Петрология, 2022, T. 30, № 3, стр. 260-280
Влияние окислительных условий на геохимическую и металлогеническую зональности на примере мезозойских магматических поясов Восточной Якутии
Л. Ф. Мишин a, *, Е. А. Коновалова a, Ю. В. Талтыкин a
a Институт тектоники и геофизики им. Ю.А. Косыгина ДВО РАН
Хабаровск, Россия
* E-mail: lfmishin@mail.ru
Поступила в редакцию 13.04.2021
После доработки 27.10.2021
Принята к публикации 10.11.2021
- EDN: YYEVTW
- DOI: 10.31857/S0869590322030050
Аннотация
С мезозойскими магматическими поясами Восточной Якутии в обрамлении Колымо-Омолонского террейна пространственно и во времени связаны различные рудные месторождения, главным образом золота и олова. В статье обсуждается металлогеническое значение окислительно-восстановительных условий в рудно-магматических процессах с учетом соотношения окисного и закисного железа в магматических породах. Установлено, что магматические породы Главного и Северного батолитовых поясов, поперечные ряды (западное продолжение Колымской петли) и небольшие зоны в юго-западном обрамлении Главного батолитового пояса кристаллизовались в восстановительных условиях (ильменитовая серия). В их надинтрузивной зоне сосредоточены все месторождения и рудопроявления олова и вольфрама. Породы ильменитовой серии обрамляются магматическими образованиями, формирование которых происходило в окислительных условиях (магнетитовая серия). С ними связаны концентрации халькофильных элементов и золота. В рамках рассматриваемого мезозойского этапа магматизма положение границы между ильменитовой и магнетитовой сериями не зависит от возраста пород, глубины их кристаллизации и петрохимического состава. Различные окислительно-восстановительные условия предшествовали магматизму и существовали по мел включительно.
ВВЕДЕНИЕ
Восточная Якутия в мезозое представляла собой арену интенсивного гранитоидного магматизма. На ее территории в обрамлении Колымо-Омолонского составного террейна формировались протяженные магматические пояса, с которыми пространственно и во времени были связаны различные гидротермальные рудные месторождения. Магматизму, тектонике и металлогении этого интереснейшего региона посвящены многочисленные монографические описания, насыщенные аналитическими данными (Тектоника …, 2001; Трунилина и др., 2007, 2013; Бахарев, 1988; Рудич, 1959, 1966; Флеров и др., 1979; Ненашев, 1979; Ненашев, Зайцев, 1980; Akinin et al., 2020). Многие исследователи, за редким исключением (Трунилина, 1991), изучая геохимические процессы, учитывали только содержание элементов, не беря во внимание состояние поливалентных рудных элементов. Наш и мировой опыт показывают, что валентные формы зачастую кардинально отличаются по своей активности в геохимических процессах (Печерский, 1964; Ляхович, 1965; Дубинчик, Путинцев, 1971; Романовский, 1987; Эйриш, 1983; Мишин, Романовский, 1992; Борисов и др., 1991; Кадик, Луканин, 1986; Кигай, 2011; Рябчиков, Когарко, 2010; Ishichara, 1977; Gastil, 1990; Hart et al., 2004; Sato, 2012). С этих позиций в настоящей работе рассматривается распределение поливалентных элементов в мезозойских магматических образованиях Восточной Якутии.
К МЕТОДИКЕ ИЗУЧЕНИЯ ОКИСЛИТЕЛЬНО-ВОССТАНОВИТЕЛЬНЫХ УСЛОВИЙ ФОРМИРОВАНИЯ МАГМАТИЧЕСКИХ ПОРОД
Большинство элементов характеризуются переменной валентностью. Переход из одного валентного состояния в другое связан с окислительными условиями по следующей схеме (Johnston, 1965):
(1)
${{{\text{M}}}^{{m + }}} + {n \mathord{\left/ {\vphantom {n {4{{{\text{O}}}_{2}}}}} \right. \kern-0em} {4{{{\text{O}}}_{2}}}} = {{{\text{M}}}^{{(m + n) + }}} + {n \mathord{\left/ {\vphantom {n {2{{{\text{O}}}^{{2--}}}}}} \right. \kern-0em} {2{{{\text{O}}}^{{2--}}}}},$Следовательно, зная валентное состояние элемента, можно решать обратную задачу прогнозирования окислительных условий кристаллизации магматических пород, т.е. определять фугитивность кислорода (fO2). По экспериментальным данным (Fudali, 1965; Лебедева и др., 2001; Никольский, 1978) для петрографически ограниченных групп пород, например океанических базальтов, отмечается прямо пропорциональная зависимость значений –lgfO2 от окисленности железа (рис. 1).
Рис. 1.
Зависимость окисленности железа от значений –lgfO2 океанических базальтов. 1 – (Fudali, 1965), 2 – (Лебедева и др., 2001).

Однако, в рамках магматических серий – от базальтов к риолитам и от габбро к гранитам, на редокс-состояние железа кроме fO2 влияют дополнительные факторы. Влияние этих факторов описывается эмпирическим уравнением (Борисов, Шапкин, 1989):
(2)
$\lg ({{{\text{F}}{{{\text{e}}}^{{3 + }}}} \mathord{\left/ {\vphantom {{{\text{F}}{{{\text{e}}}^{{3 + }}}} {{\text{F}}{{{\text{e}}}^{{2 + }}}}}} \right. \kern-0em} {{\text{F}}{{{\text{e}}}^{{2 + }}}}}) = {h \mathord{\left/ {\vphantom {h T}} \right. \kern-0em} T} + k\lg f{{{\text{O}}}_{2}} + s,$(3)
$f{\kern 1pt} ' = {{{\text{F}}{{{\text{e}}}_{{\text{2}}}}{{{\text{O}}}_{3}}} \mathord{\left/ {\vphantom {{{\text{F}}{{{\text{e}}}_{{\text{2}}}}{{{\text{O}}}_{3}}} {({\text{F}}{{{\text{e}}}_{{\text{2}}}}{{{\text{O}}}_{3}} + {\text{FeO}})}}} \right. \kern-0em} {({\text{F}}{{{\text{e}}}_{{\text{2}}}}{{{\text{O}}}_{3}} + {\text{FeO}})}} + 0.38 - ({{{\text{Si}}{{{\text{O}}}_{{\text{2}}}}} \mathord{\left/ {\vphantom {{{\text{Si}}{{{\text{O}}}_{{\text{2}}}}} {200}}} \right. \kern-0em} {200}}).$Пользуясь формулой (3), можно в единой системе сопоставлять окисленность железа в породах независимо от содержания в них SiO2. Коэффициент f ' отражает фугитивность кислорода, но в условных единицах со значениями от 0 до 1.
С окисленностью железа связан комплекс геохимических и петрофизических особенностей при кристаллизации магматических пород. В условиях высокой фугитивности кислорода железо приобретает преимущественно трехвалентную форму (рис. 2). Трехвалентное железо имеет низкую растворимость в силикатных расплавах и уже на ранней стадии кристаллизации связывается в магнетите – это, как правило, хорошо оформленные кристаллы и их гломеропорфировые сростки. Содержание магнетита даже в породах кислого состава нередко достигает до процента.
Рис. 2.
Влияние окислительных условий на состав и последовательность кристаллизации рудных и темноцветных минералов.

Наиболее отчетливо ранняя кристаллизация магнетита просматривается в слабо раскристаллизованных породах. Например, в Ульинском прогибе, в верховьях р. Ядра в дацитах магнетитовой серии с микролитовой основной массой вкрапленники представлены одним магнетитом. По внешнему облику и магнитной восприимчивости эти дациты близки даже базальтам.
Из-за ранней кристаллизации магнетита остаточный расплав обедняется железом, и кристаллизующиеся вслед за магнетитом темноцветные минералы (биотит, роговая обманка, пироксены и оливин) характеризуются пониженной железистостью (Ляхович, 1965; Дубинчик, Путинцев, 1971; Мишин, 1994, рис. 3). Это еще один дополнительный признак для диагностики пород магнетитовой серии.
Рис. 3.
Гистограммы распределения (FeO + Fe2O3) во вкрапленниках темноцветных минералов вулканических пород: (а) – биотиты, (б) – клинопироксены, (в) – ортопироксены (Мишин, 1994).

Преимущественно магнетитовый состав акцессорного рудного минерала и его высокое содержание создают повышенную магнитную восприимчивость пород (MS), позволяющую с помощью каппаметра уже непосредственно в поле картировать принадлежность магматических образований к той или иной серии пород (рис. 4). Это особенно актуально в тех случаях, когда граница между окислительным и восстановительным флюидными фронтами пересекает однородные в возрастном и петрографическом отношении изолированные тела гранитов. Типичные примеры: Аксакинский, Южный Сидимийский и Приисковый гранитоидные массивы в Сихотэ-Алине (Мишин и др., 2020), граниты в зоне перехода между ильменитовой и магнетитовой сериями в Калифорнии (Gastil, 1990), гранитоиды в Лахланском складчатом поясе Юго-Восточной Австралии (Sаto, 2012), на Аляске (Hart et al., 2004; рис. 5).
Рис. 4.
Гистограммы распределения магнитной восприимчивости в магматических породах Сихотэ-Алиньского орогенного пояса (Мишин и др., 2020). Полная выборка (а) и интервал 0–1 (б). Красная зона – граница между ильменитовой и магнетитовой сериями.

Рис. 5.
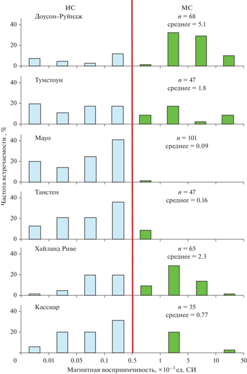
Гистограммы распределения магнитной восприимчивости в плутонических породах Юкона (Hart et al., 2004).

В восстановительных условиях железо находится преимущественно в подвижной двухвалентной форме и концентрируется главным образом в темноцветных минералах. И лишь избыток его после кристаллизации темноцветных минералов связывается в ильмените и магнетите, как правило, в виде единичных мелких зерен. Именно такой процесс обуславливает низкую, часто почти нулевую магнитную восприимчивость магматических пород ильменитовой серии. Наряду с железом и другие поливалентные элементы (Sn, Cu, Eu и др.) могут выступать в качестве индикаторов окислительно-востановительных условий кристаллизации магматических пород (Борисов и др., 1991; Мишин, 2010).
Положение границы между магнетитовой и ильменитовой сериями, определенное по магнитной восприимчивости пород, хорошо коррелирует с границей, определенной по значению коэффициента окисленности железа (рис. 6). Эти данные получены при анализе окислительно-восстановительных условий формирования гранитоидных массивов Сихотэ-Алиньского орогенного пояса, пересекаемых границей между магнетитовой и ильменитовой сериями. Магнитная восприимчивость измерялась каппаметром КТ-5, Fe3+ определялось трилонометрическим методом, Fe2+ – бихроматным методом (аналитик В.Е. Зазулина).
Рис. 6.
Коэффициент окисленности железа в гранитоидных массивах Сихотэ-Алиньского орогенного пояса, расположенных в зоне перехода ильменитовая–магнетитовая серии. Массивы: Аксакинский (1), Южный Сидимийский (2), Приисковый (3). 4 – граница между ильменитовой (ИС) и магнетитовой (МС) сериями.

Таким образом, граница между магнетитовой и ильменитовой сериями хорошо фиксируется и по магнитной восприимчивости, и по окисленности железа в породах. Фиксируемый интервал неопределенности (0.3–0.5) объясняется наличием постепенного перехода между окисленными и восстановленными породами. При построении карты окислительных условий формирования мезозойских магматических образований Восточной Якутии для разграничения магнетитовой и ильменитовой серии использовано предельное значение коэффициента окисленности железа (f ' = 0.3), что хорошо контролируется распределением оловоносности в регионе.
Окислительно-восстановительные условия, в которых происходила кристаллизация магматических пород, определяемые преобладанием соединений кислорода (окислительные) или соединений водорода (восстановительные) однажды возникнув, существуют, по-видимому, длительное время: например, в восточном Забайкалье с позднего палеозоя по нижний мел включительно (Мишин и др., 2019), в Сихотэ-Алиньском орогенном поясе – от 130 млн лет по кайнозой включительно (Мишин и др., 2020).
Редокс-условия накладывают свой отпечаток на геохимический состав пород и минералов (магнетитовая и ильменитовая серии) независимо от глубины их кристаллизации: интрузивы, дайки, субинтрузии или вулканические покровы.
Соотношение окисного и закисного железа – первичный основной признак для выделения пород магнетитовой и ильменитовой серий. Однако содержание железа определяется не в монофракции, а в пробе с валовым составом; и могут возникать ошибки, обусловленные наложенными процессами – выветривание и гидротермальные изменения искажают первичное соотношение окисного и закисного железа. К этому добавляется и систематическая погрешность химического метода. Более надежный результат дает анализ монофракций породообразующих и акцессорных рудных минералов. Под микроскопом можно полностью отбраковать зерна минералов, подверженные вторичным изменениям. В условиях Восточной Якутии, где климат резко-континентальный, фактор выветривания сводится к минимуму. В других районах с резко-континентальным климатом (Северо-Восток России, север Хабаровского края и Забайкалье) результаты анализов на окисное и закисное железо дают также неплохие показатели при определении магнетитовой и ильменитовой серий магматических пород (Мишин и др., 2003, 2019, 2020).
При детальном картировании зоны перехода между породами ильменитовой и магнетитовой серий наиболее надежные результаты дает использование комплекса признаков. Самые практичные из них – магнитная восприимчивость пород, измеряемая в коренных выходах и образцах каппаметром, вес магнитной фракции, соотношение в магматических породах окисного и закисного железа и железистость темноцветных минералов. Несмотря на постепенный переход (первые десятки метров), граница между магнетитовой и ильменитовой сериями достаточно точно определяется статистическим распределением значений магнитной восприимчивости пород (см. рис. 4, 5) и по соотношению окисного и закисного железа (рис. 6).
При составлении карты окислительных условий формирования мезозойских магматических образований Восточной Якутии в выборку включался весь ряд магматических пород, за исключением ультрабазитов, метаморфических и метасоматически измененных пород. Учитывая наличие регрессии от риолитов и гранитов к базальтам и габбро, данные по окисленности железа пересчитывались по вышеприведенной формуле (3). Банк аналитических данных составили силикатные анализы пород, в которых раздельно определялись содержания окисного и закисного железа: пояснительные записки к геологическим картам масштаба 1 : 200 000 и монографические работы (Флеров и др., 1979; Трунилина и др., 2007, 2013; Трунилина, Роев, 2018; Бахарев и др., 1988; Мишин, 1994; Рудич, 1959, 1966). Общее количество анализов, использованных при подготовке статьи, составило 1150 шт (рис. 7).
Рис. 7.
Карта фактического материала Восточной Якутии. 1 – зона распространения восстановительных (установленная (а), предполагаемая (б)) и окислительных (в) условий формирования магматических пород; 2 – месторождения Sn (а), рудопроявления Sn (б); 3 – средние значения коэффициента окисленности железа (f') в магматических породах для планшетов масштаба 1 : 200 000; в числителе – среднее значение коэффициента окисленности железа, в знаменателе – количество проб.

В распределении окисленности железа имеет место четкий минимум, поэтому к ильменитовой серии отнесены магматические породы со значениями f ' < 0.3, к магнетитовой – f ' > 0.3. Этому минимуму окисленности железа соответствует значение магнитной восприимчивости (0.5–0.6) × 10–3 ед. СИ (рис. 4, 5; Мишин и др., 2020; Hart et al., 2004).
КРАТКИЙ ГЕОЛОГИЧЕСКИЙ ОЧЕРК МЕЗОЗОЙСКИХ МАГМАТИЧЕСКИХ ОБРАЗОВАНИЙ ВОСТОКА ЯКУТИИ
Рассматриваемая территория располагается на границе Сибирского континента и составного Колымо-Омолонского супертеррейна. Описание мезозойских магматических образований востока Якутии приводится в работах (Тектоника …, 2001; Флеров и др., 1979; Бахарев и др., 1988; Трунилина и др., 1985, 2007, 2013).
Крайнее восточное положение на западной границе Омолонского террейна занимает Уяндино-Ясачненский вулкано-плутонический пояс (УЯВПП). Уяндино-Ясачненский пояс протягивается почти непрерывно на 1000 км при ширине 150 км, обрамляя с запада Колымо-Омолонский террейн (Трунилина и др., 2007, рис. 8). Возраст вулканитов по Rb-Sr изотопным данным варьирует от 162 до 152 млн лет, а по U-Pb датировкам по цирконам – около 150 млн лет (Prokopiev et al., 2007; Akinin et al., 2020). Пояс характеризуется пестрым петрографическим составом вулканических пород с некоторым преобладанием в низах разреза пород основного и среднего состава, а в верхах – риолитов, в том числе игнимбритов. С вулканическими породами пространственно и по времени ассоциируют многочисленные малые интрузии и субвулканические тела основного и среднего состава, выделенные как габбро-тоналит-гранодиоритовая и тоналит-гранодиорит-плагиогранитная ассоциации (Трунилина и др., 2013). Большинство исследователей в настоящее время связывают образование магматических пород УЯВПП с зоной субдукции.
Рис. 8.
Карта окислительно-восстановительных условий формирования мезозойских магматических пород Восточной Якутии. Геологическая основа (Третьяков, 2019) с добавлениями авторов. 1 – интрузивные; 2 – субвулканические; 3 – вулканические породы (цифры в кружках – вулканические поля УЯВПП: 1 – Салтага-Тасское, 2 – Сыачанское, 3 – Кыра-Суордахское, 4 – Догдинское, 5 – Умбинское, 6 – Интахское); 4 – зона распространения восстановительных (установленная (а), предполагаемая (б)) и окислительных (в) условий формирования магматических пород; 5 – месторождения Sn; 6 – условная схема трещиноватости, радиальных и дуговых разломов по материалам (Третьяков, 2019; Трунилина и др., 1985).

В юго-западном и северном обрамлении Колымо-Омолонского террейна параллельно УЯВПП простирается гигантский по протяженности пояс гранитных батолитов – Главный и Северный.
Главный батолитовый пояс прослеживается на 1100 км вдоль границы Иньяли-Дебинского синклинория с Колымо-Омолонским супертеррейном. 40Ar-39Ar датированием установлен узкий возрастной интервал образования гранитоидов пояса – 143–138 млн лет (Layer et al., 2001). По результатам более надежного U-Pb датирования по цирконам, основной объем батолитов и даек пояса сформирован около 150 ± 3 млн лет (Акинин и др., 2009) и его возраст близок возрасту вулканических пород УЯВПП (Prokopiev et al., 2007; Akinin et al., 2020).
Северный батолитовый пояс простирается в субширотном направлении на 700 км вдоль северного обрамления Колымо-Омолонского супертеррейна. В составе Главного и Северного батолитовых поясов выделяют гранодиорит-гранитную, диорит-гранодиорит-гранитную и гранит-лейкогранитовую ассоциации гранитоидов (Флеров и др., 1979; Трунилина и др., 2013) и крупные субвулканические массивы кислого состава (Рудич, 1966). Массивы гранодиоритового и гранитного состава преобладают в составе батолитовых поясов. В основном гранитоиды данной ассоциации представлены роговообманковыми, реже биотитовыми разностями с фазовыми и фациальными переходами между ними. В западном направлении в обоих поясах начинают преобладать лейкократовые и двуслюдяные высокоглиноземистые граниты. В Северном поясе дополнительно выделяются субщелочные граниты латитового ряда (Трунилина и др., 2013). Оба пояса по форме выходов гранитных массивов на поверхность и составу пород близки между собой. Это система относительно узких, но протяженных выходов гранитоидов. Было установлено морфологическое разнообразие форм гранитных тел с преобладанием межформационных пластовых залежей (Некрасов, 1962, 1984; Флеров и др., 1979; Молчанова, 1981; Трунилина и др., 1996, 1999).
Главный и Северный магматические пояса в западном направлении в районе Колымской петли постепенно “расщепляются” (шарнир Колымской петли), образуя уже общую дугообразную зону, состоящую из значительного количества более изометричных и более мелких по площади выходов гранитоидов (см. рис. 8). Вмещающие породы в этой зоне отличаются напряженной складчатостью и сильной катаклазированностью пород.
Сравнивая Главный и Северный батолитовые пояса с зоной рассеянного магматизма западного шарнира Колымской петли, можно отметить относительно слабый эрозионный срез гранитов в этой зоне Колымской петли. Об этой тенденции свидетельствует смена на запад гранитных массивов отдельными апикальными выступами гранитов и свитами даек. В бассейне верхнего течения р. Селеннях (северный фланг Колымской петли), где известны многочисленные оловорудные месторождения, лишь в немногих из них на поверхности вскрыты апикальные части гранитных плутонов. Самое крупное в России касситерит-силикатно-сульфидное месторождение Депутатское расположено в надинтрузивной зоне гранитного массива, площадь которого по геофизическим данным составляет 550 км2. Кровля гранитного массива вскрыта скважинам на глубинах 230–375 м от поверхности. Граниты плутона датированы Rb-Sr методом – 122–116 млн лет (Ненашев, Зайцев, 1980).
В западном направлении зона рассеянного магматизма Колымской петли наращивается обширной дугообразной (в плане) зоной, контролируемой поперечной системой радиальных магматических поясов и разломов, протяженностью каждого до 300 км. Общая площадь распространения магматических образований в этой зоне составляет около 180 000 км2 (см. рис. 8).
Если ориентироваться только на 40Ar-39Ar метод, то магматические породы радиальных зон имеют такой же возраст, как и Главный батолитовый пояс, что, однако, не подтверждается более точными данными U-Pb датирования по циркону (Akinin et al., 2020). При этом в пределах наиболее изученного радиального Дербеке-Нельгесинского пояса устанавливается направленное уменьшение возраста пород от 132 млн лет на северо-восточном фланге до 124 млн лет на юго-западном его окончании (Layer et al., 2001). В этом же направлении возрастает мощность кровли над интрузивами и на поверхности гранитоидные массивы сменяются поясами даек.
Зона магматических пород, контролируемая радиальными разломами, далее на запад обрамляется синскладчатыми дуговыми по форме разломами и дайковыми поясами с отдельными небольшими по размеру выходами гранитных интрузивов.
Тас-Кыстабытский магматический пояс представляет собой прерывистую полосу мезозойских магматических образований, протягивающуюся на 300 км субпараллельно Главному батолитовому поясу. В его пределах установлены различные по составу и возрасту магматические образования (Рудич, 1959; Попов, Кузнецов, 1987; Шкодзинский и др., 1992; Мишин, 1994; Бахарев и др., 1997, 2005; Layer et al., 2001). Возраст по цирконам (U-Pb, SHRIMP) для Тас-Кыстабытского комплекса составляет 149 ± 2, 151 ± 1, а для Нельканского 144 ± 1.4, 145 ± 2 млн лет (Герцева, Сысоев, 2021). В составе пояса известны застывшие потоки базальтов, дайки, силы и штоки субщелочных долеритов и габбро-диабазов, а также реликты толщи риолитов и риолитовых и дацитовых туфов. Интрузивные образования в составе пояса образуют спектр от диоритов до лейкократовых с мусковитом гранитов. В осевой части Тас-Кастабытского пояса расположен батолитоподобный (площадью 1500 км2) Тарынский субвулканический массив, вытянутый в северо-западном направлении на 100 км. Ильменитовые дациты Тарынского субвулкана с возрастом около 152 млн лет (Akinin et al., 2020) и ассоциирующие с ними безкорневые тела гранодиорит-порфиров, концентрирующиеся в осевой зоне массива, имеют идентичный петрохимический и геохимические составы. Вкрапленники в дацитах представлены лабрадором, ромбическим и монклинным пироксенами в микролитовой основной массе, по химическому составу отвечающей кварц-полевошпатовой эвтектике с содержанием SiO2 = 76 мас. % (Мишин, 1994).
ОКИСЛИТЕЛЬНО-ВОССТАНОВИТЕЛЬНЫЕ УСЛОВИЯ ФОРМИРОВАНИЯ МАГМАТИЧЕСКИХ ПОРОД ВОСТОЧНОЙ ЯКУТИИ
Уяндино-Ясачненский вулкано-плутонический пояс в современном срезе представляет серию разобщенных полей, сложенных близкими по составу свитами терригенных и вулканогенных пород. В ее пределах значения коэффициента окисленности пород возрастают в направлении от западного изгиба к северному и к южному крылу пояса (рис. 9).
Рис. 9.
Коэффициент окисленности железа в магматических породах Уяндино-Ясачненского вулкано-плутонического пояса. 1 – мугдуканская свита, 2 – эмтанджинская свита, 3 – догдинская и кыринская свиты (вулканические образования в пределах Догдинской, Интакской и Умбинской зон посвитно не расчленены).

Максимальной окисленностью характеризуются вулканические породы южных Интахского и Умбинского полей. Магматические породы Кыра-Суордахского и частично Догдинского полей, занимающих крайнее западное положение в шарнире Колымской петли, наименее окисленные. Кыра-Суордахское поле вулканитов пространственно расположено в переходной зоне между породами магнетитовой и ильменитовой серий (рис. 9).
Для Салтага-Тасского и Сыачанского полей окисленность пород на рис. 9 вынесена раздельно по свитам. Оказалось, что отличия в окислительных условиях кристаллизации между разновозрастными и разными по петрографическому составу свитами вулканических пород в этих полях отсутствуют полностью.
Магматические образования Главного и Северного батолитовых поясов, независимо от формационного состава и возраста, характеризуются восстановительными условиями формирования. И лишь в их обрамлении и восточном выклинивании фиксируется переход к гранитам магнетитовой серии.
Примером периферийной зоны Главного батолитового пояса является Чаркынский магматический пояс, надстраивающий к западу самый протяженный Чибагалахский массив (рис. 10). Возможно, незначительные по размерам выходы магматических пород Чаркынского пояса обусловлены слабым их эрозионным срезом, на это, в частности, указывают петрографические особенности пород – широкое распространение субвулканических образований и реликтов вулканических покровов. Гранитоиды Чаркынского пояса (это типично магнетитовая серия пород) резко контрастируют на фоне Главного батолитового пояса (рис. 10). Второй пример поперечной зональности окислительных условий – это западное окончание Северного батолитового пояса, бассейн р. Селенях (рис. 11).
Рис. 10.
Чаркынский вулкано-плутонический пояс: (а) – схема расположения магматических образований по (Трунилина и др., 2003), (б) – коэффициент окисленности железа в магматических породах пояса. 1 – вмещающие юрские толщи, 2 – позднеюрский вулканический комплекс, 3 – раннемеловые гранитоиды. Цифры в кружках на рис. (а) соответствуют таковым на рис. (б): 1 – хангасская и безымянинская свиты, 2 – Северный Хангасский массив, 3 – Южно-Хангасский массив, 4 – Безымянный массив и высота 789.0, 5 – Наледный массив, 6 – Муочуньинский субвулкан, 7 – Оньохский субвулкан, 8 – Чибагалахский массив.

Рис. 11.
Западное выклинивание Северного батолитового пояса: (а) схема геологического строения (Трунилина и др., 2007), (б) коэффициент окисленности железа в гранитоидных массивах. 1 – кайнозойские отложения наложенных впадин; 2 – вулканиты K2 Джахтардахского поля; 3 – вулканиты K1b-br-K2s; 4 – юрские отложения Полоусненского синклинория; 5 – позднетриасовые терригенные образования; 6 – палеозойские терригенно-карбонатные породы; 7 – гранит- и риолит-порфиры; 8 – раннемеловые гранитоиды (цифры в кружках на рис. (б): 1 – Саханьинский, 2 – Кинели-Тасский, 3 – Коханахский, 4 – Депутатское рудное поле, 5 – Укачилканский, 6 – Бакынский, 7 – Куранахский, 8 – Североэликчагский, 9 – Верхнеэликчанский); 9 – магматические тела, показанные вне масштаба; 10 – основные разломы.

В этой части Колымской петли гранитные тела не вскрыты эрозией или слабо эродированы, поэтому обнажены отдельные незначительные по площади апикальные выступы гранитных массивов, например ареал Такалканского рудного поля (рис. 11), или гранитоиды, вскрытые скважинами, например кровля Депутатского гранитного массива вскрыта скважинами на глубине 236–380 м. В пределах этого сегмента Колымской петли становление магматических массивов происходило исключительно в восстановительной среде, обуславливающей насыщенность данного района крупными оловорудными месторождениями (см. рис. 7, 8). Северный фланг пояса с учетом геофизических данных сложен гранитами магнетитовой серии, содержит полиметаллическую минерализацию и перекрыт рыхлыми отложениями.
В западном направлении от шарнира Колымской петли выделяется обширный ареал гранитоидов, контролируемых радиальной системой разломов и приуроченных к ним радиальных зон магматических пород, формирование которых происходило в основном в восстановительной среде с погружающейся на запад кровлей. Наиболее изучена в петрохимическом и металлогеническом отношении самая южная Дербеке-Нельгесинская радиальная зона (Трунилина и др., 1985; Трунилина, Роев, 2014; рис. 12). В ее пределах магматические породы, включая дайки, относятся к ильменитовой серии. Некоторое исключение представляет самый восточный и наиболее эродированный в составе пояса Безымянный массив гранитов, формирование которого происходило на фоне изменчивого окислительного флюидного режима. Крайний западный фланг Безымянного массива полностью не вскрыт эрозией и, судя по окисленности дайкообразных апофиз и металлогении, формировался на фоне восстановительного флюидного режима.
Рис. 12.
Дербеке-Нельгесинская зона: (а) по материалам (Трунилина, Роев, 2014) с упрощениями, (б) коэффициент окисленности железа в магматических породах зоны. 1 – юрские и триасовые вмещающие алевро-песчаниковые толщи; 2 – массивы гранитоидов (цифры в кружках на рис. (б): 1 – Безымянный, 2 – Хатакчанский, 3 – Бургочанский; 4–7 – дайки и мелкие массивы юго-западного фланга зоны: 4 – Кондеканский и его дайки, 5 – Бурдогарский, 6 – Сэкэтский, 7 – Дьялчанский); 3 – подземный контур массивов гранитоидов по геофизическим данным на глубине >500 м; 4 – пояса гранитоидов: а – продольные и б – поперечные; 5 – распространение основных складчатых структур; 6 – граница Колымо-Омолонского микроконтинента.

На западном фланге ильменитовая область, контролируемая радиальными разломами, обрамляется уже субсогласными со складчатостью дуговыми разломами и магматическими зонами. Магматические породы представлены в этой зоне дайками и мелкими интрузивными телами, образующими зоны, субсогласные по простиранию со складчатостью и перпендикулярные радиальной системе. Формирование их отличается невыдержанностью окислительных условий, что обусловило тесную перемежаемость магматических пород ильменитовой и магнетитовой серий (см. рис. 8).
СВЯЗЬ МЕТАЛЛОГЕНИЧЕСКОЙ СПЕЦИАЛИЗАЦИИ МАГМАТИЧЕСКИХ ПОРОД С ОКИСЛИТЕЛЬНЫМИ УСЛОВИЯМИ ИХ ФОРМИРОВАНИЯ
Как уже отмечалось во Введении, с окислительными условиями связано валентное состояние поливалентных элементов. Изменение валентности и, следовательно, изменение заряда и радиуса ионов приводит к кардинальному изменению геохимических особенностей данного элемента и определяет его растворимость в силикатных расплавах (Борисов и др., 1991). По экспериментальным исследованиям растворимость SnO в силикатных расплавах на три порядка выше растворимости SnO2 (Некрасов, 1984; Linnen et al., 1996). Эта закономерность подтверждается на материалах конкретных магматических поясов Юго-Востока России (Мишин, Романовский, 1992; Мишин и др., 2003, 2019, 2020; Меркулова, Мишин, 2015). Содержание олова в магматических породах направленно увеличивается с возрастанием восстановленности пород (рис. 13а). В противоположность олову содержание меди возрастает от восстановленных пород к окисленным (рис. 13б).
Рис. 13.
Соотношение содержаний Sn (а) и Cu (б) и коэффициента окисленности железа в магматических породах Северного батолитового пояса. Использованы данные (Бахарев и др., 1988).

Вся оловоносность в исследуемом районе, за редким исключением, сосредоточена в магматических поясах, сложенных породами ильменитовой серии, но распределение рудной минерализации в них неравномерное. В Главном и Северном батолитовых поясах, сложенных магматическими образованиями, сформировавшимися в восстановительной обстановке, практически отсутствуют значительные проявления олова. Все месторождения олова и сопутствующего вольфрама сосредоточены, главным образом, в пределах западного и северо-западного обрамления Колымской петли, где интрузивные массивы слабо эродированы и контролируются системой радиальных разломов, поперечных к складчатости, или не обнажены на поверхности. Можно полагать, что западное обрамление Колымской петли с системой радиальных разломов, поперечных к складчатости, – это обширная область растяжения, в которую поступает восстановленный флюид (Шкодзинский, 1992; Тектоника …, 2001). Западное замыкание зоны растяжения контролируется уже системой дуговых разломов, согласно залегающих со складчатостью. Эта область отличается тесным чередованием зон с восстановительными и окисленными условиями и соответствующей им комплексной металлогенией.
К юго-западу от Главного батолитового пояса среди пород магнетитовой серии выделяются лишь разрозненные выходы гранитов ильменитовой серии с рудопроявлениями олова. На южном фланге это Тас-Кыстабытский магматический пояс, включающий гигантский (1500 км2) Тарынский субвулканический массив дацитов (рис. 9; Мишин, 1994) и серию более мелких оловоносных массивов, сконцентрированных преимущественно вдоль границы с Au-Sb рудным поясом. Основное пространство рассматриваемой металлогенической зоны, судя по составу разрозненных выходов магматических пород, представляло зону окислительного флюидного режима. Среди магматических пород широко распространены субвулканические образования с повышенными содержаниями полиметаллов (Трунилина и др., 2007). В контурах Тарынского субвулкана известен ряд проявлений серебряно-полиметаллической с оловом минерализации, такие как месторождения Купольное и Хара-Тас.
В обрамлении магматических поясов ильменитовой серии с оловорудной, олово-вольфрамовой и олово-полиметаллической минерализациями распространены магматические породы магнетитовой серии, с которыми пространственно и по возрасту ассоциируют различные рудные месторождения и проявления преимущественно халькофильного профиля. В отличие от олова и сопутствующему ему вольфрама халькофильные элементы и золото не обнаруживают такой тесной зависимости от окислительных условий, более тесная связь с окислительными условиями наблюдается на формационном уровне для конкретных металлогенических зон и поясов.
В Уяндно-Ясачненском вулкано-плутоническом поясе геохимическую специализацию вулканитов Салтага-Тасского поля определяют золото и серебро, в Кыра-Суордахском поле к ним присоединяются Mo, As и Bi. Гранитоиды, ассоциирующие с вулканитами УЯВПП, специализированы на Au, Bi, As, менее – W, Ag, Sb (Трунилина и др., 2007; Тектоника …, 2001).
В северо-восточном обрамлении Главного батолитового пояса в зоне распространения магматических пород магнетитовой серии выделяется протяженная (900 км при ширине 80 км) Селеняхская металлогеническая зона с эпитермальными Au-Hg, Au-Ag-Sb, Hg-Au-Ag (Тектоника …, 2001).
В юго-западном обрамлении Главного батолитового пояса выделяется Адыча-Нерский металлогенический пояс (Горячев, 1998) в состав которого входит Адыча-Тарынская золото-сурьмяная зона протяженностью до 500 км и шириной около 5–10 км, включающая два крупнейших месторождения сурьмы Сырылах и Сентачан (Стогний и др., 2003) и Чабагалахскую Au-редкометальную зону.
Куларская металлогеническая зона с Au-кварцевыми месторождениями прослеживается в северо-восточном направлении на 150 км при ширине 30–40 км (Тектоника …, 2001). Пространственно рудные поля в этой зоне сопряжены с выходами гранитов магнетитовой серии, занимающих пограничное положение относительно восстановленных пород ильменитовой серии.
Полоусная металлогеническая зона (Au-Cu, Au-Cu-W, Au) протягивается в субширотном направлении на 200 км при ширине около 70 км в обрамлении Северного батолитового пояса.
ОБСУЖДЕНИЕ РЕЗУЛЬТАТОВ
Мезозойские магматические пояса на востоке Якутии имеют дуговую форму и в плане практически полностью повторяют простирание осадочных комплексов внешнего обрамления Колымо-Омолонского террейна. Из рис. 9 можно сделать вывод, что окисленность магматических пород Уяндино-Ясачненского пояса в пределах отдельно взятых полей не зависит ни от стратиграфического положения пород, ни от их петрографического состава. Наиболее отчетливое изменение окисленности пород проявляется в латеральном направлении между вулканическими полями. Более ясно эта тенденция просматривается в юго-восточной ветви пояса – от Кыра-Суордахского поля к Умбинскому резко возрастает окисленность железа.
В пределах Кыра-Суордахского и частично Догдинского полей (крайний западный фланг Колымской петли) граница между ильменитовой и магнетитовой сериями частично пересекает вулканические поля. Отмеченный факт свидетельствует, что зональный редокс-фон возник еще до возникновения магматических пород Уяндино-Ясачненского вулкано-плутонического пояса.
Главный и Северный батолитовые пояса, соединяясь на западных их флангах, образуют общую дугу, параллельную УЯВПП. Протяженность этого дугового пояса превышает 2200 км. Осевая зона его сложена восстановленными породами ильменитовой серии, которые обрамляются в свою очередь породами магнетитовой серии. В составе юго-западного и северного обрамлений батолитовых поясов, наряду с гранитами, значительный объем занимают вулканические и субвулканические породы, свидетельствуя о слабом эрозионном срезе пород в этом направлении.
В западном направлении от зоны схождения Главного и Северного батолитовых поясов произошло максимальное растяжение с образованием обширной веерообразной зоны радиальных разломов (Третьяков, 2019; Трунилина и др., 2007). Часть из таких радиальных разломов контролируют выходы магматических пород. Протяженность радиальных зон магматических образований достигает до 300 км при ширине около 30 км. В западном направлении в этих зонах отмечается погружение кровли гранитных массивов и смена интрузивов свитами даек, количество которых в каждом измеряется сотнями (Трунилина и др., 1985), и в этом же направлении происходит омоложение возраста (Layer et al., 2001).
По В.С. Шкодзинскому (1992), радиальная система формировалась в зонах раздвигов и сопровождалась декомпрессией. Основанием для такого вывода является отсутствие механических воздействий магмы на вмещающие породы, слабая раскристаллизация эндоконтактовых фаций гранитоидов, низкая упорядоченность структуры полевых шпатов.
Наиболее детально изучена Дербеке-Нельгесинская радиальная зона (Тектоника …, 2001; Трунилина и др., 1985, 2014). К ее восточному флангу приурочен Безымянный массив, сложенный (как исключение) гранитоидами магнетитовой серии. И лишь в самом его юго-западном окончании последние сменяются породами ильменитовой серии. В их составе преобладают (около 90%) диориты, гранодиориты и граниты. По геофизическим данным, вертикальная протяженность гранитных тел достигает 20 км. Типоморфизм породообразующих минералов и состав ксенолитов (Trunilina et al., 1994) также соответствуют генерации материнских магм в глубоких горизонтах земной коры.
Причины возникновения окислительно-восстановительных условий давно являются предметом дискуссии в литературе. Японскими исследователями была выдвинута гипотеза образования пород ильменитовой серии при ассимиляции магмой углерода вмещающих пород (Ishihara, 1977). С. Ишихара полагает, что магнетитовая серия гранитов генерируется на больших глубинах, где отсутствуют углеродсодержащие вмещающие породы, в то время как магма ильменитовой серии выплавлялась на относительно небольших глубинах, где вмещающие осадочные породы содержат повышенные содержания углерода. Этот подход к образованию магнетитовой и ильменитовой серий разделяют многие исследователи (Sato, 2012; Takаnashi et al., 1980; Gastil, 1990; Hart et al., 2004; Романовский, 1987; Кигай, 2011).
Изучение окислительных условий формирования мезозойских магматических образований позволило выявить целый комплекс особенностей формирования и состава магнетитовой и ильменитовой серий пород (Мишин, 1994; Мишин, Романовский, 1992; Мишин и др., 2003, 2019, 2020; Меркулова, Мишин, 2015; Талтыкин и др., 2020).
Во-первых, магнетитовая и ильменитовая серии, наряду с гранитоидами, включают вулканические и субвулканические породы. Типичный пример это порфиро- и кристаллокластические игнимбриты магнетитовой серии юго-западного сектора Ульинского прогиба (Тоттинский комплекс) и аналогичные по петрографическому составу, структурным особенностям и возрасту порфиро- и кристаллокластические игнимбриты ильменитовой серии Куйдусунского зоны (северо-западный фланг Ульинского прогиба). Вкрапленники в отмеченных вулканических и субвулканических породах имеют интрателлурическое происхождение и образовались на глубине, скорее всего в промежуточной камере (Мишин, 2009), следовательно, окислительно-восстановительные условия их формирования имеют глубинную, а не поверхностную природу.
Во-вторых, окислительно-восстановительный характер среды магмообразования имеет региональный характер. Главный и Северный батолитовые пояса, соединяясь, образуют дуговой пояс, протягивающийся на расстояние более 2200 км. Осевую его зону, независимо от петрографического состава и возраста, слагают восстановленные породы ильменитовой серии.
Этот пояс субсогласно залегает со стратифицированными осадочными комплексами. Можно с большой долей условности предполагать связь окислительных условий с составом вмещающих пород, однако во внешнем ее обрамлении, практически в тех же осадочных комплексах магматические породы представлены преимущественно магнетитовой серией.
Особенно показательна поперечная зона растяжения, ориентированная на запад от изгиба пояса. В данной части региона радиальная система разломов и приуроченные к ней магматические породы ильменитовой серии пересекают в субширотном направлении сложно дислоцированные террейны с возрастом от позднего палеозоя по юру включительно. Весьма показательно в этом отношении соотношение зональности окислительных условий с вмещающими породами Сунгари-Селитканского вулканического пояса; для Северо-Восточного его сегмента (Баджальская, Ям-Алиньская, Эзопская и Комсомольская зоны) вмещающими породами является юрский акреционный комплекс, а в юго-западном продолжении (Хингано-Олонойская, Яуринская, Каменушинская и Таланджинская вулканические зоны) вмещающими породами является кристаллический комплекс Буреинского массива (палеозойские гранитоиды и архейские и протерозойские метаморфические породы (Мишин и др., 2003)). При детальном изучении гранитных массивов Сихотэ-Алиня, расположенных в зоне перехода от магнетитовой серии к ильменитовой, установлено, что граница между этими сериями пересекает однородные в петрографическом и петрохимическом отношениях одновозрастные гранитные массивы. Сама зона постепенного перехода между породами магнетитовой и ильменитовой сериями составляет первые десятки метров (Мишин и др., 2020).
В Тас-Кыстабыском поясе в плутонах, сложенных породами ильменитовой серии (Одонканский, Труд, Капризный), и в Тарынском дацитовом субвулканическом массиве установлены включения графита в виде отдельных чешуек размером 1–2 мм до желваков размером 5–7 см (Мишин, 1994; Бахарев и др., 2005). Отмечается также присутствие включений графита внутри зерен калишпата и в других минералах, что указывает на относительно раннюю кристаллизацию графита (Бахарев и др., 2005).
По заключению (Кадик, Луканин, 1986), если графит сохраняется до приповерхностного уровня, то fO2 в магме понижается до значения такого уровня, что железо может восстановиться до металлического состояния, при этом состав отделившихся от расплава газов должен отличатся резким преобладанием CO и H2. Таким образом, присутствие в магме элементарного углерода может определять состав газов, выносимых магмой к поверхности, и ее окислительно-восстановительное состояние. Приведенные в работе значения окисленности железа в магматических породах, содержащих включения графита, и в породах без графитовых включений, подтверждают вышеприведенное заключение – породы, содержащие включения графита, характеризуются большей восстановленностью (рис. 14).
Рис. 14.
Гистограммы распределения значений коэффициента окисленности железа в магматических породах Тас-Кыстабытского пояса. Магматические породы с включениями графита (1) и без включений графита (2).

Все приведенные особенности состава и структуры зон с окислительным и восстановительным режимами формирования магматических пород свидетельствуют о глубинной природе их формирования и ни в коем случае не связаны с осадочными породами верхней оболочки земной коры.
Структура западного обрамления Колымо-Омолонского составного террейна связана с его поступательным движением в направлении Сибирского континента. В результате этого движения происходило формирование напряженной складчатости, которая сопровождалась образованием радиальной системы раздвигов, способствующих поступлению к поверхности глубинных восстановленных флюидов и магмы (рис. 15).
Рис. 15.
Возникновение ильменитовой (H), магнетитовой (O) и переходной (O/H) зон в литосфере Верхояно-Колымской складчатой системы на рубеже J2–K1, согласно схеме Ф.Ф. Третьякова (Третьяков, 2019) с добавлениями авторов. 1 – море; 2 – каменноугольно-мезозойские отложения; 3 – океаническая кора (а) и ее фрагменты (б); 4 – земная кора островодужных зон; 5 – вулканы (а) и вулканические образования (б); 6 – континентальная кора Сибирского континента; 7 – новообразованная континентальная кора Верхояно-Колымской системы мезозоид; 8 – гранитоиды коллизионные (а), локальные ильменитовые (б) и локальные магнетитовые (в) тела; 9 – складчатые структуры: сильнодеформированные (а), среднедеформирвоанные (б), слабодеформированные (в); 10 – направление движения Колымо-Омолонского блока; 11 – зоны восстановленного (а) и окисленного (б) фона. Буквенные обозначения: SC – Сибирский континент, VPM – Верхоянская пассивная окраина, КОS – Колымо-Омолонский супертеррейн, UYVA – Уяндино-Ясачненский вулкано-плутонический пояс, SAО – Южно-Анюйский океан, SP – Сибирская платформа, ОVA – Олойская вулканическая дуга, VKMS – Верхояно-Колымская система мезозоид.

ВЫВОДЫ
Имеющиеся на сегодня данные абсолютного возраста вулканических пород Уяндино-Ясачненского вулкано-плутонического пояса и гранитоидных батолитов свидетельствуют о том, что возникновение дифференцированного окислительно-восстановительного флюидного режима по времени предшествовало этапу мезозойского магматизма.
Зона с восстановительным флюидным режимом, занимающая осевую зону магматических поясов, возникла при движении Колымо-Омолонского террейна в западном направлении. Это движение сопровождалось образованием в обрамлении террейна, и особенно в его головной части, обширной зоны протяженных раздвигов, сопровождавшихся декомпрессией и явившихся путями движения магмы и глубинного флюида.
Все оловорудные иногда с вольфрамом месторождения и проявления ассоциируют с магматическими породами ильменитовой серии, но не все выходы магматических пород ильменитовой серии оловоносны. Последнее обстоятельство связано с различной глубиной эрозионного среза, в первую очередь это относится к Главному и Северному батолитовым поясам, отличающихся максимальным поднятием и эррозией.
Золото и халькофильные элементы в качестве примеси отмечаются в магматических породах ильменитовой серии, однако образование месторождений и протяженных металлогенических зон перечисленных элементов происходило исключительно в ассоциации с окисленными породами магнетитовой серии.
Благодарности. Авторы выражают искреннюю благодарность рецензентам за сделанные замечания, которые позволили существенно улучшить статью, а также В.А. Трунилиной, С.П. Роеву, Ю.С. Орлову за предоставленные материалы.
Источники финансирования. Исследования были выполнены по Государственному заданию ИТиГ ДВО РАН № 075-00378-21-01.
Список литературы
Акинин В.В., Прокопьев А.В., Торо Х. и др. U-Pb-SHRIMP-возраст гранитоидов Главного батолитового пояса (Северо-Восток Азии) // Докл. АН. 2009. Т. 426. № 2. С. 216–221.
Бахарев А.Г., Зайцев А.И., Ненашев Н.И., Избеков П.Э. Строение и магматизм Верхнеиндигирской кольцевой структуры // Отечеств. геология. 1997. № 9. С. 15–19.
Бахарев А.Г., Гамянин Г.Н., Горячев Н.А., Половинкин В.Л. Магматические и рудные формации хребта Улахан-Тас (Северо-Восточная Якутия). Якутск: Якутский филиал СО АН СССР, 1988. 198 с.
Бахарев А.Г., Шкодзинский В.С., Жданов Ю.Я. Графитсодержащие кислые породы Тас-Кыстабытского магматического пояса Верхояно-Колымской складчатой области // Отечеств. геология. 2005. № 5. С. 54–57.
Борисов А.А., Жаркова Е.В., Кадик А.А. и др. Флюиды и окислительно-восстановительные равновесия в магматических системах. М.: Наука, 1991. 256 с.
Борисов А.А., Шапкин А.И. Новое эмпирическое уравнение зависимости отношения Fe3+/Fe2+ в природных расплавах от их состава, летучести кислорода и температуры // Геохимия. 1989. № 6. С. 892–898.
Герцева М.В. Сысоев И.В. Этапы формирования Главного колымского плутонического пояса // Петрология и геодинамика геологических процессов: Материалы XIII Всероссийского петрографического совещания (с участием зарубежных ученых). Иркутск: Ин-т географии им. В.Б. Сочавы СО РАН, 2021. Т. 1. С. 141–145.
Горячев Н.А. Геология мезозойских золото-кварцевых жильных поясов Северо-Востока Азии. Магадан: СВКНИИ ДВО РАН, 1998. 210 с.
Дубинчик Э.Я., Путинцев В.К. Плотность и магнитная восприимчивость гранитоидных комплексов южной части Дальнего Востока как показатели условий их формирования // Советская геология. 1971. № 12. С. 30–43.
Кадик А.А., Луканин О.А. Дегазация верхней мантии при плавлении. М.: Наука, 1986. 96 с.
Кигай И.Н. Редокс-проблемы “металлогенической специализации” магматитов и гидротермального рудообразования // Петрология. 2011. Т. 19. № 3. С. 316–334.
Лебедева С.М., Симонов В.А., Быков В.Н., Кабанова Л.Я. Степень окисления железа и фугитивность кислорода в базальтовых стеклах района тройного сочленения Буве // Уральский минералогический сборник. 2001. № 11. С. 270–281.
Ляхович В.В. О зависимости содержаний акцессорных минералов в гранитоидах от состава биотита // Геология и геофизика. 1965. № 8. С. 97–105.
Меркулова Т.В., Мишин Л.Ф. Окислительно-восстановительные процессы в мезозойско-кайнозойских вулкано-плутонических системах и их роль в формировании региональных гравитационных и магнитных аномалий Дальнего Востока // Тихоокеанская геология. 2015. Т. 34. № 5. С. 112–124.
Мишин Л.Ф. Субвулканические интрузии кислого состава. М.: Недра, 1994. 207 с.
Мишин Л.Ф. Эвтектоидный и котектоидный петрографические типы вулканических и субвулканических пород кислого состава окраинно-континентальных вулканических поясов (на примере Востока Азии) // Тихоокеанская геология. 2009. Т. 28. № 2. С. 69–85.
Мишин Л.Ф. Геохимия европия в магматических породах окраинно-континентальных вулканогенных поясов // Геохимия. 2010. № 6. С. 618–630.
Мишин Л.Ф., Романовский Н.П. Окислительно-восстановительные обстановки формирования и металлогеническая специализация рудномагматических систем юга Дальнего Востока // Тихоокеанская геология. 1992. № 6. С. 31–42.
Мишин Л.Ф., Чжао Ч., Солдатов А.И. Мезозойско-кайнозойские вулкано-плутонические пояса и системы в континентальной части Востока Азии и их зональность // Тихоокеанская геология. 2003. Т. 22. № 3. С. 28–48.
Мишин Л.Ф., Кириллова Г.Л., Меркулова Т.В., Коновалова Е.А. Окислительные условия формирования постколлизионного магматизма и металлогении западного сектора Монголо-Охотского орогенного пояса // Тихоокеанская геология. 2019. Т. 38. № 4. С. 3–13.
Мишин Л.Ф., Коновалова Е.А. Талтыкин Ю.В. и др. Окислительные условия и связанная с ними геохимическая и металлогеническая зональности магматических образований Сихотэ-Алиньского орогенного пояса // Тихоокеанская геология. 2020. Т. 39. № 3. С. 51–67.
Молчанова Т. В. Мезозойские гранитоиды северо-запада Тихоокеанского пояса. М.: Наука, 1981. 151 с.
Некрасов И.Я. Магматизм и рудоностность северо-западной части Верхояно-Чукотской складчатой области. М.: Изд-во АН СССР, 1962. 332 с.
Некрасов И.Я. Олово в магматическом и постмагматическом процессах. М.: Наука, 1984. 238 с.
Ненашев Н.И. Магматизм и развитие рудно-магматических узлов Восточной Якутии. Новосибирск: Наука, 1979. 142 с.
Ненашев Н.И., Зайцев А.И. Геохронология и проблема генезиса гранитоидов Восточной Якутии. Новосибирск: Наука, 1980. 240 с.
Никольский Н.С. Термодинамика минеральных равновесий базитов. М.: Наука, 1978. 177 с.
Попов Л.Н., Кузнецов Ю.В. Возраст магматических комплексов хребта Сарычева // Советская геология. 1987. № 12. С. 91–96.
Печерский Д.М. Магнитные свойства гранитоидов Северо-Востока СССР. Магнитные свойства изверженных пород. Магадин: СО АН СССР, 1964. С. 6–158.
Романовский Н.П. Петрофизика гранитных рудно-магматических систем Тихоокеанского пояса. М.: Наука, 1987. 190 с.
Рудич К.Н. Магматизм и особенности тектонического строения хребта Сарычева. М.: Государственное научно-техническое издательство литературы по геологии и охране Недр, 1959. 184 с.
Рудич К.Н. Вулкано-плутонические формации цепи Черского. М.: Наука, 1966. 127 с.
Рябчиков И.Д., Когарко Л.Н. Окислительно восстановительный потенциал мантийных магматических систем // Петрология. 2010. Т. 18. № 3. С. 257–269.
Стогний Г.А., Стогний В.В., Бабкина Т.Г. Адыча-Тарынская золото-сурьмяная зона: геолого-геофизический аспект // Отечеств. геология. 2003. № 6. С. 75–77.
Талтыкин Ю.В., Мишин Л.Ф., Коновалова Е.А. Окислительно-восстановительный фон в земной коре Сихотэ-Алиньского орогенного пояса при кристаллизации магматитов мел-палеогенового возраста: связь с геодинамикой // Вестник Северо-Восточного НЦ ДВО РАН. 2020. № 4. С. 24–38.
Тектоника, геодинамика и металлогения территории Республики Саха (Якутия) // Отв. ред. Л.М. Парфенов, М.И. Кузьмин. М.: МАИК “Наука/Интерпериодика”, 2001. 570 с.
Третьяков Ф.Ф. Террейны Верхоянского складчато-надвигового пояса (Восточная Якутия) // Природные ресурсы Арктики и Субарктики. 2019. Т. 24. № 4. С. 67–78.
Трунилина В.А. Оловоносные рудно-магматические системы Восточной Якутии // Геология и геофизика. 1991. № 9. С. 98–105.
Трунилина В.А., Роев С.П. К петрологии магматических образований Дербеке-Нельгесинской рудно-магматической зоны // Отечеств. геология. 2014. № 5. С. 80–88.
Трунилина В.А., Роев С.П. Петрология и рудоносность магматических образований Укачилканского рудного поля (северо-восток Якутии) // Природные ресурсы Арктики и Субарктики. 2018. Т. 23. № 1. С. 16–29.
Трунилина В.А., Роев С.П., Орлов Ю.С. Гранитоиды и связь с ними касситерит-сульфидного оруденения. Новосибирск: Наука, 1985. 206 с.
Трунилина В.А., Орлов Ю.С., Роев С.П. Геология и рудоносность магматитов хр. Полоусного. Якутск: ЯНЦ, 1996. 132 с.
Трунилина В.А., Орлов Ю.С., Роев С.П., Осман В.С. Магматизм различных геодинамических обстановок (зона сочленения Верхоянской окраины Сибирского континента и Колымо-Омолонского микроконтинента). Якутск: ЯНЦ СО РАН, 1999. 168 с.
Трунилина В.А., Роев С.П., Орлов Ю.С. и др. Вулкано-плутонические пояса северо-востока Якутии. Якутск: ГУП НИПК “Сахаполиграфиздат”, 2007. 151 с.
Трунилина В.А., Роев С.П., Орлов Ю.С. Гранитоиды батолитовых поясов Северо-Востока Верхояно-Колымских мезозоид. Якутск: Медиа-холдинг “Якутия”, 2013. 186 с.
Флеров Б.Л., Трунилина В.А., Яковлев В.А. Оловянно-вольфрамовое оруденение и магматизм Восточной Якутии. Новосибирск: Наука, 1979. 275 с.
Шкодзинский В.С., Недосекин Ю.Д., Сурнин А.А. Петрология позднемезозойских магматических пород Восточной Якутии. Новосибирск: Наука, 1992. 237 с.
Эйриш Л.В. О связи золотого оруденения с магнитными гранитоидами (на примере Дальнего Востока) // Тихоокеанская геология. 1983. № 4. С. 64–68.
Akinin V.V., Miller E.L., Toro J. et al. Episodicity and the dance of late Mesozoic magmatism and deformation along the northern circum-Pacifc margin: North-eastern Russia to the Cordillera // Earth Sci. Rev. 2020. V. 208. https://doi.org/10.1016/j.earscirev.2020.103272
Gastil G. The boundary between the magnetic-series and ilmenite-series granitic rocks in peninsular California. Recent advances in concepts concerning zoned plutons in Japan and Southern and Baja California. Tokyo, 1990. P. 91–100.
Fudali R.F. Oxygen fugacities of basaltic and andesitic magmas // Geochim. Cosmochim. Acta. 1965. V. 29. I. 9. P. 1063–1075.
Hart C.J.R., Goldfarb R.J., Lewis L.L., Mair J.L. The northern cordilleran mid-cretaceous Plutonic Province: Ilmenite/magnetite-series granitoids and intrusion-related mineralisation // Resour. Geol. 2004. V. 54. № 3. P. 253–280.
Ishihara S. The magnetite-series and ilmenite-series granitic rocks // Mining Geology. 1977. № 27. P. 293–305.
Johnston W.D. Oxidation-reduction equilibria in molten Na2O2SiO2 glass // J. Amer. Ceram. Soc. 1965. V. 48. P. 184–190.
Layer P.W., Newberry R., Fujita K. et al. Tectonic setting of the plutonic belts of Yakutia, Northeast Russia, based on 40Ar/39Ar and trace element geochemistry // Geology. 2001. V. 29. P. 167–170.
Linnen R.L., Pichavant M., Holtz F. The combined effects of fO2 and melt composition on SnO2 solubility and tin diffusivity in haplogranitic melts // Geochim. Cosmochim. Acta. 1996. V. 60. № 24. P. 4965–4976.
Prokopiev A.V., Toro J., Miller E.L. et al. Granitoids of the Main Batholith Belt and volcanics of Uyandina-Yasachnaya Arc (Northeast Asia): New U-Pb SHRIMP geochronological and geochemical data // Large Igneous Provinces of Asia, Mantle Plumes and Metallogeny. Novosibirsk: Publ. House SB RAS, 2007. P. 51–54.
Sato Kohei. Sedimentary Crust and Metallogeny of Granitoid Affinity: Implications from the Geotectonic Histories of the Circum-Japan Sea Region, Central Andes and Southeastern Australia // Resour. Geol. 2012. V. 62. № 4. 329–351.
Takahashi M., Aramaki S., Ishihara S. Magnetite-series/Ilmenite-series vs. I-type/S-type granitoids // Mining Geol. Spec. Iss. 1980. № 8. P. 13–28.
Trunilina V.A. Geodynamic position, genesis and criteria for ore content of tin-bearing granitoids from the Yana-Kolyma region // Metallogeny of collisional orogens. Czech. Geologycal Survey. Prague. 1994. P. 430–434.
Дополнительные материалы отсутствуют.


