Петрология, 2021, T. 29, № 5, стр. 451-477
Неоархейские гранитоиды на западе Тунгусского супертеррейна, фундамент Сибирской платформы: геохронология, петрология, тектоническое значение
А. В. Самсонов a, *, А. В. Постников b, В. А. Спиридонов c, Ю. О. Ларионова a, А. Н. Ларионов d, А. В. Травин e, О. В. Постникова b, Н. В. Соловьева a, И. А. Сабиров b, И. В. Спиридонов c
a Институт геологии рудных месторождений, петрографии, минералогии и геохимии РАН
Москва, Россия
b РГУ нефти и газа им. И.М. Губкина
Москва, Россия
c ФГУП ГНЦ РФ “ВНИИгеосистем”
Москва, Россия
d Всероссийский научно-исследовательский геологический институт им. А.П. Карпинского
Санкт-Петербург, Россия
e Институт геологии и минералогии РАН СО РАН
Новосибирск, Россия
* E-mail: samsonovigem@mail.ru
Поступила в редакцию 08.03.2020
После доработки 24.04.2021
Принята к публикации 15.05.2021
Аннотация
Представлены результаты изучения гранитоидов Юрубченского массива, которые слагают фундамент Камовского свода Байкитского поднятия в западной части Тунгусского супертеррейна, Сибирский кратон. Породы массива вскрыты скважинами на глубине 1.8–2.0 км и занимают площадь не менее 400 км2. U-Pb (SHRIMP) датирование циркона, геохимические и изотопные исследования Юрубченского массива показали наличие двух групп гранитоидов – одновозрастных, но пространственно обособленных и имеющих разные петрогенетические характеристики. Гранодиориты (2562 ± ± 16 млн лет) имеют εNd(T) = +0.9…+2.1, высокие концентрации легких РЗЭ, сильно фракционированные спектры тяжелых РЗЭ (GdN/YbN = 3.4–6.2) и могли образоваться при плавлении обогащенного базитового источника с короткой коровой историей в равновесии с гранатсодержащим реститом на глубине не менее 45 км. В отличие от гранодиоритов, натровые и калиевые лейкограниты (2563 ± 10 и 2563 ± 18 млн лет соответственно) с εNd(T) от –0.3 до –1.7 и менее фракционированными спектрами тяжелых РЗЭ (GdN/YbN = 1.7–2.3) могли быть сформированы в результате плавления корового источника на небольших глубинах. Изотопное изучение породообразующих и акцессорных минералов гранитоидов фиксирует два этапа их постмагматической истории: около 2.40 млрд лет (Rb-Sr и Sm-Nd минеральные изохроны) и 1.87 млрд лет (Ar-Ar по биотиту). Синхронное образование гранодиоритов и лейкогранитов с разными петрогенетическими характеристиками, вероятно, было связано с растяжением литосферы в постколлизионной обстановке около 2.56 млрд лет назад, что обеспечило плавление разных уровней неоднородной по составу и возрасту коры. Закрытие Rb-Sr и Sm-Nd систем в минералах гранитоидов около 2.40 млрд лет назад, возможно, было связано с завершением эволюции неоархейского коллизионного орогена и остыванием Юрубченского массива до температуры около 400°С на глубине 7–10 км. Поздний этап, около 1.87 млрд лет, мог быть связан с тектонической эксгумацией архейских пород запада Тунгусского супертеррейна в ходе формирования палеопротерозойского Ангарского пояса. По возрасту постколлизионных гранитоидов (2.56 млрд лет), фиксирующих время стабилизации архейской коры, Тунгусский супертеррейн моложе террейнов, относимых к архейским суперкратонам Ваалбара и Сьюпериа, но сопоставим с коровыми блоками в составе суперкратона Славиа и, возможно, представляет тектонический фрагмент этого самого молодого неоархейского континента.
ВВЕДЕНИЕ
Раннедокембрийская (древнее 1.6 млрд лет) кора составляет около 70% континентальной коры Земли (Condie, 2011). Наиболее крупные и сохранные блоки этой древней коры, раннедокембрийские кратоны, по большей части захоронены под мощным осадочным чехлом, и лишь небольшие их участки, щиты, выведены на поверхность и доступны для изучения. Современные представления о геологии и тектонике раннего докембрия ограничены данными по открытым территориям, что является одним из факторов, определяющих сложность расшифровки ранней истории Земли и, в частности, проведение тектонических и палеоконтинентальных реконструкций для раннего докембрия.
Изучение погребенных частей кратонов проводится на основе комплекса геофизических данных в сочетании с геохронологическими и петрологическими исследованиями керна глубоких скважин. Примером таких работ может служить Восточно-Европейский кратон, где более 40 лет проводилось изучение его плитной части под платформенным чехлом (Богданова, 1986; Bogdanova et al., 2016, 2021 и ссылки в этих работах). В итоге разработана тектоническая карта всего Восточно-Европейского кратона и выделены литосферные блоки, которые имели разную историю формирования, развивались автономно в составе разных континентов и были сцементированы в конце палеопротерозоя 2.1–1.8 млрд лет назад (Bogdanova, 1993; Bogdanova et al., 2016).
Второй крупный блок раннедокембрийской литосферы Евроазиатского континента, Сибирский кратон, также по большей части перекрыт мощным вулканогенно-осадочным чехлом. Данные о строении, составе, возрасте и истории формирования этого кратона основаны на результатах изучения небольших выходов кристаллического фундамента на поверхность в южной, северной и западной частях Сибирской платформы в пределах Алданского и Анабарского щитов и Байкальского, Канского, Оленекского, Саянского, Станового, Тонодского и Шарыжалгайского выступов (рис. 1). Первая схема тектонического строения всего Сибирского кратона была разработана на основе геофизических данных по породам фундамента под платформенным чехлом и интерполяции результатов изучения раннедокембрийских пород на щитах и выступах (Rosen et al., 1994). Эта схема получила дальнейшее развитие по результатам Sm-Nd изотопных исследований обширной (75 образцов) коллекции керна глубоких скважин и коровых ксенолитов из кимберлитов (Ковач и др., 2000), которые подтвердили существование блоков с архейской и палеопротерозойской коровой предысторией.
Рис. 1.
Главные тектонические структуры раннедокембрийского Сибирского кратона (Donskaya, 2020). Участки оценки возраста пород Сибирского кратона под осадочным чехлом по результатам изучения керна скважин: Sm-Nd модельные возрасты (Ковач и др., 2000; Czamanske et al., 2000); изотопные возрасты по циркону термоионным 207Pb/206Pb методом (Миронюк и др., 1996) и U-Pb SHRIMP методом (Бочкарев и др., 2011, 2013; Попов и др., 2015). Участки U-Pb изотопного датирования детритового циркона в мезо- и неопротерозойских терригенных осадочных породах (сводка в работе Priyatkina et al., 2020); Раннедокембрийские блоки: Анабарский супертеррейн, включая: I – Маганский, II – Далдынский, III – Мархинский террейны; IV – Биректинский супертеррейн; Алданский супертеррейн, включая: V – Олекминский, VI – Центрально-Алданский, VII – Восточно-Алданский, VIII – Батомгский террейны; IX – Становой супертеррейн; Тунгусский супертеррейн, включая: X – Тунгусский, XI – Тасеевский, XII – Ангаро-Ленский террейны; XIII – Бирюсинский террейн. Палеопротерозойские складчатые пояса: 1 – Хапчанский, 2 – Акитканский, 3 – Пристановой, 4 – Ангарский, 5 – Байкал-Таймырский. Выходы раннедокембрийских пород Сибирского кратона на поверхность: Алданский (Ал) и Анабарский (Ан) щиты; Байкальский (Б), Канский (К), Оленекский (Ол), Саянский (Са), Становой (Ст), Тонодский (Т) и Шарыжалгайский (Ш) выступы.

Оценки возраста циркона из пород фундамента по керну глубоких скважин на основе изучения изотопного состава свинца 207Pb/206Pb методом термоионной эмиссии (Миронюк и др., 1996) и данные U-Pb датирования циркона на SHRIMP (Бочкарев и др., 2011, 2013; Попов и др., 2015) показали широкое распространение палеопротерозойских пород в составе Сибирского кратона и дополнили картину его возрастной гетерогенности. Косвенная информация о возрасте северной, западной и восточной частей Сибирского кратона была получена при проведении U-Pb и Lu-Hf изотопных исследований детритового циркона из мезо- и неопротерозойских осадочных пород (сводка в работе Priyatkina et al., 2020). Результаты изучения мантийных и коровых ксенолитов и ксенокристов циркона из кимберлитовых трубок в центральной и северо-восточной частях Сибирского кратона выявили широкий спектр возрастов от палеоархея до палеопротерозоя (Doucet et al., 2015; Ionov et al., 2015; Kostrovitsky et al., 2016). Это дополняет картину возрастной неоднородности раннедокембрийской литосферы и указывает на ведущую роль палеопротерозойских эндогенных событий в стабилизации этого раннедокембрийского литосферного блока.
Все эти данные послужили основой для уточнения и доработки схемы тектонического строения Сибирского кратона в работах разных авторов (Розен, 2003; Gladkochub et al., 2006; Smelov, Timofeev, 2007; Глебовицкий и др., 2008; Yakubchuk, 2009; Donskaya, 2020; Priyatkina et al., 2020).
Основной объем исследований Сибирского кратона под осадочным чехлом выполнен в его центральной части (рис. 1). Значительно меньше данных имеется для запада Сибирского кратона, где на огромной территории выделена обширная Тунгусская провинция (супертеррейн) архейского возраста (рис. 1). Детализация строения, состава и возраста одного из участков этого супертеррейна обсуждается в статье на основании результатов комплексного изучения керна скважин, вскрывших раннедокембрийские комплексы в пределах Камовского свода Байкитского поднятия.
РЕГИОНАЛЬНАЯ ГЕОЛОГИЯ
Тунгусский супертеррейн выделен в западной части Сибирского кратона, перекрытой мощным осадочным чехлом, как крупный архейский коровый сегмент с близкой картиной аномального магнитного поля (Розен, 2003; Донская, 2019; Donskaya, 2020; Priyatkina et al., 2020) (рис. 1). С востока Тунгусский супертеррейн на разных тектонических схемах ограничивают меридиональным палеопротерозойским Байкал-Таймырским орогеном, который маркируется сменой характера аномального магнитного поля и находками ювенильных палеопротерозойских пород (Ковач и др., 2000). С запада Тунгусский супертеррейн обрамляется полосой палеопротерозойских пород Ангарского орогенного пояса, фрагменты которого вскрыты в юго-западной части Сибирского кратона на Саянском и Канском выступах (рис. 1). Архейские комплексы, относимые к Тунгусскому супертеррейну, выведены на поверхность только на самом юге в пределах Шарыжалгайского выступа, где вскрыты разнообразные гранитоиды, гранулито-гнейсовые и гнейс-зеленокаменные комплексы с возрастами от 3.4 до 2.5 млрд лет (сводка в работе Turkina et al., 2020). Основываясь на данных по Шарыжалгайскому выступу, весь Тунгусский супертеррейн предлагалось рассматривать как архейскую гранит-зеленокаменную область (ГЗО) (Розен, 2003).
На территории, перекрытой платформенным чехлом, данные о составе и возрасте Тунгусского супертеррейна получены для его центральной и северной частей (рис. 1). В центральной части гнейсы и гранитоиды, вскрытые скважинами на Байкитском поднятии, имеют архейские модельные возрасты TNd(DM) от 2.82 до 3.36 млрд лет (Ковач и др., 2000) и U-Pb изотопные возрасты циркона от 2.52 до 2.56 млрд лет (Бочкарев и др., 2011). В северной части возраст Тунгусского супертеррейна оценен по коровым ксенолитам из базальтовой Масловской диатремы триасового возраста (Czamanske et al., 2000). Модельные TNd(DM) возрасты для восьми ксенолитов гнейсов и гранитоидов варьируют от 1.7 до 2.6 млрд лет, что указывает на преобладание здесь палеопротерозойской коры. По результатам U-Pb (SHRIMP) датирования по циркону из ксенолита лейкогранита, он кристаллизовался около 910 млн лет назад и содержит унаследованные от корового источника ядра, возраст которых 1.90–2.10 млрд лет (Czamanske et al., 2000). U-Pb изотопное датирование детритового циркона из рифейских осадочных пород западного обрамления Тунгусского террейна вблизи Байкитского поднятия и к северу от него фиксирует два возрастных пика. Источником циркона с возрастом около 1.9 млрд лет рассматриваются породы Ангарского орогенного пояса, а циркон с возрастом около 2.6 млрд лет предположительно поставлялся при разрушении пород Тунгусского супертеррейна (Priyatkina et al., 2016, 2020).
В настоящей статье приводятся первые результаты петрологического и комплексного изотопно-геохронологического (U-Pb, Sm-Nd, Rb-Sr и Ar-Ar) изучения валовых проб гранитоидов Тунгусского супертеррейна, которые вскрыты скважинами в пределах Камовского свода Байкитской антеклизы. На основании полученных данных обсуждаются вопросы истории формирования западной части Тунгусского террейна в архее и его тектонической переработки в палеопротерозое.
МЕТОДЫ ИССЛЕДОВАНИЙ
Подготовка образцов к аналитическим исследованиям и выделение монофракций породообразующих минералов и циркона методами магнитной и плотностной сепарации проводились в лаборатории анализа минерального вещества ИГЕМ РАН (Москва).
Содержания петрогенных элементов в породах определялись методом РФА на спектрометре последовательного действия PW-2400 в ИГЕМ РАН. Подготовка препаратов для анализа выполнена путем сплавления 0.3 г порошка пробы с 3 г тетрабората лития в индукционной печи с последующим отливом гомогенного стеклообразного диска. Потери при прокаливании определялись гравиметрическим методом. Точность анализа составляла 1–5 отн. % для элементов с концентрациями выше 0.5 мас. % и до 12 отн. % для элементов с концентрацией ниже 0.5 мас. %. Концентрации редких и редкоземельных элементов определялись методом ICP-MS в лаборатории ядерно-физических и масс-спектральных методов анализа в ИПТМ РАН (Черноголовка) по методике (Карандашев и др., 2007).
Rb-Sr и Sm-Nd изотопные исследования выполнены в лаборатории изотопной геохимии и геохронологии ИГЕМ РАН. Химическая подготовка вещества для масс-спектрометрических измерений проведена по методике, описанной в (Ларионова и др., 2007). Измерения изотопных отношений проводились на масс-спектрометре Sector 54 (Micromass, Англия) в мультиколлекторном динамическом режиме с использованием трехленточного источника ионов. Итоговая погрешность определения 143Nd/144Nd не превышает ±0.0022% с учетом воспроизводимости результатов по внутрилабораторному стандарту Nd-ИГЕМ 0.512400 ± 11 (2σед, N = 24), что соответствует значению 0.511852 в стандарте изотопного состава неодима LaJolla. Погрешность определения 147Sm/144Nd оценивается в ±0.3% (2σед) по результатам измерения стандарта BCR-1. Отношение 87Sr/86Sr в стандарте SRM-987 за время измерительной сессии составило 0.710242 ± 15 (2σед, N = 31). Погрешность 87Rb/86Sr принята равной 1%.
Эксперименты по 40Ar/39Ar датированию проводились в Центре коллективного пользования научным оборудованием для многоэлементных и изотопных исследований СО РАН (Новосибирск). Облучение проб было проведено в кадмированном канале научного реактора ВВР-К типа в Научно-исследовательском институте ядерной физики при Томском государственном политехническом университете (Томск). Градиент нейтронного потока за период облучения не превышал 0.5% в размере образца. В качестве монитора использовался стандартный K/Ar образец мусковит МСА-11 (ОСО № 129–88), подготовленный Всесоюзным научно-исследовательским институтом минерального сырья Министерства геологии СССР (ВИМС) в 1988 г. Для его калибровки в качестве 40Ar/39Ar монитора применялись международные стандартные образцы мусковит Bern 4m и биотит LP-6 (Baksi et al., 1996). По результатам калибровки в качестве возраста мусковита МСА-11 было принято среднее значение, которое составило 311.0 ± 1.5 млн лет (Травин, 2016). Значение полной постоянной распада 40K (Steiger, Jager, 1976) принималось равным 5.543 × 10–10 год–1. Датирование производилось методом ступенчатого прогрева в кварцевом реакторе с помощью внешней резистивной печи. Контроль температуры осуществлялся посредствам хромель-алюмелевой термопары с точностью ±1°С. Очистку аргона производили с помощью вымораживания жидким азотом и ZrAl-SAES-геттеров. Холостой опыт по 40Ar (10 мин при 1200°С) не превышал 5 × 10–10 нсм3. Изотопный состав аргона измерялся на масс-спектрометре Noble gas 5400 фирмы “Микромасс” (Великобритания). Для коррекции на нейтроногенные изотопы 36Ar, 37Ar, 40Ar, образовавшиеся во время облучения на Ca и K, использованы следующие коэффициенты: (39Ar/37Ar)Ca = 0.000891 ± 0.000005, (36Ar/37Ar)Ca = = 0.000446 ± 0.000006, (40Ar/39Ar)K = 0.089 ± 0.001. Особое внимание уделялось контролю фактора изотопной дискриминации с помощью измерения очищенного атмосферного аргона. Среднее значение отношения 40Ar/36Ar на период измерений составило 298 ± 1.
U-Pb изотопный анализ циркона проводился на ионном микрозонде SHRIMP в ЦИИ ВСЕГЕИ (Санкт-Петербург) по стандартной методике (Williams, 1998; Larionov et al., 2004). Цирконы, помещенные совместно со стандартными цирконами 91500 (Wiedenbeck, 1995) и Temora (Black et al., 2003) в эпоксидную матрицу, шлифовались примерно до половины толщины и покрывались ~100 Å слоем 99.999% золота. Внутренняя структура цирконов изучалась средствами оптической и электронной (CL, BSE) микроскопии. Для анализа выбирались области без видимых трещин и включений в идиоморфных индивидах. Полученные результаты обрабатывались с помощью программ SQUID v1.12 и ISOPLOT/Ex 3.22 (Ludwig, 2005а, 2005б), используя константы распада, предложенные в (Steiger, Jаger, 1976). Поправка на нерадиогенный свинец, по модели (Stacey, Kramers, 1975), введена, используя измеренное 204Pb/206Pb.
РЕЗУЛЬТАТЫ ИССЛЕДОВАНИЯ
Геология и петрография гранитоидов
В пределах Камовского свода Байкитского поднятия при бурении скважин на территории Юрубчено-Тохомского нефтегазоконденсатного месторождения на глубине 1.8–2.0 км кристаллический фундамент вскрыт в виде отдельных изолированных выходов среди разновозрастных рифейских осадочных пород (рис. 2). По результатам петрографического изучения керна 13 скважин, в составе фундамента на площади около 10 000 км2 преобладают однородные и порфировые граниты, в разной степени разгнейсованные и прорванные телами габбро и долеритов (Вотинцев, Красильникова, 2019). Только две скважины вскрыли плагиогнейсы: Енгидинская-154 на западе площади (Вотинцев, Красильникова, 2019) и Байкитская-1 в северной ее части (Ковач и др., 2000). Мы провели изучение гранитоидов скважин Юрубченская-66 (Юр-66) и Юрубченская-112 (Юр-112), вскрывших фундамент на юге Камовского свода на двух участках, разобщенных на 50 км.
Рис. 2.
Схематическая геологическая карта предвендской поверхности Камовского свода Байкитского поднятия (Вотинцев, Красильникова, 2019). 1 – разломы; 2–4 – рифейские толщи: 2 – R2 + 3, 3 – R2, 4 – R1; 5 – раннедокембрийский фундамент (AR + PR1); 6 – интрузии габброидов и метадолеритов. Черные кружки – скважины, вскрывшие фундамент на площадях: Юр – Юрубченская, К – Куюмбинская, УК – Усть-Куюмбинская, Абр – Абракупчинская, Енг – Енгидинская, Бк – Байкитская. Голубой контур – скважины, по керну которых ранее были выполнены Sm-Nd и U-Pb изотопные исследования (Ковач и др., 2000; Бочкарев и др., 2011). Желтый контур – скважины, керн которых обсуждается в настоящей статье. А–Б – линия разреза, приведенного на рис. 12.

В разрезе скв. Юр-66 на всем изученном интервале 2348–2406 м вскрыты среднезернистые красно-коричневые гранодиориты с однородной, участками порфировой структурой, среди которых встречаются небольшие по мощности лейкогранитные жилки. Породы разбиты многочисленными зонками катаклаза и преобразованы процессами выветривания. Полевые шпаты, составляющие более 60% пород, частично замещены слюдистыми минералами. Темноцветные минералы (10–15%), биотит и, возможно, амфибол, полностью преобразованы, контуры их бывших зерен маркируются тонкими скоплениями гематита и слюдистого агрегата. Кварц, слагающий около 20% породы, выветриванием не преобразован, часть зерен имеет волнистое погасание, демонстрируя тектоническую переработку пород (рис. 3).
Рис. 3.
Микрофотографии шлифов гранитоидов Юрубченского массива. Поле зрения – 4 мм, николи скрещены. (а) – обр. Юр-66-3, среднезернистый гранодиорит: сильно выветрелые полевые шпаты и гранулированный кварц с мозаичным погасанием. (б) – обр. Юр-112-5, трондьемит-порфир: крупные идиоморфные кристаллы плагиоклаза в микроклин-плагиоклаз-кварцевом матриксе. (в), (г) – обр. Юр-112-2, мелкозернистый лейкогранит: (в) – слабо гранулированный плагиоклаз-кварц-микроклиновый агрегат; (г) – скопление кристаллов мусковита, частично перекристаллизованного по зоне тектонической переработки породы северо-восточного простирания.

Скважина Юр-112 вскрыла фундамент на большом интервале 2471–2616 м. В верхней части (2471–2487 м) залегают светло-розовые мусковитовые лейкограниты, мелкозернистые, участками аплитовидные. Ниже (2557–2562 м) вскрыт небольшой интервал лейкократовых биотитовых трондьемитов с порфировидными структурами, которые глубже сменяются однородными среднезернистыми трондьемитами. Переработка минерального состава пород, проявленная в хлоритизации биотита и соссюритизации плагиоклаза, могла быть связана как с постмагматическими процессами, так и с метаморфическим преобразованием гранитоидов в условиях не выше зеленосланцевой фации. Эпидот и гранат, обнаруженные в трондьемитах в акцессорных количествах при делении проб, могут представлять магматические минералы или, в случае граната, унаследованную компоненту от корового источника расплава. Тектоническая переработка пород имела локальный характер и устанавливается по мозаичному погасанию отдельных зерен кварца и по присутствию редких маломощных (1–3 мм) разно ориентированных зон дробления (рис. 2). Процессы выветривания на изученном интервале разреза фундамента скв. Юр-112 не отмечены.
Геохимия гранитоидов
По химическому составу гранитоиды, вскрытые скважиной Юр-66, отвечают высокоглиноземистым гранодиоритам с содержанием SiO2 от 65.7 до 69.0 мас. %; секущая их лейкократовая жилка имеет лейкогранитный состав (табл. 1, рис. 4).
Таблица 1.
Содержания петрогенных и редких элементов в гранитоидах Юрубченского массива
| Компо-ненты | Юр-66-1* | Юр-66-2-1 | Юр-66-2-2 | Юр-66-3 | Юр-112-2 | Юр-112-4 | Юр-112-5 | Юр-112-6 | Юр-112-7 |
|---|---|---|---|---|---|---|---|---|---|
| гранодиориты | кварц-ПШ жилка | грано-диорит | Ms- гранит | Ms-гранит-аплит | Bt-трондьемиты | ||||
| SiO2 | 65.70 | 68.95 | 74.09 | 67.00 | 75.27 | 74.58 | 73.29 | 72.61 | 72.01 |
| TiO2 | 0.41 | 0.39 | 0.32 | 0.39 | 0.13 | 0.11 | 0.26 | 0.28 | 0.31 |
| Al2O3 | 16.73 | 14.00 | 12.79 | 15.21 | 13.45 | 13.75 | 14.21 | 14.29 | 14.71 |
| Fe2O3 | 5.16 | 5.72 | 1.92 | 5.47 | 1.06 | 0.86 | 2.05 | 2.37 | 2.48 |
| MnO | 0.00 | 0.01 | 0.01 | 0.01 | 0.02 | 0.01 | 0.06 | 0.05 | 0.06 |
| MgO | 1.10 | 1.67 | 2.08 | 1.45 | 0.55 | 0.41 | 1.16 | 1.25 | 1.43 |
| CaO | 0.20 | 0.25 | 0.19 | 0.30 | 0.11 | 0.26 | 1.90 | 1.81 | 1.89 |
| Na2O | 0.74 | 0.56 | 0.44 | 0.59 | 2.72 | 2.37 | 4.84 | 4.72 | 5.11 |
| K2O | 9.84 | 8.32 | 8.04 | 9.45 | 6.67 | 7.61 | 2.16 | 2.53 | 1.91 |
| P2O5 | 0.12 | 0.14 | 0.11 | 0.14 | 0.02 | 0.04 | 0.07 | 0.07 | 0.09 |
| П.п.п. | 1.55 | 1.37 | 1.31 | 1.72 | 0.71 | 0.72 | 0.94 | 0.9 | 1.02 |
| Сумма | 98.76 | 99.12 | 99.03 | 98.97 | 98.82 | 98.47 | 99.60 | 99.63 | 99.32 |
| Li | 12.6 | 11.6 | 13.9 | 9.81 | 11.5 | 7.70 | 22.4 | 23.0 | 23.7 |
| Be | 1.50 | 0.996 | 0.714 | 0.967 | 0.928 | 1.12 | 1.76 | 1.07 | 0.904 |
| Sc | 3.56 | 5.50 | 4.46 | 3.96 | 1.96 | 2.01 | 3.12 | 3.08 | 2.59 |
| V | 27.0 | 42.2 | 44.9 | 41.9 | <ПО | 2.49 | 11.5 | 11.9 | 11.5 |
| Cr | 15.6 | 17.0 | 10.5 | 16.2 | 39.1 | 36.5 | 27.6 | 25.7 | 13.3 |
| Co | 7.31 | 3.94 | 4.38 | 4.30 | 1.27 | 0.971 | 2.73 | 2.85 | 2.88 |
| Ni | 22.5 | 17.9 | 19.9 | 19.8 | 25.7 | 28.0 | 19.1 | 13.6 | 11.5 |
| Cu | 1.76 | 2.43 | 5.63 | 2.17 | 5.23 | 7.00 | 3.50 | 2.81 | 1.76 |
| Zn | 14.5 | 20.7 | 20.3 | 18.2 | 26.9 | 20.0 | 62.4 | 45.7 | 36.3 |
| Ga | 16.2 | 14.9 | 13.4 | 15.5 | 15.0 | 12.6 | 16.0 | 15.4 | 14.7 |
| Rb | 106 | 89.9 | 87.1 | 111 | 69.8 | 79.1 | 42.7 | 44.1 | 28.9 |
| Sr | 57.0 | 53.2 | 41.4 | 71.4 | 36.0 | 39.5 | 292 | 345 | 363 |
| Y | 5.19 | 6.14 | 7.27 | 6.88 | 8.22 | 7.53 | 8.39 | 7.41 | 5.70 |
| Zr | 104 | 90.9 | 89.5 | 128 | 72.8 | 68.8 | 124 | 166 | 143 |
| Nb | 3.01 | 2.09 | 2.03 | 2.30 | 8.71 | 6.66 | 8.47 | 5.46 | 3.99 |
| Mo | 0.363 | 0.340 | 0.395 | 0.423 | 0.671 | 2.29 | 1.07 | 0.604 | 0.720 |
| Cs | 0.695 | 0.761 | 0.916 | 0.780 | 0.452 | 0.469 | 0.698 | 0.694 | 0.474 |
| Ba | 850 | 525 | 600 | 996 | 556 | 410 | 473 | 1096 | 562 |
| La | 50.6 | 45.0 | 54.3 | 44.6 | 21.2 | 20.2 | 31.1 | 37.0 | 35.1 |
| Ce | 94.5 | 81.2 | 98.1 | 78.6 | 45.7 | 39.3 | 53.7 | 64.8 | 59.6 |
| Pr | 9.84 | 7.53 | 9.32 | 7.46 | 4.34 | 4.11 | 5.28 | 6.66 | 5.83 |
| Nd | 35.5 | 26.4 | 31.9 | 26.5 | 13.6 | 14.2 | 16.9 | 21.1 | 19.0 |
| Sm | 5.06 | 3.71 | 4.20 | 3.56 | 2.42 | 2.58 | 2.57 | 3.13 | 2.64 |
| Eu | 1.44 | 1.21 | 1.09 | 1.18 | 0.320 | 0.286 | 0.679 | 0.888 | 0.813 |
| Gd | 3.21 | 2.60 | 2.76 | 2.68 | 1.94 | 2.07 | 2.02 | 2.25 | 1.91 |
| Tb | 0.410 | 0.360 | 0.384 | 0.361 | 0.347 | 0.354 | 0.358 | 0.371 | 0.312 |
| Dy | 1.44 | 1.30 | 1.59 | 1.44 | 1.65 | 1.55 | 1.61 | 1.54 | 1.26 |
| Ho | 0.221 | 0.231 | 0.273 | 0.263 | 0.306 | 0.286 | 0.309 | 0.287 | 0.240 |
| Er | 0.546 | 0.595 | 0.704 | 0.695 | 0.881 | 0.815 | 0.937 | 0.835 | 0.695 |
| Tm | 0.076 | 0.079 | 0.088 | 0.094 | 0.125 | 0.114 | 0.139 | 0.118 | 0.096 |
| Yb | 0.421 | 0.541 | 0.567 | 0.634 | 0.813 | 0.784 | 0.950 | 0.781 | 0.685 |
| Lu | 0.060 | 0.075 | 0.079 | 0.093 | 0.116 | 0.117 | 0.138 | 0.121 | 0.108 |
| Hf | 2.71 | 2.28 | 2.24 | 3.22 | 2.59 | 3.02 | 3.17 | 4.09 | 3.64 |
| Ta | 0.305 | 0.095 | 0.128 | 0.128 | 0.572 | 0.619 | 0.859 | 0.302 | 0.225 |
| W | 1.01 | 0.409 | 0.263 | 0.413 | 0.481 | 0.667 | 0.203 | 0.313 | 0.165 |
| Tl | 0.375 | 0.313 | 0.395 | 0.453 | 0.407 | 0.482 | 0.240 | 0.254 | 0.159 |
| Pb | 2.27 | 2.45 | 1.86 | 2.61 | 18.12 | 8.64 | 9.12 | 10.7 | 6.00 |
| Th | 12.0 | 5.72 | 3.90 | 6.86 | 6.88 | 6.38 | 3.82 | 5.82 | 4.78 |
| U | 0.897 | 1.13 | 1.21 | 0.805 | 0.593 | 0.886 | 0.729 | 0.853 | 0.631 |
| (La/Sm)N | 6.30 | 7.62 | 8.13 | 7.88 | 5.51 | 4.94 | 7.62 | 7.44 | 8.37 |
| (Gd/Yb)N | 6.16 | 3.88 | 3.94 | 3.41 | 1.93 | 2.13 | 1.72 | 2.33 | 2.25 |
| Eu/Eu* | 1.09 | 1.19 | 0.98 | 1.17 | 0.45 | 0.38 | 0.91 | 1.02 | 1.11 |
| CIA | 58.4 | 58.2 | 57.3 | 57.2 | 53.2 | 52.4 | 51.1 | 51.2 | 51.8 |
| WIP | 93.5 | 80.6 | 78.2 | 89.9 | 83.5 | 88.1 | 70.8 | 72.9 | 71.8 |
Рис. 4.
Дискриминационная диаграмма A/NK–A/CNK (Maniar, Piccoli, 1989) и диаграммы Харкера для гранитоидов Юрубченского массива.

Для всех гранитоидов этой скважины характерны резкая обогащенность калием и необычно низкие концентрации CaO, Na2O и Sr, что, вероятно, связано с процессами их выветривания. По геохимическим характеристикам все изученные образцы, включая лейкогранит, близки (табл. 1). Их отличительными особенностями являются высокие содержания легких РЗЭ, сильно фракционированные спектры легких (LaN/SmN = 6.2–8.1) и тяжелых (GdN/YbN = 3.4–6.2) лантаноидов, положительные Eu-аномалии и низкие концентрации HFSE, которые на мультиэлементных спектрах дают в разной степени проявленные отрицательные аномалии (табл. 1, рис. 4, 5).
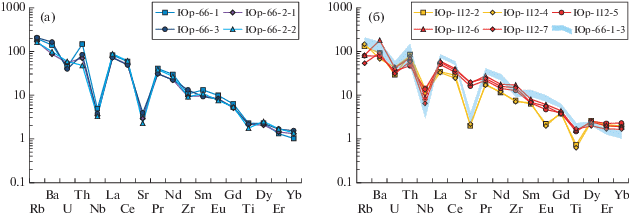
Рис. 5.
Нормированные к примитивной мантии (Wedepohl, Hartmann, 1994) распределения редких элементов в гранитоидах Юрубченского массива.

Скважина Юр-112 в глубокой части вскрыла лейкократовые (SiO2 около 73 мас. %) высокоглиноземистые трондьемиты, в верхней части разреза представлены высококремнистые (SiO2 > > 74.5 мас. %) высококалиевые лейкограниты (табл. 1). Эти гранитоиды имеют общие геохимические особенности и на большинстве диаграмм образуют единые тренды изменения состава (табл. 1, рис. 4, 5). В то же время по содержаниям большинства петрогенных и редких элементов гранитоиды скв. Юр-112 отличаются от гранодиоритов и лейкогранитов скв. Юр-66, что наиболее контрастно проявлено в концентрациях Al2O3, P2O5, Nb и легких РЗЭ и в степени фракционирования тяжелых РЗЭ (GdN/YbN = 1.7–2.3) (табл. 1, рис. 4, 5).
U-Pb изотопно-геохронологические данные
U-Pb анализы выполнены по циркону для всех главных типов гранитоидов Юрубченского массива, включая гранодиориты, обр. Юр-66-3, трондьемиты, обр. Юр-112-5, и граниты, обр. Юр-112-2.
В гранодиорите, обр. Юр-66-3, циркон очень однородный, преобладают мелкие (около 100 мкм) кристаллы короткопризматической формы (рис. 6). В большинстве кристаллов в катодолюминесценции (CL) хорошо проявлена тонкая осцилляторная зональность, в единичных зернах во внутренних частях присутствуют CL-светлые, слабо зональные участки кристаллографических и неправильной формы очертаний.
Рис. 6.
Катодолюминесцентные (CL) изображения датированных зерен циркона из гранитоидов Юрубченского массива. Точки показывают места локальных U-Pb изотопных анализов, номера точек соответствуют анализам в табл. 2.

Большинство аналитических U-Pb результатов практически конкордантны и дают 207Pb/206Pb возраст со средневзвешенным значением 2562 ± ± 16 млн лет. Расчет по конкордантным и трем дискордантным точкам показывает близкое значение возраста 2567 ± 13 млн лет и имеет нижнее пересечение дискордии с конкордией около 400 млн лет (табл. 2, рис. 7а).
Таблица 2.
Результаты U-Pb изотопных исследований циркона из гранитоидов Юрубченского массива
| Номер точки | 206Pbc, % | U, мкг/г | Th, мкг/г | 206Pb*, мкг/г | $\frac{{^{{{\text{232}}}}{\text{Th}}}}{{^{{{\text{238}}}}{\text{U}}}}$ | (1) $\frac{{^{{{\text{206}}}}{\text{Pb}}}}{{^{{{\text{238}}}}{\text{U}}}}$ возраст |
(1) $\frac{{^{{{\text{207}}}}{\text{Pb}}}}{{^{{{\text{206}}}}{\text{Pb}}}}$ возраст |
D, % | (1) $\frac{{^{{{\text{238}}}}{\text{U}}}}{{^{{{\text{206}}}}{\text{Pb*}}}}$ | ±% | (1) $\frac{{^{{{\text{207}}}}{\text{Pb*}}}}{{^{{{\text{206}}}}{\text{Pb*}}}}$ |
±% | (1) $\frac{{^{{{\text{207}}}}{\text{Pb*}}}}{{^{{{\text{235}}}}{\text{U}}}}$ |
±% | (1) $\frac{{^{{{\text{206}}}}{\text{Pb*}}}}{{^{{{\text{238}}}}{\text{U}}}}$ |
±% | err corr |
||
|---|---|---|---|---|---|---|---|---|---|---|---|---|---|---|---|---|---|---|---|
| Гранодиорит, обр. Юр-66-3 | |||||||||||||||||||
| 1.1 | 0.58 | 865 | 3110 | 158 | 3.71 | 1245 | ±30 | 2306 | ±13 | +50 | 4.69 | 2.6 | 0.147 | 0.7 | 4.3 | 2.7 | 0.21 | 2.6 | 0.96 |
| 5.1 | 0.64 | 677 | 1985 | 151 | 3.03 | 1485 | ±13 | 2379 | ±14 | +42 | 3.86 | 1.0 | 0.153 | 0.8 | 5.5 | 1.3 | 0.26 | 1.0 | 0.76 |
| 9.1 | 0.14 | 591 | 2099 | 138 | 3.67 | 1553 | ±14 | 2453 | ±10 | +41 | 3.67 | 1.0 | 0.160 | 0.6 | 6.0 | 1.2 | 0.27 | 1.0 | 0.86 |
| 8.1 | 0.00 | 163 | 191 | 65.3 | 1.21 | 2473 | ±29 | 2555 | ±16 | +4 | 2.14 | 1.4 | 0.170 | 1.0 | 10.9 | 1.7 | 0.47 | 1.4 | 0.83 |
| 7.1 | 0.00 | 182 | 140 | 73.7 | 0.79 | 2486 | ±28 | 2553 | ±16 | +3 | 2.13 | 1.4 | 0.169 | 1.0 | 11.0 | 1.7 | 0.47 | 1.4 | 0.82 |
| 2.1 | 0.65 | 108 | 72 | 44.2 | 0.69 | 2511 | ±64 | 2554 | ±25 | +2 | 2.10 | 3.1 | 0.170 | 1.5 | 11.1 | 3.4 | 0.48 | 3.1 | 0.90 |
| 10 | 0.12 | 103 | 107 | 42.8 | 1.07 | 2543 | ±36 | 2581 | ±21 | +2 | 2.07 | 1.7 | 0.172 | 1.3 | 11.5 | 2.1 | 0.48 | 1.7 | 0.80 |
| 11 | 0.12 | 153 | 144 | 64.2 | 0.97 | 2570 | ±32 | 2555 | ±17 | –1 | 2.04 | 1.5 | 0.170 | 1.0 | 11.5 | 1.8 | 0.49 | 1.5 | 0.82 |
| 4.1 | 0.06 | 115 | 108 | 49.1 | 0.97 | 2598 | ±38 | 2581 | ±19 | –1 | 2.01 | 1.8 | 0.172 | 1.2 | 11.8 | 2.1 | 0.50 | 1.8 | 0.83 |
| 13 | 0.27 | 155 | 97 | 66.3 | 0.65 | 2605 | ±33 | 2586 | ±19 | –1 | 2.01 | 1.5 | 0.173 | 1.1 | 11.9 | 1.9 | 0.50 | 1.5 | 0.80 |
| 12 | 0.48 | 150 | 70 | 64.2 | 0.48 | 2602 | ±33 | 2581 | ±23 | –1 | 2.01 | 1.5 | 0.172 | 1.4 | 11.8 | 2.1 | 0.50 | 1.5 | 0.74 |
| 3.1 | 0.26 | 216 | 148 | 93.3 | 0.71 | 2630 | ±29 | 2557 | ±15 | –3 | 1.98 | 1.3 | 0.170 | 0.9 | 11.8 | 1.6 | 0.50 | 1.3 | 0.82 |
| 6.1 | 0.46 | 106 | 69 | 45.9 | 0.67 | 2631 | ±81 | 2552 | ±22 | –4 | 1.98 | 3.7 | 0.169 | 1.3 | 11.8 | 4.0 | 0.50 | 3.7 | 0.94 |
| Трондьемит, обр. Юр-112-5 | |||||||||||||||||||
| –7.1 | 0.32 | 461 | 268 | 167.5 | 0.60 | 2272 | 19 | 2457 | 11 | 9 | 2.366 | 1.0 | 0.160 | 0.63 | 9.33 | 1.2 | 0.423 | 1.0 | 0.84 |
| –2.1 | 0.19 | 466 | 202 | 174.2 | 0.45 | 2328 | 19 | 2499 | 10 | 8 | 2.299 | 1.0 | 0.164 | 0.58 | 9.85 | 1.1 | 0.435 | 1.0 | 0.86 |
| –4.2 | 0.25 | 165 | 88 | 66.1 | 0.55 | 2464 | 23 | 2539 | 19 | 4 | 2.148 | 1.1 | 0.168 | 1.15 | 10.80 | 1.6 | 0.466 | 1.1 | 0.70 |
| –1.1 | 0.14 | 330 | 265 | 137.7 | 0.83 | 2553 | 21 | 2558 | 11 | 0 | 2.058 | 1.0 | 0.170 | 0.66 | 11.39 | 1.2 | 0.486 | 1.0 | 0.84 |
| –7.2 | 0.09 | 127 | 55 | 52.9 | 0.45 | 2553 | 26 | 2553 | 16 | 0 | 2.058 | 1.2 | 0.170 | 0.96 | 11.36 | 1.6 | 0.486 | 1.2 | 0.78 |
| –7.3 | 0.16 | 91 | 113 | 38.0 | 1.29 | 2560 | 27 | 2540 | 19 | –1 | 2.051 | 1.3 | 0.168 | 1.11 | 11.31 | 1.7 | 0.488 | 1.3 | 0.76 |
| –4.1 | 0.00 | 311 | 287 | 130.5 | 0.95 | 2568 | 22 | 2570 | 10 | 0 | 2.043 | 1.0 | 0.171 | 0.61 | 11.56 | 1.2 | 0.489 | 1.0 | 0.86 |
| –5.1 | 0.02 | 312 | 136 | 131.9 | 0.45 | 2583 | 22 | 2566 | 10 | –1 | 2.029 | 1.0 | 0.171 | 0.62 | 11.61 | 1.2 | 0.493 | 1.0 | 0.86 |
| –7.3 | 0.00 | 37 | 97 | 15.6 | 2.74 | 2592 | 38 | 2578 | 27 | –1 | 2.021 | 1.8 | 0.172 | 1.60 | 11.74 | 2.4 | 0.495 | 1.8 | 0.75 |
| –3.1 | 0.07 | 98 | 92 | 41.9 | 0.97 | 2597 | 27 | 2536 | 17 | –3 | 2.016 | 1.2 | 0.168 | 0.99 | 11.47 | 1.6 | 0.496 | 1.2 | 0.78 |
| –6.1 | 0.00 | 23 | 22 | 9.8 | 0.99 | 2632 | 48 | 2550 | 36 | –4 | 1.983 | 2.2 | 0.169 | 2.13 | 11.77 | 3.1 | 0.504 | 2.2 | 0.72 |
| Гранит, обр. Юр-112-2 | |||||||||||||||||||
| 13 | 1.97 | 511 | 1383 | 111 | 2.80 | 1452 | ±15 | 2377 | ±25 | +43 | 3.96 | 1.2 | 0.153 | 1.5 | 5.3 | 1.9 | 0.25 | 1.2 | 0.62 |
| 2.1 | 0.00 | 362 | 332 | 79.4 | 0.95 | 1466 | ±28 | 2392 | ±15 | +43 | 3.92 | 2.2 | 0.154 | 0.9 | 5.4 | 2.3 | 0.26 | 2.2 | 0.93 |
| 4.1 | 0.20 | 677 | 937 | 172 | 1.43 | 1671 | ±14 | 2431 | ±10 | +35 | 3.38 | 0.9 | 0.158 | 0.6 | 6.4 | 1.1 | 0.30 | 0.9 | 0.84 |
| 9.1 | 2.63 | 530 | 377 | 140 | 0.73 | 1724 | ±21 | 2501 | ±58 | +35 | 3.26 | 1.4 | 0.164 | 3.5 | 6.9 | 3.7 | 0.31 | 1.4 | 0.37 |
| 8.2 | 0.61 | 95 | 284 | 26.6 | 3.10 | 1823 | ±33 | 2476 | ±38 | +30 | 3.06 | 2.1 | 0.162 | 2.3 | 7.3 | 3.1 | 0.33 | 2.1 | 0.68 |
| 9.2 | 0.70 | 114 | 104 | 33.6 | 0.94 | 1903 | ±31 | 2500 | ±33 | +28 | 2.91 | 1.9 | 0.164 | 1.9 | 7.8 | 2.7 | 0.34 | 1.9 | 0.70 |
| 5.1 | 0.10 | 364 | 506 | 118 | 1.43 | 2061 | ±43 | 2482 | ±15 | +20 | 2.65 | 2.5 | 0.162 | 0.9 | 8.4 | 2.6 | 0.38 | 2.5 | 0.94 |
| 3.1 | 0.07 | 228 | 402 | 76.9 | 1.82 | 2135 | ±25 | 2522 | ±17 | +18 | 2.55 | 1.4 | 0.166 | 1.0 | 9.0 | 1.7 | 0.39 | 1.4 | 0.81 |
| 8.1 | 0.26 | 273 | 242 | 97.6 | 0.92 | 2244 | ±25 | 2537 | ±16 | +14 | 2.40 | 1.3 | 0.168 | 1.0 | 9.6 | 1.6 | 0.42 | 1.3 | 0.80 |
| 7.1 | 0.35 | 149 | 98 | 55 | 0.68 | 2308 | ±32 | 2551 | ±23 | +11 | 2.32 | 1.7 | 0.169 | 1.4 | 10.1 | 2.2 | 0.43 | 1.7 | 0.78 |
| 11 | 0.16 | 175 | 117 | 72 | 0.69 | 2526 | ±34 | 2577 | ±19 | +2 | 2.09 | 1.6 | 0.172 | 1.1 | 11.4 | 2.0 | 0.48 | 1.6 | 0.82 |
| 12 | 0.05 | 119 | 138 | 49 | 1.20 | 2526 | ±41 | 2569 | ±23 | +2 | 2.08 | 2.0 | 0.171 | 1.4 | 11.3 | 2.4 | 0.48 | 2.0 | 0.82 |
| 6.1 | 0.07 | 145 | 322 | 59.8 | 2.29 | 2526 | ±34 | 2568 | ±19 | +2 | 2.08 | 1.6 | 0.171 | 1.1 | 11.3 | 2.0 | 0.48 | 1.6 | 0.83 |
| 1.1 | 0.35 | 78 | 89 | 32.2 | 1.17 | 2529 | ±43 | 2564 | ±27 | +2 | 2.08 | 2.0 | 0.171 | 1.6 | 11.3 | 2.6 | 0.48 | 2.0 | 0.78 |
| 10 | 0.44 | 76 | 104 | 31.6 | 1.43 | 2556 | ±48 | 2587 | ±30 | +1 | 2.06 | 2.3 | 0.173 | 1.8 | 11.6 | 2.9 | 0.49 | 2.3 | 0.79 |
| 2.2 | 0.00 | 22 | 25 | 9.23 | 1.18 | 2580 | ±83 | 2608 | ±48 | +1 | 2.03 | 3.9 | 0.175 | 2.9 | 11.9 | 4.8 | 0.49 | 3.9 | 0.80 |
В трондьемите, обр. Юр-112-5, циркон неоднороден по морфологии и внутреннему строению (рис. 6). Кристаллы варьируют от коротко- до длиннопризматических и игольчатых. Призматические кристаллы содержат в центральных частях ростовые затравки или ядра, характеризуются концентрически-зональным строением и окрашены в коричневато-бурые тона. Длиннопризматические кристаллы – бесцветные, имеют однородное внутреннее строение, в центральных частях могут содержать включения канальной формы. U-Pb изотопные исследования, выполненные по всем морфологическим типам кристаллов цирконов и по разным частям кристаллов, показали их одновозрастность. Большинство аналитических точек располагается на конкордии и имеют средневзвешенный 207Pb/206Pb возраст 2563±10 млн лет (табл. 2, рис. 7б). Расчет дискордии по конкордантным и трем дискордантным точкам дает близкое значение возраста 2556 ± 14 млн лет и имеет нижнее пересечение конкордии около 1100 млн лет.
В граните, обр. Юр-112-2, циркон также неоднороден и по морфологии и внутреннему строению во многом аналогичен циркону из трондьемита (рис. 6). Главным отличием является присутствие полностью метамиктных зерен циркона с сильно нарушенной внутренней структурой, что, вероятно, связано с повышенными содержаниями U и Th в цирконе гранита. U-Pb анализы были выполнены по внутренним и внешним частям кристаллов в ожидании присутствия более древних унаследованных ядер, однако все проанализированные части кристаллов оказались одновозрастными. Часть аналитических точек располагается на конкордии и имеет средневзвешенный 207Pb/206Pb возраст 2563 ± ± 18 млн лет (табл. 2, рис. 7в). Расчет дискордии по всем конкордантным и дискордантным точкам дает близкое значение возраста 2572 ± 17 млн лет с нижним пересечением конкордии около 450 млн лет (рис. 7в).
Rb-Sr изотопная геохронология гранитоидов и минералов
Rb-Sr изотопные исследования проведены по двум образцам гранитоидов скв. Юр-112. Для гранита (обр. Юр-112-2) две монофракции мусковита вместе с валовой пробой дают линейную зависимость, которая отвечает возрасту 2417 ± 64 млн лет (табл. 3, рис. 8а). Близкое значение возраста около 2400 млн лет определяют фигуративные точки всех, за исключением биотита, породообразующих и акцессорных минералов трондьемита, обр. Юр-112-5 (табл. 3, рис. 8б).
Таблица 3.
Rb-Sr изотопные данные для образцов гранитоидов Юрубченского массива
| Номер образца | Порода | Rb, мкг/г |
Sr, мкг/г |
87Rb/86Sr | ±2s | 87Sr/86Sr | ±2s |
|---|---|---|---|---|---|---|---|
| Юр-112-2 | Гранит | 87.9 | 44.1 | 5.767 | 0.0048 | 0.874556 | 0.000028 |
| Юр-112-2 | Мусковит (фракция +0.1 мм) | 355 | 10.7 | 95.73 | 0.0934 | 4.015805 | 0.000529 |
| Юр-112-2 | Мусковит (фракция –0.1 мм) | 374 | 20.9 | 51.89 | 0.0580 | 2.479130 | 0.000042 |
| Юр-112-5 | Трондьемит | 50.7 | 355 | 0.4135 | 0.0005 | 0.716200 | 0.000009 |
| Юр-112-5 | Эпидот | 12.1 | 3242 | 0.0108 | 0.0000 | 0.706902 | 0.000008 |
| Юр-112-5 | Плагиоклаз | 151 | 378 | 1.153 | 0.0005 | 0.736589 | 0.000009 |
| Юр-112-5 | Биотит | 509 | 19.8 | 74.30 | 0.2007 | 2.568335 | 0.000029 |
| Юр-112-5 | Мусковит | 316 | 36.7 | 24.92 | 0.0509 | 1.577435 | 0.000019 |
| Юр-112-5 | Гранат | 10.2 | 166 | 0.178 | 0.0004 | 0.708905 | 0.000010 |
Sm-Nd изотопная геохронология и геохимия гранитоидов и минералов
Sm-Nd изотопные исследования были выполнены по валовым пробам главных разновидностей гранитоидов фундамента, вскрытых скважинами Юр-66 и Юр-112, и по фракциям породообразующих и акцессорных минералов образца трондьемита Юр-112-5 (табл. 4, рис. 9). Валовые пробы гранитоидов имеют архейские модельные возрасты (TNd(DM) от 2.70 до 2.96 млрд лет). При этом для гранитоидов, вскрытых скв. Юр-112, устанавливается более длительная коровая предыстория источника расплавов (TNd(DM) от 2.86 до 2.96 млрд лет, εNd(2563) от –0.3 до –1.7) по сравнению с гранодиоритами, вскрытыми скв. Юр-66 (TNd(DM) от 2.70 до 2.77 млрд лет, εNd(2563) от 0.9 до 2.1). Выделенные из образца трондьемита Юр-112-5 плагиоклаз, эпидот, гранат и биотит в Sm-Nd изотопных координатах образуют хорошую линейную корреляцию (СКВО = 2.6) с возрастом 2.29 ± 0.16 млрд лет (рис. 9).
Таблица 4.
Sm-Nd изотопные данные для гранитоидов Юрубченского массива
| Номер образца | Порода | Sm, мкг/г |
Nd, мкг/г |
147Sm/144Nd | 143Nd/144Nd | εNd(2563) | T(DM)*, млн лет |
|---|---|---|---|---|---|---|---|
| Юр-66-1 | Гранодиорит | 5.71 | 41.7 | 0.08269 | 0.510820 ± 7 | 2.1 | 2697 |
| Юр-66-2-1 | Гранодиорит | 3.61 | 26.7 | 0.08162 | 0.510739 ± 10 | 0.9 | 2769 |
| Юр-66-2-2 | Кварц-ПШ жилка | 4.42 | 34.2 | 0.07797 | 0.510704 ± 10 | 1.4 | 2734 |
| Юр-112-2 | Гранит | 3.00 | 17.5 | 0.10375 | 0.511049 ± 11 | –0.3 | 2896 |
| Юр-112-6 | Гранодиорит | 2.83 | 20.1 | 0.08499 | 0.510725 ± 10 | –0.5 | 2856 |
| Юр-112-5 | Трондьемит | 2.67 | 16.8 | 0.09572 | 0.510847 ± 8 | –1.7 | 2959 |
| Юр-112-5 | Эпидот | 11.5 | 71.4 | 0.09702 | 0.510876 ± 16 | ||
| Юр-112-5 | Гранат | 1.24 | 6.53 | 0.11511 | 0.511102 ± 40 | ||
| Юр-112-5 | Мусковит | 0.30 | 1.44 | 0.12485 | 0.511186 ± 24 | ||
| Юр-112-5 | Биотит | 1.44 | 5.26 | 0.16594 | 0.511908 ± 18 | ||
| Юр-112-5 | Плагиоклаз | 0.11 | 0.72 | 0.09185 | 0.510779 ± 23 |
40Ar/39Ar геохронология слюд гранитоидов
40Ar/39Ar датирование было проведено по слюдам из образцов гранитоидов скв. Юр-112 (табл. 5, рис. 10). Мусковит из образца лейкогранита Юр-112-2 имеет возраст плато 2070 ± 20 млн лет. Биотит из образца трондьемита Юр-112-5 дает более молодой возраст плато 1866 ± 19 млн лет.
Таблица 5.
Результаты 40Ar/39Ar датирования
| T, °C | t, мин | 40Ar(STP) | 40Ar/39Ar | ±1σ | 38Ar/39Ar | ±1σ | 37Ar/39Ar | ±1σ | 36Ar/39Ar | ±1σ | Ca/K | ∑39Ar, % |
Т,
млн лет ±1σ |
±1σ |
|---|---|---|---|---|---|---|---|---|---|---|---|---|---|---|
| Биотит, обр. Юр-112-5, J = 0.006285 ± 0.000103*; возраст плато (750–1285°С) = 1865.7 ± 18.9 млн лет | ||||||||||||||
| 500 | 10 | 5.6*e–9 | 113.63 | 2.97 | 0.0725 | 0.0250 | 0.6136 | 0.5034 | 0.2975 | 0.0133 | 2.209 | 0.2 | 270.41 | 33.27 |
| 650 | 10 | 178.2*e–9 | 110.32 | 0.82 | 0.0114 | 0.0016 | 0.0677 | 0.0306 | 0.0221 | 0.0014 | 0.244 | 7.7 | 906.00 | 13.14 |
| 750 | 10 | 755.1*e–9 | 283.27 | 0.42 | 0.0110 | 0.0007 | 0.0279 | 0.0212 | 0.0053 | 0.0009 | 0.101 | 20.0 | 1838.37 | 19.00 |
| 810 | 10 | 945.6*e–9 | 286.66 | 0.26 | 0.0106 | 0.0003 | 0.0069 | 0.0070 | 0.0033 | 0.0005 | 0.025 | 35.3 | 1854.60 | 19.03 |
| 860 | 10 | 462.2*e–9 | 286.30 | 0.68 | 0.0065 | 0.0016 | 0.0450 | 0.0270 | 0.0049 | 0.0011 | 0.162 | 42.8 | 1851.33 | 19.22 |
| 940 | 10 | 736.7*e–9 | 289.35 | 0.35 | 0.0103 | 0.0012 | 0.0226 | 0.0133 | 0.0039 | 0.0012 | 0.081 | 54.6 | 1864.8 | 19.2 |
| 1020 | 10 | 443.0*e–9 | 295.12 | 0.66 | 0.0154 | 0.0007 | 0.0310 | 0.0224 | 0.0083 | 0.0003 | 0.112 | 61.5 | 1882.7 | 19.3 |
| 1100 | 10 | 146.3*e–9 | 296.84 | 0.49 | 0.0122 | 0.0016 | 0.0035 | 0.0314 | 0.0070 | 0.0015 | 0.013 | 63.8 | 1891.2 | 19.4 |
| 1200 | 10 | 669.8*e–9 | 295.55 | 0.37 | 0.0086 | 0.0006 | 0.0190 | 0.0082 | 0.0033 | 0.0006 | 0.069 | 74.3 | 1890.4 | 19.3 |
| 1275 | 10 | 1076.2*e–9 | 292.51 | 0.37 | 0.0141 | 0.0009 | 0.0048 | 0.0048 | 0.0044 | 0.0007 | 0.017 | 91.3 | 1877.0 | 19.2 |
| 1285 | 10 | 533.0*e–9 | 284.88 | 0.25 | 0.0123 | 0.0009 | 0.0024 | 0.0125 | 0.0069 | 0.0005 | 0.009 | 100.0 | 1843.0 | 19.0 |
| Мусковит, обр. Юр-112-5, J = 0.006225 ± 0.000101*; возраст плато (950–1150°С) = 2069.8 ± 20.1 млн лет | ||||||||||||||
| 500 | 10 | 3.8*e–9 | 235.08 | 12.31 | 0.2270 | 0.1346 | 0.303 | 2.094 | 0.2239 | 0.0701 | 1.092 | 0.2 | 1296.46 | 122.83 |
| 650 | 10 | 12.0*e–9 | 282.50 | 11.75 | 0.0085 | 0.0372 | 0.020 | 0.529 | 0.1322 | 0.0061 | 0.073 | 0.6 | 1664.20 | 48.66 |
| 750 | 10 | 39.0*e–9 | 299.97 | 1.81 | 0.0000 | 0.0090 | 0.023 | 0.195 | 0.0517 | 0.0087 | 0.084 | 2.0 | 1839.58 | 22.53 |
| 850 | 10 | 371.9*e–9 | 314.72 | 0.68 | 0.0107 | 0.0017 | 0.014 | 0.004 | 0.0040 | 0.0016 | 0.051 | 14.6 | 1952.72 | 19.61 |
| 950 | 10 | 731.1*e–9 | 354.87 | 0.35 | 0.0096 | 0.0008 | 0.000 | 0.011 | 0.0055 | 0.0016 | 0.000 | 36.4 | 2097.86 | 20.22 |
| 1000 | 10 | 843.1*e–9 | 344.51 | 0.72 | 0.0116 | 0.0018 | 0.030 | 0.019 | 0.0081 | 0.0010 | 0.109 | 62.4 | 2058.3 | 20.1 |
| 1050 | 10 | 407.2*e–9 | 346.28 | 1.07 | 0.0116 | 0.0036 | 0.035 | 0.025 | 0.0152 | 0.0010 | 0.128 | 74.9 | 2057.2 | 20.3 |
| 1150 | 10 | 681.4*e–9 | 345.52 | 0.80 | 0.0106 | 0.0021 | 0.027 | 0.023 | 0.0044 | 0.0008 | 0.097 | 95.9 | 2065.9 | 20.2 |
| 1250 | 10 | 55.4*e–9 | 142.24 | 0.77 | 0.0104 | 0.0039 | 0.082 | 0.066 | 0.0379 | 0.0025 | 0.296 | 100.0 | 1076.1 | 14.6 |
ОБСУЖДЕНИЕ РЕЗУЛЬТАТОВ
Строение Юрубченского массива гранитоидов
На территории Камовского свода Байкитской антеклизы проводились геологоразведочные работы для изучения нефтегазоносности коры выветривания на породах кристаллического фундамента, что обеспечило хорошую геологическую изученность и представительность кернового материала (Вотинцев, Красильникова, 2019). Это, в сочетании с результатами предшествующих изотопных исследований керна скважин (Ковач и др., 2000; Бочкарев и др., 2011) и новыми данными, позволяет уточнить представления о геологическом строении и составе фундамента.
В фундаменте Камовского свода были выделены два типа пород: плагиогнейсы и гранитоиды. Плагиогнейсы, вскрытые скв. Енг-154 на западе и скв. Бк-1 на севере площади, отличаются от гранитоидов более высоким содержанием Nd с менее радиогенным изотопным составом (рис. 11).
Рис. 11.
Диаграмма εNd(T)–Nd для раннедокембрийских пород фундамента Камовского свода (данные из работы (Ковач и др., 2000) и настоящая статья). Цифры в квадратиках – номера образцов из скважины Юрубченская-1 (Ковач и др., 2000).

Гранитоиды занимают большую часть Юрубченской площади и, вероятно, представляют фрагмент крупного неоднородного по составу массива. В западной части площади лейкократовые граниты и трондъемиты, вскрытые скв. Юр-112, несут свидетельства быстрой малоглубинной кристаллизации и, возможно, представляют краевую часть массива вблизи контакта с вмещающими плагиогнейсами. Гранодиориты, вскрытые скв. Юр-66 на востоке площади, могут представлять внутреннюю часть массива. Переход между гранитами и гранодиоритами, возможно, вскрыт скважиной Юр-1, для которой ранее были выполнены Sm-Nd изотопно-геохимические исследования (Ковач и др., 2000). В верхней части разреза этой скважины образцы гранитоидов Юр-1-1 и Юр-1-4 имеют Sm-Nd изотопно-геохимические характеристики, типичные для гранитов и трондьемитов скв. Юр-112. Образец Юр-1-6 из нижней части разреза скважины по характеристикам отвечает гранодиоритам скв. Юр-66 (рис. 11). Схематический разрез, иллюстрирующий строение Юрубченского массива архейских гранитоидов, приведен на рис. 12.
Рис. 12.
Схематический разрез А–Б (положение на рис. 2), иллюстрирующий возможное строение западной части Юрубченского гранитоидного массива. Цифры в квадратиках – номера образцов из скважины Юрубченская-1 (Ковач и др., 2000)

Преобразование состава гранитоидов при выветривании
Породы фундамента Камовского свода претерпели разную степень выветривания. Граниты и трондьемиты, вскрытые скв. Юр-112, не затронуты этим процессом, о чем свидетельствует хорошая сохранность Rb-Sr изотопно-геохимической системы в валовых пробах и минералах. Сильное выветривание выявлено в гранодиоритах, вскрытых скв. Юр-66, где описано полное замещение полевых шпатов слюдистыми минералами и каолинитом (Вотинцев, Красильникова, 2019). В изученных нами образцах из скв. Юр-66 полевые шпаты преобразованы на 60–70%, темноцветные минералы замещены полностью. Выветривание гранодиоритов отражается и на химическом составе пород. Потери породами Na2O и CaO при инертном поведении Al2O3, вероятно, определяют общую повышенную глиноземистость гранодиоритов (рис. 4), придавая им петрохимические характеристики гранитоидов S-типа. С выветриванием также, вероятно, связаны высокая концентрация K2O и ультракалиевый состав щелочей в гранодиоритах с соотношением K2O/Na2O от 13 до 18 (рис. 4). Тем не менее в целом гранодиориты сохранили первичные особенности химического состава, о чем свидетельствуют петрохимические индексы выветривания CIA (Nesbitt, Young, 1982) и WIP (Parker, 1970), отвечающие интервалам магматических пород (табл. 1).
Влияние процессов выветривания на геохимические особенности гранодиоритов, по-видимому, ограничивалось изменением содержаний щелочных и щелочноземельных элементов. Так, низкие концентрации и резкие отрицательные аномалии Sr, возможно, связаны с выветриванием, а не с фракционированием плагиоклаза. Последнее должно было бы приводить к появлению отрицательных Eu-аномалий, чего в действительности не наблюдается (рис. 5). Не устанавливается также Се-аномалия, которая часто появляется в корах выветривания за счет увеличения доли Ce4+ в окислительных условиях (Maulana et al., 2014). Таким образом, РЗЭ и HFSE, немобильные при слабой степени выветривания силикатных пород (Garzanti et al., 2013; Maulana et al., 2014), скорее всего, сохранили геохимические и Sm-Nd изотопные характеристики магматических пород и могут привлекаться для обсуждения вопросов их петрогенезиса и тектонической принадлежности. В пользу слабого выветривания гранодиоритов свидетельствует также хорошая сохранность U-Pb изотопной системы в цирконе, большинство зерен которого располагаются вблизи конкордии (табл. 2, рис. 7а), т.е. не испытали значительных потерь радиогенного свинца.
Вопросы генетической связи гранитоидов; источники и условия образования магм
Тесная пространственная и возрастная сопряженность изученных гранитоидов в составе Юрубченского массива дает основание обсудить их генетическую взаимосвязь.
Граниты и трондьемиты, возможно, представляют продукты кристаллизационной дифференциации единого исходного гранитного расплава на уровне становления массива. Лейкограниты могут рассматриваться как остаточный расплав после удаления кумулусной ассоциации плагиоклаз + + рудный минерал + апатит + циркона, а участки обогащения этими кумулусными минералами, прежде всего плагиоклазом, представлены трондьемитами (рис. 4). В гранодиоритах небольшие вариации составов также, возможно, связаны с дифференциацией in situ. Крайний продукт этой дифференциации представлен лейкогранитными жилками среди гранодиоритов в разрезе скв. Юр-66. В то же время геохимические и изотопные различия двух групп гранитоидов массива, гранодиоритов и трондьемитов-гранитов, указывают на их образование из разных источников и в разных условиях.
Различия источников гранитоидных расплавов Юрубченского массива хорошо иллюстрируют Sm-Nd изотопные данные. На диаграмме εNd(T)–T (рис. 13) точки гранитов и трондьемитов располагаются в поле эволюции изотопного состава неодима плагиогнейсов, вмещающих Юрубченский массив, в то время как гранодиориты, образованные при плавлении базитов, имеют более радиогенный первичный изотопный состав неодима (рис. 13). Положительная корреляция в координатах εNd(T)–Nd гранодиоритов и гранитов (рис. 11) дает основание предполагать взаимодействие и частичное изотопно-геохимическое уравновешивание этих двух расплавов, которое могло происходить в ходе их подъема в промежуточных камерах или на уровне становления массива.
Рис. 13.
Диаграмма εNd(T)–T для раннедокембрийских пород фундамента Камовского свода. Поле эволюции изотопного состава неодима для ТТГ-гнейсов Камовского свода построено по данным из работы (Ковач и др., 2000).

Гранодиориты, сочетающие положительные величины εNd(T) от 0.9 до 2.1, высокие концентрации и сильно фракционированные спектры легких РЗЭ (LaN/SmN = 6.2–8.1), образовались за счет обогащенного источника с короткой коровой историей. Сильно обедненные спектры тяжелых РЗЭ (GdN/YbN = 3.4–6.2) указывают на зарождение гранодиоритовых расплавов в равновесии с гранатсодержащим реститом. Такие условия могли быть реализованы при образовании гранодиоритового расплава при плавлении пород основного состава в нижней коре при давлении 10–15 кбар (Topuz et al., 2005; Qian, Hermann, 2013; Gao, 2016). Трондьемиты и граниты c отрицательными значениями εNd(T) от –0.3 до –1.7, более высокой концентрацией Nb, слабо фракционированным спектром тяжелых РЗЭ (GdN/YbN = 1.7–2.3) рассматриваются как продукты плавления кислых пород с плагиоклазом в рестите, что отвечает давлению около 5 кбар (Gao, 2016), т.е. средней коре. Согласно Sm-Nd изотопным данным, источником этих гранитоидов могли служить ТТГ-гнейсы Камовского свода (рис. 13).
При обсуждении причин плавления коры на разных уровнях привлекаются базальтовые магмы (Huppert, Sparks, 1988; Annen et al., 2008; Gao, 2016). На возможный вклад основных расплавов в образование изученных гранитоидов указывает присутствие габброидов, описанных в Юрубченском массиве (Вотинцев, Красильникова, 2019). Сценарий с высокотемпературным плавлением коры за счет дополнительного тепла базитов поддерживается U-Pb изотопными данными по циркону из гранитов и трондьемитов. Датирование центральных доменов циркона (потенциальных ядер) и новообразованных оболочек не обнаруживает каких-либо возрастных различий, что указывает на полное растворение циркона корового протолита.
Тектонический режим образования гранитоидов
Если Тунгусский террейн рассматривать как гранит-зеленокаменную область (ГЗО) (Розен, 2003), то плагиогнейсы Камовского свода представляют ранний тоналит-зеленокаменный комплекс, а Юрубченский массив является аналогом посттектонических интрузивов, которые завершают эволюцию неоархейских ГЗО (Kusky, Polat, 1999). Такая интерпретация согласуется с результатами проведенных исследований.
Установленное для Юрубченского массива синхронное (в пределах погрешности датировок) поступление кислых магм из разных коровых источников является отличительной особенностью посттектонического гранитоидного магматизма архейских ГЗО (Anhaeusser, 2014; Laurent et al., 2014; Tang, Santosh, 2018 и др.). Такая особенность связывается с постколлизионной обстановкой растяжения литосферы при коллапсе орогена и поступлением расплавов как из метасоматизированной литосферной мантии, так и с разных уровней коры (Kusky, 1993; Laurent et al., 2014).
Разнообразие составов источников и условий генерации кислых магм определяет широкие вариации их геохимических особенностей, индикаторных для разных тектонических обстановок (рис. 14).
Рис. 14.
Дискриминационные диаграммы Ce–Zr (Whalen et al., 1987), Rb–(Y+Nb) (Pearse, 1996), Ta–Yb и Nb–Y (Pearse et al., 1984) для гранитоидов Юрубченского массива.

На дискриминантных диаграммах из-за высоких концентраций легких РЗЭ гранитоиды располагаются вблизи границы полей I-, S- и A-типов (рис. 14а), а низкие концентрации тяжелых РЗЭ, Y, Nb и Ta определяют геохимическую специфику источников, переработанных надсубдукционными флюидами и/или расплавами (рис. 14б–14г). Некоторые отличительные черты постколлизионных гранитоидов, такие как натровая или калий-натровая специфика щелочей и повышенная концентрация Sr, были полностью утеряны гранодиоритами в процессе выветривания.
Термохронология гранитоидов Юрубченского массива
Гранитоиды Юрубченского массива претерпели тектоническую и метаморфическую переработку с формированием хрупких зон деформаций и перекристаллизации пород и гранулирования кварца, которая, возможно, происходила в конце палеопротерозоя при становлении Ангарского складчатого пояса с возрастом 2.1–1.8 млрд лет (Розен, 2003; Priyatkina et al., 2020), обрамляющего Тунгусский террейн с запада. На основе полученных геохронологических данных (рис. 15) реконструируется история постмагматической эксгумации глубинной (обр. Юр-112-5, трондьемит) и кровельной (обр. Юр-112-2, мусковитовый гранит) частей гранитоидного массива.
Рис. 15.
Сводка геохронологических данных для гранитоидов Камовского свода на термохронологической диаграмме формирования для U/Pb датировки либо закрытия изотопных систем. Сплошная черная линия – сводка датировок по детритовым цирконам для протерозойских пород юго-западной части Сибирского кратона (Priyatkina et al., 2020). Синий цвет – обр. Юр-112-5, красный цвет – обр. Юр-112-2.

Изотопными Rb-Sr, Sm-Nd системами пород обоих уровней фиксируется событие с возрастом 2400 ± 45 млн лет (среднее взвешенное), во время которого произошел подъем массива от глубин его формирования до промежуточных, при которых K/Ar изотопная система биотита из трондьемита оставалась открытой. Это означает, что нижняя часть массива оставалась на глубине более 7–10 км.
По всей видимости, в пределах изученного района откликом на становление Ангарского складчатого пояса явилось тектоно-термальное событие, в результате которого произошел дальнейший подъем массива до уровней, соответствующих температурам закрытия K-Ar системы. Этот вывод следует из совпадения возраста закрытия изотопной системы биотита из трондьемита (40Ar/39Ar датировка – 1866 ± 19 млн лет) глубинной части массива с максимумом гранитоидного магматизма в юго-западной части Сибирского кратона, который выявлен по детритовым цирконам из протерозойских осадочных пород (Priyatkina et al., 2020).
На основании Rb/Sr датировки по мусковиту и валовой пробе мусковитового гранита из кровельной части гранитоидного массива (обр. Юр-112-2, 2417 ± 64 млн лет) уже к этому времени порода должна была находится на небольшой глубине. Тогда и 40Ar/39Ar датировка по мусковиту должна была попасть на этот возрастной рубеж, чего не наблюдается. Мы предполагаем, что в процессе тектонической эксгумации гранитоидного массива 1866 ± 19 млн лет назад в кровельной части произошло формирование локальных зон деформаций с перекристаллизацией мусковита. Значительно более древнее значение 40Ar/39Ar возраста мусковита относительно биотита может являться результатом смешения новообразованного синтектонического мусковита (с возрастом ~ 1866 млн лет) и постмагматического мусковита с возрастом 2417 млн лет.
Таким образом, Rb-Sr, Sm-Nd и Ar-Ar изотопные системы в породообразующих минералах архейских постколлизионных гранитоидов Юрубченского массива отражают два этапа их постмагматической истории. Ранний этап около 2.40 млрд лет, вероятно, соответствует завершению эволюции коллизионного орогена и остыванию массива до температуры около 400°С на глубине 7–10 км. Поздний этап около 1.87 млрд лет, вероятно, связан с тектонической эксгумацией архейских пород запада Тунгусского террейна в ходе формирования палеопротерозойских комплексов Ангарского пояса.
Предложенная модель постмагматической эксгумации гранитоидного массива в сопоставлении с данными детритовых цирконов из мезо- и неопротерозойских осадочных бассейнов (рис. 2) должна учитываться при разработке тектонических моделей совмещения палеопротерозойского Ангарского пояса и Тунгусского террейна.
Гранитоиды Юрубченского массива: значение для региональных и палеоконтинентальных корреляций
Результаты геохронологических исследований позволяют рассматривать гранитоиды Юрубченского массива с возрастом 2563 млн лет как один из источников обломочного материала при накоплении рифейских осадочных пород в смежном Тейско-Чапском прогибе. Значительное (около 50%) количество зерен циркона с возрастом 2.5–2.6 млрд лет в этих осадочных породах (Priyatkina et al., 2020) предполагает, что на изученной территории гранитоиды Юрубченского массива или его возрастные аналоги имели широкое распространение. Присутствие многочисленных зерен циркона с возрастом около 2.60 млрд лет в рифейских осадочных породах Туруханского поднятия в северо-западном обрамлении Сибирского кратона (Priyatkina et al., 2016) дает основание утверждать, что гранитоиды Юрубченского типа были широко распространены не только в центральной, но в северной частях Тунгусского супертеррейна.
В неопротерозойских осадочных породах на Енисейском кряже и Саянском выступе детритовый циркон с возрастом 2.5–2.6 млрд лет присутствует в подчиненном (менее 10%) количестве (Priyatkina et al., 2018), что может указывать на меньшее распространение возрастных аналогов Юрубченского массива в южной части Тунгусского супертеррейна. Тем не менее именно здесь, в Шарыжалгайском выступе, широко проявлены эндогенные события в интервале 2.5–2.6 млрд лет, включая внедрение синколлизионных гранитоидов Китойского комплекса (2532 ± 12 млн лет: Гладкочуб и др., 2005), а также внедрение постколлизионных гранитоидов и метаморфическую переработку пород Иркутного блока (2.54–2.57 млрд лет: Сальникова и др., 2007; Turkina et al., 2012), которые связывают с формированием неоархейской Урикско-Китойской коллизионной зоны при сочленении Иркутного и Окинского террейнов.
Следует добавить, что циркон с возрастом 2.5–2.6 млрд лет в мезо- и неопротерозойских осадочных породах имеет близкие к нулю величины εHf(T) = 0 ± 5 (Priyatkina et al., 2016, 2018, 2020). Это служит указанием на сравнительно короткую коровую предысторию размываемых гранитоидов и является дополнительным свидетельством их постколлизионной тектонической принадлежности. Таким образом, имеющиеся данные дают основание утверждать, что постколлизионные гранитоиды с возрастом около 2.55 млрд лет имеют широкое распространение в составе Тунгусского супертеррейна и указывают на консолидацию коры этого крупного континентального блока в самом конце неоархея.
Анализ геохронологических данных по Сибирскому кратону свидетельствует, что возраст внедрения гранитоидов Юрубченского массива отвечает периоду становления постколлизионных и внутриплитных гранитоидов Каларского, Чародоканского и Нелюкинского комплексов Олекминской ГЗО запада Алданского щита – от 2.62 до 2.40 млрд лет (Ларин и др., 2012). Близкий возраст формирования континентальной коры устанавливается и для Северо-Китайского кратона, в котором амальгамация гранит-зеленокаменных поясов комплексов происходила 2.5–2.7 млрд лет назад (Tang et al., 2016; Tang, Santosh, 2018).
В глобальных палеоконтинентальных корреляциях Тунгусский террейн по возрасту консолидации коры моложе террейнов, относимых к архейским суперкратонам Ваалбара и Сьюпериа, но сопоставим с террейнами суперкратона Славиа (Bleeker, 2003; Eriksson, Condie, 2014) и, возможно, представляет тектонический фрагмент этого самого молодого архейского континента (суперкратона).
ВЫВОДЫ
1. В составе Тунгусского террейна на территории Камовского свода глубокими скважинами предположительно вскрыта краевая часть неоархейского массива гранитоидов. В составе массива участвуют две фазы, гранодиориты и трондьемиты-лейкограниты, которые имеют близкий возраст 2563 млн лет, но различаются по глубине зарождения и составу источников расплавов. Гранодиоритовые расплавы, возможно, образовались при плавлении базитового источника в равновесии с гранатсодержащим реститом, т.е. на глубине более 35 км, в то время так гранитный расплав был сформирован за счет кислого корового источника с безгранатовым реститом на глубине менее 20 км.
2. Внедрение гранитоидов, вероятно, происходило на постколлизионном этапе эволюции коры Тунгусского террейна, было связано с обстановкой растяжения при коллапсе коллизионного орогена и маркирует образование стабильной континентальной коры этого неоархейского блока.
3. По возрасту кратонизации Тунгусский террейн моложе террейнов, относимых к архейским суперкратонам Ваалбара и Сьюпериа, но сопоставим с террейнами суперкратона Славиа (Bleeker, 2003; Eriksson, Condie, 2014) и, возможно, представляет тектонический фрагмент этого самого молодого архейского континента.
4. Rb-Sr, Sm-Nd и Ar-Ar изотопные результаты по породообразующим минералам архейских постколлизионных гранитоидов Тунгусского террейна соответствуют двум этапам их постмагматической истории. Ранний этап, около 2.40 млрд лет, вероятно, отражает завершение эволюции коллизионного орогена и остывание массива до температуры около 400°С на глубине 7–10 км. Поздний этап, около 1.87 млрд лет, возможно, связан с тектонической эксгумацией архейских пород запада Тунгусского террейна в процессе формирования палеопротерозойских комплексов Ангарского пояса.
Благодарности. Авторы признательны сотрудникам кафедры литологии РГУ нефти и газа им. И.М. Губкина за помощь в подборе кернового материала для исследований. Мы выражаем искреннюю благодарность рецензентам Т.В. Донской, О.М. Туркиной и Н.И. Гусеву, за конструктивные замечания и рекомендации, которые позволили уточнить и улучшить рукопись статьи.
Источники финансирования. Работа выполнена по гранту РФФИ № 20-05-00686, 40Ar/39Ar датирование проведено в рамках Государственного задания ИГМ СО РАН.
Список литературы
Богданова С.В. Земная кора Русской плиты в раннем докембрии (на примере Волго-Уральского сегмента). М.: Наука, 1986. 224 с.
Бочкарев В.С., Брехунцов А.М., Лукомская К.Г. и др. Первые данные об абсолютном возрасте фундамента Сибирской платформы, полученные на основе U-Pb датирования цирконов на SHRIMP II (поздний архей) // Горные ведомости. 2011. № 12. С. 6–22.
Бочкарев В.С., Брехунцов А.М., Сергеев С.А. и др. Новые данные по определению абсолютного возраста пород фундамента Сибирского кратона и Западно-Сибирской платформы по цирконам на SHRIMP II // Горные ведомости. 2013. № 9. С. 38–62.
Вотинцев А.Н., Красильникова Н.Б. Нефтегазоносность фундамента Сибирской платформы в пределах Камовского свода Байкитской антеклизы // Геология нефти и газа. 2019. № 2. С. 55–62.
Гладкочуб Д.П., Донская Т.В., Мазукабзов А.М. и др. Возраст и геодинамическая интерпретация гранитоидов китойского комплекса (юг Сибирского кратона) // Геология и геофизика. 2005. Т. 46. № 11. С. 1139–1150.
Глебовицкий В.А., Хильтова В.Я., Козаков И.К. Тектоническое строение Сибирского кратона: интерпретация геолого-геофизических, геохронологических и изотопно-геохимических данных // Геотектоника. 2008. № 1. С. 12–26.
Донская Т.В. Раннепротерозойский гранитоидный магматизм Сибирского кратона. Дисс. … докт. геол.-мин. наук. Иркутск: Институт земной коры СО РАН, 2019. 410 с.
Карандашев В.К., Туранов А.Н., Орлова Т.А. и др. Использование метода масс-спектрометрии с индуктивно-связанной плазмой в элементном анализе объектов окружающей среды // Заводская лаборатория. Диагностика материалов. 2007. В. 73. С. 12–22.
Ковач В.П., Котов А.Б., Смелов А.П. и др. Этапы формирования континентальной коры погребенного фундамента восточной части Сибирской платформы: Sm‑Nd изотопные данные // Петрология. 2000. Т. 8. С. 394–408.
Ларин А.М., Котов А.Б., Великославинский С.Д. и др. Раннедокембрийские гранитоиды А-типа Алданского щита и его складчатого обрамления: источники и геодинамические обстановки формирования // Петрология. 2012. Т. 20. № 3. С. 242–265.
Ларионова Ю.О., Самсонов А.В., Шатагин К.Н. Источники архейских санукитоидов (высоко-Mg субщелочных гранитоидов) Карельского кратона: Sm-Nd и Rb-Sr изотопно-геохимические данные // Петрология. 2007. Т. 15. № 6. С. 590–612.
Миронюк Е.П., Тимашков А.Н., Чухонин А.П. и др. Хроногеологические исследования фундамента Сибирской платформы // Региональная геология и металлогения. 1996. № 5. С. 98–110.
Попов Н.В., Сафонова И.Ю., Постников А.А. и др. Палеопротерозойские гранитоиды из фундамента центральной части Сибирской платформы (скважина Могдинская-6): U-Pb возраст и состав // Докл. РАН. 2015. Т. 461. С. 558–562.
Розен О.М. Сибирский кратон: тектоническое районирование, этапы эволюции // Геотектоника. 2003. № 3. С. 3–21.
Сальникова Е.Б., Котов А.Б., Левицкий В.И. и др. Возрастные рубежи проявления высокотемпературного метаморфизма в кристаллических комплексах Иркутного блока Шарыжалгайского выступа фундамента Сибирской платформы: результаты U-Pb датирования единичных зерен циркона // Стратиграфия. Геол. корреляция. 2007. Т. 15. № 4. С. 3–19.
Anhaeusser C.R. Archaean greenstone belts and associated granitic rocks – A review // J. African Earth Sci. 2014. V. 100. P. 684–732.
Annen C., Blundy J. D., Sparks R. S. J. The sources of granitic melt in Deep Hot Zones // Trans. R. Soc. Edinburgh: Earth Sci. 2008. V. 97. P. 297–309
Baksi A.K., Archibald D.A., Farrar E. Intercalibration of 40Ar/39Ar dating standards // Chem. Geol. 1996. V. 129. P. 307—324.
Black L.P., Kamo S.L., Allen C.M. et al. Temora 1: A new zircon standard for Phanerozoic U-Pb geochronology // Chem. Geol. 2003. V. 200. P. 155–170.
Bleeker W. The late Archean record: A puzzle in ca. 35 pieces // Lithos. 2003. V. 71. P. 99–134.
Bogdanova S.V. Segments of the East European Craton // Eds. D.C. Gee, M. Beckholmen. EUROPROBE in Jablonna 1991. European Science Foundation – Polish Academy of Sciences. 1993. P. 33–38.
Bogdanova S.V., Gorbatschev R., Garetsky R.G. EUROPE|East European Craton // Ed. E. Scott. Reference Module in Earth Systems and Environmental Sciences. Elsevier, 2016.
Bogdanova S.V., Belousova E., De Waele B. et al. Palaeoproterozoic reworking of early Archaean lithospheric blocks: Rocks and zircon records from charnockitoids in Volgo-Uralia // Precambrian Res. 2021. V. 360. 106224.
Condie K.C. Earth as an Evolving Planetary System. Elsevier Ltd, 2011. Second edition. 574 p.
Czamanske G.K., Wooden J.L., Walker R.J. et al. Geochemical, isotopic, and SHRIMP age data for precambrian basement rocks, permian volcanic rocks, and sedimentary host rocks to the ore-bearing intrusions, Noril’sk-Talnakh District, Siberian Russia // Internat. Geol. Rev. 2000. V. 42. P. 895–927.
Donskaya T.V. Assembly of the Siberian Craton: Constraints from paleoproterozoic Granitoids // Precambrian Res. 2020. V. 348. 105869.
Doucet L.S., Ionov D.A., Golovin A.V. Paleoproterozoic formation age for the Siberian cratonic mantle: Hf and Nd isotope data on refractory peridotite xenoliths from the Udachnaya kimberlite // Chem. Geol. 2015. V. 391. P. 42–55.
Eriksson P.G., Condie K.C. Cratonic sedimentation regimes in the ca. 2450–2000 Ma period: Relationship to a possible widespread magmatic slowdown on Earth? // Gondwana Res. 2014. V. 25. P. 30–47.
Gao P., Zheng Y.-F., Zhao Z.-F. Experimental melts from crustal rocks: A lithochemical constraint on granite petrogenesis // Lithos. 2016. V. 266–267. P. 133–157
Garzanti E., Padoan M., Setti M. et al. Weathering geochemistry and Sr-Nd fingerprints of equatorial upper Nile and Congo muds // Geochem. Geophys. Geosyst. 2013. V. 14. P. 292–316.
Gladkochub D.P., Pisarevsky S.A., Donskaya T.V. et al. Siberian Craton and its evolution in terms of Rodinia hypothesis // Episodes. 2006. V. 29. № 3. P. 169–174.
Goldstein S.J., Jacobsen S.B. Nd and Sr isotopic systematics of river water suspended material: Implications for crustal evolution // Earth Planet. Sci. Lett. 1988. V. 87. P. 249–265.
Huppert H.E., Sparks R.S.J. The generation of granitic magmas by intrusion of basalt into continental crust // J. Petrol. 1988. V. 29. P. 599–624.
Ionov D.A., Doucet L.S., Carlson R.W. et al. Post-Archean formation of the lithospheric mantle in the central Siberian craton: Re-Os and PGE study of peridotite xenoliths from the Udachnaya kimberlite // Geochim. Cosmochim. Acta. 2015. V. 165. P. 466–483.
Kostrovitsky S.I., Skuzovatov S.Y., Yakovlev D.A. et al. Age of the Siberian craton crust beneath the northern kimberlite fields: Insights to the craton evolution // Gondwana Res. 2016. V. 39. P. 365–385.
Kusky T.M. Collapse of archean orogens and the generation of late- to postkinematic granitoids // Geology. 1993. V. 21. P. 925–928.
Kusky T.M., Polat A. Growth of granite–greenstone terranes at convergent margins, and stabilization of Archean cratons // Tectonophysics. 1999. V. 305. P. 43–73.
Larionov A.N., Andreichev V.A., Gee D.G. The Vendian alkaline igneous suite of northern Timan: Ion microprobe U-Pb zircon ages of gabbros and syenite // The Neoproterozoic Timanide Orogen of Eastern Baltica. Eds. D.G. Gee, V.L. Pease. London. Geol. Soc. Memoirs. 2004. V. 30. P. 69—74.
Laurent O., Martin H., Moyen J.-F., Doucelance R. The diversity and evolution of late-Archaean granitoids: Evidence for the onset of “modern-style” plate tectonics between 3.0 and 2.5 Ga // Lithos. 2014. V. 205. P. 208–235.
Ludwig K.R. SQUID 1.12. A user’s manual. A geochronological toolkit for Microsoft Excel. Berkeley Geochronology Center Special Publication. 2005a. 22 p. http://www.bgc.org/klprogrammenu.html.
Ludwig K.R. User’s manual for ISOPLOT/Ex 3.22. A geochronological toolkit for Microsoft Excel. Berkeley Geochronology Center Special Publication. 2005b. 71 p. http://www.bgc.org/klprogrammenu.html.
Maniar P.D., Piccoli P.M. Tectonic discrimination of granitoids // Geol. Soc. Amer. Bull. 1989. V. 101. P. 635–643.
Maulana A., Yonezu K., Watanabe K. Geochemistry of rare earth elements (REE) in the weathered crusts from the granitic rocks in Sulawesi Island, Indonesia // J. Earth Sci. 2014. V. 25. P. 460–472.
Nesbitt H.W., Young G.M. Early proterozoic climates and plate motions inferred from major element chemistry of lutites // Nature. 1982. V. 299. P. 715–717.
Parker A. An index of weathering for silicate rocks // Geol. Mag. 1970. V. 107. P. 501–504.
Pearce J.A. Sources and settings of granitic rocks // Episodes. 1996. V. 19. P. 120–125.
Pearce J.A., Harris N.W., Tindle A.G. Trace element discrimination diagrams for the tectonic interpretation of granitic rocks // J. Petrol. 1984. V. 25. P. 956–983.
Priyatkina N., Khudoley A.K., Collins W.J. et al. Detrital zircon record of meso- and neoproterozoic sedimentary basins in northern part of the Siberian Craton: Characterizing buried crust of the basement // Precambrian Res. 2016. V. 285. P. 21–38.
Priyatkina N., Collins W.J., Khudoley A.K. et al. The Neoproterozoic evolution of the western Siberian Craton margin: U-Pb-Hf isotopic records of detrital zircons from the Yenisey Ridge and the Prisayan Uplift // Precambr. Res. 2018. V. 305. P. 197–217.
Priyatkina N., Ernst R E., Khudoley A.K. A preliminary reassessment of the Siberian cratonic basement with new U-Pb-Hf detrital zircon data // Precambrian Res. 2020. V. 340. 105645.
Qian Q., Hermann J. Partial melting of lower crust at 10–15 kbar: Constraints on adakite and TTG formation // Contrib. Mineral. Petrol. 2013. V. 165. P. 1195–1224.
Rosen O.M., Condie K.C., Natapov L.M., Nozhkin A.D. Archean and Early Proterozoic evolution of the Siberian craton: A preliminary assessment // Developments in Precambrian Geology. V. 11. Archean Crustal Evolution. Ed. K.C. Condie. Amsterdam: Elsevier, 1994. P. 411–459.
Smelov A.P., Timofeev V.F. The age of the North Asian Cratonic basement: An overview // Gondwana Res. 2007. V. 12. P. 279–288.
Stacey J.S., Kramers I.D. Approximation of terrestrial lead isotope evolution by a two-stage model // Earth Planet. Sci. Lett. 1975. V. 26. P. 207—221.
Steiger R.H., Jager E. Subcomission of Geochronology: Convention of the use of decay constants in geo and cosmochronology // Earth Planet. Sci. Lett. 1976. V. 36. P. 359—362.
Tang L., Santosh M. Neoarchean granite-greenstone belts and related ore mineralization in the North China Craton: An overview // Geosci. Front. 2018. V. 9. P. 751–768.
Tang L., Santosh M., Tsunogae T., Teng X.-M. Late Neoarchean arc magmatism and crustal growth associated with microblock amalgamation in the North China Craton: Evidence from the Fuping Complex // Lithos. 2016. V. 248–251. P. 324–338.
Topuz G., Altherr R., Schwarz W.H. et al. Postcollisional plutonism with adakite-like signatures: the Eocene Saraycik granodiorite (Eastern Pontides, Turkey) // Contrib. Mineral. Petrol. 2005. V. 150. P. 441–455.
Turkina O.M., Berezhnaya N.G., Lepekhina E.N., Kapitonov I.N. U-Pb (SHRIMP II), Lu-Hf isotope and trace element geochemistry of zircons from high-grade metamorphic rocks of the Irkut terrane, Sharyzhalgay Uplift: Implications for the neoarchaean evolution of the Siberian Craton // Gondwana Res. 2012. V. 21. P. 801–817.
Turkina O.M., Sukhorukov V.P., Sergeev S.A. Mesoarchean bimodal volcanic rocks of the Onot greenstone belts, southwestern Siberian craton: Implications for magmatism in an extension/rift setting // Precambrian Res. 2020. V. 343. 105731.
Wedepohl K.H., Hartmann G. The composition of the primitive upper earth’s mantle // Kimberlites, related rocks and mantle xenoliths // Eds. H.O.A. Meyer, O.H. Leonardos, Companhia de Pesquisa de Recursos Minerais. 1994. P. 486–495.
Whalen J.B., Currie K.L., Chappell B.W. A-type granites: Geochemical characteristics, discrimination and petrogenesis // Contrib. Mineral. Petrol. 1987. V. 95. P. 407–419.
Wiedenbeck M., Alle P., Corfu F. et al. Three natural zircon standards for U-Th-Pb, Lu-Hf, trace element and REE analyses // Geostand. Newslett. 1995. V. 19. P. 1—23.
Williams I.S. U-Th-Pb geochronology by ion microprobe // Applications in microanalytical techniques to understanding mineralizing processes. Rev. Econom. Geol. 1998. V. 7. P. 1—35.
Yakubchuk A. Diamond deposits of the Siberian craton: Products of post-1200 Ma plume events affecting the lithospheric keel // Ore Geol. Rev. 2009. V. 35. P. 155–163.
Дополнительные материалы отсутствуют.
Инструменты
Петрология






