Петрология, 2021, T. 29, № 6, стр. 603-635
Плиоценовый постколлизионный вулканизм Центральной Армении: изотопная геохронология и закономерности геохимической эволюции магматических расплавов
В. А. Лебедев a, *, Ю. В. Гольцман a, Т. И. Олейникова a, А. В. Парфенов a, А. И. Якушев a
a Институт геологии рудных месторождений, петрографии, минералогии и геохимии РАН
Москва, Россия
* E-mail: leb@igem.ru
Поступила в редакцию 16.02.2021
После доработки 08.05.2021
Принята к публикации 15.05.2021
Аннотация
Представлены результаты изотопно-геохронологического и петролого-геохимического изучения молодых вулканических пород Гегамского нагорья (Центральная Армения), образовавшихся на плиоцен-раннечетвертичном этапе позднекайнозойского постколлизионного магматизма Малого Кавказа. Установлены границы ареала развития вулканической активности в этот период, определены ее общая продолжительность (3.5–1.9 млн лет назад), временные рамки главных фаз, масштабы и характер извержений. Петролого-геохимические данные свидетельствуют о том, что изученные молодые вулканиты Центральной Армении относятся к умеренно-щелочной серии и представлены непрерывным рядом составов: (трахи-)базальты–муджиериты–латиты–трахиты–риолиты. Основным процессом, обусловившим геохимическую эволюцию материнских базальтовых расплавов, являлась кристаллизационная дифференциация с ведущей ролью Cpx среди кумулусных минеральных фаз. Коровая ассимиляция и смешение магм имели ограниченное значение: их возможное участие в петрогенезисе расплавов зафиксировано только для наиболее кислых разностей пород. Глубинный источник, ответственный за магмогенерацию под изученной частью Малого Кавказа на рубеже плиоцена–плейстоцена, был представлен астеносферной мантией, обогащенной в результате ранее протекавшей в регионе на протяжении десятков миллионов лет субдукции литосферы океанического бассейна Неотетис. Плавление происходило в зоне стабильности Grt-перидотита; состав формирующихся расплавов по геохимическим характеристикам был близок базальтам типа E-MORB. Важной особенностью регионального мантийного источника являлось присутствие в нем заметной примеси субдукционной компоненты. Обобщение полученных петролого-геохимических и изотопно-геохимических данных для молодых изверженных пород Гегамского нагорья, образовавшихся на разных этапах позднекайнозойского магматизма, позволило проследить эволюцию основных параметров (минеральный, химический и изотопный состав, глубина расположения, степень плавления) мантийных резервуаров, в которых происходила генерация расплавов под Центральной Арменией в период развития здесь постколлизионного вулканизма (с позднего миоцена до голоцена).
ВВЕДЕНИЕ
Неоген-четвертичный постколлизионный магматизм Малого Кавказа, начавшийся после окончания конвергенции Аравийской и Евразийской литосферных плит и закрытия океанического бассейна Неотетис, развивался в этом регионе на протяжении последних 9 млн лет (Лебедев и др., 2013б). Пространственно-временные закономерности проявления вулканической деятельности в разных частях Закавказья заметно отличаются; общей чертой для них является дискретный характер развития магматизма, когда эпохи интенсивных извержений сменялись длительными периодами затишья в эндогенной активности.
Интересной особенностью молодого магматизма Малого Кавказа является тот факт, что распространенные здесь постколлизионные вулканиты основного состава по своим геохимическим характеристикам обычно близки типичным континентальным внутриплитным базальтам. Проведенные ранее петрологические исследования лав ряда неовулканических областей Грузии и Армении (Лебедев и др., 2003, 2007, 2013а, 2018а; Neil et al., 2015; Sugden et al., 2019 и др.), а также опубликованные работы для смежной территории Восточной Турции (Keskin, 2007; Lebedev et al., 2016 и др.) показали, что генерация магматических расплавов под регионом чаще всего происходила в верхних частях астеносферной мантии, обогащенной в результате ранее протекавшей в этой части Альпийского пояса на протяжении многих миллионов лет субдукции. Для объяснения причин зарождения и развития неоген-четвертичной вулканической активности в пределах центральной части Аравийско-Евразийской коллизионной зоны (АЕКЗ) было предложено несколько петрогенетических моделей; их анализ проведен в работе (Keskin, 2007).
Особое место по масштабам проявления позднекайнозойского магматизма в Закавказье занимает территория современной Армении, значительная часть которой покрыта молодыми вулканогенными образованиями, изверженными несколькими крупными стратовулканами (Арагац, Араилер, Ишханасар и др.), а также многочисленными моногенными аппаратами. Некоторые районы в этой части Малого Кавказа и в настоящее время являются потенциально опасными на возобновление извержений (Караханян и др., 2004; Лебедев и др., 2013а).
Работами предшествующих исследователей (Милановский, Короновский, 1973 и др.) было установлено наличие трех этапов молодого магматизма Малого Кавказа (I – позднемиоценовый, II – плиоцен-раннечетвертичный и III – средне-позднечетвертичный), временные диапазоны которых для разных неовулканических областей этого региона заметно отличаются (Лебедев и др., 2013б и др.). Первые оценочные K-Ar изотопные данные, позволившие наметить возрастные рубежи этапов развития магматической активности для некоторых областей Армении, были получены в Институте геологических наук АН АрмССР во второй половине ХХ столетия (Багдасарян и др., 1971 и др.).
В центральной части Армении, ограниченной на севере Памбакским и Базумским хребтами, на востоке – котловиной оз. Севан, на юге – Араратской долиной, а на западе – ущельем р. Ахурян, расположено две крупных неовулканических области – Арагацкая и Гегамская (рис. 1), географической границей между которыми является долина р. Раздан. Согласно данным (Багдасарян и др., 1971; Чернышев и др., 2002; Арутюнян и др., 2007; Лебедев и др., 2011, 2013а, 2018а и др.), здесь распространены молодые вулканиты, образовавшиеся в течение всех трех этапов позднекайнозойского магматизма, c возрастом от позднего миоцена до позднего плейстоцена–голоцена включительно.
Рис. 1.
Тектоническая схема центральной части Малого Кавказа. Показаны основные структурные блоки континентальной литосферы: AL – кристаллический массив Аладаг, AR – Армянский блок, EAAC – Восточно-Анатолийский аккреционный комплекс, IP – Иранская микроплита, H-L – Храмско-Локский кристаллический массив, P-LC – Понтийско-Малокавказская континентально-окраинная дуга, SA – Севан-Акеринская офиолитовая зона, V – Вединская офиолитовая зона. 1 – выходы офиолитов, 2 – границы офиолитовых зон.

Настоящая статья завершает цикл наших работ, посвященных изотопно-геохронологическому и петролого-геохимическому изучению молодого магматизма Центральной Армении (Чернышев и др., 2002; Лебедев и др., 2011, 2013а, 2018а), которое проводилось в тесном и плодотворном сотрудничестве со специалистами Центра эколого-ноосферных исследований НАН Республики Армения под руководством покойного проф. А.К. Сагателяна. Ранее нами были опубликованы данные о возрасте и происхождении вулканитов Арагацкой области, а также наиболее ранних (позднемиоценовых) и поздних (средне-позднечетвертичных) магматических образований Гегамской области. В статье рассмотрены вопросы, касающиеся расшифровки истории развития плиоцен-раннечетвертичного (II этап) постколлизионного магматизма Гегамской области, который проявился на временном отрезке, наиболее продуктивном для неоген-четвертичной вулканической активности Малого Кавказа в целом. Основными задачами проведенных исследований являлись: (1) установление временных рамок II этапа магматизма, определение геолого-геоморфологических границ ареала его развития, выделение главных фаз вулканических извержений и закономерностей пространственной миграции эндогенной активности во времени; (2) определение важнейших петролого-геохимических и изотопных характеристик плиоцен-раннечетвертичных вулканитов, изучение особенностей их петрогенезиса и геохимической специфики источников материнских расплавов; (3) на основе совокупности полученных нами в последние годы петролого-геохимических данных для разновозрастных вулканитов Центральной Армении установление принципиальных закономерностей геохимической эволюции мантийных источников, активных под регионом в позднем миоцене–плейстоцене, т.е. на протяжении всего временного периода развития позднекайнозойского постколлизионного магматизма Малого Кавказа.
КРАТКИЕ СВЕДЕНИЯ О ГЕОЛОГИЧЕСКОМ СТРОЕНИИ ГЕГАМСКОГО НАГОРЬЯ
Восточная часть Центральной Армении, включающая территорию Гегамского нагорья, примыкающие к нему с востока и запада обширные лавовые плато (Гаварское, Котайкское и др.), а также северное горно-складчатое обрамление Араратской долины, в неоген-четвертичный период стала одним из крупнейших ареалов развития молодого постколлизионного магматизма на Малом Кавказе, последние импульсы которого относятся здесь к концу плейстоцена–голоцену (Караханян и др., 2004; Лебедев и др., 2013а и др.). В научных работах по истории геологического развития Закавказья в альпийскую эпоху этот регион, ограниченный на востоке котловиной оз. Севан, долиной р. Раздан – на севере и западе, р. Аракс – на юго-западе, северными отрогами субширотного Варденисского хребта – на юго-востоке, обычно рассматривается как самостоятельная Гегамская (Центрально-Армянская) неовулканическая область (Милановский, Короновский, 1973 и др.) (рис. 2).
Рис. 2.
Геологическая карта Гегамской неовулканической области (составлена В.А. Лебедевым по результатам полевых исследований, дешифрирования космических снимков, с использованием данных из работ (Милановский, 1960; Асланян и др., 1978; Karapetian et al., 2001; Sheriff et al., 2019)). 1 – места отбора проб, 2 – вулканические аппараты (а – средне-позднечетвертичные, б – плиоцен-раннечетвертичные), 3 – четвертичные осадочные образования, 4 – позднеплейстоценовые (<250 тыс. лет) вулканиты, 5 – среднеплейстоценовые (350–700 тыс. лет) вулканиты, 6 – четвертичные лавы вулканов Араилер (1.3 млн лет) и Джартар (0.9 млн лет), 7 – четвертичные пирокластические образования вулкана Арагац, 8 – позднемиоцен-раннечетвертичные осадки Севанской котловины, 9 – раннечетвертичные основные лавы Гаварского плато и юго-восточной части Гегамского хребта (1.9–2.1 млн лет), 10 – раннечетвертичные (2.15–2.25 млн лет) умеренно-кислые и кислые магматические образования южной части Гегамского хребта (а – трахитовые лавы вулкана Пич, б – риолиты и кислые туфы вулкана Гегаргуник), 11 – раннечетвертичные (2.15–2.30 млн лет) латиты вулкана Пич, 12 – плиоценовые основные лавы центральной части Гегамского хребта (2.6 млн лет), 13 – плиоценовые основные лавы Котайкского плато (2.5–2.6 млн лет), 14 – основные лавы южной части Гегамской области (3.0 млн лет), 15 – средние лавы южной части Гегамской области (3.3–3.5 млн лет), 16 – позднемиоценовые лавы капутанской свиты (4.7–5.7 млн лет), 17 – диатомитовые глины нурнусской свиты (поздний миоцен–ранний плиоцен), 18 – осадочные породы зангинской свиты (поздний миоцен), 19 – вулканогенно-обломочная вохчабердская толща (поздний миоцен–ранний плиоцен), 20 – пирокластические и осадочные образования белесоватой свиты (поздний миоцен), 21 – гипсо-соленосная толща среднего миоцена, 22 – пестроцветная толща раннего миоцена, 23 – палеогеновые вулканические и осадочные образования, 24 – осадочные толщи мела, 25 – выходы пород палеозойского кристаллического фундамента.

В орографическом плане Гегамская неовулканическая область – это регион с сильно расчлененным рельефом, значительная часть территории которого относится к типичному высокогорью Малого Кавказа (абсолютные отметки высот – свыше 2500 м). В центральном секторе области узкой грядой из вулканических конусов на расстояние до 60 км протягивается субмеридиональный Гегамский хребет с третьей по высоте вершиной Армении – горой Аждаак (3597 м). С запада на левобережье долины р. Раздан к этому хребту примыкает Котайкское лавовое плато (1400–2100 м) с двумя крупными риолитовыми купольными вулканами (Атис и Гутансар); на востоке, на побережье оз. Севан располагаются Гаварское плато (2000–2100 м) и невысокая вулканическая гряда Гегаргуник. В южной части Гегамской области расположен сложенный мезозойскими вулканогенно-осадочными толщами субмеридиональный Ераносский хребет (1700–2200 м); его южные отроги плавно переходят в Араратскую равнину, средняя высота поверхности которой здесь составляет 800–900 м. Все реки Центральной Армении принадлежат к бассейну Аракса.
Согласно современным представлениям о тектоническом строении Закавказья, вся центральная часть Армении расположена в пределах древнего микроконтинента – Армянского блока (в последнее время в ряде статей иногда по непонятным причинам именуемого Южно-Армянским; например, Rolland et al., 2011), сложенного палеозойскими (возможно, при участии протерозойских) метаморфическими и магматическими породами. Среди них преобладают кристаллические сланцы, гнейсы и мраморы, рассланцованные габброиды, мигматиты, а также гранитоиды многочисленных интрузивных массивов (Асланян, 1958). В пределах Гегамской неовулканической области выходы пород палеозойского фундамента на поверхность известны на ограниченной площади в ее северной и южной периферийных частях (рис. 2); на остальной территории они несогласно перекрыты более поздними вулканогенно-осадочными образованиями. Мезозойско-раннекайнозойский период истории региона связан с длительным поступательным закрытием здесь северного и южного бассейнов океана Неотетис (к северу и югу от Армянского блока, соответственно), формированием активной континентальной окраины и интенсивным развитием надсубдукционного магматизма. В позднем мелу–палеогене большая часть поверхности современного Гегамского нагорья находилась ниже уровня моря, о чем свидетельствует присутствие во многих местах несогласно залегающих на породах кристаллиникума сеноман-туронских известняков, мергелей, песчаников и конгломератов и выше по разрезу – палеогеновых мелководных осадочных отложений. Эоцен-раннемиоценовые магматические образования, связанные с развитием активной континентальной окраины, чаще всего представлены лавовыми покровами андезитов и базальтов, туфами, туфобрекчиями, а также интрузивными телами гранитоидов нормальной и повышенной щелочности (Sokol et al., 2018). Прекращение субдукции под регионом в начале неогена обусловило затухание здесь вулканической активности (Лебедев и др., 2013б) и последующий подъем поверхности Армянского блока над уровнем моря. Однако в пределах Севанской котловины, Араратской равнины и Котайкского плато в раннем–среднем миоцене сохранились замкнутые водоемы, в которых происходило отложение соленосных глин (рис. 2).
К позднему миоцену относится начало аэрального постколлизионного магматизма на территории Центральной Армении, который впоследствии продолжался здесь до конца четвертичного периода (Лебедев и др., 2013а). Общие сведения по геологии, стратиграфии и петрографии молодых вулканитов региона, вопросы потенциальной вулканической опасности достаточно детально обсуждены в целой серии статей и научных монографий (Асланян, 1958; Милановский, 1960; Остроумова, 1967; Карапетян, Адамян, 1973; Навасардян, 2006; Навасардян и др., 2009; Karapetian et al., 2001; Karakhanian et al., 2002 и др.). На основе изотопно-геохронологических данных (Арутюнян и др., 2007; Лебедев и др., 2013а, 2018а) нами ранее были очерчены временные рамки трех этапов позднекайнозойской вулканической активности Гегамской области: I – позднемиоценовый, 5.7–4.7 млн лет; II – плиоцен-раннечетвертичный, около 2.5 млн лет; III – средне-позднечетвертичный, менее 0.9 млн лет назад. К образованиям I этапа в пределах рассматриваемой части Армении относятся вулканогенные толщи капутанской свиты, распространенные в долине р. Раздан и на Котайкском плато (рис. 2), представленные умеренно- и реже известково-щелочными лавами пестрого состава (от базальтовых трахиандезитов до трахитов) и в ряде мест прорванные экструзиями близких им по возрасту риолитов. Продукты разрушения позднемиоценовых магматических образований формируют вохчабердскую вулканогенно-обломочную толщу, породы которой залегают на палеогеновых терригенных и миоценовых глинистых и гипсо-соленосных отложениях к востоку от г. Ереван.
Плиоцен-раннечетвертичные магматические образования Гегамской области, несмотря на их заметное присутствие в этом регионе, изучены слабо. В работах (Багдасарян и др., 1971, 1973; Багдасарян, Гукасян, 1985; Балог и др., 1990) на основе опубликованных авторами оценочных K-Ar данных сделаны выводы о широком распространении плиоценовых базальтов в районе г. Ереван, долине р. Раздан, на Котайкском плато и западном побережье оз. Севан (лавы Гаварского плато и “манычарского покрова”). Единичная датировка, относящаяся к рассматриваемому временному диапазону (~2.6 млн лет), была получена нами также и для одного из конусов (Лчаин) в водораздельной части Гегамского хребта (Арутюнян и др., 2007). Отсутствие надежных геохронологических данных, петролого-геохимических и изотопных характеристик для плиоцен-раннечетвертичных вулканитов Гегамской области оставляло открытыми вопросы, связанные с установлением масштабов проявления молодого магматизма в Центральной Армении на рубеже неогена–плейстоцена, закономерностей его развития, петрогенезиса лав и источников их расплавов.
Средне-позднечетвертичная вулканическая активность Гегамской области проявилась в значительных масштабах и характеризуется ареальным типом развития. Здесь, на территории примерно 50 × 50 км, известно до сотни небольших вулканических конусов (Карапетян, Адамян, 1973), которые или демонстрировали исключительно эксплозивную активность, или являлись центрами излияния протяженных лавовых потоков. Опубликованные нами результаты комплексных геолого-геохимических исследований новейших лав региона (Лебедев и др., 2013а) позволили установить общую продолжительность III этапа позднекайнозойского магматизма Гегамской области (900 тыс. лет) и определить временные интервалы его пяти дискретных фаз. Обсуждены природа мантийного источника, ответственного за генерацию материнских расплавов, а также роль процессов кристаллизационной дифференциации и коровой ассимиляции в петрогенезисе новейших вулканитов этой части Малого Кавказа. В недавней статье (Sheriff et al., 2019) более детально рассмотрена хронология четвертичной магматической активности в среднем течении р. Раздан, приведен ряд новых 40Ar/39Ar датировок для распространенных там лав.
АНАЛИТИЧЕСКИЕ МЕТОДЫ
Основой настоящей работы стала коллекция геологических образцов молодых лав Гегамской неовулканической области, отобранных во время экспедиционных работ на территории Республики Армения в 2003–2014 гг. (полевые исследования проведены в рамках договоров о научном сотрудничестве между ИГЕМ РАН (Москва) и Центром эколого-ноосферных исследований НАН РА (Ереван), а также совместных российско-армянских проектов, поддержанных РФФИ). Координаты мест отбора проб, названия и основные петрографические характеристики изученных пород приведены в ESM_1.pdf (Suppl. 1)22.
K-Ar датирование образцов выполнено на основе высокочувствительной низкофоновой методики, разработанной в ИГЕМ РАН для определения возраста молодых пород. Ее подробное описание, включающее геохимическое обоснование, характеристики масс-спектрометрической аппаратуры, алгоритм проведения анализа и оценки точности результатов, изложены в статьях (Чернышев и др., 2006; Лебедев и др., 2018б). В качестве K-Ar геохронометра использована основная масса лав и мономинеральные фракции биотита. Для измерения концентрации радиогенного 40Ar применена методика изотопного разбавления (трасер – моноизотоп 38Ar). Содержание калия в пробах определено методом пламенной фотометрии на спектрометре ФПА-01 с точностью ±1% отн. (1σ). При расчетах возраста использованы значения констант распада, рекомендованные IUGS (Steiger, Jager, 1977). Величина изотопного отношения 40Ar/36Ar для земной атмосферы принята как 295.5. Результаты анализов приведены в табл. 1.
Таблица 1.
Результаты K-Ar датирования молодых вулканитов Гегамской неовулканической области
| Номер образца | Материал | Калий, % | 40Arрад, нг/г ± σ |
40Arвозд, % в образце |
Возраст, млн лет ± 2σ |
|---|---|---|---|---|---|
| Средние лавы южной части Гегамского нагорья | |||||
| Г-40 | Основная масса | 2.75 | 0.661 ± 0.004 | 36.1 | 3.45 ± 0.10 |
| Биотит | 6.69 | 1.752 ± 0.010 | 51.6 | 3.75 ± 0.10 | |
| Г-42 | Матрица брекчии | 2.41 | 0.512 ± 0.014 | 91.5 | 3.1 ± 0.2 |
| Г-85 | Основная масса | 2.13 | 0.492 ± 0.003 | 27.8 | 3.32 ± 0.10 |
| Основные лавы южной части Гегамского нагорья (влк. Кармирблур) | |||||
| Г-35 | Основная масса | 1.35 | 0.279 ± 0.005 | 56.3 | 2.98 ± 0.14 |
| Г-36 | То же | 1.55 | 0.335 ± 0.008 | 88.5 | 3.11 ± 0.17 |
| Основные лавы центральной части Гегамского хребта | |||||
| 1Г | Основная масса | 1.79 | 0.326 ± 0.015 | 76.0 | 2.62 ± 0.20 |
| Г-104 | То же | 1.40 | 0.2580 ± 0.0018 | 55.5 | 2.66 ± 0.08 |
| Основные лавы Котайкского плато | |||||
| Г-107 | Основная масса | 1.20 | 0.208 ± 0.005 | 77.5 | 2.49 ± 0.15 |
| Г-109 | То же | 0.676 | 0.119 ± 0.003 | 71.2 | 2.53 ± 0.17 |
| Г-125 | » | 0.770 | 0.140 ± 0.003 | 61.4 | 2.61 ± 0.16 |
| Ая-28 | » | 1.38 | 0.2513 ± 0.0016 | 68.5 | 2.62 ± 0.08 |
| Средние лавы хребта Гегаргуник (Манычарский покров), вулканов Пич, Ваграмасар и М. Джартар | |||||
| Г-6 | Основная масса | 2.78 | 0.436 ± 0.004 | 45.5 | 2.25 ± 0.06 |
| Г-7 | То же | 2.83 | 0.460 ± 0.003 | 39.3 | 2.34 ± 0.06 |
| Г-9 | » | 2.82 | 0.467 ± 0.006 | 47.8 | 2.35 ± 0.08 |
| Г-10 | » | 3.07 | 0.462 ± 0.008 | 36.2 | 2.17 ± 0.09 |
| Г-45 | » | 2.26 | 0.348 ± 0.005 | 66.3 | 2.22 ± 0.10 |
| Г-77 | » | 2.18 | 0.308 ± 0.002 | 58.9 | 2.10 ± 0.06 |
| Г-79 | » | 2.58 | 0.416 ± 0.003 | 25.8 | 2.32 ± 0.06 |
| Г-80 | » | 2.53 | 0.395 ± 0.003 | 32.7 | 2.25 ± 0.06 |
| Г-81 | » | 2.40 | 0.352 ± 0.005 | 56.0 | 2.12 ± 0.08 |
| Г-90 | » | 2.20 | 0.327 ± 0.004 | 52.8 | 2.14 ± 0.08 |
| Г-91 | » | 1.94 | 0.296 ± 0.004 | 44.0 | 2.19 ± 0.10 |
| Г-92 | » | 2.06 | 0.317 ± 0.005 | 59.0 | 2.21 ± 0.10 |
| Г-95 | » | 2.30 | 0.347 ± 0.005 | 48.5 | 2.18 ± 0.08 |
| 410/13* | Матрица тефры | 2.21 | 0.354 ± 0.009 | 89.3 | 2.30 ± 0.15 |
| сред: 2.30–2.15 | |||||
| Трахиты восточного склона Гегамского хребта | |||||
| Г-11 | Основная масса | 2.88 | 0.442 ± 0.009 | 40.9 | 2.21 ± 0.10 |
| Г-46 | То же | 3.30 | 0.507 ± 0.004 | 38.6 | 2.21 ± 0.07 |
| Г-52 | » | 3.94 | 0.593 ± 0.004 | 15.8 | 2.17 ± 0.05 |
| Г-100 | » | 3.50 | 0.532 ± 0.005 | 48.5 | 2.19 ± 0.06 |
| сред: 2.20 ± 0.04 | |||||
| Риолиты хребта Гегаргуник | |||||
| Г-12 | Основная масса | 4.32 | 0.644 ± 0.005 | 34.4 | 2.15 ± 0.06 |
| Биотит | 6.42 | 0.985 ± 0.012 | 78.7 | 2.21 ± 0.09 | |
| Базальты Гаварского плато | |||||
| Г-1 | Основная масса | 1.32 | 0.183 ± 0.004 | 59.0 | 2.00 ± 0.11 |
| Г-4 | То же | 1.38 | 0.201 ± 0.005 | 61.1 | 2.10 ± 0.12 |
| Г-8 | » | 1.19 | 0.178 ± 0.003 | 72.6 | 2.16 ± 0.11 |
| Г-20 | » | 1.37 | 0.181 ± 0.004 | 90.4 | 1.91 ± 0.12 |
| сред: 2.04 ± 0.11 | |||||
| Основные лавы юго-восточной части Гегамского хребта (вулканы Вочхаратумб, Парваглух) | |||||
| Г-41 | Основная масса | 1.55 | 0.208 ± 0.004 | 57.4 | 1.93 ± 0.09 |
| Г-78 | То же | 1.52 | 0.201 ± 0.003 | 48.8 | 1.91 ± 0.08 |
| Г-86 | » | 1.41 | 0.204 ± 0.004 | 73.7 | 2.09 ± 0.10 |
| Г-87 | » | 1.50 | 0.231 ± 0.004 | 62.6 | 2.22 ± 0.10 |
| сред: 2.04 ± 0.15 | |||||
Петролого-минералогическое изучение прозрачных шлифов пород выполнено на оптическом микроскопе OLYMPUS BX51. Химический состав (породообразующие оксиды и некоторые микроэлементы) магматических образований определен в ЦКП “ИГЕМ-Аналитика” с помощью рентгенофлюоресцентного метода на вакуумном спектрометре Axios mAX (PANalytical). Концентрации рассеянных и редкоземельных (REE) элементов в породах измерены методом ICP-MS на приборе MS X-Series II (ЦКП “ИГЕМ-Аналитика”, аналитик – Я.В. Бычкова). В качестве стандартов использовались аттестованные образцы BHVO-2 и COQ-1. Пределы обнаружения элементов варьировали от 0.1 нг/г для тяжелых и средних по массе элементов с возрастанием до 1 нг/г для легких элементов. Погрешность анализа составила 1–3 отн. %. Данные о химическом составе изученных магматических образований Центральной Армении приведены в ESM_2.xls (Suppl. 2).
Измерения изотопного состава Sr и Nd в молодых вулканитах выполнены в ИГЕМ РАН на многоколлекторном термоионизационном масс-спектрометре Micromass Sector 54 (Великобритания). Для анализов использована основная микролитовая масса, сепарированная из лав (табл. 2). Правильность измерений контролировалась анализами международных стандартов SRM-987 (среднее измеренное значение отношения 87Sr/86Sr – 0.710246 ± 16, 2σ, n = 12) и LaJolla (среднее измеренное значение отношения 143Nd/144Nd – 0.511850 ± 10, 2σ, n = 10).
Таблица 2.
Изотопный состав Sr и Nd в изученных вулканитах Гегамской неовулканической области
| Номер образца | Rb, г/т |
Sr, г/т |
87Rb/86Sr ±2σ |
87Sr/86Sr ±2σ |
Nd, г/т | Sm, г/т | 147Sm/144Nd ±2σ |
143Nd/144Nd ±2σ |
εNd |
|---|---|---|---|---|---|---|---|---|---|
| 1Г | 32 | 1059 | 0.087 ± 10 | 0.704245 ± 11 | – | – | – | 0.512846 ± 10 | 4.1 |
| Г-1 | 25 | 765 | 0.0956 ± 4 | 0.704306 ± 9 | 36 | 6.7 | 0.1120 ± 2 | 0.512831 ± 5 | 3.8 |
| Г-4 | 26 | 719 | 0.1059 ± 5 | 0.704381 ± 10 | 34 | 6.2 | 0.1105 ± 1 | 0.512840 ± 6 | 3.9 |
| Г-6 | 96 | 522 | 0.5297 ± 15 | 0.704471 ± 9 | 40 | 6.6 | 0.1003 ± 3 | 0.512817 ± 6 | 3.5 |
| Г-8 | 22 | 835 | 0.0776 ± 4 | 0.704427 ± 9 | 34 | 6.3 | 0.1112 ± 9 | 0.512831 ± 5 | 3.8 |
| Г-10 | 91 | 785 | 0.3339 ± 9 | 0.704368 ± 10 | 49 | 7.3 | 0.0907 ± 4 | 0.512796 ± 5 | 3.1 |
| Г-12 | 125 | 51 | 7.17 ± 2 | 0.705311 ± 16 [0.70509]* |
44 | 6.2 | 0.0854 ± 2 | 0.512766 ± 6 | 2.5 |
| Г-36 | 31 | 1072 | 0.0836 ± 4 | 0.704552 ± 9 | 42 | 7.1 | 0.1022 ± 2 | 0.512818 ± 6 | 3.5 |
| Г-41 | 32 | 782 | 0.1181 ± 5 | 0.704238 ± 9 | 38 | 6.8 | 0.1082 ± 2 | 0.512849 ± 6 | 4.1 |
| Г-45 | 68 | 932 | 0.2102 ± 6 | 0.704288 ± 7 | 37 | 6.0 | 0.0984 ± 2 | 0.512816 ± 5 | 3.5 |
| Г-46 | 112 | 538 | 0.6047 ± 16 | 0.704380 ± 9 | 44 | 7.1 | 0.0966 ± 3 | 0.512848 ± 5 | 4.1 |
| Г-78 | 29 | 786 | 0.1083 ± 5 | 0.704230 ± 9 | 38 | 6.9 | 0.1089 ± 1 | 0.512838 ± 5 | 3.9 |
| Г-80 | 74 | 852 | 0.2516 ± 8 | 0.704409 ± 9 | 48 | 7.6 | 0.0968 ± 3 | 0.512827 ± 6 | 3.7 |
| Г-85 | 43 | 1014 | 0.1229 ± 4 | 0.704483 ± 9 | 41 | 6.2 | 0.0920 ± 2 | 0.512795 ± 6 | 3.1 |
| Г-90 | 64 | 856 | 0.2160 ± 7 | 0.704381 ± 9 | 35 | 5.5 | 0.0950 ± 2 | 0.512810 ± 5 | 3.4 |
| Г-95 | 56 | 992 | 0.1627 ± 5 | 0.704377 ± 9 | 46 | 6.5 | 0.0943 ± 1 | 0.512821 ± 6 | 3.6 |
| Г-107 | 25 | 624 | 0.1153 ± 6 | 0.704231 ± 9 | 26 | 5.1 | 0.1192 ± 1 | 0.512846 ± 6 | 4.1 |
| Г-109 | 13 | 599 | 0.0611 ± 4 | 0.704286 ± 10 | 18 | 4.0 | 0.1303 ± 1 | 0.512857 ± 5 | 4.3 |
| Г-125 | 16 | 482 | 0.0965 ± 6 | 0.704274 ± 10 | 20 | 4.5 | 0.1364 ± 1 | 0.512826 ± 5 | 3.7 |
РЕЗУЛЬТАТЫ ИЗОТОПНО-ГЕОХРОНОЛОГИЧЕСКИХ ИССЛЕДОВАНИЙ
Результаты K-Ar изотопного датирования (табл. 1) показывают, что на рубеже неогена–плейстоцена магматическая активность в восточной части Центральной Армении развивалась в течение временного интервала 3.5–1.9 млн лет назад. Таким образом, II этап молодого магматизма Гегамской области начался после продолжительного перерыва в вулканической деятельности (предыдущий позднемиоценовый этап завершился ~4.7 млн лет назад) и, в свою очередь, заметно оторван во времени от проявившейся примерно через 1 млн лет (~0.9 млн лет назад) средне-позднечетвертичной магматической активности.
Согласно полученным данным, к наиболее ранним вулканическим образованиям плиоцен-раннечетвертичного этапа на территории рассматриваемого региона относятся лавовые покровы трахиандезитов (около 3.5 млн лет, табл. 1), распространенные в крайней южной части Гегамского хребта, в районе его сочленения с субширотным Варденисским хребтом. Они слагают в том числе гору Цахкавет и ее отроги, в районе которой залегают непосредственно на вулканогенно-осадочных толщах мела–палеогена (рис. 2). Немного более молодой возраст (~3.1 млн лет, табл. 1) имеют локализованные в том же районе шлаковые и лавовые конусы, извергавшие вулканиты основного состава. Среди них – изученный нами конус Кармирблур, расположенный у южного подножья крупного позднеплейстоценового вулкана Армаган. Отметим, что, по нашим данным, продукты магматической активности с возрастом 3.5–3.1 млн лет повсеместно распространены в пределах соседнего Варденисского хребта; при этом средние по составу лавы слагают там так называемую варденисскую свиту и залегают на водораздельной части и северных склонах этой горной гряды (Казарян и др., 1967). Весьма многочисленны в этой части Армении и шлаково-лавовые конусы, которые по стратиграфическим взаимоотношениям являются более поздними по сравнению с лавовыми покровами варденисской свиты. В то же время результаты наших исследований показывают, что кроме крайней южной части, на остальной территории Гегамской неовулканической области позднеплиоценовые магматические образования с аналогичным возрастом (3.5–3.1 млн лет) отсутствуют (рис. 2). Мы предполагаем, что данный импульс эндогенной активности, локально проявленный на юге Гегамского нагорья, необходимо рассматривать как отголосок плиоценового вулканизма, масштабно развивавшегося в пределах Варденисского хребта и ограниченно распространившегося оттуда к северо-западу на территорию Центральной Армении. Отметим, что аналогичная ситуация ранее была установлена нами и для средне-позднечетвертичного этапа магматизма, проявленного в данном регионе: шлаково-лавовые конусы с возрастом около 0.9 млн лет, известные повсеместно на Варденисском хребте, также обнаружены нами локально только в крайней южной части Гегамской области (вулкан Джартар и др., Лебедев и др., 2013а).
Начальный импульс II этапа неоген-четвертичного магматизма собственно Гегамской неовулканической области был проявлен в ее западной и центральной частях (рис. 2). В пределах Котайкского плато широко распространены основные лавы, занимающие средние террасы долины р. Раздан на обоих ее бортах (окрестности г. Бюрегаван и сел Нурнус, Каренис) и во многих местах перекрытые среднечетвертичными вулканитами. Их возраст, согласно полученным нами изотопным данным, относится к концу плиоцена и составляет 2.6–2.5 млн лет (табл. 1). В северной части г. Ереван позднеплиоцен-раннечетвертичные основные лавы слагают уступ высотой первые десятки метров; немного севернее, в районе г. Абовян они образуют так называемые Эларские ворота, через которые проходит автострада Ереван–Севан. Центрами извержения этих вулканитов являются шлаково-лавовые конусы Ариндж и Аван, расположенные на северных окраинах г. Ереван на левом борту долины р. Раздан, а также конус Мурадсар на правом борту долины этой реки (рис. 2). Отметим, что в статье (Балог и др., 1990) приводится ряд K-Ar датировок для молодых базальтовых лав из окрестностей г. Ереван, полученных в лаборатории Института ядерных исследований Венгрии. Разброс полученных значений возраста в цитируемой работе составляет 3.1–2.3 млн лет. Наши новые данные согласуются с указанным временным интервалом, при этом существенно уточняя возраст плиоценовых основных вулканитов, распространенных в этой части Центральной Армении.
Одновозрастные основным вулканитам Котайкского плато лавы базальтовых трахиандезитов обнаружены нами в центральном секторе Гегамского хребта, на его гребне и западных склонах (рис. 2). Отметим, что к настоящему времени на водораздельной части хребта удалось идентифицировать только один конус (Лчаин), активный на рубеже неогена–плейстоцена (~2.6 млн лет назад). Нами была предпринята попытка датирования еще ряда расположенных здесь вулканических аппаратов, эродированных в наибольшей степени, которые по геоморфологическим признакам могли быть отнесены ко II этапу молодого магматизма Гегамской области (Тамк, Кармратумб и др.). Однако все они оказались позднечетвертичными. Вероятно, вопреки мнению предшествующих исследователей (Карапетян, Адамян, 1973) вулканическая активность в центральном секторе Гегамского хребта на рубеже плиоцена–плейстоцена была проявлена в ограниченных масштабах. При этом в северной части хребта по нашим наблюдениям позднечетвертичные вулканиты залегают уже непосредственно или на осадочных толщах мела–палеогена, или на породах палеозойского фундамента, что существенно ограничивает потенциальную возможность присутствия здесь плиоцен-раннечетвертичных магматических образований. Фрагменты лавовых потоков конусов, проявлявших активность в гребневой части центрального сектора Гегамского хребта на II этапе молодого магматизма, сохранились на западных склонах этой горной гряды. В частности, основные лавы с возрастом около 2.6 млн лет найдены нами на водораздельной части Вохчабердского хребта (район сел Гегард–Гехашен), где они перекрывают вулканогенно-обломочные образования вохчабердской свиты.
Наиболее масштабные извержения в течение II этапа магматизма Гегамской области происходили в ее южной части, где в гелазском веке возник крупный стратовулкан Пич. В настоящее время его конус, находящийся в водораздельной части Гегамского хребта, сильно разрушен; на месте бывшего кратера наблюдается крупная, открытая на восток чашеобразная структура, в центре которой находится позднечетвертичный риолитовый купол Спитакасар (рис. 1). Начало активности вулкана Пич (2.30–2.15 млн лет назад, табл. 1) было связано с излиянием лавовых потоков трахиандезитов, которые распространялись от конуса практически во всех направлениях. На востоке они достигли оз. Севан, где в настоящее время слагают так называемый манычарский покров (Багдасарян и др., 1973) на водораздельной части и склонах гряды Гегаргуник и перекрывают озерные осадочные образования миоцена–плиоцена. На западных склонах Гегамского хребта трахиандезитовые лавы плащеобразно покрывают осадочные толщи палеогена (верховья р. Азат); на юге – налегают на средние по составу плиоценовые (~3.5 млн лет) эффузивы горы Цахкавет. Излияния лав, очевидно, сопровождались эксплозивными извержениями: на западном побережье оз. Севан (район г. Гавар) в озерных отложениях нами изучены слои тефры (Shalaeva et al., 2017; Avagyan et al., 2020), имеющей близкий химический состав и возраст с трахиандезитами вулкана Пич (табл. 1). Одновременно с активностью главного аппарата на его юго-восточной периферии возникли конусы-спутники (Ваграмасар и М. Джартар), извергавшие лавы и шлаки среднего состава.
Вторая фаза активности вулкана Пич связана с излияниями трахитовых лав (2.20 ± 0.04 млн лет назад, табл. 1). В настоящее время их покровы наблюдаются преимущественно на восточных склонах Гегамского хребта, где они перекрывают изверженные ранее трахиандезиты. Здесь же нередко встречаются автомагматические брекчии аналогичного им состава. Вероятно, в этот же временной период в гребневой части гряды Гегаргуник возник одноименный риолитовый купол, лавы которого прорывают здесь ранние трахиандезиты. Отметим, что пирокластические отложения кислого состава также наблюдаются и непосредственно на побережье оз. Севан в районе сел Еранос–Дзорагюх (рис. 2).
Заключительный импульс плиоцен-раннечетвертичной магматической активности Гегамской области связан с развитием основного вулканизма в ее восточной части во второй половине гелазского века (2.1–1.9 млн лет назад). На южных склонах вулкана Пич возникла серия вулканических конусов (Вочхаратумб, Парваглух и др.), базальтовые потоки которых перекрыли более ранние магматические образования и сформировали здесь небольшое лавовое плато. В районе г. Гавар располагается одноименное плато, также сложенное гелазскими основными лавами (рис. 1). Центрами их излияния являлся конус Ташацсар и, возможно, еще серия аппаратов, в настоящее время захороненных под позднечетвертичными вулканитами Гегамского хребта. В работе (Багдасарян и др., 1973) описаны стратиграфические взаимоотношения между трахиандезитами манычарского покрова и трахибазальтами Гаварского плато на северном окончании гряды Гегаргуник; согласно данным авторов, основные лавы перекрывают трахиандезиты и, таким образом, являются более молодыми образованиями. Наши K-Ar данные (табл. 1) подтверждают эти наблюдения.
Суммируя вышесказанное, отметим, что на большей части территории Гегамской области II этап неоген-четвертичного магматизма охватывает относительно короткий временной период (2.6–1.9 млн лет назад), хотя на крайней юго-восточной периферии этого региона извержения начались уже на 1 млн лет ранее. На первых импульсах вулканической активности (~2.6 млн лет назад) извержения происходили преимущественно в западной части Гегамского нагорья, где образовались покровы лав исключительно основного состава. К середине гелазского века магматическая активность мигрировала на восток, где в водораздельной зоне Гегамского хребта возник крупный стратовулкан Пич, лавы которого представлены трахиандезитами и трахитами. Наконец, заключительные импульсы II этапа молодого магматизма повторно были связаны с излияниями основных лав из серии малых конусов, но уже в восточном секторе Гегамской области, в том числе на побережье оз. Севан. Таким образом, в период развития плиоцен-раннечетвертичного магматизма в восточной части Центральной Армении (если исключить крайнюю юго-восточную периферию региона) в целом наблюдалась латеральная миграция эндогенной активности с запада на восток (рис. 3). Важно отметить, что, согласно полученным изотопно-геохронологическим данным, большая часть территории Центральной Армении являлась амагматичной в период 4.7–2.6 млн лет, т.е. на протяжении примерно 2 млн лет до начала возобновления здесь вулканических извержений в конце плиоцена. Существенный, хотя и менее продолжительный (~1 млн лет) временной период “затишья” разделял II и III (позднечетвертичный) этапы. При этом продолжительность каждого из трех этапов молодого магматизма составляла около 1 млн лет (настоящая статья, Лебедев и др., 2013а, 2018а). Выраженный дискретный характер развития эндогенной активности на территории рассматриваемого региона в позднем миоцене–плейстоцене, скорее всего, был обусловлен геотектоническими факторами, в том числе формированием новых локальных субмеридиональных зон растяжения (в пределах которых происходила магмогенерация) в условиях общего сжатия и аплифта в постколлизионный период существования АЕКЗ.
РЕЗУЛЬТАТЫ ПЕТРОЛОГО-ГЕОХИМИЧЕСКИХ ИССЛЕДОВАНИЙ
Номенклатура и основные петролого-геохимические характеристики пород
Изученные плиоцен-раннечетвертичные вулканиты Гегамской области характеризуются широким спектром составов и формируют непрерывный ряд базальты + гавайиты–базальтовые трахиандезиты–трахиандезиты–трахиты–риолиты (рис. 4а). При этом в целом среди них преобладают основные и средние породы. Большинство лав относится к умеренно-щелочным магматическим образованиям; на диаграмме SiO2–(Na2O + K2O) заметно, что почти все их точки располагаются одновременно в пределах перекрывающихся полей более ранних (позднемиоценовых) и более поздних (средне-позднечетвертичных) вулканитов Гегамской области (рис. 4а). По соотношению K2O/SiO2 (рис. 4б) большая часть пород относится к высококалиевому типу; исключение составляют основные лавы Котайкского плато, которые являются умеренно-калиевыми, а также поздние трахиты вулкана Пич и риолиты экструзии Гегаргуник (шошонитовый тип). Все без исключения вулканиты являются низкоглиноземистыми (рис. 4в).
Рис. 4.
Классификационные диаграммы для изученных молодых магматических образований Гегамской области: (а) – SiO2–(Na2O + K2O) (Le Bas et al., 1986), (б) – SiO2–K2O (Rickwood, 1989), (в) – A/CNK–A/NK (Shand, 1943). 1 – раннечетвертичные вулканиты восточной части Гегамской области (влк. Пич, Гаварское плато и др.), 2 – плиоценовые вулканиты крайней южной части Гегамской области, 3 – позднеплиоценовые основные лавы Котайкского плато, 4 – позднеплиоценовые основные лавы центральной части Гегамского хребта.

Плиоценовые вулканические породы крайней южной части Гегамской области представлены базальтовыми трахиандезитами (муджиериты: SiO2 – 50.3–52.6 мас. %, (Na2O+K2O) – 5.9–6.2 мас. % при K2O/Na2O – 0.35–0.39) и трахиандезитами (латиты: SiO2 – 56.3–61.9 мас. %, (Na2O + + K2O) – 6.7–6.8 мас. %, при K2O/ Na2O – 0.57–0.70) (рис. 4а, Suppl. 2). Они в целом характеризуются невысокими магнезиальностью (Mg# – 0.41–0.54) и концентрациями Ni (40–70 г/т), Cr (35–120 г/т) и Co (20–30 г/т); при этом вулканиты заметно обогащены Sr (720–1130 г/т), Ba (570–840 г/т) и Zr (180–220 г/т) по сравнению с кларками для основных–средних пород (Соловов и др., 1990). Очевидно, это высокодифференцированные образования, являющиеся продуктом фракционной кристаллизации первичных расплавов. Муджиерит, обр. Г-35, содержит нормативные (CIPW) Ol (9.3%) и Nph (1.1%); в остальных разностях лав присутствует Qz (до 13.2%). Все породы содержат нормативный Di (3–13%) и в большинстве случаев – Hyp (до 11%) (Suppl. 2).
Плиоценовые основные лавы Котайкского плато представлены трахибазальтами (гавайиты), а также базальтовыми трахиандезитами (муджиериты) и известково-щелочными базальтами (рис. 4а). Они содержат 48.5–52.6 мас. % SiO2, 4.2–5.7 мас. % (Na2O + K2O) (при K2O/Na2O – 0.23–0.36) и 5.0–7.2 мас. % MgO (Suppl. 2). В целом это умеренно-дифференцированные образования, характеризующиеся невысокой магнезиальностью (Mg# – 0.48–0.57), широкими вариациями концентраций Ni (50–100 г/т), Cr (80–210 г/т) и Co (30–45 г/т). Наиболее примитивным среди основных лав Котайкского плато (а также всех изученных плиоцен-раннечетвертичных вулканитов Центральной Армении) является базальт, обр. Г-125 (MgO – 7.2 мас. %, Ni – 100 г/т, Cr – 210 г/т, Mg# – 0.57), который, однако, судя по его пониженной магнезиальности, также является продуктом кристаллизационной дифференциации исходной магмы. Как и другие эффузивы Центральной Армении, основные лавы Котайкского плато обогащены Sr (490–660 г/т), Ba (280–480 г/т) и Zr (130–200 г/т) по сравнению с кларками для мафических пород (Соловов и др., 1990). Согласно расчетам нормативного состава (CIPW), они во всех случаях содержат Ol (2.0–12.2%) и Di (11.0–16.4%), иногда Hyp (2.3–11.6%) и редко Nph (до 2.9%) (Suppl. 2).
Основные плиоценовые лавы, обнаруженные нами в центральной части Гегамского хребта, представлены исключительно базальтовыми трахиандезитами (муджиериты: SiO2 – 51.5–53.6 мас. %, (Na2O + K2O) – 5.8–6.1 мас. %, MgO – 5.9–6.1 мас. %). Они характеризуются более высокими величинами отношения K2O/Na2O (0.40–0.44) по сравнению с одновозрастными им основными вулканитами Котайкского плато (Suppl. 2). Это умеренно-дифференцированные магматические образования (Ni – 90–120 г/т, Cr – 115–160 г/т, Co – 30–35 г/т, Mg# – 0.57–0.58), очевидно, являющиеся продуктом эволюции исходных расплавов. Они заметно обогащены Ba (575–645 г/т) и Zr (150–190 г/т), а также в различной степени – Sr (560–1055 г/т) (Suppl. 2). Основные лавы содержат нормативный (CIPW) Di (10.5–11.0%), а также или Ol (до 11.4%) с Nph (до 0.7%), или Hyp (до 13.9%) (Suppl. 2).
Магматические породы вулкана Пич и его конусов-спутников, распространенные на востоке Гегамской области, представлены непрерывной серией составов: базальтовые трахиандезиты (муджиериты) + трахиандезиты (латиты)–трахиты–риолиты. Основные–средние разности вулканитов этого ряда содержат 54.5–60.4 мас. % SiO2, 6.7–7.8 мас. % Na2O+K2O (при K2O/Na2O – 0.55–0.74). Это в целом высокодифференцированные образования с пониженной магнезиальностью (Mg# – 0.42–0.55) и варьирующими в широком диапазоне концентрациями Ni (20–85 г/т), Cr (20–120 г/т), Co (15–30 г/т). По сравнению с описанными выше вулканитами Центральной Армении, раннечетвертичные муджиериты и латиты вулкана Пич и его аппаратов-спутников более существенно обогащены Zr (180–295 г/т) и Ba (700–850 г/т) при аналогичных концентрациях Sr (650–1195 г/т) (Suppl. 2). Муджиериты содержат в небольших количествах (до 1.2%) нормативный (CIPW) Ol; в остальных породах присутствует Qz (1.7–9.2%). Все разности лав, согласно расчетам нормативного минерального состава, содержат Cpx и Opx обычно при доминировании последнего. Поздние трахиты вулкана Пич, а также риолиты экструзии Гегаргуник – это высокодифференцированные образования, которые содержат 62.3–67.8 мас. % SiO2, 8.7–9.6 мас. % (Na2O + K2O) (при K2O/Na2O – 0.80–1.00). Они максимально обогащены Zr (380–430 г/т) и Ba (590–1260 г/т) по сравнению с остальными изученными плиоцен-раннечетвертичными вулканитами Центральной Армении и одновременно характеризуются минимальными концентрациями Sr (80 г/т – в риолитах и 460 г/т – в трахитах) (Suppl. 2). По соотношению Al2O3/FeO трахиты и риолиты относятся к комендитовому типу. Они содержат нормативные (CIPW) Qz (10.1–17.5%) и Di (1.7–2.9%); в трахитах присутствует Hyp (4.9–5.5%).
Раннечетвертичные основные лавы восточной части Гегамской области (Гаварское плато, вулканы Вочхаратумб и Парваглух) представлены трахибазальтами (гавайиты) и реже базальтовыми трахиандезитами (муджиериты) (рис. 4а, Suppl. 2). Они содержат 47.6–51.5 мас. % SiO2, 5.5–6.3 мас. % (Na2O + K2O) (при K2O/Na2O – 0.32–0.40) и 5.4–6.1 мас. % MgO. Это умеренно-дифференцированные породы с невысокой магнезиальностью (Mg# – 0.50–0.56), пониженными концентрациями Ni (60–95 г/т), Cr (65–145 г/т) и Co (25–35 г/т). Они в максимальной степени обогащены Sr (780–1400 г/т) по сравнению с другими плиоцен-раннечетвертичными основными вулканитами Центральной Армении и имеют с последними близкие, существенно превышающие кларковые значения концентрации Ba (480–580 г/т) и Zr (125–220 г/т). Все лавы содержат нормативные (CIPW) Ol (8.0–11.4%) и Di (10.3–17.9%), часто – Nph (2.0–8.6%) и изредка – Hyp (до 3.3%) (Suppl. 2).
Таким образом, важными особенностями изученных плиоцен-раннечетвертичных вулканитов Гегамской области являются: (1) принадлежность основных лав к натриевому ряду (гавайиты–муджиериты), а средних – к калиевому (латиты); (2) присутствие нормативного Cpx во всех разностях пород вне зависимости от их состава.
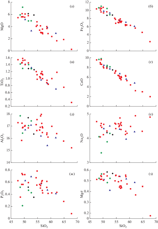
На бинарных диаграммах Харкера для породообразующих оксидов (рис. 5) заметно наличие общей для всех изученных плиоцен-раннечетвертичных вулканических пород Гегамской области отрицательной корреляции между содержаниями MgO, Fe2O3, MnO (график не показан), TiO2, CaO и количеством в них кремнезема. Содержания Al2O3 и Na2O в лавах фактически постоянны и не зависят от типа пород (рис. 5д, 5е); однако заметно, что среди основных вулканитов в наибольшей степени обеднены натрием (трахи-)базальты Котайкского плато. Количество фосфора в большинстве изученных пород варьирует в широком диапазоне (0.3–0.8 мас. %), не показывая какой-либо выраженной корреляции с содержанием в них SiO2 (рис. 5ж). Тем не менее в наибольшей степени обеднены P2O5 самые кислые разности вулканитов. На диаграмме SiO2–K2O (рис. 4б) точки всех изученных лав формируют общий положительный тренд. Магнезиальность пород плавно уменьшается в ряду от основных к средним и умеренно-кислым разностям (Mg# от 0.6–0.5 до 0.5–0.4) и резко cнижается в риолитах экструзии Гегаргуник (Mg# около 0.2) (рис. 5з).
Рис. 5.
Бинарные диаграммы Харкера, показывающие соотношения содержаний кремнезема и главных породообразующих оксидов (мас. %) в изученных молодых магматических образованиях Гегамской области. Условные обозначения см. рис. 4.

Концентрации когерентных микроэлементов в изученных плиоцен-раннечетвертичных магматических породах демонстрируют отрицательную корреляцию с содержанием в них SiO2; на бинарных диаграммах Харкера точки вулканитов всего спектра составов из разных частей Гегамской области формируют единые, с различной четкостью выраженные негативные тренды (рис. 6а–6в). Наиболее хорошо заметны они для V и Co, в наименьшей степени – для Cr и Sc. Концентрации большинства крупноионных литофильных элементов (LILE – щелочные металлы, Be, Ba) показывают положительную корреляцию с содержанием кремнезема в лавах (например, рис. 6г). Исключением является Sr, концентрация которого (на фоне заметного обогащения пород этим микроэлементом) существенно варьирует, и только для трахитов – риолитов восточной части Гегамского нагорья заметна ее негативная корреляция по отношению к количеству SiO2 в вулканитах (рис. 6ж). Распределение высокозарядных элементов (HFSE) в магматических породах в целом характеризуется наличием положительной корреляции их концентраций с содержанием SiO2. Наиболее четко позитивные тренды выражены на бинарных диаграммах Харкера для U, Th и Pb (например, рис. 6д, 6е); для Zr, Hf, Nb, Ta они более размытые (например, рис 6з, 6и). Концентрации легких редкоземельных элементов (LREE – La–Pr) демонстрируют положительную корреляцию с содержанием кремнезема в вулканитах (например, рис. 6к), средних (MREE – Nd–Tb), включая Eu, – варьируют вне зависимости от типа пород (например, рис. 6л), тяжелых (HREE – Dy–Lu) – закономерно снижаются в более кислых лавах (например, рис. 6м). При этом на диаграмме SiO2–Eu (рис. 6л) заметен короткий негативный тренд в области составов самых кислых плиоцен-раннечетвертичных магматических образований Гегамской области. Концентрация Y в вулканитах меняется в широком диапазоне (15–35 г/т) и не связана с содержанием в них SiO2. Транзитные (рудные) микроэлементы демонстрируют различные закономерности при распределении в изученных магматических породах: концентрации Cu и Zn поступательно снижаются от основных к кислым разностям вулканитов (например, рис. 6н), Mo, W и Bi – показывают обратную зависимость (например, рис. 6о), а Ag и Cd – остаются постоянными (например, рис. 6п).
Рис. 6.
Бинарные диаграммы Харкера, показывающие соотношения содержания кремнезема (мас. %) и концентраций микроэлементов (г/т) в изученных молодых магматических образованиях Гегамской области. Условные обозначения см. рис. 4.

На спектрах распределения микроэлементов в изученных магматических породах Центральной Армении, нормированных по отношению к составу примитивной мантии (рис. 7а), заметно обогащение основных вулканитов LILE (от 5 до 50 раз), HSFE (от 10 до 100 раз), LREE и MREE (от 20 до 50 раз) и в меньшей степени HREE (в среднем около 5 раз). Наблюдается небольшая отрицательная аномалия для Nb и Ta и положительная – для Ba и Th. В целом характер распределения микроэлементов в плиоцен-раннечетвертичных основных лавах Гегамской области является промежуточным между таковым для базальтов океанических островов (OIB) и обогащенных базальтов срединно-океанических хребтов (E-MORB). Средние и умеренно-кислые по составу породы показывают дальнейшее обогащение LILE (от 50 до 100 раз), HSFE, LREE и MREE (от 20 до 100 раз) при комплементарном небольшом обеднении HREE по сравнению с (трахи-)базальтами и муджиеритами (рис. 7а). Для риолита, обр. Г-12, характерны максимальные концентрации щелочных металлов, Ba, Th, U и четко выраженные отрицательные аномалии в спектре распределения в отношении Sr, P и Ti.
Рис. 7.
Спектры распределения микроэлементов, нормированные к составу примитивной мантии (а), и REE, нормированные к составу хондритового резервуара (б), для изученных молодых магматических образований Гегамской области. Данные для нормирования взяты из работ (Sun, McDonough, 1989; Boynton, 1984). OIB – базальты океанических островов, E-MORB – обогащенные базальты срединно-океанических хребтов, N-MORB – нормальные базальты срединно-океанических хребтов. Условные обозначения см. рис. 4.

Спектры распределения REE в изученных плиоцен-раннечетвертичных вулканитах Гегамской области, нормированные по отношению к составу хондритов (рис. 7б), в целом имеют пологий наклон и в секторе HREE являются субгоризонтальными. Они демонстрируют преимущественное обогащение наиболее примитивных основных лав LREE по сравнению с MREE (LaN/SmN – 2.7–3.9) и HREE (LaN/YbN – 5.5–10.0). Характер распределения REE в (трахи-)базальтах в целом является промежуточным между таковым для OIB и E‑MORB. Средние по составу породы по сравнению с основными разностями лав характеризуются более заметным обогащением LREE по отношению к хондритовому резервуару, близкими концентрациями MREE и меньшими – HREE (LaN/SmN – 4.2–7.0, LaN/YbN – 11.0–23.5). Трахиты и риолиты отличаются максимальным содержанием LREE (с обогащением по отношению к хондритам более чем в 100 раз), но существенно обеднены HREE по сравнению с близкими им по возрасту основными вулканитами (LaN/SmN – 6.5–8.8, LaN/YbN – 17.3–22.0). Европиевая аномалия в спектрах распределения всех изученных пород, вне зависимости от их состава, не выражена (Eu/Eu* – 0.86–1.14, рис. 7б).
Большинство изученных плиоцен-раннечетвертичных вулканитов Гегамской области характеризуется узким диапазоном начального изотопного состава стронция, рассчитанного с учетом возраста образцов (87Sr/86Sr – от 0.70423 до 0.70448), и неодима (143Nd/144Nd – от 0.51280 до 0.51286 или от +3.1 до +4.3 в единицах εNd) (табл. 2). Исключением является образец риолита Г-12 из экструзии Гегаргуник, заметно обогащенный радиогенным стронцием (87Sr/86Sr – 0.7051) и комплементарно обедненный радиогенным неодимом (143Nd/144Nd – 0.51277, εNd = +2.5). Четкая зависимость между содержанием SiO2 и отношением 87Sr/86Sr в лавах отсутствует; аналогично не установлено корреляции между содержанием MgO и величиной εNd в породах. На Sr–Nd изотопной диаграмме (рис. 8) точки составов изученных пород преимущественно лежат в I квадранте, где формируют компактное скопление. Исключение составляет риолит, обр. Г-12, точка которого заметно сдвинута вправо во II квадрант. В целом поле плиоцен-раннечетвертичных лав Гегамской области на диаграмме занимает промежуточное положение (с частичным перекрытием) между полями позднемиоценовых (имеют более обогащенный состав) и средне-позднечетвертичных (имеют более деплетированный состав) вулканитов, распространенных в этом регионе. В том же месте диаграммы сгруппированы точки раннечетвертичных (2.5–1.5 млн лет) вулканитов Джавахетского нагорья (СЗ часть горной системы Малого Кавказа) и позднемиоценовых трахибазальтов Центрально-Грузинской области Большого Кавказа.
Рис. 8.
Sr–Nd изотопная диаграмма для молодых лав Малого Кавказа и смежных районов Восточной Турции. Использованы данные из настоящей работы и статей (Лебедев и др., 2003, 2006, 2007, 2012, 2013а, 2014, 2018а; Меликсетян, 2012; Бубнов и др., 2014; Neil et al., 2015; Özdemir, Güleç, 2014; Lebedev et al., 2016; Oyan et al., 2016). Красным цветом показаны точки позднемиоценовых лав, синим – плиоцен-раннечетвертичных лав, зеленым – средне-позднечетвертичных лав. 1 – Джавахетское нагорье (грузинская и армянская части), 2 – Гегамское нагорье, 3 – влк. Арагац, 4 – влк. Порак (Варденисское нагорье), 5 – Эрушетское нагорье, 6 – интрузии тешенитов СЗ части Малого Кавказа (район г. Ахалцихе), 7 – состав мантийных источников: CA (N1-I) – для позднемиоценовых лав Гегамской области, ранние фазы активности, CA (N1-II) – для позднемиоценовых лав Гегамской области, поздняя фаза активности, GC, CA (N2–Q) – для молодых магматических пород Большого Кавказа, а также плиоцен-четвертичных вулканитов Гегамской и Арагацкой областей Малого Кавказа, J-I и J-II – для плиоценовых и раннечетвертичных лав Джавахетской области Малого Кавказа, NV – для плиоценовых лав Северо-Ванской области, S – для влк. Сюпан, T – для влк. Тендюрек.

Основные петрографические характеристики пород
Изученные плиоцен-раннечетвертичные вулканические образования Гегамской области обычно представляют собой порфировые, редко афировые породы с массивной или пористой текстурой. Петрографические характеристики конкретных образцов приведены в Suppl. 1; ниже рассмотрены обобщенные данные для разновозрастных, отличающихся по химическому составу групп вулканитов, выделенных нами в рамках настоящей работы.
В плиоценовых порфировых трахиандезитах, распространенных на южной периферии Гегамской области, сквозными минералами фенокристов (5–15% от объема породы) являются Pl и Cpx, к которым в различных образцах добавлены или Amp, или Ol. Основная масса пород – гиалопилитовая или интергранулярная, сложена лейстами Pl, вулканическим стеклом, а также микрокристаллами Amp (редко – Ol) и рудных минералов (рис. 9а). Среди акцессорных фаз отмечено присутствие Zrn и Ap. Пористые порфировые базальтовые трахиандезиты конуса Кармирблур, расположенного в этой же части изученного региона, содержат ассоциацию фенокристов (10–20% от объема породы) – Pl + Cpx + Amp (рис. 9б). Крайне редко присутствуют вкрапленники Opx. Основная масса этих пород – интергранулярная, сложена лейстами Pl, микрокристаллами Cpx и рудных минералов, вулканическим стеклом. Акцессорные минералы представлены Zrn и Ap.
Рис. 9.
Фотографии шлифов изученных пород Гегамской неовулканической области (николи скрещены). (а) – латит с гиалопилитовой основной массой (южная часть Гегамского хребта, обр. Г-40), (б) – муджиерит с интергранулярной основной массой (влк. Кармирблур, обр. Г-36), (в) – муджиерит с пилотакситовой основной массой (Вохчабердский хребет, обр. Г-104), (г) – трахибазальт с интерсертальной основной массой (Эларские ворота, обр. Г-109), (д) – латит с интерсертальной основной массой (манычарский покров, обр. Г-6), (е) – латит с гиалопилитовой основной массой (манычарский покров, обр. Г-10), (ж) – трахит с гиалопилитовой основной массой (восточный склон Гегамского хребта, обр. Г-52), (з) – риолит с гиалопилитовой основной массой (влк. Гегаргуник, обр. Г-12), (и) – трахибазальт с интергранулярной основной массой (влк. Вочхаратумб, обр. Г-86), (к) – муджиерит с гиалопилитовой основной массой (Гаварское плато, обр. Г-1).

Плиоценовые базальтовые трахиандезиты центрального сектора Гегамского хребта – это пористые или массивные порфировые вулканиты (рис. 9в). Фенокристы (5–15% от объема породы) представлены Pl, Cpx и Ol. В некоторых образцах присутствуют ксенокристы Qz. Основная масса пород может иметь интергранулярную, пилотакситовую, гиалопилитовую или микролитовую структуру. Она сложена микрокристаллами той же ассоциации минералов (Pl + Cpx + Ol), а также вулканическим стеклом и титаномагнетитом. Иногда присутствует акцессорный Ap. Основные лавы Котайкского плато (гавайиты, базальты и базальтовые трахиандезиты) имеют близкий петрографический облик. Это массивные, реже пористые редкопорфировые породы, фенокристы которых представлены ассоциацией Ol + Pl(±Cpx) (рис. 9г). Основная масса лав – интерсертальная или интергранулярная, сложена лейстами Pl, микрокристаллами Ol и иногда Cpx, вулканическим стеклом и выделениями рудного минерала.
Трахиандезиты и трахиты вулкана Пич, а также близкие им по составу эффузивы конусов Ваграмасар и М. Джартар в целом имеют сходный петрографический облик. Это массивные или пористые породы, обычно с порфировой (фенокристы – 5–30% от объема породы), в редких случаях афировой структурой (рис. 9д–9ж). Вкрапленники представлены ассоциацией Pl и Cpx, к которым часто добавлен Ol. Иногда в небольших количествах в породах присутствуют фенокристы Amp и Opx. Основная масса лав обычно интерсертальная или гиалопилитовая; также в некоторых образцах отмечены интерганулярная, пилотакситовая, флюидальная и микролитовая структуры. В составе матрицы лав преобладают микролиты Pl и микрокристаллы Cpx (в некоторых породах Cpx + Ol); также присутствуют вулканическое стекло и выделения рудных минералов. В трахитах в основной массе изредка встречаются чешуйки Bt, а также акцессорные Ap и Zrn.
Риолиты купола Гегаргуник – это массивные порфировые лавы, количество фенокристов в которых достигает 20 об. %. Последние представлены Pl, Bt, а также второстепенным Ano. Основная масса пород – гиалопилитовая, сложена микролитами Pl, вулканическим стеклом, рудными минералами (рис. 9з). Присутствует акцессорный Ap.
Гавайиты Гаварского плато обычно имеют пористую, реже массивную текстуру. Это порфировые породы (общее количество фенокристов – 5–15% от объема пород), вкрапленники которых представлены Pl, Ol и иногда Cpx. Основная масса лав – интергранулярная или гилопилитовая, сложена микролитами Pl, микрокристаллами Cpx (в некоторых вулканитах – Cpx и Ol), вулканическим стеклом (в части образцов полностью отсутствует) и выделениями рудных минералов (рис. 9к). Среди акцессорных фаз отмечено присутствие Ap. Раннечетвертичные основные лавы (трахибазальты и базальтовые трахиандезиты) южной части Гегамской области являются пористыми, реже массивными породами с порфировой структурой (общее количество фенокристов – 10–15% от объема пород). Вкрапленники представлены ассоциацией Pl + Ol + Cpx. Основная масса вулканитов имеет интерсертальную, интергранулярную или гиалопилитовую структуру и сложена микрокристаллами тех же минералов, а также вулканическим стеклом и титаномагнетитом (рис. 9и). В некоторых образцах присутствует акцессорный Zrn.
Суммируя вышесказанное, отметим, что в изученных плиоцен-раннечетвертичных вулканитах Гегамской области Cpx является сквозным мафическим минералом, присутствующим в абсолютном большинстве образцов. В основных лавах он обычно входит в состав ассоциации Pl + Ol + Cpx, в средних – Pl + Cpx ± Ol ± Amp. Ортопироксен встречается крайне редко. Особое место занимают риолиты купола Гегаргуник, в которых на фоне присутствия щелочного полевого шпата единственным мафическим минералом является Bt. Как отмечено выше, Cpx присутствует во всех изученных вулканитах и согласно расчетам их нормативного (CIPW) минерального состава (Suppl. 2).
ОБСУЖДЕНИЕ РЕЗУЛЬТАТОВ ПЕТРОЛОГО-ГЕОХИМИЧЕСКИХ ИССЛЕДОВАНИЙ
Роль процессов кристаллизационной дифференциации и смешения магм
Наличие общих эволюционных трендов на бинарных диаграммах Харкера (как для главных породообразующих оксидов, так и многих реперных микроэлементов; рис. 5, 6) для образовавшихся в течение узкого временного интервала (3.5–1.9 млн лет назад), контрастно отличающихся по химическому составу, но имеющих близкие Sr-Nd изотопные характеристики умеренно-щелочных вулканитов, распространенных на ограниченной территории (60 × 50 км) в пределах Центральной Армении (рис. 1, 2), свидетельствует о том, что изученная ассоциация изверженных пород может рассматриваться в качестве единого магматического комплекса. Мы предполагаем, что все плиоцен-раннечетвертичные вулканиты Гегамской области имели общий источник материнских расплавов и генетически связаны между собой в рамках геохимической эволюции одной и той же магматической системы, в результате которой произошло образование наблюдаемого непрерывного ряда составов (трахи-)базальты–муджиериты–латиты–трахиты–риолиты. Некоторая региональная специфика петролого-геохимических характеристик пород, образовавшихся в разных частях Гегамской области, имеет место (например, базальты Котайкского плато отличаются пониженным содержанием Na2O по сравнению с основными лавами из других районов; рис. 5е), но ее значение весьма ограниченно.
Содержание MgO в базальте, обр. Г-125, наиболее примитивном из изученных плиоцен-раннечетвертичных лав Гегамской области, составляет около 7 мас. % (Suppl. 2) при невысоких концентрациях в нем Ni, Co и Cr (95, 40 и 210 г/т соответственно), а также пониженной магнезиальности (Mg# – 0.57). В остальных основных вулканитах количество MgO не превышает 6 мас. %. Это дает основание предполагать, что дифференциация магм началась в глубинном очаге еще на стадии зарождения вулканической активности под регионом с типичным для таких случаев фракционированием из расплава ассоциации Ol + Spl. Появление линейных трендов на многих бинарных диаграммах Харкера (рис. 5, 6) может свидетельствовать о том, что ведущим процессом в образовании изученной ассоциации пород являлась кристаллизационная дифференциация (FC), возможно, в сочетании или без нее с ассимиляцией материала вмещающих коровых толщ (AFC) и смешением расплавов (De Paolo, 1981). Для оценки роли FC-процесса и выявления возможного участия в петрогенезисе лав смешения расплавов мы использовали бинарную диаграмму, на которой вариации концентрации когерентного элемента (Ni) во всем ряду составов изученных пород сопоставлены с изменением концентрации некогерентного (Rb). На графиках подобного вида доминирование FC-процесса приведет к появлению тренда, описываемого гиперболой. Степень ее кривизны будет зависеть от различия между значениями коэффициентов распределения (KD) для обоих компонентов в системе минерал–расплав: чем больше разница в значениях KD, тем степень кривизны должна быть выше. В случае, если ведущую роль играли процессы смешения расплавов, точки пород будут формировать линейные тренды между крайними составами. При более сложной ситуации, когда на разных этапах эволюции магматической системы кристаллизационная дифференциация была проявлена в комбинации со смешением, точки будут образовывать размытое облако (Keskin et al., 2012). Как видно на рис. 10, на диаграмме Ni–Rb точки большинства изученных плиоцен-раннечетвертичных вулканитов Гегамской области формируют гиперболическую эволюционную зависимость с высокой степенью кривизны тренда. Следовательно, ведущим процессом в формировании данных пород являлась именно кристаллизационная дифференциация; роль процессов смешения в их петрогенезисе, скорее всего, была подчиненной (на диаграмме видно, что процессы смешения могли играть определенную роль в петрогенезисе некоторых средних и умеренно-кислых по составу вулканитов). Отметим, что при оптическом изучении шлифов латитов, трахитов и риолитов не были обнаружены какие-либо явные петрографические признаки гибридизма, указывающие на образование лав в результате смешения магм различного состава (см. выше).
Рис. 10.
Диаграмма Ni–Rb для плиоцен-раннечетвертичных магматических пород Гегамской области, иллюстрирующая ведущую роль FC-процесса в их петрогенезисе. KD(Ni) для оливина – 14, KD(Rb) для оливина – 0.01, KD(Ni) для клинопироксена – 7, KD(Rb) для клинпироксена – 0.03 (Rollinson, 1993). Предположительный состав исходной магмы соответствует составу базальта, обр. Г-125. Условные обозначения см. рис. 4.

Четкие обратные линейные зависимости (к которым тяготеют точки всех изученных вулканитов) между содержанием SiO2, с одной стороны, и TiO2, MgO, Fe2O3, CaO (рис. 5), V, Co, HREE (рис. 6), с другой стороны, наличие менее выраженной негативной корреляции между содержанием кремнезема и концентрациями Ni и Cr в лавах, отсутствие положительных трендов на графике SiO2–Sr и отрицательной Eu-аномалии в спектрах распределения REE (рис. 7б) в совокупности с наблюдаемыми в лавах парагенезисами фенокристов позволяют сделать вывод о ведущей роли фракционирования Cpx и Ti-содержащих рудных минералов в течение большего периода геохимической эволюции магм. Отсутствие четкого негативного тренда на диаграмме SiO2–Ni (рис. 6а) и резкого снижения магнезиальности пород (рис. 5з) в ряду составов (трахи-)базальты → муджиериты существенно ограничивает участие Ol в FC-процессах на ранних стадиях эволюции магматической системы. Содержания Na2O и Al2O3, а также концентрация Sr не показывают корреляции с содержанием кремнезема в лавах; только в самых кислых породах изученной ассоциации начинается заметное снижение количества двух последних компонентов (рис. 5д, 5е, 6ж). Аналогичное поведение демонстрирует и Eu (рис. 6л); кроме того, отсутствует отрицательная аномалия этого элемента в спектрах распределения REE (рис. 7б). Эти факторы свидетельствуют в пользу того, что осаждение кальциевого Pl из расплава могло начаться только на самых поздних стадиях магматического процесса. Индифферентное поведение P2O5 практически на всех стадиях геохимической эволюции магм (рис. 5ж), кроме заключительной, а также заметное накопление в остаточных расплавах LREE, Nb и Ta (рис. 6и, 6к) предполагает, что Ap принимал участие в качестве кумулусной фазы также только на заключительной стадии кристаллизационной дифференциации. Относительное постоянство концентраций MREE и Y в вулканитах указывает на отсутствие Amp среди кумулусных фаз в течение всего периода развития FC-процессов; заметное возрастание концентраций Zr от основных к кислым лавам аналогично ограничивает участие Zrn в кристаллизационной дифференциации расплавов. Отметим, что LILE (за исключением Na и Sr), а также U, Th и Pb на протяжении всех временных отрезков эволюции плиоцен-раннечетвертичной магматической системы Гегамской области являлись четко несовместимыми элементами (рис. 4–6) и накапливались в остаточных расплавах.
На спектрах распределения для изученных магматических пород Центральной Армении (рис. 7) заметно их постепенное обогащение в ряду от основных к кислым разностям несовместимыми микроэлементами (LILE – Cs, Rb, Ba, кроме Sr; HSFE – Th, Pb, U, Ta, Nb, Zr), а также LREE, с комплементарным обеднением Ti и HREE. Для риолитов экструзии Гегаргуник видны выраженные отрицательные аномалии в отношении Sr, P и Ti. Перечисленные закономерности хорошо согласуются с отмеченными выше особенностями протекания FC-процессов на разных этапах эволюции рассматриваемой магматической системы.
На диаграмме Y–Rb (Pearce et al., 1990) показаны основные FC-тренды для изученных плиоцен-раннечетвертичных лав Гегамской области (рис. 11). Обычно вулканиты, демонстрирующие положительную корреляцию между концентрациями в них Y и Rb, рассматриваются как ассоциирующие с удалением из расплава безводных фаз (Ol, Pl, Px, Mag), а отрицательную – с осаждением в кумулус преимущественно “водных” парагенезисов, включающих амфибол (Pearce et al., 1990). Наблюдаемые на рис. 11 зависимости позволяют предположить ведущую роль Cpx в FC-процессе на стадиях формирования основных и средних по составу расплавов; для кислых лав кристаллизационная дифференциация могла сопровождаться осаждением из магмы Pl.
Рис. 11.
Диаграмма Y–Rb (Pearce et al., 1990) с FC-трендами для изученных плиоцен-раннечетвертичных вулканитов Центральной Армении. (b) – фракционирование в основных магмах, (i) – фракционирование в средних магмах, (i–а) – фракционирование в умеренно-кислых магмах. Другие условные обозначения см. рис. 4.

На основании вышесказанного, можно сделать вывод о том, что FC-процессы играли первостепенную роль в петрогенезисе плиоцен-раннечетвертичных магматических образований Гегамской области. Ведущей минеральной фазой кристаллизационной дифференциации на всех ее стадиях являлся Cpx. Для основных расплавов кумулусная ассоциация была представлена парагенезисом Cpx + Ti-Mag + (Ol), для средних и умеренно-кислых – Cpx + Ti-Mag, для кислых Cpx + Ti-Mag + + Pl + Ap. Амфибол не принимал заметного участия в FC-процессах. Таким образом, магмы, генерируемые в мантийном источнике под Гегамским нагорьем, в плиоцен-раннечетвертичное время были преимущественно безводными, в отличие от изверженных в этом регионе ранее (поздний миоцен), на I этапе постколлизионного магматизма водонасыщенных расплавов, в геохимической эволюции которых ведущую роль играло фракционирование Amp (Лебедев и др., 2018а).
Коровая ассимиляция
Малые вариации изотопных отношений Sr и Nd (87Sr/86Sr – от 0.70423 до 0.70448 и 143Nd/144Nd – от 0.51280 до 0.51286) в изученных плиоцен-раннечетвертичных лавах, вне зависимости от их состава, существенно ограничивают роль процессов коровой ассимиляции в петрогенезисе изученных вулканитов (табл. 2). С учетом того, что все проявления молодого магматизма Гегамской области локализованы в пределах Армянского блока, фундамент которого сложен палеозойскими гранитно-метаморфическими комплексами с высоко-радиогенным изотопным составом Sr (87Sr/86Sr > 0.720; Багдасарян, Гукасян, 1985), ассимиляция с поднимающимися к поверхности расплавами вещества верхней коры должна была привести к заметному сдвигу изотопных характеристик изверженных пород. Фактически этого не наблюдается. Отсутствие линейных трендов смешения на диаграмме Ni–Rb (рис. 10) также ставит под сомнение контаминацию исходных расплавов материалом древних вмещающих толщ. Единственным исключением среди всех изученных образцов является риолит экструзии Гегаргуник (обр. Г-12: 87Sr/86Sr – 0.7051, 143Nd/144Nd – 0.51277), магма которого, очевидно, сформировалась в результате AFC-процессов.
Незначительная роль коровой ассимиляции в петрогенезисе расплавов, согласно опубликованным данным, наблюдается также для позднемиоценовых и средне-позднечетвертичных вулканитов Гегамской области (Лебедев и др., 2013а, 2018а) и большинства молодых пород соседних неовулканических областей Малого Кавказа – Джавахетской и Арагацкой (рис. 8; Лебедев и др., 2003, 2007, 2012, 2014; Меликсетян, 2012; Neil et al., 2015). Положение точек плиоцен-раннечетвертичных лав Центральной Армении на Sr–Nd изотопной диаграмме (рис. 8) между полями более ранних и поздних магматических образований (I и III этапов постколлизионного вулканизма), распространенных на территории этого региона, вероятно, в первую очередь определяется изотопными параметрами разновозрастных мантийных источников и уже потом – малыми вариациями отношений 87Sr/86Sr и 143Nd/144Nd как следствие весьма ограниченного участия процессов коровой ассимиляции. Иная картина наблюдается для смежных неовулканических областей Восточной Турции, расположенных в пределах Восточноанатолийской субдукционно-аккреционной призмы, где роль вещества верхней коры (в первую очередь терригенно-осадочных толщ) в петрогенезисе магм, давших средние–кислые вулканиты, была весомой (рис. 8; Özdemir, Güleç, 2014; Oyan et al., 2016; Lebedev et al., 2016).
Природа разновозрастных мантийных источников Гегамской области
Ключевые особенности мантийного источника плиоцен-раннечетвертичных лав Гегамской неовулканической области интересно рассмотреть с учетом эволюционного аспекта, сравнив его характеристики с таковыми для мантийных резервуаров, ответственных за магмогенерацию под регионом в более ранний период (на I – позднемиоценовом этапе постколлизионного магматизма) и последующее время (на III – средне-позднечетвертичном этапе магматизма). Результаты петролого-геохимического изучения вулканитов I и III этапов были опубликованы нами ранее (Лебедев и др., 2013а, 2018а).
Характер распределения микроэлементов и REE в разновозрастных основных лавах Гегамской области (рис. 12) в целом является промежуточным между таковым для усредненных составов базальтов океанических островов (OIB) и обогащенных базальтов срединно-океанических хребтов (E-MORB). Таким образом, очевидно, что на всех этапах развития позднекайнозойского магматизма в пределах Центральной Армении магмогенерация происходила в мантийных источниках, обогащенных по отношению к составу примитивной мантии (преимущественно LILE и в меньшей степени HFSE и REE). При этом спектры распределения микроэлементов и REE в позднемиоценовых и средне-позднечетвертичных основных вулканитах близки к таковым для OIB с заметными негативными аномалиями для Nb, Ta, Zr, Ti, MREE (обеднение позднемиоценовых лав MREE, как показано в статье (Лебедев и др., 2018а), скорее всего, было связано с фракционированием из расплавов Amp на ранних стадиях магматического процесса). Спектры для плиоцен-раннечетвертичных лав (в особенности для базальтов Котайкского плато) демонстрируют меньшее обогащение в отношении LILE и HFSE, также при наличии Nb–Ta отрицательной аномалии; на мультиэлементных диаграммах (рис. 12) по концентрациям многих компонентов они сходны с таковыми для базальтов типа E-MORB.
Рис. 12.
Спектры распределения микроэлементов, нормированные к составу примитивной мантии (а), и REE, нормированные к составу хондритового резервуара (б), для разновозрастных основных (SiO2 < 55 мас. %) вулканитов Гегамской области. Данные для нормирования взяты из работ (Sun, McDonough, 1989; Boynton, 1984). 1 – средне-позднечетвертичные лавы, 2 – позднемиоценовые лавы, 3 – плиоцен-раннечетвертичные лавы. Другие условные обозначения см. рис. 7.

На диаграмме Ta/Yb–Th/Yb (Pearce, 1983) заметно, что эволюционные тренды (FC или AFC) для разновозрастных вулканитов Гегамской области начинаются в поле мантийной последовательности, на его участке между конечными составами OIB и E-MORB (рис. 13). При этом источники для пород I и III этапов постколлизионного магматизма, скорее, относятся к обогащенным мантийным резервуарам OIB типа; близкие по петролого-геохимическим характеристикам к позднемиоценовым и средне-позднечетвертичным основным лавам Центральной Армении базальтовые расплавы были извержены в позднем кайнозое в пределах клина Аравийской плиты (Keskin et al., 2012) и на Большом Кавказе (Лебедев и др., 2006). Эволюционный тренд для позднеплиоцен-раннечетвертичных вулканитов начинается в области менее обогащенного резервуара E-MORB (рис. 13). Подобные по составу мантийные источники в пределах АЕКЗ были ответственны за генерацию расплавов на территории Северо-Ванской и Джавахетской областей в плиоцене (Neil et al., 2015; Oyan et al., 2016), а также для крупнейших позднечетвертичных вулканов Восточной Турции – Сюпан и Тендюрек (Özdemir, Güleç, 2014; Lebedev et al., 2016).
Рис. 13.
Диаграмма Ta/Yb–Th/Yb (Pearce, 1983) для разновозрастных основных вулканитов Гегамской области, а также других регионов Кавказа и Восточной Анатолии. Использованы данные из работ (Джрбашян и др., 2007; Лебедев и др., 2013а, 2018а; Keskin et al., 2012; Lebedev et al., 2016; Neil et al., 2015; Özdemir, Güleç, 2014; Oyan et al., 2016). SC – субдукционная компонента, MANTLE ARRAY – мантийная последовательность. Другие условные обозначения – см. рис. 7.

На известных петрогенетических диаграммах (рис. 14) точки изученных разновозрастных основных вулканитов Гегамской области в большинстве случаев также тяготеют к области обогащенных мантийных источников OIB и E-MORB. На графике Nb/Ta–Zr/Nb (Oyan et al., 2016) точки базальтов и базальтовых трахиандезитов I и III этапов постколлизионного магматизма образуют компактное скопление, а плиоцен-раннечетвертичных основных лав – формируют субгоризонтальный эволюционный тренд, начинающийся в области составов резервуара E-MORB (рис. 14а). Аналогично на диаграмме Zr/Y–Nb/Y (Fitton et al., 1997) точки базальтов и базальтовых трахиандезитов раннего и позднего этапов магматизма сдвинуты к полю базальтов океанических островов; точки вулканитов II этапа сгруппированы в области источника E-MORB (рис. 14б). На графике La/Yb–Th/Nb (Hollocher et al., 2012) поле разновозрастных основных лав Гегамской области расположено на границе секторов базальтов океанических островов и щелочных дуг с заметным смещением вверх точек самых ранних (позднемиоценовых) вулканитов (рис. 14в). На тройной диаграмме Zr/4–2Nb–Y (Meschede, 1986) расположение точек плиоцен-раннечетвертичных базальтов и базальтовых трахиандезитов соответствует составам внутриплитных толеитов, в то время как точки средне-позднечетвертичных основных лав лежат в области внутриплитных щелочных базальтов, а позднемиоценовых – занимают промежуточную позицию (рис. 14г). На графике Zr–Zr/Y (Pearce, Norry, 1979) точки лав I и III этапов магматизма, с одной стороны, и II этапа, с другой стороны, формируют в поле внутриплитных базальтов два отдельных эволюционных тренда от источника OIB типа к источнику типа E-MORB (рис. 14д). Наконец, на диаграмме Yb–Th/Ta (Schandl, Gorton, 2002) разновозрастные основные лавы Гегамской области формируют единый непрерывный субвертикальный эволюционный тренд из поля пород активных континентальных окраин в поле пород внутриплитных вулканических зон (рис. 14е).
Рис. 14.
Петрогенетические диаграммы: (а) – (Oyan et al., 2016); (б) – (Fitton et al., 1997, Condie, 2005); (в) – (Hollocher et al., 2012); (г) – (Meschede, 1986); (д) – (Pearce, Norry, 1979); (е) – (Schandl, Gorton, 2002) – для основных (SiO2 < < 55 мас. %) магматических пород Гегамской неовулканической области. Данные по составу мантийных резервуаров (см. рис. 7) взяты из работ: примитивная мантия (PM), N-MORB, E-MORB, OIB – (Sun, McDonough, 1989); деплетированные базальты срединно-океанических хребтов D-MORB (W–H) – (Workman, Hart, 2005) и D-MORB (I) – (Ionov et al., 2002), DEP и DMM – (Fitton et al., 1997). Подписи полей на рис. 14г: A-I–A-II – внутриплитные щелочные базальты, А-II–C – внутриплитные толеиты, В – базальты срединно-океанических хребтов (Р-тип), D – базальты срединно-океанических хребтов (N-тип), С–D – базальты вулканических дуг. 1 – позднемиоценовые вулканиты, 2 – плиоцен-раннечетвертичные вулканиты, 3 – средне-позднечетвертичные вулканиты.

Обобщая вышесказанное, можно прийти к заключению о том, что в период развития постколлизионного магматизма на территории Центральной Армении имела место двукратная смена мантийных источников, генерировавших расплавы, которые отличались, в первую очередь, степенью обогащения: I этап (максимальное обогащение, OIB тип) → II этап (минимальное обогащение, E-MORB тип) → III этап (промежуточные составы, переходный тип OIB/E-MORB). Следует отметить, что все изученные основные лавы Центральной Армении характеризуются высокими значениями отношений Zr/Hf и Nb/Ta (43–46 и 19–25 для вулканитов I и III этапов, 44–69 и 16–44 для вулканитов II этапа соответственно), свойственными континентальным базальтам Аравийской плиты, относящимся к OIB-типу (Neil et al., 2015 и др.).
Наличие выраженной отрицательной Nb–Ta аномалии, а также позитивной – для Ba и Th в спектрах распределения микроэлементов (рис. 12) у всех без исключения основных лав Гегамской области (максимальной – для пород I этапа и минимальной – для пород III этапа) указывает на присутствие в обогащенных мантийных источниках, генерировавших расплавы, субдукционной компоненты (SC). Появление SC в астеносферной мантии под Малым Кавказом и, как результат, последующее метасоматическое обогащение этого резервуара LILE, HSFE и LREE (по сравнению с составами, отвечающими N-MORB) может быть хорошо объяснено длительным (десятки миллионов лет) существованием в этом регионе активной континентальной окраины и развитием субдукционных процессов, сопровождавших закрытие южной ветви океанического бассейна Неотетис, которое завершилось в середине миоцена (13–15 млн лет назад; Лебедев и др., 2013б и др.). Таким образом, постколлизионный вулканизм в пределах Центральной Армении (первые импульсы – около 6 млн лет назад) начался через ~7 млн лет после окончания субдукции. В качестве петрофизических механизмов появления SС в мантии в зонах конвергенции литосферных плит обычно рассматриваются дегидратация или частичное плавление измененной океанической коры и/или осадков субдуцирующего слэба.
На диаграмме Ta/Yb–Th/Yb (рис. 13) точки составов всех изученных лав Центральной Армении располагаются заметно выше поля мантийной последовательности, что предполагает присутствие в их источнике SC. Максимальный вертикальный сдвиг намечается для основных пород I и II этапов постколлизионного магматизма, минимальный – для базальтов и базальтовых трахиандезитов III этапа. Последнее обстоятельство позволяет предполагать постепенное уменьшение SC в астеносфере под Малым Кавказом от позднего миоцена к концу четвертичного периода. Это предположение подтверждается, как отмечено выше, уменьшением величины Nb–Ta отрицательной аномалии в спектрах распределения микроэлементов в течение времени: для позднемиоценовых лав величина параметра (Nb/Nb*)PM (Verma, 2009) колеблется в интервале 0.20–0.25, для плиоцен-раннечетвертичных – 0.26–0.37, для средне-позднечетвертичных – 0.31–0.41. Аналогичная картина видна на бинарных петрогенетических диаграммах, где используется соотношение концентрации Th и других реперных микроэлементов (рис. 14в, 14е). Очевидно, что величина отношения Th/Ta плавно уменьшается в более молодых лавах от этапа к этапу; отношение Th/Nb достигает максимальных значений в самых ранних позднемиоценовых породах, в базальтах и базальтовых трахиандезитах II и III этапов оно заметно ниже. Постепенное снижение количества Th в мантийных источниках, ответственных за магмогенерацию на разных временных отрезках молодого вулканизма, согласуется с высказанным выше предположением о плавном снижении примеси SC в астеносфере под Малым Кавказом в течение позднего кайнозоя.
Интересные выводы о происхождении молодых магматических пород Гегамской области можно сделать на основе Sr-Nd изотопной диаграммы (рис. 8). Заметно, что область этого графика, где расположены источники, ответственные за магмогенерацию в позднем кайнозое под Большим и Малым Кавказом, а также Восточной Анатолией, весьма компактна: 87Sr–86Sr – 0.7039–0.7046, εNd – от +2.9 до +5.1. В правой нижней части этой области находятся точки восточноанатолийских мантийных резервуаров (NV, S, T), генерировавших расплавы типа E-MORB в различной мере контаминированных SC (Özdemir, Güleç, 2014; Oyan et al., 2016; Lebedev et al., 2016). Точки источников магм для Большого Кавказа (GC – OIB тип), Джавахетской (J-I – тип E-MORB, J-II – OIB тип) и Арагацкой областей (CA–N2–Q – OIB тип) Малого Кавказа смещены влево вверх (рис. 8). Что касается Гегамской области, лавы первых двух фаз поднемиоценового этапа (самые ранние) проявленного здесь вулканизма (CA–N1-I, OIB тип) были выплавлены из источника (CA–N1-I), сходного по своим изотопным характеристикам с восточноанатолийскими. Точка источника, ответственного за магмогенерацию на заключительной фазе I этапа вулканизма (CA–N1-II, лавы также OIB типа), на Sr–Nd изотопной диаграмме заметно смещена влево и вверх (рис. 8). Наконец, расплавы, образовавшиеся под Гегамской областью на II (E‑MORB тип) и III этапах (промежуточные характеристики между OIB и E-MORB типами), формировались в мантийном резервуаре (CA–N2–Q) с изотопными параметрами, близкими к таковым для источников, расположенных к северу Арагацкой и Джавахетской областей Малого Кавказа, а также Центрально-Грузинской – Большого Кавказа. Таким образом, расположение точек различных источников магм АЕКЗ на рис. 8, очевидно, в первую очередь, связано не со степенью их обогащения в ряду E-MORB–OIB, а с количеством SC в резервуаре. Действительно, справа снизу располагается поле источников Восточной Анатолии, наиболее южного сектора АЕКЗ, где процесс субдукции завершился позднее всего. Естественно, количество SC в астеносфере после завершения коллизии здесь было максимальным. Слева вверху располагаются точки источников расплавов вулканических областей, максимально удаленных от зоны субдукции (СЗ часть Малого Кавказа и Большой Кавказ). Количество SС в астеносфере здесь, что закономерно, было существенно меньшим. Таким образом, с юга на север вкрест АЕКЗ виден четкий тренд, связанный с уменьшением примеси SC в источниках молодых магматических расплавов. Гегамская область географически занимает промежуточное положение в этом ряду. На начальном этапе вулканизма присутствие SC в источнике, генерировавшем расплавы, было существенным, сопоставимым с таковым для мантийных резервуаров Восточной Анатолии. В течение времени в результате конвекции примесь SC в астеносфере постепенно уменьшалась, что фиксируется уже в основных лавах поздних импульсов позднемиоценового магматизма. В плиоцене и в четвертичном периоде ее роль (судя по изотопным характеристикам) стала менее значимой; параметры источников стали близки к таковым для мантийных резервуаров северной части АЕКЗ. Отметим, что изотопный состав Nd в лавах II и III этапов постколлизионного вулканизма Гегамской области весьма близок, но при этом одновременно средне-позднечетвертичные вулканиты менее обогащены радиогенным 87Sr (рис. 8). Это может говорить о том, что уменьшение количества SC (очевидно, что в первую очередь эта примесь влияет на изотопный состав Sr в источнике) плавно продолжалось и в течение всего плейстоцена.
Аналогичное уменьшение роли SC в источнике магматических расплавов было недавно обнаружено нами и для одного из крупнейших вулканов Восточной Анатолии – Тендюрека (Lebedev et al., 2016), активного в течение последних 250 тыс. лет. Геохимические характеристики изверженных в том районе ранее, в плиоцене и начале плейстоцена, лав демонстрировали заметную роль SC в источнике расплавов; для позднечетвертичных тефритов вулкана Тендюрек она была уже малозначительной.
Еще одной важной эволюционной особенностью магматической системы Гегамской области является уменьшение присутствия воды в мантийных источниках, активных на разных этапах магматизма в течение позднего кайнозоя. Для позднемиоценовых лав одной из ведущих минеральных фаз в FC-процессах являлся Amp (Лебедев и др., 2018а); некоторое обеднение наиболее примитивных вулканитов этого возраста MREE, наблюдаемое в спектрах распределения (рис. 12), предполагает возможное фракционирование этого минерала уже в глубинном источнике. Данное обстоятельство свидетельствует о присутствии заметных количеств воды в астеносферной мантии под Малым Кавказом в конце миоцена. Для более поздних (плиоценовых и четвертичных) магматических образований Центральной Армении Amp является второстепенной фазой в парагенезисе вкрапленников; ведущая роль в FC-процессе принадлежит Cpx (см. выше, а также Лебедев и др., 2013а). Соответственно, изверженные на II и III этапах постколлизионного вулканизма магмы являются “сухими”, а мантийные источники расплавов, следовательно, уже не содержали заметных количеств воды. Это наблюдение вполне согласуется с отмеченным нами выше закономерным уменьшением количества SC в астеносфере под регионом в течение времени. Действительно, в процессе погружения слэба океанической литосферы (включая морские осадки) в астеносферу одновременно происходили обогащение последней SC и привнос в нее воды. После окончания субдукции в результате постоянной конвекции в астеносферной мантии количество SC в ней постепенно снижается; синхронно падает и содержание воды.
На рис. 15 нами представлена модель частичного плавления мантийных источников для разновозрастных пород Гегамской области, основанная на наблюдаемых в основных лавах соотношениях REE и позволяющая качественно оценить возможный состав резервуаров, ответственных за магмогенерацию на разных этапах постколлизионного вулканизма. Модель базируется на уравнениях из работы (Shaw, 1970), описывающих процессы фракционирования элементов при равновесном плавлении. Параметры для модели (концентрации REE в гранатовом и шпинелевом перидотите, коэффициенты распределения, минеральные составы и др.) заимствованы из статей (Sun, McDonough, 1989; McKenzie, O’Nions, 1991; Thirlwall et al., 1994). К сожалению, в нашем распоряжении нет данных о составе мантийных ксенолитов из лав Гегамской области, в связи с чем при моделировании выбор исходного химического состава для источников был сделан на основе наблюдаемых геохимических характеристик наиболее примитивных разностей основных лав, изверженных на разных этапах молодого магматизма. Как отмечено выше, петролого-геохимические данные свидетельствуют о том, что в течение всего периода развития постколлизионного вулканизма состав источников под Центральной Арменией был обогащенным и менялся в соответствии с общим трендом мантийной последовательности между конечными членами OIB и E-MORB. Для позднемиоценового мантийного резервуара нами выбран состав, близкий OIB (70% OIB/30% E‑MORB), для плиоцен-раннечетвертичного – соответствующий E-MORB, для средне-позднечетвертичного – промежуточный (20% OIB/80% E‑MORB). Модель основывается на том, что Grt преимущественно включает в свой состав HREE: плавление гранатсодержащей мантии (при условии, что при Grt является остаточной твердой фазой) будет приводить к появлению расплавов с более высокими отношениями LREE(MREE)/HREE, чем при плавлении свободного от этой минеральной фазы источника. Соответственно, если состав источника отвечает Spl-перидотиту, то при его плавлении заметных вариаций в соотношении REE не возникнет. Отметим, что при расчете модели концентрации REE в основных лавах Гегамской области были скорректированы с учетом влияния FC-процессов на химический состав последних (пересчитаны в соответствии с 9 мас. % MgO, использован метод наименьших квадратов).
Рис. 15.
Модель частичного плавления мантийных источников, рассчитанная по соотношению REE для разновозрастных магматических образований Гегамской неовулканической области (а – поздне-среднечетвертичных, б – плиоцен-раннечетвертичных, в – позднемиоценовых). Использованы данные из настоящей работы и статей (Джрбашян и др., 2007; Лебедев и др., 2013а, 2018а). Концентрации REE в породах скорректированы на FC (приведены к значениям, соответствующим 9 мас. % MgO) методом наименьших квадратов. Соотношение конечных членов ряда составов мантийной последовательности (OIB и E-MORB) в источниках для разновозрастных пород оценено на основании диаграмм (рис. 12, 13). Концентрации REE для OIB и E-MORB заимствованы из статьи (Sun, McDonough, 1989). Гранатовый перидотит – Ol60Opx21Cpx7.5Grt11.5, шпинелевый перидотит – Ol58Opx27Cpx12Spl3.5. Параметры режима плавления источника и коэффициенты распределения взяты из статей (McKenzie, O’Nions, 1991; Thirlwall et al., 1994). F – степень плавления.

На рис. 15а, 15в видно, что точки наиболее ранних и наиболее поздних вулканических образований Центральной Армении, образовавшихся, соответственно, на I и III этапах постколлизионного магматизма, тяготеют к кривым плавления шпинелевого перидотита при низкой степени плавления источника (F < 1%). Плиоценовые основные лавы Котайкского плато формируют на рис. 15б субвертикальный тренд, отвечающий плавлению гранатового перидотита (F – 15–20%); точки остальных базальтов и базальтовых трахиандезитов Гегамской области, образовавшихся в плиоцене–начале плейстоцена, тяготеют к кривой плавления перидотита смешанного состава, но с преобладанием граната (Grt – 60%, Spl – 40%). При этом степень плавления заметно различается для пород из разных частей Гегамской области: максимальна она для источника вулканитов Гаварского плато (F – 3–5%) и минимальна – для источника лав из южной части региона (F – 0.7–1.5). Таким образом, на разных этапах молодого магматизма мантийные источники под Центральной Арменией заметно отличались по минеральному составу (в частности, по наличию Grt) и степени плавления в процессе магмогенерации.
Известно, что Grt становится стабильным в мантии на глубинах свыше 80 км (Takahashi, Kushiro, 1983). Согласно данным (Sugden et al., 2019), мощность литосферы под Гегамским нагорьем в среднем составляет 60–70 км. Сопоставляя результаты моделирования частичного плавления источника (рис. 15) с этими базовыми параметрами, можно сделать определенные выводы о глубинах магмогенерации на разных этапах развития неоген-четвертичного вулканизма Центральной Армении. Вероятно, в позднем миоцене (около 6 млн лет), в период, когда в результате пространственной миграции в субмеридиональном направлении (с юга не север) ареал постколлизионной магматической активности распространился на территорию современной Армении, магмогенерация происходила в самых верхних слоях астеносферы (глубина 60–80 км) на границе с литосферой Армянского блока. Состав мантии в этом резервуаре был существенно обогащенным, с весьма существенной добавкой SC, поступавшей в астеносферу в течение длительного времени в период существования здесь активной континентальной окраины. Минеральный состав источника отвечал Spl-перидотиту, степень его плавления была невысокой (<1%), формирующиеся водонасыщенные расплавы по своим геохимическим характеристикам были близки базальтам OIB-типа. В течение всего периода I этапа постколлизионного магматизма, продолжительностью около 1 млн лет (5.7–4.7 млн лет назад), происходило уменьшение количества SC в астеносфере – тенденция, которая устойчиво продолжалась и в последующее время.
После перерыва продолжительностью около 1 млн лет эндогенная активность на территории региона возобновилась около 3.5 млн лет назад в середине плиоцена. Период 4–2 млн лет назад рассматривается многими исследователями (например, Keskin, 2007) как эпоха глобальной тектонической перестройки АЕКЗ: на смену геотектонической обстановке общего регионального сжатия в условиях “жесткой” коллизии Евразийской, Аравийской плит и ряда малых террейнов наступила обстановка сдвиговых деформаций (strike-sleep), связанная с отрывом, погружением и разрушением слэба океанического бассейна Неотетис под Восточной Анатолией, уменьшением мощности литосферы и приближением горячего астеносферного клина к поверхности. Последнее обстоятельство спровоцировало масштабное возобновление магматической активности в пределах всей АЕКЗ: плиоцен является эпохой максимального проявления вулканических процессов в этой части Земли (Лебедев и др., 2013б). Около 3.5 млн лет назад начался II этап постколлизионного магматизма в пределах Гегамской области. Магмогенерация в этот период происходила в более глубоких (>80 км) слоях астеносферы, обогащенных в меньшей степени. К наиболее глубинным образованиям в регионе относятся основные лавы Котайкского плато, состав источника которых отвечал Grt-перидотиту; магмы образовывались при достаточно высокой степени плавления астеносферной мантии (F – до 25%). В остальных частях Гегамской области плавление происходило в зоне перехода Grt/Spl-перидотит; степень плавления источника варьировала существенно под разными частями региона. Состав генерируемых в астеносфере расплавов в целом был близок базальтам типа E-MORB; количество SC в астеносфере продолжало постепенно снижаться. После окончания II этапа магматизма (около 2 млн лет назад) в пределах Гегамской области наступил очередной длительный перерыв в развитии вулканической активности.
Средне-позднечетвертичный этап вулканизма на территории Центральной Армении начался в калабрийском веке: около 1.3 млн лет – в пределах Арагацкой области, около 0.9 млн лет – в пределах Гегамской области (Лебедев и др., 2013а, 2013б). Последние извержения этого этапа фиксируются в регионе в конце плейстоцена–голоцене (Караханян и др., 2004; Лебедев и др., 2013а). Магмогенерация в это время опять переместилась в самые верхние обогащенные слои астеносферы, в зону устойчивости Spl-перидотита (глубина 60–80 км). Состав формирующихся расплавов по геохимическим характеристикам был промежуточным между базальтами OIB и E-MORB типов, изотопные характеристики магм стали более деплетированными, количество SC в мантийном источнике заметно снизилось в результате постоянной конвекции. Магматизм III этапа на территории Гегамской области связан с появлением на ее территории нескольких субмеридиональных зон растяжения (крупнейшая из которых проходит по водораздельной части Гегамского хребта), к которым приурочены вулканические аппараты этого времени. В западной части Центральной Армении в этот период возник крупнейший четвертичный вулкан Малого Кавказа – Арагац.
ВЫВОДЫ
1. Второй (плиоцен-раннечетвертичный) этап постколлизионного магматизма в пределах Гегамской неовулканической области проявился в период 3.5–1.9 млн лет назад. Самые ранние (3.5–3.1 млн лет назад) извержения в эту эпоху имели место в крайней юго-восточной части региона на стыке Гегамского и Варденисского хребтов (рис. 3); на остальной его территории временной промежуток развития II этапа магматизма более узкий – 2.6–1.9 млн лет назад. На рубеже плиоцена–плейстоцена (2.6–2.5 млн лет назад) происходило формирование покровов основных лав Котайкского плато (к северу от г. Ереван); небольшие по масштабам извержения также зафиксированы в центральном сегменте Гегамского хребта. В течение следующей фазы магматической активности (2.3–2.1 млн лет назад) в юго-восточной части региона возник крупный стратовулкан Пич, лавы которого имели латит-трахитовый состав. Завершение II этапа постколлизионного вулканизма связано с образованием базальтовых лавовых плато (Гаварское и др.) в восточной части региона в конце гелазского века (2.1–1.9 млн лет назад). В целом в плиоцене–раннем плейстоцене на территории Гегамской области (если исключить крайнюю юго-восточную периферию региона) наблюдалась латеральная миграция эндогенной активности с запада на восток (рис. 3). Второй этап молодого магматизма в пределах рассматриваемого региона, при общей его продолжительности около 1.5 млн лет, был оторван во времени от предшествующего позднемиоценового этапа на 1 млн лет; примерно такой же по длительности перерыв в эндогенной активности разделяет II и III этапы.
2. Магматические породы Гегамской области, образовавшиеся на II этапе постколлизионного магматизма, представлены непрерывным рядом составов: трахибазальты–муджиериты–латиты–трахиты–риолиты. Большинство вулканитов относится к умерено-щелочной серии. Ведущим процессом в эволюции магм в течение всего периода активности была кристаллизационная дифференциация с удалением из расплава безводной кумулусной ассоциации, в которой ведущая роль принадлежала Cpx. Коровая ассимиляция и процессы смешения расплавов имели строго ограниченное значение: их участие, явно второстепенное, отмечено только в петрогенезисе умеренно-кислых и кислых вулканитов.
3. Мантийный источник, ответственный за магмогенерацию под территорией Центральной Армении в плиоцене–начале плейстоцена, был представлен безводной астеносферной мантией, обогащенной в результате длительного (с конца мезозоя до середины миоцена, 15–13 млн лет назад) существования в регионе активной континентальной окраины и субдукции под нее литосферы океанического бассейна Неотетис. Плавление происходило в зоне стабильности Grt-перидотита, на глубине свыше 80 км; состав формирующихся расплавов по геохимической специфике был близок базальтам типа E-MORB. Важной особенностью регионального мантийного источника являлось присутствие в нем заметной примеси субдукционной компоненты, что отразилось на некоторых петролого-геохимических характеристиках изверженных пород.
4. В течение всего периода развития постколлизионного магматизма на территории Центральной Армении магмогенерация происходила в обогащенных мантийных резервуарах, различающихся глубиной расположения, минеральным, химическим и изотопным составом, степенью плавления, количеством примеси SC. На I этапе расплавы формировались в самой верхней части астеносферы (60–80 км), характеризующейся максимальной степенью обогащения, а также заметным присутствием SC и воды. Состав источника отвечал Spl-перидотиту, выплавляющихся из него магм – базальтам OIB типа. На II этапе магмогенерация происходила в глубинных (>80 км) слоях астеносферы, менее обогащенных и негидратированных, в зоне стабильности Grt-перидотита. Состав расплавов был близок базальтам типа E-MORB. В середине–конце плейстоцена очаг магмогенерации опять переместился в верхнюю часть астеносферы, в область стабильности Spl-перидотита. Степень обогащения источника была меньшей, чем на I этапе магматизма; состав генерируемых им безводных магм был промежуточным между таковым для базальтов OIB и E-MORB типов. Одним из важнейших трендов эволюции молодого постколлизионного вулканизма Центральной Армении являлось постепенное уменьшение примеси SC в течение времени в результате постоянной конвекции в астеносферной мантии, что ранее было отмечено нами для смежных областей Восточной Анатолии (Lebedev et al., 2016).
Источник финансирования. Госзадание ИГЕМ РАН № FMMN-2021-0009.
Список литературы
Арутюнян Е.В., Лебедев В.А., Чернышев И.В. и др. Геохронология неоген-четвертичного вулканизма Гегамского нагорья (Малый Кавказ, Армения) // Докл. АН. 2007. Т. 416. № 1. С. 91–95.
Асланян А.Т. Региональная геология Армении. Ереван: Айпетрат, 1958. 430 с.
Асланян А.Т., Багдасарян Г.П., Ширинян К.Г. Об одном ключевом разрезе для понимания взаимоотношений третичных вулканогенных толщ Армянского нагорья // Изв. АН АрмССР. Науки о Земле. 1978. № 6. С. 7–21.
Багдасарян Г.П., Гукасян Р.Х. Геохронология магматических, метаморфических и рудных формаций Армянской ССР. Ереван: Изд-во АН АрмССР, 1985. 291 с.
Багдасарян Г.П., Карапетян К.И., Аветисян В.А. и др. О стратиграфии и возрасте неогеновых вулканических образований бассейна среднего течения р. Раздан по геологическим и радиогеохронологическим исследованиям // Изв. АН АрмССР. Науки о Земле. 1971. Т. 24. № 2. С. 3–12.
Багдасарян Г.П., Карапетян К.И., Гукасян Р.Х. О стратиграфическом положении и возрасте Манычарских лав // Изв. АН АрмССР. Науки о Земле. 1973. Т. 26. № 3. С. 10–17.
Балог К., Багдасарян Г.П., Карапетян К.И. и др. Первые K/Ar изотопные датировки верхнеплиоцен-четвертичных вулканических пород Республики Армения // Изв. НАН Республики Армения. Науки о Земле. 1990. Т. 43. № 2. С. 25–38.
Бубнов С.Н., Лебедев В.А., Чернышев И.В. и др. Потенциально активный неовулканический центр Порак (Малый Кавказ, Армения): особенности состава лав и источники расплавов // Докл. АН. 2014. Т. 459. № 1. С. 73–79. https://doi.org/10.7868/S0869565214310168
Джрбашян Р.Т., Лур Д., Савов И. и др. Геохимические характеристики позднеколлизионного вулканизма Гегамского нагорья (Армения) // Изв. НАН Республики Армения. Науки о Земле. 2007. Т. 60. № 1. С. 16–31.
Казарян Г.А., Куюмджян А.Г., Чибухчян З.О. О возрастном расчленении магматических пород Варденисского нагорья // Изв. АН АрмССР. Науки о Земле. 1967. № 4. С. 32–43.
Карапетян К.И., Адамян А.А. Новейший вулканизм некоторых районов Армянской ССР. Ереван: Изд-во АН АрмССР, 1973. 166 с.
Караханян А., Джрбашян Р., Трифонов В. и др. Активные вулканы и вулканическая опасность на территории Армянского нагорья и сопредельных областей // Изв. НАН Республики Армения. Науки о Земле. 2004. Т. 57. № 1. С. 3–24.
Лебедев В.А., Чернышев И.В., Дудаури О.З. и др. Самсарский вулканический центр как очаг новейшего вулканизма на Малом Кавказе: K-Ar геохронологические и Sr-Nd изотопные данные // Докл. АН. 2003. Т. 393. № 6. С. 802–808.
Лебедев В.А., Чернышев И.В., Чугаев А.В. и др. K-Ar возраст и Sr-Nd изотопная систематика субщелочных базальтов Центрально-Грузинской неовулканической области (Бол. Кавказ) // Докл. АН. 2006. Т. 408. № 4. С. 517–522.
Лебедев В.А., Бубнов С.Н., Чернышев И.В. и др. Геохронология и особенности генезиса субщелочных базальтов лавовых рек Джавахетского нагорья, Малый Кавказ: K-Ar и Sr-Nd изотопные данные // Геохимия. 2007. № 3. С. 243–258.
Лебедев В.А., Чернышев И.В., Якушев А.И. Время начала и продолжительность четвертичного магматизма в Арагацкой неовулканической области (Малый Кавказ, Армения) // Докл. АН. 2011. Т. 437. № 6. С. 808–812.
Лебедев В.А., Чернышев И.В., Вашакидзе Г.Т. и др. Геохронология миоценового вулканизма северной части Малого Кавказа (Эрушетское нагорье, Грузия) // Докл. АН. 2012. Т. 444. № 1. С. 67–72.
Лебедев В.А., Чернышев И.В., Шатагин К.Н. и др. Геохронология, изотопные Sr-Nd характеристики и происхождение четвертичных вулканитов Гегамского нагорья (Малый Кавказ, Армения) // Вулканология и сейсмология. 2013а. № 3. С. 25–53. https://doi.org/10.7868/S0203030613030048
Лебедев В.А., Волков В.Н., Чернышев И.В., Сагателян А.К. Пространственная миграция магматизма в пределах Кавказского сегмента Альпийского пояса в раннем неогене в условиях смены геотектонической обстановки: изотопно-геохронологические данные // Докл. АН. 2013б. Т. 448. № 5. С. 576–582. https://doi.org/10.7868/S0869565213050204
Лебедев В.А., Чернышев И.В., Вашакидзе Г.Т. и др. Возраст и происхождение миоценовых интрузий габброидов северной части Малого Кавказа // Петрология. 2014. Т. 22. № 6. С. 563–579. https://doi.org/10.7868/S0869590314040050
Лебедев В.А., Чернышев И.В., Сагателян А.К. и др. Мио-плиоценовый вулканизм Центральной Армении: геохронология и роль AFC-процессов в петрогенезисе магм // Вулканология и сейсмология. 2018а. Т. 12. № 5. С. 18–42. https://doi.org/10.1134/S020303061805005X
Лебедев В.А., Парфенов А.В, Вашакидзе Г.Т. и др. Хронология магматической активности и петролого-минералогические характеристики лав четвертичного вулкана Казбек, Большой Кавказ // Петрология. 2018б. Т. 26. № 1. С. 3–33. https://doi.org/10.7868/S0869590318010016
Меликсетян Х.Б. Геохимия вулканических серий Арагацкой области // Изв. НАН Республики Армения. Серия Науки о Земле. 2012. № 3. С. 34–59.
Милановский Е.Е. Новейшая тектоника Севанской впадины // Бюлл. МОИП. Отд. геологии. 1960. Т. 35. № 5. С. 5–61.
Милановский Е.Е., Короновский Н.В. Орогенный вулканизм и тектоника альпийского пояса Евразии. М.: Недра, 1973. 280 с.
Навасардян Г.Х. Петрографические и петрохимические особенности позднеколлизионного вулканизма Гегамского нагорья // Изв. НАН Республики Армения. Науки о Земле. 2006. Т. 59. № 3. С. 10–19.
Навасардян Г.Х., Мнацаканян А.Х., Савов И. Породообразующие минералы в лавах новейших вулканических серий Гегамского нагорья (Армения) и физико-химические параметры их кристаллизации // Изв. НАН Республики Армения. Науки о Земле. 2009. Т. 62. № 1. С. 3–20.
Остроумова А.С. Базальтово-трахитовая формация Малого Кавказа // Щелочные вулканические формации складчатых областей. Л.: Недра, 1967. С. 6–129.
Соловов А.П., Архипов А.Я., Бугров В.А. и др. Справочник по геохимическим поискам полезных ископаемых. М.: Недра, 1990. 335 с.
Чернышев И.В., Лебедев В.А., Аракелянц М.М. и др. Четвертичная геохронология Арагацкого вулканического центра (Армения) по данным K-Ar датирования // Докл. РАН. 2002. Т. 384. № 1. С. 95–102.
Чернышев И.В., Лебедев В.А., Аракелянц М.М. K-Ar датирование четвертичных вулканитов: методология и интерпретация результатов // Петрология. 2006. Т. 14. № 1. С. 69–89.
Avagyan A., Sahakyan L., Meliksetian K. et al. New evidences of Holocene tectonic and volcanic activity of the western part of Lake Sevan (Armenia) // Geol. Quaterly. 2020. V. 64. № 2. P. 288–303. https://doi.org/10.7306/gq.1530
Boynton W.V. Cosmochemistry of the rare earth elements: Meteorite studies // Rare Earth Element Geochemistry. Amsterdam: Elsevier, 1984. P. 63–114.
Condie K.C. High field strength element ratios in Archean basalts: A window to evolving sources of mantle plumes // Lithos. 2005. V. 79. P. 491–504. https://doi.org/10.1016/J.LITHOS.2004.09.014
De Paolo D.J. Trace element and isotopic effects of combined wall-rock assimilation and fractional crystallisation // Earth Planet. Sci. Lett. 1981. V. 53. P. 189–202.
Fitton J.G., Saunders A.D., Norry M.J. et al. Thermal and chemical structure of the Iceland plume // Earth Planet. Sci. Lett. 1997. V. 153. P. 197–208. https://doi.org/10.1016/S0012-821X(97)00170-2
Ionov D.A., Bodinier J.L., Mukasa S.B., Zanetti A. Mechanisms and sources of mantle metasomatism: Major and trace element compositions of peridotite xenoliths from Spitsbergen in the context of numerical modelling // J. Petrol. 2002. V. 43. P. 2219–2259. https://doi.org/10.1093/PETROLOGY/43.12.2219
Hollocher K., Robinson P., Walsh E., Roberts D. Geochemistry of amphibolite-facies volcanics and gabbros of the Storen Nappe in extensions west and southwest of Trondheim, western gneiss region, Norway: A key to correlations and paleotectonic settings // Amer. J. Sci. 2012. V. 312. P. 357–416. https://doi.org/10.2475/04.2012.01
Karakhanian A., Djrbashian R., Trifonov V. et al. Holocene-historical volcanism and active faults as natural risk factors for Armenia and adjacent countries // J. Volcanol. Geotherm. Res. 2002. V. 113. P. 319–344.
Karapetian S.G., Jrbashian R.T., Mnatsakanian A.K. Late collision rhyolitic volcanism in the north-eastern part of the Armenian highland // J. Volcanol. Geotherm. Res. 2001. V. 112. № 1–4. P. 189–220.
Keskin M. Eastern Anatolia: A hotspot in a collision zone without a mantle plume // Eds. G.R. Foulger, D.M. Jurdy. Plates, plumes, and planetary processes. Geol. Soc. Amer. Spec. Paper. 2007. V. 430. P. 693–722. https://doi.org/10.1130/2007.2430(32)
Keskin M., Чугаев А.В., Лебедев В.А. и др. Геохронология и природа мантийных источников позднекайнозойского внутриплитного магматизма фронтальной части Аравийской плиты (неовулканическая область Караджадаг, Турция). Сообщение 2. Результаты геохимических и изотопных (Sr-Nd-Pb) исследований // Вулканология и сейсмология. 2012. № 6. С. 43–70.
Le Bas M.J., Le Maitre R.W., Streckeisen A., Zanettin B. A chemical classification of volcanic rocks based on the alkali-silica diagram // J. Petrol. 1986. V. 27. P. 745–750.
Lebedev V.A., Chugaev A.V., Ünal E. et al. Late Pleistocene Tendurek Volcano (Eastern Anatolia, Turkey). 2. Geochemistry and Petrogenesis of the Rocks // Petrology. 2016. V. 24. № 3. C. 234–270. https://doi.org/10.1134/S0869591116030048
McKenzie D.P., O’Nions R.K. Partial melt distributions from inversion of rare earth element concentrations // J. Petrol. 1991. V. 32. P. 1021–1091.
Meschede M. A method of discriminating between different types of mid-ocean ridge basalts and continental tholeiites with the Nb–Zr–Y diagram // Chem. Geol. 1986. V. 56. P. 207–218.
Neill I., Meliksetian Kh., Allen M.B. et al. Petrogenesis of mafic collision zone magmatism: The Armenian sector of the Turkish–Iranian Plateau // Chem. Geol. 2015. V. 403. P. 24–41.
Özdemir Y., Güleç N. Geological and geochemical evolution of the Quaternary Süphan Stratovolcano, Eastern Anatolia, Turkey: Evidence for the lithospere–astenosphere interaction in post-collisional volcanism // J. Petrol. 2014. V. 55. P. 37–62. https://doi.org/10.1093/petrology/egt060
Oyan V., Keskin M., Lebedev V.A. et al. Magmatic Evolution of the Early Pliocene Etrüsk Stratovolcano, Eastern Anatolian Collision Zone, Turkey // Lithos. 2016. V. 256–257. P. 88–108.
Pearce J.A. Role of the sub-continental lithosphere in magma genesis at active continental margins // Continental Basalts and Mantle Xenoliths. Cambridge University Press. Nantwich, Cheshire: Shiva Publishing Ltd., 1983. P. 230–249.
Pearce J.A., Bender J.F., De Long S.E. et al. Genesis of collision volcanism in Eastern Anatolia, Turkey // J. Volcanol. Geotherm. Res. 1990. V. 44. P. 189–229.
Pearce J.A., Norry M.J. Petrogenetic implications of Ti, Zr, Y, and Nb variations in volcanic rocks // Contrib. Mineral. Petrol. 1979. V. 69. P. 33–47.
Rickwood P.C. Boundary lines within petrologic diagrams which use oxides of major and minor elements // Lithos. 1989. V. 22. P. 247–263.
Rolland Y., Sosson M., Adamia Sh. et al. Prolonged Variscan to Alpine history of an active Eurasian margin (Georgia, Armenia) revealed by 40Ar/39Ar dating // Gondwana Res. 2011. V. 20. P. 798–815. https://doi.org/10.1016/j.gr.2011.05.007
Rollinson H.R. Using geochemical data: evaluation, presentation, interpretation. Harlow: Pearson, Prentice Hall, 1993. V. 26. P. 316–343.
Schandl E.S., Gorton M.P. Application of high field strength elements to discriminate tectonic settings in VMS environments // Econom. Geol. 2002. V. 97. P. 629–642.
Shalaeva E., Trifonov V., Avagyan A. et al. Comparison of Quaternary sedimentary sequences of the West Sevan basin and basins of NW Armenia // Quaternary stratigraphy and hominids around Europe. INQUA – SEQS, Tautavel – Ufa, 2017. Volume of abstracts. P. 54.
Shand S.J. Eruptive Rocks. Their Genesis, Composition, Classification, and Their Relation to Ore-Deposits with a Chapter on Meteorite. N.Y.: John Wiley and Sons, 1943. 444 p.
Shaw D.M. Trace element fractionation during anatexis // Geochim. Cosmochim. Acta. 1970. V. 34. P. 237–243.
Sheriff J.E., Wilkinson K.N., Adler D.S. et al. Pleistocene volcanism and the geomorphological record of the Hrazdan valley, central Armenia linking landscape dynamics and the Palaeolithic record // Q. Sci. Rev. 2019. V. 226. P. 105994. https://doi.org/10.1016/j.quascirev.2019.105994
Sokol K., Halama R., Meliksetian Kh. et al. Alkaline magmas in zones of continental convergence: The Tezhsar volcano-intrusive ring complex, Armenia // Lithos. 2018. V. 320–321. P. 172–191. https://doi.org/10.1016/j.lithos.2018.08.028
Steiger R. H., Jäger E. Subcomission on geochronology: Convention on the use of decay constants in geo- and cosmochronology // Earth Planet. Sci. Lett. 1977. № 36. P. 359–362.
Sugden P.J., Savov I.P., Wilson M. et al. The thickness of the mantle lithosphere and collision-related volcanism in the Lesser Caucasus // J. Petrol. 2019. V. 60. № 2. P. 199–230. https://doi.org/10.1093/petrology/egy111
Sun S.S., McDonough W.F. Chemical and isotopic systematics of oceanic basalts: Implications for mantle composition and processes // Eds. A.D. Saunders, M.J. Norry. Magmatism in Ocean Basins. Geol. Soc. London Spec. Publ. 1989. V. 42. P. 313–345.
Takahashi E., Kushiro I. Melting of a dry peridotite at high pressures and basalt magma genesis // Amer. Mineral. 1983. V. 68. P. 859–879.
Thirlwall M.F., Upton B.G.J., Jenkins C. Interaction between continental lithosphere and the Iceland plume-Sr-Nd-Pb isotope geochemistry of tertiary basalts, NE Greenland // J. Petrol. 1994. V. 35. P. 839–879.
Verma S.P. Continental rift setting for the central part of the Mexican volcanic belt a statistical approach // The Open Geol. J. 2009. V. 3. P. 8–29.
Workman R.K., Hart S.R. Major and trace element composition of the depleted MORB mantle (DMM) // Earth Planet. Sci. Lett. 2005. V. 231. P. 53–72. https://doi.org/10.1016/j.epsl.2004.12.005
Дополнительные материалы
- скачать ESM_1.docx
- Дополнительные материалы №1. Места отбора проб и главные петрографические характеристики изученных пород.
- скачать ESM_2.xls
- Дополнительные материалы №2. Содержание главных оксидов и микроэлементов в плиоцен-раннечетвертичных вулканических породах.



