Петрология, 2022, T. 30, № 2, стр. 166-193
Флюидный режим формирования гнейсов в Мейерской надвиговой зоне Северного Приладожья (юго-восток Фенноскандинавского щита)
Ш. К. Балтыбаев a, c, *, Э. С. Вивдич b, О. Л. Галанкина a, Е. Б. Борисова a, c
a Институт геологии и геохронологии докембрия РАН
Санкт-Петербург, Россия
b Санкт-Петербургский горный университет, Геологоразведочный факультет
Санкт-Петербург, Россия
c Санкт-Петербургский государственный университет ‒ Институт наук о Земле
Санкт-Петербург, Россия
* E-mail: shauket@mail.ru
Поступила в редакцию 28.09.2021
После доработки 14.10.2021
Принята к публикации 10.11.2021
- EDN: XCIRFZ
- DOI: 10.31857/S0869590322020029
Аннотация
В Мейерской надвиговой зоне Северного Приладожья при надвигании аллохтонного блока свекофеннид на автохтонный блок окраины Карельского кратона проявились компрессионные и декомпрессионные эффекты, которые фиксируются при термобарометрии минеральных парагенезисов в пара- и ортогнейсах. По наиболее богатым кальцием гранатам в парагенезисе с плагиоклазом среднего состава, а также биотитом и/или мусковитом нами выявлены давления минералообразования до 8–9 кбар, что на 2–3 кбар превышает давления, характерные для метаморфизма окружающих надвиговую зону пород. Это возможно за счет возникновения дополнительного давления при тектонической нагрузке на породы в зоне надвига. Последующая эволюция Р-Т параметров метаморфизма гнейсов указывает на сопряженный спад температуры и давления до достижения минимальных значений Т = 500–550°С и Р = 1.6–3 кбар. Активность воды в метаморфическом флюиде, определенная по минеральным реакциям с водосодержащими минералами, находится в пределах ~0.20–0.44. Несмотря на небольшой диапазон изменения величины аН2О, наблюдается некоторая ее вариация на современном эрозионном срезе надвиговой зоны, а наименьшее значение этого параметра установлено в гранат-биотитовых парагенезисах, существовавших до появления мусковита. Увеличение доли воды в метаморфическом флюиде при появлении мусковитовых парагенезисов не привело к возрастанию аН2О из-за одновременного увеличения содержания солевых компонентов во флюиде. Солевая нагрузка метаморфического флюида выявляется по замещению ранних минералов поздними, для образования которых требуется наличие Na+ и K+ во флюиде.
ВВЕДЕНИЕ
Метаморфический комплекс Северного Приладожья привлекал внимание многих исследователей из-за проявления в нем зонального метаморфизма (Геологическое развитие …, 1970). К. Вегманн – один из первых геологов, обративший внимание на существование метаморфической зональности в этом регионе (Wegmann, 1928). Впоследствии, начиная со второй половины ХХ века, были проведены многочисленные работы и установлены важные геологические и петрологические особенности становления зонального метаморфического комплекса андалузит-силлиманитовой фациальной серии (Судовиков, 1954; Кицул, 1963; Нагайцев, 1974; Предовский и др., 1967; Геологическое развитие …, 1970; Великославинский, 1972; Казаков, 1976; Мигматизация и гранитообразование …, 1985; Азимов, Ризванова, 2021).
Наиболее полная схема метаморфической зональности, которая считалась непрерывной и отражала прогрессивный ряд метаморфизма пород от биотитовой до гиперстеновой зоны, была представлена к середине 70-х годов прошлого века (Нагайцев, 1974). Однако проведенные работы на рубеже ХХ–ХХI вв. показали, что зональность является полихронной и полициклической, а метаморфизованные в гранулитовой фации породы сочленяются с менее метаморфизованными породами по тектонической зоне, представляющей собой надвиг (Балтыбаев и др., 1996; Шульдинер и др., 1997; Балтыбаев и др., 2000). В зоне надвига большая часть пород как амфиболитовой, так и гранулитовой фации была сильно преобразована в условиях амфиболитовой и более ранних стадий метаморфизма. По ранним гранулитовым парагенезисам минералов развиты, в частности, мусковитовые, биотитовые, куммингтонитовые парагенезисы и породы представляют собой диафториты по гранулитам. Эти наложенные минеральные ассоциации “затушевали” первичные соотношения метаморфических пород и создали ложное впечатление о плавном переходе метаморфизма от гранулитовой фации к амфиболитовой.
Минеральные преобразования в надвиговой зоне, именуемой Мейерской (Балтыбаев и др., 1996), характеризуются широким развитием водосодержащих минералов. Это указывает на то, что в этой зоне при новом минералообразовании важное значение имеет участие метаморфического флюида. Характеристике метаморфических преобразований и оценке параметров метаморфического флюида в рассматриваемой надвиговой зоне ранее не было посвящено специальных работ. Целью настоящего исследования является реставрация эволюции Р-Т режимов наложенного метаморфизма и определение такого важного параметра метаморфического флюида, как активность воды, которая контролировала протекание многих минеральных реакций при формировании пород Мейерской надвиговой зоны.
Для достижения указанной цели решались задачи по следующим направлениям: а) оценка Р-Т параметров и тренда наложенного метаморфизма, б) выявление смены Р-Т режимов минералообразования по площади тектонической зоны и во времени, в) оценка по водосодержащим минеральным парагенезисам активности воды (аН2О) при метаморфизме, г) выявление изменения величины аН2О в метаморфическом флюиде по латерали и при смене минеральных парагенезисов.
КРАТКАЯ ГЕОЛОГИЧЕСКАЯ ХАРАКТЕРИСТИКА РЕГИОНА ИССЛЕДОВАНИЙ
Геологические структуры Приладожья входят в состав Раахе-Ладожской шовной зоны субширотного и северо-западного простирания протяженностью более 400 км, проходящей по территории России и Финляндии (Wegmann, 1928; Геологическое развитие …, 1970).
Стратиграфия
Породы региона имеют архейский и палеопротерозойский возраст. Архейские породы развиты во внутренних частях окаймленных гнейсовых куполов (Eskola, 1949), где кроме преобладающих гранито-гнейсов встречаются архейские амфиболовые плагиогранито-гнейсы и мигматиты разного состава, которые окаймляются протерозойскими толщами преимущественно метабазитового состава.
Изотопный возраст гранито-гнейсов из Сортавальского и Коккасельского куполов U-Pb TIMS датированием навесок циркона определен как 2700 млн лет (Тугаринов, Бибикова, 1980). Позднее для гранитоидов Кирьявалахтинского купола был определен архейский возраст уже локальным U-Pb SIMS датированием циркона – 2695 ± 13 млн лет (Вревский, 2021). Несколько моложе, хотя также архейским, оказался возраст гранитоидов Питкярантско-Койринойского купола – 2659 ± 15 млн лет (Мыскова и др., 2012).
На архейском гранито-гнейсовом фундаменте залегает вулканогенно-осадочный комплекс раннепротерозойского возраста, который делится на две серии – сортавальскую и ладожскую.
Породы сортавальской серии обнажаются непосредственно в обрамлении архейских пород окаймленных гнейсовых куполов (Светов и др., 1990; Светов, Свириденко, 1992). В ряде мест установлено трансгрессивное перекрытие пород архейского фундамента кварцито-песчаниками из низов сортавальской серии (Синица, 1984; Светов, Свириденко, 1992). Основу сортавальской серии составляют вулканиты базитового состава (базальты толеитового ряда) и их туфы. Они в разной степени метаморфизованы в зависимости от положения в метаморфической зональности, превращены в амфиболовые сланцы и амфиболиты.
В толще сортавальской серии также известны два карбонатных горизонта – нижний и верхний (Кицул, 1963; Предовский и др., 1967; Хазов, 1973; Karhu, 1993). Недавно проведенные изотопные исследования (Горохов и др., 2021; Кузнецов и др., 2021) показали, что метакарбонатные породы нижнего карбонатного горизонта сортавальской серии представлены осадками мелководных частично изолированных палеобассейнов, а отложения верхнего горизонта – осадками дистальной части обширного морского палеобассейна.
Согласно результатам U-Pb геохронологических исследований циркона из более кислых разностей метабазитов, время накопления отложений сортавальской серии оценивается в 1.99–1.96 млрд лет (Шульдинер и др., 2000).
Отложения ладожской серии перекрывают породы сортавальской серии. Диапазон накопления вулканогенно-осадочных пород ладожской серии – 1.92–1.88 млрд лет (Шульдинер и др., 2000; Baltybaev, Levchenkov, 2005; Матреничев и др., 2006; Мыскова и др., 2012). Породы ладожской серии подверглись в разной степени метаморфической переработке в зависимости от положения в метаморфической зональности. В северной низкотемпературной зоне значительное место в разрезах занимают слюдистые сланцы и подчиненное – высокоглиноземистые и карбонатные метаморфизованные породы (Кицул, 1963). В тех участках, где сохранились исходные литологические признаки, диагностируются песчаники и алевролиты с редкими пропластками гравелитов, а также распознается ритмичная градационная слоистость, свойственная турбидитовым толщам (Геологическое развитие …, 1970; Ладожская …, 2020).
Тектоника
Породы Северного Приладожья находятся в зоне стыка эпиархейского Карельского кратона и Свекофеннского подвижного пояса – двух крупнейших блоков Фенноскандинавского щита. Указанные блоки сочленяются по тектонической зоне, описанной в данном регионе как зона Мейерского надвига (Балтыбаев и др., 1996). Мейерский надвиг делит породы территории на два домена: Северный и Южный (рис. 1). Основное различие двух доменов заключается в том, что в Южном домене не только нет пород архейского возраста, но в нем не выявлены породы, которые по возрасту соответствуют метавулканитам сортавальской серии. Толщи Южного домена представляют фрагмент новообразованной свекофеннской коры в составе Свекофеннского аккреционного пояса, а толщи Северного домена содержат комплекс архейских и протерозойских пород краевой части Карельского кратона.
Рис. 1.
Геологическая схема строения района исследования. На врезке: 1 – архейский фундамент в пределах Карельского кратона и его фрагменты; 2 – палеопротерозойские сланцы и гнейсы; 3 – главная сутура Раахе-Ладожской зоны; 4 – контур положения Мейерской надвиговой зоны. На схеме: 5 ‒ архейские гранито-гнейсы; 6–10 ‒ палеопротерозойские сланцы и гнейсы: 6 – нижний протерозой, метабазиты сортавальской серии, 7–10 – нижний протерозой, ладожская серия: 7 – мусковитовые, ставролитовые сланцы, 8 – двуслюдяные, гранатовые гнейсы, 9 – гранат-кордиеритовые, гранат-биотитовые гнейсы и мигматиты, 10 – гиперстеновые гнейсы; 11–13 – свекофеннские интрузии: 11 – синорогенный куркиекский комплекс 1.89–1.88 млрд лет (нориты, эндербиты), 12 – синорогенный лауватсарско-импиниемский комплекс 1.88–1.87 млрд лет (ранняя фаза: габбро, диориты, кварцевые диориты; поздняя фаза: тоналиты), 13 – позднеорогенные калиевые граниты нерасчлененные 1.87–1.80 млрд лет; 14 ‒ положение главного сместителя Мейерской надвиговой зоны: а – установленное, б ‒ предполагаемое; 15 ‒ разломы: а – установленные, б – предполагаемые; 16–19 ‒ ориентировка сланцеватости и гнейсовидности: 16 – субвертикальной (70°–90°), 17 – крутопадающей (50°–70°), 18 – пологопадающей (30°–50°), 19 – субгоризонтальной (0°–30°); 20 – местоположение образцов, для которых произведены оценки активности воды; номера образцов указаны на последующих рисунках.

Мейерская зона. Фрагменты Северного и Южного доменов на площади Мейерской надвиговой зоны рассматриваются нами как автохтонный и аллохтонный блоки. Поверхность шовной зоны, соединяющей эти домены (блоки), представляет собой пологий надвиг. Плоскость сместителя надвига имеет субширотное простирание и пологое (20°‒30°) падение на юг. Субмеридиональная линейность в метаморфических породах отражает растяжение толщ во время тектонического движения с юга на север в современных координатах. Благодаря такому направлению транспортировки вещества главной особенностью Мейерской надвиговой зоны является выдержанное пологое залегание метаморфической полосчатости, сланцеватости и линейности.
В аллохтонном блоке развиты гранат-биотитовые, гранат-пироксеновые, куммингтонитовые, высокоглиноземистые (кордиеритовые, силлиманитовые) парагнейсы и мигматиты по ним, часто встречаются различные метагранитоиды. Все породы метаморфизованы в условиях гранулитовой фации умеренных и низких давлений.
В автохтонном блоке развиты гранат-биотитовые, гранат-двуслюдяные, куммингтонитовые, высокоглиноземистые парагнейсы, метагранитоиды и амфиболиты. Все породы метаморфизованы в условиях амфиболитовой фации умеренных и низких давлений, слабо мигматизированы.
Наблюдаемые в Мейерской надвиговой зоне пологие структуры метаморфической полосчатости, рассланцевания и бластокатаклаза могут быть охарактеризованы как результат вязкого сдвигового течения.
U-Pb датирование монацита и циркона, а также Sm-Nd датирование граната из метаморфических и магматических пород ограничивает время формирования надвига до возрастного значения – не ранее 1.87 млрд лет и, вероятно, не позднее 1.85 млрд лет (Балтыбаев, Вивдич, 2021). К моменту формирования Мейерской надвиговой зоны к югу от нее возникает комплементарная зона брекчирования, где наложенные минеральные преобразования близки по фациальной принадлежности и минеральным ассоциациям к тем, что наблюдаются в зоне надвига. В зону брекчирования внедрялись поздние гранитные плутоны, один из которых крупный поздне-, посткинематический Тервуский плутон с возрастом 1.86 млрд лет (U‑Pb метод по циркону), а его жильная фация – 1.85 млрд лет (Балтыбаев и др., 2004).
МЕТОДЫ ИССЛЕДОВАНИЯ И ФАКТИЧЕСКИЙ МАТЕРИАЛ
Для выявления термодинамического режима пород Мейерской надвиговой зоны были изучены метаморфические минеральные парагенезисы в породах аллохтонного и автохтонного блоков. Для достижения целей и решения поставленных задач наиболее подходящими являются гранат-биотитовые и гранат-двуслюдяные парагенезисы из метаморфических и метаинтрузивных пород. Эти гнейсы нередко содержат калиевый полевой шпат, что позволяет кроме выявления Р-Т параметров провести оценку активности воды при образовании гранат-слюдистых минеральных парагенезисов.
Расчет Р-Т параметров метаморфизма и активности Н2О
Для термобарометрии пород и оценки активности Н2О в метаморфическом флюиде нами применялась компьютерная программа winTWQ v.264 (Berman, 1991) с обновленной базой взаимосогласованных термодинамических свойств (DEC06.DAT, DEC06.SLN) минералов и твердых растворов (Berman, Aranovich, 1996).
Используются следующие модели неидеальных твердых растворов.
Гранат (Berman, 1990) с учетом неидеальной смесимости Mg-Fe-Ca-Mn (Berman, Aranovich, 1996) с последующей ревизией параметров смешения Mn-Fe-Mg и свойств спессартина по экспериментальным данным (Feenstra, Peters, 1996; Feenstra, Engi, 1998) и природным наблюдениям (Williams, Grambling, 1990).
Биотит (McMullin et al., 1991) с ревизией параметров аннита, флогопита, сидерофиллита, истонита, где в твердом растворе учтено смешение Fe-Mg-Al-Ti по данным о распределении Al: Fe-Al, Mg-Al, Fe-Mg-Al (Berman et al., 2007), Fe-Mg-Ti по (Zhou, 1994), свойств высокотемпературного железистого биотита (Cygan et al., 1996). Впоследствии также были введены поправки на неидеальную смесимость M2(2):Mg,Fe,Fe3-M1(1): Mg,Fe,Ti,Al,Fe3,v-T(2):Al,Si-A(1):K (Circone, Navrotsky, 1992).
Плагиоклаз рассмотрен как трехкомпонентный раствор с неидеальной смесимостью Ca-Na-K (Fuhrman, Lindsley, 1988).
Мусковит A(1):K,Na-M(2):Al-H(2) используется с поправкой на неидеальность смешения K-Na (Chatterjee, Froese, 1975).
Кордиерит M1(2):xMg,xFe – с неидеальным смешением Mg-Fe (Berman, Aranovich, 1996).
Ильменит M(1):xMg,xFe,xMn – с неидеальным смешением Mg-Fe (Berman, Aranovich, 1996).
Шпинель X(1):Mg,Fe-Y(2):Al – с неидеальным смешением Mg-Fe по неопубликованным данным Р. Бермана, Л.Я. Арановича.
Термодинамические свойства воды используются по (Haar et al., 1984), двуокиси углерода по (Mader, Berman, 1991), а смешение воды и углекислоты принято идеальным.
Применимость пакета TWQ для расчета параметров флюида рассматривалась ранее в ряде работ, например (Aranovich, Newton, 1996, 1999).
Петрографическая характеристика гнейсов
Метаморфические породы, распространенные в Мейерской надвиговой зоне, можно подразделить на три группы: 1) гранат-биотитовые гнейсы (наибольшее количество), 2) гранат-двуслюдяные (биотит-мусковитовые) гнейсы, которые особенно часто встречаются в автохтонном блоке, 3) высокоглиноземистые гнейсы, содержащие кроме граната и одной или двух слюд также кордиерит, силлиманит, андалузит, фибролит (часть которых наложена на первичные парагенезисы). Второстепенную роль, за исключением кварца, в составах гнейсов играют плагиоклаз, калиевый полевой шпат, амфиболы (обычно куммингтонит), хлорит и ряд других менее распространенных минералов. Из рудных минералов распространены: ильменит, рутил (редко), ксенотим, магнетит, пирит, пирротин (табл. 1).
Таблица 1.
Минеральный состав изученных пород
| Номер образца |
Блок | Grt | Bt | Ms | Pl | Kfs | Qtz | Chl | Ilm | Rt | Другие |
|---|---|---|---|---|---|---|---|---|---|---|---|
| 5445 | Ал | 10–15* | 40–50 | – | 20 | 3 | 30 | – | – | – | Zrn, 2 |
| 4098b | Авт | 15–20 | 40 | 5 | 15 | 5 | 15 | – | 3 | – | |
| 2465v | Ал | 10–20 | 30 | 5–10 | 25–40 | 5 | 10–15 | 5–10 | – | – | |
| 996-1 | Авт | 10–20 | 25–30 | – | 25–40 | – | 10–15 | – | – | – | |
| 994-1 | Авт | 10–20 | 25–30 | – | 25–40 | – | 10–15 | – | – | – | |
| 5267a | Авт | 10–20 | 25–30 | – | 25–40 | – | 10–15 | – | – | – | |
| 5442a | Авт | 10–20 | 25–30 | – | 25–40 | – | 10–15 | – | – | – | |
| 5785 | Ал | 10–20 | 25–30 | – | 25–40 | – | 10–15 | – | – | – | |
| Б-20-417 | Авт | 3–5 | 25–30 | – | 30–35 | 5–7 | 25 | – | – | – | |
| Б-20-425 | Авт | 15 | 30 | 5–10 | 10 | 1 | 30 | 5 | 3 | – | |
| Б-20-427 | Ал | 15 | 20–25 | – | 25–30 | 15–20 | 10–15 | – | – | – | |
| Б-20-427-1 | Ал | 5 | 20–25 | 7–10 | 20–25 | 15–18 | 30 | – | – | – | |
| Б-20-435 | Ал | 5–10 | 10–15 | 10 | 30 | 3 | 25–30 | 5–10 | – | 1–2 | |
| Б-20-436 | Ал | 10–15 | 25–30 | – | 20–25 | 1–3 | 20–25 | 5 | – | – | Zrn,1 |
| Б-20-439 | Ал | 5–8 | 30–40 | 5 | 30 | 3–5 | 10–12 | – | – | – | Zrn, 1–2 |
| Б-20-448 | Ал | 2–3 | 7–10 | 10–15 | 10–15 | 25–30 | 20–25 | – | – | 1–2 | |
| Б-20-450 | Ал | 30 | 10 | – | 25 | – | 15–20 | – | 5 | – | Hbl, 10 |
| Б-20-450-1 | Ал | 5–8 | 25 | 10 | 20–25 | 5 | 25–30 | – | – | – | Ap, 1–3 |
| Б-20-454 | Авт | 10–12 | 45 | 3 | 20 | 5–7 | 15–20 | 2 | – | 1 | |
| Б-20-455-2 | Авт | 10 | 25–30 | 5 | 20–25 | 1 | 20–25 | – | 5–7 | – | |
| Б-20-458 | Авт | 15 | 27 | 5 | 15 | 8 | 15 | 3 | 1 | – | Crd, 7 And, Ap, Tur, 1 |
| Б-20-461 | Авт | 25 | 25–30 | – | 25–30 | 5 | 10–15 | – | – | – | Zrn, 1–3 |
| Б-20-464 | Авт | 5–8 | 25–30 | – | 30 | 3–4 | 15 | 2–3 | 2 | 1–2 | Sil, 5–8 |
| Б-20-466 | Ал | 15 | 20–25 | – | 25–30 | 15 | 20–25 | – | – | – |
Некоторые характерные особенности структур и текстур гранатсодержащих гнейсов приведены на рис. 2.
Рис. 2.
Микрофотографии шлифов метаморфических пород Мейерской надвиговой зоны. Минеральные парагенезисы: (a, б) – гранат-биотитовый, обр. Б-20-416, с интенсивным замещением зерен граната агрегатом из биотита и плагиоклаза; (в, г) – гранат-двуслюдяной, обр. Б-20-435, со средним по интенсивности замещением граната двумя слюдами в ассоциации с кварцем; (д, е) – гранат-двуслюдяной, обр. Б-20-439, с замещением как в обр. Б-20-435, но с образование практически полных псевдоморфоз по зернам граната; (ж, з) – гранат-биотитовый, обр. Б-20-466, с практически незатронутыми изменениями зернами граната.

Из-за часто проявленной мигматизации большинство пород превращены в полосчатые, линзовидно-полосчатые (в зоне сместителя) и сетчатые мигматиты, различающиеся между собой количественными соотношениями фельзических и мафических минералов. В лейкосомах мигматитов, кроме полевых шпатов и кварца, часто развиты гранат и биотит, а кордиерит и силлиманит встречаются редко. В мелано- или мезосомах перечисленные темноцветные минералы могут занимать до 40% от объема.
Распределение минералов или их парагенезисов в пределах Мейерской надвиговой зоны и прилегающей к ней площади показано на рис. 3. На указанной схеме распространения метаморфических минеральных парагенезисов видно, что породы гранулитовой фации (гиперстенсодержащие и двупироксеновые) развиты исключительно в аллохтонном блоке. Хлоритовые, мусковитовые парагенезисы больше распространены в автохтонном блоке даже несмотря на то, что эти минералы обычно наложены на ранние минеральные парагенезисы. Перечисленные относительно низкотемпературные минералы в породах аллохтонного блока обнаруживаются в зоне, непосредственно примыкающей к сместителю надвига (рис. 3).
Рис. 3.
Минеральные парагенезисы в орто- и парагнейсах из Мейерской надвиговой зоны. 1 – ортопироксенсодержащие метапелиты, 2 – ортопироксенсодержащие метабазиты, 3 –двупироксеновые гнейсы, 4 – клинопироксеновые гнейсы, 5 – парагенезисы с волокнистым (апогиперстеновым) куммигтонитом; 6–10 – сланцы и гнейсы, содержащие: 6 – светлый (преимущественно вторичный) амфибол, 7 – вторичный андалузит, 8 – мусковит (первичный и вторичный), 9 – вторичный хлорит, 10 – вторичный фибролит. Показаны (точки) номера образцов, для которых произведены оценки Р-Т параметров и активности воды. Пунктирной серой линией со стрелками показано положение и направление падения главного сместителя Мейерской надвиговой зоны.

Особенности составов минералов
Ниже приведены краткие сведения об особенностях составов породообразующих минералов – граната, плагиоклаза, биотита и мусковита – в породах автохтонного и аллохтонного блоков Мейерской надвиговой зоны (рис. 4, 5, табл. 2).
Рис. 4.
Диаграммы составов граната (а, б), биотита (в, г), плагиоклаза (д, е) и мусковита (ж, з) из изученных пород Мейерской надвиговой зоны. Точками разного цвета показаны составы минералов из парагенезисов (1–3): 1 – гранат-биотитового, 2 – высокоглиноземистого, 3 – гранат-двуслюдяного (биотит-мусковитового). Принадлежность пород к блокам Мейерской надвиговой зоны (4–5): 4 – аллохтонному, 5 – автохтонному.

Рис. 5.
Микрофотографии порфиробластов граната (а, в) и профили (в, г), показывающие изменение содержания альмандина (Alm), пиропа (Prp), гроссуляра (Grs), спессартина (Sps) в точках, отмеченных на зернах. Порфиробласты граната в обр. Б-20-466 (а, б) характеризуются идиоморфизмом, сохранением регрессивной зональности, существенно гроссуляровым ядром и значительным количеством минеральных включений (кварца, полевого шпата). Степень замещения зерен другими минералами (биотитом, плагиоклазом, мусковитом) менее 10%. Гранат в обр. Б-20-435 (в, г), как и в подавляющем большинстве изученных пород, имеет слабую зональность, а содержание гроссулярового компонента не превышает 3–5%. Степень замещения подобных гипидиоморфных порфиробластов, как правило, 10–70%.

Таблица 2.
Составы минералов
| Компо-ненты | Б-20-417 | Б-20-417 | Б-20-417 | Б-20-427 | Б-20-427 | Б-20-427 | Б-20-435 | Б-20-435 | Б-20-435 | Б-20-448 | Б-20-448 | Б-20-448 |
| Авт | Авт | Авт | Ал | Ал | Ал | Ал | Ал | Ал | Ал | Ал | Ал | |
| Grt | Grt | Grt | Grt | Grt | Grt | Grt | Grt | Grt | Grt | Grt | Grt | |
| SiO2 | 36.96 | 36.84 | 36.83 | 37.42 | 37.60 | 37.62 | 37.01 | 37.21 | 37.45 | 37.47 | 38.03 | 37.68 |
| Al2O3 | 20.21 | 19.90 | 19.78 | 21.12 | 20.51 | 20.82 | 19.95 | 20.21 | 21.09 | 20.64 | 21.18 | 20.49 |
| FeO | 29.94 | 30.56 | 30.39 | 34.74 | 34.44 | 34.15 | 37.86 | 36.32 | 35.05 | 34.98 | 34.09 | 33.91 |
| MnO | 8.75 | 8.70 | 9.35 | 1.35 | 0.97 | 1.11 | 1.25 | 1.01 | 0.90 | 1.75 | 1.31 | 1.33 |
| MgO | 1.84 | 1.92 | 1.65 | 4.10 | 5.04 | 5.03 | 2.77 | 3.91 | 3.98 | 3.85 | 4.80 | 5.26 |
| CaO | 2.30 | 2.08 | 2.00 | 1.27 | 1.11 | 1.27 | 1.15 | 1.34 | 1.52 | 1.31 | 1.31 | 1.34 |
| Сумма | 100.00 | 100.00 | 100.00 | 100.00 | 99.67 | 100.00 | 99.99 | 100.00 | 99.99 | 100.00 | 100.72 | 100.01 |
| Si4+ | 3.00 | 3.00 | 3.00 | 2.99 | 3.01 | 2.99 | 3.00 | 2.99 | 3.00 | 3.01 | 3.01 | 3.00 |
| Al3+ | 1.94 | 1.91 | 1.90 | 1.99 | 1.93 | 1.95 | 1.91 | 1.91 | 1.99 | 1.95 | 1.97 | 1.92 |
| Fe3+ | 0.06 | 0.10 | 0.09 | 0.02 | 0.06 | 0.06 | 0.09 | 0.10 | 0.01 | 0.03 | 0.01 | 0.09 |
| Fe2+ | 1.98 | 1.98 | 1.98 | 2.30 | 2.24 | 2.21 | 2.48 | 2.34 | 2.33 | 2.32 | 2.24 | 2.17 |
| Mn2+ | 0.60 | 0.60 | 0.65 | 0.09 | 0.07 | 0.07 | 0.09 | 0.07 | 0.06 | 0.12 | 0.09 | 0.09 |
| Mg2+ | 0.22 | 0.23 | 0.20 | 0.49 | 0.60 | 0.60 | 0.34 | 0.47 | 0.47 | 0.46 | 0.57 | 0.62 |
| Ca2+ | 0.20 | 0.18 | 0.17 | 0.11 | 0.10 | 0.11 | 0.10 | 0.12 | 0.13 | 0.11 | 0.11 | 0.11 |
| Alm | 0.66 | 0.66 | 0.66 | 0.77 | 0.75 | 0.74 | 0.83 | 0.78 | 0.78 | 0.77 | 0.74 | 0.72 |
| Sps | 0.20 | 0.20 | 0.22 | 0.03 | 0.02 | 0.02 | 0.03 | 0.02 | 0.02 | 0.04 | 0.03 | 0.03 |
| Prp | 0.07 | 0.08 | 0.07 | 0.16 | 0.20 | 0.20 | 0.11 | 0.16 | 0.16 | 0.15 | 0.19 | 0.21 |
| Grs | 0.03 | 0.01 | 0.01 | 0.03 | 0.00 | 0.01 | 0.00 | 0.00 | 0.04 | 0.01 | 0.02 | 0.00 |
| XMg | 0.10 | 0.10 | 0.09 | 0.17 | 0.21 | 0.21 | 0.12 | 0.16 | 0.17 | 0.16 | 0.20 | 0.22 |
| Компо-ненты | Б-20-454 | Б-20-454 | Б-20-454 | Б-20-458 | Б-20-458 | Б-20-458 | Б-20-464 | Б-20-464 | Б-20-464 | Б-20-466 | Б-20-466 | Б-20-466 |
| Авт | Авт | Авт | Авт | Авт | Авт | Авт | Авт | Авт | Ал | Ал | Ал | |
| Grt | Grt | Grt | Grt | Grt | Grt | Grt | Grt | Grt | Grt | Grt | Grt | |
| SiO2 | 36.92 | 37.40 | 37.36 | 37.12 | 37.23 | 36.91 | 37.09 | 37.02 | 37.73 | 38.26 | 37.83 | 37.73 |
| Al2O3 | 20.01 | 20.49 | 20.70 | 20.31 | 20.92 | 20.71 | 20.39 | 20.03 | 20.89 | 21.31 | 21.33 | 20.87 |
| FeO | 35.41 | 35.19 | 34.65 | 36.26 | 36.59 | 35.76 | 36.50 | 36.83 | 34.36 | 30.41 | 31.92 | 31.40 |
| MnO | 3.94 | 2.01 | 2.47 | 1.15 | 1.31 | 1.34 | 2.29 | 2.07 | 0.80 | 1.31 | 1.50 | 1.49 |
| MgO | 2.60 | 3.82 | 3.47 | 3.44 | 3.12 | 3.19 | 2.49 | 2.76 | 4.88 | 6.00 | 4.71 | 5.61 |
| CaO | 1.12 | 1.09 | 1.52 | 1.21 | 0.83 | 1.17 | 1.24 | 1.29 | 1.35 | 2.72 | 2.71 | 2.53 |
| Сумма | 100.00 | 100.00 | 100.17 | 99.49 | 100.00 | 99.08 | 100.00 | 100.00 | 100.01 | 100.01 | 100.00 | 99.63 |
| Si4+ | 3.00 | 3.01 | 3.00 | 3.01 | 3.00 | 3.00 | 3.01 | 3.00 | 3.00 | 3.01 | 3.00 | 2.99 |
| Al3+ | 1.91 | 1.94 | 1.96 | 1.94 | 1.99 | 1.99 | 1.95 | 1.91 | 1.96 | 1.97 | 1.99 | 1.95 |
| Fe3+ | 0.09 | 0.05 | 0.04 | 0.05 | 0.00 | 0.01 | 0.03 | 0.08 | 0.03 | 0.01 | 0.00 | 0.07 |
| Fe2+ | 2.31 | 2.32 | 2.29 | 2.41 | 2.47 | 2.42 | 2.44 | 2.41 | 2.26 | 1.99 | 2.11 | 2.01 |
| Mn2+ | 0.27 | 0.14 | 0.17 | 0.08 | 0.09 | 0.09 | 0.16 | 0.14 | 0.05 | 0.09 | 0.10 | 0.10 |
| Mg2+ | 0.31 | 0.46 | 0.42 | 0.42 | 0.38 | 0.39 | 0.30 | 0.33 | 0.58 | 0.70 | 0.56 | 0.66 |
| Ca2+ | 0.10 | 0.09 | 0.13 | 0.10 | 0.07 | 0.10 | 0.11 | 0.11 | 0.12 | 0.23 | 0.23 | 0.21 |
| Alm | 0.77 | 0.77 | 0.76 | 0.80 | 0.82 | 0.81 | 0.81 | 0.80 | 0.75 | 0.66 | 0.70 | 0.68 |
| Sps | 0.09 | 0.05 | 0.06 | 0.03 | 0.03 | 0.03 | 0.05 | 0.05 | 0.02 | 0.03 | 0.03 | 0.03 |
| Prp | 0.10 | 0.15 | 0.14 | 0.14 | 0.13 | 0.13 | 0.10 | 0.11 | 0.19 | 0.23 | 0.19 | 0.22 |
| Grs | 0.00 | 0.00 | 0.02 | 0.00 | 0.02 | 0.03 | 0.01 | 0.00 | 0.02 | 0.06 | 0.07 | 0.05 |
| XMg | 0.12 | 0.16 | 0.15 | 0.14 | 0.13 | 0.14 | 0.11 | 0.12 | 0.20 | 0.26 | 0.21 | 0.24 |
| Компо-ненты | Б-20-417 | Б-20-417 | Б-20-417 | Б-20-427 | Б-20-427 | Б-20-427 | Б-20-435 | Б-20-435 | Б-20-435 | Б-20-448 | Б-20-448 | Б-20-448 |
| Авт | Авт | Авт | Ал | Ал | Ал | Ал | Ал | Ал | Ал | Ал | Ал | |
| Bt | Bt | Bt | Bt | Bt | Bt | Bt | Bt | Bt | Bt | Bt | Bt | |
| SiO2 | 37.20 | 34.95 | 35.23 | 37.07 | 36.41 | 36.22 | 37.18 | 35.45 | 34.25 | 35.06 | 35.66 | 35.90 |
| TiO2 | 0.42 | 2.04 | 0.53 | 3.02 | 3.20 | 3.02 | 0.84 | 1.51 | 1.73 | 0.10 | – | 0.23 |
| Al2O3 | 18.76 | 15.81 | 17.08 | 18.33 | 18.53 | 17.78 | 19.73 | 18.08 | 17.53 | 20.14 | 20.59 | 20.79 |
| FeO | 20.46 | 20.57 | 18.90 | 17.04 | 16.89 | 17.64 | 21.79 | 20.19 | 21.12 | 24.37 | 25.30 | 25.21 |
| MnO | 0.15 | – | 0.10 | 0.10 | 0.12 | – | 0.10 | 0.15 | – | 0.28 | 0.16 | 0.31 |
| MgO | 10.06 | 9.26 | 9.96 | 11.19 | 10.72 | 10.91 | 9.39 | 8.69 | 8.04 | 6.12 | 6.67 | 6.71 |
| CaO | – | – | – | – | – | – | – | – | – | – | – | – |
| Na2O | 0.10 | – | 0.33 | – | – | – | 0.35 | 0.24 | 0.54 | – | 0.34 | 0.24 |
| K2O | 9.76 | 9.40 | 9.91 | 10.56 | 9.85 | 9.91 | 10.25 | 9.36 | 9.98 | 9.87 | 10.02 | 10.58 |
| Cl | – | – | – | – | – | – | – | 0.24 | 0.23 | – | 0.13 | 0.20 |
| Сумма | 96.91 | 92.03 | 92.04 | 97.31 | 95.72 | 95.48 | 99.63 | 93.91 | 93.42 | 95.94 | 98.87 | 100.17 |
| Si4+ | 2.83 | 2.84 | 2.85 | 2.82 | 2.80 | 2.80 | 2.79 | 2.82 | 2.79 | 2.77 | 2.74 | 2.73 |
| Ti4+ | 0.02 | 0.12 | 0.03 | 0.17 | 0.19 | 0.18 | 0.05 | 0.09 | 0.11 | 0.01 | 0.00 | 0.01 |
| Al3+ | 1.68 | 1.51 | 1.63 | 1.64 | 1.68 | 1.62 | 1.74 | 1.70 | 1.68 | 1.88 | 1.86 | 1.87 |
| Fe3+ | 0.00 | 0.00 | 0.00 | 0.00 | 0.00 | 0.00 | 0.00 | 0.00 | 0.00 | 0.00 | 0.00 | 0.00 |
| Fe2+ | 1.30 | 1.40 | 1.28 | 1.08 | 1.09 | 1.14 | 1.37 | 1.35 | 1.44 | 1.61 | 1.62 | 1.61 |
| Mn2+ | 0.01 | 0.00 | 0.01 | 0.01 | 0.01 | 0.00 | 0.01 | 0.01 | 0.00 | 0.02 | 0.01 | 0.02 |
| Mg2+ | 1.14 | 1.12 | 1.20 | 1.27 | 1.23 | 1.26 | 1.05 | 1.03 | 0.98 | 0.72 | 0.76 | 0.76 |
| Ca2+ | 0.00 | 0.00 | 0.00 | 0.00 | 0.00 | 0.00 | 0.00 | 0.00 | 0.00 | 0.00 | 0.00 | 0.00 |
| Na+ | 0.01 | 0.00 | 0.05 | 0.00 | 0.00 | 0.00 | 0.05 | 0.04 | 0.09 | 0.00 | 0.05 | 0.04 |
| K+ | 0.95 | 0.97 | 1.02 | 1.03 | 0.97 | 0.98 | 0.98 | 0.95 | 1.04 | 0.99 | 0.98 | 1.03 |
| Cl– | 0.00 | 0.00 | 0.01 | 0.00 | 0.00 | 0.00 | 0.00 | 0.03 | 0.03 | 0.00 | 0.02 | 0.03 |
| AlM | 0.51 | 0.35 | 0.48 | 0.47 | 0.49 | 0.42 | 0.53 | 0.52 | 0.48 | 0.64 | 0.60 | 0.60 |
| AlT | 1.17 | 1.16 | 1.15 | 1.18 | 1.20 | 1.20 | 1.21 | 1.18 | 1.21 | 1.23 | 1.26 | 1.27 |
| XMg | 0.47 | 0.45 | 0.48 | 0.54 | 0.53 | 0.52 | 0.43 | 0.43 | 0.40 | 0.31 | 0.32 | 0.32 |
| Компо-ненты | Б-20-454 | Б-20-454 | Б-20-454 | Б-20-458 | Б-20-458 | Б-20-458 | Б-20-464 | Б-20-464 | Б-20-464 | Б-20-466 | Б-20-466 | Б-20-466 |
| Авт | Авт | Авт | Авт | Авт | Авт | Авт | Авт | Авт | Ал | Ал | Ал | |
| Bt | Bt | Bt | Bt | Bt | Bt | Bt | Bt | Bt | Bt | Bt | Bt | |
| SiO2 | 36.51 | 34.81 | 33.98 | 35.30 | 34.14 | 35.58 | 34.89 | 36.29 | 34.97 | 35.75 | 38.15 | 38.82 |
| TiO2 | 1.89 | 1.97 | 1.46 | 1.96 | 1.80 | 1.79 | 0.89 | 0.73 | 0.66 | 2.81 | 2.91 | 1.25 |
| Al2O3 | 20.25 | 18.48 | 18.84 | 19.83 | 18.80 | 19.94 | 19.06 | 20.20 | 19.57 | 16.37 | 17.16 | 17.93 |
| FeO | 19.49 | 18.81 | 19.06 | 19.32 | 19.32 | 20.22 | 18.94 | 19.33 | 18.99 | 15.90 | 17.36 | 15.96 |
| MnO | 0.22 | 0.10 | – | 0.10 | – | – | – | – | – | – | – | – |
| MgO | 9.43 | 8.25 | 8.72 | 9.59 | 9.00 | 9.82 | 8.95 | 9.39 | 9.93 | 12.14 | 12.94 | 13.63 |
| CaO | – | – | – | – | – | – | – | – | – | – | – | – |
| Na2O | 0.29 | 0.22 | 0.14 | 0.21 | 0.13 | 0.07 | 0.22 | 0.55 | 0.47 | 0.25 | – | 0.41 |
| K2O | 10.04 | 9.39 | 9.34 | 9.72 | 9.45 | 9.46 | 9.48 | 10.06 | 9.46 | 9.23 | 10.37 | 10.17 |
| Cl | 0.09 | – | 0.11 | 0.11 | – | – | – | – | – | – | – | – |
| Сумма | 98.21 | 92.03 | 91.65 | 96.14 | 92.64 | 96.88 | 92.43 | 96.55 | 94.05 | 92.45 | 98.89 | 98.17 |
| Si4+ | 2.77 | 2.83 | 2.76 | 2.73 | 2.74 | 2.71 | 2.80 | 2.80 | 2.74 | 2.83 | 2.83 | 2.87 |
| Ti4+ | 0.11 | 0.12 | 0.09 | 0.11 | 0.11 | 0.10 | 0.05 | 0.04 | 0.04 | 0.17 | 0.16 | 0.07 |
| Al3+ | 1.81 | 1.77 | 1.80 | 1.80 | 1.78 | 1.79 | 1.80 | 1.84 | 1.81 | 1.53 | 1.50 | 1.56 |
| Fe3+ | 0.00 | 0.00 | 0.00 | 0.00 | 0.00 | 0.00 | 0.00 | 0.00 | 0.00 | 0.00 | 0.00 | 0.00 |
| Fe2+ | 1.24 | 1.28 | 1.29 | 1.25 | 1.30 | 1.29 | 1.27 | 1.25 | 1.25 | 1.05 | 1.08 | 0.99 |
| Mn2+ | 0.01 | 0.01 | 0.00 | 0.01 | 0.00 | 0.00 | 0.00 | 0.00 | 0.00 | 0.00 | 0.00 | 0.00 |
| Mg2+ | 1.07 | 1.00 | 1.06 | 1.10 | 1.08 | 1.11 | 1.07 | 1.08 | 1.16 | 1.43 | 1.43 | 1.50 |
| Ca2+ | 0.00 | 0.00 | 0.00 | 0.00 | 0.00 | 0.00 | 0.00 | 0.00 | 0.00 | 0.00 | 0.00 | 0.00 |
| Na+ | 0.04 | 0.03 | 0.02 | 0.03 | 0.02 | 0.01 | 0.03 | 0.08 | 0.07 | 0.04 | 0.00 | 0.06 |
| K+ | 0.97 | 0.97 | 0.97 | 0.96 | 0.97 | 0.92 | 0.97 | 0.99 | 0.95 | 0.93 | 0.98 | 0.96 |
| Cl– | 0.01 | 0.00 | 0.02 | 0.01 | 0.00 | 0.00 | 0.00 | 0.00 | 0.00 | 0.01 | 0.00 | 0.00 |
| AlM | 0.58 | 0.60 | 0.56 | 0.53 | 0.52 | 0.50 | 0.60 | 0.63 | 0.55 | 0.35 | 0.33 | 0.44 |
| AlT | 1.23 | 1.17 | 1.24 | 1.27 | 1.26 | 1.29 | 1.20 | 1.20 | 1.26 | 1.17 | 1.17 | 1.13 |
| XMg | 0.46 | 0.44 | 0.45 | 0.47 | 0.45 | 0.46 | 0.46 | 0.46 | 0.48 | 0.58 | 0.57 | 0.60 |
| Компо-ненты | Б-20-417 | Б-20-417 | Б-20-417 | Б-20-427 | Б-20-427 | Б-20-427 | Б-20-435 | Б-20-435 | Б-20-435 | Б-20-448 | Б-20-448 | Б-20-448 |
| Авт | Авт | Авт | Ал | Ал | Ал | Ал | Ал | Ал | Ал | Ал | Ал | |
| Pl | Pl | Pl | Pl | Pl | Pl | Pl | Pl | Pl | Pl | Pl | Pl | |
| SiO2 | 58.75 | 53.89 | 60.45 | 60.97 | 62.13 | 62.06 | 60.25 | 60.56 | 59.55 | 62.78 | 62.83 | 61.52 |
| Al2O3 | 25.74 | 28.80 | 24.92 | 24.52 | 24.07 | 23.74 | 25.10 | 24.90 | 25.29 | 23.72 | 22.99 | 23.28 |
| CaO | 8.77 | 12.61 | 7.04 | 6.52 | 5.23 | 5.56 | 7.02 | 6.93 | 7.16 | 5.35 | 5.16 | 5.52 |
| Na2O | 6.70 | 4.70 | 7.49 | 7.66 | 8.30 | 8.33 | 7.41 | 7.61 | 7.84 | 8.56 | 8.38 | 7.82 |
| K2O | – | – | 0.11 | 0.33 | 0.27 | 0.28 | 0.22 | – | 0.16 | 0.16 | 0.13 | 0.25 |
| Сумма | 99.96 | 100.00 | 100.01 | 100.00 | 100.00 | 99.97 | 100.00 | 100.00 | 100.00 | 100.61 | 99.52 | 98.39 |
| Si4+ | 2.63 | 2.44 | 2.70 | 2.72 | 2.76 | 2.76 | 2.69 | 2.70 | 2.65 | 2.77 | 2.81 | 2.79 |
| Al3+ | 1.36 | 1.54 | 1.31 | 1.29 | 1.26 | 1.24 | 1.32 | 1.31 | 1.33 | 1.23 | 1.21 | 1.24 |
| Ca2+ | 0.42 | 0.61 | 0.34 | 0.31 | 0.25 | 0.26 | 0.34 | 0.33 | 0.34 | 0.25 | 0.25 | 0.27 |
| Na+ | 0.58 | 0.41 | 0.65 | 0.66 | 0.71 | 0.72 | 0.64 | 0.66 | 0.68 | 0.73 | 0.73 | 0.69 |
| K+ | 0.00 | 0.00 | 0.01 | 0.02 | 0.02 | 0.02 | 0.01 | 0.00 | 0.01 | 0.01 | 0.01 | 0.01 |
| An | 0.42 | 0.60 | 0.34 | 0.31 | 0.25 | 0.27 | 0.34 | 0.33 | 0.33 | 0.25 | 0.25 | 0.28 |
| Ab | 0.58 | 0.40 | 0.65 | 0.67 | 0.73 | 0.72 | 0.65 | 0.67 | 0.66 | 0.74 | 0.74 | 0.71 |
| Or | 0.00 | 0.00 | 0.01 | 0.02 | 0.02 | 0.02 | 0.01 | 0.00 | 0.01 | 0.01 | 0.01 | 0.01 |
| Компо-ненты | Б-20-454 | Б-20-454 | Б-20-454 | Б-20-458 | Б-20-458 | Б-20-458 | Б-20-464 | Б-20-464 | Б-20-464 | Б-20-466 | Б-20-466 | Б-20-466 |
| Авт | Авт | Авт | Авт | Авт | Авт | Авт | Авт | Авт | Ал | Ал | Ал | |
| Pl | Pl | Pl | Pl | Pl | Pl | Pl | Pl | Pl | Pl | Pl | Pl | |
| SiO2 | 59.63 | 61.41 | 59.73 | 60.61 | 61.52 | 60.96 | 57.69 | 59.12 | 60.11 | 58.14 | 58.70 | 58.66 |
| Al2O3 | 24.15 | 24.32 | 24.40 | 24.84 | 24.29 | 24.91 | 26.64 | 25.53 | 25.04 | 26.46 | 25.71 | 25.84 |
| CaO | 6.18 | 6.01 | 6.44 | 6.48 | 5.68 | 5.90 | 8.80 | 8.29 | 7.47 | 8.66 | 8.51 | 8.44 |
| Na2O | 8.04 | 8.10 | 7.68 | 8.08 | 8.47 | 8.04 | 6.87 | 7.38 | 7.37 | 6.64 | 6.89 | 7.00 |
| K2O | 0.10 | 0.16 | 0.10 | – | – | 0.18 | – | – | – | 0.10 | 0.19 | – |
| Сумма | 98.07 | 100.00 | 98.33 | 100.01 | 99.96 | 99.99 | 100.00 | 100.32 | 99.99 | 99.99 | 100.00 | 99.94 |
| Si4+ | 2.70 | 2.73 | 2.71 | 2.69 | 2.73 | 2.71 | 2.58 | 2.63 | 2.69 | 2.61 | 2.63 | 2.62 |
| Al3+ | 1.29 | 1.27 | 1.30 | 1.30 | 1.27 | 1.31 | 1.40 | 1.34 | 1.32 | 1.40 | 1.36 | 1.36 |
| Ca2+ | 0.30 | 0.29 | 0.31 | 0.31 | 0.27 | 0.28 | 0.42 | 0.40 | 0.36 | 0.42 | 0.41 | 0.40 |
| Na+ | 0.71 | 0.70 | 0.67 | 0.70 | 0.73 | 0.69 | 0.60 | 0.64 | 0.64 | 0.58 | 0.60 | 0.61 |
| K+ | 0.00 | 0.01 | 0.00 | 0.00 | 0.00 | 0.01 | 0.00 | 0.00 | 0.00 | 0.01 | 0.01 | 0.00 |
| An | 0.30 | 0.29 | 0.32 | 0.31 | 0.27 | 0.29 | 0.41 | 0.38 | 0.36 | 0.42 | 0.40 | 0.40 |
| Ab | 0.70 | 0.70 | 0.68 | 0.69 | 0.73 | 0.70 | 0.59 | 0.62 | 0.64 | 0.58 | 0.59 | 0.60 |
| Or | 0.00 | 0.01 | 0.00 | 0.00 | 0.00 | 0.01 | 0.00 | 0.00 | 0.00 | 0.01 | 0.01 | 0.00 |
| Компо-ненты | Б-20-435 | Б-20-435 | Б-20-435 | Б-20-448 | Б-20-448 | Б-20-448 | Б-20-454 | Б-20-454 | Б-20-458 | |||
| Ал | Ал | Ал | Ал | Ал | Ал | Авт | Авт | Авт | ||||
| Ms | Ms | Ms | Ms | Ms | Ms | Ms | Ms | Ms | ||||
| SiO2 | 46.82 | 42.45 | 45.64 | 43.61 | 47.79 | 48.94 | 45.24 | 42.91 | 46.74 | |||
| TiO2 | 0.63 | 0.38 | 0.28 | – | 0.16 | – | 0.18 | – | 0.20 | |||
| Al2O3 | 35.68 | 32.75 | 34.50 | 32.55 | 34.74 | 35.00 | 35.47 | 35.65 | 30.57 | |||
| FeO | 1.10 | 1.78 | 1.18 | 1.63 | 1.63 | 2.34 | 1.02 | 1.52 | 4.87 | |||
| MnO | – | – | 0.13 | 0.10 | – | – | – | – | – | |||
| MgO | 0.34 | 0.90 | 0.27 | 0.68 | 0.33 | 0.91 | 0.41 | 0.85 | 3.27 | |||
| Na2O | 0.87 | 0.61 | 0.76 | 0.63 | 0.50 | 0.43 | 0.78 | 1.04 | 0.35 | |||
| K2O | 10.68 | 10.26 | 10.57 | 10.80 | 11.08 | 11.74 | 10.01 | 9.87 | 8.37 | |||
| BaO | – | 1.52 | – | – | – | – | – | 1.01 | – | |||
| Сумма | 96.12 | 90.65 | 93.33 | 90.00 | 96.23 | 99.36 | 93.11 | 92.85 | 94.37 | |||
| Si4+ | 3.09 | 3.00 | 3.11 | 3.10 | 3.16 | 3.14 | 3.06 | 2.93 | 3.05 | |||
| Ti4+ | 0.03 | 0.02 | 0.01 | 0.00 | 0.01 | 0.00 | 0.01 | 0.00 | 0.01 | |||
| Al3+ | 2.78 | 2.73 | 2.77 | 2.73 | 2.71 | 2.65 | 2.83 | 2.87 | 2.35 | |||
| Fe3+ | 0.00 | 0.11 | 0.00 | 0.01 | 0.00 | 0.06 | 0.06 | 0.09 | 0.27 | |||
| Fe2+ | 0.06 | 0.00 | 0.07 | 0.09 | 0.09 | 0.07 | 0.00 | 0.00 | 0.00 | |||
| Mn2+ | 0.00 | 0.00 | 0.01 | 0.01 | 0.00 | 0.00 | 0.00 | 0.00 | 0.00 | |||
| Mg2+ | 0.03 | 0.09 | 0.03 | 0.07 | 0.03 | 0.09 | 0.04 | 0.09 | 0.32 | |||
| Na+ | 0.11 | 0.08 | 0.10 | 0.09 | 0.06 | 0.05 | 0.10 | 0.14 | 0.04 | |||
| K+ | 0.90 | 0.93 | 0.92 | 0.98 | 0.93 | 0.96 | 0.86 | 0.86 | 0.70 | |||
| Ba2+ | 0.00 | 0.04 | 0.00 | 0.00 | 0.00 | 0.00 | 0.00 | 0.03 | 0.00 | |||
| SiT2 | 1.09 | 1.00 | 1.11 | 1.10 | 1.16 | 1.14 | 1.06 | 0.93 | 1.05 | |||
| AlT2 | 0.91 | 1.00 | 0.89 | 0.90 | 0.84 | 0.86 | 0.94 | 1.07 | 0.95 | |||
| XNa | 0.11 | 0.08 | 0.10 | 0.08 | 0.06 | 0.05 | 0.11 | 0.14 | 0.06 |
Гранат весьма характерен для метаморфических пород Мейерской надвиговой зоны. В изученных образцах зерна этого минерала имеют разную степень сохранности. Чаще всего в шлифах представлены гипидиоморфные порфиробласты граната с частично сохранившимися очертаниями кристаллографических форм и 10–30% замещением преимущественно зеленым биотитом; также встречаются ксеноморфные зерна с замещением выше 30% преимущественно бурым биотитом. В вышеприведенных случаях зерна граната азональны или имеют слабую регрессивную зональность. Гораздо реже удается обнаружить идиоморфные порфиробласты граната с сохранившейся регрессивной зональностью. Характерной особенностью таких зерен является существенно гроссуляровое ядро: до 10–12%, против 0–8% в подавляющем большинстве образцов (рис. 4а, 4б, 5). Еще одной особенностью идиобластов граната является значительное количество включений кварца и плагиоклаза, создающих пойкилобластовую структуру.
Таким образом, гранат в изученных породах пироп-альмандиновый с небольшой примесью гроссулярового минала (рис. 4а, 4б, 5). Для образцов из аллохтона содержание пиропа изменяется в пределах от 6 до 25%, что незначительно превышает содержание данного компонента в образцах, отобранных в автохтонном блоке, – 6.5–20%. Исключение составляют породы автохтона, расположенные в непосредственной близости от сместителя Мейерской надвиговой зоны: содержание пиропа в таких образцах увеличивается до 23–25%.
Следует отметить, что с уменьшением пиропового минала, происходит увеличение спессартинового. Особенно хорошо эта закономерность проявлена в гранате автохтонного блока (до 30% спессартина); для аллохтона содержание спессартина не превышает 20%.
При разделении составов22 граната по трем группам пород получаются следующие диапазоны (рис. 4а, 4б):
1) гранат-биотитовые гнейсы – Аlm64–90, Sps1–26, Grs0–12, Prp6.6–25;
2) биотит-мусковитовые гнейсы – Alm73.5–93.5, Sps1–30, Grs0–7.5, Prp6–25;
3) высокоглиноземистые гнейсы – Alm78–90, Sps1.5–6, Grs0–4, Prp9–20.
Биотиты выделенных групп пород имеют некоторые особенности (рис. 4б, 4в). Наиболее титанистые и наиболее магнезиальные биотиты в большей степени характерны для гранат-биотитовых парагенезисов аллохтонного блока: при значениях магнезиальности XMg ~ 0.50–0.65 содержание титана в октаэдрической позиции TiM ~ 0.12–0.23 мас. %. Согласно петрографическим наблюдениям, такой биотит является ранним и встречается в матриксе породы.
Для большинства образцов гранат-двуслюдяных парагенезисов автохтонного блока, и в меньшей мере аллохтонного, магнезиальность биотита XMg не превышает 0.5, а содержание титана TiM в минерале варьирует от 0 до 0.2 мас. %. Для биотита данной группы гнейсов характерны наименее титанистые и наиболее железистые разности, что указывает на их более позднее происхождение.
В биотитах из высокоглиноземистых гнейсов титан TiM достигает 0.1–0.13 мас. % при значениях магнезиальности XMg ~ 0.45–0.49 и в единичных случаях выходит за пределы приведенных диапазонов.
Составы плагиоклазов изменяются от 23 до 60 анортита, причем в породах автохтонного блока чаще встречаются наиболее кислые разности (рис. 4е). Между диапазоном изменения номера плагиоклаза и минеральным составом пород существует зависимость (рис. 4д, 4е). Для гранат-биотитовых гнейсов характерны плагиоклазы состава 24–60 анортита. В гранат-двуслюдяных гнейсах в большинстве образцов содержание анортитовой молекулы составляет 23–40, однако может повышаться до 56. Плагиоклазы в высокоглиноземистых гнейсах включают от 25 до 32 анортита. Примесь ортоклазового минала незначительна – до 3–4%. Плагиоклазы распространены в матриксе породы и в качестве включений в гранате.
Мусковит встречается в основном в гранат-двуслюдяных гнейсах, гораздо реже в высокоглиноземистых. Замещение К+ на Na+ в слюде незначительно (0.1–0.2 мас. %) и в основном характерно для пород автохтона. Сравнение содержания кремния и алюминия в тетраэдрической позиции позволило установить, что в мусковите из пород автохтонного блока при содержании K+ ~ 0.70–0.87 мас. % AlT2 составляет ~ 0.93–1.07 мас. %, что соответствует диапазону изменения SiT2 (рис. 4ж). Иная зависимость устанавливается в мусковите из аллохтонного блока: при большем содержании калия K+ ~ 0.84–1.0 мас. % AlT2 уменьшается до 0.84–0.99 мас. %, а содержание SiT2 увеличивается до 1.0–1.16 мас. % (рис. 4ж, 4з).
Калиевый полевой шпат обнаружен в большинстве исследуемых образцов, однако представлен в них в разных количествах. Нередко этот минерал формирует небольшие участки калишпатизации по более раннему плагиоклазу. Реже наблюдаются крупные зерна микроклина; на границе с плагиоклазами в таких шлифах можно обнаружить мирмекиты.
Кордиерит – минерал исключительно высокоглиноземистых гнейсов. Магнезиальность его составляет XMg ~ 0.57–0.71. Минерал образует скопление немногочисленных зерен в матриксе породы. Часто формирует ассоциацию с силлиманитом или поздним андалузитом.
Хлорит является распространенным вторичным минералом, развивающимся по биотиту. В некоторых образцах содержание его достигает 10 об. %.
В качестве акцессорного минерала присутствует циркон, вокруг которого в зернах слюд возникают характерные плеохроичные дворики. А титансодержащие фазы – ильменит и рутил – наблюдаются как в матриксе породы, так и в виде включений в плагиоклазе, кварце, гранате.
РЕЗУЛЬТАТЫ ТЕРМОБАРОМЕТРИИ
Р-Т оценки, полученные по взаимному пересечению линий трех или более независимых реакций в одной точке Р-Т пространства (что является одним из критериев достижения химического равновесия между минералами), позволили выявить ряд особенностей метаморфизма гнейсов в Мейерской надвиговой зоне (рис. 6, табл. 3).
Рис. 6.
Р-Т диаграммы для пород Мейерской надвиговой зоны. Показаны рассчитанные линии в winTWQ минеральных реакций, приведенных в Supplementary, ESM_1.pdf.

Таблица 3.
Результаты геотермобарометрии и оценки активности воды в метаморфическом флюиде для пород Мейерской надвиговой зоны
| Номер образца | Блок | P*, кбар |
T*, °C | a*H2O | P**, кбар |
T**, oC |
a**H2O | P***, кбар |
T***, oC |
a***H2O |
|---|---|---|---|---|---|---|---|---|---|---|
| Б-20-466 | Ал | 9.3–7.8 | 744–717 | 0.40–0.32 | 5.7 | 659 | 0.23 | |||
| 5267а | Авт | 9.1 | 650 | 0.30 | 3.4–2.6 | 480–461 | ~0.1 | |||
| 5445 | Ал | 8.4–7.24 | 667–656 | 0.30–0.24 | 5.1 | 647 | 0.18 | |||
| 5442а | Авт | 6.9 | 645 | 0.33 | 4.9–4.4 | 590–564 | 0.24–0.20 | 2.03 | 494 | 0.16 |
| Б-20-436 | Ал | 6.6–5.5 | 746–703 | 0.34–0.27 | 3.5–2.4 | 625–589 | 0.2–0.14 | |||
| Б-20-464 | Авт | 6.6 | 704 | ~ 0.43 | 3.4–3.0 | ~560 | ~0.24 | |||
| Б-20-455-2 | Авт | 6.4–4.9 | 660–648 | 0.32–0.27 | 4.4–3.1 | 618–590 | 0.24–0.23 | |||
| Б-20-427 | Ал | 5.9–3.4 | 665–660 | 0.25–0.22 | ||||||
| Б-20-435 | Ал | 5.2–3.0 | 670–620 | 0.37–0.27 | ||||||
| Б-20-454 | Авт | 5.2–3.1 | 656–638 | 0.42–0.31 | 4.7 | 610 | 0.37 | |||
| 4098b | Авт | 5.1–4.0 | 609–573 | 0.20–0.19 | ||||||
| 994-1 | Авт | 4.7–3.7 | 640–636 | 0.33–0.31 | ||||||
| Б-20-439 | Ал | 4.5–3.5 | 667–577 | 0.28–0.26 | ||||||
| Б-20-461 | Авт | 4.0–3.1 | 603–579 | 0.30–0.26 | ||||||
| Б-20-458 | Авт | 4.5–4.2 | 593–578 | 0.23–0.22 | 3.9–3.6 | ~570 | ~0.23 | |||
| Б-20-450-1 | Ал | 3.6–3.2 | 680 | 0.28–0.27 | 1.8–1.6 | 632–584 | 0.24–0.21 | |||
| 2465v | Ал | 3.9–2.8 | 611–581 | 0.28–0.25 | ||||||
| Б-20-417 | Авт | 3.4–3.0 | ~680 | ~ 0.29 | ||||||
| Б-20-425 | Авт | 3.5–2.8 | 549–542 | 0.26–0.20 | ||||||
| Б-20-427-1 | Ал | 2.7–2.4 | 616–587 | 0.30–0.27 | ||||||
| Б-20-448 | Ал | 2.6–2.5 | ~550 | ~0.4 | ||||||
| 996-1 | Авт | 2.3 | 555 | ~0.28 | ||||||
| 5785 | Ал | 2.3–1.7 | 488–475 | 0.10–0.09 |
По минеральным парагенезисам, включающим наиболее богатые кальцием ядра зерен граната из гнейсов, выявляются самые высокие значения давления, доходящие до ~9 кбар. Такие значения давления найдены как для гнейсов из аллохтонного блока, так и автохтонного (табл. 3). Различие их состоит в том, что в аллохтонном блоке температуры метаморфизма гнейсов при таком давлении составляют 750–700°С, в то время как для автохтонного блока пиковые значения давления фиксируются при температуре около 650°С. Необходимо отметить, что выявленные нами максимальные значения температуры метаморфизма гнейсов автохтонного блока лишь незначительно превышают 700°С.
Со снижением давления происходит одновременное понижение температуры. Отдельные стадии регрессивной ветви эволюции метаморфизма фиксируются в ряде составов минералов из гранат-биотитовых и гранат-двуслюдяных гнейсов. До достижения температуры ~650°С для некоторых минеральных парагенезисов гнейсов двух блоков отмечаются повышенные значения давления, превышающие таковые, характерные для регионально-метаморфизованных пород Северного Приладожья 5–6 кбар (Шульдинер и др., 1997).
Дальнейшее снижение давления минералообразования заметно проявлено при появлении наложенных мусковитовых парагенезисов как в аллохтоном, так и автохтонном блоках. В большинстве случаев мусковитовые парагенезисы образуются в диапазоне давлений 2–4 кбар и при температурах 500–600°С. Ранее нами (Балтыбаев, Вивдич, 2021) эта стадия также выделялась на основе использования минеральных геотермобарометров и характеризовалась как поздняя стадия развития Мейерской зоны.
С появлением мусковита в гнейсах отмечается нарушение равновесного состояния минералов: для подавляющего большинства минеральных парагенезисов как с мусковитом, так и для более ранних “домусковитовых” парагенезисов не удается получить удовлетворительных Р-Т параметров с использованием мультиравновесных реакций.
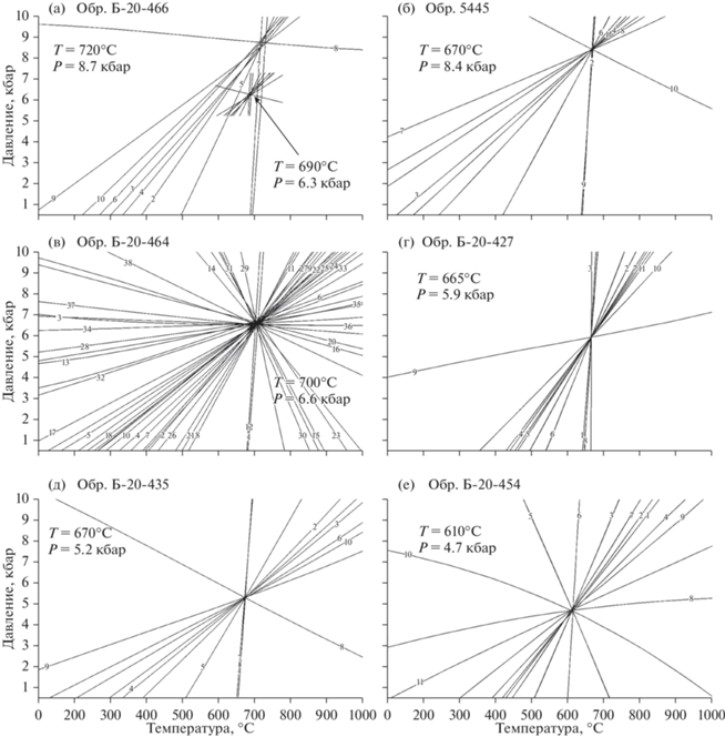
ОЦЕНКА АКТИВНОСТИ ВОДЫ
В изученных гнейсах произведена оценка активности воды с использованием программы winTWQ (Berman, 1991) по реакциям, в которых участвует калиевый полевой шпат с различными слюдами.
Для протестированных калишпатсодержащих минеральных парагенезисов с одной или двумя слюдами выявлен диапазон изменения активности Н2О в большинстве случаев в пределах ~0.2–0.4 (рис. 7, табл. 3).
Рис. 7.
Т–аН2О диаграммы для гнейсов и сланцев Мейерской надвиговой зоны. Показаны и пронумерованы рассчитанные линии минеральных реакций (Supplementary, ESM_1.pdf) для образцов: (а) – Б-20-466, (б) – 5445, (в) – Б-20-464, (г) – Б-20-427, (д) – Б-20-435, (е) – Б-20-454.

Наиболее высокие значения активности воды (около 0.4) выявлены при минералообразовании гнейсов как аллохтонного, так и автохтонного блока. Отмечается небольшое снижение аН2О с понижением давления минералообразования для одинаковых минеральных парагенезисов (рис. 7).
Латеральное распределение аН2О показано на рис. 8. Можно видеть, что строгой закономерности в изменении этого параметра по площади надвиговой зоны не наблюдается, за исключением того, что в гнейсах с гранат-биотитовым парагенезисом аллохтонного блока активность воды несколько ниже, чем в аналогичных породах автохтонного блока. Также выявляется, что активность воды в гранат-двуслюдяных парагенезисах в гнейсах систематически выше по сравнению с гранат-биотитовыми парагенезисами. Влияние внешних параметров и состава среды минералообразования на активность воды во флюиде смешанного состава обсуждается ниже.
Рис. 8.
Схема распределения Р-Т параметров и значений активности воды (аН2О) в метаморфическом флюиде для пород Мейерской надвиговой зоны. Зеленым цветом выделены данные, полученные по мусковитсодержащим парагенезисам (GBMP), черным – по гранат-биотитовым (GBPQ). Точки с номерами соответствуют местоположению и номерам образцов, приведенных в табл. 3.

ОБСУЖДЕНИЕ РЕЗУЛЬТАТОВ
Анализ результатов исследования Р-Т-метрии гнейсов Мейерской надвиговой зоны Северного Приладожья показал компрессионные и декомпрессионные эффекты при надвигании аллохтонного блока свекофеннид на автохтонный блок окраины Карельского кратона. Наиболее высокие значения давления, достигающие 8–9 кбар, получены по более гроссуляровым гранатам в парагенезисе с плагиоклазом среднего состава. Такие зерна граната отличаются от других не только повышенной известковистостью, но и тем, что они имеют лучшую морфологическую сохранность (рис. 2ж, 2з, рис. 5). Вероятно, это можно объяснить тем, что кристаллизация богатого кальцием граната связана с этапом формирования надвига, т.е. это новообразованные, а не перекристаллизованные гранаты в гнейсах. Отметим, что подобные относительно высокогроссуляровые (до 25% Grs в метабазитах и до 10–12% Grs в метапелитах) гранаты встречаются исключительно в породах, находящихся в непосредственной близости к сместителю надвига.
Ранее для метаморфических пород Северного домена Приладожья приводились сведения о существенно высоких, превышающих “фоновые”, значениях давления, достигающих до 7 и более кбар (Гульбин, 2014), порядка 8 кбар (Азимов, Ризванова, 2021) и даже до 12 кбар в стресс-зонах как Северного, так и Южного доменов (Кулаковский и др., 2015). При этом пока нет единого мнения о месте этих сравнительно высокобарных событий в эволюционной истории метаморфического комплекса Приладожья (Азимов, Ризванова, 2021).
В Мейерской надвиговой зоне после начальной компрессионной стадии формирования надвига и последующем воздымании толщ и эрозии происходит сопряженное снижение давления и температуры. Р-Т эволюция пород (рис. 9) идет по регрессивному тренду до достижения минимальных значений Т = 500–550°С и Р = 1.6–3 кбар.
Рис. 9.
Схематизированный Р-Т тренд развития пород в Мейерской надвиговой зоне. Цветными пунктирными линиями со стрелками показано изменение параметров метаморфизма на ранней стадии развития надвига для аллохтонного (а) и автохтонного (б) блоков. Регрессивный тренд сопряженного снижения Р и Т для изученных пород показан широкой серой стрелкой. Розовые кружки показывают Р-Т параметры ранней стадии метаморфизма для отдельных образцов, зеленые – Р-Т оценки для образцов, в которых также выявлены наложенные минеральные парагенезисы (табл. 3). Штриховкой показано Р-Т поле, характерное для пород вблизи надвига (Балтыбаев и др., 2004, 2009). Положения реакций рассчитаны по программам TWQ (Berman, 1991; Berman, Aranovich, 1996) и THERMOCALC (Powel, Holland, 1998) и по С.П. Кориковскому, А. Томсону (Кориковский, 1979; Thomson, 1982, 2001). Тройная точка Al2SiO5 по М. Холдевею (Holdaway, 1971). Граница появления первых мигматитов в метаморфическом комплексе Северного Приладожья приведена для гнейсов пелитового состава (Балтыбаев и др., 2000, 2009).

Таким образом, наибольшие значения давления минералообразования можно связать с надвиганием аллохтонного блока свекофеннид на автохтонный блок окраины Карельского кратона. На этой стадии развития надвига в пара- и ортогнейсах подходящего состава образуются гранаты c повышенным содержанием гроссуляра при давлениях в 8–9 кбар, что возможно за счет локального повышения давление из-за дополнительной к литостатическому давлению компрессии пород при надвигании тектонических пластин друг на друга.
При последующей эволюции пород сказывается повышенная проницаемость изучаемой тектонической зоны, способствующая миграции флюидов. Следствием этого является обильное развитие наложенной минерализации и развитие парагенезисов водосодержащих минералов (рис. 3).
Механически ослабленные зоны тектонической переработки благоприятны для проникновения глубинных флюидов, развития структурно-текстурных изменений и вторичной минерализации тектонизированных пород. Действие флюидов протекает по наиболее тектонически активным местам, где развиваются разломы и происходит большинство реакций дегазации (Irwin, Barnes, 1980; Miller, 2013). Циркуляция флюидов в зонах разломов и сдвиговых деформаций влияет на распределение температуры и давления, а также на состав вмещающих пород, что, в свою очередь, контролирует механизмы деформации пород и их реологические свойства. Именно благодаря действию флюида происходит развитие катаклаза, изменение пластичности кристаллов, перенос вещества растворами и запуск химических реакций (Goddard, 1995). На протяжении тектонического цикла флюиды потребляются посредством метасоматоза и вновь возникают в реакциях метаморфической дегазации летучих веществ, перемещаясь в виде свободных флюидов через трещиноватые и пористые системы или через сопряженную пластичную деформацию (Miller, 2013).
С зонами разломов часто связано формирование кварцевых жил и даже гигантских кварцевых “рифов” в результате снижения растворимости SiO2, вызывающего осаждение кварца во время восходящей миграции флюидов через трещины, например как в зоне разлома Хэюань в Южном Китае (Tannocka et al., 2020). Также существует множество различных примеров локальных преобразований метаморфических пород под действием флюидов с возникновением вторичной минерализации. Например, в южной оконечности Восточного пояса Гата (Индия) разрезы метапелитовых, метабазитовых и кварц-полевошпатовых пород, прорванных эндербитовыми гнейсами, и метаморфизованных при ~750–800°C и 6 кбар, подвергались многократной пластической деформации сдвига, гидратации, охлаждению и сопутствующему щелочному метасоматозу вдоль узких зон сдвига (Dasgupta, 1999). В результате в породах метапелитового состава развились жедритсодержащие ассоциации. В узких зонах сдвига жедритовые парагенезисы были стабилизированы благодаря действию Na+ и H2O флюидных потоков, при этом остатки безводных минеральных парагенезисов присутствовали в метапелитах, залегающих вне зон сдвига. Эти наблюдения показывают, что поток флюида был в значительной степени ограничен зонами сдвига, а петрографические и минералогические данные указывают на то, что и H2O, и Na2O были подвижными компонентами в этих зонах (Dasgupta, 1999).
Другим примером флюидного воздействия с формированием графитсодержащих пегматоидных жил служит супракрустальный пояс на юге Кералы в Индии (Chacko et al., 1987), состоящий преимущественно из Grt- и Bt-содержащих метаосадочных гнейсов, Grt-Sil-Crd-Sp и Bt-содержащих гранулитов, а также чарнокитов (Santosh, Wada, 1993; Radhika, Santosh, 1996). Данные породы подверглись гранулитовому метаморфизму 470–550 млн лет назад (Chacko et al., 1987), а графитсодержащие жилы сформировались в тектонически-ослабленных зонах в результате притока богатых CO2 флюидов в условиях низкой летучести кислорода. Там, где пути прохождения флюида пересекались с непроницаемыми породами, на литологическом контакте происходило его скопление с последующим обильным осаждением графита (Radhika, Santosh, 1996).
Основным источником метаморфического флюида являются летучие вещества, структурно связанные в составе минералов и флюидных включений в метаосадках и магматических породах (Newton, 1989).
Иногда описываются минеральные изменения в тектонически ослабленных зонах без очевидного воздействия флюида. Так, например, в палеопротерозойской зоне сдвига Чжуцзяфан центрального комплекса Хэншань Северо-Китайского кратона породы представлены супракрустальными толщами, включая Grt-содержащие пелитовые гнейсы, слюдистые сланцы, амфиболиты, кварциты, в том числе железистые (Qiana et al., 2019). Здесь область высоких деформаций характеризуется сильными пластическими изменениями, где повсеместно развились милонитовые породы амфиболитовой фации (Trap et al., 2007; Zhang et al., 2007). Структурный анализ показывает, что милонит амфиболитовой фации явно накладывается на минеральные ассоциации более ранних стадий.
В работе А. Годдарда с соавторами (Goddar et al., 1995) была оценена степень воздействия флюида на состав метаморфического протолита в пределах надвиговой зоны. Описанный надвиг Уайт Рок в Северо-Западном Вайоминге (США) представляет собой зону разломов мощностью 50–70 м, развитую между архейскими гранодиоритовыми гнейсами и миссисипскими известняками. Образовавшийся на глубине 10–12 км надвиг Уайт Рок включает зоны из недеформированного и неизмененного протолита, который ограничивает зоны с повышенной трещиноватостью, многочисленными разломами и химическими преобразованиями минералов. “Ядро” разлома представляет зону сильного рассланцевания, сложенную катаклазитами и милонитами. Породы в зоне небольших дислокаций испытали обеднение до 30% компонентами Si, Al, K, Na и Ca по сравнению с неподвижным Ti. Обеднение до 65% указанными компонентами отмечается в катаклазитах и милонитах в наиболее сильно тектонически переработанной зоне. Авторы (Goddar et al., 1995) считают, что растворимые элементы были удалены из зон разломов синтектоническим потоком флюида, в результате которого объемные потери в ядерной части разлома доходят до 50–65%.
Зоны сдвига в кристаллических породах среднекоровых глубин обычно имеют признаки синтектонической пропитки большими объемами флюида (Sinha et al., 1986; O’Hara, 1988, 1990, 1994; Losh, 1989; Glazner, Bartley, 1991). В цитируемых работах показано, что деформация пород и инфильтрация флюида не только происходили одновременно, но и что механические, химические, термические и гидрологические процессы были сложным образом связаны (например, Tobisch et al., 1991). В частности, химические реакции, которые приводят к пластическим деформациям и потере объема породы, являются обычным явлением в зонах сдвига. Более того, геохимические и микроструктурные данные также свидетельствуют о том, что в зонах сдвига, например зеленых сланцев, амфиболитов, гранитоидных комплексов, большие объемные потери являются результатом обширной инфильтрации флюидов (O’Hara, 1988, 1990; Glazner, Bartley, 1991). Во время флюидной пропитки полевые шпаты обычно заменяются филлосиликатами, например, по реакции:
Подобные реакции могут объяснить как разупрочнение породы, так и потерю ее объема в зонах пластичного сдвига (O’Hara, 1994).
Появление большого количества водосодержащих слюд в метаморфических породах Северного Приладожья можно описать регрессивными реакциями типа:
В метабазитах возможны реакции с образованием амфибола:
Ранее проведенное нами изучение флюидных включений в метаморфических и метаинтрузивных породах Северного Приладожья, включая породы надвиговой зоны, показало, что широким распространением пользуются водные и углекислотные включения (Балтыбаев и др., 2000). Форма нахождения их в минералах самая разнообразная: единичные включения, кластерные, планарные; последние как в пределах зерна, так и секущие межзерновые границы. Размеры большинства включений составляют 5–15 мкм, редко достигают 25 мкм.
По данным микротермометрии с оценками температуры гомогенизации и плавления включений, составы флюидных включений диагностированы как H2O, Н2О-соль (NaCl, KCl), СО2, СН4-N2-СО2, Н2О-СО2, СН4-N2 (табл. 4). Содержание соли, судя по температуре замерзания существенно водных включений во флюиде, определяется в разных типах включений от 0 до 15 мас. % в NaCl эквиваленте.
Таблица 4.
Данные микротермометрического изучения флюидных включений в кварце из пород Северного Приладожья
| Типы включений | Th (n) | Tmi (n) | Te | мас. % в NaCl экв. |
Tmc | Thom (n) |
|---|---|---|---|---|---|---|
| H2O (±NaCl, KCl) | 90–390 (521) |
0/–3.0 (618) |
–21.0, –13.0 | 0–5 | ||
| Н2О-соль(NaCl) | 240–480 (132) |
–2.5/–11.2 (138) |
–22.0 | 4–15 | ||
| СО2 | –55.6/–58.8 | –11/31 (848) |
||||
| СН4-N2-СО2 | –57.4/–64.8 | –144/–16 (84) |
||||
| Н2O-СО2 | 250–300 (28) |
0/–1.6 (42) |
0–2.5 | –56.5/–58.2 | –2/28.4 (32) |
|
| СН4-N2 | –166/–85 (58) |
Водно-углекислотные флюиды, содержащие дополнительные солевые компоненты (NaCl, KCl и т.п.), при повышенных давлениях будут иметь резко более высокую активность CO2 и пониженные значения aH2O. Различие в свойствах СО2 и Н2О могут оказаться такими, что возникает несмесимость двух летучих веществ даже для умеренных концентраций NaCl (Bowers, Helgeson, 1983; Duan et al., 1995; Aranovich et al., 2010).
Была установлена (Aranovich, Newton, 1996) зависимость aH2O от мольной доли воды в водно-солевом растворе (H2O-NaCl) для низких и высоких давлений минералообразования. При относительно низких давлениях (до 2 кбар) aH2O ≈ хH2O и aH2O ≈ ≈ (хH2O)2 при повышении давления до 10–15 кбар.
Эволюция состава флюида в направлении повышения мольной доли воды подтверждается усилением анатексиса пород на фоне снижения температуры. На этой ранней стадии развития надвига смена температурного режима метаморфизма от гранулитовой фации к амфиболитовой отмечалась ранее (Шульдинер и др., 1997). Детальное геологическое картирование показало, что массовая мигматизация пород в районе стыка автохтонного и аллохтонного блоков происходит одновременно с внедрением больших объемов диорит-тоналитовых магм, характерных для амфиболитовой фации. Предполагается, что увеличение объема воды в метаморфическом флюиде происходит также за счет высвобождения ее из расплавов при кристаллизации диоритов и тоналитов (Балтыбаев и др., 2000).
О повышении потенциала воды и щелочей при эволюции метаморфических процессов в надвиговой зоне свидетельствуют сильная биотитизация, мусковитизация, хлоритизация, а также калишпатизация пород. Широкое развитие флюидных включений состава Н2О-NaCl-KCl указывает, что с повышением активности воды на поздних этапах возрастает роль ионов К+ и Na+. Широко проявленный процесс замещения зерен граната с образованием по ним парагенезиса биотита и плагиоклаза (Grt + Н2О + K+ + Na+ ⇒ Bt + Pl) подтверждает высокую роль солевой компоненты флюида.
Несмотря на изменение Р-Т параметров метаморфизма пород Мейерской надвиговой зоны, активность воды в метаморфическом флюиде, определенная по минеральным реакциям с водосодержащими минералами, находится в достаточно узких пределах ~0.20–0.44. Скорее всего, увеличение доли воды в метаморфическом флюиде при появлении поздних водосодержащих минеральных парагенезисов не привело к возрастанию аН2О из-за того, что одновременно с увеличением доли воды растет содержание солевых компонентов во флюиде. Качественный состав солевой нагрузки метаморфического флюида выявляется по замещению ранних минералов K-Na поздними, что возможно при растущем потенциале ионов Na+ и K+ во флюиде.
ВЫВОДЫ
При надвигании аллохтонного блока свекофеннид на автохтонный блок окраины Карельского кратона в пара- и ортогнейсах образуются обогащенные гроссуляром гранаты, которые в парагенезисе с плагиоклазом среднего состава, а также биотитом и/или мусковитом определяют давление минералообразования как 8–9 кбар, что на 2–3 кбар превышает значения давления, характерные для регионально-метаморфизованных пород вне зоны надвига.
Начальная стадия компрессионного развития пород Мейерской надвиговой зоны сменяется регрессивным трендом с одновременным снижением температуры и давления. При этом в надвиговой зоне формируются многочисленные наложенные водосодержащие минералы амфиболитовой фации и более ранних стадий метаморфизма. Активность воды при формировании гнейсов надвиговой зоны оценивается в пределах ~0.20–0.44.
Увеличение мольной доли воды в метаморфическом флюиде на регрессивной стадии метаморфизма при появлении мусковитовых парагенезисов не привело к росту аН2О из-за одновременного увеличения содержания растворенных солевых компонентов во флюиде. Новообразованные минеральные ассоциации указывают, что солевая компонента метаморфического флюида содержала ионы Na+ и K+.
Благодарности. Авторы весьма признательны Л.Я. Арановичу за советы по улучшению статьи при ее рецензировании.
Источник финансирования. Работа выполнена за счет финансирования темы НИР ИГГД РАН FMUW-2022-0002 Минобрнауки России.
Список литературы
Азимов П.Я., Ризвановаa Н.Г. Проявление позднесвекофеннского метаморфизма повышенных давлений в зональном метаморфическом комплексе Северного Приладожья (Юго-Восток Фенноскандинавского щита) // Петрология. 2021. Т. 29. № 3. С. 292–308.
Балтыбаев Ш.К., Вивдич Э.С. Эволюция Мейерской надвиговой зоны Северного Приладожья (Республика Карелия, Северо-Запад России): P-T условия формирования минеральных парагенезисов и геодинамические реконструкции // Геотектоника. 2021. № 4. С. 73–87.
Балтыбаев Ш.К., Глебовицкий В.А., Козырева И.В. и др. Мейерский надвиг – главный элемент строения сутуры на границе Карельского кратона и Свекофеннского пояса в Приладожье, Балтийский щит // Докл. АН. 1996. Т. 348. № 3. С. 353−356.
Балтыбаев Ш.К., Глебовицкий В.А., Козырева И.В. и др. Геология и петрология свекофеннид Приладожья. СПб.: Изд-во СПбГУ, 2000. 200 с.
Балтыбаев Ш.К., Левченков О.А., Бережная Н.Г. и др. Время и длительность свекофеннской плутоно-метаморфической активности на юго-востоке Балтийского щита (Приладожье) // Петрология. 2004. Т. 12. № 4. С. 374–393.
Балтыбаев Ш.К., Левченков О.А., Левский Л.К. Свекофеннский пояс Фенноскандии: пространственно-временная корреляция раннепротерозойских эндогенных процессов. СПб.: Наука, 2009. 328 с.
Великославинский Д.А. Сравнительная характеристика регионального метаморфизма умеренных и низких давлений. Л.: Наука, 1972. 190 с.
Вревский А.Б. Людиковий Раахе-Ладожской зоны Фенноскандинавского щита (изотопно-геохимической состав и геодинамическая природа) // Геология и геофизика. 2021. Т. 62. С. 1–21.
Геологическое развитие глубинных зон подвижных поясов (Северное Приладожье) // Под. ред. Н.Г. Судовикова. Л.: Наука, 1970. 227 с.
Горохов И.М., Кузнецов А.Б., Азимов П.Я., Дубинина Е.О. и др. Sr- и C-изотопная хемостратиграфия метакарбонатных пород палеопротерозойской сортавальской серии, Фенноскандинавский щит, Северное Приладожье // Стратиграфия. Геологическая корреляция. 2021. Т. 29. № 2. С. 3–22.
Гульбин Ю.Л. P-T тренды и моделирование эволюции минерального состава метапелитов Северного Приладожья в системе MnNCKFMASH // Записки РМО. 2014. Ч. 143. Вып. 6. С. 34–53.
Казаков А.Н. Деформации и наложенная складчатость в метаморфических комплексах. Л.: Наука, 1976. 237 с.
Кицул В.И. Петрология карбонатных пород ладожской формации. Л.: Наука, 1963. 171 с.
Кориковский С.П. Фации метаморфизма метапелитов. М.: Наука, 1979. 264 с.
Кузнецов А.Б., Горохов И.М., Азимов П.Я., Дубинина Е.О. С- и Sr-хемостратиграфический потенциал палеопротерозойских осадочных карбонатов в условиях среднетемпературного метаморфизма: мраморы Рускеалы, Карелия // Петрология. 2021. Т. 29. № 2. С. 174–196.
Кулаковский А.Л., Морозов Ю.А., Смульская А.И. Стресс–метаморфизм и стресс–метаморфиты в докембрии Приладожья // Тр. Карельского НЦ РАН. 2015. № 7. С. 19–35.
Ладожская протерозойская структура (геология, глубинное строение и минерагения) // Отв. ред. Н.В. Шаров. Петрозаводск: КарНЦ РАН, 2020. 435 с.
Матреничев В.А., Вревский А.Б., Сергеев С.А., Матуков Д.А. Граница между людиковием и калевием в Северном Приладожье: геологические взаимоотношения и изотопный возраст // Докл. АН. 2006. Т. 407. № 5. С. 654–649.
Мигматизация и гранитообразование в различных термодинамических режимах. Л.: Наука, 1985. 310 с.
Мыскова Т.А., Милькевич Р.И., Львов П.А. U-Pb геохронология (SHRIMP-II) цирконов из метаосадков ладожской серии (Северное Приладожье, Балтийский щит) // Стратиграфия. Геологическая корреляция. 2012. Т. 20. № 2. С. 55–67.
Нагайцев Ю.В. Петрология метаморфических пород ладожского и беломорского комплексов. Л.: Изд-во Ленингр. ун-та, 1974. 160 с.
Предовский А.А., Петров В.П., Беляев О.А. Геохимия рудных элементов метаморфических серий докембрия (на примере Северного Приладожья). Л.: Наука, 1967. 139 с.
Светов А.П., Свириденко Л.П. Стратиграфия докембрия Карелии. Сортавальская серия свекокарелид Приладожья. Петрозаводск: Карельский НЦ РАН, 1992. 152 с.
Светов А.П., Свириденко Л.П., Иващенко В.И. Вулкано-плутонизм свекокарелид Балтийского щита. Петрозаводск: Изд-во КНЦ, 1990. 321 с.
Синица С.М. Купола Северного Приладожья и взаимоотношение их гранитогнейсовых ядер со слоистыми оболочками // Изв. АН СССР. Сер. геол. 1984. № 9. С. 15–23.
Судовиков Н.Г. Тектоника, метаморфизм, мигматизация и гранитизация пород ладожской формации // Тр. ЛАГЕД АН СССР. Вып.4. М.–Л.: Изд-во АН СССР, 1954. 198 с.
Тугаринов А.И., Бибикова Е.В. Геохронология Балтийского щита по данным цирконометрии. М.: Наука, 1980. 131 с.
Хазов Р.А. Геологические особенности оловянного оруденения Северного Приладожья. Л.: Наука, 1973. 87 с.
Шульдинер В.И., Балтыбаев Ш.К., Козырева И.В. Эволюция условий метаморфизма гранатсодержащих гранулитов Западного Приладожья // Петрология. 1997. Т. 5. № 3. С. 253–277.
Шульдинер В.И., Левченков О.А., Яковлева С.З. и др. Верхний карелий в стратиграфической шкале России: выбор нижней границы и региональные подразделения стратотипической области // Стратиграфия. Геологическая корреляция. 2000. № 6. С. 20–33.
Aranovich L.Y., Zakirov I.V., Sretenskaya N.G., Gerya T.V. Ternary system H2O–CO2–NaCl at high P-T parameters: An empirical mixing model // Geochem. Int. 2010. V. 48. P. 446–455.
Aranovich L.Ya., Newton R.C. Experimental determination of CO2–H2O activity–composition relations at 600–1000°C and 6–14 kbar by reversed decarbonation and dehydration reactions // Amer. Mineral. 1999. V. 84. P. 1319–1332.
Aranovich L.Ya., Newton R.C. H2O activity in concentrated NaCl solutions at high pressures and temperatures measured by the brucite–periclase equilibrium // Contrib. Mineral. Petrol. 1996. V. 125. P. 200–212.
Baltybaev Sh.K., Levchenkov O.A. Volcanics in Svecofennides of the Ladoga region and results of U-Pb and Pb-Pb dating of rocks and minerals as a basis for correlation of Svecofennian events // Stratigraphy and Geological Correlation. 2005. V. 13. № 2. P. 119–133.
Berman R.G. Mixing properties of Ca–Mg–Fe–Mn garnets // Amer. Mineral. 1990. V. 75. P. 328–344.
Berman R.G. Thermobarometry using multiequilibrium calculations: A new technique with petrologic applications // Canad. Mineral. 1991. V. 32. P. 833–855.
Berman R.G., Aranovich L.Y. Optimized standard state and solution properties of minerals: I. Model calibration for oli-vine, orthopyroxene, cordierite, garnet, and ilmenite in the system FeO–MgO–CaO–Al2O3–TiO2–SiO2 // Contrib. Mineral. Petrol. 1996. V. 126. P. 1–24.
Berman R.G., Aranovich L.Ya., Rancourt D.G., Mercier D.G. Reversed phase equilibrium constraints on the stability of Mg–Fe–Al biotite // Amer. Mineral. 2007. V. 92. № 1. P. 139–150.
Chacko T., Kumar G.R.R., Newton R.C. Metamorphic P–T conditions of the Kerala (South India) khondalite belt, a granulite facies supracrustal terrain // J. Geol. 1987. V. 95. P. 343–358.
Chatterjee N.D., Froese E.F. A thermodynamic study of the pseudobinary join muscovite–paragonite in the system KAlSi3O8–NaAlSi3O8–Al2O3–SiO2–H2O // Amer. Mine-ral. 1975. V. 60. P. 985–993.
Circone S., Navrotsky A. Substitution of [6,4]Al in phlogopite: high-temperature solution calorimetry, heat capacities, and thermodynamic properties of the phlogopite–eastonite join // Amer. Mineral. 1992. V. 77. P. 1191–1205.
Cygan G.L., Chou I.-M., Sherman D.M. Reinvestigation of the annite = sanidine + magnetite + H reaction using the fH2 sensor technique // Amer. Mineral. 1996. V. 81. P. 475–484.
Dasgupta S., Sengupta P., Sengupta Pr. et al. Petrology of gedrite–bearing rocks in mid–crustal ductile shear zones from the Eastern Ghats Belt, India // J. Metamorph. Geol. 1999. V. 17. P. 765–778.
Eskola P.E. The problem of mantled gneiss domes // Geol. Soc. London Quart. J. 1949. V. 104. Part 4. P. 461–476.
Feenstra A., Engi M. An experimental study of the Fe–Mn exchange between garnet and ilmentite // Contrib. Mineral. Petrol. 1998. V. 131. P. 379–392.
Feenstra A., Peters T. Experimental determination of activities in FeTiO3–MnTiO3 ilmenite solid solution by redox reversals // Contrib. Mineral. Petrol. 1996. V. 126. P. 109–120.
Fuhrman M.L., Lindsley D.H. Ternary–feldspar modeling and thermometry // Amer. Mineral. 1988. V. 73. P. 201–215.
Glazner A.F., Bartley J.M. Volume loss, fluid flow and the state of strain in extensional mylonites from the Central Mojave Desert, California // J. Struct. Geol. 1991. V. 13. P. 587–594.
Goddard J.V., Evans J.P. Chemical changes and fluid–rock interaction in faults of crystalline thrust sheets, northwestern Wyoming, U.S.A. // J. Struct. Geol. 1995. V. 17. № 4. P. 533–547.
Haar L., Gallagher J.S., Kell G.S. NBS/NRC Steam Tables. New York: Hemisphere Pub. Corp., 1984. 320 p.
Holdaway M.J. Stability of andalusite and the aluminum sili-cate phase diagram // Amer. J. Sci. 1971. V. 271. P. 97–131.
Irwin W.P., Barnes I. Tectonic relations of carbon–dioxide discharges and earthquakes // J. Geophys. Res. 1980. V. 85. P. 3115–3121.
Karhu J.A. Paleoproterozoic evolution of the carbon isotope ratios of sedimentary carbonates in the Fennoscandian Shield // Geol. Surv. Finland Bull. 1993. № 371. P. 1–87.
Kretz R. Symbols of rock–forming minerals // Amer. Mine-ral. 1983. V. 68. P. 277–279.
Losh S. Fluid–rock interaction in an evolving ductile shear zone and across the brittle–ductile transition, Central Pyre-nees, France // Amer. J. Sci. 1989. V. 289. P. 600–648.
Mader U.K., Berman R.G. An equation of state for carbon dioxide to high pressure and temperature // Amer. Mineral. 1991. V. 76. P. 1547–1559.
McMullin D.W., Berman R.A., Greenwood H.J. Calibration of the SGAM thermometer for pelitic rocks using data from phase–equilibrium experiments and natural assemblages // Can. Mineral. 1991. V. 29. P. 889–908.
Miller S.A. The role of fluids in tectonic and earthquake processes // Advances Geophysics. 2013. V. 54. P. 1–46.
Newton R.C. Metamorphic fluids in the deep crust // Ann. Rev. Earth Planet. Sci. 1989. V. 17. P. 385–412.
O’Hara K.D. Fluid flow and volume loss during mylonitization: An origin for phyllonite in an overthrust setting, North Carolina, USA // Tectonophysics. 1988. V. 156. P. 21–36.
O’Hara K.D. State of strain in mylonites from the western Blue Ridge province, southern Appalachians: The role of volume loss // J. Struct. Geol. 1990. V. 12. P. 419–430.
O’Hara K.D. Fluid–rock interaction in crustal shear zones: A directed percolation approach // Geology. 1994. V. 22. P. 843–846.
Powel R., Holland T.J. An internally consistent thermodynamic dataset with uncertainties and correlations // J. Metamor. Geology. 1998. № 6. P. 173–204.
Qiana J., Yina Ch., Weic Ch., Zhang J. Two phases of Paleoproterozoic metamorphism in the Zhujiafang ductile shear zone of the Hengshan Complex: Insights into the tectonic evolution of the North China Craton // Lithos. 2019. V. 330. P. 35–54.
Radhika U.P., Santosh M. Shear–zone hosted graphite in southern Kerala, India: Implications for CO2 infiltration // J. Southeast Asian Earth Sci. 1996. V. 14. P. 265–273.
Santosh M., Wada H. A carbon isotope study of graphites from the Kerala Khondalite Belt, southern India // J. Geol. 1993. V. 101. P. 643–650.
Sinha A.K., Hewitt D.A., Rimstidt J.D. Fluid interaction and element mobility in the development of ultramylonites // Geology. 1986. V. 14. P. 883–886.
Tannocka L., Herweghb M., Bergerb A. et al. The effects of a tectonic stress regime change on crustal–scale fluid flow at the Heyuan geothermal fault system, South China // Tectonophysics. 2020. V. 781. P. 1–17.
Thompson A.B. Dehydration melting of pelitic rocks and the generation of H2O–undersaturated granitic luquids // Amer. J. Sci. 1982. P. 1567–1595.
Thompson A.B. Clockwise P-T paths for crustal melting and H2O recycling in granite source regions and migmatite terrains // Lithos. 2001. V. 56. № 1. P. 33–45.
Tobisch O.T., Barton M.D., Vernon R.H., Paterson S.R. Fluid–enhanced deformation: Transformation of granitoids to banded mylonites, western Sierra Nevada, California and southeastern Australia // J. Struct. Geol. 1991. V. 13. P. 1137–1156.
Trap P., Faure M., Lin W., Monié P. Late paleoproterozoic (1900–1800 Ma) nappe–stacking and polyphase deformation in the Hengshan–Wutaishan area: Implications for the understanding of the Trans–North China Belt, North China Craton // Precambrian Res. 2007. V. 156. P. 85–106.
Wegmann C.E. Uber die tektonik der jungeren Faltung in Ostfinnland // Fennia. 1928. V. 50. № 16. P. 1–22.
Williams M.L., Grambling J.A. Manganese, ferric iron, and the equilibrium between garnet and biotite // Amer. Mineral. 1990. V. 75. P. 886–908.
Zhang J., Zhao, G.C., Li S.Z. et al. Deformation history of the Hengshan Complex: Implications for the tectonic evolution of the Trans–North China Orogen // J. Struct. Geol. 2007. V. 29. P. 933–949.
Дополнительные материалы
- скачать ESM.docx
- Список реакций, представленных на рис. 6.
Список реакций, представленных на рис. 7.


