Петрология, 2020, T. 28, № 4, стр. 431-445
Реакционные микроструктуры в абиссальных перидотитах на 17°04′–17°10′ с.ш. Срединно-Атлантического хребта
А. Н. Перцев a, *, В. Е. Бельтенев b
a Институт геологии рудных месторождений, петрографии, минералогии и геохимии РАН
Москва, Россия
b АО “Полярная морская геологоразведочная экспедиция”
Санкт-Петербург, г. Ломоносов, Петродворцовый р-н, Россия
* E-mail: alexei_n@igem.ru
Поступила в редакцию 09.12.2018
После доработки 24.12.2019
Принята к публикации 29.12.2019
Аннотация
В ранее неизвестном тектоническом выходе на 17°04′–17°10′ с.ш. Срединно-Атлантического хребта опробованы серпентинизированные перидотиты лерцолит-гарцбургитового состава с реликтами крупнозернистой протогранулярной и порфирокластической основной массы и локальными шпинель-пироксеновыми микроагрегатами. Состав минералов в реликтах крупнозернистой основной массы характерен для абиссальных реститовых перидотитов и соответствует 13–14% фракционного плавления. Шпинель-пироксеновые (шпинель-ортопироксеновые и шпинель-двупироксеновые) микроагрегаты рассматриваются как следы взаимодействия перидотитов с интерстиционным расплавом в процессе перехода к литосферному кондуктивному остыванию при температурах 1100–1000°C. Взаимодействие перидотит–расплав сопровождалось частичным растворением ортопироксена, локальной кристаллизацией шпинели ± клинопироксена, неравномерным снижением содержаний Al и Cr в обоих пироксенах и величины отношения Cr/Al в шпинели. Дополнительным признаком реакционного расплава является общий тренд обогащения магматическими компонентами: клинопироксена лантаноидами, а шпинели цинком. Предполагаемый интерстиционный реакционный расплав был существенно деплетирован несовместимыми элементами по сравнению с расплавами типа MORB. Дальнейшее литосферное охлаждение способствовало “замораживанию” минеральных ассоциаций и реакционных микроагрегатов.
ВВЕДЕНИЕ
Согласно современным представлениям, абиссальные (океанические) перидотиты и их офиолитовые аналоги имеют первично-реститовую природу, т.е. представляют собой тугоплавкий остаток после отделения базальтовых магм спрединговых центров в результате разной степени адиабатического декомпрессионного плавления мантийного материала (например, Dick et al., 1984; Johnson et al., 1990; Walter, 2003). Дальнейшие структурно-вещественные преобразования реститовых пород сопровождаются разнообразным взаимодействием с мантийными расплавами, поступающими из источников разной глубинности в зависимости от структурно-геодинамических обстановок. Взаимодействие может происходить с межзерновыми пленками расплава и с потоками, локализованными в каналах повышенной проницаемости; по механизму диффузионного обмена кристалл/расплав и путем растворения и кристаллизации минералов с значительным изменением не только геохимии, но и модального состава (например, Kelemen et al., 1994; Niu et al., 1997; Reiners, 1998; Asimow, 1999; Godard et al., 2000; Seyler et al., 2003; Rampone et al., 2004).
Расплавы типа MORB, поступающие в верхние литосферные горизонты под вулканическими центрами спрединга, насыщены оливином и недосыщены обоими пироксенами (Kelemen et al., 1994). Корреляция параметров валового и модального состава подтверждает кристаллизацию оливина и растворение пироксенов при снижении модального соотношения клинопироксен/ортопироксен (Asimow, 1999; Rampone et al., 2004). Подобный процесс может быть локализован в системе высокопроницаемых каналов, представленных сетью дунитовых жил в перидотитах верхней части мантийного разреза и/или в виде дунитовой мантийно-коровой переходной зоны офиолитов, где, по-видимому, достигается локальное равновесие дунит/MORB при высоком отношении расплав/порода (Kelemen et al., 1994; Suhr, 1999; Godard et al., 2000). Не менее значимо подлитосферное взаимодействие перидотит–расплав противоположной направленности (“рефертилизация”), т.е. изменение валового состава от гарцбургита к лерцолиту и обогащение несовместимыми элементами. Соответствующие расплавы могут поступать с разных уровней магмогенерации и отличаться по составу от MORB (например, Brunelli et al., 2006, 2014). Минералогические и микроструктурные признаки реакций рефертилизации сохраняются гораздо хуже по причине твердопластического течения перидотитовой матрицы в высокотемпературных астеносферных условиях. Тем не менее ряд микроструктурных неоднородностей в перидотитах в виде поздних генераций клинопироксена, частичного замещения ортопироксена клинопироксеном и/или шпинель-клинопироксеновым микроагрегатом интерпретируется как след неполного отделения интерстиционных расплавов при переходе к литосферному режиму кондуктивного охлаждения и описан в медленно- до ультрамедленно-спрединговых ассоциациях абиссальных перидотитов и офиолитах (Seyler et al., 2001, 2007; Suhr et al., 2008; D’Errico et al., 2016; Wang et al., 2019). Сохранность таких микроструктурных неоднородностей объяснима “замораживанием” твердопластического течения в условиях маломощной холодной литосферы под медленно- и ультрамедленно-спрединговыми центрами (Suhr et al., 2008).
Определенные трудности выявления микроструктурных неоднородностей в абиссальных перидотитах обусловлены не только их плохой сохранностью в высокотемпературных условиях, но и последующей плохой сохранностью высокомагнезиальных пород в тектонических обнажениях на дне океанов. Ввиду значительных гидротермальных изменений и подводного выветривания в большинстве тектонических выходов абиссальных перидотитов невозможно не только наблюдать микроструктурные особенности, но даже найти реликты мантийных силикатных минералов. В представленной работе приведены новые данные по ранее неизвестному выходу абиссальных перидотитов в геологической структуре тектонического растяжения Срединно-Атлантического хребта. Материал для работы собран в 37-м рейсе НИС “Профессор Логачев”, в ходе которого мы, в частности, впервые выделили и опробовали выходы серпентинизированных ультрамафитов в бортах рифтовой долины САХ, в широтном интервале 16°43′–17°32′ с.ш. Среди этих выходов наибольший интерес представляет перидотитовый массив, интрудированный габброидами и обнаженный в восточном борту рифтовой долины на 17°04′–17°10′ с.ш. В данном массиве, в отличие от соседних, серпентинизированные породы местами сохраняют реликты мантийных минералов и реакционных микроструктурных наложений. Основное внимание в работе сфокусировано на структурно-вещественной неоднородности минералов. Предпринята попытка реконструировать химические тенденции процессов при формировании локальных реакционных структур на основе представительных аналитических данных.
МЕТОДЫ ИССЛЕДОВАНИЯ
Экспедиционные геологические работы включали опробование драгой и грейфером, что позволило выделить структуру тектонического растяжения с габбро-перидотитовым ядром и собрать коллекции образцов пород для лабораторных исследований. Лабораторные исследования включали комплексное изучение прозрачных шлифов: петрографическое описание, выделение локальных минеральных ассоциаций и химический микроанализ минералов.
Анализы минералов на главные элементы и фотографии в обратно-рассеянных электронах выполнены на электронно-зондовом рентгеноспектральном микроанализаторе JEOL Superprobe 8200 в центре коллективного пользования “ИГЕМ-аналитика” С.Е. Борисовским (г. Москва). Технические условия анализа: ускоряющее напряжение 20 кВ, сила тока 50 нА, диаметр фокусировки зонда от 1 до 5 мкм в зависимости от условий задачи. Итерационная поправка на средний атомный номер, поглощение и вторичную флюоресценцию вводилась по модели ZAF-коррекции; в качестве стандартов для калибровки использованы природные минералы.
Редкие элементы в клинопироксенах определены методом вторично-ионной масс-спектрометрии (Shimizu, Hart, 1982) на приборе CAMECA IMS 4f в Ярославском филиале Физико-технологического института РАН (ЯФ ФТИАН). Аналитики: С.Г. Симакин и Е.В. Потапов. Технические условия: сфокусированный первичный пучок ионов ${\text{O}}_{{\text{2}}}^{ - }$ с энергией 10 кэВ (14.5 кэВ на поверхности образца) диаметром около 30 мкм; ток первичных ионов 5–8 нA. Определялись интенсивности вторичных положительных ионов 30Si, 89Y, 154Gd, 156Gd, 158Gd, 162Dy, 163Dy, 167Er, 174Yb; смещение потенциала образца на 100 V; щель энергетической фильтрации 50 эВ (Sobolev, 1996). Каждое измерение включало 5 циклов накопления сигнала; время накопления определялось автоматически в зависимости от интенсивности сигнала. Полученные замеры интенсивностей нормировались к 30Si, содержание которого вводилось по результатам электронно-зондового микроанализа. Поправки для Gd, Yb, Er на наложение оксидов редкоземельных элементов вычислялись по соответствующей методике (Botazzi et al., 1994). Для контроля калибровки использован авгит KH-1 (Irving, Frey, 1984).
ГЕОЛОГИЧЕСКАЯ ПОЗИЦИЯ И ОПРОБОВАНИЕ
Район описываемого выхода глубинных пород расположен в сегменте Срединно-Атлантического хребта (САХ) между трансформными разломами Зеленого мыса (15°20′ с.ш.) на юге и Видал (17°50′ с.ш.) на севере. Полученные в 37-м рейсе НИС “Профессор Логачев” данные показывают, что рифтовая долина САХ в интервале 17°03′–17°10′ с.ш. имеет резко асимметричную форму (рис. 1а). Восточный борт возвышается над днищем рифтовой долины на 2.5 км. По данным батиметрических исследований минимальная зафиксированная глубина вершины восточного борта менее 1500 м, что представляет абсолютный региональный минимум. Западный борт сопряжен с днищем с превышением его склона до 500 м и осложнен обширной террасой шириной 3–6 км. Днище долины расположено в пределах глубин 3500–4000 м, погружаясь к югу до 4500 м. Ширина днища составляет 6–10 км. Неовулканическое поднятие (НВП) с хорошо сохранившимися и опробованными базальтовыми лавами прилегает к восточному краю днища.
Рис. 1.
Батиметрическая карта (а) и разрез по линии А–В (б) с интерпретацией геологической структуры САХ в широтном интервале 17°04′–17°13′ с.ш. 1 – породы габбро-ультрабазитовой ассоциации; 2 – базальты; 3 – предполагаемые разрывные нарушения (а – субвертикальные малоамплитудные разломы на разрезе, б, в – высокоамплитудные разломы растяжения на карте и в разрезе соответственно); 4 – гидротермальные поля Победа-1 и -2 (P1 и P2 соответственно); 5 – станции опробования (а – телегрейфером, б – драгой), где отобраны изученные образцы перидотитов (табл. 1). Остальные 21 станция не показаны. НВП – неовулканическое поднятие (магматический центр спрединга). На разрезе вертикальный масштаб равен горизонтальному.

Более детальное изучение восточного борта рифтовой долины было проведено в связи с открытием в 2015 г. двух сульфидно-полиметаллических гидротермальных полей “черных курильщиков”, развитых на серпентинитах (Победа-1 и -2, рис. 1а). Согласно результатам картировочного опробования на 27 станциях, в восточном борту долины выше глубин 4500–3000 м обнажены серпентинизированные породы с подчиненным количеством габброидов (рис. 1б). Выше по склону на восток, на глубинах менее 2000–2500 м габбро-перидотитовая ассоциация сменяется базальтами с плохо сохранившимися закалочными зонами пиллоу-лав. Образцы серпентинизированных перидотитов получены с 17 станций опробования в широтном интервале 17°04′–17°10′ с.ш. Интерпретация асимметричной геологической структуры (рис. 1б) сделана, исходя из представлений о медленно-спрединговых структурах тектонического растяжения, характерных для САХ, где в лежачих боках высокоамплитудных пологих разломов обнажаются ядра мантийных перидотитов, интрудированные габброидами без развития вулканического покрова (Karson, Lawrence, 1997; MacLeod et al., 2009; Smith et al., 2008). Подтверждением высокоамплитудных пологих зон растяжения (рис. 1б) являются активные сульфидные гидротермальные поля (“черные курильщики”), развитые на перидотитовом субстрате и значительно удаленные от осевой зоны рифтовой долины (McCaig et al., 2007; Petersen et al., 2009).
ПЕТРОГРАФИЯ
В восточном борту рифтовой долины САХ, в широтном интервале 17°04′–17°10′ с.ш. (рис. 1а) была собрана коллекция шпинелевых перидотитов, гидротермально измененных в различной степени. В двух перидотитовых образцах, кроме того, установлены неравномерно рассеянный плагиоклаз и габброидные прожилки. Для комплексного изучения отобраны 9 образцов из 6 станций опробования (табл. 1, рис. 1а) с локальной сохранностью реликтовых перидотитовых структур и минеральных ассоциаций без признаков взаимодействия с габброидами. В большинстве образцов с сохранившимися реликтами первичных минералов можно наблюдать первичную средне- и грубозернистую протогранулярную структуру, местами переходную к порфирокластической (Suppl. 122, рис. ESM_1.pdf, ESM_2.pdf). Кроме того, для этих образцов характерно локальное наложение микроструктур в виде шпинель-пироксеновых микроагрегатов (рис. ESM_2.pdf, ESM_3.pdf).
Таблица 1.
Технические характеристики станций опробования с номерами изученных образцов
| Номер станции | Инструмент | Широта (северная), град. | Долгота (восточная), град. | Глубина, м | Номер образца |
|---|---|---|---|---|---|
| 37L107 | Драга | 17.1237 | 46.4105 | 3003 | 107-12, |
| 17.1256 | 46.4071 | 2790 | 107-19 | ||
| 37L108 | Драга | 17.1497 | 46.3913 | 2105 | 108-01, |
| 17.1533 | 46.3859 | 1968 | 108-10 | ||
| 37L109 | Драга | 17.1017 | 46.3873 | 2400 | 109-05 |
| 17.1056 | 46.3804 | 2190 | |||
| 37L191 | Драга | 17.1381 | 46.4047 | 2658 | 191-06 |
| 17.1404 | 46.4013 | 2550 | |||
| 37L202 | Драга | 17.1483 | 46.3894 | 2033 | 202-01 |
| 17.1493 | 46.3861 | 1950 | |||
| 37L248 | Телегрейфер | 17.1381 | 46.3851 | 2115 | 248-06, |
| 248-07 |
Средне- и грубозернистые агрегаты
Реликтовый перидотитовый агрегат (рис. ESM_1.pdf, A) сложен оливином (рис. ESM_1.pdf, A, B), ортопироксеном (рис. ESM_1.pdf, A, C), клинопироксеном (рис. ESM_1.pdf, A, C, D) и шпинелью (рис. ESM_1.pdf, E, F) при неравномерном распределении двух последних. Среднее модальное содержание оливина можно приблизительно оценить в 70–80%. Номенклатурно минеральный состав первичных перидотитов близок к лерцолит-гарцбургитовому переходу, т.е. среднее содержание клинопироксена около 5%. Содержание шпинели менее 1%.
Оливин представлен зернами с первичным размером до 5 мм, насколько можно судить по реликтам с синфазным оптическим погасанием в ячейках петельчатой структуры серпентинизации (рис. ESM_1.pdf, A, B и ESM_2.pdf, A). В ряде случаев сохраняются признаки внутрикристаллических деформаций в виде структур kink band.
Ортопироксен присутствует в виде зерен размером до 5–8 мм и в сростках с клинопироксеном (рис. ESM_1.pdf, A). Зерна часто деформированы, что выражено в искривлении полос спайности. Иногда в окружении порфирокластов ортопироксена размером до нескольких миллиметров можно видеть необласты орто- и клинопироксена размером 0.1–1 мм (рис. ESM_1.pdf, C). Для ортопироксена характерны клинопироксеновые ламелли субмикронной размерности.
Клинопироксен представлен в виде деформированных зерен размером до 10 мм, часто порфирокластового облика, а также в виде сростков с зернами ортопироксена (рис. ESM_1.pdf, A, D). Микроскопически наблюдаются ламелли ортопироксена субмикронной размерности. Незначительное количество клинопироксена представлено в виде необластов размером 0.1–1 мм (рис. ESM_1.pdf, C).
Шпинель полупрозрачная и имеет красно-коричневый цвет; как правило, образует ксеноморфные зерна до 2–5 мм в промежутках крупных зерен силикатов, нередко с ветвящимися отростками (рис. ESM_1.pdf, E; ESM_2.pdf, B). Может содержать включения оливина до 0.2 мм. Менее характерная форма шпинели – идиоморфные кристаллы (рис. ESM_1.pdf, F).
Шпинель-пироксеновые микроагрегаты
Наложенные шпинель-пироксеновые микроагрегаты являются характерной особенностью изучаемых перидотитов, хотя распространены неравномерно и занимают незначительный объем. Эти микроагрегаты можно наблюдать оптически (рис. ESM_2.pdf, C; ESM_3.pdf, A, B), но точная идентификация пироксенов предпочтительнее в электронной сканирующей микроскопии (рис. ESM_3.pdf, C, D). Микроагрегаты развиваются в краевой части крупных зерен ортопироксена, часто по контакту с оливином. Ортопироксен микроагрегата сохраняет оптическую ориентировку крупного зерна-хозяина. Часто такие микроагрегаты имеют симплектитовый облик с тонким рисунком червеобразных выделений шпинели при объемном содержании последней около 20–25% (рис. ESM_3.pdf, C, D). Соотношение орто- и клинопироксена в микроагрегатах может варьировать в широких пределах. Присутствуют шпинель-ортопироксеновые агрегаты без клинопироксена (рис. ESM_3.pdf, A, C), агрегаты с явным преобладанием клинопироксена (рис. ESM_2.pdf, C; ESM_3.pdf, D), а также агрегаты с промежуточными соотношениями двух пироксенов (рис. ESM_3.pdf, B). В отличие от средне- до грубозернистого агрегата перидотитов, для пироксенов из шпинель-пироксеновых микроагрегатов ламелли распада не характерны. Оливин в составе шпинель-пироксеновых агрегатов нигде не зафиксирован. Проиллюстрированные на рис. ESM_3.pdf шпинель-пироксеновые микроагрегаты в целом позволяют уверенно отделить соответствующие локальные минеральные ассоциации от таковых в более крупнозернистых структурах перидотитов.
Подобное наложение шпинель-пироксеновых микроструктур ранее описано в абиссальных гарцбургитах скважины 1274 ODP в том же сегменте САХ (15°39′ с.ш.) (Seyler et al., 2007; Suhr et al., 2008), наряду с другими типами наложенных симплектитовых микроструктур, не представленными в наших образцах. Такие микроструктуры интерпретируются как следы реакционного взаимодействия ортопироксена с межзерновым расплавом при снижении P-Т параметров: растворение ортопироксена с обеднением его оставшейся части компонентами Mg(Al, Cr)AlSiO6 и CaSiO3; перераспределение Al2O3 и Cr2O3 из ортопироксена и расплава в кристаллизующуюся шпинель, а SiO2 и CaO – в расплав; кристаллизация клинопироксена при достаточном накоплении в расплаве CaO и SiO2 (Seyler et al., 2007). Похожие пироксен-шпинелевые симплектитовые микроструктуры также отмечены в абиссальных перидотитах из ультрамедленно-спрединговых обстановок: в лерцолите из хребта Гаккеля (D’Errico et al., 2016) и гарцбургитах из Юго-Западного Индийского хребта (Wang et al., 2019).
Вторичные изменения
Многостадийные гидротермальные изменения проявлены в замещении клинопироксена роговой обманкой с выносом Ca, последующей тотальной серпентинизации оливина с выносом Mg, в отальковании и баститизации ортопироксена и частичном замещении шпинели магнетитом. К более поздним процессам относятся развитие хлорита, хризотиловых микропрожилков и карбонатизация. Карбонатизация проявлена в виде широко распространенных псевдоморфоз кальцита по реликтам оливина в ячейках структур петельчатой серпентинизации, а также в виде арагонитовых прожилков, обогащенных Sr. Локальное проявление секущих прожилков самородной меди, по-видимому, связано с наиболее высокотемпературными гидротермальными событиями, тогда как появление сульфидов железа – с более низкотемпературными. Вторичные изменения в целом приводят к серьезному искажению соотношений породообразующих элементов (Si, Fe, Mg, Ca). Поэтому валовые составы пород для изучения наложенных микроструктурных осложнений не представляются информативными. Основное внимание в работе сконцентрировано на детальном изучении состава минералов.
ОСОБЕННОСТИ СОСТАВА МИНЕРАЛОВ
Для поиска закономерностей композиционной неоднородности минералов анализы пироксенов и шпинели были распределены по трем основным структурным позициям, выделяемым на основании приведенных выше петрографических особенностей: (1) ядра крупных (>1 мм) зерен в средне- и грубозернистых агрегатах; (2) края крупных зерен и мелкие зерна, включая необласты и шпинелевые интерстиционные отростки, в средне- и грубозернистых агрегатах; (3) наложенные шпинель-пироксеновые микроагрегаты. Эти три типа минеральных ассоциаций хорошо различимы для химически наиболее информативных минералов: ортопироксена, клинопироксена и шпинели. Соответствующие обозначения разновидностей минералов: Opx1, 2, 3, Cpx1, 2, 3 и Spl1, 2, 3. Для оливина привязка к структурным разновидностям (1) и (2) крайне затруднительна ввиду фрагментарной сохранности, а в позиции (3) оливин не обнаружен. Анализы пироксенов и шпинели представлены в Suppl. 233: таблицы ESM_4.xls– ESM_7.xls.
Оливин имеет обычный для абиссальных перидотитов состав без каких-либо закономерных вариаций в пределах одного образца или всей изученной коллекции: форстеритовый минал составляет в среднем 90.34 ± 0.31 мол. %. Содержания MnO, NiO и CaO составляют 0.130 ± 0.025, 0.39 ± 0.03 и 0.046 ± ± 0.018 мас. % соответственно.
Ортопироксен. В целом по Mg# (100 × Mg/(Mg + + Fe), ат. кол-ва) и примеси TiO2 явных различий между Opx1, Opx2 и Opx3 или в пределах этих разновидностей не выявлено. Mg# в среднем составляет 90.93 ± 0.38, содержание TiO2 не превышает 0.15 мас. %, в среднем 0.04 ± 0.02 мас. %. (ESM_4.xls).
Значимые вариации состава ортопироксена независимо от выделяемых нами разновидностей проявлены по соотношениям Cr и Al (рис. 2). Предполагается, что в целом в реститовых ортопироксенах абиссальных перидотитов при возрастании степени частичного плавления снижается содержание Al2O3 и возрастает содержание Cr2O3, поскольку эти два элемента имеют противоположные свойства по совместимости с расплавом и кристаллическим агрегатом (например, Seyler et al., 2003; Brunelli et al., 2003). Отрицательная корреляция Cr и Al, связанная с деплетированием, значительно осложнена трендами, обусловленными снижением растворимости компонента Mg(Al,Cr)AlSiO6 в ортопироксене при уменьшении P-Т условий при астеносферно-литосферном переходе (Seyler et al., 2003, 2007). Наложенные тренды также выражены, но значительно слабее, в понижении хромистости (Cr# = 100 × Cr/(Cr + Al), ат. кол-ва), поэтому на графике Al2O3–Cr# можно видеть общий тренд деплетирования ортопироксена абиссальных перидотитов и положение на нем изученных нами ортопироксенов (рис. 2а). На рис. 2а перидотиты интервала 17°04′–17°10′ с.ш. САХ соответствуют степени деплетирования несколько выше средней части диапазона, известного для абиссальных перидотитов медленно- и сверхмедленно-спрединговых обстановок.
Рис. 2.
Вариации состава ортопироксенов по Al и Cr. Серым цветом показаны составы ортопироксенов в абиссальных перидотитах из медленно- и сверхмедленно-спрединговых обстановок, по данным (Michael, Bonatti, 1985; Dick, 1989; Komor et al., 1990; Ghose et al., 1996; Stephens et al., 1997; Brunelli et al., 2003).

Независимо от выделяемых нами разновидностей (Opx1, 2, 3), намечается общий тренд одновременного снижения концентраций Al и Cr (рис. 2б), соответствующий постепенному очищению Opx2, 3 от примесей Cr и Al по сравнению с Opx1. Эта общая закономерность осложняется заметным перекрытием составов. В частности, около половины составов центральных частей крупных зерен также оказываются относительно обедненными Cr и Al. Тем не менее по содержанию Cr2O3 выделяемые разновидности ортопироксена имеют более или менее обособленные статистические максимумы (рис. 3).
Рис. 3.
Распределение концентраций Cr2O3 по трем выделяемым петрографическим разновидностям ортопироксена. По вертикальной оси (n) – количество анализов (см. в Suppl. 2, ESM_4.xls).

Клинопироксен. Значения Mg# в клинопироксене находятся в диапазоне от 90.3 до 93.5 без каких-либо закономерных вариаций. По соотношению Al и Cr в клинопироксене проявляются такие же закономерности, как и в ортопироксене. Как и в случае с ортопироксеном изучаемые клинопироксены соответствуют степени деплетирования выше среднего на общем фоне абиссальных перидотитов (рис. 4а). В отличие от ортопироксенов разновидности Cpx1, 2, 3 на диаграмме Al2O3–Cr2O3 более обособлены (рис. 4б). По содержанию TiO2 разновидности Cpx1, 2, 3 значительно перекрываются, хотя общая тенденция возрастания концентрации TiO2 со снижением Cr# намечается (рис. 4в).
Рис. 4.
Вариации состава клинопироксена. Условные обозначения аналогичны таковым для ортопироксенов на рис. 2. Заштрихованная область на диаграмме (в) – состав наиболее раннего клинопироксена.

Содержания легких и средних лантаноидов не выше сотых долей ppm в изучаемых клинопироксенах не позволили проанализировать эти элементы методом вторично-ионной масс-спектрометрии. Количественные данные получены только по тяжелым лантаноидам (Gd, Dy, Er и Yb), а также по Y. Были выполнены 15 локальных анализов Cpx1, один – Cpx2 и пять – Cpx3 (табл. ESM_7.xls). Спектры по элементам Ti, Gd, Dy, Y, Er и Yb, взятым в порядке снижения их несовместимости (Sun, McDonough, 1989), обнаруживают заметную неоднородность Cpx1 с обособлением наиболее низкотитанистых деплетированных составов (рис. 5а). Остальные 12 анализов Cpx1 формируют диапазон относительно обогащенных составов, в которых обогащение более несовместимыми Ti, Gd и Dy проявлено сильнее, чем менее несовместимыми Y, Er и Yb. Имеющиеся составы Cpx2, 3 соответствуют верхней части диапазона Cpx1 (рис. 5а). Показателем относительного обогащения, таким образом, может служить содержание Dy и отношение Dy/Yb, которые формируют соответствующий общий тренд (рис. 5б). По этому показателю самый деплетированный состав сохраняется лишь в трех низкотитанистых ядрах крупных зерен клинопироксена, которые попадают в заштрихованное поле на рис. 4в. Значительная часть Cpx1, по-видимому, претерпела обогащение, возможно, в генетической связи с наложенными шпинель-пироксеновыми агрегатами.
Рис. 5.
Вариации состава клинопироксена по редким несовместимым элементам: (а) спектры элементов-примесей. $Cpx_{{\text{1}}}^{*}$ – составы, используемые в дальнейших расчетах; Cpx3 – среднее из пяти локальных анализов с интервалами погрешности (1σ); (б) корреляция содержания Dy и отношения Dy/Yb с интервалами погрешности (1σ). Концентрации элементов нормированы к хондриту С1 (Sun, McDonough, 1989).

Аналогичное изучение геохимии клинопироксена в абиссальных перидотитах на 15°39′ с.ш. САХ с шпинель-пироксеновыми микроагрегатами показало однородность состава клинопироксена и отсутствие различий между структурными разновидностями по спектрам лантаноидов, что объясняется достижением равновесия клинопироксена с интерстиционным расплавом (Seyler et al., 2007).
Шпинель. В качестве одного из главных индикаторов степени деплетирования мантии используется хромистость шпинели из шпинелевых перидотитов (Hellebrand et al., 2001; 2002). Spl1 по Cr# и форстеритовой составляющей ассоциирующего оливина отвечает относительно деплетированной части диапазона, характерного для абиссальных перидотитов медленно- и сверхмедленно-спрединговых обстановок (рис. 6).
Рис. 6.
Диаграмма Cr# шпинели и содержания форстеритового минала в ассоциирующем оливине. Интервалы погрешности (1σ) показаны, если они выходят за пределы условного знака. Серым цветом показаны ассоциации абиссальных перидотитов медленно- и сверхмедленно-спрединговых обстановок, по данным (Michael, Bonatti, 1985; Dick, 1989; Komor et al., 1990; Ghose et al., 1996; Stephens et al., 1997; Brunelli et al., 2003).

Различия между Spl1, Spl2 и Spl3 можно видеть в вариациях состава шпинели по Cr# и Mg# (рис. 7а). Переход от Spl1 к Spl2, 3 в целом сопровождается одновременным снижением Mg# и Cr#. Эта корреляция объяснима регрессивным переуравновешиванием с пироксенами при участии интерстиционного расплава в результате ограничения растворимости компонента Mg(Al,Cr)AlSiO6 в пироксенах и обменных реакций Mg-Fe силикат/шпинель. Вместе с тем составы Spl2 и Spl3 с наименьшими значениями Mg# и Cr# (наиболее удаленные от основного поля составов Spl1) в целом обнаруживают обратную корреляцию Cr# и Mg#, что можно объяснить дальнейшим регрессивным переуравновешиванием силикат/шпинель без участия расплава и без изменения хромистости. Это обусловлено более высоким химическим сродством шпинелей с более высоким значением Cr# к Fe2+ относительно Mg (Аранович, Косякова, 1980; Аранович, 1991). Наиболее высокие значения Cr# и Mg# сохраняются в обособленном поле Spl1, куда попадает один анализ Spl2 и ни одного анализа Spl3 (рис. 7а). По-видимому, это поле, обозначенное на рис. 7а штриховкой, наиболее близко к первичному составу реститовых шпинелей с хромистостью 33.8–35.5. Соответствующая степень фракционного плавления составляет приблизительно 13–14%, согласно эмпирической формуле (Hellebrand et al., 2001). Другой важной особенностью вариаций состава шпинелей является общее относительное обогащение ZnO при переходе от Spl1 к Spl2, 3 (рис. 7б).
Рис. 7.
Вариации состава шпинели. Обозначения Spl1, Spl2 и Spl3 аналогичны Opx1, Opx2 и Opx3 соответственно на рис. 2. Заштрихованная область – состав предположительно наиболее близкий к первичной реститовой шпинели.

ОБСУЖДЕНИЕ РЕЗУЛЬТАТОВ
Приведенные данные по составу минералов показывают, что изучаемые ультрамафиты относятся к типичным абиссальным перидотитам первично-реститовой природы с фрагментарно сохранившимися протогранулярными до порфирокластических средне- и грубозернистыми структурами. Cостав первичной шпинели средне- и грубозернистых агрегатов отвечает степени частичного фракционного плавления около 13–14%.
Присутствие в изученных шпинелевых перидотитах шпинель-двупироксеновой ассоциации как в среднезернистой основной массе, так и в шпинель-пироксеновых микроагрегатах свидетельствует о формировании наблюдаемых минеральных ассоциаций в условиях шпинель-перидотитовой фации глубинности, т.е. при давлениях 1–2.2 ГПа (O’Hara et al., 1971; Yoder, 1976; Gasparik, 2000), что приблизительно отвечает глубинам 30–39 км, а также свидетельствует о перемещении мантийного материала в верхние горизонты литосферы в “замороженном” состоянии.
Для оценки температур использован метод, основанный на анализе концентрации Al2O3 в ортопироксене в ассоциации с шпинелью и оливином, согласно модельной реакции по схеме:
Растворимость Al2O3 в ортопироксене в этой ассоциации существенно зависит от температуры и почти не зависит от давления (Косякова и др., 2005). Метод оценки температуры учитывает поправки на содержание Cr в шпинели (Косякова и др., 2005; Liermann, Ganguly, 2003). Ранее этот метод с учетом содержания Cr в шпинели уже применялся для изучения абиссальных перидотитов (Перцев и др., 2009). В отличии от термометров, основанных на Fe-Mg распределениях, данный метод характеризуется более высокой разрешающей способностью и слабой зависимостью от ретроградных реакций Fe-Mg обмена сосуществующих минералов (Pattison, Begin, 1994; Aranovich, Berman, 1997).
В высокомагнезиальных оливин-ортопироксеновых ассоциациях Fe/Mg отношения этих сосуществующих минералов очень близки (ХFaOl ≈ ХFsOpx), где ХFaOl и ХFsOpx – мольные доли Fe2SiO4 в оливине и FeSiO3 в ортопироксене соответственно. Если в умеренно- и низкомагнезиальных ассоциациях ХFaOl > ХFsOpx, то смещение в высокомагнезиальную область постепенно изменяет это соотношение до обратного (ХFaOl < ХFsOpx). По экспериментальным данным при Mg# ≈ 90 такая инверсия ожидаема для T < 800°C (Aranovich, Berman, 1996). Поскольку в нашей работе ХFaOl и ХFsOpx варьируют от 0.083 до 0.095, то приблизительное равенство (ХFaOl ≈ ХFsOpx) в локальных равновесиях Opx + OlOpx, по-видимому, может нарушаться и в ту и в другую сторону. Наилучшая сохранность характерна для равновесной ассоциации Spl1 + Opx1 + Ol, выделяемой для ранних средне- и грубозернистых агрегатов шпинелевых перидотитов, где во всех случаях ХFaOl > ХFsOpx, а температурные оценки наиболее высокие. Равновесия этих же минералов, выделяемые по принципу локальных ассоциаций микроагрегатов, обнаруживают более сложные вариации состава, вследствие наложения ретроградных процессов. Однако предсказуемое нарушение равновесия с перераспределением только Mg и Fe между Ol и Opx в результате низкотемпературных (400–750°С) преобразований (Aranovich, Berman, 1996) очень слабо влияет на результаты термометрии, основанной на растворимости Al в ортопироксене (Pattison, Begin, 1994; Aranovich, Berman, 1997). Так, в изучаемых перидотитах максимальный диапазон вариаций ХFaOl (0.084–0.094), выявлен в обр. 37L108-10. Колебания в пределах этого диапазона соответствуют искажению расчетной температуры в пределах ±15°С.
Полученные температурные оценки (табл. 2) для центральных частей зерен средне- и грубозернистых агрегатов (Opx1 + Spl1 + Ol) и краевых частей зерен с необластами (Opx2 + Spl2 + Ol) находятся в интервале 1150–1000°С и могут быть интерпретированы как температура “замораживания” твердо-пластического течения при переходе от адиабатического режима астеносферы к литосферному режиму кондуктивного охлаждения перидотитов (Suhr et al., 2008). По-видимому, дальнейшее остывание не могло привести к переуравновешиванию ассоциаций Opx1 + Spl1 + Ol и Opx2 + Spl2 + Ol. Предполагается, что такой переход с изменением физического состояния мантийного материала происходит при температурах 1100–1000°С (Nicolas, 2012). Оценки температур для шпинель-пироксеновых микроагрегатов (Opx3 + Spl3 + Ol) там, где можно было выделить локальные шпинель-ортопироксен-оливиновые ассоциации, находятся в интервале 1050–870°С. Температуры ниже 1000°С для Opx3 + Spl3, по-видимому, отражают позднюю локальную перекристаллизацию в литосферных условиях части микроагрегатов на краях зерен ортопироксена и в интерстициях.
Таблица 2.
Оценки температур по ортопироксен-шпинель-оливиновым ассоциациям
| Номер образца | Ортопироксен: № в ESM_4.xls | Шпинель: № в ESM_6.xls | Оливин ХFa | Ортопироксен ХFs | T,°C |
|---|---|---|---|---|---|
| Opx1 + Spl1 + Ol | |||||
| 107-12 | 1 | 222–223 | 0.094 | 0.092 | 1070 |
| 107-19 | 2 | 225 | 0.095 | 0.089 | 1150 |
| 108-01 | 9 | 227 | 0.089 | 0.083 | 1070 |
| 108-10 | 12–15 | 238–241 | 0.093 | 0.086 | 1050 |
| 108-10 | 16–18 | 228–230 | 0.093 | 0.088 | 1110 |
| 191-06 | 21–23 | 242–244 | 0.093 | 0.086 | 1080 |
| 248-06 | 25 | 245–246 | 0.092 | 0.083 | 1080 |
| 248-07 | 30 | 250 | 0.094 | 0.090 | 1120 |
| Opx2 + Spl2 + Ol | |||||
| 107-19 | 36 | 254–255 | 0.095 | 0.093 | 1060 |
| 191-06 | 46–47 | 260–262 | 0.093 | 0.088 | 1020 |
| Opx3 + Spl3 + Ol | |||||
| 107-19 | 59 | 281 | 0.095 | 0.090 | 950 |
| 107-19 | 57 | 285 | 0.095 | 0.089 | 1020 |
| 108-01 | 61 | 287 | 0.086 | 0.083 | 930 |
| 109-05 | 62–65 | 298–303 | 0.088 | 0.085 | 910 |
| 109-05 | 66 | 304–305 | 0.086 | 0.081 | 870 |
| 202-01 | 68–70 | 327 | 0.094 | 0.090 | 1050 |
| 248-06 | 76–77 | 336–337 | 0.091 | 0.091 | 940 |
Различия в составе пироксенов и шпинели во внутренних частях наиболее крупных зерен (Opx1, Cpx1, Spl1), по сравнению с краями этих зерен и необластами (Opx2, Cpx2, Spl2), а также по сравнению с шпинель-пироксеновыми микроагрегатами (Opx3, Cpx3, Spl3) проявлены в целом статистически, со значительным перекрытием полей (рис. 2, 3, 4, 7). Мы не рассматриваем изученные шпинель-пироксеновые агрегаты, в том числе симплектитовые, в качестве структур декомпрессионного распада граната, которые описаны в перидотитовых ассоциациях, не имеющих отношения к субокеаническим (например, Morishita, Arai, 2003; Falus et al., 2007; Odashima et al., 2008; Shimizu et al., 2008; Malaviarachchi et al., 2010; Obata, Ozava, 2011) по очевидным причинам: (1) несоответствие составу граната, (2) отсутствие аномального обогащения симплектитового клинопироксена (Cpx3) тяжелыми лантаноидами.
Установленная общая тенденция обогащения клинопироксена магматическими компонентами, такими как Ti, лантаноиды и Y (рис. 4в, 5), а шпинели цинком (рис. 7б) согласуется с представлениями о том, что наложенные шпинель-клинопироксеновые микроагрегаты могут быть следами взаимодействия перидотитов с интерстиционным расплавом при снижении P-Т условий. Температурные оценки согласуются с такими представлениями, поскольку подтверждают “замораживание” минеральных равновесий в средне- и грубозернистых агрегатах при температурах, характерных для перехода к режиму кондуктивного литосферного охлаждения (1150–1000°C).
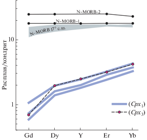
Если принять, что клинопироксен, наиболее обогащенный Ti, Gd, Dy, Y, Er и Yb, находился в локальных равновесиях с интерстиционным расплавом, то температуру таких равновесий следует оценить как >1000°С, поскольку значительное обогащение локально проявлено и в крупных зернах структурных ассоциаций Opx1 + Spl1 (рис. 5). Мы рассчитали возможные концентрации Gd, Dy, Y, Er и Yb в реакционном расплаве по равновесиям с клинопироксеном, используя модель распределения клинопироксен/расплав для безводных расплавов (Wood, Blundy, 1997) и ионные радиусы катионов из работы (Shannon, 1976). Расчеты произведены с составом Cpx3 из наиболее высокотемпературной локальной ассоциации Opx3 + Spl3 + Ol (1050°C, табл. 2), а также с тремя составами Cpx1, из наиболее обогащенных лантаноидами и титаном (“$Cpx_{{\text{1}}}^{*}$” на рис. 5а). Заданные условия: 1 ГПа, 1100°C. Расчетные концентрации элементов показывают исключительно деплетированный характер расплавов по сравнению с N-MORB как по абсолютным величинам, так и по наклону спектров (более низким отношениям Gd/Yb и Dy/Yb) (рис. 8). Если задать более высокую температуру равновесия клинопироксен/расплав (например, 1200°С), то таким образом можно немного увеличить расчетные концентрации Gd, Dy, Y, Er и Yb в расплаве, но соотношения с N-MORB принципиально не изменятся. В отличие от перидотитов, изученных на 15°39′ с.ш. САХ (Seyler et al., 2007), в ассоциациях из нашей работы не выявлено наложенное обогащение легкими лантаноидами, что может быть связано с более деплетированным геохимическим типом расплава. Сохранность микроструктурных следов взаимодействия перидотита с интерстиционным расплавом можно объяснить условиями астеносферно-литосферного перехода, при которых мощная холодная литосфера в медленно-спрединговых обстановках обеспечивает быстрое кондуктивное охлаждение с “замораживанием” минеральных равновесий и микроструктурных неоднородностей (Suhr et al., 2008).
Рис. 8.
Концентрации Gd, Dy, Y, Er и Yb в реакционном расплаве, рассчитанные по составу обогащенных Cpx1 и Cpx3 из наиболее высокотемпературной локальной ассоциации Opx3 + Spl3 + Ol. Для сравнения показаны обобщенные составы N‑MORB-1 и -2 (Sun, McDonough, 1989; Hofmann, 1988 соответственно). MORB 17° с.ш. – валовый состав базальтовых лав из НВП (см. рис. 1) в широтном интервале 17°06′–17°10′ с.ш. (В.Е. Бельтенев, неопубликованные данные). Концентрации элементов нормированы к хондриту С1 (Sun, McDonough, 1989).

Вместе с тем модель реакционного интерстиционного расплава (Seyler et al., 2007) порождает вопросы, ответы на которые неясны. Главный вопрос, по-видимому, заключается в происхождении расплава, реакционного по отношению к ортопироксену, но из которого способны кристаллизоваться клинопироксен и шпинель. По мнению М. Сейлер с соавторами (со ссылками на экспериментальные работы), такой расплав был, скорее всего, дополнительным глубинным продуктом частичного плавления лерцолитов в условиях шпинелевой или гранатовой фаций (Seyler et al., 2001). Если поступающий реакционный расплав имел более глубинное происхождение, то в каком соотношении он мог смешиваться с генерируемыми менее глубинными выплавками? Не ясно также, что и в какой степени повлияло на локальное обогащение клинопироксена и шпинели магматическими компонентами: поступление интерстиционного расплава или его частичная кристаллизация с началом охлаждения?
ЗАКЛЮЧЕНИЕ
В результате проведенной работы был впервые изучен выход серпентинизированных ультрабазитов на 17°04′–17°10′ с.ш. Срединно-Атлантического хребта, обнаженный в лежачем боку высокоамплитудного разлома растяжения. Ультрабазиты относятся к абиссальным шпинелевым перидотитам лерцолит-гарцбургитового состава. Состав первичной хромшпинели соответствует степени фракционного деплетирования 13–14%. Появление наложенных шпинель-пироксеновых микроагрегатов на фоне средне- и грубозернистой протогранулярной и порфирокластической матрицы может быть объяснено реакционным воздействием интерстиционного расплава с частичным растворением ортопироксена и кристаллизацией поздней шпинели и клинопироксена, что сопровождалось общим снижением в пироксенах примесей Al и Cr, в ортопироксене Ca, а в шпинели отношения Cr/Al. Влияние интерстиционного расплава проявилось также в тенденции обогащения минералов магматическими компонентами: клинопироксена Ti, лантаноидами и Y, а шпинели Zn. Взаимодействие с интерстиционным расплавом происходило в шпинелевой фации глубинности при температурах выше 1000°C и могло быть вызвано снижением P-Т условий в связи с переходом к литосферному режиму кондуктивного охлаждения с последующим “замораживанием” минеральных равновесий и структурных микронеоднородностей. Предполагаемый интерстиционный реакционный расплав был значительно обеднен несовместимыми элементами по сравнению с расплавами типа MORB.
Благодарности. Авторы высоко ценят консультации, оказанные Л.Я. Арановичем, а также признательны С.А. Силантьеву, Г.В. Ледневой и анонимному рецензенту за критический анализ первой версии статьи.
Источники финансирования. Работа выполнена в рамках Государственного задания ИГЕМ РАН по теме 0136-2018-0025 и при поддержке Российского фонда фундаментальных исследований (проекты № 18-05-00861 и № 18-05-00691). Экспедиционные работы (37-й рейс НИС “Профессор Логачев”) финансировало Федеральное агентство по недропользованию Министерства природных ресурсов и экологии Российской Федерации.
Список литературы
Аранович Л.Я. Минеральные равновесия многокомпонентных твердых растворов. М.: Наука, 1991. 387 с.
Аранович Л.Я., Косякова Н.А. Гранат-шпинелевый геотермометр для глубинных пород // Докл. АН СССР. 1980. Т. 254. № 4. С. 978–981.
Косякова Н.А., Аранович Л.Я., Подлесский К.К. Равновесия глиноземистой шпинели с ортопироксеном в системе FeO–MgO–Al2O3–SiO2: новые экспериментальные данные и термодинамические расчеты // Докл. АН. 2005. Т. 400. № 1. С. 78–82.
Перцев А.Н., Бортников Н.С., Аранович Л.Я. и др. Взаимодействие перидотит/расплав под Срединно-Атлантическим хребтом в переходных условиях шпинелевой и плагиоклазовой фаций: особенности перидотитов на 13° с.ш. // Петрология. 2009. Т. 17. № 2. С. 139–153.
Aranovich L.Y., Berman R.G. Optimized standard state and solution properties of minerals // Contrib. Mineral. Petrol. 1996. V. 126. № 1–2. P. 25–37.
Aranovich L.Y., Berman R.G. A new garnet-orthopyroxene thermometer based on reversed Al2O3 solubility in FeO–Al2O3–SiO2 orthopyroxene // Amer. Mineral. 1997. V. 82. P. 345–353.
Asimow P.D. A model that reconciles major- and trace-element data from abyssal peridotites // Earth Planet. Sci. Lett. 1999. V. 169. № 3–4. P. 303–319.
Botazzi P., Ottolini L., Vannucci R., Zanetti A. An accurate procedure for the quantification of rare earth elements in silicates // Eds. A. Benninghoven, Y. Nihei, R. Shimizu. Proceedings of the Ninth International Conference on Se-condary Ion Mass Spectrometry–SIMS IX. Chichester: John Wiley, 1994. P. 927–930.
Brunelli D., Cipriani A., Ottolini L. et al. Mantle peridotites from the Bouvet triple junction region, South Atlantic // Terra Nova. 2003. V. 15. № 3. P. 194–203.
Brunelli D., Seyler M., Cipriani A. et al. Discontinuous melt extraction and weak refertilization of mantle peridotites at the Vema lithospheric section (Mid-Atlantic Ridge) // J. Petrol. 2006. V. 47. № 4. P. 745–771.
Brunelli D., Paganelli E., Seyler M. Percolation of enriched melts during incremental open-system melting in the spinel field: A REE approach to abyssal peridotites from the Southwest Indian Ridge // Geochim. Cosmochim. Acta. 2014. V. 127. P. 190–203.
D’Errico M E., Warren J M., Godard M. Evidence for chemically heterogeneous Arctic mantle beneath the Gakkel Ridge // Geochim. Cosmochim. Acta. 2016. V. 174. P. 291–312.
Dick H.J., Fisher R.L., Bryan W.B. Mineralogic variability of the uppermost mantle along mid-ocean ridges // Earth Planet. Sci. Lett. 1984. V. 69. № 1. P. 88–106.
Dick H.J. Abyssal peridotites, very slow spreading ridges and ocean ridge magmatism // Geol. Soc. London. Spec. Publ. 1989. № 42. P. 71–105.
Falus G., Szabó C., Kovács I. et al. Symplectite in spinel lherzolite xenoliths from the Little Hungarian Plain, Western Hungary: A key for understanding the complex history of the upper mantle of the Pannonian Basin // Lithos. 2007. V. 94. № 1. P. 230–247.
Gasparik T. An internally consistent thermodynamic model for the system CaO–MgO–Al2O3–SiO2 derived primarily from phase equilibrium data // J. Geol. 2000. V. 108. P. 103–119.
Ghose I., Cannat M., Seyler M. Transform fault effect on mantle melting in the MARK area (Mid-Atlantic Ridge south of the Kane transform) // Geology. 1996. V. 24. № 12. P. 1139–1142.
Godard M., Jousselin D., Bodinier J.L. Relationships between geochemistry and structure beneath a palaeo-spreading centre: a study of the mantle section in the Oman ophiolite // Earth Planet. Sci. Lett. 2000. V. 180. № 1–2. P. 133–148.
Hellebrand E., Snow J.E., Dick H.J., Hofmann A.W. Coupled major and trace elements as indicators of the extent of melting in mid-ocean-ridge peridotites // Nature. 2001. V. 410. № 6829. P. 677–681.
Hellebrand E., Snow J.E., Hoppe P., Hofmann A.W. Garnet-field melting and late-stage refertilization in ‘residual’abyssal peridotites from the Central Indian Ridge // J. Petrology. 2002. V. 43. № 12. P. 2305–2338.
Hofmann A.W. Chemical differentiation of the Earth: the relationship between mantle, continental crust, and oceanic crust // Earth Planet. Sci. Lett. 1988. V. 90. P. 297–314.
Irving A.J., Frey F.A. Trace element abundances in megacrysts and their host basalts: Constraints on partition coefficients and megacryst genesis // Geochim. Cosmochim. Acta. 1984. V. 48. P. 1201–1221.
Johnson K.T.M., Dick H.J.B., Shimizu N. Melting in the oceanic upper mantle: an ion microprobe study of diopsides in abyssal peridotites // J. Geophys. Res.: Solid Earth. 1990. V. 95. № B3. P. 2661–2678.
Karson J.A., Lawrence R.M. Tectonic setting of serpentinite exposures on the western median valley wall of the MARK area in the vicinity of Site 920 // Proceedings-Ocean Drilling Program Scientific Results. National Science Foundation. 1997. P. 5–22.
Kelemen P.B., Shimizu N., Salters V.J.M. Focussed flow of melt in the upper mantle: Extraction of MORB beneath oceanic spreading ridges // Mineral. Magazine. 1994. V. A 58. P. 466–467.
Komor S.C. Abyssal peridotite from ODP Hole 670A (21°10' N, 45°02' W): Residues of mantle melting exposed by non-constructive axial divergence // Proceedings of the Ocean Drilling Program, Scientific Results. 1990. V. 106. P. 85–101.
Liermann H.P., Ganguly J. Fe2+-Mg fractionantion between orthopyroxene and spinel: experimental calibration in the system FeO–MgO–Al2O3–Cr2O3–SiO2, and application // Contrib. Mineral. Petrol. 2003. V. 145. P. 217–227.
MacLeod C.J., Searle R.C., Murton B.J. et al. Life cycle of oceanic core complexes // Earth Planet. Sci. Lett. 2009. V. 287. № 3–4. P. 333–344.
Malaviarachchi S.P. K., Makishima A., Nakamura E. Melt-peridotite reactions and fluid metasomatism in the upper mantle, revealed from the geochemistry of peridotite and gabbro from the Horoman Peridotite Massif, Japan // J. Pet-rology. 2010. V. 51. № 7. P. 1417–1445.
McCaig A.M., Cliff R.A., Escartin J. et al. Oceanic detachment faults focus very large volumes of black smoker fluids // Geology. 2007. V. 35. № 10. P. 935–938.
Michael P.J., Bonatti E. Petrology of ultramafic rocks from sites 556, 558 and 560 DSDP, Leg 82 // Init. Rep. Deep Sea Drilling Project. Wash. (DC): US Gov. print, off. Wash., 1985. V. 82. P. 523–528.
Morishita T., Arai S. Evolution of spinel–pyroxene symplectite in spinel–lherzolites from the Horoman Complex, Japan // Contrib. Mineral. Petrol. 2003. V. 144. № 5. P. 509–522.
Nicolas A. Structures of ophiolites and dynamics of oceanic lithosphere. Springer Science & Business Media, 2012. 367 p.
Niu Y., Langmuir C.H., Kinzler R.J. The origin of abyssal peridotites: a new perspective // Earth Planet. Sci. Lett. 1997. V. 152. № 1–4. P. 251–265.
Obata M., Ozawa K. Topotaxic relationships between spinel and pyroxene in kelyphite after garnet in mantle-derived peridotites and their implications to reaction mechanism and kinetics // Mineral. Petrol. 2011. V. 101. № 3–4. P. 217–224.
Odashima N., Morishita T., Ozawa K. et al. Formation and deformation mechanisms of pyroxene-spinel symplectite in an ascending mantle, the Horoman peridotite complex, Japan: An EBSD (electron backscatter diffraction) study // J. Mineral. Petrol. Sci. 2008. V. 103. № 1. P. 1–15.
O’Hara M.J., Richardson S.W., Wilson G. Garnet-peridotite stability and occurrence in crust and mantle // Contrib. Mineral. Petrol. 1971. V. 32. № 1. P. 48–68.
Pattison D.R., Bégin N.J. Zoning patterns in orthopyroxene and garnet in granulites: implications for geothermometry // J. Metamorphic Geology. 1994. V. 12. № 4. P. 387–410.
Petersen S., Kuhn K., Kuhn T. et al. The geological setting of the ultramafic-hosted Logatchev hydrothermal field (14°45′ N, Mid-Atlantic Ridge) and its influence on massive sulfide formation // Lithos. 2009. V. 112. № 1–2. P. 40–56.
Rampone E., Romairone A., Hofmann A.W. Contrasting bulk and mineral chemistry in depleted mantle peridotites: evidence for reactive porous flow // Earth Planet. Sci. Lett. 2004. V. 218. № 3–4. P. 491–506.
Reiners P.W. Reactive melt transport in the mantle and geochemical signatures of mantle-derived magmas // J. Petrol. 1998. V. 39. № 5. P. 1039–1061.
Seyler M., Toplis M.J., Lorand J.P. et al. Clinopyroxene microtextures reveal incompletely extracted melts in abyssal peridotites // Geology. 2001. V. 29. № 2. P. 155–158.
Seyler M., Cannat M., Mével C. Evidence for major-element heterogeneity in the mantle source of abyssal peridotites from the Southwest Indian Ridge (52° to 68° E) // Geochemistry, Geophysics, Geosystems. 2003. V. 4. № 2. https://doi.org/10.1029/2002GC000305
Seyler M., Lorand J.P., Dick H.J., Drouin M. Pervasive melt percolation reactions in ultra-depleted refractory harzburgites at the Mid-Atlantic Ridge, 15°20' N: ODP Hole 1274A // Contrib. Mineral. Petrol. 2007. V. 153. № 3. C. 303–319.
Shannon R. D. Revised effective ionic radii and systematic studies of interatomic distances in halides and chacogenides // Acta Crystallographica Section A. 1976. V. 32. P. 751–767.
Shimizu Y., Arai S., Morishita T., Ishida Y. Origin and significance of spinel–pyroxene symplectite in lherzolite xenoliths from Tallante, SE Spain // Mineral. Petrol. 2008. V. 94. № 1–2. P. 27–43.
Shimizu N., Hart S.R. Application of the ion microprobe to geochemistry and cosmochemistry // Annual Rev. Earth Planet. Sci. 1982. V. 10. P. 483–526.
Smith D.K., Escartín J., Schouten H., Cann J.R. Fault rotation and core complex formation: Significant processes in seafloor formation at slow-spreading mid-ocean ridges (Mid-Atlantic Ridge, 13°–15° N) // Geochemistry, Geophysics, Geosystems. 2008. V. 9. № 3. https://doi.org/10.1029/2007GC001699
Sobolev A.V. Melt inclusions in minerals as a source of principal petrological information // Petrology. 1996. V. 4. P. 228–239.
Stephens C.J. Heterogeneity of oceanic peridotite from the western canyon wall at MARK: results from site 920 // Proceedings of the Ocean Drilling Program, Scientific Results. 1997. V. 153. P. 285–303.
Suhr G. Melt migration under oceanic ridges: inferences from reactive transport modelling of upper mantle hosted dunites // J. Petrol. 1999. V. 40. № 4. P. 575–599.
Suhr G., Kelemen P., Paulick H. Microstructures in Hole 1274A peridotites, ODP Leg 209, Mid-Atlantic Ridge: Tracking the fate of melts percolating in peridotite as the lithosphere is intercepted // Geochemistry, Geophysics, Geosystems. 2008. V. 9. № 3. https://doi.org/10.1029/2007gc001726
Sun S.-s., McDonough W.F. Chemical and isotopic systematics of oceanic basalts: implications for mantle composition and processes // Eds. A.D. Saunders, V.J. Norry. Magmatism in the Ocean Basins, Geol. Soc. Spec. Publ. 1989. № 42. P. 313–345.
Walter M. J. Melt extraction and compositional variability in mantle lithosphere // Treatise on Geochemistry. 2003. V. 2. P. 363–393.
Wang J., Zhou H., Salters V. et al. Mantle melting variation and refertilization beneath the Dragon Bone amagmatic segment (53° E SWIR): Major and trace element compositions of peridotites at ridge flanks // Lithos. 2019. V. 324. P. 325–339.
Wood B.J., Blundy J.D. A predictive model for rare earth element partitioning between clinopyroxene and anhydrous silicate melt // Contrib. Mineral. Petrol. 1997. V. 129. P. 166–181.
Yoder H.S. Generation of basaltic magma. Washington, DC: National Academy of Sciences, 1976. p.
Дополнительные материалы
- скачать ESM_1.tiff
- Supplementary 1. ESM_1. Typical textural features of medium- and coarse-grained peridotite matrix. Abbreviations here and in Figs. ESM_2, ESM_3: Cpx – clinopyroxene; En – orthopyroxene; ex- mineral represented by alteration products; Ol – olivine; Spl – spinel. (A) serpentinite fragment with relict olivine and two-pyroxene intergrowths. (B) fragmented olivine grain. (C) orthopyroxene porphyroclast surrounded by two-pyroxene neoblasts. (D) clinopyroxene porphyroclast in aggregate of secondary minerals. (E) anhedral spinel grain in aggregate of secondary minerals after olivine. (F) euhedral spinel crystal within partly remained orthopyroxene. А-D transmitted light, crossed polars; Е – transmitted plain-polarized light; F – BSE. Samples: (A) 37L202-01; (B) 37L248-06; (C) 37L248-07; (D) 37L107-19; (E) 37L248-07; (F) 37L108-10.
- скачать ESM_2.tiff
- Supplementary 1. ESM_2. Diffferent-scale texture features of harzburgite 37L248-06. (A) medium-grained matrix, transmitted light in crossed polars; (B) anhedral spinel in medium-grained matrix, transmitted plane-polarized light; (C) overprinted spinel-pyroxene microaggregate, BSE.
- скачать ESM_3.tiff
- Supplementary 1. ESM_3. Overprinted spinel-pyroxene microaggregates in peridotites: (A) 37L248-06; (B) 37L202-01; (C) 37L109-05; (D) 37L202-01. (A) and (B) – transmitted plain-polarized light; (С) and (D) – BSE.
- скачать ESM_4.xls
- Supplementary 2. ESM_4.xls. Table. Orthopyroxene microprobe analyses.
- скачать ESM_5.xls
- Supplementary 2. ESM_5.xls. Table. Clinopyroxene microprobe analyses.
- скачать ESM_6.xls
- Supplementary 2. ESM_6.xls. Table. Spinel microprobe analyses.
- скачать ESM_7.xls
- Supplementary 2. ESM_7.xls. Table. Trace element analyses of clinopyroxene, SIMS.


