286.
Hanžl P., Aichler J. Geological survey of the Mongolian Altay at a Scale 1 : 50 000 (Zamtyn nuruu – 50). Final Report, Czech Geological Survey, Prague, Czech Republic, 2007. 389 p.
Hawthorne F.C., Oberti R., Harlow G.E. et al. Nomenclature of the amphibole supergroup //Amer. Mineral. 2012. V. 97. P. 2031–2048.
Holland T., Blundy J. Non-ideal interactions in calcic amphiboles and their bearing on amphibole-plagioclase thermometry // Contrib. Mineral. Petrol. 1994. V. 116. P. 433–447.
Jahn B.-M., Wu F., Chen B. Granitoids of the Central Asian Orogenic Belt and continental growth in the Phanerozoic // Trans. R. Soc. Edinburgh: Earth Sci. 2000. V. 91. P. 181–193.
Javkhlan O., Takasu A., Fazle Kabir Md., Batulzii D. Multiple metamorphic events recorded within eclogites of the Chandman district, SW Mongolia // Minerals. 2019. V. 9. P. 495.
Kapp P., Manning C.E., Tropper P. Phase-equilibrium constraints on titanite and rutile activities in mafic epidote amphibolites and geobarometry using titanite–rutile equilibria // J. Metamorph. Geol. 2009. V. 27. P. 509–521.
Keskinen M., Liou J.G. Stability relations of Mn-Fe-Al piemontite // J. Metamorph. Geol. 1987. V. 5. P. 495–507.
Khain E.V., Bibikova E.V., Salnikova E.E. et al. The Paleo-Asian ocean in the Proterozoic and Early Paleozoic: New geochronologic data and paleotectonic reconstructions // Precambr. Res. 2003. V. 122. P. 329–358.
Kirchner T.M., Gillis K.M. Mineralogical and strontium isotopic record of hydrothermal processes in the lower ocean crust at and near the East Pacific Rise // Contrib. Mineral. Petrol. 2012. V. 164. P. 123–141.
Kröner A., Lehmann J., Schulmann K. et al. Lithostratigraphic and geochronological constraints on the evolution of the Central Asian Orogenic Belt in SW Mongolia: Early Paleozoic rifting followed by Late Paleozoic accretion // Amer. J. Sci. 2010. V. 310. P. 523–574.
Laird J., Albee A.L. Pressure, temperature, and time indicators in mafic schist: Their application to reconstructing the polymetamorphic history of Vermont // Amer. J. Sci. 1981. V. 281. P. 127–175.
Locock A.J. An Excel spreadsheet to classify chemical analyses of amphiboles following the IMA 2012 recommendations // Comp. Geosci. 2014. V. 62. P. 1–11.
Maruyama S., Suzuki K., Liou J. Greenschist–amphibolite transition equilibria at low pressures // J. Petrol. 1983. V. 24. P. 583–604.
Matsumoto I., Tomurtogoo O. Petrological characteristics of the Hantaishir ophiolite complex, Altai region, Mongolia: Coexistence of podiform chromitite and boninite // Gondwana Res. 2003. V. 6. P. 161–169.
Montanini A., Tribuzio R., Vernia L. Petrogenesis of basalts and gabbros from an ancient continent–ocean transition (External Liguride ophiolites, Northern Italy) // Lithos. 2008. V. 101. P. 453–479.
Niu Y. Mantle melting and melt extraction processes beneath ocean ridges: Evidence from abyssal peridotites // J. Petrol. 1997. V. 38. № 8. P. 1047–1074.
Oh C.W., Liou J.G. A petrogenetic grid for eclogite and related facies under high-pressure metamorphism // The Island Arc. 1998. V. 7. P. 36–51.
Pearce J.A. Immobile element fingerprinting of ophiolites // Elements. 2014. V. 10. P. 101–108.
Pearce J.A., Ernst R.E., Peate D.W., Rogers C. LIP printing: Use of immobile element proxies to characterize Large Igneous Provinces in the geologic record // Lithos. 2021. https://doi.org/10.1016/j.lithos.2021.106068
Raase P. Al and Ti contents of hornblende, indicators of pressure and temperature of regional metamorphism // Contrib. Mineral. Petrol. 1974. V. 45. P. 231–236.
Raith M. The A1-Fe(III) epidote miscibility gap in a metamorphic profile through the Penninic series of the Tauern window, Austria // Contrib. Mineral. Petrol. 1976. V. 57. P. 99–117.
Saccani E. A new method of discriminating different types of post-Archean ophiolitic basalts and their tectonic significance using Th-Nb and Ce-Dy-Yb systematics // Geosc. Front. 2015. V. 6. P. 481–501.
Saccani E., Allahyari K., Rahimzadeh B. Petrology and geochemistry of mafic magmatic rocks from the Sarve-Abad ophiolites (Kurdistan region, Iran): Evidence for interaction between MORB-type asthenosphere and OIB-type components in the southern Neo-Tethys Ocean // Tectonophysics. 2014. V. 621. P. 132–147.
Saccani E., Dilek Y., Marroni M., Pandolfi L. Continental margin ophiolites of Neotethys: Remnants of Ancient Ocean–Continent Transition Zone (OCTZ) lithosphere and their geochemistry, mantle sources and melt evolution patterns // Episodes. 2015. V. 38. P. 230–249.
Schumacher J.C. Metamorphic amphiboles: Composition and coexistence // Rev. Mineral. Geochem. 2007. V. 67. P. 359–416.
Sengör A.M.C., Natal’in B.A., Burtman V.S. Evolution of the Altaid tectonic collage and Paleozoic crustal growth in Eurasia // Nature. 1993. V. 364. P. 299–307.
Skuzovatov S.Yu. Nature and (in-)coherent metamorphic evolution of subducted continental crust in the Neoproterozoic accretionary collage of SW Mongolia // Geosc. Front. 2021. V. 12. № 3. P. 101097.
Skuzovatov S.Yu., Shatsky V.S., Dril S.I., Perepelov A.B. Elemental and isotopic (Nd-Sr-O) geochemistry of eclogites from the Zamtyn-Nuruu area (SW Mongolia): Crustal contribution and relation to Neoproterozoic subduction-accretion events // J. Asian Earth Sci. 2018. V. 167. P. 33–51.
Song S., Zhang L., Niu Y., Su L. et al. Evolution from oceanic subduction to continental collision: A case study from the Northern Tiberan Plateau based on geochemical and geochronological data // J. Petrol. 2006. V. 47. № 3. P. 435–455.
Spear F.S. NaSi-CaAl exchange equilibrium between plagioclase and amphibole: An empirical model // Contrib. Mineral. Petrol. 1980. V. 80. P. 140–149.
Štípská P., Schulmann K., Lehmann J. et al. Early Cambrian eclogites in SW Mongolia: Evidence that the Palaeo-Asian Ocean suture extends further than expected // J. Metamorph. Geol. 2010. V. 28. P. 915–933.
Starr P.G., Pattison D.R.M., Ames D.E. Mineral assemblages and phase equilibria of metabasites from the prehnite–pumpellyite to amphibolite facies, with the Flin Flon Greenstone Belt (Manitoba) as a type example // J. Metamorph. Geol. 2020. V. 38. P. 71–102.
Starr P.G., Pattison D.R.M. Equilibrium and disequilibrium processes across the greenschist – amphibolite transition zone in metabasites // Contrib. Mineral. Petrol. 2019. V. 174. № 2. P. 1–18.
Sun S.-S., McDonough W.F. Chemical and isotopic systematics of oceanic basalts: Implications for mantle composition and processes // Magmatism in the Ocean Basins. Eds. A.D. Saunders, M.J. Norry. Geol. Soc. Spec. Publ. 1989. V. 42. P. 313–345.
Tomurtogoo O. A new tectonic scheme of the Paleozoides in Mongolia // Mongol. Geoscientist. 1997. V. 3. P. 12–17.
Triboulet C., Audren C. Controls on P-T-t deformation path from amphibole zonation during progressive metamorphism of basic rocks (estuary of the River Vilaine, South Brittany, France) // J. Metamorph. Geol. 1988. V. 6. P. 117–133.
White W.M., Klein E.M. Composition of the Oceanic Crust // Treatise on Geochemistry (Second Ed.). 2014. V. 4. P. 457–496.
Whitney D.L., Evans B.W. Abbreviations for names of rock-forming minerals // Amer. Mineral. 2010. V. 95. P. 185–187.
Zenk M., Schulz B. Zoned Ca-amphiboles and related P-T evolution in metabasites from the classical Barrovian metamorphic zones in Scotland // Mineral. Mag. 2004. V. 68. № 5. P. 769–786.
Zhang G., Zhang L., Christy A.G. From oceanic subduction to continental collision: An overview of HP-UHP metamorphic rocks in the North Qaidam UHP bel, NW China // J. Asian Earth Sci. 2013. V. 63. P. 98–111.
Дополнительные материалы
- скачать ESM.xlsx
- Приложение 1.
Инструменты
Петрология






