Петрология, 2022, T. 30, № 3, стр. 309-330
Метасоматоз в термоградиентных условиях: модели сопряженного переноса тепла и взаимодействия флюид–порода
А. Б. Кольцов a, *, С. А. Бушмин a, **
a Институт геологии и геохронологии докембрия РАН
Санкт-Петербург, Россия
* E-mail: sir.koltsov2012@yandex.ru
** E-mail: s.a.bushmin@ipgg.ru
Поступила в редакцию 23.11.2021
После доработки 23.12.2021
Принята к публикации 14.01.2022
- EDN: UVFIUO
- DOI: 10.31857/S0869590322030049
Аннотация
Представлены численные модели метасоматических процессов, протекающих при сопряженном переносе тепла и растворенного вещества от гранитного источника во вмещающий метапелит заданного состава в режиме фронтального и сфокусированного движения вертикального потока флюида. Изменение температуры рассчитано по уравнениям кондуктивного и адвективного распространения тепла в проницаемой среде, а результаты взаимодействия флюида и породы – средствами программного комплекса HCh. Минеральный состав пород, глубина их преобразования, степень неравновесности флюида и протолита зависят от величины флюидного потока, времени и расстояния от источника. При величине потока 10–10 м/с образуются только многофазные минеральные ассоциации, характерные для контактово-метаморфической зональности. В проницаемых каналах при величине потока 10–8–10–6 м/с формируется вертикальная метасоматическая зональность, изменяющаяся со временем по мере прогрева канала и повышения отношения флюид/порода. Скорость движения фронтов замещения в этой зональности различается на несколько порядков. При заданном составе и температуре источника и составе протолита образование конкретных метасоматических парагенезисов определяется главным образом двумя факторами: объемным отношением флюид/порода за все время процесса и разностью температур между источником и флюидом. Повышение кислотности флюида с понижением температуры в наибольшей степени проявляется в узких одиночных каналах, где преобладает кондуктивный перенос тепла, а градиент температуры сохраняется длительное время. В широких сближенных каналах температура определяется адвективным переносом тепла флюидом, ее градиент исчезает, и преобладающим становится влияние состава источника флюида.
УСЛОВНЫЕ ОБОЗНАЧЕНИЯ:
a – активность частиц во флюиде (моль/кг)
AR – безразмерные параметры, характеризующие химический потенциал компонентов R2O, RO во флюиде и равновесной с ним породе
ΔAR – разность между AR флюида, равновесного с новообразованным парагенезисом при данных Р, Т$\left( {A_{{\text{R}}}^{f}} \right)$ и AR порового флюида без добавок СО2 и H2S, равновесного с протолитом при тех же Р, Т$\left( {A_{{\text{R}}}^{r}} \right)$
CP,f – изобарная удельная теплоемкость флюида (Дж/г ∙ К)
CP,r – изобарная удельная теплоемкость породы (Дж/г ∙ К)
d – половина расстояния между соседними каналами (м)
Deff – эффективный коэффициент диффузии во флюиде (м2/с)
i – число ячеек в многоволновом проточном ступенчатом реакторе
k – термический градиент (К/м)
m – полуширина канала (м)
n – пористость породы
N – число волн (порций флюида) в многоволновом проточном ступенчатом реакторе
ΔрН – разность между pH флюида, равновесного с новообразованным парагенезисом при данных Р, Т (ΔрНf) и рН порового флюида без добавок СО2 и H2S, равновесного с протолитом при тех же Р, Т (ΔрНr)
q – удельный флюидный поток (отражает скорость фильтрации флюида через проницаемую породу). Объем флюида, протекающего через единичное поперечное сечение породы за единицу времени (м/с)
t – время (с)
T – температура (К)
Ts – температура источника тепла (К)
Tz – температура протолита на расстоянии z от источника тепла при t = 0 (К)
T0– температура протолита на контакте с источником тепла при t = 0 (К)
T ' – безразмерная температура (T – Tz)/(Ts – Tz)
W – отношение флюид/порода. Отношение объема флюида, прошедшего через единичное поперечное сечение породы на расстоянии z от источника за время t, к объему породы, через который прошел флюид
x – половина мощности пластового тела, являющегося источником тепла (м)
z – расстояние от источника тепла и флюида (м)
κ – температуропроводность пород, равная отношению теплопроводности к теплоемкости (м2/с)
ρf – плотность флюида (г/м3)
ρr – плотность породы (г/м3)
Использованные в тексте символы минералов соответствуют (Whitney, Evans, 2010).
ВВЕДЕНИЕ
Метаморфические и метасоматические процессы развиваются в тепловом поле, создаваемом магматическими очагами или ювенильными тепловыми потоками. В свою очередь, при концентрировании в проницаемых зонах флюид любого происхождения может являться теплоносителем и трансформировать это поле (Brady, 1988; Hoisch, 1991; Thompson, Connolly, 1992; Polyansky, Reverdatto, 2006; Ague, 2014). При фильтрации флюида вдоль температурного градиента происходят разнообразные процессы диссоциации кислот и оснований во флюиде, смещения равновесий гидролиза, изменения растворимости минералов, контролирующие характер метасоматоза и рудообразования (например, Наумов В.Б., Наумов Г.Б., 1980; Bushmin, 2000; Bushmin et al., 2004; Кольцов, 2006, 2015; Азимов, Бушмин, 2007; Ague, 2014, Steele-MacInnis, Manning, 2020). Это определяет необходимость исследования сопряженного тепломассопереноса для выявления закономерностей преобразования пород нагретыми флюидными потоками.
Во многих работах исследована роль теплопроводности пород, рассеянного и концентрированного флюидного потока в распространении тепла над интрузивными магматическими телами и в условиях регионального метаморфизма (Жданов, Харченко, 1982; Bickle, McKenzie, 1987; Brady, 1988; Жариков и др., 1988; Thompson, Connolly, 1992; Polyansky et al., 2003; Polyansky, Reverdatto, 2006). Проведено экспериментальное (Зарайский, 1989, 2007; Zharikov, Zaraisky, 1991; Метасоматизм …, 1998) и численное моделирование взаимодействия флюид–порода и образования метасоматической зональности при постоянной или произвольно изменяющейся температуре (Cleverley, Oliver, 2005; Dolejs, Wagner, 2008; Борисов, 2000; Гричук, 2000; Кольцов, 2006, 2015). К настоящему времени имеются лишь единичные исследования, в которых построены модели сопряженного тепломассопереноса и отложения вещества для конкретных объектов: урановых руд над проницаемыми зонами (Арсеньев, Пэк, 1991; Мальковский и др., 2010) и гидротермальных железо-марганцевых построек на дне океанов (Grichuk, 2012).
В настоящей работе сделана попытка объединить тепловую и физико-химическую модели взаимодействия флюид–порода. Цель работы – выявление закономерных связей между распределением температуры, изменением геохимических характеристик флюида и образованием метасоматитов различного типа вдоль флюидного потока в зависимости от длительности процесса.
МЕХАНИЗМЫ ПЕРЕНОСА ТЕПЛА
Перенос тепла в горных породах может осуществляться посредством кондуктивного механизма за счет теплопроводности пород и адвективного механизма вместе с потоком флюида. Соотношение этих процессов характеризуется тепловым числом Пекле $P{{e}_{T}} = ~\frac{{zq}}{\kappa },$ где z – расстояние от источника тепла, q – удельный флюидный поток, κ – температуропроводность породы. Если PeT$ \ll $ 1, то преобладает кондуктивный перенос тепла, а если PeT$ \gg $ 1 – адвективный перенос. Температуропроводность флюидонасыщенных горных пород с пористостью ниже 0.1% меняется мало и принята нами вслед за (Bickle, McKenzie, 1987) постоянной и равной 10–6 м2/с. Тогда для любого заданного z число Пекле зависит только от величины q. Эта величина, напротив, может меняться весьма значительно в зависимости в первую очередь от проницаемости пород. Оценки проницаемости ненарушенных кристаллических пород составляют не ниже 10–18 м2 (Etheridge et al., 1983) и не выше 10–17 (Brace, 1980), что соответствует q = 10–10–10–9 м/с. В зонах разрывных нарушений и пластах пористых пород, а также за счет потенциально высокой растворимости пород во флюиде q может быть на несколько порядков выше.
Как показано в (Bickle, McKenzie, 1987), эффективный коэффициент диффузии Deff (с учетом пористости) для водных частиц приблизительно на пять порядков ниже, чем температуропроводность пород. Тогда при любых значениях q и z концентрационное число Пекле $P{{e}_{C}} = ~\frac{{zq}}{{{{D}_{{{\text{eff}}}}}}}$ будет на пять порядков больше, чем PeT. Отсюда следует, что диффузионный метасоматоз всегда происходит в условиях кондуктивного переноса тепла, но инфильтрационный метасоматоз может осуществляться как в кондуктивном тепловом поле при слабом флюидном потоке, так и при адвекции тепла мощным флюидным потоком (Bickle, McKenzie, 1987).
Согласно (Шестаков, 1979; Brady, 1988), полное выражение закона сохранения энергии для теплового потока во флюидонасыщенных породах имеет вид:
(1)
$\left[ {\left( {1 - n} \right)\frac{{{{\rho }_{r}}{{C}_{{P,r}}}}}{{{{\rho }_{f}}{{C}_{{P,f}}}}} + n} \right]\frac{{\partial T}}{{\partial t}} + q\frac{{\partial T}}{{\partial z}} = \kappa \frac{{{{\partial }^{2}}T}}{{\partial {{z}^{2}}}},$(2)
$\frac{{\partial T}}{{\partial t}} + q\frac{{\partial T}}{{\partial z}} = \kappa \frac{{{{\partial }^{2}}T}}{{\partial {{z}^{2}}}}.$Аналитические решения уравнения (2) зависят от ряда граничных условий, в том числе от геометрии объектов, между которыми происходит теплообмен, и получены для некоторых наиболее простых случаев.
Если поверхность источника тепла плоская, ее температура Ts постоянна, а тепло распространяется в непроницаемую бесконечную среду с температурой T0, то изменение относительной (безразмерной) температуры в этой среде описывается уравнением кондуктивного переноса (Карслоу, Егер, 1964):
(3)
$T{\kern 1pt} ' = \frac{{T - {{T}_{0}}}}{{{{T}_{s}} - {{T}_{0}}}} = {\text{erfc}}\frac{z}{{2\sqrt {\kappa t} }},$Этому уравнению соответствует кривая 1 на графике зависимости T ' от z для некоторого времени t = 1 и 3 тыс. лет (рис. 1). Ее характерная черта – постепенное уменьшение градиента температуры с увеличением расстояния и времени.
Рис. 1.
Зависимость безразмерной температуры (Т') от расстояния (z) от источника тепла через 1 тыс. лет (пунктирные линии) и 3 тыс. лет (сплошные линии) в условиях переноса тепла: 1 – кондуктивным потоком, 2 – фронтальным флюидным потоком при q = 10–8 м/с, 3 – потоком флюида в широком (m = 1 м) одиночном канале при q = 10–6 м/с. Кривая 2 также приближенно отражает режим переноса тепла по множеству сближенных каналов (Hoisch, 1991) с теми же параметрами каналов и флюидного потока, что и для кривой 3.

Если источником тепла является пластовое тело мощностью 2x, то решение приобретает вид (Карслоу, Егер, 1964):
(4)
$T{\kern 1pt} ' = \frac{1}{2}\left( {{\text{erf}}\frac{{x - z}}{{2\sqrt {\kappa t} }} + {\text{erf}}\frac{{x + z}}{{2\sqrt {\kappa t} }}} \right),$Если от плоской поверхности источника в проницаемую среду распространяется нагретый флюид, то в ней возникает флюидный поток величиной q, а температура среды определяется уравнением (Шестаков, 1979):
(7)
$T{\kern 1pt} ' = \frac{1}{2}\left( {{\text{erfc}}\frac{{z - qt}}{{2\sqrt {\kappa t} }} + {\text{exp}}\frac{{qz}}{\kappa }{\text{erfc}}\frac{{z + qt}}{{2\sqrt {\kappa t} }}} \right).$Параметр q характеризует скорость фильтрации флюида через пористую породу. Он связан с истинной скоростью движения флюида в тонких порах Q соотношением $q = \frac{Q}{n},$ где n – пористость. С увеличением q и/или t в прилегающей к источнику области T ' → 1, кривая T = f(z) выполаживается, а далее температура быстро падает, приближаясь к фоновой (рис. 1, кривая 2). В результате эта кривая приобретает вид тепловой волны, движущейся от источника, что характерно для адвективного теплопереноса.
Для исследования теплопереноса при метасоматозе важное значение имеет модель, включающая концентрирование флюидного потока в локальной проницаемой зоне или канале, который сложен той же породой, но более пористой, чем окружающая среда. Канал имеет форму пластины с плоскопараллельными стенками шириной 2m и протяженностью z, причем m $ \ll $ z. Изменение температуры в таком канале происходит главным образом вследствие потерь тепла в его стенки. Принимая, что во вмещающей среде перенос тепла от источника происходит только кондуктивным путем, можно использовать уравнение (Lauwerier, 1955) для приращения температуры относительно вмещающей среды
где
а T' определяется уравнениями (3) или (4). Как видно на рис. 1 (кривая 3), температура в канале понижается быстрее, чем в предыдущем случае, но
медленнее, чем при кондуктивном переносе. При этом сохраняется волнообразная форма
кривой, характерная для адвективного переноса тепла.
Приведенные уравнения позволяют рассчитать варианты профилей температуры, различающиеся величиной и характером изменения ее градиента, а также моделировать процессы взаимодействия флюид–порода в реальном масштабе пространства и времени.
МЕТОД МОДЕЛИРОВАНИЯ
В основе моделирования взаимодействия флюид–порода при сопряженном переносе флюидом тепла и растворенного вещества выбран сценарий распространенного геологического процесса, при котором горячие флюиды из гранитной магматической камеры после прохождения через краевую зону закристаллизовавшегося гранита взаимодействуют с относительно холодной вмещающей породой. В дальнейшем этот горячий гранит, с которым флюид на выходе равновесен по химическому составу, мы будем называть “источником”. В качестве типичной вмещающей породы разных геологических ситуаций используем метапелит, который будем называть “протолитом” по отношению к новым минеральным ассоциациям, возникающим в результате взаимодействия флюидного потока с протолитом.
Расчет минерального состава пород и химического состава равновесного с ними солевого флюида проводили методом многоволнового проточного ступенчатого реактора (МПСР) (Борисов, 2000; Гричук, 2000), реализованным в программном комплексе HCh (Шваров, 1999). Использованы термодинамические константы твердых фаз из (Berman, 1988) с изменениями для K- и Na-содержащих минералов, предложенными в (Sverjensky et al., 1991). Учитывалась переменная степень упорядоченности альбита и калиевого полевого шпата (Berman, 1988; Salje et al., 1985). Применены модели твердых растворов: плагиоклаза – субрегулярный раствор (Аранович, 1991), мусковита, биотита, хлорита и кордиерита – одно- или многопозиционные идеальные растворы. Необходимые константы миналов этих растворов, отсутствующие в (Berman, 1988), взяты из (Кольцов, 2002) или получены, исходя из условия нулевого энтальпийного эффекта внутрикристаллических обменных реакций (Holland, Powell, 1990). Использованы константы HCl (aq) из (Sverjensky et al., 1991), NaAl(OH)4 (aq) – из (Pokrovskii, Helgeson, 1995), остальных частиц флюида – из (Shock et al., 1997; Sverjensky et al., 1997). Перечень водных частиц приведен в Приложении (табл. 4). Модельный биотитовый гранит, заданный в виде набора минералов QzKfsPlBt11, однозначно определил компонентный состав равновесного с ним исходного флюида. Для протолита (метапелита) принят химический состав глинистого сланца из (Кольцов, 2002). Такой выбор пород позволил проследить как формирование ряда типичных метасоматитов, образовавшихся по метапелитам, так и влияние различий в составе источника и протолита.
Таблица 1.
Обобщенная вертикальная минеральная зональность в моделях сфокусированного флюидного потока
| Умеренный одноканальный поток, модель 2 | Мощный одноканальный поток, широкий канал, модель 3 | Мощный одноканальный поток, узкий канал, модель 4 | Мощный многоканальный поток, модель 5 |
|---|---|---|---|
| QzMsAbChl* | QzMsAbChl* | QzMsAbChl* | QzMsAbChl* |
| QzMsAbCb | QzMsCb | QzMsCb | QzMsCb |
| QzMsCb | (QzMsChl) | (QzMsChl) | QzMsChl |
| QzMsBtChl | QzMs | QzMsKln | (QzMsBtChl) |
| QzMsBt | (QzMsBtChl) | QzMs | QzMsBt |
| QzKfsPlMsBt | (QzMsBt) | (QzMsBt) | QzKfsMsBt |
| QzKfsMsBt | QzKfsMsBt | QzKfsMsBt | QzKfsPlBtMs |
Для флюида, который уравновешивался с гранитом, принят состав 1 M NaCl, 5 M CO2, 0.03 M H2S (в мольных долях Н2О = 0.90, СО2 = 0.08, NaCl = 0.02), отвечающий области характерных составов магматогенных коровых флюидов (например, Yardley, Bodnar, 2014). Присутствие H2S обеспечивало возможность отложения пирита ниже 300–350°С. 1 кг этого флюида уравновешивался с модельным гранитом при температуре источника Ts и Р = 2 кбар, а затем полученный флюид пропускался волнами (порциями) числом N через некоторое количество ячеек i, содержащих от 3 до 300 кг сланца в зависимости от того, какую величину удельного флюидного потока необходимо получить. Алгоритм движения флюида предусматривал, что каждая порция флюида поступает в ячейку i волны N из предшествующей ячейки i – 1 предшествующей волны N – 1, где она пришла в равновесие с находящейся там породой, а сама порода переносится из той же ячейки i предшествующей волны N – 1 и, следовательно, была уже изменена всеми предыдущими волнами. Таким путем обеспечивается нарастающее изменение породы в каждом сечении и одновременно изменение состава флюида по мере прохождения им серии ячеек. Объемное отношение флюид/порода в первой ячейке первой волны W0, а во всех последующих ячейках $W = {{W}_{0}}\frac{N}{i}.$ Рассчитанный состав породы и флюида в ряду ячеек каждой волны моделирует их изменение в пространстве в определенный момент времени (зональность), а в одной ячейке разных волн – эволюцию конкретного сечения зональности во времени (стадийность). Если задать шаг реактора (расстояние между ячейками) z0, то для любой ячейки z = z0i. Поскольку согласно определению $W = \frac{{qt}}{z},$ то каждой волне соответствует время $t = \frac{{N{{z}_{0}}{{W}_{0}}}}{q}.$ Подставляя это выражение в уравнение, применимое для описания теплового потока в конкретной модели, можно получить зависимость температуры от новой переменной N и распределить температуру по ячейкам и волнам МПСР. Это обеспечивает согласование времени в моделях тепло- и массопереноса. Кроме того, отдельно рассчитывался минеральный состав протолита и равновесный с ним солевой флюид 1 M NaCl без добавок СО2 и H2S при T и P, полученных для ряда значений z и t, и низком отношении W = 0.1. Такой расчет моделирует близкий к изохимическому метаморфизм протолита. В этом случае Na–K–Ca обмен между флюидом и породой (Аранович, 2017) существенно не изменяет состав породы вследствие относительно малого количества флюида. Сопоставление результатов этих двух серий расчетов позволило оценить характер и степень преобразований, происходящих с протолитом и флюидом в различных режимах распространения тепла и флюидного потока.
РЕЗУЛЬТАТЫ МОДЕЛИРОВАНИЯ
В ходе моделирования получен большой объем информации для каждой ячейки МПСР, включая значения T, P, W, минеральный состав породы и химический состав флюида (валовый и концентрации всех частиц). В Приложении (табл. 4–9) представлены данные о минеральных парагенезисах пород для ряда значений времени и расстояния от источника. Наиболее подходящими для характеристики кислотно-основных свойств флюида и равновесных с ним парагенезисов минералов являются параметры ${{A}_{{\text{R}}}} = \lg \left( {{{{{a}_{{{{{\text{R}}}^{{{\text{n}} + }}}}}}} \mathord{\left/ {\vphantom {{{{a}_{{{{{\text{R}}}^{{{\text{n}} + }}}}}}} {a_{{{{{\text{H}}}^{ + }}}}^{{\text{n}}}}}} \right. \kern-0em} {a_{{{{{\text{H}}}^{ + }}}}^{{\text{n}}}}}} \right) + \frac{{\text{n}}}{2}\lg {{a}_{{{{{\text{H}}}_{{\text{2}}}}{\text{O}}}}}$ (R = = K, Na, Ca, Mg, Fe), представляющие собой эквивалент химических потенциалов компонентов ROn/2 в системе флюид–порода (Кольцов, 2015). Кислотность либо основность флюида (f) по отношению к протолиту (r) можно оценить по знаку и величине разности $\Delta {{A}_{{\text{R}}}} = A_{{\text{R}}}^{f} - A_{{\text{R}}}^{r}.$ Отрицательные значения ΔAR отвечают условиям кислотного метасоматоза для K, Na и дебазификации для Ca, Mg, Fe; положительные значения – условиям щелочного метасоматоза и базификации, соответственно. Эти показатели также приведены в Приложении (табл. 5–9).
Таблица 2.
Скорости флюидного, теплового потоков и фронтов замещения минералов (м/с)
| Умеренный одноканальный поток, модель 2 | Мощный одно-канальный поток, широкий канал, модель 3 | Мощный одно-канальный поток, узкий канал, модель 4 | Мощный много-канальный поток, модель 5 | ||
|---|---|---|---|---|---|
| Флюидный поток | 10–8 | 10–6 | 10–6 | 10–6 | |
| Изотермы | 300°C | 4 × 10–9–6 × 10–10 | 10–8–10–9 | 4 × 10–9–<10–9 | 10–8 |
| 400°C | 5 × 10–10–8 × 10–11 | 3 × 10–9–6 × 10–10 | ≤6 × 10–10 | 6 × 10–9–8 × 10–9 | |
| Фронты замещения | Chl|Cb | 10–8 | 6 × 10–7–10–6 | 5 × 10–7 | 5 × 10–7 |
| Ab|Ms | 3 × 10–9 | 2 × 10–7 | 3 × 10–7 | 3 × 10–7 | |
| Cb|Chl | 2 × 10–9–3 × 10–10 | 5 × 10–9–2 × 10–9 | 2 × 10–9–10–9 | 9 × 10–9 | |
| Chl|Bt | 4 × 10–10–6 × 10–11 | – | – | 4 × 10–9–10–8 | |
| Chl|Ms | – | 8 × 10–9 | 2 × 10–9 | – | |
| Ms|Kfs | <8 × 10–11 | <4 × 10–10 | <3 × 10–10 | 3 × 10–9–10–8 | |
Таблица 3.
рН флюида, равновесного с парагенезисами зон в исследованных моделях
| Парагенезис | Пределы изменения | Среднее значение |
|---|---|---|
| ММР | 4.81–5.62 | 5.14 |
| SMP | 4.70–5.29 | 5.11 |
| QzKfsBtMs | 4.89–4.91 | 4.90 |
| QzMsBt | 4.71–4.88 | 4.83 |
| QzMsChl | 4.31–4.81 | 4.57 |
| QzMsCb | 3.61–5.17 | 4.22 |
| QzMs | 3.28–4.78 | 3.86 |
| QzMsKln | 3.26–3.29 | 3.28 |
Таблица 4.
Перечень водных частиц, участвующих во взаимодействии флюид–порода
| H+ | ${\text{SO}}_{4}^{{2 - }}$ | K+ | MgSO4 (aq) | AlOOH (aq) | Fe3+ |
| OH– | ${\text{HSO}}_{4}^{ - }$ | KOH (aq) | MgCl+ | ${\text{AlO}}_{2}^{ - }$ | FeOH2+ |
| CO2 (aq) | Cl– | ${\text{KSO}}_{4}^{ - }$ | MgCl2 (aq) | AlOH2+ | FeO+ |
| ${\text{CO}}_{3}^{{2 - }}$ | HCl (aq) | KHSiO3 (aq) | Ca2+ | AlO+ | FeOOH (aq) |
| ${\text{HCO}}_{3}^{ - }$ | Na+ | KHSO4 (aq) | CaOH+ | Fe2+ | ${\text{FeO}}_{2}^{ - }$ |
| SiO2 (aq) | NaOH (aq) | KCl (aq) | CaCO3 (aq) | FeOH+ | FeCl2+ |
| ${\text{HSiO}}_{3}^{ - }$ | ${\text{NaCO}}_{3}^{ - }$ | KAlO2 (aq) | ${\text{CaHCO}}_{{\text{3}}}^{ + }$ | FeO (aq) | CH4 (aq) |
| O2 (aq) | NaHSiO3 (aq) | Mg2+ | CaSO4 (aq) | FeOOH– | |
| H2 (aq) | ${\text{NaSO}}_{4}^{ - }$ | MgOH+ | CaCl+ | FeSO4 (aq) | |
| H2S (aq) | NaCl (aq) | MgCO3 (aq) | CaCl2 (aq) | FeCl+ | |
| HS– | NaAlO2 (aq) | ${\text{MgHCO}}_{{\text{3}}}^{ + }$ | Al3+ | FeCl2 (aq) |
Таблица 5.
Параметры состава пород и флюида в модели 1 (фронтальная фильтрация потока 10–10 м/с от источника с постоянной T = 600°C)
| z, м | W | T, °C | Минеральный парагенезис (+Qz) | ΔAK | ΔANa | ΔACa | ΔAMg | ΔAFe | ΔpH |
|---|---|---|---|---|---|---|---|---|---|
| 10 тыс. лет | |||||||||
| 10 | 3 | 596 | KfsPlCrdBtMag | 0.03 | 0.03 | 0.03 | 0.04 | 0.03 | –0.01 |
| 100 | 0.3 | 563 | PlBtCrdMs | 0.05 | 0.02 | 0.02 | 0.02 | 0.02 | 0.05 |
| 300 | 0.1 | 488 | PlMsBtChl | –0.04 | –0.02 | –0.09 | –0.03 | –0.03 | 0.04 |
| 600 | 0.05 | 383 | PlMsBtChlPy | –0.05 | –0.03 | –0.03 | –0.16 | –0.07 | 0.10 |
| 1000 | 0.03 | 276 | MsAbCbChlCalPy | –0.09 | 0.03 | –1.14 | –1.37 | 1.14 | 0.10 |
| 30 тыс. лет | |||||||||
| 10 | 10 | 598 | KfsPlCrdBtMag | 0.03 | 0.03 | 0.03 | 0.06 | 0.02 | -0.02 |
| 100 | 1 | 579 | PlMsCrdBt | 0.05 | 0.02 | 0.02 | 0.02 | 0.02 | 0.05 |
| 300 | 0.3 | 535 | PlBtAndMs | 0.05 | 0.02 | 0.02 | 0.02 | 0.02 | 0.05 |
| 600 | 0.15 | 469 | PlMsBtChl | –0.04 | –0.04 | –0.19 | –0.19 | –0.18 | 0.14 |
| 1000 | 0.1 | 385 | MsKfsPlChlCalPy | –0.01 | –0.02 | –0.15 | 0.01 | –0.17 | 0.14 |
| 100 тыс. лет | |||||||||
| 10 | 30 | 599 | KfsPlCrdBtMag | 0.03 | -0.01 | 0.47 | 0.11 | –0.02 | –0.03 |
| 100 | 3 | 589 | KfsPlCrdBt | 0.03 | 0.03 | 0.04 | 0.03 | 0.05 | 0.05 |
| 300 | 1 | 568 | PlMsCrdBt | 0.05 | 0.02 | 0.02 | 0.02 | 0.04 | 0.05 |
| 600 | 0.5 | 533 | PlAndMsBt | 0.05 | 0.02 | 0.01 | 0.02 | 0.02 | 0.05 |
| 1000 | 0.3 | 485 | PlMsBtChl | –0.04 | –0.02 | –0.09 | –0.03 | –0.03 | 0.04 |
| 300 тыс. лет | |||||||||
| 10 | 100 | 599.5 | KfsPlCrdBtMag | 0.04 | –0.02 | 0.59 | 0.18 | –0.09 | –0.04 |
| 100 | 10 | 598 | KfsPlCrdBtMag | 0.04 | 0.04 | 0.08 | 0.10 | 0.09 | 0.03 |
| 300 | 3.3 | 593 | KfsPlCrdBt | 0.04 | 0.03 | 0.03 | 0.01 | 0.05 | 0.05 |
| 600 | 1.6 | 585 | MsPlCrdBt | 0.05 | 0.02 | 0.02 | 0.02 | 0.03 | 0.05 |
| 1000 | 1 | 575 | MsPlCrdBt | 0.05 | 0.02 | 0.02 | 0.02 | 0.02 | 0.05 |
Таблица 6.
Параметры состава пород и флюида в модели 2 (сфокусированный флюидный поток 10–8 м/с; источник – остывающее полупространство с постоянной T = 457°C на контакте)
| z, м | W | T, °C | Минеральный парагенезис (+Qz) | ΔAK | ΔANa | ΔACa | ΔAMg | ΔAFe | ΔpH |
|---|---|---|---|---|---|---|---|---|---|
| t = 1 тыс. лет | |||||||||
| 100 | 3 | 379 | PlMsBtChlMagPy | –0.03 | –0.02 | –0.08 | –0.02 | –0.04 | 0.04 |
| 300 | 1 | 260 | AbMsCbDolPy | –0.10 | –0.03 | –1.37 | 0.09 | –0.41 | –0.32 |
| 600 | 0.5 | 200 | AbMsChlCalCbPy | –0.01 | –0.02 | –1.04 | –0.11 | –0.11 | –0.14 |
| 1000 | 0.3 | 184 | AbMsChlCalPy | –0.01 | –0.02 | –0.09 | –0.10 | –0.09 | 0.06 |
| t = 3 тыс. лет | |||||||||
| 100 | 9 | 414 | PlMsBtChlMag | –0.02 | –0.08 | 0.52 | 0 | 0.05 | 0 |
| 300 | 3 | 330 | AbMsCbCalPy | –0.41 | –0.17 | –0.99 | –0.11 | –0.66 | –0.18 |
| 600 | 1.5 | 243 | AbMsCbDolPy | 0.08 | –0.03 | –2.67 | –1.06 | –1.70 | –0.33 |
| 1000 | 1 | 191 | AbMsCbPy | 0.22 | –0.01 | –2.65 | –1.03 | –1.72 | –0.23 |
| t = 10 тыс. лет | |||||||||
| 100 | 32 | 432 | KfsPlMsBtMag | 0.25 | 0.01 | 0.74 | 0 | –0.10 | 0.12 |
| 300 | 10 | 382 | PlMsBtChlPyMag | –0.03 | –0.02 | –0.08 | –0.02 | –0.04 | 0.04 |
| 600 | 5 | 313 | MsCbCalPy | –0.56 | –0.33 | –1.19 | –0.17 | –0.74 | –0.33 |
| 1000 | 3 | 240 | AbMsCbDolPy | 0.05 | –0.04 | –2.51 | –0.96 | –1.60 | –0.31 |
| t = 30 тыс. лет | |||||||||
| 100 | 94 | 443 | KfsPlMsBtMag | 0.27 | 0.01 | 0.78 | 0.01 | –0.12 | 0.12 |
| 300 | 31 | 413 | MsBtMag | 0.08 | –0.13 | 0.25 | 0.01 | –0.08 | –0.02 |
| 600 | 15 | 368 | MsBtChlPyMag | –0.02 | –0.18 | –0.25 | 0 | –0.05 | –0.08 |
| 1000 | 9 | 310 | MsCbPy | –0.60 | –0.80 | –2.27 | –0.11 | –0.65 | –0.73 |
| t = 100 тыс. лет | |||||||||
| 100 | 315 | 449 | KfsMsBtMag | 0.27 | 0 | 0.77 | 0.04 | –0.15 | 0.11 |
| 300 | 105 | 433 | MsBtMag | 0.20 | –0.05 | 0.54 | 0 | –0.09 | 0.06 |
| 600 | 52 | 408 | MsBtChlMag | –0.03 | –0.24 | –0.04 | –0.01 | –0.04 | –0.13 |
| 1000 | 32 | 372 | MsBtChlPy | –0.03 | –0.19 | –0.29 | –0.02 | –0.03 | –0.09 |
Модель 1 (слабый фронтальный поток)
Тепло и флюидный поток распространяются от горизонтальной плоской поверхности источника фронтально вверх на расстояние z = 1000 м в холодную бесконечную малопроницаемую среду. На поверхности источника (z = 0) поддерживается Ts = 600°C при Р = 2 кбар, что при плотности пород 2.8 г/см3 соответствует глубине 7.14 км. Такой уровень глубинности характерен для многих золоторудных месторождений (например, Bushmin, Glebovitsky, 2016; Prokofiev, Naumov, 2020). До начала распространения тепла и флюида во вмещающих породах принят термический градиент k = 30°/км, отсюда на контакте с источником Т0 = 214°С, а на расстоянии z Tz = T0 – kz. При наличии геотермического градиента и влияния земной поверхности использовать решения для бесконечной среды с однородной начальной температурой нельзя. При небольшой величине градиента по сравнению с разностью температур источника и протолита здесь и ниже принято допущение, что вклад градиента в изменение температуры может быть приближенно учтен соотношением T ' = $ = \frac{{T - ({{T}_{0}} - kz)}}{{{{T}_{s}} - ({{T}_{0}} - kz)}}.$ Таким образом, полученные результаты применимы к тем условиям глубинности, где влиянием холодной земной поверхности можно пренебречь. В модели 1 использовано уравнение (7), приняты κ = 10–6 м2/с, q = 10–10 м/с (далее – слабый поток). Последняя величина соответствует оценке проницаемости ненарушенных массивных пород 10–18 м2 (Etheridge et al., 1983; Brady, 1988).
В условиях данной модели образуются многоминеральные парагенезисы, которые воспроизводят типичную метаморфическую зональность в метапелитах (Приложение, табл. 5). Так, при t = = 30 тыс. лет, z = 600 м образуется парагенезис QzPlMsBtChl (зона биотита), z = 300 м – QzPlMsAndBt (зона андалузита), z = 100 м – QzPlMsCrdBt (зона кордиерита), z = 10 м – QzKfsPlCrdBt (зона калишпата). При этом со временем в пределах каждой зоны, кроме последней, относительное количество минералов остается постоянным, т.е. привноса или выноса вещества не происходит. В ближней зоне (z = 10 м) отношение флюид/порода (W) повышается до значения 3 через 10 тыс. лет, а через 100 тыс. лет достигает 30. В этих условиях наблюдается постепенное увеличение количества калиевого шпата от 20 до 48 мас. % за счет привноса калия из гранита, однако парагенезис сохраняется. Отклонение параметров AR для флюида от таковых для протолита (исходного метапелита) весьма мало или отсутствует (флюид равновесен с породой). Увеличение времени инфильтрации до 1 млн лет не приводит к каким-либо качественным изменениям состава пород.
Значительное увеличение флюидного потока q и отношения флюид/порода W, необходимые для метасоматических преобразований пород, достигается при концентрировании флюида в локальных проницаемых зонах (Thompson, Connolly, 1992; Ague, 2014; Evans, Tomkins, 2020). Ниже рассматриваются различные варианты моделей со сфокусированным флюидным потоком. Они различаются количеством каналов, их шириной и величиной потока.
Модель 2 (умеренный одноканальный поток шириной 2 м)
Модель включает остывающее полупространство, заполненное гранитным расплавом с Т = = 700°С в начальный момент времени, непроницаемую холодную среду (метапелит) с кондуктивным переносом тепла (уравнение (3)) и вертикальную проницаемую зону (канал) во вмещающем метапелите протяженностью z = 1000 м и полушириной m = 1 м. На контакте в соответствии с уравнением (6) Тs = 457°С. Флюидный поток q = 10–8 м/с (далее – умеренный поток), отделяющийся от источника, сфокусирован в этой зоне. Изменение его температуры вдоль потока определяется уравнением (8).
За 3 тыс. лет в данной модели, как и в модели 1, формируются многоминеральные парагенезисы, не характерные для метасоматитов, однако в еще не прогретой части канала проявляется карбонатизация с образованием брейнерита, доломита, кальцита (Приложение, табл. 6). Через 10 тыс. лет в приконтактовой зоне (z = 100 м) начинается образование калиевого полевого шпата, который затем полностью замещает плагиоклаз. В этой зоне отмечаются положительные величины ΔAK (щелочной процесс). При удалении от контакта, где температура ниже 350°С, а величина отношения флюид/порода (W) достигает 10 и выше, появляется парагенезис QzMsCbPy22, типовой для низкотемпературных метасоматических пород (например, кварц-карбонат-серицитовых метасоматитов, березитов) по метапелитам. Область формирования этого парагенезиса по мере прогрева канала смещается вверх и затем полностью вытесняется из него. Для этой области характерны отрицательные величины ΔAR (кислотный процесс). Через 300 тыс. лет температура вдоль канала заметно выравнивается, так что ее разность в нижней и верхней точках не превышает 80°С. Степень неравновесности флюида и протолита, выражаемая ΔAR, уменьшается. Образующиеся здесь парагенезисы отличаются от таковых протолита только отсутствием плагиоклаза, замещаемого мусковитом. В целом принятая в модели 2 величина флюидного потока оказывается недостаточной для формирования типичных метасоматитов.
Модель 3 (мощный одноканальный поток шириной 2 м)
В данной модели сфокусированный поток в 100 раз выше, чем в модели 2 (q = 10–6 м/с, далее – мощный поток), геометрия канала и тепловые характеристики пород те же. Источником тепла и флюида является пластовое тело мощностью 2 км. Распределение температуры в этом теле и вмещающих породах описывается уравнением (4), в канале – уравнением (8). На контакте в соответствии с уравнением (5) температура остается практически постоянной и равной 457°С в течение около 10 тыс. лет, а за последующие 20 тыс. лет понижается лишь на 2°С.
В отличие от предшествующей модели, преобразования пород в условиях мощного флюидного потока происходят эффективно, повсеместно и разнообразно. Уже через 300 лет на всем протяжении канала наблюдается полное замещение исходного сланца метасоматитами состава QzMsCbPy (Приложение, табл. 7). Они образуются в условиях температур не выше 320°С и небольших величин отношения флюид/порода (W) от 3 до 200. Параметры AR демонстрируют отрицательное отклонение от равновесных с протолитом (кислотный процесс). С течением времени эта зона смещается вверх по каналу и исчезает. Ее замещает зона QzMsChlPy/Mag, для которой характерны T = 350‒400°C, W = 120–400. Параметры ΔAR здесь остаются отрицательными, но сравнительно невелики (слабокислотный процесс). Эта зона сохраняется на протяжении 600–4800 лет. Затем в середине канала в области T = 280–430°С и W = = 300–1000 появляется зона QzMsPy/Mag, которая затем распространяется почти на весь канал. Ее можно с учетом упрощенного состава модельной системы сопоставить с кварц-серицитовыми/мусковитовыми метасоматитами (с пиритом) и грейзенами (с магнетитом). В пределах этой зоны по мере понижения температуры вверх по каналу отрицательное отклонение всех параметров AR непрерывно возрастает, указывая на усиление кислотного выщелачивания и дебазификации. Ближе к контакту на расстоянии z = 200 м при t > > 4 тыс. лет, W > 600 развивается зона QzMsBtMag, а еще ближе при t > 2 тыс. лет, W > 600 появляется калиевый полевой шпат, замещающий мусковит, однако этот процесс протекает крайне медленно и не доходит до конца. Здесь характерны: температура около 450°С, близкая к температуре контакта, положительные величины ΔAK, характеризующие калиевый щелочной метасоматоз. Общей особенностью описываемых модельных продуктов является полное отсутствие плагиоклаза на всем интервале времени и расстояния.
Модель 4 (мощный одноканальный поток шириной 0.2 м)
В данной модели сфокусированный поток той же величины (q = 10–6 м/с) и с теми же тепловыми параметрами источника, что и в модели 3, но канал в 10 раз более узкий (полуширина m = 0.1 м). В соответствии с уравнением (8) вклад сфокусированного потока в перенос тепла оказывается практически равным нулю почти на всем протяжении канала вследствие полной потери тепла в боковые стенки. Таким образом, флюидный поток в канале распространяется вдоль кондуктивного профиля температуры (рис. 1, кривая 1). Исключением является приконтактовая область, где при длительности более 10 тыс. лет температура в канале становится выше на 4–5°С. Как следствие, в каждом сечении температура оказывается ниже, чем на тот же момент времени в модели 3 (Приложение, табл. 8).
Преобразования пород в целом сходны с наблюдаемыми в модели 3. Здесь также широкое развитие получает зона QzMsCbPy, которая постепенно смещается вверх по каналу и вытесняется зоной QzMsPy/Mag. Различия заключаются в более ограниченном развитии зоны QzMsBt и более позднем появлении приконтактовой зоны калишпатизации (t > 10 тыс. лет, соотношение флюид/порода W > 3000). Кроме того, на верхней границе канала через 12 тыс. лет, когда температура еще остается низкой, но W возрастает до 400, развивается зона с каолинитом, замещающим мусковит, что характерно для таких кислотных метасоматитов, как аргиллизиты. Параметры ΔAR здесь достигают максимально отрицательных значений, указывая на интенсивное кислотное выщелачивание и дебазификацию.
Модель 5 (мощный многоканальный поток с каналами шириной 2 м)
Флюидный поток (q = 10–6 м/с) распространяется от того же источника по множеству параллельных каналов полушириной m = 1 м. Если эти каналы расположены не слишком далеко друг от друга так, что выполняется условие d/z < 0.2, где d – половина расстояния между каналами, то вследствие теплового взаимодействия разница температур внутри каналов и между ними становится мала, а режим распространения тепла вдоль каналов приближается к фронтальному (Hoisch, 1991). Например, если задать d/m = 100, то сфокусированный поток величиной q = 10–6 м/с будет по тепловому эффекту эквивалентным фронтальному потоку с q = 10–8 м/с (Hoisch, 1991). В этом случае тепловой поток в канале можно описать уравнением (7) для адвективного фронтального потока, а взаимодействие флюид–порода, как и ранее – условиями реального сфокусированного потока.
Характер распределения температуры, химических потенциалов компонентов и минералообразования в многоканальной модели сходен с наблюдаемым в единичном канале лишь на самой ранней стадии процесса. В течение первых 100–300 лет высокий температурный градиент (до 160°C/100 м) сосредоточен в узкой приконтактовой зоне, выше он быстро уменьшается. На фоне низких температур и невысоких отношений флюид/порода (W) это приводит к карбонатизации, пиритизации сланцев и слабому кислотному выщелачиванию с образованием парагенезиса QzMsCbPy (Приложение, табл. 9). В дальнейшем температура в нижней части канала быстро повышается, и через канал проходит тепловая волна (рис. 1, кривая 2). Через 1 тыс. лет в приконтактовой области градиент падает до 13°/100 м, затем в средней части достигает 50°/100 м, а в верхней части понижается до 18°/100 м. Как следствие, кислотное выщелачивание затухает, параметры ΔAR уменьшаются по абсолютной величине (уменьшается степень кислотности процесса), а затем становятся положительными (начинается щелочной процесс). По мере прогрева канала зона QzMsCbPy замещается зоной QzMsChl, а затем – зоной QtzMsBt, но, в отличие от моделей 3 и 4, зона QtzMs не возникает. Через 10 тыс. лет температура выравнивается по всему каналу, процесс приобретает слабощелочной характер, происходит фельдшпатизация пород с тенденцией к образованию гранитного парагенезиса QzKfsPlBt, однако это замещение протекает крайне медленно и за указанный период времени не завершается.
ОБСУЖДЕНИЕ РЕЗУЛЬТАТОВ
Минеральная зональность и ее эволюция
В случае фронтального распространения тепла и флюида от нагретой плоской поверхности через малопроницаемые породы (q = 10–10 м/с) (модель 1) тепловое число Пекле PeT = 0.1. Это означает, что поток вещества движется вдоль профиля температуры, сформированного преимущественно кондуктивным потоком тепла. Действительно, можно убедиться, что температуры, рассчитанные по уравнениям (3) и (7), различаются не более чем на 0.01 ед. T' или на 2–3°C. С учетом величины эффективного коэффициента диффузии во флюиде Deff = 10–11 м2/с (Bickle, McKenzie, 1987) концентрационное число Пекле PeC = 104, т.е. инфильтрационный перенос вещества полностью преобладает над диффузионным, и последним можно пренебречь. Таким образом, в этой модели кондуктивный перенос тепла сочетается с инфильтрационным переносом вещества. Вместе с тем величины отношения флюид/порода W остаются слишком низкими для обеспечения метасоматических преобразований. На максимальном удалении z = 1 км W не поднимается выше 0.3 даже через 100 тыс. лет. Такой порядок величин W характерен для изохимического метаморфизма (Ферри, 1989). Лишь при повышении W до 3–30 (z = 10 м, t = 10–100 тыс. лет) происходит заметная калишпатизация пород за счет привноса K2О из гранита. Иначе говоря, происходит изменение химического состава породы под действием инфильтрационного потока вещества без изменения ее минерального состава. Такие преобразования пород часто описываются как аллохимический метаморфизм, однако четкое разграничение с метасоматозом проводится не всегда. Во избежание терминологической неопределенности следует, видимо, термин “аллохимический метаморфизм” использовать только для метаморфических процессов с изменением химического состава без изменения минерального состава породы, т.е. без перехода компонентов во вполне подвижное состояние.
Во всех моделях со сфокусированным флюидным потоком образуются различающиеся по минеральному составу зоны, которые со временем перемещаются вверх по каналу и уходят за его верхнюю границу, а внизу появляются новые. Это дает возможность реконструировать полную вертикальную минеральную зональность в каждой модели (табл. 1). Как видно, отличительной особенностью модели с умеренным флюидным потоком является отсутствие наиболее метасоматически измененной зоны QzMs и сохранение слабоизмененного парагенезиса QzMsBtChl, отличающегося от протолита (состав QzPlMsBtChl) только отсутствием плагиоклаза. В модели многоканального мощного потока зона QzMs также отсутствует, но и слабоизмененных разновидностей не наблюдается. Наиболее интенсивное кислотное выщелачивание с образованием зоны QzMs, а местами в низкотемпературной части – каолинита наблюдается в одноканальных моделях с мощным потоком. В таблице 1 в скобках указана зона QzMsChl, исчезающая через 4 тыс. лет так, что нижележащая зона QzMs ± Mag,Py кверху сменяется сразу зоной QzMsCb. Все варианты зональности объединяет наличие калишпатизации в приконтактовой области и устойчивое формирование парагенезиса QzMsCb, появляющегося уже на самой ранней стадии процесса, когда породы еще не прогреты, а отношение флюид/порода W еще невелико.
Полученная в моделях с мощным сфокусированным потоком зональность согласуется с многократно наблюдавшейся вертикальной зональностью метасоматических ореолов плутоногенных рудоносных гидротермально-метасоматических формаций (например, Плющев и др., 2012), в особенности связанных с кислыми и ультракислыми гранитами. В нижней части таких ореолов обычно располагаются кварц-биотит-полевошпатовые метасоматиты, выше они сменяются кварц-мусковитовыми (грейзенами), затем кварц-карбонат-серицитовыми/мусковитовыми метасоматитами (березитами). Их внешние части представлены различными парагенезисами слабо проявленного метасоматоза.
Одной из особенностей полученной вертикальной зональности является переход от маломинеральных зон к многоминеральным по направлению к ее тыловой части. Так, в моделях 3 и 4 зона QzMs сменяется зоной QzMsBt. В модели 2 зона QzMsCb переходит в четырех- и даже пятиминеральную зону (QzMsBtChl, QzMsKfsBtChl). Это явление, невозможное в классической изобарно-изотермической колонке, по-видимому, обычно и закономерно для термоградиентных колонок с реальной динамикой теплопереноса. Действительно, флюид не может сформировать зону с более высокой кислотностью, чем его собственная. Если кварц-мусковитовая зона характеризуется кислотностью, выраженной в единицах ΔAK, Na, близкой к максимальной (Приложение, табл. 7, 8), то вниз по каналу в условиях непрерывного прогрева наблюдается понижение кислотности. Это происходит, очевидно, вследствие уменьшения разности температур и, следовательно, разности химических потенциалов компонентов во флюиде в источнике и в данном сечении канала.
Обращает на себя внимание присутствие в минеральной зональности пород, отличающихся от метаморфических аналогов отсутствием только одного минерала. Как правило, это упомянутые выше парагенезисы, в которых плагиоклаз замещен мусковитом и при более низких температурах хлорит замещен карбонатом при сохранении других минералов метаморфического протолита. Такие образования хорошо известны в природе и иногда описывались как субметасоматические породы (Коренбаум, 1990). Отмечалась их закономерная приуроченность к внешним ореолам гидротермально-метасоматических систем (например, Плющев и др., 2012). Величина флюидного потока q в этих ореолах снижается вследствие рассеивания флюида во вмещающих породах, и этим условиям отвечает модель 2 с умеренным потоком. Полученные данные показывают, однако, что породы без плагиоклаза (парагенезис QzMsBtChl) встречаются в нижней части канала также в условиях мощного потока (модели 3–5). Там они образуются в условиях низкого градиента температуры и малых отрицательных величин ΔAR (процесс в условиях, приближающихся к равновесию между флюидом и протолитом). Такие образования часто встречаются также в зонах дислокационного метаморфизма. Тем не менее их следует отличать от продуктов изо- и аллохимического метаморфизма по характерным минеральным преобразованиям и приуроченности к проницаемым зонам с повышенным отношением флюид/порода.
Скорость переноса тепла, движения фронтов замещения и их связь с минеральной зональностью
Вертикальная зональность, особенно ее эволюция во времени, во многом определяется скоростью переноса тепла и движения фронтов замещения. Полученные данные позволяют измерить эту скорость (табл. 2). Если при увеличении числа волн МПСР от N до N + ΔN изотерма или фронт перемещаются из ячейки i в i + Δi, то $v = \frac{{\Delta z}}{{\Delta t}} = \frac{{\Delta iq}}{{\Delta N{{W}_{0}}}}.$
Как видно в табл. 2, в моделях со сфокусированным флюидным потоком тепло распространяется со скоростью на 2–3 порядка меньшей скорости потока. Это означает, что каждая порция флюида в любой из моделей испытывает значительное охлаждение, пока не произойдет выравнивания температуры, причем последнее требует много больше времени, чем необходимо для фильтрации этой порции через весь канал. Усиление мощности потока увеличивает скорость переноса тепла, однако в одноканальных моделях со временем эта скорость снижается. Во многоканальном варианте отмечается некоторое ускорение движения изотермы 400°, что приводит к выполаживанию профиля температуры (см. рис. 1, кривая 2).
Фронты замещения различаются по скорости весьма значительно и могут быть разделены на три группы (табл. 2): со скоростями, приближающимися к скорости флюидного потока; со скоростями, равными скорости переноса тепла; с различными скоростями, отличающимися от скорости переноса тепла.
К первой группе относятся фронты низкотемпературного замещения хлорита железо-магнезиальными карбонатами и альбита мусковитом (серицитизация плагиоклаза). Карбонатизация протекает сразу после взаимодействия первых порций богатого СО2 флюида с протолитом и в условиях умеренного флюидного потока (модель 2) приводит к появлению субметасоматического парагенезиса QzMsAbCb уже при сравнительно низких величинах отношения флюид/порода (W = 0.5–5). Это объясняет широкое распространение таких низкотемпературных карбонатизированных пород в разных геологических обстановках, в том числе и в отсутствие других проявлений метасоматоза. Фронт мусковитизации в модели 2 хотя движется сравнительно быстро, но появляется позже, лишь через 10 тыс. лет, что связано, по-видимому, с недостаточно высокой кислотностью флюида на начальных стадиях процесса. В условиях мощного флюидного потока (модели 3–5) указанные фронты сближены, и оба процесса протекают почти одновременно, что обусловливает формирование березитоподобного парагенезиса QzMsCb с новообразованными мусковитом и карбонатами. Со временем эти фронты смещаются в область все более низких температур.
Во вторую группу входят фронты, разделяющие зоны QzMsCb и QzMsChl, а также зоны QzMsChl и QzMsBt. Они приурочены к изотермам 350 ± 4°C и 445 ± 1°C соответственно и перемещаются со скоростью этих изотерм. Их, очевидно, следует рассматривать как фронты проградных реакций декарбонатизации и дегидратации, зависящих только от температуры.
К третьей группе относятся фронты, на которых протекают различные реакции гидролиза, не приуроченные к определенным температурам. Так, фронт, разделяющий зоны QzMsChl и QzMs, движется быстрее изотермы 350°C, что приводит со временем к исчезновению зоны QzMsChl. Фронт замещения мусковита калиевым полевым шпатом, представляющий реакцию щелочного К-метасоматоза, в одноканальных моделях имеет весьма низкую скорость, что обусловлено, по-видимому, сохранением здесь градиента температуры, повышающего кислотность флюида и препятствующего этому процессу. Напротив, во многоканальном варианте, где со временем устанавливаются изотермические условия, эта реакция протекает не только с заметно более высокой, но и возрастающей скоростью.
Полученные данные позволяют оценить время, необходимое для прохождения фронтов замещения по всей длине канала. В случае умеренного потока (модель 2) это время составляет для низкотемпературной карбонатизации и серицитизации группы 1 3–10 тыс. лет. Для замещений при проградных реакциях декарбонатизации и дегидратации группы 2 – 30–200 тыс. лет, а для калишпатизации (группа 3) – более 500 тыс. лет. В условиях мощного потока замещения группы 1 завершаются уже за 50–120 лет. Для других замещений требуется от 4 до 20 тыс. лет. Исключение составляет калишпатизация в одноканальных моделях 3 и 4, для распространения которой по всей колонке необходимо более 100 тыс. лет. Приведенные величины укладываются в интервал оценок длительности процессов инфильтрации (102–105 лет), контролируемых трещинными и ослабленными зонами в различных областях гидротермальной активности (Ague, 2014 и ссылки в ней).
Физико-химические параметры флюида, их изменение в пространстве и времени
Перечисленные и ряд других особенностей изменения минерального состава пород находятся в тесной связи с эволюцией физико-химических параметров флюида. К таким параметрам, кроме Т и Р, относятся также AR, эквивалентный химическим потенциалам компонентов системы флюид–порода. Чтобы избежать рассмотрения большого объема числовой и графической информации для пяти компонентов (см. табл. 5–9 в Приложении) и учитывая, что основной вклад в изменение параметра AR вносит изменение ${{a}_{{{{{\text{H}}}^{{\text{ + }}}}}}},$ в дальнейшем используется величина рН флюида, равновесного с новообразованным парагенезисом и ΔрН – ее отклонение от величины рН флюида, равновесного с протолитом при данных Р, Т и отсутствии СО2 и H2S. Отрицательная или положительная величина ΔрН указывает на кислотные или щелочные условия относительно принятого протолита. Значение ΔрН ближе всего к таковому ΔANa, так как параметр ${{a}_{{{\text{N}}{{{\text{a}}}^{{\text{ + }}}}}}}$ в рассматриваемых моделях наименее изменчив. Различия в изменении величин ΔрН и ΔACa, Mg, Fe значительно более заметны.
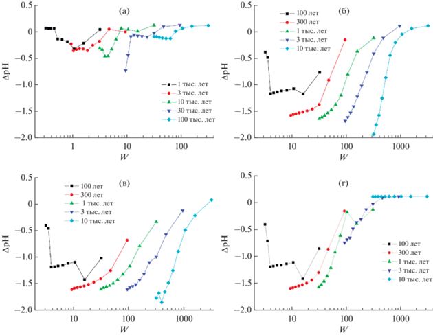
На рис. 2 показано изменение ΔрН вдоль канала в моделях 2–5 для ряда моментов времени и 10 сечений канала через 100 м как функция отношения флюид/порода (W). В каждый момент времени с удалением от источника W уменьшается, а с течением времени в каждом сечении канала W увеличивается. В условиях умеренного флюидного потока наблюдается небольшое повышение кислотности (на рис. 2 увеличение отрицательных значений ΔрН) на ранней стадии, однако дальнейшего развития этот процесс не получает, а через 100 тыс. лет, несмотря на достижение W > 100, затухает (рис. 2а). При мощном одноканальном потоке также происходит быстрое, но более интенсивное повышение кислотности по мере охлаждения флюида вследствие опережающей диссоциации HCl относительно диссоциации солей и оснований (Кольцов, 2015). Однако, в отличие от предшествующей модели, при продолжающейся фильтрации кислотность продолжает возрастать, ΔрН достигает –2, область максимальной кислотности сосредоточена в верхней части канала (рис. 2б, 2в). Ей соответствует зона QzMs, а в модели с узким каналом – зона QzMsKln. От верхнего конца канала к источнику кислотность последовательно понижается, и через 3 тыс. лет в приконтактовой зоне ΔрН переходит через 0, когда достигается нейтральность флюида относительно протолита. Затем под влиянием гранитного источника в этой зоне значения ΔрН становятся слабо положительными, и в породах проявляется калишпатизация. В многоканальной модели (рис. 2г) первоначальное резкое повышение кислотности происходит на протяжении не более 1 тыс. лет, а затем сменяется быстрым снижением кислотности после прохождения тепловой волны и выравнивания температуры. Через 10 тыс. лет весь канал характеризуется значениями ΔрН = 0.17 и присутствием в породах калиевого шпата и плагиоклаза. Эта величина равна разности pH флюидов, равновесных с гранитом и метапелитом при температуре источника.
Рис. 2.
Зависимость ΔpH = pHf – pHr от отношения флюид/порода W при разной продолжительности фильтрации в моделях сфокусированного флюидного потока: (а) – умеренного (10–8 м/с); (б–г) – мощного (10–6 м/с): (б) – в одиночном широком (m = 1 м) канале, (в) – в одиночном узком (m = 0.1 м) канале, (г) – многоканального (m = 1 м). Точки на кривых отвечают сечениям z от 100 до 1000 м от источника.

Диаграмма W–ΔТ для анализа модельных парагенезисов, их зональности и стадийности
Анализируя приведенный материал, можно заметить, что независимо от конкретных условий модели (геометрия, величина потока) формирование метасоматитов определенного состава зависит от сочетания трех параметров: Т, W и кислотности (AR или приближенно рН). По мере увеличения W со временем проявляются два конкурирующих взаимно противоположных процесса. Первый: при сохранении пониженной по сравнению с источником температуры пород в канале флюидный поток обеспечивает протекание реакций гидролиза с повышением кислотности при охлаждении флюида, переход компонентов во вполне подвижное состояние, образование зон кислотного выщелачивания с уменьшением числа фаз. Этот процесс преобладает в узких одиночных каналах на удалении от источника. Второй: тот же флюидный поток обусловливает постепенный прогрев канала, ведущий к уменьшению степени неравновесности флюида и протолита, кислотности флюида. Реакции гидролиза затухают, формируются многоминеральные зоны. Такой процесс преобладает в сближенных каналах, вблизи источника и в условиях слабого потока.
Исходя из сказанного, можно предположить, что кислотность флюида определяется преимущественно двумя факторами – разностью температур между источником и породой в канале ΔТ и отношением флюид/порода W. Тогда различные типы метасоматитов, субметасоматические породы (с одним замещенным минералом), а также метасоматически неизмененные многофазные образования должны занять определенные поля в координатах W–ΔТ, а кислотность должна закономерно изменяться в зависимости от этих величин.
Действительно, можно убедиться, что на диаграмме W–ΔТ (рис. 3) поля разных пород практически не перекрываются. При этом, учитывая, что в исследованных моделях температуры источника и фона были постоянными, величина ΔТ однозначно определяет и величину Т. Левую часть диаграммы с низкими величинами W независимо от ΔТ занимают многоминеральные метаморфические, правую часть – метасоматические породы. Между ними располагается поле парагенезисов, которые предлагается выделять как субметасоматические. Под этим названием объединены образования состава QzMsAbCb в верхней части поля и QzMsBtChl в нижней его части. Для них характерны промежуточные значения W от единиц до десятков, свойственные для условий умеренного флюидного потока, и до 100 – в условиях мощного потока. Область малых ΔТ и высоких W отвечает кварц-мусковит-биотитовым и калишпатизированным метасоматитам, образующимся при слабо повышающейся щелочности. По мере увеличения ΔТ они сменяются кварц-мусковит-хлоритовыми и кварц-мусковит-карбонатными метасоматитами, а при максимальных значениях W – кварц-мусковитовыми и каолинизированными образованиями. В этом направлении рН флюида непрерывно понижается (табл. 3). На рис. 3 видно также, что при заданной величине ΔТ, т.е. в изотермических условиях, последовательность пород по мере возрастания W отвечает зонам изотермической колонки с уменьшением числа минералов. Так, при ΔТ = 70°C (Т = 377°C) получим зональность QzPlMsChlBt → QzMsChlBt → → QzMsChl → QzMs.
Рис. 3.
Диаграмма W–ΔТ параметров образования модельных пород и их изменения во времени. 1–8 – разновидности пород: 1 – многофазные метаморфические, 2 – субметасоматические с замещенным хлоритом или плагиоклазом, 3 – калишпатизированные кварц-мусковит-биотитовые, 4 – кварц-мусковит-биотитовые, 5 – кварц-мусковит-хлоритовые, 6 – кварц-мусковит-карбонатные, 7 – кварц-мусковитовые, 8 – каолинизированные кварц-мусковитовые; 9–11 – траектории эволюции параметров в сечении z = 1000 м от источника в моделях: 9 – умеренного сфокусированного потока (q = 10–8 м/с), 10 – мощного потока (q = 10–6 м/с) в узком (m = 0.1 м) канале, 11 – мощного потока в сближенных широких (m = 1 м) каналах. Стрелками показано направление сопряженных изменений разности температур с источником и отношения флюид/порода со временем.

Для всех типов модельных пород (метаморфических, субметасоматических и метасоматических) характерна тенденция к смещению полей в сторону более высоких значений W по мере уменьшения ΔТ, которое происходит с приближением к источнику и со временем. Так, если в низкотемпературной области для образования кварц-карбонат-мусковитовых метасоматитов (березитов) достаточна величина W около 10, то в приконтактовой зоне, где ΔТ уменьшается, при том же значении W сохраняется метаморфический парагенезис QzPlMsBtChl.
На диаграмме удобно проследить эволюцию состава пород и параметров флюида во времени для разных моделей, отвечающую стадийности метасоматического процесса. Эта эволюция изображается на рис. 3 линиями для сечения z = 1000 м, где изменения наиболее контрастны. Как видно, при умеренном флюидном потоке траектория эволюции остается в пределах поля субметасоматических пород, несмотря на значительную продолжительность фильтрации, поскольку значения W остаются небольшими, а прогрев за это время препятствует образованию низкотемпературного парагенезиса QzMsCb. Напротив, при мощном одноканальном потоке линия эволюции остается в области высоких ΔТ вследствие высокой теплоотдачи, и при быстро возрастающем W направлена через поле QzMsCb в область кварц-мусковитовых каолинизированных пород с максимальной кислотностью. Если же фильтрация протекает по сближенным каналам, то траектория эволюции приобретает характерную для фронтального переноса тепла сигмоидальную форму с субгоризонтальными участками в начале и конце процесса и крутым подъемом температуры между ними, который приходится на значения W около 100. Это обусловливает смену кварц-мусковит-карбонатных пород кварц-мусковит-хлоритовыми, кварц-мусковит-биотитовыми и калишпатизированными метасоматитами. Поле кварц-мусковитовых метасоматитов в этом случае не достигается.
Представляет интерес также оценка влияния на вертикальную зональность величины потока и геометрии модели. Если при мощном потоке 10–6 м/с за 1 тыс. лет через единицу поперечного сечения канала фильтруется объем флюида qt = 31 500 м3, то при умеренном потоке 10–8 м/с для фильтрации того же объема требуется 100 тыс. лет. Значения W для любого сечения z будут одинаковыми, однако температура и состав пород оказываются различными. На рис. 4 линии отвечают сопряженным изменениям W и ΔТ вдоль канала для указанных моментов времени. Как видно, при одном и том же общем объеме флюида умеренный и длительный поток обусловливает существенно иные преобразования пород, чем мощный и кратковременный. В первом случае за счет кондуктивного теплопереноса во вмещающих породах температурные различия вдоль канала в значительной степени сглаживаются, и при сравнительно невысоких значениях W образуются преимущественно субметасоматические породы, а также кварц-мусковит-биотитовые и калишпатизированные метасоматиты в приконтактовой зоне. Во втором случае контрастные различия температуры между нижним и верхним концами канала сохраняются, при тех же значениях W формируются более кислотные кварц-мусковит-карбонатные метасоматиты. Кроме того, в условиях многоканальной модели за счет более эффективного прогрева канала флюидом получают развитие более высокотемпературные кварц-мусковит-хлоритовые метасоматиты.
Рис. 4.
Диаграмма W–ΔТ параметров образования модельных пород и их изменения в пространстве. 1–3 – траектории изменения параметров на расстоянии z от 100 до 1000 м от источника после фильтрации 31 500 м3/м2 флюида в моделях: 1 – умеренного сфокусированного потока (q = 10–8 м/с), 2 – мощного потока (q = 10–6 м/с) в узком (m = 0.1 м) канале, 3 – мощного потока в сближенных широких (m = 1 м) каналах. Обозначения пород см. на рис. 3. Стрелками показано направление сопряженных изменений разности температур с источником и отношения флюид/порода вдоль канала.

Охарактеризованные выше преобразования пород возможны при наличии необходимых ресурсов флюида в источнике. Если вслед за (Бернэм, 1982) принять, что объем гранитного расплава высотой 10 км и поперечным сечением 1 м2 высвобождает при кристаллизации 730 м3 воды, то при мощности флюидного потока 10–10 м/с (модель 1) время исчерпания этого объема составит 230 тыс. лет. Этого достаточно для повышения величины W до нескольких десятков при z = 10 м и аллохимического процесса калишпатизации в приконтактовой области (Приложение, табл. 5). В условиях многоканального потока мощностью 10–6 м/с (модель 5), когда расход флюида максимальный, это предельное время составляет 2.3 тыс. лет, но при мощности пластины 2 км, принятой в модели, оно уменьшается до 460 лет. В этом случае процесс завершится образованием низкотемпературных березитоподобных метасоматитов почти на всем протяжении канала (Приложение, табл. 9). В случае одноканального потока оценка времени существования флюидного потока включает неопределенность размеров области, с которой флюид может быть собран в канале. Если принять, что флюид поступает в канал из колонны расплава шириной по 100 м в обе стороны от канала, то при q = 10–6 м/с получим для широкого канала (модель 3) то же максимальное время 460 лет и для узкого канала (модель 4) – 4.6 тыс. лет, а значения W – от нескольких десятков до нескольких сотен. Этого недостаточно для образования полного набора метасоматитов (Приложение, табл. 7, 8). Между тем такие глубоко преобразованные породы, как кварц-мусковитовые метасоматиты, для формирования которых требуются W выше 300 (рис. 3, 4), распространены в природе очень широко. Можно полагать, что большие объемы флюида, необходимые для их образования, были мобилизованы либо из более обширных магматических очагов, либо имели иной источник.
ВЫВОДЫ
В результате численного моделирования метасоматических процессов в условиях умеренных глубин (~6–8 км), протекающих при сопряженном переносе тепла и растворенного вещества флюидным потоком из гранитного источника во вмещающие метапелиты, получены данные о распределении температуры, минерального состава пород и параметров флюида, характеризующих его кислотно-основные свойства.
1. В условиях слабого фронтального флюидного потока (10–10 м/с) метасоматические изменения вмещающих пород отсутствуют, происходит изохимический метаморфизм с образованием температурной зональности. При достаточной длительности процесса, когда в приконтактовой области величина отношения флюид/порода достигает нескольких десятков, наблюдается аллохимический метаморфизм. Для него характерно изменение химического состава пород вследствие переноса вещества из гранита во вмещающие метапелиты без изменения их минерального состава и перехода компонентов во вполне подвижное состояние.
2. При переходе к условиям сфокусированного потока и его увеличении до 10–8‒10–6 м/с метаморфические парагенезисы метапелитов сменяются субметасоматическими с одним замещенным минералом, а затем типично метасоматическими с формированием термоградиентной зональности, изменяющейся со временем. Для образования субметасоматических пород благоприятны условия умеренного флюидного потока (10–8 м/с) при невысоком отношении флюид/порода порядка единиц – десятков, а также условия мощного потока (10–6 м/с) в приконтактовой зоне, где понижение температуры флюида и его отклонение от равновесия с протолитом невелики.
3. Кислотность флюида и последовательность зон определяются, главным образом, разностью температур между источником и породой в данном сечении канала ΔТ и объемным отношением флюид/порода W. В свою очередь, оба эти параметра в значительной степени зависят от величины и геометрии флюидного потока. Кислотное выщелачивание с наибольшим понижением рН флюида в максимальной степени проявляется в узких одиночных каналах с мощным флюидным потоком (10–6 м/с) и сосредоточено на удалении от источника. Для него благоприятно сочетание высоких значений ΔТ и W. В этом случае переносимое флюидом тепло полностью поглощается вмещающими породами, и флюидный поток распространяется по профилю температуры, создаваемому кондуктивным прогревом пород источником. С увеличением ширины каналов и их сближением, обеспечивающим тепловое взаимодействие, распространение тепла при мощном потоке приобретает характер фронтального адвективного и приобретает форму тепловой волны с быстрым ростом температуры. Повышение кислотности прекращается и сменяется субизотермическими условиями, когда характер преобразований пород определяется только разностью химических потенциалов компонентов между источником и протолитом. В условиях умеренного сфокусированного флюидного потока необходимо больше времени для достижения достаточно высоких значений W, однако при этом кондуктивный прогрев пород уменьшает ΔТ и препятствует развитию кислотного выщелачивания. Здесь преобладают субметасоматические породы.
4. Образование метасоматической зональности и ее последующее изменение контролируется соотношением скоростей движения флюида, тепла и фронтов замещения. Тепло распространяется вдоль канала на 2–3 порядка медленнее флюида, что определяет охлаждение последнего. Скорость продвижения первой метасоматической зоны, включающей кварц, мусковит и Fe–Mg карбонат, лишь немного уступает скорости фильтрации флюида, и для ее формирования в масштабах канала протяженностью до 1 км достаточно первых сотен лет. Другие фронты движутся на несколько порядков медленнее. Наименьшей скоростью характеризуется фронт калишпатизации в приконтактовой части канала. Для его продвижения на 100 м от источника требуется не менее 3 тыс. лет.
5. Характерной чертой модельных термоградиентных колонок в отличие от изобарно-изотермических является как уменьшение, так и увеличение количества минералов в зонах по направлению к источнику. Отмеченное явление в качественной форме было рассмотрено Д.С. Коржинским (1982). Оно является следствием изменяющихся соотношений между ΔТ и W вдоль канала и должно учитываться при анализе природной метасоматической зональности.
Рассмотренные модели представляют один наиболее простой вариант соотношения между распространением тепла и флюида, когда эти процессы начинаются одновременно в одной точке и имеют один источник. Возможны и другие варианты, включающие образование конвективных ячеек по мере остывания предварительно прогретой толщи пород, рециркуляцию флюида и его смешение с метеорными водами. Эти более сложные модели являются предметом дальнейших исследований.
Таблица 7.
Параметры состава пород и флюида в модели 3 (флюидный поток 10–6 м/с в широком канале m = 1 м; источник – остывающее пластовое тело)
| z, м | W | T, °C | Минеральный парагенезис (+Qz) | ΔAK | ΔANa | ΔACa | ΔAMg | ΔAFe | ΔpH |
|---|---|---|---|---|---|---|---|---|---|
| t = 100 лет | |||||||||
| 100 | 32 | 300 | MsCbPy | –0.50 | –0.73 | –2.44 | –0.05 | –0.54 | –0.77 |
| 300 | 10 | 205 | MsCbDolPy | –0.12 | –0.98 | –2.86 | –1.38 | –2.00 | –1.08 |
| 600 | 5 | 196 | MsCbDolPy | –0.69 | –0.94 | –2.95 | –1.49 | –2.14 | –1.14 |
| 1000 | 3 | 184 | MsAbCbDolPy | 0.29 | 0.01 | –2.93 | –1.51 | –2.19 | –0.39 |
| t = 300 лет | |||||||||
| 100 | 94 | 386 | MsBtChlMag | –0.04 | –0.11 | –1.01 | –0.01 | 0.04 | –0.16 |
| 300 | 31 | 219 | MsCbPy | –0.45 | –1.26 | –4.02 | –1.23 | –1.87 | –1.38 |
| 600 | 16 | 196 | MsCbPy | –0.48 | –1.42 | –4.29 | –1.52 | –2.23 | –1.51 |
| 1000 | 9 | 184 | MsCbPy | –0.47 | –1.50 | –4.41 | –1.68 | –2.41 | –1.58 |
| t = 1 тыс. лет | |||||||||
| 100 | 315 | 433 | MsBtMag | 0.02 | –0.12 | –0.53 | 0.11 | –0.06 | –0.12 |
| 200 | 158 | 373 | MsChlPy | –0.26 | –0.32 | –1.52 | –0.07 | –0.02 | –0.37 |
| 300 | 105 | 306 | MsCbPy | –0.41 | –0.79 | –2.51 | –0.38 | –0.68 | –0.81 |
| 600 | 52 | 204 | MsCbPy | –0.50 | –1.37 | –4.21 | –1.44 | –2.05 | –1.47 |
| 1000 | 32 | 184 | MsCbPy | –0.49 | –1.57 | –4.53 | –1.80 | –2.50 | –1.64 |
| t = 3 тыс. лет | |||||||||
| 100 | 945 | 447 | KfsMsBtMag | 0.27 | 0.09 | 0.10 | 0.06 | –0.06 | 0.11 |
| 300 | 315 | 388 | MsChlPyMag | –0.30 | –0.38 | –1.42 | –0.03 | –0.07 | –0.41 |
| 600 | 158 | 273 | MsCbPy | –0.62 | –1.13 | –3.60 | –1.16 | –0.87 | –1.22 |
| 1000 | 94 | 195 | MsCbPy | –0.63 | –1.59 | –4.61 | –1.96 | –2.11 | –1.68 |
| t = 10 тыс. лет | |||||||||
| 100 | 3150 | 450 | KfsMsBtMag | 0.27 | 0.09 | 0.12 | 0.06 | –0.07 | 0.11 |
| 200 | 1575 | 439 | MsBtMag | 0.21 | 0.05 | –0.04 | 0.07 | –0.06 | 0.06 |
| 300 | 1050 | 429 | MsMag | 0.09 | –0.05 | –0.34 | –0.12 | –0.07 | –0.05 |
| 600 | 525 | 370 | MsMag | –0.76 | –0.82 | –2.43 | –1.54 | –0.06 | –0.87 |
| 1000 | 315 | 280 | MsPy | –1.43 | –1.88 | –4.89 | –3.75 | –3.17 | –1.93 |
Таблица 8.
Параметры состава пород и флюида в модели 4 (флюидный поток 10–6 м/с в узком канале m = 0.1 м; источник – остывающее пластовое тело)
| z, м | W | T, °C | Минеральный парагенезис (+Qz) | ΔAK | ΔANa | ΔACa | ΔAMg | ΔAFe | ΔpH |
|---|---|---|---|---|---|---|---|---|---|
| t = 100 лет | |||||||||
| 100 | 32 | 264 | MsCbPy | –0.40 | –0.93 | –3.19 | –0.53 | –1.10 | –1.02 |
| 300 | 10 | 205 | MsCbDolPy | –0.12 | –0.99 | –2.90 | –1.36 | –2.05 | –1.09 |
| 600 | 5 | 196 | MsCbDolPy | –0.71 | –0.97 | –3.00 | –1.56 | –2.21 | –1.17 |
| 1000 | 3 | 184 | MsAbCbDolPy | 0.31 | 0.01 | –2.98 | –1.55 | –2.24 | –0.40 |
| t = 300 лет | |||||||||
| 100 | 94 | 326 | MsCbPy | –0.47 | –0.61 | –2.32 | 0.04 | –0.36 | –0.68 |
| 300 | 31 | 212 | MsCbPy | –0.49 | –1.29 | –4.08 | –1.23 | –1.89 | –1.41 |
| 600 | 16 | 196 | MsCbPy | –0.51 | –1.45 | –4.34 | –1.53 | –2.24 | –1.54 |
| 1000 | 9 | 184 | MsCbPy | –0.51 | –1.53 | –4.47 | –1.70 | –2.42 | –1.61 |
| t = 1 тыс. лет | |||||||||
| 100 | 315 | 381 | MsChlMag | –0.22 | –0.30 | –1.26 | –0.05 | 0 | –0.33 |
| 300 | 105 | 264 | MsCbPy | –0.42 | –1.02 | –3.60 | –0.77 | –1.21 | –1.17 |
| 600 | 52 | 201 | MsCbPy | –0.50 | –1.40 | –4.25 | –1.46 | –2.08 | –1.50 |
| 1000 | 32 | 184 | MsCbPy | –0.50 | –1.53 | –4.46 | –1.71 | –2.39 | –1.61 |
| t = 3 тыс. лет | |||||||||
| 100 | 945 | 413 | MsBtMag | 0.02 | –0.12 | –0.56 | 0.11 | –0.06 | –0.12 |
| 200 | 472 | 369 | MsChlPyMag | –0.46 | –0.52 | –1.88 | –0.32 | 0.07 | –0.57 |
| 300 | 315 | 329 | MsCbPy | –0.78 | –0.92 | –2.94 | –0.96 | –0.15 | –0.99 |
| 600 | 158 | 240 | MsCbPy | –0.59 | –1.29 | –4.14 | –1.46 | –1.37 | –1.43 |
| 1000 | 94 | 190 | MsCbPy | –0.55 | –1.52 | –4.46 | –1.74 | –2.21 | –1.61 |
| t = 10 тыс. лет | |||||||||
| 100 | 3150 | 438 | KfsMsBtMag | 0.23 | 0.07 | –0.04 | 0.05 | –0.05 | 0.08 |
| 300 | 1050 | 381 | MsMag | –0.37 | –0.45 | –1.60 | –0.88 | –0.07 | –0.49 |
| 600 | 525 | 314 | MsPy | –1.23 | –1.44 | –3.88 | –2.80 | –1.82 | –1.48 |
| 1000 | 315 | 241 | MsCbPy | –0.94 | –1.62 | –4.81 | –3.51 | –1.22 | –1.77 |
| t = 12.5 тыс. лет | |||||||||
| 1000 | 400 | 258 | MsKlnPy | –1.36 | –1.95 | –5.47 | –4.05 | –3.77 | –2.10 |
Таблица 9.
Параметры состава пород и флюида в модели 5 (многоканальный флюидный поток 10–6 м/с в широких каналах m = 1 м; источник – остывающее пластовое тело)
| z, м | W | T, °C | Минеральный парагенезис (+Qz) | ΔAK | ΔANa | ΔACa | ΔAMg | ΔAFe | ΔpH |
|---|---|---|---|---|---|---|---|---|---|
| t = 100 лет | |||||||||
| 100 | 32 | 293 | MsCbPy | –0.47 | –0.84 | –2.58 | –0.24 | –0.75 | –0.85 |
| 300 | 10 | 206 | MsCbDolPy | –0.13 | –1.01 | –2.92 | –1.38 | –2.07 | –1.11 |
| 600 | 5 | 196 | MsCbDolPy | –0.71 | –0.97 | –2.99 | –1.55 | –2.20 | –1.17 |
| 1000 | 3 | 184 | MsAbCbDolPy | 0.30 | 0.01 | –2.97 | –1.54 | –2.24 | –0.40 |
| t = 300 лет | |||||||||
| 100 | 94 | 382 | MsBtChlMag | –0.03 | –0.12 | –0.86 | 0.01 | 0.04 | –0.15 |
| 300 | 32 | 233 | MsCbPy | –0.43 | –1.17 | –3.87 | –1.04 | –1.66 | –1.30 |
| 600 | 16 | 196 | MsCbPy | –0.50 | –1.43 | –4.30 | –1.51 | –2.22 | –1.53 |
| 1000 | 9 | 184 | MsCbPy | –0.49 | –1.52 | –4.44 | –1.69 | –2.42 | –1.60 |
| t = 1 тыс. лет | |||||||||
| 100 | 315 | 441 | MsBtMag | 0.03 | –0.13 | –0.40 | 0.14 | –0.10 | –0.12 |
| 300 | 105 | 374 | MsBtChlPy | –0.05 | –0.12 | –1.06 | –0.04 | 0.07 | –0.18 |
| 600 | 52 | 243 | MsCbPy | –0.38 | –1.07 | –3.70 | –0.93 | –1.45 | –1.21 |
| 1000 | 32 | 186 | MsCbPy | –0.49 | –1.48 | –4.38 | –1.65 | –2.33 | –1.57 |
| t = 3 тыс. лет | |||||||||
| 100 | 945 | 456 | KfsMsBtMag | 0.29 | 0.10 | 0.17 | 0.06 | –0.07 | 0.12 |
| 300 | 315 | 450 | MsBtMag | 0.15 | –0.03 | –0.15 | 0.12 | –0.11 | –0.02 |
| 600 | 158 | 422 | MsChlMag | –0.24 | –0.36 | –1.03 | 0.04 | –0.13 | –0.36 |
| 1000 | 94 | 329 | MsCbPy | –0.53 | –0.65 | –2.48 | –0.14 | –0.21 | –0.74 |
| t = 10 тыс. лет | |||||||||
| 100 | 3150 | 455 | KfsPlBtMsMag | 0.30 | 0.11 | 0.19 | 0.06 | –0.07 | 0.12 |
| 300 | 1050 | 455 | KfsPlBtMsMag | 0.30 | 0.11 | 0.19 | 0.07 | –0.07 | 0.12 |
| 600 | 525 | 455 | KfsPlBtMsMag | 0.30 | 0.10 | 0.20 | 0.07 | –0.08 | 0.12 |
| 1000 | 315 | 454 | KfsBtMsMag | 0.30 | 0.10 | 0.20 | 0.08 | –0.08 | 0.11 |
Благодарности. Авторы благодарны Л.Я. Арановичу и В.И. Мальковскому за советы и рекомендации, позволившие улучшить первоначальный вариант рукописи.
Источники финансирования. Исследования выполнены по теме № FMUW-2021-0002 лаборатории Флюидных процессов Госзадания Института геологии и геохронологии докембрия РАН.
ПРИЛОЖЕНИЕ
Список литературы
Азимов П.Я., Бушмин С.А. Растворимость минералов метаморфических и метасоматических пород в гидротермальных растворах разной кислотности: термодинамическое моделирование при 400–800°С и 1–5 кбар // Геохимия. 2007. № 12. С. 1305–1330.
Аранович Л.Я. Минеральные равновесия многокомпонентных твердых растворов. М.: Наука, 1991. 253 с.
Аранович Л.Я. Роль рассолов в высокотемпературном метаморфизме и гранитизации // Петрология. 2017. Т. 25. № 5. С. 491–503.
Арсеньев П.Л., Пэк А.А. Моделирование гидротермального тепломассопереноса при формировании месторождений, связанных с зонами глубокопроникающих разломов // Геология рудн. месторождений. 1991. № 5. С. 26–37.
Бернэм К.У. Магмы и гидротермальные флюиды // Геохимия гидротермальных рудных месторождений. М.: Мир, 1982. С. 71–121.
Борисов М.В. Геохимические и термодинамические модели жильного гидротермального рудообразования. М.: Научный мир, 2000. 369 с.
Гричук Д.В. Термодинамические модели субмаринных гидротермальных систем. М.: Научный мир, 2000. 304 с.
Жариков В.А., Эпельбаум М.Б., Зарайский Г.П. и др. Моделирование процессов тепло- и массопереноса на грейзеновом месторождении Акчатау // Очерки физико-химической петрологии. Отв. ред. В.А. Жариков, В.В. Федькин. 1988. Вып. 15. С. 38–69.
Жданов В.В., Харченко В.А. Физическая модель региональных метаморфо-метасоматических систем // Физика Земли. 1982. № 5. С. 68–71.
Зарайский Г.П. Зональность и условия образования метасоматических пород. М.: Наука, 1989. 344 с.
Зарайский Г.П. Эксперимент в решении проблем метасоматизма. М.: ГЕОС, 2007. 136 с.
Карслоу Г., Егер Д. Теплопроводность твердых тел. М.: Наука, 1964. 488 с.
Кольцов А.Б. Метасоматические процессы на золоторудных месторождениях в метатерригенных толщах. СПб.: Изд-во СПбГУ, 2002. 236 с.
Кольцов А.Б. Метасоматическое взаимодействие раствор–порода в условиях переменных температур и давлений // Геохимия. 2006. № 7. С. 712–721.
Кольцов А.Б. Влияние источников и путей эволюции растворов на состав метасоматитов // Геохимия. 2015. № 2. С. 144–161.
Коренбаум С.А. Петрология зон фильтрации термальных растворов. М.: Наука, 1990. 279 с.
Коржинский Д.С. Теория метасоматической зональности. М.: Наука, 1982. 104 с.
Мальковский В.И., Пэк А.А., Алешин А.П., Величкин В.И. Модель процесса флюидного тепломассопереноса при формировании Mo-U месторождений Стрельцовского рудного поля (Восточное Забайкалье): гипотеза вынужденной конвекции растворов, генерируемых глубинным источником // Геология рудн. месторождений. 2010. № 1. С. 17–35.
Метасоматизм и метасоматические породы // Отв. ред. В.А. Жариков, В.Л. Русинов. М.: Научный мир, 1998. 492 с.
Наумов В.Б., Наумов Г.Б. Минералообразующие флюиды и физико-химические закономерности их эволюции // Геохимия. 1980. № 10. С. 1450–1460.
Плющев Е.В., Шатов В.В., Кашин С.В. Металлогения гидротермально-метасоматических образований. СПб.: Изд-во ВСЕГЕИ, 2012. 560 с.
Ферри Дж. М. Использование степени протекания реакции для количественной оценки взаимодействия флюид – порода в процессах метаморфизма и гидротермального изменения // Взаимодействие флюид–порода при метаморфизме. М.: Мир, 1989. С. 76–108.
Шваров Ю.В. Алгоритмизация численного равновесного моделирования динамических геохимических процессов // Геохимия. 1999. № 6. С. 646–652.
Шестаков В.М. Динамика подземных вод. М.: Изд-во МГУ, 1979. 368 с.
Ague J.J. Fluid flow in the deep crust // Treatise on Geochemistry. V. 4: The Crust (eds. H.D. Holland, K.K. Turekian). Oxford: Elsevier, 2nd ed. 2014. P. 203–247.
Berman R.G. Internally consistent thermodynamic data for minerals in the system Na2O–K2O–CaO–MgO–FeO–Fe2O3–Al2O3–SiO2–TiO2–H2O–CO2 // J. Petrol. 1988. V. 29. P. 445–522.
Bickle M.J., McKenzie D. The transport of heat and matter by fluids during metamorphism // Contrib. Mineral. Petrol. 1987. V. 95. P. 384–392.
Brace W.F. Permeability of crystalline and argillaceous rocks // Int. J. Rock Mech. Mineral. Sci. 1980. V. 17. P. 241–251.
Brady J.B. The role of volatiles in the thermal history of metamorphic terranes // J. Petrol. 1988. V. 29. Pt. 6. P. 1187–1213.
Bushmin S.A. Evolutional model of metasomatism in metamorphic cycle // Theophrastus contributions to advanced studies in Geology. V. 3. Models and Modelling of geologic processes and objects. Eds. V.A. Glebovitsky, V.N. Dech. Theophrastus Publication. St.-Petersburg: Athens, 2000. P. 137–140.
Bushmin S., Azimov P., Lvov S. Numerical modeling of the metamorphic mineral solubility in hydrothermal solutions at 400–800°C, 1–5 kbar and various fluid acidity // Mineral. Collection. 2004. V. 54. № 2. P. 94–116.
Bushmin S.A., Glebovitsky V.A. Scheme of mineral facies of metamorphic rocks and its application to Fennoscandian shield with representative sites of orogenic gold mineralization // Transactions of Karelian Research Centre RAS. Precambrian Geol. Series. 2016. № 2. P. 3–27.
Cleverley J.S., Oliver N.H.S. Comparing closed system, flow-through and fluid infiltration geochemical modelling: Examples from K-alteration in the Ernest Henry Fe-oxide-Cu-Au system // Geofluids. 2005. V. 5. P. 289–307.
Dolejš D., Wagner T. Thermodynamic modeling of non-ideal mineral – fluid equilibria in the system Si–Al–Fe–Mg–Ca–Na–K–H–O–Cl at elevated temperatures and pressures: Implications for hydrothermal mass transfer in granitic rocks // Geochim. Cosmochim. Acta. 2008. V. 72. P. 526–553.
Etheridge M.A., Wall V.J., Vernon R.H. High fluid pressures during regional metamorphism and deformation // J. Geophys. Res. 1983. V. 89. P. 4344–4358.
Evans K.A., Tomkins A.G. Metamorphic fluids in orogenic settings // Elements. 2020. V. 16. P. 381–388.
Grichuk D.V. Thermodynamic model of ore-forming processes in a submarine island-arc hydrothermal system // Geochem. Int. 2012. V. 50. № 13. P. 1069–1100.
Hoisch T.D. The thermal effects of pervasive and channelized fluid flow in the deep crust // J. Geology. 1991. V. 99. P. 69–80.
Holland T.J.B., Powell R. An enlarged and updated internally consistent thermodynamic dataset with uncertainties and correlations: The system K2O–Na2O–CaO–MgO–MnO–FeO–Fe2O3–Al2O3–TiO2–SiO2–C–H2–O2 // J. Metamorphic Geol. 1990. V. 8. P. 89–124.
Lauwerier H.A. The transport of heat in an oil layer caused by the injection of hot fluid // Appl. Sci. Res. 1955. Sec. A. V. 5. № 2–3. P. 145–150.
Pokrovskii V.A., Helgeson H.C. Thermodynamic properties of aqueous species and the solubilities of minerals at high pressures and temperatures: The system Al2O3–H2O–NaCl // Amer. J. Sci. 1995. V. 295. P. 1255–1342.
Polyansky O.P., Reverdatto V.V. Contact metamorphism and metasomatism near the Talnakh intrusion: Fluid convection and heat transfer modeling on the basis of the finite-difference method // Doklady Earth Sci. 2006. V. 411A. № 9. P. 1480–1484.
Polyansky O.P., Reverdatto V.V., Khomenko A.V., Kuznetsova E.N. Modeling of fluid flow and heat transfer induced by basaltic near-surface magmatism in the Lena-Tunguska petroleum basin (Eastern Siberia, Russia) // J. Geochem. Exploration. 2003. V. 78–79. P. 687–692.
Prokofiev V.Yu., Naumov V.B. Physicochemical parameters and geochemical features of ore-forming fluids for orogenic gold deposits throughout geological time // Minerals. 2020. V. 10(50). https://doi.org/10.3390/min10010050
Salje E., Kuscholke B., Wruck B., Kroll H. Thermodynamics of sodium feldspars. 2. Experimental results and numerical calculations // Phys. Chem. Mineral. 1985. V. 12. № 2. P. 99–107.
Shock E.L., Sassani D.C., Willis M., Sverjensky D.A. Inorganic species in geologic fluids: correlations among standard molal thermodynamic properties of aqueous ions and hydroxide complexes // Geochim. Cosmochim. Acta. 1997. V. 61. № 5. P. 907–950.
Steele-McInnis M., Manning C.E. Hydrothermal properties of geologic fluids // Elements. 2020. V. 16. № 12. P. 375–380.
Sverjensky D.A., Hemley J.J., D’Angelo W.M. Thermodynamic assessment of hydrothermal alkali feldspar–mica–aluminosilicate equilibria // Geochim. Cosmochim. Acta. 1991. V. 55. № 4. P. 989–1004.
Sverjensky D.A., Shock E.L., Helgeson H.C. Predictions of the thermodynamic properties of aqueous metal complexes to 1000°C and 5 kb // Geochim. Cosmochim. Acta. 1997. V. 61. № 7. P. 1359–1412.
Thompson A.B., Connolly J.A.D. Migration of metamorphic fluid: Some aspects of mass and heat transfer // Earth Sci. Rev. 1992. V. 32. P. 107–121.
Whitney D.L., Evans B.W. Abbreviations for names of rock-forming minerals // Amer. Mineral. 2010. V. 95. P. 185–187.
Yardley B.W.D., Bodnar R.J. Fluids in the continental crust // Geochem. Perspectives. 2014. V. 3. P. 1–127.
Zharikov V.A., Zaraisky G.P. Experimental modeling of wall-rock metasomatism // Progress on metamorphic and magmatic petrology. Cambridge: Cambridge University Press, 1991. P. 197–246.
Дополнительные материалы отсутствуют.



