Петрология, 2021, T. 29, № 2, стр. 172-194
Sr- и С-хемостратиграфический потенциал палеопротерозойских осадочных карбонатов в условиях среднетемпературного метаморфизма: мраморы Рускеалы, Карелия
А. Б. Кузнецов a, *, И. М. Горохов a, П. Я. Азимов a, Е. О. Дубинина b
a Институт геологии и геохронологии докембрия РАН
Санкт-Петербург, Россия
b Институт геологии рудных месторождений, петрографии, минералогии и геохимии РАН
Москва, Россия
* E-mail: antonbor9@mail.ru
Поступила в редакцию 20.05.2020
После доработки 15.06.2020
Принята к публикации 07.10.2020
Аннотация
Впервые проведено комплексное петрологическое и изотопно-геохимическое изучение мраморов верхнего горизонта сортавальской серии северо-восточной линзы месторождения Рускеала в Северном Приладожье. Петрологическое исследование показало, что карбонатные породы сортавальской серии подверглись метаморфизму среднетемпературной амфиболитовой фации низких давлений. Минеральные парагенезисы рускеальских мраморов сформированы при температурах 550–600°C и давлениях ~3–5 кбар в равновесии со смешанным водно-углекислотным флюидом с ${{Х}_{{{\text{C}}{{{\text{O}}}_{2}}}}}$ ~ 0.5–0.8. Доломитовые мраморы содержат примесь (до 2%) тонкодисперсного углеродистого вещества и около 8–15% кальцита. Доломиты содержат небольшие количества Mn (70–110 мкг/г) и Fe (1600–3600 мкг/г) и много Sr (122–256 мкг/г). Первичные отношения 87Sr/86Sr в доломитах лежат в диапазоне 0.70465–0.70522, значения δ13С варьируют в пределах +0.6 … +1.9 ‰, а δ18О – –13.2…–10.2‰ (V-PDB). Кальцитовые мраморы лишены углеродистой примеси, имеют очень низкие содержания Mg (0.2–0.8%), Mn (10–90 мкг/г) и Fe (160–640 мкг/г) и высокую концентрацию Sr (850–2750 мкг/г). Первичные отношения 87Sr/86Sr в кальцитовых мраморах колеблются от 0.70482 до 0.70489, значения δ13С – от 1.5 до 2.1‰, а δ18О – от –10.9 до –8.1‰ (V-PDB). В мраморах с тремолитом отношение 87Sr/86Sr повышается до 0.70522, а значения δ13С и δ18О понижаются до 0.1‰ и –12.2‰ соответственно. Установлен изохимический характер метаморфизма, при котором кальцитовые и доломитовые мраморы месторождения Рускеала даже в условиях среднетемпературной амфиболитовой фации сохранили уникальный Sr- и С-хемостратиграфический потенциал для реконструкции 87Sr/86Sr и δ13С в среде отложения палеопротерозойских карбонатных осадков. Отношение 87Sr/86Sr в свекофеннском океане около 1.9–2.0 млрд лет назад составляло 0.70463–0.70492 при δ13С = +1.5 ± 1‰. Новые Sr-изотопные данные указывают на увеличение доли радиогенного Sr в океане на рубеже около 2 млрд лет назад, вероятно, из-за прироста континентальной коры и усиления интенсивности ее выветривания. Значения величины δ13С в людиковийских карбонатах определяют начало С-изотопного стазиса в океане после ломагунди-ятулийской аномалии.
ВВЕДЕНИЕ
Осадочные и метаосадочные карбонатные породы являются важнейшим источником информации о химическом и изотопном составе океанов в геологическом прошлом. Фундаментальное значение этой информации определяется тем, что долговременные тренды в изотопном составе химических элементов, растворенных в морской воде, вызваны изменениями глобальных интегрированных потоков вещества в океан. Эти изменения происходили под влиянием эволюции земной коры, гидросферы, атмосферы и биосферы. Нарушение баланса как внутри, так и между геосферами неизбежно отражалось на составе океана, в котором хемогенные осадки накапливались и исправно регистрировали крупные изотопно-геохимические изменения. Помимо этого, полученные кривые вариаций изотопных составов стронция и углерода в океане оказались пригодными для нового инструмента датирования и корреляций морских хемогенных осадков – изотопной хемостратиграфии.
Идея использования изотопного отношения 87Sr/86Sr в морских хемогенных осадках в качестве геохронометра и средства их корреляции была выдвинута в середине прошлого столетия (Wickman, 1948). Она основывалась на том, что отношение 87Sr/86Sr в океане формируется при выветривании пород земной коры и равномерно увеличивается во времени. Первые попытки воплотить эту гипотезу в жизнь опирались на изучение трех образцов докембрийских метакарбонатных пород из провинций Булавайо, Гренвилль и Белт (Gast, 1955) и мраморов Балтийского щита – месторождения Рускеала в Приладожье и острова Мраморный в Белом море (Герлинг, Шуколюков, 1957). Пионерские исследования показали, что рост отношения 87Sr/86Sr в хемогенных породах Земли очень невелик и поэтому не мог быть надежно измерен на масс-спектрометрах того времени. Кроме того, авторы высказали предположение, что докембрийские породы были “загрязнены стронцием неизвестного происхождения”. Это, наряду с недостаточностью знаний о геохимическом цикле стронция в океанах и сообщавшихся с ними морских бассейнах, надолго отодвинуло реализацию идеи изотопной хемостратиграфии.
Несколько десятилетий потребовалось для того, чтобы точность масс-спектрометрических измерений стала достаточной для успешного возрождения этой идеи. К тому времени стало известно, что величина отношения 87Sr/86Sr в океане не увеличивается монотонно, а управляется соотношением двух глобальных потоков, которые формируются в пределах изотопно различных резервуаров: мантийного с низким отношением 87Sr/86Sr и континентального с высоким значением этого отношения (Spooner, 1976). Первые исследования изотопного состава углерода в хемогенных осадках открыли связь вариаций 13С/12С с палеоклиматическими, биотическими и вулканическими событиями и показали пригодность этих вариаций для хемостратиграфической корреляции (Галимов и др., 1975; Schidlowski et al., 1976; Veizer, Hoefs, 1976; Scholle, Arthur, 1980; Veizer et al., 1980).
Реконструкция докембрийской истории океанов, охватывающей 2–3 млрд лет, требует изучения преимущественно метаосадочных карбонатных пород, обнаженных на архейских–протерозойских щитах и в орогенных поясах. Сегодняшний химический состав метаморфизованных карбонатных пород отражает не только комбинацию характеристик, унаследованных от первичных карбонатных осадков, но и признаки, которые являются следствием диагенетической и метаморфической перекристаллизации. Превращение осадочных известняков и доломитов в мраморы происходит при высоких температурах, давлениях и участии различных флюидов, которые изменяют структуру породы и могут образовывать новые минералы. Чтобы получить информацию о химическом и изотопном составе морской воды, из которой осаждались карбонаты, необходимо взглянуть сквозь эту постседиментационную перестройку. Многочисленные работы продемонстрировали, что метаморфизованные карбонаты, и даже мраморы амфиболитовой фации, при определенных условиях действительно способны сохранять Sr- и С-изотопные метки исходного осадка до настоящего времени (Ghent, O’Neil, 1985; Baker, Fallick, 1988; Veizer et al., 1990; Boulvais et al., 1998; Горохов и др., 1998, 2016; Melezhik et al., 2002, 2003, 2005; Bolhar et al., 2002; Овчинникова и др., 2007; Дюфур и др., 2007; Satish-Kumar et al., 2008; Maheshwari et al., 2010; Frimmel, 2010; Kuznetsov et al., 2010; Кузнецов и др., 2018; Sial et al., 2019 и др.).
В настоящей работе мы реконструируем Sr- и C-изотопные характеристики карбонатных осадков свекофенноского океана в людиковии. Мы применяем комплексный подход, включающий: (1) оценку и уточнение уровня метаморфизма изучаемой карбонатной последовательности на основе минеральных парагенезисов силикатно-карбонатных и силикатных пород, ассоциирующих с мраморами; и (2) идентификацию с помощью геохимических критериев образцов с наименее нарушенными изотопными системами. Предметом изучения явились метаморфизованные карбонатные породы сортавальской серии Северного Приладожья – мраморы месторождения Рускеала. Образец этого месторождения был одним из первых объектов для восстановления изотопных характеристик океана древней Земли. Таким образом, представляемая статья продолжает исследование наших выдающихся соотечественников Э.К. Герлинга и Ю.А. Шуколюкова (1957).
ГЕОЛОГИЧЕСКИЙ ОЧЕРК
Месторождение мраморов Рускеала находится вблизи г. Сортавала. Оно является старейшим и крупнейшим местом добычи облицовочных мраморов в Северном Приладожье. Благодаря высокому декоративному качеству, рускеальские мраморы широко использовались в архитектуре и отделке интерьеров с середины XVII в.
Северное Приладожье расположено на юго-восточном фланге Раахе-Ладожской шовной зоны (рис. 1) – области сочленения двух крупных структур Фенноскандинавского щита: архейского Карельского кратона и палеопротерозойского Свекофеннского аккреционного орогена (Геология и петрология …, 2000; Bushmin, Glebovitsky, 2016). Нижний структурно-стратиграфический этаж образуют архейские гранито-гнейсы краевой части Карельского кратона, на которые ложатся породы верхнего структурного этажа: сортавальской и ладожской серий. Сортавальская серия (Кратц, 1963; Светов, Свириденко, 1992; Шульдинер и др., 1996) сложена, главным образом, метаморфизованными лавами и туфами основного и реже среднего состава, среди которых выделяются два карбонатных горизонта (Кратц, 1963; Кицул, 1963) и небольшие прослои терригенных пород. Ладожская серия состоит преимущественно из метатерригенных пород, протолитом которых были граувакк-глинистые турбидитовые осадки (Демидов, Кратц, 1958).
Рис. 1.
(а) Раахе-Ладожская шовная зона (Р-Л) на упрощенной схеме тектонического строения Фенноскандинавского щита (Bushmin, Glebovitsky, 2016) и геологическое строение района Северного Приладожья (б). На врезке (б). Архей: 1 – Карельский кратон; 2 – купола гранитогнейсов. Палеопротерозой: 3 – метавулканиты и метаосадки, сортавальская серия; 4 – метатерригенные породы, ладожская серия; 5 – интрузии основного-ультраосновного состава; 6 – метаморфические и магматические породы Свекофеннского орогена. Мезопротерозой: 7 – граниты-рапакиви, Салминский массив. 8 – месторождение мраморов Рускеала (район изучения).

Время формирования метавулканитов сортавальской серии до сих пор точно не определено. Оценки возраста вулканических процессов для этой серии колеблются от 1.96–1.99 млрд лет (U-Pb возраст цирконов из сортавальских метадацитов и дайки метагаббро, рассматриваемой как подводящий канал вулканитов; Геология и петрология …, 2000) до 2.05–2.10 млрд лет (Sm-Nd метод по валовым пробам вулканогенных пород серии; Матреничев, Матреничев, 2010). Возможности корректной интерпретации имеющихся данных снижаются из-за отсутствия в обеих цитированных публикациях методики геохронологических исследований и сведений об анализе стандартных образцов.
Согласно геологическим данным, отложения сортавальской серии (ее большей верхней части) относят к людиковийскому надгоризонту Фенноскандинавского щита, который был выделен для обозначения вулканогенно-осадочных пород среднего палеопротерозоя, обогащенных рассеянным углеродистым веществом и сульфидами (Соколов, Галдобина, 1982; Стратиграфия …, 1984; Светов, Свириденко, 1992). На Карельском кратоне людиковийские углеродсодержащие осадки перекрывают отложения ятулийского надгоризонта, сложенного пестроцветными строматолитовыми карбонатами и высокозрелыми песчаниками с гематитом (Кратц, 1963; Стратиграфия …, 1984). Важной характеристикой ятулийских карбонатных пород стало их аномально высокое обогащение изотопом 13С (Юдович и др., 1990; Melezhik, Fallick, 1996; Karhu, 1993). Эта особенность служит маркирующим признаком карбонатных пород ятулийского надгоризонта в пределах всего Фенноскандинавского щита, а во времени совпадает с глобальной положительной изотопной аномалией в раннем палеопротерозое (Галимов и др., 1975; Schidlowski et al., 1976; Melezhik, Fallick, 1996; Karhu, 1993; Melezhik et al., 2007, 2013a; Maheshwari et al., 2010 и др.).
Возраст ятулийских доломитов туломозерской свиты в Прионежье равен 2.09 ± 0.07 млрд лет (Овчинникова и др., 2007), а возраст границы людиковия и ятулия на основании U-Pb данных для вулканитов Куэтсярви, перекрывающих ятулийские доломиты на севере щита в Печенгском прогибе, оценивается как 2.06 млрд лет (Melezhik et al., 2007, 2013a). Минимальный же возраст людиковия и тем самым пород сортавальской серии ограничивается значениями 1.99 ± 0.03 и 1.99 ± 0.06 млрд лет, полученными соответственно Sm-Nd и Pb-Pb изохронными методами для силла, комагматичного с людиковийскими базальтовыми лавами в Онежском прогибе (Puchtel et al., 1998, 1999).
Породы сортавальской и ладожской серий подверглись зональному региональному метаморфизму андалузит-силлиманитовой фациальной серии 1.85–1.89 млрд лет назад (Gorokhov et al., 1970; Балтыбаев и др., 2009). Уровень этого метаморфизма нарастал от зеленосланцевой фации у края Карельского кратона до высокотемпературной амфиболитовой фации вблизи Мейерского надвига, ограничивающего с юга Раахе-Ладожскую зону (Геология и петрология …, 2000). Линии границ метаморфических зон конформны краю кратона, хотя и имеют более сложную конфигурацию. В условиях эпидот-амфиболитовой и низко-среднетемпературной амфиболитовой фации основные и средние вулканиты превращены в амфиболиты и амфиболовые сланцы, песчаники и граувакки – в биотитовые и гранат-биотитовые сланцы, аргиллиты – в гранат-биотитовые сланцы с глиноземистыми минералами (ставролитом, андалузитом, кордиеритом, силлиманитом, мусковитом), а известняки и доломиты – в кальцитовые и доломитовые мраморы. В южной части зонального комплекса сланцы переходят в гнейсы, в которых появляется мигматизация. Метаморфизм амфиболитовой фации и сопряженные сдвиговые деформации привели к образованию гранито-гнейсовых куполов, обрамленных осадочно-вулканогенными толщами сортавальской и ладожской серий (Геология и петрология …, 2000).
Карбонатные породы сортавальской серии в Северном Приладожье представлены преимущественно доломитовыми и кальцит-доломитовыми, реже кальцитовыми, мраморами (Кицул, 1963). Они могут содержать Ca-Mg силикатные минералы, главным образом тремолит, диопсид или форстерит, в зависимости от степени метаморфизма. Месторождение мраморов Рускеала находится в периклинальном замыкании Рускеальского поднятия, где породы сортавальской серии в виде широкой полосы протягиваются примерно на 13 км на северо-запад от Кирьяволахтинского купола. Рускеальские мраморы относятся к верхнему карбонатному горизонту (Кицул, 1963; Karhu, 1993), образующему в районе Рускеалы две линзы (Metzger, 1925), мощность которых достигает 600 м. Породы сортавальской серии разлинзованы и смяты в складки, в том числе изоклинальные и колчановидные. Полосчатость мраморов обусловлена чередованием мелкозернистых серых (от светло-серых до почти черных) и крупнозернистых белых разновидностей, первые из которых сложены преимущественно доломитом, а вторые – существенно кальцитовые. Серый цвет мраморов обусловлен примесью рассеянного углеродистого вещества. В некоторых мраморах присутствуют линзочки и жилки бледно-желтого или зеленоватого цвета, сложенные тремолитом, реже диопсидом. Иногда в центре таких линзочек присутствует кварц, не контактирующий с карбонатными минералами.
АНАЛИТИЧЕСКАЯ МЕТОДИКА
Образцы мраморов для изотопно-геохимического изучения и петрографического исследования были отобраны в северо-восточном карьере месторождения Рускеала. Шесть образцов представляют кальцитовые мраморы и шесть – доломитовые. Содержания Ca и Mg в карбонатной составляющей мраморов определены весовым, а Mn и Fe – атомно-абсорбционным методом после растворения истертых образцов в 1N HCl (табл. 1). Значения концентраций химических элементов в тексте приведены в весовых единицах – процентах или мкг/г.
Таблица 1.
Аналитические данные для мраморов сортавальской серии Северного Приладожья, карьер Рускеала
| Номер образца | Н.о., % | Mg, % | Mn, мкг/г | Fe, мкг/г | Rb, мкг/г | Sr, мкг/г | Mg/Ca | Mn/Sr | Fe/Sr | Rb/Sr | 87Sr/86Sr измер. |
87Sr/86Sr первичн.* |
δ13С, ‰ V-PDB |
δ18О, ‰ V-PDB |
|---|---|---|---|---|---|---|---|---|---|---|---|---|---|---|
| Доломитовые мраморы | ||||||||||||||
| К14-10 | 1.6 | 11.5 | 80 | 1600 | 0.03 | 122 | 0.49 | 0.66 | 13 | 0.0002 | 0.70494 | 0.70492 | 1.9 | –11.9 |
| К14-11 | 5.0 | 11.4 | 93 | 3600 | 0.11 | 178 | 0.52 | 0.52 | 20 | 0.0006 | 0.70473 | 0.70468 | 0.6 | –12.9 |
| К14-12 | 1.9 | 10.8 | 95 | 1900 | 0.09 | 153 | 0.45 | 0.62 | 12 | 0.0006 | 0.70484 | 0.70479 | 0.9 | –13.2 |
| К14-13 | 5.5 | 11.2 | 110 | 2900 | 0.17 | 146 | 0.50 | 0.75 | 20 | 0.0012 | 0.70495 | 0.70486 | 1.5 | –10.5 |
| К14-14 | 5.5 | 11.4 | 86 | 3100 | 0.04 | 158 | 0.51 | 0.54 | 20 | 0.0003 | 0.70465 | 0.70463 | 1.1 | –12.8 |
| К14-17 | 6.8 | 10.5 | 72 | 2800 | 0.22 | 256 | 0.47 | 0.28 | 11 | 0.0009 | 0.70529 | 0.70522 | 1.5 | –11.5 |
| Кальцитовые мраморы | ||||||||||||||
| К14-15 | 0.2 | 0.7 | 89 | 640 | 0.26 | 850 | 0.02 | 0.10 | 0.75 | 0.0003 | 0.70488 | 0.70485 | 1.5 | –9.5 |
| К14-16 | 4.0 | 0.8 | 65 | 380 | 0.14 | 924 | 0.02 | 0.07 | 0.41 | 0.0002 | 0.70490 | 0.70489 | 1.6 | –10.7 |
| К14-18 | 0.2 | 0.3 | 14 | 200 | 0.12 | 2320 | 0.01 | 0.01 | 0.09 | <0.0001 | 0.70486 | 0.70486 | 1.9 | –8.1 |
| К14-19 | 0.1 | 0.2 | 25 | 170 | 0.18 | 2790 | 0.01 | 0.01 | 0.06 | <0.0001 | 0.70483 | 0.70482 | 1.5 | –10.9 |
| К14-20 | 0.1 | 0.3 | 10 | 160 | 0.10 | 1900 | 0.01 | 0.01 | 0.08 | <0.0001 | 0.70485 | 0.70485 | 2.1 | –9.6 |
| К14-21 | 9.1 | 2.8 | 150 | 1900 | 0.20 | 405 | 0.09 | 0.37 | 4.7 | 0.0005 | 0.70486 | 0.70482 | 0.1 | –12.2 |
При изучении Rb-Sr систематики истертые образцы предварительно обрабатывались 0.1N раствором соляной кислоты и растворялись в 1N HCl. Rb и Sr выделяли ионообменным способом на катионите Dowex AG50Wx8 (Горохов и др., 1998, 2016). Концентрации этих элементов определяли масс-спектрометрическим методом изотопного разбавления с применением смешанного индикатора 87Rb-84Sr. Изотопные составы Rb и Sr измеряли на многоколлекторном масс-спектрометре Triton TI в статическом режиме. Средние значения 87Sr/86Sr в стандартных образцах NIST SRM-987 и USGS EN-1, нормированные к отношению 86Sr/88Sr = 0.1194, составляли в период работы соответственно 0.710281 ± 0.000004 (2σср, n = 26) и 0.709211 ± 0.000005 (2σср, n = 20).
Изотопный анализ С и О после разложения в ортофосфорной кислоте при 95°С проводился на масс-спектрометре Delta V+ (Thermo, Германия) в режиме постоянного потока гелия с использованием периферийного комплекса GasBench II с пробоотборником PAL (Дубинина и др., 2014). Точность изотопного анализа составляла ±0.1 и ±0.2‰ (2σ) для величин δ13С и δ18О соответственно. Изотопный состав углерода и кислорода выражен относительно международного стандарта V-PDB.
РЕЗУЛЬТАТЫ ИССЛЕДОВАНИЯ
Химический и изотопный состав рускеальских мраморов
Различные оттенки рускеальских мраморов (белые, светло-серые, темно-серые и зеленоватые) обусловлены примесью осадочного углеродистого вещества и различных метаморфических минералов. Текстурные особенности позволяют выделить полосчатые и узорчатые разности. Однако главными типами являются белые кальцитовые и темно-серые доломитовые мраморы.
Кальцитовые мраморы лишены углеродистой примеси и сложены преимущественно крупнозернистым кальцитом с размером кристаллов до 3 мм (рис. 2а). Большинство изученных образцов имеют очень низкие содержания Mg (0.2–0.8%), Mn (10–90 мкг/г) и Fe (160–640 мкг/г) и одновременно с этим высокую концентрацию Sr (850–2750 мкг/г). Лишь в одном образце, включающем небольшое (до 9%) количество кварца и тремолита (рис. 2б), концентрация Mg повышается до 2.8%, Mn до 150 мкг/г, Fe до 1900 мкг/г, а концентрация Sr понижается до 405 мкг/г (табл. 1). Измеренные изотопные отношения 87Sr/86Sr заключены в пределах 0.70483–0.70490, первичные отношения 87Sr/86Sr (вычисленные в предположении, что возраст мраморов равен 2.0 млрд лет) – 0.70482–0.70489. Значения δ13С в большинстве кальцитовых мраморов колеблются от 1.5 до 2.1‰, а δ18О от –10.9 до –8.1‰ (табл. 1). Значения δ13С и δ18О в образце с тремолитом понижаются до 0.1 и ‒12.2‰ соответственно.
Рис. 2.
Микрофотографии шлифов мраморов (скрещенные николи): (а) – крупнозернистый кальцитовый мрамор; (б) – тремолитовый прожилок в мелкозернистом доломитовом мраморе; (в) – мелкозернистый доломитовый мрамор с примесью углеродистого вещества и зернами силикатов; (г) – кальцит-доломитовый мрамор с линзочками и прожилками кальцита и силикатного минерала (тремолита) в мелкозернистой доломитовой массе.

Доломитовые мраморы имеют преимущественно мелкокристаллическую, реже среднекристаллическую структуру (рис. 2в, 2г). Они содержат примесь тонкодисперсного углеродистого вещества, иногда включения силикатных минералов. Последние, чаще всего тремолит, могут быть рассеяны в породе или локализованы в тонких прожилках (рис. 2г). Количество некарбонатной примеси в изученных образцах варьирует от 1.6 до 6.8%. Отношение Mg/Ca (0.45–0.52) в рускеальских доломитовых мраморах значительно ниже, чем в стехиометрическом доломите (0.61), что предполагает присутствие около 8–15% кальцита. Доломитовые мраморы содержат относительно мало Mn (70–110 мкг/г) и Fe (1600–3600 мкг/г) и много Sr (122–256 мкг/г). Высокое содержание Sr в этих породах нетипично для доломитов и объясняется присутствием кальцита. Измеренные и первичные отношения 87Sr/86Sr лежат соответственно в диапазонах 0.70465–0.70529 и 0.70463–0.70522. Значения величины δ13С варьируют от 0.6 до 1.9‰, а δ18О – от –13.2 до –10.2‰ (табл. 1).
Оценка условий метаморфизма карбонатных пород
Прямое определение P-T условий метаморфизма для изученных образцов рускеальских мраморов невозможно из-за отсутствия в них подходящих минеральных парагенезисов. Однако возможен другой способ – оценка условий метаморфизма по петрогенетическим сеткам для мраморов. В.И. Кицул (Кицул, 1963) показал характер изменения минеральных парагенезисов в мраморах Северного Приладожья по мере возрастания степени метаморфизма в зональном метаморфическом комплексе. Состав большинства мраморов, содержащих силикатные минералы, может быть описан в рамках системы CaO–MgO–FeO–SiO2–H2O–CO2 (CFMASH–CO2). Низкое содержание FeO в мраморах месторождения Рускеала (<0.36% Fe) допускает упрощенный расчет в рамках системы CaO–MgO–SiO2–H2O–CO2 (CMASH–CO2, табл. 1) без учета Fe-Mg твердых растворов. Мраморы, не содержащие SiO2 или MgO, не рассматриваются в этом разделе, так как они малоинформативны для оценки степени метаморфизма. Мраморы с высоким содержанием Al2O3 не обсуждаются, так как в североладожском метаморфическом комплексе они редки.
Опубликованные в литературе петрогенетические сетки для силикатно-карбонатных пород были рассчитаны или получены экспериментально для условий контактового метаморфизма при 0.5–2 кбар (Metz, Trommsdorff, 1968; Trommsdorff, Evans, 1977; Winkler, 1979; Eggert, Kerrick, 1981; Flowers, Helgeson, 1983; Masch, Heuss-Assbichler, 1991; Bucher, Frey, 1994; Luttge et al., 2004 и др.). Такой диапазон давлений не соответствует условиям метаморфизма в Северном Приладожье, поэтому опубликованные петрогенетические сетки здесь оказались неинформативными.
В настоящей работе нами рассчитаны петрогенетические сетки для интервала 0.5–10 кбар и 400–800°С в системе CMASH–CO2. Для упрощения расчетов не рассматриваются твердые растворы в сольвусной системе кальцит–доломит, поскольку их взаимная растворимость при условиях низко- и среднетемпературного метаморфизма не очень велика. Расчет петрогенетических сеток выполнен в программе winTWQ 2.34 (Berman, 2007) с термодинамической базой данных JUN92 (Bernan, 1988). Методика расчета таких сеток подробно разобрана в литературе (Kerrick, 1974; Trommsdorff, Connolly, 1990; Baker et al., 1991; Carmichael, 1991; Connolly, Trommsdorff, 1991). Выбор базы данных обусловлен присутствием в мраморах водосодержащих минералов, в частности амфибола. Поскольку при метаморфизме карбонатных пород ключевыми переменными являются не только температура и давление, но и состав флюида, петрогенетические сетки построены в координатах P–Т для разных значений ${{Х}_{{{\text{C}}{{{\text{O}}}_{{\text{2}}}}}}}$ (мольной доли CO2) во флюиде (полибарические) и в координатах T–${{Х}_{{{\text{C}}{{{\text{O}}}_{{\text{2}}}}}}}$ для разных значений общего давления (изобарические). Результаты расчета в виде термодинамических диаграмм для минеральных равновесий в силикатно-карбонатной системе CaO–MgO–SiO2–H2O–CO2 (CMASH–CO2) приведены на рис. 3–6. Реакции между Ca-Mg силикатными минералами (без твердых растворов и со стехиометрическим доломитом) в системе CMASH–CO2 при двух независимых переменных являются моновариантными.
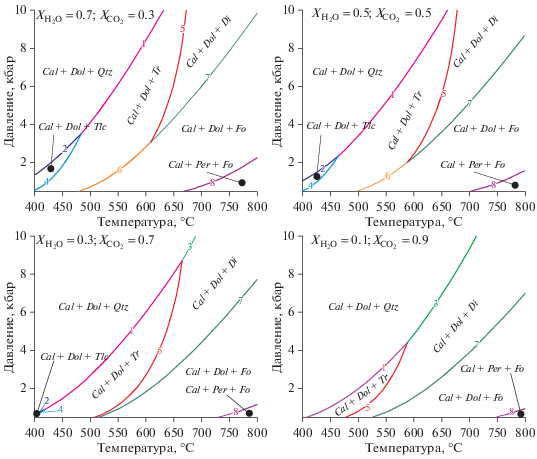
Рис. 3.
Полибарические P–T диаграммы для силикатно-карбонатных пород в системе CMASH–CO2 с избытком кальцита и доломита над кремнеземом и различных соотношениях H2O и CO2 во флюиде. Номера минеральных реакций на диаграммах: (1) 5Dol + 8Qtz + H2O = 3Cal + Tr + 7CO2 (2) 3Dol + 4Qtz + H2O = 3Cal + Tlc + 3CO2 (3) Dol + 2Qtz = Di + 2CO2 (4) 3Cal + 2Tlc = Dol + Tr + H2O + CO2 (5) 3Cal + Tr = Dol + 4Di + H2O + CO2 (6) 11Dol + Tr = 13Cal + 8Fo + H2O + 9CO2 (7) 3Dol + Di = 4Cal + 2Fo + 2CO2 (8) Dol = Cal + Per + CO2. Подробности расчета диаграмм на этом и последующих рисунках (рис. 4–6) описаны в тексте. Dol – доломит, Cal – кальцит, Qtz – кварц, Tr – тремолит, Tlc – тальк, Di – диопсид, Fo – форстерит, Per – перoвскит.

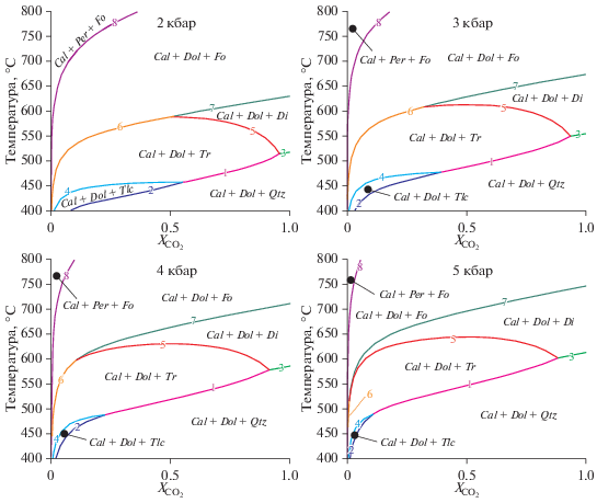
Рис. 4.
Изобарические T–${{X}_{{{\text{C}}{{{\text{O}}}_{{\text{2}}}}}}}$ диаграммы для силикатно-карбонатных пород в системе CMASH–CO2 с избытком кальцита и доломита над кремнеземом. Номера минеральных реакций на диаграммах те же, что и на рис. 3.

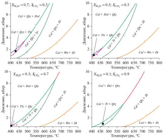
Рис. 5.
Полибарические P–T диаграммы для силикатно-карбонатных пород в системе CMASH–CO2 с избытком кальцита и кремнезeма над доломитом и различных соотношениях H2O и CO2 во флюиде. Номера минеральных реакций на диаграммах: (1) 3Dol + 4Qtz + H2O = 3Cal + Tlc + 3CO2 (2) 5Dol + 8Qtz + H2O = 3Cal + Tr + 7CO2 (3) Dol + 2Qtz = Di + 2CO2 (4) 6Cal + 4Qtz + 5Tlc = 3Tr + 6CO2 + 2H2O (5) 3Cal + Tr + 2Qtz = 5Di + 3CO2 + H2O (6) Cal + Qtz = Wo + CO2.

Рис. 6.
Изобарические T–${{X}_{{{\text{C}}{{{\text{O}}}_{{\text{2}}}}}}}$ диаграммы для силикатно-карбонатных пород в системе CMASH–CO2 с избытком кальцита и кремнезема над доломитом. Номера минеральных реакций на диаграммах те же, что и на рис. 5.

Согласно В.И. Кицулу (Кицул, 1963), общая последовательность смены парагенезисов в мраморах Северного Приладожья с возрастанием степени метаморфизма выглядит следующим образом (символы минералов по (Kretz, 1983)):
В мраморах месторождения Рускеала преобладающий Ca–Mg силикатный минерал – тремолит (Tr), но отмечается также и диопсид (Di). Эти минералы имеют обычно желтоватый или желтовато-зеленый цвет, так как содержат незначительное количество железа. Диопсид более широко распространен в южной части Рускеальского поднятия. Форстерит (Fo) встречается исключительно в самой южной части зонального метаморфического комплекса. Важно отметить отсутствие талька в доломитовых мраморах Северного Приладожья, так как при низкобарном контактово-метаморфическом преобразовании кальцит-доломитовых (Cal-Dol) пород, содержащих кремнезем (Qtz), тальк является обязательным компонентом пород на ранних стадиях преобразования (Mason, 1990).
В системе CMASH–CO2 в дивариантных условиях диопсид с тремолитом могут сосуществовать в мраморах только с одним карбонатом – либо с доломитом без кальцита, либо с кальцитом без доломита на линиях моновариантных равновесий (рис. 7). Появление в этой системе одновременно диопсида и тремолита вместе с двумя карбонатами (кальцитом и доломитом) возможно лишь при повышении вариантности системы в присутствии двухвалентного железа. В нашем случае, благодаря незначительным содержаниям железа (<0.36%), дивариантные области чрезвычайно узки, и смещением линий реакций можно пренебречь. Тремолит и диопсид могут сосуществовать также в локальных участках породы, содержащих только один карбонат. Наконец, совместное присутствие нескольких силикатных минералов, не находящихся в равновесии, может быть следствием неполного протекания минеральных реакций.
Рис. 7.
Минеральные парагенезисы в среднетемпературных силикатно-карбонатных системах CaO–MgO–SiO2–H2O–CO2 (CMASH–CO2) с разными соотношениями компонентов. В такой системе кальцит сосуществует с диопсидом и тремолитом только в отсутствие доломита. Mgs – магнезит.

Анализ рассчитанных фазовых диаграмм (рис. 3–6) показывает, что наблюдаемая в зональном североладожском метаморфическом комплексе последовательность смены минеральных парагенезисов хорошо согласуется с результатами моделирования для давлений больше 3 кбар и смешанного водно-углекислотного состава флюида с ${{Х}_{{{\text{C}}{{{\text{O}}}_{{\text{2}}}}}}}$ ~ 0.5–0.8. Присутствие воды во флюиде обязательно, так как в противном случае тремолит в карбонатных породах не устойчив. При давлениях 3–5 кбар, характерных для северо-ладожского метаморфического комплекса, переход от тремолитсодержащих кальцит-доломитовых мраморов к диопсидсодержащим при названном соотношении воды и углекислоты во флюиде происходит при температурах 550–600°C, соответствующих уровню ставролитовых субфаций амфиболитовой фации. Эти значения согласуются с парагенезисами метапелитов ладожской серии в районе Рускеалы (Геология и петрология …, 2000).
Таким образом, можно заключить, что карбонатные породы сортавальской серии в районе Рускеалы метаморфизованы в условиях среднетемпературной амфиболитовой фации низких давлений – в средней части метаморфической зональности североладожского метаморфического комплекса.
ОБСУЖДЕНИЕ РЕЗУЛЬТАТОВ
Изотопно-геохимические индикаторы преобразования карбонатных осадков и пород
После отложения карбонатного осадка с ним может происходить ряд необратимых преобразований: ранняя литификация, сингенетичная (ранняя) доломитизация, механическое уплотнение, минеральная стабилизация, эпигенетическая цементация и доломитизация в подземных условиях, а также растворение и цементация при взаимодействии с метеорными водами (Moore, 1989). Совокупность изменений карбонатного вещества от момента седиментации до метаморфизма объединяется под термином “диагенез” в значении “перерождение”. В ходе диагенеза осадок достигает состояния внутренне уравновешенной системы, превращается в породу, состав которой определяется исходным веществом и/или потенциальным взаимодействием с внешними флюидами. В данных процессах Rb-Sr, C- и О-изотопные системы карбонатной породы ведут себя по-разному, и только часть из перечисленных выше преобразований, причем только в определенной обстановке, может привести к нарушению Rb-Sr и С-изотопных систем первичных карбонатных осадков.
В диагенезе перекристаллизация происходит за счет частичного растворения и переотложения исходного осадочного карбоната в поровом пространстве осадка. При этом растворимость мелких кристаллов выше, чем крупных, поэтому раннедиагенетическая перекристаллизация мелкозернистых осадков (карбонатных илов) происходит быстрее. В ходе раннедиагенетической перекристаллизации происходит переход неустойчивых метастабильных модификаций СаСО3 (арагонита и высокомагнезиального кальцита) или СаСО3 + MgCO3 (кальциевого доломита, или протодоломита) в устойчивые модификации – низкомагнезиальный кальцит и доломит. Кристаллохимические особенности названных модификаций обеспечивают принципиальные различия концентраций стронция в первичных карбонатных осадках. В современных арагонитовых морских осадках концентрация стронция на порядок выше, чем в магнезиальных кальцитах, а в кальциевых доломитах – на порядок ниже, чем в кальцитах. В ходе раннедиагенетической перекристаллизации арагонит частично теряет стронций, который насыщает поровое пространство, и переосаждается в новообразованный диагенетический кальцит. Подобная же потеря происходит при трансформации высокомагнезиального кальцита в диагенетический кальцит и доломит. При этом величина δ18О диагенетического доломита должна определяться изотопным составом кислорода в доломитизирующем флюиде. Если доломитизация происходит при участии флюида, имеющего изотопный состав кислорода, отличающийся от состава морской воды, а также при температуре, отличающейся от условий осадкообразования, величина δ18О доломита будет отличаться от таковой в первичной осадочной породе. Кроме того, возможно, что при доломитизации изотопное равновесие между кальцитом, доломитом и флюидом не устанавливается (Фор, 1989). Что же касается стронция, то, несмотря на частичную его потерю, дигенетические карбонатные фазы, формирующиеся в закрытых поровых пространствах, содержат стронций того же изотопного состава, что и первичная фаза. Это общее правило справедливо и в случае доломитизации, при установлении химического равновесия между осадком и его поровыми водами – изотопный состав стронция новообразованного и вмещающего карбоната является одним и тем же. Таким образом, раннедиагенетическая перекристаллизация должна приводить к сдвигам в изотопной системе кислорода при отсутствии изменений в стронциевой изотопной системе породы.
В дальнейшем первичные изотопно-геохимические характеристики карбонатных пород могут изменяться в ходе постседиментационной перекристаллизации в зависимости от состава взаимодействующих с ними растворов. Различие химического состава потенциальных эпигенетических растворов и морской воды приводит к отложению вторичных карбонатных генераций, которые, как правило, обогащены Mn, Fe и обеднены Sr по сравнению с первичными морскими осадками (Veizer et al., 1990; Горохов и др., 1995, 2016; Кузнецов и др., 2006). Главными поставщиками Mn и Fe и радиогенного 87Sr в эпигенетические флюиды являются силикатные породы, которые обогащены этими элементами по сравнению с карбонатными породами. В большинстве случаев диагенетические и метасоматические растворы могли проникать в карбонатные резервуары в обстановках погружения и тектонических смещений. Однако в силу геологических условий и большой мощности карбонатного тела (от нескольких десятков до сотен метров) на Рускеальском месторождении поступление внешних флюидов в карбонатные толщи могло быть весьма ограниченным, что должно было способствовать изолированности породы на всех стадиях диагенеза.
Обзор опубликованных данных по концентрациям малых элементов в известняках и доломитах, сохранивших изотопные характеристики стронция архейской и палеопротерозойской морской воды, показывает, что многие образцы этого возраста существенно обогащены Mn и Fe по сравнению с современными и неопротерозойскими аналогами (рис. 8). Однако палеопротерозойские известняки содержат несколько меньше Mn и Fe, чем архейские (Veizer et al., 1990; Farquhar et al., 2011). Это отличие объясняется химическим составом океана, который в архее был резко обеднен свободным кислородом. По этой причине поливалентные элементы Mn и Fe находились в полувосстановленном состоянии и легко соосаждались вместе с кальцитом в виде изоморфной примеси. Тем не менее во многих случаях палеопротерозойские карбонатные породы с минимальными Mn/Sr и Fe/Sr характеризуются низкими отношениями 87Sr/86Sr (Kuznetsov et al., 2013).
Рис. 8.
Cоотношения содержаний Mn и Sr (а) и содержаний Fe и Sr (б) в метакарбонатных породах месторождения Рускеала в сравнении с картинами для современных мелководных морских осадков и докембрийских карбонатных пород и мраморов, сохранивших отношение 87Sr/86Sr палеоокеана. А – современные арагонитовые осадки, К – современные низкомагнезиальные кальциты, LA-AR – архейские известняки и кальциты, LA-PR – палеопротерозойские известняки, Dm-AR + PR – архейские и палеопротерозойские доломиты. Пунктирными линиями на рисунках (а) и (б) показаны границы, отделяющие область наименее измененных кальцитов для неопротерозойских карбонатных пород (Кузнецов и др., 2003, 2014, 2018; Семихатов и др., 2004, 2009). Синие кружки – кальцитовые мраморы Рускеалы, красные квадраты – доломитовые мраморы.

Одним из геохимических индикаторов диагенетических и метаморфических преобразований карбонатных пород служит изотопный состав кислорода, который зависит от температуры перекристаллизации карбонатного осадка, изотопного состава кислорода реагирующего флюида и отношения флюид/минерал. Поскольку по сравнению с морской водой внешние флюиды, как правило, обеднены изотопом 18О, и в силу повышенных температур метаморфических процессов диагенетические и метаморфические карбонатные генерации обогащаются легким 16О (Фор, 1989; Moore, 1989; Banner, Hanson, 1990; Boulvais et al., 1998; Дубинина и др., 2020 и др.). Согласно многочисленным работам, величина δ18О в наименее измененных морских карбонатах позднего протерозоя обычно составляет –6.5 ± 2.5‰ (Vei-zer, Hoefs, 1976; Покровский, Виноградов, 1991; Подковыров и др., 1998; Walter et al., 2000; Ray et al., 2003; Семихатов и др., 2004, 2009; Покровский и др., 2006, 2012; Кузнецов и др., 2006; Melezhik et al., 2006, 2009, 2015; Frimmel, 2010; Хабаров, Вараксина, 2011; Sial et al., 2019 и др.). Однако средние значения величины δ18О в образцах более древних палеопротерозойских карбонатных пород, которые используют для реконструкции Sr- и C-изотопных характеристик морской воды, составляют: –8.1 ± 2.5‰ для доломитов и –10.2 ± 4‰ для известняков (Veizer, Hoefs, 1976; Veizer et al., 1990; Bekker et al., 2003a, 2003b; Melezhik et al., 2004; Frauenstein et al., 2009). Возможной причиной такого различия могла быть более высокая температура морской воды в палеопротерозое (Veizer et al., 1990), что приводило к осаждению карбонатных осадков с величиной δ18О на 2–3‰ ниже, чем в океанах неопротерозоя и фанерозоя (рис. 9).
Рис. 9.
Изотопные 87Sr/86Sr–δ18О (а) и δ13С–δ18О (б) диаграммы, построенные для метакарбонатных пород месторождения Рускеала. Для сравнения с докембрийскими мелководно-морскими карбонатными породами и мраморами, сохранившими отношение 87Sr/86Sr палеоокеана, на диаграммы нанесены соответствующие поля, обозначения которых те же, что на рис. 8.

Первичное значение δ13С в карбонатных осадках и породах в зоне диагенеза практически не изменяется из-за высокого содержания углерода в минерале по сравнению с концентрацией углерода в диагенетических растворах (Moore, 1989; Banner, Hanson, 1990). Критические нарушения исходных С-изотопных систем происходят, как правило, при участии внешних гетерогенных водно-солевых и богатых СО2 флюидов. Поступление таких флюидов осуществляется по региональным проницаемым зонам на пике метаморфизма (Бушмин и др., 2020). Внешний флюид обычно внедряется либо в рассеянной форме путем просачивания в большом объеме породы, либо в виде фокусированного потока в узкой сдвиговой зоне. Внедрение внешнего флюида открывает геохимическую систему пород, в которых кристаллизуются новые силикатные минералы в термодинамическом равновесии со средой (Иванов, Бушмин, 2021). В случае закрытой системы карбонатные породы, метаморфизованные в амфиболитовой и даже гранулитовой фации, нередко хорошо сохраняют первичный изотопный состав углерода (Baker, Fallick, 1989; Melezhik et al., 2002, 2005, 2006). Тем не менее понижение значения δ13С в мраморах возможно при изотопном обмене между карбонатными минералами и легким (δ13С –28 ± 3‰) органическим углеродом, который образуется после разрушения углеродистого вещества при температурах выше 400°C, переходя в графит. Смещение δ13С в протерозойских графит-кальцитовых мраморах, метаморфизованных при температуре 650–780°C в ходе гренвильской орогении на Канадском щите, достигало 3–4‰ (Kitchen, Valley, 1995). Такой сценарий реализуется в породах с очень высоким содержанием углерода в системе кальцит–графит – 10–25 мол. %. Поэтому использование чистого карбонатного материала без присутствия органического вещества (графита) минимизирует возможные искажения изотопно-углеродной системы за счет метаморфизма. Искажение первичной изотопной системы углерода возможно и в процессе частичного разложения карбонатов с равновесным отделением газообразной углекислоты (так называемая декарбонизация), при котором флюид обогащается изотопами 13C и 18O (Valley, 1986). Однако в данном процессе происходит не только формирование характерных минеральных парагенезисов, но и возникновение согласованного снижения величин δ13C и δ18O в остаточном карбонатном материале, что позволяет надежно диагностировать процесс декарбонизации в измененных породах в координатах δ18О–δ13С.
Оценка степени изотопно-геохимической сохранности мраморов месторождения Рускеала
Рускеальские мраморы содержат примесь (до 2%) “пылевидного графита”, равномерно распределенного между кристаллами карбоната в мелкозернистых разностях (Кицул, 1963). Рассеянное углеродистое вещество представляет собой захороненное остаточное органическое вещество, не окисленное в диагенезе. Дисперсное углеродистое вещество является широко распространенным компонентом в метакарбонатных и метапелитовых осадочных породах докембрия, начиная с архея (Schidlowski et al., 1976; Veizer et al., 1990). Присутствие продуктов биогенного разложения в рускеальских мраморах ясно указывает на первично-осадочное происхождение метакарбонатных пород. Горизонтальная полосчатость кальцитовых и углеродистых доломитовых мраморов позволяет предполагать сохранение в этих породах, несмотря на сильные деформации, реликтовой первичной слоистости.
Еще одним важным отличительным признаком рускеальских метакарбонатных пород является очень низкое содержание силикатной примеси. Отсутствие терригенной примеси предполагает накопление карбонатных осадков на значительном удалении от континентальных областей сноса, активных поднятий и зон интенсивного поступления обломочного материала. В современных условиях подобные обстановки соответствуют шельфовым морям в фазах трансгрессии и высокой скорости карбонатного накопления.
Петрологическое исследование рускеальских осадочных карбонатов показало, что они подвергались метаморфизму амфиболитовой фации в условиях низких давлений и средних температур (550–600°C). В ходе перекристаллизации появилось небольшое количество типично метаморфических минералов – преимущественно тремолитов, образованных путем реакции кальций-магнезиальных карбонатов с кварцем (вероятно, обломочного происхождения). Отсутствие других минеральных ассоциаций исключает привнос вещества извне в систему карбонатной породы. Более того, значительная мощность толщи рускеальских мраморов (до 600 м) могла препятствовать существенному проникновению внешних флюидов в пределах изученной части месторождения. Таким образом, есть все основания полагать, что осадочные карбонаты были перекристаллизованы без существенного участия внешних флюидов, и основными факторами перекристаллизации являлись повышенные давление и температура.
Высокая концентрация Sr в кальцитовых мраморах (до 2790 мкг/г) в сочетании с низким содержанием Mg (менее 1%) позволяет предполагать, что исходный карбонатный осадок включал арагонит. Доломитовые мраморы месторождения Рускеала содержат примесь кальцита, который представляет собой либо реликт первичной, либо продукт вторичной диагенетической карбонатной генерации. Концентрация Sr в доломитовых мраморах существенно меньше, чем в чистых кальцитовых мраморах (122–256 мкг/г, соответственно), но все же значительно выше, чем в рифейских доломитах (рис. 8). Содержания Mn (10–90 мкг/г) и Fe (160–640 мкг/г) в большинстве образцов кальцитовых мраморов сравнимы с таковыми в наименее измененных известняках позднего протерозоя и даже современных карбонатных осадках (рис. 10). В доломитовых мраморах содержание Mn очень низкое (70–110 мкг/г), хотя содержание Fe повышается до 1600–3600 мкг/г. Значения величины δ18О в большинстве кальцитовых мраморов изменяются в интервале –10.9…–8.1‰. Однако в доломитовых мраморах и в одном образце кальцитового мрамора с тремолитом они снижаются до –13.2…–10.2‰ (табл. 1). Наблюдаемое различие δ18О в кальцитах и доломитах исключает когенетичное осаждение известковой и доломитовой фаз, поскольку равновесное соотношение величин δ18О в морских доломитах и известняках характеризуется более высокими (на 1–2‰) значениями этой величины в доломитах (Veizer, Hoefs, 1976). Повышенное содержание Fe и пониженные значения δ18О в доломитах и образце кальцита с тремолитом указывают на их более глубокую эпигенетическую (метаморфическую) перекристаллизацию.
Рис. 10.
Соотношения содержаний Sr и Mn (а) и содержания Sr и отношения (б) в метакарбонатных породах месторождения Рускеала в сравнении с современными арагонитовыми (А) и низкомагнезиальными кальцитовыми (К) осадками. Пунктирными линиями на рисунках показаны границы, отделяющие область наименее измененных известняков (Кузнецов и др., 2003, 2014, 2018; Семихатов и др., 2004, 2009) и “лучших” мраморов (Melezhik et al., 2013b; Горохов и др., 2016), сохранивших отношение 87Sr/86Sr палеоокеана. Стрелками показано направление эпигенетической перекристаллизации карбонатных пород.

Изучение кальцитовых мраморов в норвежских каледонидах показало, что породы способны сохранять изотопный состав Sr протоосадка даже в условиях амфиболитовой фации метаморфизма (Melezhik et al., 2002, 2003, 2013b). Для реконструкции Sr-изотопной характеристики осадка рекомендовано использовать породы с содержаниями SiO2 и Al2O3, не превышающими 5 и 1% соответственно. При этом концентрация Sr в карбонатной составляющей образца должна быть выше 1000 мкг/г, Mn – менее 50 мкг/г, значение δ18О более чем –8.6‰, а отношения Mg/Ca, Mn/Sr и Rb/Sr – ≤0.02, ≤0.02 и ≤0.0001 соответственно (Melezhik et al., 2013b). Эти критерии значительно строже тех (Mg/Ca < 0.024, Mn/Sr < 0.2 и Fe/Sr < 5), которые используются для Rb-Sr систем наименее измененных неметаморфизованных известняков (Кузнецов и др., 2014). Предложенное критическое значение δ18О = –8.6‰ для неопротерозойских “лучших” мраморов выглядит несколько завышенным в случае палеопротерозойских метаосадочных карбонатных пород. Как упоминалось выше, карбонатные осадки палеопротерозойского возраста могли иметь пониженные (на 2–3‰) значения δ18О, чем карбонаты неопротерозойского возраста (Veizer et al., 1990). Одним из подтверждений этому служат значения величины δ18О в рускеальских кальцитах с Mn/Sr < 0.1, которые удовлетворяют критерию наименее измененных известняков (рис. 11). Значения δ18О в таких мраморах варьируют в пределах –8.1…–10.9‰.
Рис. 11.
Соотношения величин Mn/Sr и δ18О (а) и отношений Mn/Sr и 87Sr/86Sr (б) в мраморах Рускеалы в сравнении с областью наименее измененных известняков и “лучших” мраморов, сохранивших отношение 87Sr/86Sr палеоокеана. Условные обозначения см. на рис. 10.

Большинство образцов кальцитовых мраморов месторождения Рускеала удовлетворяют изотопно-геохимическим критериям сохранности для Rb-Sr систем в неметаморфизованных известняках и только три (обр. К14-15, К14-18 и К14-20) отвечают критериям сохранности, принятым для “лучших” мраморов (рис. 10). К сожалению, в нашем распоряжении имеются не все необходимые сведения для оценки сохранности Rb-Sr систем, в частности, неизвестны содержания SiO2 и Al2O3 в некарбонатном материале мраморов. Однако в связи с небольшой долей некарбонатной примеси в упомянутых образцах (табл. 1) роль этих данных здесь не существенна. Важно отметить, что величины первичных отношений 87Sr/86Sr во всех кальцитовых мраморах хорошо согласуются между собой – 0.70482–0.70489. Это позволяет рассматривать кальцитовые мраморы месторождения Рускеала как материал, перспективный для получения Sr-изотопных характеристик среды седиментации людиковийских карбонатных осадков.
Диапазон первичных отношений 87Sr/86Sr (0.70463–0.70492) в изученных доломитовых мраморах лишь немного шире диапазона этих отношений в кальцитовых мраморах (табл. 1, рис. 11) и практически совпадает с ним. Только один образец доломита с относительно высокой долей силикатной примеси (до 7%) отличается повышенным значением 87Sr/86Sr (0.70529). Эти данные представляют безусловный интерес потому, что для доломитов в настоящее время еще не существует геохимических критериев оценки сохранности Rb-Sr систем. Однако следует отметить, что значения одного из важных геохимических параметров рускеальских доломитов – отношение Mn/Sr (0.28–0.75) – согласуются с этими величинами в наименее измененных ятулийских доломитах как туломозерской свиты Карельского кратона (0.3–1.5, Kuznetsov et al., 2010), так и куэтсярвинской свиты Кольского кратона (0.3–0.5, Кузнецов и др., 2011). Такие же низкие значения Mn/Sr (0.26–1.1) отмечены в наименее измененных доломитах миньярской свиты, использованных для реконструкции Sr-изотопных характеристик неопротерозойского океана (Кузнецов и др., 2006). Значения отношения Mn/Sr в рускеальских доломитах также значительно ниже таковых в палеопротерозойских наименее измененных доломитах Канадского щита: 2.5 в формации Нешфорк (Bekker et al., 2003a) и 2.7 в формации Олдер (Кузнецов и др., 2003). Более высокие значения отношения Mn/Sr наблюдались и в раннерифейских доломитах Анабарского массива, которые оказались пригодными для использования значений δ13С и 87Sr/86Sr в этих породах в хемостратиграфических построениях (Покровский, Виноградов, 1991; Горохов и др., 2018, 2019). Таким образом, значения отношения 87Sr/86Sr в рускеальских доломитовых мраморах с незначительной силикатной примесью и низкими значениями Mn/Sr вполне вписываются в общую базу данных Sr-изотопой хемостратиграфии для протерозойских океанов.
Пониженные значения 87Sr/86Sr в некоторых образцах доломитов (0.70463–0.70492), по сравнению с кальцитами (0.70482–0.70489), объясняются либо седиментологическими, либо диагенетическими факторами. В первом случае известковые и доломитовые отложения могли представлять разные литологические пачки, поэтому значения 87Sr/86Sr в них отражают незначительные кратковременные вариации этого отношения в палеобассейне. На диагенетическую (метаморфическую) перекристаллизацию указывает отсутствие изотопного равновесия кислорода, ожидаемого в случае когенетичного осаждения кальцит–доломит. Перекристаллизация доломитов могла происходить в присутствии флюида, который представлял собой морскую воду, прореагировавшую с вулканогенным веществом основных пород сортавальской серии с низким отношением 87Sr/86Sr около 0.703–0.704. Пример существования таких формационных вод описан в мезозойском вулканогенно-осадочном бассейне Альберта, Западная Канада (Connolly et al., 1990).
Изменение первичного значения δ13С в рускеальских мраморах, по-видимому, контролировалось условиями метаморфизма и количеством углеродистого органического вещества. Относительно невысокие температуры (550–600°C) и низкие давления на пике метаморфизма не привели к образованию кристаллического графита в мраморах месторождения Рускеала, в отличие от ситуации в гренвильских мраморах Центрального Адирондака. Углеродистое вещество в мелкозернистых доломитовых мраморах сохранило тонкодисперсную структуру, близкую к первично-осадочному состоянию. Более того, среднее содержание органического углерода в кальцитовых и доломитовых мраморах месторождения Рускеала не превышает 1 мол. %. Лишь в нескольких небольших пачках содержание углерода в системе доломит–графит повышается до 8 мол. % (Кицул, 1963), что значительно меньше, чем в гренвильских мраморах Адирондака (10–25 мол. %, Kitchen, Valley, 1995). Таким образом, метаморфическое искажение первичных значений δ13С в чистом (бессиликатном) карбонатном материале с незначительным присутствием графита можно считать минимальным.
Обзор вариаций величины δ13С в наименее измененных морских архейских и палеопротерозойских карбонатных породах показывает, что большинство из них попадает в достаточно узкий интервал 0 ± 2‰ (рис. 9), за исключением “ломагунди-ятулийской” эпохи в палеопротерозое (Veizer al., 1990; Юдович и др., 1990; Karhu, 1993; Bekker et al., 2003a, 2003b; Melezhik et al., 2004, 2007, 2013a; Кузнецов и др., 2019). Это дает основание считать, что величины δ13С в рускеальских неизмененных карбонатных породах сортавальской серии действительно могли находиться в интервале +0.6…+2.1‰.
Геохимическое и хемостратиграфическое значение полученных изотопных данных
Рускеальские мраморы представляют собой метаморфизованные карбонатные осадки, слагающие верхнюю часть сортавальской серии людиковийского надгоризонта в Северном Приладожье (Кратц, 1963; Кицул, 1963).
Содержание стронция в образце кальцитового мрамора из карьера Рускеала впервые было определено методом изотопного разбавления в работе (обр. 2 из (Герлинг, Шуколюков, 1957)). Содержание стронция в этом образце оказалось равным 0.17%, что согласуется со средней концентрацией стронция в кальцитовых мраморах 1530 мкг/г, полученной в нашей работе (табл. 1), и свидетельствует о высоком качестве аналитических исследований в середине прошлого века. С учетом эффектов фракционирования на масс-спектрометре МС-2М и погрешностей измерения пределы вариаций изотопного отношения 87Sr/86Sr в обр. 2 из работы (Герлинг, Шуколюков, 1957) составляют 0.7034–0.7063 (рис. 12а). Эти данные были использованы в качестве первой отечественной попытки провести реконструкцию изотопного состава Sr в раннедокембрийском океане при изучении архей-протерозойских карбонатных пород. К сожалению, точность масс-спектрометров того времени не позволила определить изотопный состав стронция в рускеальском мраморе с меньшей аналитической погрешностью. Относительно повышенное значение 87Sr/86Sr в мраморе, по мнению авторов этой пионерской работы, предполагало, что породы “заражены” инородным стронцием. Это породило временное разочарование в использовании мраморов для целей изотопной хемостратиграфии. Однако через несколько десятилетий было установлено, что полученное значение согласуется с интервалом значений 87Sr/86Sr в палеопротерозойских карбонатных породах (Veizer, Compston, 1976).
Рис. 12.
Значение величин 87Sr/86Sr и δ13C в наименее измененных метаосадочных карбонатных породах сортавальской серии на фоне вековых вариаций отношения 87Sr/86Sr и величины δ13C в палеопротерозойском океане (Veizer et al., 1990; Karhu, 1993; Горохов и др., 1998; Bekker et al., 2003a, 2003b; Кузнецов и др., 2003, 2011, 2018, 2019; Kuznetsov et al., 2010; Melezhik et al., 2004, 2007, 2013a). Люд. - людиковий. Формации и свиты: 1 – Гамохан, надсерия Трансвааль; 2 – Гандарелла, серия Мина; 3 – темрюкская, центральноприазовская серия, 4 – Душланд, серия Претория; 5 – Кона, серия Шоколад; 6 – Олдер, надсерия Каниаписко; 7 – Нешфорк, надсерия Сноупасс; 8 – туломозерская, ятулий; 9 – Фехо-де-Фуни, серия Мина; 10 – куэтсярвинская, печенгская серия; 11 – заонежская, людиковий; 12 – Коулес Лейк, надсерия Коронейшн; 13 – Уцинги, серия Питей; 14 – Дак Крик, серия Уайлу; 15 – Олбанел, серия Мисстассини; 16 – серия Макартур. Кальцитовые мраморы Рускеалы (сортавальской серии) показаны синими кружками, доломитовые мраморы – красными квадратами; серые кружки – кальциты, серые квадраты – доломиты.

Проведенное на современном уровне комплексное изотопно-геохимическое и петрологическое изучение рускеальских мраморов в настоящей работе позволило выявить небольшую группу образцов, пригодных для реконструкции Sr- и C-изотопных характеристик палеопротерозойского океана. Значение первичного отношения 87Sr/86Sr в морских карбонатных осадках сортавальской серии заключено в диапазоне 0.70482–0.70489 и не выходит за узкие пределы 0.70463–0.70492 (рис. 12а). Следует отметить, что полученные Sr-изотопные данные представляют третью географическую точку в пределах Фенноскандинавского щита, где обнаружены неизмененные карбонатные породы, пригодные для реконструкции изотопного состава стронция в палеопротерозойском океане. Предыдущие две точки характеризовали ятулийский надгоризонт и расположены в Северном Прионежье (0.70343–0.70442, туломозерская свита, Горохов и др., 1998; Kuznetsov et al., 2010) и Печенгском прогибе (0.70407–0.70431, куэтсярвинская свита, Melezhik et al., 2004; Кузнецов и др., 2011). Для людиковийского надгоризонта ранее было опубликовано лишь одно значение 87Sr/86Sr в кальцитовой конкреции из вулканогенно-терригенной заонежской свиты Карельского кратона, которое позволяло оценить лишь верхний предел этого отношения (0.70534) в людиковийском палеобассейне (Кузнецов и др., 2012).
Значения 87Sr/86Sr, полученные для людиковийского горизонта на территории Северного Приладожья, продолжают кривую вариаций отношения 87Sr/86Sr, которое в ломагунди-ятулийскую эпоху 2.06–2.20 млрд лет назад колебалось от 0.70302 до 0.70495 (Горохов и др., 1998; Bekker et al., 2003a, 2003b; Kuznetsov et al., 2010; Кузнецов и др., 2018). В конце ятулия (2.06–2.09 млрд лет назад) величина 87Sr/86Sr в океане достигла минимума 0.70343 и начала быстро повышаться до 0.70431 (рис. 12а). Если учесть наши новые данные по сортавальским карбонатам, это отношение повысилось в людиковии (1.99–2.06 млрд лет назад) до 0.70463–0.70492. Резкий рост отношения 87Sr/86Sr в океане был вызван затуханием рифтогенеза после раскола суперконтинента Кенорленд в конце раннего палеопротерозоя, и, вероятно, увеличением объема (“зрелости”) континентальной коры, а также усилением континентального выветривания на рубеже около 2 млрд лет назад из-за повышения доли свободного кислорода в земной атмосфере 2.32 млрд лет назад (Bekker et al., 2004; Melezhik et al., 2013a). Важно отметить, что людиковий стал пограничным рубежом, после которого значение 87Sr/86Sr в океане не опускалось ниже 0.70460. Таким образом, именно на этом рубеже произошел этап нового прироста континентальной коры, состав которой отличался от коры позднего архея и раннего палеопротерозоя.
Значения δ13С в большинстве рускеальских мраморов изменяются от +0.6 до +2.1‰ (рис. 12б) и попадают в интервал, опубликованный ранее для метакарбонатных пород этого горизонта (от +1.0 до +2.3‰, Karhu, 1993). Эти данные подтверждают значительное понижение δ13Сcarb в людиковийских морских осадках 2.06–1.88 млрд лет назад, сменившее эпоху глобальной ломагунди-ятулийской положительной изотопной аномалии δ13Сcarb (Schidlowski et al., 1976; Melezhik, Fallick, 1996; Melezhik et al., 2007, 2013a).
ЗАКЛЮЧЕНИЕ
Мраморы месторождения Рускеала представляют собой уникальный геологический объект, который стал наглядной моделью для изучения процессов метаморфизма осадочных карбонатных пород и реконструкции первичных изотопно-геохимических характеристик палеопротерозойского океана. Превращение рускеальских осадочных карбонатных пород в мраморы зависело от исходного минерального состава карбонатного осадка, условий седиментации и особенностей захоронения осадка, наличия силикатных примесей и проницаемости породы для внешнего флюида.
Карбонатные породы сортавальской серии были метаморфизованы на уровне ставролитовых (среднетемпературных) субфаций амфиболитовой фации. Значения давления 3–5 кбар и температуры 550–600°C для тремолит-диопсидсодержащих кальцит-доломитовых мраморов согласуются с условиями формирования минеральных парагенезисов в метапелитах ладожской серии в районе Рускеалы.
Изотопно-геохимическая характеристика кальцитовых и некоторых доломитовых мраморов отвечает геохимическим критериям сохранности Rb-Sr и С-изотопных систем неметаморфизованных осадочных карбонатных пород. Этот факт и преимущественно изохимический характер метаморфизма определяют способность рускеальских мраморов быть источником хемостратиграфической информации о формировании карбонатных осадков в древнем океане.
Геохимические особенности метакарбонатных пород сортавальской серии (месторождение Рускеала) предполагают, что исходный карбонатный осадок был сложен арагонитом (протолит кальцитовых мраморов) и высокомагнезиальным кальцитом (протолит доломитовых мраморов). Карбонатное накопление происходило в обширном палеобассейне, удаленном от области континентального сноса, при относительно высокой скорости седиментации и захоронения осадка.
На основании изотопно-геохимического изучения мраморов месторождения Рускеала (верхний горизонт сортавальской серии) оценены значения δ13С и впервые получены сведения об изотопном составе стронция в свекофеннском океане, который обрамлял Карельский кратон с юго-запада (в современных координатах). Значение δ13С в океане около 1.9–2.0 млрд лет назад составляло +1.5 ± 1‰, а отношение 87Sr/86Sr – 0.70463–0.70492. В глобальном масштабе, полученные Sr-изотопные данные демонстрируют этап увеличения доли радиогенного 87Sr в океане около 2 млрд лет назад после распада суперконтинента Кенорленд и усиления континентального выветривания. Значения δ13С показывают, что с людиковия начался С-изотопный стазис, который продлился в океане около миллиарда лет до конца мезопротерозоя.
Благодарности. Авторы благодарят Б.Г. Покровского за ценные замечания, позволившие улучшить рукопись.
Финансовые источники. Работа выполнена при финансовой поддержке Российского научного фонда (геохимия и изотопы Sr в карбонатных породах – РНФ № 18-17-00247), петрологическое исследование проведено в рамках Госзадания (НИР 0132-2019-0013).
Список литературы
Балтыбаев Ш.К., Левченков О.А., Левский Л.К. Свекофеннский пояс Фенноскандии: пространственно-временная корреляция раннепротерозойских эндогенных процессов. СПб.: Наука, 2009. 328 с.
Бушмин С.А., Вапник Е.А., Иванов М.В. и др. Флюиды гранулитов высоких давлений // Петрология. 2020. Т. 28. № 1. С. 23–54.
Галимов Э.М., Мигдисов А.А., Ронов А.Б. Вариации изотопного состава карбонатного и органического углерода осадочных пород в истории Земли // Геохимия. 1975. № 3. С. 323–342.
Геология и петрология свекофеннид Приладожья // Под. ред. В.А. Глебовицкого. СПб.: Изд. СПб. ун-та, 2000. 200 с.
Герлинг Э.К., Шуколюков Ю.А. Определение абсолютного возраста по соотношению изотопов 87Sr/86Sr в осадочных породах // Геохимия. 1957. № 3. С. 187–190.
Горохов И.М., Семихатов М.А., Баскаков А.В. и др. Изотопный состав стронция в карбонатных породах рифея, венда и нижнего кембрия Сибири // Стратиграфия. Геол. корреляция. 1995. Т. 3. № 1. 3–33.
Горохов И.М., Кузнецов А.Б., Мележик В.А. и др. Изотопный состав стронция в верхнеятулийских доломитах туломозерской свиты, Юго-Восточная Карелия // Докл. АН. 1998. Т. 360. № 4. С. 533–536.
Горохов И.М., Кузнецов А.Б., Овчинникова Г.В. и др. Изотопный состав Pb, Sr, O и C в метакарбонатных породах дербинской свиты (Восточный Саян): хемостратиграфическое и геохронологическое значение // Стратиграфия. Геол. корреляция. 2016. Т. 24. № 1. С. 1–20.
Горохов И.М., Кузнецов А.Б., Константинова Г.В. и др. Карбонатные породы пограничных рифей-вендских отложений Анабарского поднятия: изотопная (87Sr/86Sr, δ13C, δ18O) систематика и хемостратиграфические следствия // Докл. АН. 2018. Т. 482. № 4. С. 434–438.
Горохов И.М., Кузнецов А.Б., Семихатов М.А. и др. Раннерифейская билляхская серия Анабарского поднятия (Северная Сибирь): изотопная С-О геохимия и Pb-Pb возраст доломитов // Стратиграфия. Геол. корреляция. 2019. Т. 27. № 5. С. 19–35.
Демидов Н.Ф., Кратц К.О. О ритмичной слоистости ладожской сланцевой толщи в Юго-Западной Карелии // Изв. Карельского и Кольского филиалов АН СССР. 1958. № 5. С. 3–9.
Дубинина Е.О., Чугаев А.В., Иконникова Т.А. и др. Источники вещества и флюидный режим формирования кварц-карбонатных жил на месторождении золота Сухой Лог, Байкало-Патомское нагорье // Петрология. 2014. Т. 22. № 4. С. 1–32.
Дубинина Е.О., Крамчанинов А.Ю., Силантьев С.А., Бортников Н.С. Влияние скорости осаждения на изотопный состав (δ18О, δ13С и δ88Sr) карбонатных построек поля Лост Сити (Срединно-Атлантический хребет, 30° с.ш.) // Петрология. 2020. Т. 28. № 4. С. 1–32.
Дюфур М.С., Кольцов А.Б., Золотарев А.А., Кузнецов А.Б. Корундсодержащие метасоматиты Центрального Памира // Петрология. 2007. Т. 15. № 2. С. 160–177.
Иванов М.В., Бушмин С.А. Термодинамическая модель флюидной системы H2O–CO2–NaCl при P-T параметрах средней и нижней коры // Петрология. 2021. Т. 29. № 1. С. 90–103.
Кицул В.И. Петрология карбонатных пород ладожской формации. М.: Изд-во АН СССР, 1963. 171 с.
Кратц К.О. Геология карелид Карелии (Тр. ЛАГЕД АН СССР, Вып. 16). М.-Л.: Изд-во АН СССР, 1963. 211 с.
Кузнецов А.Б., Мележик В.А., Горохов И.М. и др. Изотопный состав Sr в нижнепротерозойских карбонатах с аномально высоким содержанием 13C, надсерия Каниаписко, Лабрадорский трог Канадского щита // Стратиграфия. Геол. корреляция. 2003. Т. 11. № 3. С. 3–14.
Кузнецов А.Б., Семихатов М.А., Маслов А.В. и др. Sr- и С-изотопная хемостратиграфия типового разреза верхнего рифея (Южный Урал): новые данные // Стратиграфия. Геол. корреляция. 2006. Т. 14. № 6. С. 25–53.
Кузнецов А.Б., Горохов И.М., Овчинникова Г.В. и др. Rb‑Sr и U-Pb систематика метаосадочных карбонатных пород: палеопротерозойская куэтсярвинская свита Печенгского зеленокаменного пояса, Кольский полуостров // Литология и полез. ископаемые. 2011. № 2. С. 170–184.
Кузнецов А.Б., Горохов И.М., Мележик В.А. и др. Изотопный состав Sr в нижнепротерозойских карбонатных конкрециях, заонежская свита юго-восточной Карелии // Литология и полез. ископаемые. 2012. № 4. С. 360–375.
Кузнецов А.Б., Семихатов М.А., Горохов И.М. Возможности стронциевой изотопной хемостратиграфии в решении проблем стратиграфии верхнего протерозоя (рифея и венда) // Стратиграфия. Геол. корреляция. 2014. Т. 22. № 6. С. 3–25.
Кузнецов А.Б., Семихатов М.А., Горохов И.М. Стронциевая изотопная хемостратиграфия: Основы метода и его современное состояние // Стратиграфия. Геол. корреляция. 2018. Т. 26. № 4. С. 3–23.
Кузнецов А.Б., Лобач-Жученко С.Б., Каулина Т.В., Константинова Г.В. Палеопротерозойский возраст карбонатных пород и трондьемитов центральноприазовской серии: Sr-изотопная хемостратиграфия и U-Pb геохронология // Докл. АН. 2019. Т. 484. № 6. С. 725–728.
Матреничев А.В., Матреничев В.А. Петрология людиковийского вулканизма Онежской структуры и Раахе-Ладожской зоны. Балтийский щит // Сб. ИГГД РАН. Под ред. В.С. Абушкевича, Н.А. Алфимовой. СПб.: Изд-во Политехн. ун-та, 2010. С. 223–255.
Овчинникова Г.В., Кузнецов А.Б., Мележик В.А. и др. Pb-Pb возраст ятулийских карбонатных пород: туломозерская свита Юго-Восточной Карелии // Стратиграфия. Геол. корреляция. 2007. Т. 15. № 4. С. 20–33.
Покровский Б.Г., Буякайте М.И., Кокин О.В. Геохимия изотопов С, О, Sr и хемостратиграфия неопротерозойских отложений севера Енисейского кряжа // Литология и полез. ископаемые. 2012. № 2. С. 197–220.
Покровский Б.Г., Виноградов В.И. Изотопный состав стронция, кислорода и углерода в верхнедокембрийских карбонатах западного склона Анабарского поднятия (р. Котуйкан) // Докл. АН СССР. 1991. Т. 320. № 5. С. 1245–1250.
Покровский Б.Г., Мележик В.А., Буякайте М.И. Изотопный состав С, О, Sr и S в позднедокембрийских отложениях Патомского комплекса, Центральная Сибирь. Сообщение 1. Результаты, изотопная стратиграфия и проблемы датирования // Литология и полез. ископаемые. 2006. № 5. С. 505–530.
Подковыров В.Н., Семихатов М.А., Кузнецов А.Б. и др. Изотопный состав карбонатного углерода в стратотипе верхнего рифея (каратавская серия Южного Урала) // Стратиграфия. Геол. корреляция. 1998. Т. 6. № 4. С. 3–19.
Светов А.П., Свириденко Л.П. Стратиграфия докембрия Карелии. Сортавальская серия свекокарелид Приладожья. Петрозаводск: Карельский научный центр, 1992. 152 с.
Семихатов М.А., Кузнецов А.Б., Подковыров В.Н. и др. Юдомский комплекс стратотипической местности: С‑изотопные хемостратиграфические корреляции и соотношение с вендом // Стратиграфия. Геол. корреляция. 2004. Т. 12. № 5. С. 3–29.
Семихатов М.А., Кузнецов А.Б., Маслов А.В. и др. Cтратотип нижнего рифея – бурзянская серия Южного Урала: литостратиграфия, палеонтология, геохронология, Sr- и C-изотопные характеристики карбонатных пород // Стратиграфия. Геол. корреляция. 2009. Т. 17. № 6. С. 17–45.
Соколов В.А., Галдобина Л.П. Людиковий – новое стратиграфическое подразделение нижнего протерозоя Карелии // Докл. АН СССР. 1982. Т. 267. № 1. С. 187–190.
Стратиграфия докембрия КАССР (архей, нижний протерозой). Петрозаводск: КФАН СССР, 1984. 115 с.
Хабаров Е.М., Вараксина И.В. Строение и обстановки формирования мезопротерозойских нефтегазоносных карбонатных комплексов запада Сибирского кратона // Геология и геофизика. 2001. Т. 52. № 8. С. 1173–1198.
Шульдинер В.И., Козырева И.В., Балтыбаев Ш.К. Возрастное и формационное расчленение раннедокембрийских образований Северо-Западного Приладожья // Стратиграфия. Геол. корреляция. 1996. Т. 4. № 3. С. 11–22.
Юдович Я.Э., Макарихин В.В., Медведев П.В., Суханов Н.В. Изотопные аномалии углерода в карбонатах карельского комплекса // Геохимия. 1990. № 7. С. 972–978.
Baker A.J., Fallick A.E. Evidence for CO2 infiltration in gra-nulite-facies marbles from Lofoten-Vesteralen, Norway // Earth Planet. Sci. Lett. 1988. V. 91. № 1–2. P. 132–140.
Baker J., Holland T., Powell R. Isograds in internally buf-fered systems without solid solutions: principles and examples // Contrib. Mineral. Petrol. 1991. V. 106. № 2. P. 170–182.
Banner J.L., Hanson G.N. Calculation of simultaneous isotopic and trace element variations during water-rock inte-raction with applications to carbonate diagenesis // Geochim. Cosmochim. Acta. 1990. V. 54. № 11. P. 3123–3137.
Bekker A., Karhu J.A., Eriksson K.A., Kaufman A.J. Chemostratigraphy of the Paleoproterozoic carbonate successions of the Wyoming Craton: tectonic forcing of biogeochemical change? // Precambrian Res. 2003a. V. 120. № 3–4. P. 279–325.
Bekker A., Sial A.N., Karhu J.A. et al. Chemostratigraphy of carbonates from Minas Supergroup, Quadrilatero Ferifero (Iron Quadrangle), Brazil: a stratigraphic record of Early Proterozoic atmospheric, biogeochemical and climatic change // Amer. J. Sci. 2003b. V. 330. № 10. P. 865–904.
Bekker A., Holland H.D., Wang P.-L. et al. Dating the rise of atmospheric oxygen // Nature. V. 427. 2004. P. 117–120.
Berman R.G. Internally-consistent thermodynamic data for minerals in the system Na2O–K2O–CaO–MgO–FeO–Fe2O3–Al2O3–SiO2–TiO2–H2O–CO2 // J. Petrol. 1988. V. 29. № 2. P. 445–522.
Berman R.G. winTWQ (version 2.3): A software package for performing internally-consistent thermobarometric calculations // Geol. Surv. Canada. 2007. Open File 5462, revised.
Bolhar R., Hofmann A., Woodhead J. et al. Pb- and Nd-isotope systematics of stromatolitic limestones from the 2.7 Ga Ngezi Group of the Belingwe Greenstone Belt: constraints on timing of deposition and provenance // Precambrian Res. 2002. V. 114. № 3–4. P. 277–294.
Boulvais P., Fourcade S., Gruau G. et al. Persistence of pre-metamorphic C and O isotopic signatures in marbles subject to Pan-African granulite-facies metamorphism and U-Th mi-neralization (Tranomaro, Southeast Madagascar) // Chem. Geol. 1998. V. 150. P. 247–262.
Bucher K., Frey M. Petrogenesis of metamorphic rocks. Berlin-Heidelberg: Springer-Verlag, 1994. 319 p.
Bushmin S.A., Glebovitsky V.A. Scheme of mineral facies of metamorphic rocks and its application to Fennoscandian shield with representative sites of orogenic gold mineralization // Transactions of Karelian Res. Centre RAS. Precambrian Geol. Ser. 2016. № 2. P. 3–27.
Carmichael D.M. Univariant mixed-volatile reactions; pressure-temperature phase diagrams and reaction isograds // Can. Mineral. 1991. V. 29. № 4. P. 741–754.
Connolly C.A., Walter L.M., Baadsgaard H., Longstaffe F.J. Origin and evolution of formation waters, Alberta Basin, Western Canada Sedimentary Basin. II. Isotope systematics and water mixing // Applied Geochemistry. 1990. V. 5. P. 397–413.
Connolly J.A.D., Trommsdorff V. Petrogenetic grids for metacarbonate rocks: pressure-temperature phase-diagram projection for mixed-volatile systems // Contrib. Mineral. Petrol. 1991. V. 108. № 1–2. P. 93–105.
Eggert R.G., Kerrick D.M. Metamorphic equilibria in the siliceous dolomite system: 6 kbar experimental data and geologic implications // Geochim. Cosmochim. Acta. 1981. V. 45. № 7. P. 1039–1049.
Farquhar J., Zerkle A.L., Bekker A. Geological constraints on the origin of oxygenic photosynthesis // Photosynthesis Research. 2011. V. 107. № 1. P. 11–36.
Faure G. Principles of Isotope Geology. 2nd ed. N.Y.: Wiley and Sons, 1986. 589 p. Русский перевод: Фор Г. Основы изотопной геологии. М.: Мир, 1989. 590 с.
Flowers G.C., Helgeson H.C. Equilibrium and mass transfer during progressive metamorphism of siliceous dolomites // Amer. J. Sci. 1983. V. 283. № 3. P. 230–286.
Frauenstein F., Veizer J., Beukes N. et al. Transvaal Supergroup carbonates: Implications for Paleoproterozoic δ18O and δ13C records // Precambrian Res. 2009. V. 175. № 1/4. P. 149–160.
Frimmel H.E. On the reliability of stable carbon isotopes for Neoproterozoic chemostratigraphic correlation // Precambrian Res. 2010. V. 182. № 4. P. 239–253.
Gast P. W. Abundance of 87Sr during geologic time // Geol. Soc. Amer. Bull. 1955. V. 66. № 11. P. 1149–1453.
Ghent E.D., O’Neil J.R. Late Precambrian marbles of unusual carbon-isotope composition, southeastern British Columbia // Can. J. Earth Sci. 1985. V. 22. № 3. P. 324–329.
Gorokhov I.M., Varshavskaya E.S., Kutyavin E.P., Lobach-Zhuchenko S.B. Preliminary Rb-Sr geochronology of the North Ladoga Region, Soviet Karelia // Eclogae Geol. Helv. 1970. V. 63. № 1. P. 95–104.
Karhu J.A. Paleoproterozoic evolution of the carbon isotope ratios of sedimentary carbonates in the Fennoscandian Shield // Geol. Sur. Finland Bull. 1993. № 371. P. 1–87.
Kerrick D.M. Review of metamorphic mixed-volatile (H2O–CO2) equilibria // Amer. Mineral. 1974. V. 59. № 7–8. P. 729–762.
Kitchen N.E., Valley J.W. Carbon isotopic thermometry in marbles of the Adirondack Mountains, New York // J. Metamorph. Geol. 1995. V. 13. № 5. P. 577–594.
Kretz R. Symbols of rock-forming minerals // Amer. Mi-neral. 1983. V. 68. № 1–2. Part II. P. 277–279.
Kuznetsov A.B., Melezhik V.A., Gorokhov I.M. et al. Sr-isotopic composition of Paleoproterozoic 13C-rich carbonate rocks: the Tulomozero Formation, SE Fennoscandian Shield // Precambrian Res. 2010. V. 182. № 4. P. 300–312.
Kuznetsov A.B., Gorokhov I.M., Melezhik V.A. Sr-isotopes in sedimentary carbonates // Reading the Archive of Earth’s Oxygenation. V. 3: Global Events and the Fennoscandian Arctic Russia – Drilling Early Earth Project. Eds. V.A. Melezhik, L.R. Kump, A.E. Fallick et al. Heidelberg: Springer, 2013. P. 1459–1467. https://doi.org/10.1007/978-3-642-29670-3
Luttge A., Bolton E.W., Rye D.M. A kinetic model of metamorphism: an application to siliceous dolomites // Contrib. Mineral. Petrol. 2004. V. 146. № 5. P. 546–565.
Maheshwari A., Sial A.N., Gaucher C. et al. Global nature of the Paleoproterozoic Lomagundi carbon isotope excursion: A review of occurrences in Brazil, India, and Uruguay // Precambrian Res. 2010. V. 182. № 4. P. 274–299.
Masch L., Heuss-Assbichler S. Decarbonation reactions in siliceous dolomites and impure limestones // Eds. G. Voll, J. Töpel, D.R.M. Pattison, F. Seifen. Equilibrium and Kinetics in Contact Metamorphism. Berlin-Heidelberg: Springer-Verlag, 1991. P. 211–227.
Mason R. Petrology of the metamorphic rocks. London: Unwin Hyman, 1990. 2nd ed. 230 p.
Melezhik V.A., Fallick A.E. A widespread positive δ13Ccarb anomaly at around 2.33–2.06 Ga on the Fennoscandian Shield: A paradox? // Terra Nova. 1996. V. 8. № 2. P. 141–157.
Melezhik V.A., Roberts D., Gorokhov I.M. et al. Isotopic evidence for a complex Neoproterozoic to Silurian rock assemblage in the North-Central Norwegian Caledonides // Precambrian Res. 2002. V. 114. № 1/2. P. 55–86.
Melezhik V.A., Zwaan B.K., Motuza G. et al. New insights into the geology of high-grade Caledonian marbles based on isotope chemostratigraphy // Norwegian J. Geol. 2003. V. 83. P. 209–242.
Melezhik V.A., Fallick A.E., Kuznetsov A.B. Palaeoproterozoic, rift-related, 13C-rich, lacustrine carbonates, NW Russia. Part II: Global isotopic signal recorded in the lacustrine dolostone // Transactions of the Royal Society of Edinburgh, Earth Sciences. 2004. V. 95. № 3/4. C. 423–444.
Melezhik V.A., Roberts D., Fallick A.E. et al. Geochemical preservation potential of high-grade calcite marble versus dolomite marble: implication for isotope chemostratigraphy // Chem. Geol. 2005. V. 216. № 3–4. P. 203–224.
Melezhik V.A., Kuznetsov A.B., Fallick A.E. et al. Depositional environments and an apparent age for the Geci meta-limestones: constraints on geological history of northern Mozambique // Precambrian Res. 2006. V. 148. № 1/2. P. 19–31.
Melezhik V.A., Huhma H., Condon D.J. et al. Temporal constraints on the Paleoproterozoic Lomagundi-Jatuli carbon isotopic event // Geology. 2007. V. 35. № 7. P. 655–658.
Melezhik V.A., Pokrovsky B.G., Fallick A.E. et al. Constraints on 87Sr/86Sr of Late Ediacaran seawater: insights from Siberian high-Sr limestones // J. Geol. Soc. London. 2009. V. 166. P. 183–191.
Melezhik V.A., Fallick A.E., Martin A.P. et al. The Palaeoproterozoic Perturbation of the Global Carbon Cycle: The Lomagundi-Jatuli Isotopic Event // Reading the Archive of Earth’s Oxygenation. Global Events and the Fennoscandian Arctic Russia – Drilling Early Earth Project (FAR-DEEP). Berlin-Heidelberg: Springer-Verlag, 2013a. V. 3. P. 1111–1150.
Melezhik V.A., Roberts D., Gjelle S. et al. Isotope chemostratigraphy of high-grade marbles in the Rognan area, North-Central Norwegian Caledonides: a new geological map, and tectonostratigraphic and palaeogeographic implications // Norwegian J. Geol. 2013b. V. 93. № 3. P. 107–150.
Melezhik V.A., Ihlen P.M., Kuznetsov A.B. et al. Pre-Sturtian (800–730 Ma) depositional age of carbonates in sedimentary sequences hosting stratiform iron ores in the Uppermost Allochthon of the Norwegian Caledonides: a chemostratigraphic approach // Precambrian Res. 2015. V. 261. P. 272–299.
Metz P., Trommsdorff V. On phase equilibria in metamorphosed siliceous dolomites // Contrib. Mineral. Petrol. 1968. V. 18. № 4. P. 305–309.
Metzger A.A.Th. Die Kalksteinlagerstätten von Ruskeala in Ostfinnland // Bulletin de la Commission Géologique de Finlande. 1925. № 74. 24 s.
Moore C.H. Carbonate diagenesis and porosity // Developments in Sedimentology. Amsterdam: Elsevier, 1989. V. 46. 338 p.
Puchtel I.S., Arndt N.T., Hofmann A.W. et al. Petrology of mafic lavas within the Onega plateau, central Karelia: evidence for 2.0 Ga plume-related continental crustal growth in the Baltic Shield // Contrib. Mineral. Petrol. 1998. V. 130. № 2. P. 134–153.
Puchtel I.S., Brügmann G.E., Hofmann A.W. Precise Re-Os mineral isochron and Pb-Nd-Os isotope systematics of a mafic–ultramafic sill in the 2.0 Ga Onega plateau (Baltic Shield) // Earth Planet. Sci. Lett. 1999. V. 170. № 4. P. 447–461.
Ray J.S., Veizer J., Davis W.J. C, O, Sr and Pb isotope systematics of carbonate sequences of the Vindhyan Supergroup, India: age, diagenesis, correlations and implications for global events // Precambrian Res. 2003. V. 121. № 1/2. P. 103–140.
Satish-Kumar M., Miyamoto T., Hermann J. et al. Pre-metamorphic carbon, oxygen and strontium isotope signature of high-grade marbles from the Lützow-Holm Complex, East Antarctica: apparent age constraints of carbonate deposition // Geol. Soc. Spec. Publ. London. 2008. V. 308. P. 147–164.
Schidlowski M., Eichmann R., Junge C.E. Carbon isotope geochemistry of the Precambrian Lomagundi carbonate province, Rhodesia // Geochim. Cosmochim. Acta. 1976. V. 40. № 4. P. 449–455.
Scholle P.A., Arthur M.A. Carbon isotopic fluctuations in Cretaceous pelagic limestones: potential stratigraphic and petroleum exploration tool // Amer. Assoc. Petrol. Geol. Bull. 1980. V. 64. P. 67–87.
Sial A.N., Gaucher C., Ramkumar M., Ferreira V.P. Chemostratigraphy as a formal stratigraphic method // Chemostratigraphy Across Major Chronological Boundaries. American Geophysical Union. Geophysical Monograph 240, First Edition. 2019. P. 3–25.
Spooner E. T.C. The strontium isotopic composition of seawater, and seawater–oceanic crust interaction // Earth Planet. Sci. Lett. 1976. V. 31. № 1. P. 167–174.
Trommsdorff V., Connolly J.A.D. Constraints on phase diagram topology for the system CaO–MgO–SiO2–CO2–H2O // Contrib. Mineral. Petrol. 1990. V. 104. № 1. P. 1–7.
Trommsdorff V., Evans B.W. Antigorite-ophicarbonates: Phase relations in a portion of the system CaO–MgO–SiO2–H2O–CO2 // Contrib. Mineral. Petrol. 1977. V. 60. № 1. P. 39–56.
Valley J.W. Stable isotope geochemistry of metamorphic rocks // Eds. J.W. Valley, H.P. Taylor, J.R. O’Neil. Stable isotopes in High Temperature Geological Processes. Rev. Mineral. Geochem. Mineral. Soc. Amer. 1986. V. 16. P. 445–490.
Veizer J., Compston W. 87Sr/86Sr in Precambrian carbonates as an index of crustal evolution // Geochim. Cosmochim. Acta. 1976. V. 40. № 8. P. 905–914.
Veizer J., Hoefs J. The nature of 18O/16O and 13C/12C secular trends in sedimentary carbonate rocks // Geochim. Cosmochim. Acta. 1976. V. 40. № 11. P. 1387–1395.
Veizer J., Holser W.T., Wilgus C.K. Correlation of 13C/12C and 34S/32S secular variations // Geochim. Cosmochim. Acta. 1980. V. 44. P. 579–587.
Veizer J., Clayton R.N., Hinton R.W. Geochemistry of Precambrian carbonates: 3-shelf seas and non-marine environments of the Archean // Geochim. Cosmochim. Acta. 1990. V. 54. № 10. P. 2717–2729.
Walter M.R., Veeres J.J., Calver C.R. et al. Dating the 840–544 Ma Neoproterozoic interval by isotopes of strontium, carbon and sulfur in seawater and some interpretative mo-dels // Precambrian Res. 2000. V. 100. № 1. P. 371–433.
Wickman F.E. Isotope ratios – a clue to the age of certain marine sediments // J. Geol. 1948. V. 56. № 1. P. 61–66.
Winkler H.G.F. Petrogenesis of Metamorphic Rocks. N.Y.: Springer-Verlag, 5th ed. 1979. 348 p.
Дополнительные материалы отсутствуют.


