Петрология, 2020, T. 28, № 4, стр. 341-369
Состав ильменита как индикатор условий формирования промышленно-алмазоносных и безрудных кимберлитов Архангельской алмазоносной провинции
А. В. Каргин a, b, *, А. А. Носова a, b, Л. В. Сазонова c, Е. В. Пересецкая a, b, c, Ю. Ю. Голубева d, Н. М. Лебедева a, b, В. В. Третяченко e, В. А. Хвостиков f, Ж. П. Бурмий f
a Институт геологии рудных месторождений, петрографии, минералогии и геохимии РAН
Москва, Россия
b Институт геохимии и аналитической химии им. В.И. Вернадского РАН
Москва, Россия
c Московский государственный университет им. М.В. Ломоносова, Геологический факультет
Москва, Россия
d Центральный научно-исследовательский геологоразведочный институт
цветных и благородных металлов
Москва, Россия
e Вилюйская ГРЭ АК “АЛРОСА ” ПАО
Архангельск, Россия
f Институт проблем технологии микроэлектроники и особочистых материалов РАН
Черноголовка, Московская обл., Россия
* E-mail: kargin-igem@mail.ru
Поступила в редакцию 23.11.2019
После доработки 24.12.2019
Принята к публикации 29.12.2019
Аннотация
Для выявления механизмов образования кимберлитовых магм промышленно-алмазоносных и безрудных кимберлитов Архангельской алмазоносной провинции и роли Fe-Ti компоненты в этом процессе изучался состав ильменита из кимберлитов месторождения им. В. Гриба и безрудных кимберлитов трубок Степная (аномалия 688) и ЦНИГРИ-Архангельская (К3а), Кепинское поле. Установлено, что при переходе от высокоалмазоносных кимберлитов к безрудным в ильменитах происходит уменьшение концентраций Mg, Ti, Cr, Ni, Cu на фоне увеличения содержаний Fe (как Fe3+, так и Fe2+), Nb, Ta, Zr, Hf, Zn, V. Выявлено, что наиболее контрастно ильмениты различаются по содержанию Nb и Zr и их корреляции с Mg и Cr. В ильменитах из кимберлитов трубки им. В. Гриба содержание Zr не превышает 110 ppm, тогда как в ильменитах из кимберлитов Кепинского поля – более 300 ppm. Кристаллизация ильменита из кимберлитов трубки им. В. Гриба происходила в условиях увеличения фугитивности кислорода, что может быть связано с ассимиляцией метасоматизированных мантийных перидотитов, тогда как кристаллизация ильменита в безрудных кимберлитах Кепинского поля происходила в условиях постоянной фугитивности кислорода, а их состав контролировался, в первую очередь, процессами фракционной кристаллизации. Выявленные отличия хорошо согласуются с расчетными моделями фракционной кристаллизации и ассимиляции. Полученные результаты позволили предположить эволюцию кимберлитовых расплавов, объясняющую появление алмазоносных и безрудных кимберлитов. Кимберлитовые расплавы алмазоносных кимберлитов формировались на этапах становления магмопроводящей системы, когда расплавы интенсивно взаимодействовали с окружающей литосферной мантией. Такая ситуация могла возникнуть либо на ранних стадиях проработки транспортного канала, либо в условиях локального растяжения и быстрого подъема расплава, препятствовавшего кристаллизации фенокристов и обеспечившего подъем большого количества захваченного ксеногенного материала. Формирование расплавов безрудных кимберлитов Кепинского поля происходило тогда, когда литосферная мантия в зоне прохождения кимберлитовых расплавов была уже геохимически переуравновешена с ними либо в условиях, обеспечивших задержку в ходе подъема расплава и кристаллизацию фенокристов оливина и других фаз.
ВВЕДЕНИЕ
Кимберлиты – уникальные породы щелочно-ультраосновного магматизма, они имеют важное промышленное значение, являясь коренным источником алмаза. Их изучение вносит большой вклад в исследования мантии Земли. Состав кимберлитов широко варьирует и зависит от уровня мантийной и коровой контаминации, потери летучих и степени поздних преобразований, проходящих под воздействием собственной флюидной фазы, сопровождающей становление кимберлитовых тел (например, Mitchell, 1995; Price et al., 2000; Kopylova et al., 2007; Kamenetsky et al., 2012; Sparks, 2013 и ссылки в них). Исследования кимберлитов показывают, что оливин, гранат, флогопит, клинопироксен, ильменит и др. минералы, которые выносятся кимберлитами в виде отдельных кристаллов, сростков или их фрагментов, не кристаллизовались из кимберлитового расплава, сформировавшего трубку взрыва, а, возможно, представляют собой:
– дезинтегрированные фрагменты мантийных пород, которые претерпели многочисленные метасоматические преобразования под воздействием различных по составу агентов, в том числе и кимберлитов (например, Erlank et al., 1987; Griffin et al., 1999; Gregoire et al., 2003; Burgess, Harte, 2004; Костровицкий и др., 2013; Bussweiler et al., 2018 и ссылки в ней);
– ассоциацию минералов-мегакристов (кристаллов размером более 1 см, например, Boyd, Nixon, 1975; Mitchell, 1995), происхождение которых часто связывают с начальными или подготовительными этапами образования кимберлитовых магм (см. обзор в Kargin et al., 2017a; Bussweiler et al., 2018);
– антекристы – минералы, кристаллизовавшиеся из эволюционировавших кимберлитовых магм, не дошедших до поверхности и застывших на мантийных глубинах (например, Giuliani et al., 2014, 2016).
Эти минералы могут образовывать индивидуальные зерна, сростки и мантийные ксенолиты. Например, среди ксенолитов в кимберлитах широко распространены ильменит-пироксеновые симплектитовые сростки с графическими структурами, указывающими на котектическую кристаллизацию этих минералов (Rawlinson, Dawson, 1979), что было подтверждено экспериментально (Mitchell, 2004).
В контексте прогнозно-поисковой геологии эти минералы принято выделять как индикаторные минералы кимберлитового магматизма, а особенности их состава использовать для оценки промышленного потенциала кимберлитов (Gurney, Zweistra, 1995; Wyatt et al., 2004; Костровицкий и др., 2006; Гаранин и др., 2009; Carmody et al., 2014; Castillo-Oliver et al., 2017). Ильменит является одним из наиболее широко распространенных индикаторных минералов кимберлитов. В кимберлитах ильменит встречается в виде отдельных зерен различного размера (включая мегакристы), поликристаллических сростков, так называемых желваков, входит в состав различных мантийных и коровых ксенолитов, формирует сростки с другими минералами мегакристной ассоциации, а также включения в них и в алмазе (например, Boyd, Nixon, 1975; Moore, 1987; Sobolev et al., 1997; Kostrovitsky et al., 2004; Гаранин и др., 2009; Голубкова и др., 2013; Ashchepkov et al., 2014). Среди ксенолитов, содержащих ильменит, широко распространены:
– ильменитовые перидотиты, в которых ильменит может быть рассеян или образовывать прожилки; они могут трассировать этап ильменитового метасоматоза литосферной мантии (например, Саблуков et al., 2000; Moore, 1987; Ashchepkov et al., 2014; Castillo-Oliver et al., 2017; Xu et al., 2018) или быть кумулатами базитовых магм, формировавших крупные магматические провинции (например, Rehfeldt et al., 2007);
– мантийные жильные парагенезисы типа MARID (слюда–К-амфибол–рутил–ильменит–диопсид) и PIC (флогопит–ильменит–клинопироксен) (Dawson, Smith, 1977; Moore, 1987; Gregoire et al., 2003; Fitzpayne et al., 2018a, 2018b), или ильменит-флогопитовые (ильменитовые глиммериты) парагенезисы (например, Ashchepkov et al., 2014; Соловьева и др., 2019);
– полимиктовые брекчии (Zhang et al., 2001; Giuliani et al., 2013, 2014).
Считается, что кристаллы ильменита в кимберлитовой матрице, в том числе мегакристы, являются дезинтегрированными фрагментами более крупных желваков или фрагментами ильменитсодержащих мантийных ксенолитов (например, Moore, 1987; Ashchepkov et al., 2014; Castillo-Oliver et al., 2017; Xu et al., 2018).
При интерпретации природы ильменита в кимберлитах существует несколько подходов. Первый основан на том, что большая часть ильменита образовалась в ходе мантийного метасоматоза, протекавшего до внедрения кимберлитовых трубок (например, Castillo-Oliver et al., 2017; Xu et al., 2018 и ссылки в них), при этом этот метасоматоз не был связан с генерацией алмаза (Xu et al., 2018), а его связь с формированием кимберлитов не очевидна. Второй подход основан на том, что образование ильменита, в том числе в составе полимиктовых брекчий, связано с кимберлитовыми или протокимберлитовыми магмами (например, Moore, 1987; Giuliani et al., 2014; Ashchepkov et al., 2014; Fitzpayne et al., 2018a). A. Moore (1987) предположил, что ильменит мог быть сформирован в ходе кристаллизации кимберлитового расплава в виде пегматоидных жил или апофиз, сопровождающих основные объемы кимберлитовых магм на мантийных глубинах. В таком случае широкие вариации состава ильменита согласуются с моделями изобарической фракционной кристаллизации ильменита и других минералов мегакристной ассоциации (Moore, 1987; Moore et al., 1992).
Исследования состава ильменита также расшифровывают механизмы формирования кимберлитовых магм и их последующую эволюцию. Изучение ильменита из кимберлитов Якутии (Ashchepkov et al., 2014) показало несколько этапов эволюции кимберлитового расплава – от ранних стадий, на которых в мантии происходило формирование транспортного канала для подъема кимберлитовых расплавов при их взаимодействии с литосферной мантией и образования “высокотемпературных” перидотитов, по модели (Griffin et al., 1999), до поздних стадий, где ведущую роль играли процессы фракционной кристаллизации и ассимиляции мантийного вещества. Исследования ксенолитов мантийных полимиктовых брекчий из кимберлитов Южной Африки показывают, что ильменит мог образоваться в ходе кристаллизации из некоторого расплава, обогащенного Fe-Ti-Cr (Zhang et al., 2001), и закристаллизовавшегося в мантии. Таким расплавом мог быть кимберлитовый (Pokhilenko, 2009). Позже в работах (Giuliani et al., 2013, 2014) было показано, что такими расплавами были эволюционировавшие S, Fe-Ti, K – обогащенные кимберлитовые или протокимберлитовые расплавы.
Также важными для понимания источника агентов Fe-Ti мантийного метасоматоза и формирования ильменита являются ксенолиты MARID и PIC типа. Ксенолиты PIC типа могли сформироваться в ходе прогрессивного мантийного метасоматоза перидотитов, а их геохимические характеристики указывают на равновесие с кимберлитовыми расплавами (Gregoire et al., 2003; Fitzpayne et al., 2018a, 2018b). В свою очередь, содержащие ильменит ксенолиты типа MARID трассируют метасоматоз литосферной мантии под воздействием обогащенных водой расплавов (обзор в Fitzpayne et al., 2018a), которые могли образовываться в ходе субдукционных событий. Исследование ильменит-флогопитовых парагенезисов в мантийных ксенолитах из кимберлитов трубки Удачная, Якутия (Соловьева и др., 2019), показало, что ильменит является кумулятивным минералом остаточных низкотемпературных расплавов, образованных после кристаллизации основного объема низкохромистых мегакристов. Эти процессы проходили в ходе единого кимберлитообразующего цикла (Костровицкий и др., 2013; Соловьева и др., 2019).
Изучение состава мегакристов, в том числе ильменита, из кимберлитов трубки им. В. Гриба позволило предположить (Kostrovitsky et al., 2004), что высоко-Mg, -Cr, -Ti мегакристы имеют генетическую связь с кимберлитовыми расплавами. Вариации их состава объясняются с позиции эволюции кимберлитовых расплавов и метасоматического преобразования литосферной мантии (Костровицкий и др., 2013). Геохимические и изотопно-геохимические (Rb-Sr и Sm-Nd) исследования мегакристов ильменита из кимберлитов трубки им. В. Гриба (Голубкова и др., 2013) подтвердили их генетическую связь с протокимберлитовыми магмами.
В настоящей работе был изучен состав ильменита из кимберлитов месторождения им. В. Гриба и ксенолитов ильменитовых перидотитов из них, а также ильменит из весьма убого алмазоносных кимберлитов трубок ЦНИГРИ-Архангельская (К3а) и Степная (аномалия 688) Кепинского поля (все – Зимнебережный алмазоносный район Архангельской алмазоносной провинции, Россия). Охарактеризованы основные факторы, определяющие вариации состава ильменита, протестированы модели фракционной кристаллизации и ассимиляции, влияющие на состав ильменита, рассмотрена возможность использования состава ильменита в рамках оценки степени продуктивности кимберлитов, а также предложена модель эволюции расплавов для алмазоносных кимберлитов трубки им. В. Гриба и безрудных кимберлитов Архангельской алмазоносной провинции.
ГЕОЛОГИЧЕСКАЯ ПОЗИЦИЯ ОБЪЕКТОВ ИССЛЕДОВАНИЯ
Архангельская алмазоносная провинция (ААП) расположена в северной части Восточно-Европейского кратона (рис. 1) и включает в себя более 90 трубок взрыва и гипабиссальных тел кимберлитов и родственных щелочно-ультрамафических пород, включая щелочные пикриты, оливиновые мелилититы, ультрамафические лампрофиры – карбонатиты (Beard et al., 2000; Третяченко, 2008; Сазонова и др., 2015; Ларионова и др., 2016 и ссылки в них). Щелочно-ультрамафические породы ААП по составу принято разделять на две серии: (1) глиноземистую и (2) железо-титанистую (Саблуков и др., 2000; Кононова и др., 2007), которые по А.В. Лапину (2004) более целесообразно рассматривать как минералого-геохимические типы. Первая включает в себя кимберлиты, щелочные пикриты Золотицкого и Верхотинского полей (комплексов), а также фельдшпатоидные пикриты и оливиновые мелилититы Чидвинско-Ижмозёрского, Ненокского и Суксомского полей (рис. 1). Железо-титанистые кимберлиты и щелочные пикриты расположены в центральной и северной частях АПП (рис. 1) и включают в себя породы Черноозерского (трубка им. В. Гриба), Кепинского, Мегорского и Мельского полей. Алмазоносные кимберлиты ААП представлены глиноземистыми кимберлитами Золотицкого (месторождение им. М.В. Ломоносова) и железо-титанистыми кимберлитами Черноозерского (трубка им. В. Гриба) полей (Третяченко, 2008, 2018). По своим петрографическим, геохимическим и изотопно-геохимическим характеристикам породы Кепинского поля и трубки им. В. Гриба близки к кимберлитам группы 1 Южной Африки, тогда как кимберлиты Золотицкого поля имеют промежуточные изотопно-геохимические характеристики между кимберлитами группы 1 и 2 Южной Африки (Кононова и др., 2007).
Рис. 1.
Схематическая карта, демонстрирующая распределение девонских магматических пород северо-восточной части Восточно-Европейской платформы с положением проявлений щелочно-ультрамафического магматизма, согласно (Третяченко, 2008; Арзамасцев, Ву, 2014). Возрасты провинций указаны согласно (Арзамасцев, Ву, 2014; Ларионова и др., 2016). 1–4: докембрийская кора (Bogdanova et al., 2016): 1 – архейская кора, переработанная в пределах Лапландско-Кольского коллизионного орогена; 2 – палеопротерозойские вулканические пояса и осадочные бассейны (2.50–1.95 млн лет); 3 – палеопротерозойская кора (1.83–1.82 млн лет); 4 – авлакогены, внутрикратонные бассейны (1.50–0.70 млн лет).

Возраст внедрения алмазоносных кимберлитов составляет от 380 ± 2 до 375 ± 2 млн лет (Ларионова и др., 2016), что совпадает с наибольшим числом датировок щелочно-ультраосновных магматических комплексов Кольской щелочной провинции (379 ± ± 5 млн лет по (Арзамасцев, Ву, 2014)) (рис. 1), включая дайки щелочно-ультрамафических лампрофиров Кандалакши и Терского берега (Kramm et al., 1993). Возраст формирования безрудных кимберлитов ААП в настоящее время прецизионными изотопными методами не установлен. В обзоре (Ларионова и др., 2016) приводятся единичные Rb-Sr датировки для пород Кепинского поля 397 ± 1.2 млн лет и 393 ± 8 для пород Мельского поля (силлы реки Мела). Данные оценки возраста перекрываются с временем формирования долеритовых даек – 393 ± 5 млн лет (Арзамасцев, Ву, 2014), расположенных в северо-восточной части Кольской щелочной провинции (губа Ивановская). Геологические и фаунистические данные определяют очень широкий интервал формирования пород ААП: от раннего девона до раннего карбона (410–340 млн лет, Третяченко, 2008; Ларионова и др., 2016). Если безрудные кимберлиты Кепинского и Мельского полей действительно формировались раньше, чем алмазоносные кимберлиты Золотицкого поля и трубки им. В. Гриба, то в ААП имело место двухэтапное проявление щелочно-ультрамафического магматизма.
Кимберлитовая трубка им. В. Гриба
Трубка им. В. Гриба расположена в центральной части ААП (рис. 2). Кимберлиты прорывают осадочные породы неопротерозоя (Ediacaran) и перекрываются толщей терригенно-карбонатных пород среднего карбона и рыхлых четвертичных отложений. Мощность перекрывающих отложений – 67 м. Средняя мощность кратерных отложений – 110 м. В плане кимберлитовая диатрема имеет ромбовидно-округлую форму и размеры 570 × 480 м, площадь на уровне эрозионного среза – 16 га (рис. 3а). Верхняя диатремовая зона выполнена пирокластическими кимберлитовыми ксенотуфобрекчиями с большим количеством ксенолитов вмещающих неопротерозойских осадочных пород как в виде обломков, так и в тонкозернистом матриксе. Преобладающая часть диатремовой зоны сложена массивными пирокластическими кимберлитами с высокой долей магматических пирокластов (автолитов). Состав и строение трубки детально описаны в работах (Веричев и др., 2003; Кононова и др., 2007).
Рис. 2.
Схематическая карта центральной части Архангельской алмазоносной провинции (а) по (Третяченко, 2008) и детализированный фрагмент расположения изученных кимберлитов Кепинского поля (б) с использованием данных (Голубев и др., 2010). 1–5 – отложения платформенного чехла: 1 – терригенные отложения верхнего отдела венда (V2); 2–5 – перекрывающие кимберлитовые и родственные породы: 2–4 – терригенные и карбонатные отложения каменноугольной системы: 2 – нижнего отдела (С1), 3 – среднего отдела (С2), 4 – нерасчлененные верхнего и среднего отдела (С2–3), 5 – хемогенные и карбонатные породы нижнего отдела пермской системы (P1). 6 – положение кимберлитов и родственных пород под перекрывающими породами; 7 – контуры полей кимберлитов и родственных пород.

Рис. 3.
Схематические разрезы изученных трубок Архангельской алмазоносной провинции: (а) им. В. Гриба, по (Третяченко, 2008); (б) Степная, по (Кононова и др., 2007); (в) ЦНИГРИ-Архангельская, по (Голубев и др., 2010). 1 – вулканокластические, вулканогенно-осадочные и осадочные породы кратерной фации; 2, 3 – породы диатремовой фации: 2а – пирокластические кимберлиты, 2б – пирокластические кимберлиты с преобладанием ксеногенного материала, 3 – массивные пирокластические кимберлиты с высоким содержанием пирокластов (магмакластов). V2 – вмещающие терригенные толщи верхнего венда (неопротерозой), C2–3 – перекрывающие отложения среднего-верхнего карбона, Q – четвертичные отложения.

Кимберлиты трубки им. В. Гриба содержат большое количество мантийных ксенолитов. Среди ксенолитов наиболее распространены гранатовые перидотиты (в том числе с деформационными структурами), реже – гранатовые клинопироксениты и вебстериты, эклогиты, дуниты, ильменитовые перидотиты, флогопитовые перидотиты и клинопироксениты (Саблуков и др., 2000; Kostrovitsky et al., 2004; Щукина и др., 2012, 2015; Afanasiev et al., 2013; Голубкова и др., 2013; Сазонова и др., 2015; Kargin et al., 2016, 2017a, 2017b).
Алмазоносность пород диатремовой фации достигает 1.5 кар/т, содержание в них индикаторных минералов до 20 кг/т (Голубев и др., 2010). Ильменит часто преобладает над другими индикаторными минералами. Концентрация ильменита в породе может достигать 13.8 кг/т (Третяченко, 2008).
Кепинское поле
Кепинское поле включает 28 проявлений щелочно-ультрамафического магматизма, включая 19 трубок железо-титанистого типа (Голубев и др., 2010). Нами был изучен ильменит из трубки ЦНИГРИ-Архангельская (К3а) и трубки Степная (аномалия 688), расположенных в южной части Кепинского поля, 30 км восточнее месторождения им. Ломоносова (рис. 2). Кимберлитовые тела прорывают осадочные породы неопротерозоя, и перекрываются породами среднего и верхнего карбона и рыхлыми четвертичными отложениями. Мощность перекрывающих осадочных отложений составляет 50–80 м.
Трубка Степная (аномалия 688) в плане имеет овальную форму размером 300 × 800 м (рис. 3б). Бурение до глубины 400 м показало, что основная часть трубки сложена пирокластическими кимберлитовыми туфобрекчиями позднего этапа внедрения с высоким содержанием материала вмещающих пород верхнего венда и отсутствующих в современном разрезе нижнего палеозоя (Третяченко, 2008). Алмазоносность кимберлитов составляет около 0.06 кар/т (Голубев и др., 2010), при этом максимальная размерность установленных алмазов не выходит за пределы – 2 мм. Содержание индикаторных минералов достигает 14700 г/т (Голубев и др., 2010) при явном превалировании ильменита (ср. 4066 г/т) и низкой концентрации пиропа (ср. 116 г/т).
Трубка ЦНИГРИ-Архангельская (К3а) в плане округлой формы размером 425 × 350 м (рис. 3в). Трубка изучена до глубины 200 м, она имеет многофазное строение (Голубев и др., 2010). Преобладающая часть трубки представлена ранней фазой пирокластических кимберлитовых туфобрекчий с большим количеством (до 50%) ксенолитов вмещающих пород и пород нижнего палеозоя. Отмечаются редкие находки интенсивно измененных мантийных ксенолитов. Поздняя фаза представлена массивными пирокластическими кимберлитами. Алмазоносность кимберлитов составляет 0.056 кар/т при содержании индикаторных минералов 113 г/т (Голубев и др., 2010).
МЕТОДЫ ИССЛЕДОВАНИЯ
Ильмениты изучались в прозрачно-полированных шлифах во вмещающей породе и в эпоксидных шашках, куда монтировались зерна минерала, отобранные вручную под бинокулярным микроскопом из проб-протолочек, а также непосредственно из образцов керна посредством механического дезинтегрирования образцов керна и ручной сепарации мегакристов ильменита.
После изучения образцов методами оптической петрографии с использованием поляризационного микроскопа были проведены детальные петрографические исследования при помощи сканирующего электронного микроскопа “Jeol JSM-6480LV” с вольфрамовым термоэмиссионным катодом и энергодисперсионным анализатором “INCA-Energy 350” с Li-Si полупроводниковым детектором площадью 10 мм2 и сверхтонким окном ATW-2 в лаборатории локальных методов исследования вещества на кафедре петрологии Московского государственного университета им. М.В. Ломоносова.
Элементный состав ильменита изучался в лаборатории анализа минерального вещества Института геологии рудных месторождений, петрографии, минералогии и геохимии РАН (Москва) на электронно-зондовом микроанализаторе JXA-8200 фирмы Jeol, оснащенном пятью волновыми и одним энерго-дисперсионным спектрометрами. Анализ проводили при ускоряющем напряжении 20 кВ, силе тока зонда 20 нА, диаметре зонда 1–2 мкм. Время экспозиции на основные элементы составило 10 с, на примесные 20–40 с. Расчет поправок осуществляли по методу ZAF с применением программы фирмы JEOL. В качестве стандартов на основные элементы использовались соединения, близкие по составу к исследуемым фазам.
Содержание микроэлементов в ильменитах определялось методом масс-спектрометрии с ионизацией вещества в индуктивно-связанной плазме и лазерным испарением проб (LA-ICP-MS) в Институте проблем технологии микроэлектроники и особочистых материалов РАН (Москва) на масс-спектрометре ХSeries II (Thermo Scientific, США) с приставкой для лазерной абляции UP266 MACRO (New Wave Research, США). Анализировались зерна ильменита, предварительно изученные с помощью электронного микрозонда. Энергию импульса лазера и диаметр луча подбирали таким образом, чтобы, с одной стороны, обеспечить необходимую чувствительность измерений, а с другой – не допустить полного разрушения образцов за время анализа. На каждом образце проводили от 2 до 6 измерений с последующим усреднением результатов. Результаты, выходящие за пределы погрешности более 2σ, не учитывались. Погрешность определения составляла до 30%.
Для внешней градуировки по стандартным образцам NIST SRM-610–SRM-616 использовали, по возможности, два или более изотопа, свободных от полиатомных интерференций. При градуировке учитывали как сертифицированные значения содержания элементов в образцах, так и литературные данные по другим, не сертифицированным NIST элементам (Jochum et al., 2011). В качестве внутреннего стандарта использовали изотоп кремния 29Si, концентрации элементов вычисляли усреднением по всем изотопам с учетом их распространенности. Проверку правильности определения проводили сравнением результатов, полученных методом лазерной абляции, с результатами, полученными методом электронного зонда для тех же образцов в Институте геологии рудных месторождений, петрографии, минералогии и геохимии РАН. Детальное описание метода представлено в (Хвостиков и др., 2017).
ОБЪЕКТЫ ИССЛЕДОВАНИЯ
Ильменит в кимберлитах трубки им. В. Гриба встречается: (1) в виде дезинтегрированных зерен, варьирующих по размеру от микрокристов до мегакристов, и их сростков; (2) в составе мантийных ксенолитов – перидотитов (в том числе с деформационными структурами; (3) в парагенезисе с минералами мегакристной ассоциации: гранатом и ортопироксеном и (4) в виде небольших (менее 100 мкм) зерен основной массы кимберлита.
Относительно крупные (до 1–2 см) обособления ильменита (макрокристы, мегакристы, желваки) и их фрагменты, как правило, имеют изометричную или слабоудлиненную, угловатую или округлую, овальную форму (рис. 4а, 4б). Отношение длины к ширине обычно составляет ~2 : 1–3 : 1. Очертания границ мегакристов слабоволнистые или резко угловатые. Нередко мегакристы интенсивно трещиноваты, причем в некоторых образцах трещины подчеркивают изометрично-угловатую форму отдельных зерен ильменита, слагающих мегакристы. Часто трещины выполняются поздними высоко-Ba, -Sr фазами (рис. 4д), которые, как правило, формируются на поздних стадиях эволюции кимберлитового расплава (Lebedeva et al., 2020), также данные трещины трассируют полигональную структуру некоторых крупных зерен ильменита (рис. 4е). Встречаются мегакристы, являющиеся ядрами пирокластов. В кимберлитовом матриксе также присутствуют мелкие (порядка 1 мм) частицы ильменита обломочной формы, которые, вероятно всего, являются фрагментами более крупных кристаллов. В крупных зернах часто присутствуют серпентинизированные включения (до 0.5 см), которые могут представлять собой либо измененные включения захваченного кимберлитового (?) расплава на мантийных глубинах, либо поздние включения, связанные с транспортировкой в кимберлитовом расплаве, либо включения измененных перидотитовых фаз (рис. 4а).
Рис. 4.
Микрофотографии мегакристов ильменита (Ilm) в кимберлитовом матриксе (а–б) и шлифов ксенолитов ильменитовых (безгранатовых) перидотитов (в–г): (а) – мегакрист ильменита изометричной, слабоугловатой формы, обр. ГР1-609-2; (б) – мегакрист ильменита овальной формы в кимберлите с фрагментами серпентинизированных ксенолитов, предположительно, перидотитового парагенезиса, обр. ГР1-710-7; (в, г) – ильменит неправильной формы, образует кляксообразные, заливообразные выделения, узкие, но длинные апофизы, внедряющиеся в породу по границами зерен силикатных минералов; на рис. (е) содержание ильменита достигает 50 об. %, также виден механизм образования округлых включений серпентинового состава, по всей вероятности, фрагментов перидотита, которые широко распространены среди мегакристов ильменита, обр. ГР1-536-7 и ГР1-639-2 соответственно; (д–з) – микрофотографии мегакристов ильменита (д, е) и ксенолитов ильменитовых перидотитов (ж, з) в обратно-рассеянных электронах (BSE): (д) – трещины в мегакристе ильменита, выполненные высоко-Ba и -Sr фазами, обр. ГР1-704-2; (е) – полигональная микроструктура ильменита, трещины между отдельными полигональными зернами выполнены вторичными высоко-Ba и -Sr фазами, обр. ГР1-640-6; (ж) – ильменит формирует апофизы, сформированные по границам зерен силикатных минералов, предположительно оливина (Ol), замещенного серпентином; в ильмените присутствуют многочисленные включения полностью серпентинизированных зерен, которые по форме соответствуют оливину, при этом сам ильменит имеет полигональную микроструктуру и состоит из отдельных полигональных угловатых зерен, обр. ГР1-639-2; (з) – замещение ильменита (Ilm) рутилом (Rt) и титаномагнетитом (Mgt) по краям зерен, что может указывать на взаимодействие ильменита с кимберлитовым расплавом (Голубкова и др., 2013), обр. ГР1-639-2.

Ильменит широко распространен в ксенолитах безгранатовых перидотитов (дунитов). Часто силикатные минералы полностью изменены, превращены в агрегат серпентина, магнезиального хлорита, в меньшей степени карбоната, в связи с чем затруднительно оценить исходный состав ксенолита, однако по преобладанию серпентина можно предположить, что исходно ксенолиты имели дунитовый или гарцбургитовый состав. Ильменит имеет неправильную форму, образует заливообразные выделения, узкие длинные апофизы, внедряющиеся по границам зерен силикатных минералов (рис. 4в, 4г, 4ж). В ильмените присутствуют многочисленные включения полностью серпентинизированных зерен, которые по форме соответствуют оливину (рис. 4ж). Содержание ильменита в различных ксенолитах может достигать 70 об. %.
На изображениях в обратно-рассеянных электронах видно, что ильменитовые выделения в ксенолитах состоят из отдельных полигональных угловатых зерен (рис. 4ж), что может указывать на процессы перекристаллизации исходного ильменита. Размер отдельных зерен варьирует от 100 до 500 мкм. Подобные структуры характерны для ильменитов из мантийных ксенолитов, в том числе из ксенолитов полимиктовых брекчий (Zhang et al., 2001). В целом структурно-текстурные особенности изученных ксенолитов ильменитовых перидотитов (дунитов) весьма сходны с таковыми ксенолитов полимиктовых брекчий из кимберлитов провинции Кимберли, Южная Африка (Giuliani et al., 2013, 2014) и ксенолитов из трубки Удачная, Якутия (Pokhilenko, 2009). Как правило, в таких ксенолитах ильменит цементирует силикатные минералы. К сожалению, полное вторичное преобразование силикатных фаз в изученных ксенолитах не дает возможности провести детальное петрографическое сопоставление данных образцов с полимиктовыми брекчиями.
Крупные зерна ильменита обладают структурно-текстурным сходством с ильменитом из ксенолитов ильменитовых перидотитов, что позволяет рассматривать их как фрагменты ильменитовых жил и/или агрегатов ильменитовых зерен из таких ксенолитов.
Ильменит также широко присутствует в кимберлитах трубки им. В. Гриба в виде сростков с минералами мегакристной ассоциации (Kostrovitsky et al., 2004), но эти проявления в настоящей статье не обсуждаются, поскольку требуют дополнительного изучения других минералов мегакристной ассоциации.
В изученных кимберлитах Кепинского поля ильменит преобладает в виде отдельных зерен или их обломков в матриксе пород. Он представлен угловатыми по форме зернами с монолитным и агрегатным строением, с матированной или “шиповидной” поверхностями. Размер зерен колеблется от 0.4 до 4.0 мм. Ильменит из кимберлитов Кепинского поля был изучен из протолочек кимберлитовых проб.
РЕЗУЛЬТАТЫ ИССЛЕДОВАНИЯ
Составы изученных ильменитов представлены в Supplementary22 (ESM_1– ESM_3). В таблице 1 представлены статистические данные.
Таблица 1.
Средние значения состава изученного ильменита промышленно-алмазоносных кимберлитов трубки им. В. Гриба и безрудных кимберлитов трубок ЦНИГРИ-Архангельская, Степная (Кепинское поле)
| Компоненты | Кимберлиты трубки им. В. Гриба | Кимберлиты Кепинского поля | |||||||
|---|---|---|---|---|---|---|---|---|---|
| ксенокристы, включая мегакристы | ильменит из ксенолитов мантийных перидотитов | ||||||||
| среднее | ± | кол-во | среднее | ± | кол-во | среднее | ± | кол-во | |
| TiO2 | 52.98 | 0.56 | 172 | 52.65 | 0.49 | 235 | 51.82 | 1.53 | 63 |
| Al2O3 | 0.52 | 0.09 | 172 | 0.48 | 0.14 | 235 | 0.44 | 0.13 | 63 |
| Cr2O3 | 2.27 | 0.54 | 172 | 2.17 | 0.28 | 235 | 1.31 | 0.45 | 63 |
| Fe2O3 calc | 6.55 | 1.76 | 172 | 7.32 | 0.82 | 235 | 8.30 | 1.92 | 63 |
| FeO calc | 20.04 | 5.31 | 172 | 21.81 | 0.79 | 235 | 24.04 | 1.52 | 63 |
| V2O3 | 0.74 | 0.16 | 172 | 0.71 | 0.12 | 235 | 0.57 | 0.14 | 63 |
| MnO | 0.23 | 0.03 | 172 | 0.23 | 0.03 | 235 | 0.29 | 0.05 | 63 |
| MgO | 14.52 | 0.51 | 172 | 14.12 | 0.45 | 235 | 12.51 | 1.19 | 63 |
| NiO | 0.20 | 0.03 | 172 | 0.19 | 0.03 | 235 | 0.12 | 0.04 | 63 |
| Zr | 71 | 13 | 34 | 65 | 15 | 17 | 459 | 128 | 40 |
| Nb | 519 | 109 | 34 | 459 | 77 | 17 | 1317 | 430 | 40 |
Главные элементы. Все изученные ильмениты обладают высокими концентрациями MgO (более 10 мас. %), что позволяет отнести их к Mg‑ильменитам (пикроильменитам) (рис. 5). На классификационной диаграмме MgO–TiO2 (Wyatt et al., 2004) их составы попадают в поле ильменитов, связанных с кимберлитовым магматизмом (рис. 6а).
Рис. 6.
Распределение концентраций (мас. %) TiO2, MnO, Cr2O3, Al2O3, FeO, Fe2O3 относительно MgO. 1–3 – ильмениты из кимберлитов трубки им. В. Гриба: 1 – из ксенолитов мантийных перидотитов, 2 – из сростков с минералами (гранат, ортопироксен) низко-Cr мегакристной ассоциации (Peresetskaya et al., 2019), 3 – мегакристы и их фрагменты; 4, 5 – ильмениты из кимберлитов трубок Кепинского поля: 4 – Степная, 5 – ЦНИГРИ-Архангельская. На рис. (а) показана линия, разделяющая поля кимберлитовых и некимберлитовых ильменитов, согласно (Wyatt et al., 2004). Незалитые значки – составы ильменита, которые по петрографическим наблюдениям могли находиться в равновесии с кимберлитовым расплавом. Поля ильменитов из ксенолитов типа PIC (черный контур “PIC”) и ксенолитов полимиктовых брекчий (голубой контур “PB”) из кимберлитов провинции Кимберли, Южная Африка (Giuliani et al., 2013; Fitzpayne et al., 2018b). Розовым полем с треугольниками показаны составы ильменита из промежуточных коллекторов раннекаменноугольного возраста, расположенных вблизи кимберлитов Золотицкого поля (Afanasiev et al., 2013).

Изученные зерна ильменита из кимберлитов трубки им. В. Гриба близки по составу к ильменитам из ксенолитов мантийных перидотитов этой же трубки, с преобладающими значениями концентраций MgO от 14 до 15 мас. % (рис. 5а, 5б). Содержание Cr2O3 в них варьирует от 1.34 до 3.16 мас. % (рис. 6б) при среднем значении, равном 2.22 ± 0.41 мас. % (n = 409). Распределение фигуративных точек на диаграмме MgO–Cr2O3 (рис. 6в) согласуется с правой, “восстановительной”, ветвью “параболы Хаггерти” (Haggerty, 1975). Концентрации MnO и Al2O3 не имеют корреляционных связей с содержанием MgO и редко превышают 0.3 и 0.8 мас. % соответственно (рис. 6б, 6г). Содержание FeO в ильменитах уменьшается при увеличении MgO (рис. 6д). Концентрация Fe2O3 в ильменитах из мегакристов и перидотитовых ксенолитов, как правило, не коррелирует с концентрацией MgO, за исключением ильменита из парагенезиса с мегакристным гранатом, где содержание Fe2O3 положительно коррелирует с MgO (рис. 6е). По концентрации гейкилитового, ильменитового и гематитового миналов большинство изученных ильменитов попадают в поле 3 (рис. 7) ильменитов из включений в алмазе, а также неалмазоносных перидотитов, в том числе метасоматизированных и катаклазированных перидотитов, по классификации В.К. Гаранина (Гаранин и др., 2009).
Рис. 7.
Тройные диаграммы ильменит–гейкелит–пирофанит (а) и ильменит–гейкелит–гематит (б) для изученных ильменитов. 1–3 – ильмениты из кимберлитов трубки им. В. Гриба: 1 – из ксенолитов мантийных перидотитов, 2 – из сростков с минералами (гранат, ортопироксен) низко-Cr мегакристной ассоциации (Peresetskaya et al., 2019), 3 – мегакристы и их фрагменты; 4, 5 – ильмениты из кимберлитов трубок Кепинского поля: 4 – Степная, 5 – ЦНИГРИ-Архангельская. На рис. (б) поля ильменитов, согласно (Гаранин и др., 2009): 1 – включений в алмазах и алмазоносных перидотитов, 2 – алмазоносных лерцолитов и метасоматизированных перидотитов, 3 – включений в алмазе, неалмазоносных перидотитов, в том числе метасоматизированных и катаклазированных перидотитов, 4 – неалмазоносных перидотитов и энстатитов, 5 – неалмазоносных лерцолитов с графической структурой (ильменит-клинопироксеновые сростки), 6 – неалмазоносных пироксенитов, 10 – включений в зональных гранатах, сростков с ними и неалмазоносных перидотитов.

Для оценки факторов, определяющих широкую вариацию концентраций главных элементов нами были изучены профили изменения состава ильменита (рис. 8) на границе с (1) кимберлитом, (2) минералами перидотитовой ассоциации, замещенных серпентином, а также на границе с (3) высокотитанистым гранатом мегакристовой ассоциации. На контакте ильменита с кимберлитом происходит увеличение концентраций MgO, TiO2, Cr2O3, MnO, тогда как концентрации Fe2O3, Al2O3 резко уменьшаются (рис. 8а). На контакте ильменита с серпентином (рис. 8б), как правило, вариации по составу не наблюдаются. На контакте ильменита с зернами высоко-Ti граната из мегакристовой ассоциации (рис. 8в) происходит увеличение концентраций Cr2O3, Al2O3, FeO на фоне уменьшения концентраций MgO и Fe2O3, что хорошо согласуется с общим распределением фигуративных точек составов ильменитов на бинарных диаграммах (рис. 6).
Рис. 8.
Профили состава ильменита (Ilm): (а) – на контакте ильменита с кимберлитом, обр. ГР1-634-5; (б) – на контакте ильменита с серпентинизированными минералами перидотита (Serp), обр. ГР1-536-1; (в) – на контакте ильменита с высоко-Ti гранатом (Grt) из ассоциации минералов-мегакристов, обр. ГР1-624-5. Фотографии в обратно-рассеянных электронах.

Ильмениты из кимберлитов Кепинского поля характеризуются более широким диапазоном значений MgO (10–15 мас. %, от 35 до 51 мол. % гейкилитового минала), чем ильмениты из кимберлитов трубки им. В. Гриба (рис. 7). Среди ильменитов из кимберлитов Кепинского поля выделяется группа с низким содержанием MgO (около 11 мас. %) и 45–53 мол. % гейкилитового минала (рис. 7). Содержание Cr2O3 изменяется от 0.76 до 2.15 мас. % при среднем значении, равном 1.31 ± ± 0.45 мас. % (n = 64), что отличает их от ильменитов из кимберлитов трубки им. В. Гриба (рис. 6в). Распределение фигуративных точек на диаграмме MgO–Cr2O3 (рис. 6в) согласуется c центральной, “переходной” частью “параболы Хаггерти” (Haggerty, 1975). Концентрация MnO низкая (<0.45 мас. %), пирофанитовый минал не превышает 0.9 мол. % (рис. 7), что позволяет исключить преобразование ильменита на поздних этапах становления кимберлитовых трубок (например, Голубкова и др., 2013; Castillo-Oliver et al., 2017). Содержание MnO отрицательно коррелирует с концентрацией MgO (рис. 6б) и достигает 0.4 мас. %. Содержание Al2O3 снижается с уменьшением MgO от 0.6 до 0.2 мас. % (рис. 6г). В отличие от ильменита из кимберлитов трубки им. В. Гриба, изученные ильмениты из кимберлитов Кепинского поля характеризуются отрицательной корреляцией как FeO, так и Fe2O3 с содержанием MgO (рис. 6д, 6е).
Отметим, что на диаграмме MgO–Cr2O3 составы изученных ильменитов из двух полей имеют область перекрытия с диапазоном концентраций MgO от 13 до 14 мас. % и Cr2O3 от 1.5 до 2.0 мас. % (рис. 6в). Данная область соответствует составу ильменита из мантийных ксенолитов типа PIC и ксенолитов полимиктовых брекчий из кимберлитов провинции Кимберли, Южная Африка (Giuliani et al., 2013; Fitzpayne et al., 2018b). В целом составы изученных ильменитов из кимберлитов Кепинского поля перекрываются с составами ильменита из промежуточных коллекторов раннекаменноугольного возраста, расположенных вблизи кимберлитов Золотицкого поля ААП (Afanasiev et al., 2013).
Элементы-примеси. Концентрации редких элементов, таких как Nb, Ta, Zr, Ni, Zn, V, широко варьируют в изученных ильменитах и коррелируют с содержанием MgO (рис. 9): при понижении MgO концентрации Nb, Ta, Zr, Zn, V увеличиваются, тогда как концентрация Ni – уменьшается. Подобное поведение элементов-примесей в изученных ильменитах в целом сопоставимо с поведением данных элементов в Mg-ильменитах других мировых кимберлитовых проявлений (Moore et al., 1992; Ashchepkov et al., 2014; Castillo-Oliver et al., 2017). Отметим, что некоторые ильмениты из трубки им. В. Гриба характеризуются повышенными концентрациями высокозарядных элементов, на фоне пониженной Ni и высокой MgO (рис. 9), что отражает их переуравновешивание с кимберлитовым расплавом на поздних стадиях формирования кимберлитовых трубок (Castillo-Oliver et al., 2017).
Рис. 9.
Распределение концентраций Nb, Zr, Zn, V, Cu, Ni относительно MgO. 1, 2 – ильмениты из кимберлитов трубки им. В. Гриба: 1 – из ксенолитов мантийных перидотитов, 2 – мегакристы и их фрагменты; 3 – ильмениты из кимберлитов трубки Степная, Кепинское поле.

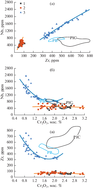
Изученные ильмениты из кимберлитов двух полей отчетливо отличаются по содержаниям Nb и Zr и типу корреляции редких элементов с MgO и/или Cr2O3 (рис. 9а, 9б и 10). Ильмениты из кимберлитов трубки им. В. Гриба имеют более низкие концентрации Nb и Zr, чем ильмениты из кимберлитов Кепинского поля. Стоит отметить наличие скачка относительно концентрации Zr между ильменитами двух полей: в ильменитах из алмазоносных кимберлитов трубки им. В. Гриба концентрация Zr не превышает 110 ppm, тогда как ильмениты из безрудных кимберлитов Кепинского поля характеризуются содержанием Zr более 300 ppm (рис. 10а). Уровень концентраций Nb и в меньшей степени Zr в наиболее магнезиальных и хромистых ильменитах из кимберлитов Кепинского поля (рис. 10) близок к таковому в ильменитах из мантийных ксенолитов типа PIC и ксенолитов полимиктовых брекчий из кимберлитов провинции Кимберли, Южная Африка (Giuliani et al., 2013; Fitzpayne et al., 2018b). В ильменитах из кимберлитов Кепинского поля по мере снижения содержаний Cr2O3 и MgO концентрации Nb и Zr возрастают (рис. 9, 10), тогда как для ильменитов из кимберлитов трубки им. В. Гриба корреляционные связи между Nb–Zr и Cr2O3–MgO практически отсутствуют (рис. 6в, 10). Ильмениты из кимберлитов трубки им. В. Гриба обладают меньшими концентрациями Cu при более высоких содержаниях Zn и Ni, чем ильмениты из кимберлитов Кепинского поля (рис. 9).
Рис. 10.
Распределение концентраций Nb, Zr и Cr2O3 в изученных ильменитах. 1, 2 – ильмениты из кимберлитов трубки им. В. Гриба: 1 – из ксенолитов мантийных перидотитов, 2 – мегакристы и их фрагменты; 3 – ильмениты из кимберлитов трубки Степная, Кепинское поле. Линиями показаны тренды изменения состава ильменитов из кимберлитов трубки им. В. Гриба (оранжевая линия) и ильменитов из кимберлитов Кепинского поля (синяя линия). Поля ильменитов из ксенолитов типа PIC (черный контур “PIC”) и ксенолитов полимиктовых брекчий (голубой контур “PB”) из кимберлитов провинции Кимберли, Южная Африка (Giuliani et al., 2013; Fitzpayne et al., 2018b).

P-T условия формирования ильменита и фугитивность кислорода
Исследования мантийных ксенолитов и мегакристов из кимберлитов ААП показали, что формирование ильменитов в составе мегакристовой ассоциации могло происходить в температурных интервалах от 910 до 1170°С (Голубкова и др., 2013), 1060–1140°С (Саблуков и др., 2009), 733–1194°С (Kostrovitsky et al., 2004), 930–1010°С (Afanasiev et al., 2013). Фугитивность кислорода для ильменитов из трубки им. В. Гриба при их кристаллизации в мантии (давление около 5.5–4.0 ГПа) оценивается в 0 до –2 ΔQFM (Afanasiev et al., 2013) и –3.9 ΔQFM (Голубкова и др., 2013), ΔQFM – сдвиг окислительно-восстановительных условий относительно буфера QFM в лог. ед. Далее изменение ильменита с кристаллизацией шпинели, перовскита, рутила, титаномагнетита происходило в температурном интервале от 1100 до 600°С и значения фугитивности, соответствующего диапазону +1.2 … +4.2 ΔQFM (Голубкова и др., 2013).
Формирование ильменитов из трубок Кепинского поля происходило при Т = 900–1250°С и фугитивности в интервале от –1 до –3 ΔQFM (Afanasiev et al., 2013) или при Т = 1000–1300°С (Саблуков и др., 2009), их позднее взаимодействие с кимберлитовым расплавом и посткимберлитовым флюидом протекало при Т = 1080–1170°С и fO2, соответствующей 0 … +3 ΔQFM (Голубкова и др., 2013). Таким образом, совокупность имеющихся оценок условий формирования ильменитов указывает на сходные значения fO2 для минералов из кимберлитов Кепинского поля и ильменитов из кимберлитов трубки им. В. Гриба.
Мы попытались приблизительно оценить значения fO2 при принятых выше температурах, используя диаграмму lgfO2–Fe2O3 в ильмените, основанную на рутил-ильменитовом оксибарометре (Tao et al., 2017), приняв во внимание возможное сосуществование ильменита и рутила в перидотитовых ксенолитах из кимберлитов трубки им. В. Гриба (Голубкова и др., 2013). Учитывая отсутствие прямых сонахождений ильменита и рутила, полученные данные надо рассматривать с осторожностью как максимальную оценку fO2. Полученные оценки для мегакристов Кепинского поля с содержанием Fe2O3 от 3.8 до 12.6 мас. % и мегакристов из трубки им. В. Гриба с содержанием Fe2O3 от 3.0 до 8.9 мас. % составили от –4 до –1.5 ΔQFM и от –4 до –2 ΔQFM соответственно. Таким образом, редокс-условия для ильменитов обоих объектов могли быть сходными, что подтверждается и очень близкими величинами Fe2O3/FeO отношения в ильменитах: среднее значение составляет 0.35 ± 0.8 для ильменита из кимберлитов Кепинского поля и 0.33 ± 0.5 для ильменита из трубки им. В. Гриба. Полученные оценки fO2 являются вполне типичными для кимберлитов, например, они хорошо соотносятся с оценками фугитивности кислорода в кимберлитах Lac de Gras (Канада) от –2.6 до –4.2 ΔQFM при Т = = 970–1140°С (Fedortchouk et al., 2005).
ОБСУЖДЕНИЕ РЕЗУЛЬТАТОВ
Исследования ильменитсодержащих мантийных ксенолитов из кимберлитов показывают, что формирование ильменита или Fe-Ti метасоматоз мантийных пород могут быть как связаны с кимберлитовым магматизмом, так и не иметь с ним явного генетического родства. С одной стороны, предполагается, что ксенолиты типа PIC являются одной из конечных стадий метасоматоза мантийных пород под воздействием кимберлитовых расплавов (Gregoire et al., 2003; Fitzpayne et al., 2018a и ссылки в них). Также связь ильменита с кимберлитовым расплавом предполагается и для полимиктовых брекчий, которые могут являться продуктом кристаллизации на мантийных глубинах кимберлитовых расплавов при формировании магматических каналов в литосферной мантии в ходе взаимодействия расплавов с литосферной мантией (например, Moore, 1987; Giuliani et al., 2013, 2014; Ashchepkov et al., 2014). С другой стороны, исследования ильменита из различных проявлений кимберлитового магматизма показывают, что существенная доля обогащенных ильменитом мантийных пород могла образоваться в ходе предшествующего кимберлитовому магматизму этапа мантийного метасоматоза (Rehfeldt et al., 2007; Castillo-Oliver et al., 2017; Xu et al., 2018), и только мегакристы ильменита кристаллизовались из кимберлитового (протокимберлитового) расплава в виде мономинеральных гигантозернистых агрегатов (желваков), сформированных в каналах и промежуточных камерах (Moore, 1987; Moore, Lock, 2001).
Полученное в ходе данных исследований перекрытие состава ильменита из мантийных ксенолитов с составами мегакристов ильменита, для кимберлитов трубки им. В. Гриба, не противоречит тому, что формирование индикаторных минералов-мегакристов и мантийный Fe-Ti метасоматоз являются частью единого петрологического процесса. Ранее проведенные геохимические и изотопно-геохимические исследования ильменита из трубки им. В. Гриба (Kostrovitsky et al., 2004; Голубкова и др., 2013), установившие тесную генетическую связь ильменита с протокимберлитовыми расплавами, показали, что состав ильменита можно использовать для расшифровки петрологических процессов эволюции кимберлитовых и\или протокимберлитовых расплавов.
В качестве основных факторов, влияющих на состав ильменита, рассматриваются (Moore, 1987; Moore et al., 1992; Гаранин и др., 2009; Afanasiev et al., 2013; Голубкова и др., 2013; Ashchepkov et al., 2014; Castillo-Oliver et al., 2017):
(i) процессы фракционной кристаллизации;
(ii) состав мантийного источника расплавов/флюидов и условия их генерации;
(iii) преобразование под воздействием кимберлитовых расплавов;
(iv) поздние изменения под воздействием постмагматических флюидов и метеорных вод.
Далее мы рассмотрим влияние первых двух факторов на различие в составе ильменита из алмазоносных и безрудных кимберлитов, а также оценим возможность использовать его состав как критерий оценки потенциальной алмазоносности кимберлитовых объектов ААП.
Модель фракционной кристаллизации и ассимиляции (AFC)
В работе (Afanasiev et al., 2013) на основании геохимии ильменита из кимберлитов ААП предполагается, что основными факторами, влияющими на их состав, могли быть процессы фракционной кристаллизации и ассимиляции литосферного материала. Корреляция большинства элементов с содержаниями MgO и Cr2O3 в изученных ильменитах (рис. 5–10) может указывать на роль процессов фракционной кристаллизации и ассимиляции (AFC) в генерации ильменита. Поскольку не исключено, что ильменит мог кристаллизоваться совместно с другими минералами (Moore et al., 1992), можно предположить несколько вариантов процесса AFC: 1) кристаллизация только ильменита; 2) совместная кристаллизация ильменита и других минералов, включая гранат, клинопироксен, ортопироксен, оливин; 3) кристаллизация минералов, сопровождающаяся взаимодействием расплавов с веществом литосферной мантии (модель AFC).
Влияние ильменита в процессе кристаллизации на содержания большинства элементов предполагается незначимым, поскольку количество выделившегося ильменита лимитируется содержанием Ti в расплаве. В таком случае кристаллизация первых процентов ильменита практически не скажется на концентрациях некогерентных элементов. Однако влияние на поведение когерентных элементов, например Nb, может быть существенным. Таким образом, в ходе фракционной кристаллизации ильменита будет происходить уменьшение концентрации Nb при умеренном увеличении концентрации Zr, поскольку коэффициент распределения – Kd ильменит/расплав для Nb > 1, тогда как Kd < 1 для РЗЭ и Zr, Hf (Moore et al., 1992; Zack, Brumm, 1998; Pilet et al., 2011).
В случае совместной кристаллизации с другими силикатными минералами мегакристной ассоциации, например с гранатом и/или клинопироксеном, эволюция состава расплава будет зависеть от валового коэффициента распределения минерал/расплав. Кристаллизация граната, клинопироксена и/или ортопироксена/оливина будет способствовать накоплению высокозарядных элементов, включая Nb и Zr в расплаве, поскольку Kd для этих элементов <1, что приведет к увеличению концентрации этих элементов в ильмените (рис. 11).
Рис. 11.
Диаграмма Nb–Zr с расчетными моделями AFC. 1, 2 – ильмениты из кимберлитов трубки им. В. Гриба: 1 – из ксенолитов мантийных перидотитов, 2 – мегакристы и их фрагменты; 3 – ильмениты из кимберлитов трубки Степная, Кепинское поле. Для расчетов были использованы следующие коэффициенты распределения минерал/порода: для ильменита (Ilm) согласно (Zack, Brumm, 1998), для граната (Grt) и клинопироксена (Cpx) согласно (Johnson, 1998), для ортопироксена (Opx) согласно (Pilet et al., 2011). В качестве ассимилированного вещества был выбран ортопироксен с коэффициентами распределения согласно (Pilet et al., 2011). Цифрами на модельных линиях показана доля расплава. Для ильменитов из кимберлитов Кепинского поля принята кристаллизация минералов мегакристного парагенезиса в следующих пропорциях: ильменит 5%, гранат 2%, клинопироксен 10% и ортопироксен/оливин 80%, при подчиненной роли процессов ассимиляции литосферного материала, в первую очередь ортопироксена (скорость ассимиляции r < 0.2). Для ильменитов из кимберлитов трубки им. В. Гриба были рассчитаны две модели AFC при высокой скорости ассимиляции литосферного материала, в первую очередь ортопироксена (скорость ассимиляции r = 0.9) со следующими параметрами: 1) фракционная кристаллизация минералов в пропорции: ильменит 10%, ортопироксен 10%, гранат 80%, что соответствует ассоциации ильменит-ортопироксен-гранатового ксенолита (Peresetskaya et al., 2019), 2) фракционная кристаллизация минералов в пропорции: ильменит 10%, ортопироксен/оливин 50%, клинопироксен 10%, гранат 30%.

Изученные кимберлиты характеризуются повышенными концентрациями не только ильменита, но также и других минералов-мегакристов, таких как гранат, клинопироксен, ортопироксен, оливин, флогопит (Саблуков и др., 2000; Kostrovitsky et al., 2004; Голубев и др., 2010; Сазонова и др., 2015; Kargin et al., 2016, 2017a). Наличие среди мантийных ксенолитов в кимберлитах трубки им. В. Гриба сростков ильменита с другими минералами-мегакристами (Kostrovitsky et al., 2004) позволяет предположить их совместную кристаллизацию.
Наиболее хромистые ильмениты из кимберлитов Кепинского поля обладают минимальными концентрациями Zr и Nb и характеризуются близостью по составу к ильменитам из ксенолитов PIC и полимиктовых брекчий (рис. 9, 10), что позволяет рассматривать их составы как наиболее ранние (примитивные). В таком случае увеличение концентраций Zr и Nb на фоне уменьшения содержаний MgO, NiO, Cr2O3 (рис. 5, 9, 10) соответствует модели совместной фракционной кристаллизации ильменита и минералов мегакристной ассоциации (Moore et al., 1992), включая гранат, клинопироксен, ортопироксен и/или оливин. Исходя из этого, была рассчитана возможная эволюция состава ильменита в кимберлитах Кепинского поля в ходе фракционирования силикатных минералов мегакристов (до 40%) при подчиненной роли процессов ассимиляции литосферного материала, главным образом ортопироксена (рис. 11). Необходимо отметить, что вариация доли кристаллизирующейся силикатной фазы не приводит к существенному сдвигу линии фракционирования.
В отличие от ильменита из кимберлитов Кепинского поля, ильменит из кимберлитов трубки им. В. Гриба не показывает значимой корреляции концентраций Zr и Nb с Cr2O3 или MgO (рис. 9, 10), что позволяет предположить дополнительный фактор, влияющий на эволюцию состава ильменита, такой как интенсивное взаимодействие кимберлитовых расплавов с литосферной мантией. Такие модели были рассчитаны для ильменитов из кимберлитов трубки им. В. Гриба (рис. 11). Они воспроизводят интенсивное взаимодействие кимберлитовых (протокимберлитовых) расплавов с литосферной мантией, что согласуется с исследованием ксенолитов мантийных перидотитов и минералов мегакристной ассоциации трубки им. В. Гриба (Kargin et al., 2016, 2017a) и является одним из основных механизмов прохождения кимберлитовых расплавов через литосферную мантию (Harte, 1983) при формировании магмопроводящего канала (Giuliani et al., 2014; Ashchepkov et al., 2014). Таким образом, фракционирование силикатных минералов в различных пропорциях (в основном изменение доли граната) может объяснить широкий разброс состава ильменита из кимберлитов трубки им. В. Гриба.
Расчеты моделей AFC показывают, что при формировании ильменита из безрудных кимберлитов Кепинского поля ведущую роль играли процессы фракционной кристаллизации ильменита и других индикаторных минералов (гранат, клинопироксен, ортопироксен, оливин), тогда как при формировании ильменитов из алмазоносных кимберлитов трубки им. В. Гриба – процессы фракционной кристаллизации совместно с интенсивной ассимиляцией вещества литосферной мантии.
Вопросы фугитивности кислорода
Чувствительность системы Fe–Ti–O к изменениям окислительного потенциала может быть использована в целях прогноза алмазоносности (например, Gurney et al., 1993), поскольку ильмениты из алмазоносных кимберлитов характеризуются, наряду с высоким содержанием MgO, низким содержанием Fe2O3, в отличие от ильменитов из безрудных кимберлитов (например, Gurney, Zweistra, 1995). Предполагается, что повышение окислительного потенциала приводит к растворению алмаза, которое может происходить как в мантии под воздействием окисленного флюида, так и в высокотемпературной транспортирующей магме (Fedortchouk, Zhang, 2011).
Исследования системы Fe–Ti–O (например, Haggerty, Tomkins, 1983; Gurney et al., 1993) показывают, что в системе ильменит–гейкелит–гематит существует область несмесимости (рис. 12), примыкающая к стороне MgTiO3–Fe2O3 и протягивающаяся к вершине FeTiO3 (Gurney et al., 1993). Соответственно, богатые Mg составы не могут содержать много гематитового минала (рис. 12). Кроме того, положение изобар фугитивности кислорода таково, что составы с низким-умеренным содержанием Fe2O3 и высоким – гейкилита, будут устойчивы в широком интервале значений fO2 (например, Haggerty, Tomkins, 1983). При низкой доле гейкилитового минала смесимость ильменита с гематитом не будет ограничена, поэтому происходит рост Fe3+ в низко-Mg составах. На положение поля кимберлитовых ильменитов на тройной MgTiO3–Fe2O3–FeTiO3 диаграмме также значительно влияет тройной сольвус (Haggerty, Tomkins, 1983; Gurney et al., 1993).
Рис. 12.
Тройные диаграммы FeTiO3–MgTiO3–Fe2O3 (ильменит–гейкелит–гематит) для изученных ильменитов (а) с детализацией для ильменитов из кимберлитов Кепинского поля (б), мегакристы ильменита и ильменит из безгранатовых перидотитов из кимберлитов трубки им. В. Гриба, (в) и ильменит в срастании с минералами мегакристной ассоциации из кимберлитов трубки им. В. Гриба (г). Черной точечной линией “Р” оконтурена область состава ильменита из ксенолитов типа PIC и ксенолитов полимиктовых брекчий из кимберлитов провинции Кимберли, Южная Африка (Giuliani et al., 2013; Fitzpayne et al., 2018b). Поле составов ильменитов из кимберлитов (пунктирная линия на рис. (а)) нанесено по (Gurney et al., 1993). Голубая стрелка “FC” показывает тренд фракционной кристаллизации ильменита из кимберлитов Кепинского поля. На диаграммы нанесены линии изобар fO2, согласно (Haggerty, Tomkins, 1983), зеленая точечная линия показывает положение изобары fO2, соответствующей окислительно-восстановительному буферу WM (вюстит–магнетит) при давлении 30 кбар и температуре 1300°С, оранжевая точечная линия показывает положение изобары fO2, соответствующей окислительно-восстановительному буферу EMOG (энстатит–магнезит–оливин–графит) при давлении 29.6 кбар и температуре 1230°С, по (Haggerty, Tomkins, 1983). Поля Splss + Pbss + Ilmss и Splss + Pbss по (Gurney et al., 1993) показывают область существования твердых растворов: шпинели, псевдобрукита и ильменита, а также шпинели и псевдобрукита соответственно.

Как следует из опубликованных данных и наших оценок, приведенных в разделе P-T условия формирования ильменита, ильмениты из обоих изученных кимберлитов характеризуются относительно близкими величинами Fe2O3/FeO отношения и fO2 при слабом повышении их значений для ильменитов из кимберлитов Кепинского поля. Однако на бинарных диаграммах (рис. 6 и 13), характеризующих распределение Fe2O3/FeO в изученных кимберлитах, составы ильменитов из кимберлитов Кепинского поля и трубки им. В. Гриба имеют ряд различий. Для ильменитов из кимберлитов Кепинского поля характерно увеличение содержания Fe2O3 при уменьшении концентраций MgO и TiO2, что соответствует замещению (1), которое характерно для кристаллизации ильменита основной массы кимберлитов и краевых частей мегакристов, согласно (Semytkivska, 2010):
(1)
${\text{M}}{{{\text{g}}}^{{2 + }}} + {\text{T}}{{{\text{i}}}^{{4 + }}} \to 2{\text{F}}{{{\text{e}}}^{{3 + }}}.$Рис. 13.
Распределение концентраций FeO и Fe2O3 в изученных ильменитах. 1–3 – ильмениты из трубки им. В. Гриба: 1 – из ксенолитов мантийных перидотитов, 2 – из сростков с минералами низко-Cr мегакристной ассоциации (Peresetskaya et al., 2019), 3 – мегакристы и их фрагменты. 4, 5 – ильмениты из трубок Кепинского поля: 4 – Степная, 5 – ЦНИГРИ-Архангельская. Голубая стрелка “FC” показывает тренд фракционной кристаллизации ильменита из кимберлитов Кепинского поля. Черной пунктирной линией “Р” оконтурена область состава ильменита из ксенолитов типа PIC и ксенолитов полимиктовых брекчий из кимберлитов провинции Кимберли, Южная Африка (Giuliani et al., 2013; Fitzpayne et al., 2018b).

В наиболее фракционированных ильменитах с низкой концентрацией MgO данное замещение выражено наиболее сильно, что приводит к увеличению значения отношения Fe2O3/FeO (рис. 13а). Дополнительно, отмеченное выше замещение (1) будет стабилизировать оксидную фазу относительно силикатов (Frost, 1991).
Составы ильменитов из кимберлитов трубки им. В. Гриба на данных диаграммах (рис. 13) образуют компактные поля и возрастание Fe2O3/FeO отношения происходит при постоянном содержании MgO (рис. 13а) и уменьшающемся TiO2 (рис. 13б) за счет механизма переноса заряда между Ti4+ и Fe2+ (Seda, Hearne, 2004).
Рассмотрение составов на диаграмме MgTiO3–Fe2O3–FeTiO3 (рис. 12) показывает, что тренды изменения состава ильменита из кимберлитов Кепинского поля в целом следуют вдоль изобар фугитивности кислорода, что не предполагает значительного увеличения значений fO2 в ходе их фракционной кристаллизации (рис. 12б). Ильмениты из кимберлитов разных трубок Кепинского поля, образуют параллельные тренды, соответствующие разным значениям fO2, что может свидетельствовать о том, что ильмениты из разных кимберлитов формировались в разных условиях. Компактное поле мегакристов ильменитов из трубки им. В. Гриба так же, как поле ильменита из безгранатовых перидотитов (рис. 12в), пересекает изобары fO2 в области, сдвинутой к стороне MgTiO3‒Fe2O3, что может указывать на формирование ильменита в условиях возрастания окислительного потенциала. Это поле перекрывает составы наименее фракционированных ильменитов из кимберлитов трубок Кепинского поля. В целом положение точек также может подчиняться поверхности сольвуса (рис. 12). Обращает на себя внимание положение поля ильменитов из сростков с минералами низко-Cr мегакристной ассоциации (гранат, ортопироксен), протягивающееся в область изобар с очень низкой фугитивностью кислорода, в отличие от мегакристов ильменита и ильменита из перидотитовых ксенолитов (рис. 12в). В последнем случае часть точек с низкими значениями fO2 попадают в область ильменита из ксенолитов полимиктовых брекчий или ксенолитов PIC типа. В области более высоких значений fO2 отмечается перекрытие состава ильменита разных типов из трубки им. В. Гриба и наименее фракционированных ильменитов Кепинского поля (рис. 12).
Использование состава ильменита как индикатора потенциальной алмазоносности кимберлитовых объектов ААП
Содержание TiO2 в валовых пробах кимберлитов и состав ильменита используются для оценки перспектив алмазоносности кимберлитовых объектов. Была показана отрицательная корреляция содержания TiO2 в валовых пробах кимберлитов и алмазоносности кимберлитов Якутии (Vasilenko et al., 2002) и та же закономерность обсуждалась для кимберлитов ААП (Кононова и др., 2007). В целом повышенную концентрацию TiO2 в кимберлитах можно рассматривать как их переход к айликитовым составам (например, Francis, Patterson, 2009). Поэтому пересмотр классификации щелочно-ультрамафических пород с привлечением данных не только по валовому составу, а также по породообразующим минералам позволяет более надежно выделить среди кимберлитов с высоким содержанием TiO2 разновидности, близкие к безрудным айликитам (Каргин и др., 2017).
В работе (Gurney, Zweistra, 1995) было предложено использовать для оценки продуктивности кимберлитовых трубок диаграмму MgO–Fe2O3 для ильменитов, на которой степень алмазоносности кимберлитов понижалась с увеличением содержания Fe2O3 и уменьшением MgO. Диаграмма основана на предположении, что ильмениты с более высоким содержанием Fe2O3 кристаллизовались в более окислительной среде, которая является негативным фактором для сохранности алмаза (Gurney, Zweistra, 1995; Kostrovitsky et al., 2004). Однако анализ состава ильменита из алмазоносных кимберлитов мировых проявлений показал, что данная модель не является универсальной (обзор в Castillo-Oliver et al., 2017). На диаграмме MgO–Fe2O3 (рис. 14а) фигуративные точки составов ильменитов из трубки им. В. Гриба так же, как и наиболее магнезиальные и примитивные ильмениты из кимберлитов Кепинского поля, попадают в поле кимберлитов с хорошо сохранными алмазами (т.е. в поле трубок с повышенной алмазоносностью). Большая часть составов ильменита из кимберлитов Кепинского поля в процессе фракционной кристаллизации смещается из поля I в поле II (рис. 14а), соответствующее составам умеренно-алмазоносных кимберлитов, что не согласуется с их природной весьма убогой алмазоносностью. Позиция ильменитов из кимберлитов трубки им. В. Гриба в поле I высокоалмазоносных кимберлитов соответствует их реальной алмазоносности. Таким образом, как было показано выше, рассмотрение содержания Fe2O3 в ильменитах без учета поведения других компонентов является недостаточным для оценки фугитивности кислорода и, соответственно, сохранности алмазов в кимберлитах.
Рис. 14.
Дискриминационные диаграммы Nb/Ta–Zr/Nb (а) и Fe2O3–MgO (б) для изученных ильменитов. 1–3 – ильмениты из трубки им. В. Гриба: 1 – из ксенолитов мантийных перидотитов, 2 – из сростков с минералами низко-Cr мегакристной ассоциации (Peresetskaya et al., 2019), 3 – мегакристы и их фрагменты; 4, 5 – ильмениты из трубок Кепинского поля: 4 – Степная, 5 – ЦНИГРИ-Архангельская. На рис. (а) поля ильменитов из кимберлитов с различным уровнем алмазоносности представлены согласно (Gurney, Zweistra, 1995): I – высокоалмазоносные, с отличной сохранностью алмаза, II – умеренно-алмазоносные, III – низкоалмазоносные, с плохой сохранностью алмаза, IV – безрудные. На рис. (б) поля ильменитов из кимберлитов Якутской провинции с различным уровнем алмазоносности представлены согласно (Carmody et al., 2014): I – высокоалмазоносные кимберлиты, II – низкоалмазоносные и безрудные кимберлиты. Голубым полем показаны составы ильменита из включения в алмазах из трубки Спутник, Якутская провинция (Sobolev et al., 1997).

В работе (Carmody et al., 2014) для оценки потенциальной алмазоносности используются концентрации редких элементов в ильменитах, таких как Zr, Hf, Nb, Ta (рис. 14б). Выяснилось, что ильмениты из алмазоносных кимберлитов Якутии обладают значениями Zr/Nb отношения более 0.37 и Nb/Ta менее 10 (Carmody et al., 2014). Изученные нами ильмениты из алмазоносных кимберлитов трубки им. В. Гриба по этим параметрам попадают в область безрудных кимберлитов. Под эти критерии также попадает большая часть состава ильменита из безрудных кимберлитов Кепинского поля (рис. 14б), которые имеют значения Zr/Nb больше, чем таковые для ильменитов из алмазоносных кимберлитов трубки им. В. Гриба. В работе (Castillo-Oliver et al., 2017) показано, что величина Zr/Nb может увеличиваться при возрастании степени взаимодействия ильменитов с кимберлитовыми расплавами, а не отражать более благоприятную для формирования алмаза среду. В нашем случае возрастание величины Zr/Nb отношения может являться следствием фракционной кристаллизации мегакристов. Таким образом, на диаграмме Zr/Nb–Nb/Ta изученные ильмениты из кимберлитов ААП с различной алмазоносностью показывают распределение, противоположное тому, которое было предложено авторами работы (Carmody et al., 2014). Сами авторы (Carmody et al., 2014) отмечают, что с большой вероятностью предложенная диаграмма может быть применима только для ильменитов из одной провинции.
Таким образом, с одной стороны, использование доступных диаграмм для оценки потенциальной алмазоносности кимберлитовых объектов по составу ильменита не коррелирует с природными концентрациями алмаза в изученных кимберлитах ААП. С другой стороны, проведенные исследования показали, что ильмениты из кимберлитов с различной степенью алмазоносности в пределах ААП различаются между собой по содержанию ряда главных и редких элементов, включая Cr, Ni, Nb, Zr, что может быть использовано как один из критериев оценки продуктивности кимберлитов в пределах ААП.
Одним из важных отличий является наличие скачка относительно концентрации Zr и в меньшей степени Nb между ильменитами из алмазоносных кимберлитов трубки им. В. Гриба и безрудных кимберлитов Кепинского поля (рис. 9, 10), что может отражать исходное различие в их источнике с последующей эволюцией равновесных ильмениту кимберлитовых расплавов. Данные различия могут быть связаны с вариацией источника алмазоносных и безрудных кимберлитов по содержанию карбонатной и водной компонент, поскольку Zr является крайне несовместимым элементом в карбонатитовых расплавах и накапливается в силикатных (Martin et al., 2013). Однако решение данного вопроса требует дополнительных петролого-геохимических исследований кимберлитов с различной степенью алмазоносности.
ЗАКЛЮЧЕНИЕ
Исследование ильменита из алмазоносных кимберлитов трубки им. В. Гриба (Черноозерское поле) и безрудных кимберлитов трубок ЦНИГРИ-Архангельская (К3а) и Степная (аномалия 688) (Кепинское поле) позволило установить основные отличия в их составе, отражающие различные пути эволюции кимберлитовых магм алмазоносных и безрудных кимберлитов. Выявленные закономерности можно использовать при оценке продуктивности кимберлитовых тел при проведении прогнозно-поисковых работ.
Было установлено, что ильмениты безрудных кимберлитов Кепинского поля отличаются от ильменитов из алмазоносных кимберлитов трубки им. В. Гриба меньшими концентрациями Mg, Ti, Cr, Ni, Cu на фоне увеличения содержаний Fe (как Fe3+, так и Fe2+), Nb, Ta, Zr, Hf, Zn, V. Изученные ильмениты из кимберлитов двух полей отчетливо отличаются по содержаниям Nb и Zr: ильмениты из кимберлитов трубки им. В. Гриба имеют более низкие концентрации этих элементов, чем ильмениты из кимберлитов Кепинского поля. Стоит отметить наличие скачка относительно концентрации Zr: в ильменитах из алмазоносных кимберлитов она не превышает 110 ppm, тогда как в ильменитах из безрудных кимберлитов – более 300 ppm.
Проведенное рассмотрение особенностей состава ильменита из кимберлитов Кепинского поля и трубки им. В. Гриба, которые контролируются окислительным потенциалом, позволяет отметить следующее:
(1) Величины lgfO2 при формировании ильменитов из обоих объектов различались не более чем на 1–2. Ильмениты из кимберлитов трубки им. В. Гриба кристаллизовались в условиях возрастания фугитивности кислорода: возможно, такой тренд может быть связан с ассимиляцией метасоматизированных окисленных мантийных перидотитов (например, Yaxley et al., 2017).
(2) Различный характер трендов состава ильменита в системе MgTiO3–Fe2O3–FeTiO3 указывает на разные механизмы, контролировавшие катионные замещения, в том числе и вхождение Fe3+ совместно с Fe2+ при сохранении величины Fe2O3/FeO отношения (уменьшение гейкилитового минала) в ильменитах из кимберлитов Кепинского поля. Замещения в ильменитах из кимберлитов трубки им. В. Гриба (уменьшение ильменитового минала) связаны, скорее всего, с процессами ассимиляции мантийных пород протокимберлитовым расплавом при генерации этих ильменитов.
Выявленные отличия хорошо согласуются с разными моделями фракционной кристаллизации и ассимиляции формирования ильменитов из кимберлитов различных полей: (1) при формировании ильменита из безрудных кимберлитов ведущую роль играли процессы фракционной кристаллизации как самого ильменита, так и других минералов (гранат, клинопироксен, ортопироксен, оливин) из расплавов; (2) состав ильменита из высокоалмазоносных кимберлитов контролировался процессами фракционной кристаллизации минералов-мегакристов и интенсивной ассимиляции вещества литосферной мантии.
Полученные результаты позволили предположить модель эволюции кимберлитовых расплавов, объясняющую появление алмазоносных и безрудных кимберлитов. Модель базируется на положении о том, что подъем кимберлитовых расплавов из зоны генерации на поверхность является сложным многостадийным процессом (например, Giuliani et al., 2014, 2016). Основной причиной многоактного характера продвижения кимберлитовых расплавов является то, что первичные щелочно-ультраосновные расплавы неравновесны как с астеносферной, так и с литосферной мантией (Kopylova et al., 2007; Yaxley et al., 2017), в связи с чем первые порции таких расплавов часто не достигают поверхности и кристаллизуются на мантийных глубинах (Pokhilenko, 2009; Giuliani et al., 2014, 2016). Для беспрепятственного быстрого подъема с больших мантийных глубин (с основания литосферной мантии) кимберлитовым расплавам необходима промежуточная подготовительная стадия, которая обеспечит равновесие между щелочно-ультраосновными расплавами и мантией, иными словами необходим этап подготовки мантийного канала, по которому будут подниматься следующие порции кимберлитовых расплавов (Giuliani et al., 2014; Ashchepkov et al., 2014). В качестве такой стадии можно рассматривать мантийный метасоматоз под воздействием ранних порций кимберлитовых расплавов, приведший к формированию гранатовых лерцолитов и минералов мегакристов (обзор в Kargin et al., 2016, 2017a; Bussweiler et al., 2018), с их последующим преобразованием во флогопитовые пироксениты (клинопироксен-флогопитовые породы) и породы типа PIC (Erlank et al., 1987; Gregoire et al., 2003; Kargin et al., 2017a; Fitzpayne et al., 2018a, 2018b). На этой стадии кимберлитовые расплавы интенсивно взаимодействуют с окружающей литосферной мантией, вследствие чего преобладают процессы ассимиляции литосферного материала (Костровицкий et al., 2013; Giuliani et al., 2014; Ashchepkov et al., 2014). Последующие порции кимберлитового расплава, проходящие через созданные ранее мантийные зоны, испытывали меньшее взаимодействие с окружающей литосферной мантией (например, Ashchepkov et al., 2014). Динамика прохождения расплавов через каналы магмоподводящей системы может определяться различными факторами, такими как: степень проработки транспортного канала, соотношениями режимов сжатия и растяжения в различных сегментах системы как во времени, так и в пространстве.
Базируясь на вышеуказанной модели, можно предположить, что кимберлитовые расплавы, образовавшие алмазоносные кимберлиты трубки им. В. Гриба, формировались на этапах становления магмопроводящей системы, когда кимберлитовые расплавы интенсивно взаимодействовали с окружающей литосферной мантией. Такая ситуация могла возникнуть либо на ранних стадиях проработки транспортного канала, либо в условиях локального растяжения и быстрого подъема расплава, препятствовавшего кристаллизации фенокристов и обеспечившего подъем большого количества захваченного ксеногенного материала. Этот вывод согласуется с особенностями состава ильменита, изученного в настоящей работе, а также с результатами проведенных ранее исследований мантийных ксенолитов перидотитового состава из кимберлитов трубки им. В. Гриба, которые указывают на несколько этапов мантийного метасоматоза (Kargin et al., 2016, 2017a), источником которого могли быть щелочно-ультрамафические расплавы, в том числе и кимберлиты.
Формирование расплавов безрудных кимберлитов Кепинского поля происходило тогда, когда литосферная мантия в зоне прохождения кимберлитовых расплавов была уже геохимически переуравновешена с ними либо в условиях, обеспечивших задержку в подъеме расплава и кристаллизацию фенокристов оливина и прочих фаз. Высокие температуры формирования граната ильменитового парагенезиса из кимберлитов Кепинского поля (Саблуков и др., 2009), указывающие на интенсивный расплавный метасоматоз мантийных пород, согласно модели (Griffin et al., 1999), согласуются с равновесием мантийного канала с кимберлитовыми расплавами при формировании безрудных кимберлитов, тогда как при формировании алмазоносных кимберлитов ААП предполагается умеренный характер проявления мантийного метасоматоза (Саблуков и др., 2009). Поскольку магматический канал во время подъема безрудных кимберлитовых расплавов был уже армирован новообразованными минеральными ассоциациями, равновесными с ними, эти расплавы проходили нижние, потенциально алмазоносные, глубинные горизонты литосферной мантии без интенсивного взаимодействия с ними.
Предложенная модель хорошо объясняет различия в составах ильменита и в изменении концентрации TiO2 в кимберлитах трубки им. В. Гриба и в кимберлитах Кепинского поля и позволяет связать их с уровнем алмазоносности пород. Также полученные данные указывают на безрудный характер кимберлитов и родственных пород Кепинского поля и могут быть использованы при оценке ореолов индикаторных минералов кимберлитов в промежуточных коллекторах раннекаменноугольного возраста на территории ААП. В то же время остается ряд неясных моментов, например таких, как более древний возраст кимберлитов Кепинского поля (Третяченко 2008, Ларионова и др., 2016) и связанный с ним вопрос о возможных нескольких импульсах формирования кимберлитов ААП. Требует объяснения практически полное отсутствие ильменита в кимберлитах Золотицкого поля ААП, алмазоносность которых достигает промышленного уровня. Являются ли они остаточными расплавами, которые были сформированы после генерации ильменитсодержащего мантийного парагенезиса или представляют собой уникальные исходные расплавы? Очевидно, что на многие вопросы будут найдены ответы, если будет определен состав первичного расплава/расплавов родоначальных для кимберлитов ААП и их последующая эволюция, а также проведены прецизионные геохронологические исследования возраста кимберлитов Кепинского поля.
Благодарности. Авторы благодарят И.С. Сагайдака и других сотрудников ТФГИ по СЗ ФО, г. Архангельск, руководство ОАО “Севералмаз” и лично А.С. Галкина, И.С. Зезина, А.Н. Гудина за разрешение и содействие в отборе образцов кимберлитов. Микрозондовые исследования ильменита выполнены благодаря Е.В. Ковальчук (ИГЕМ РАН). Авторы признательны И.В. Ащепкову и А.В. Гирнису за конструктивную критику, которая способствовала значительному улучшению статьи.
Источники финансирования. Исследования поддержаны грантом РНФ № 19-17-00024. Исследование ильменита из кимберлитовых объектов Кепинского поля выполнено при финансовой поддержке гранта Президента Российской Федерации для государственной поддержки молодых российских ученых МК-57.2019.5.
Список литературы
Арзамасцев А.А., Ву Ф.-Я. U-Pb геохронология и изотопная (Sr, Nd) систематика минералов щелочно-ультраосновных массивов Кольской провинции // Петрология. 2014. Т. 22. № 5. С. 496–515. https://doi.org/10.7868/S0869590314050021
Веричев Е.М., Гаранин В.К., Кудрявцева Г.П. Геология, состав, условия образования и методика разведки месторождений алмазов – кимберлитовой трубки им. В. Гриба (Архангельская алмазоносная провинция) // Геология рудн. месторождений. 2003. Т. 45. № 5. С. 387–414.
Гаранин В.К., Бовкун А.В., Гаранин К.В. и др. Микрокристаллические оксиды из кимберлитов России. М.: ГЕОС, 2009. 498 с.
Голубев Ю.К., Прусакова Н.А., Голубева Ю.Ю. Кепинские кимберлиты, Архангельская область // Руды и металлы. 2010. Т. 1. С. 38–44.
Голубкова А.Б., Носова А.А., Ларионова Ю.О. Мегакристы Mg-ильменита из кимберлитов Архангельской провинции (Россия): генезис и взаимодействие с кимберлитовым расплавом и посткимберлитовым флюидом // Геохимия. 2013. Т. 2013. № 5. С. 396–427. https://doi.org/10.7868/S0016752513030035
Каргин А.В., Голубева Ю.Ю., Демонтерова Е.И., Ковальчук Е.В. Петрографо-геохимическая типизация триасовых щелочно-ультрамафических пород севера Анабарского алмазоносного района, Якутия // Петрология. 2017. Т. 25. № 6. С. 547–580. https://doi.org/10.7868/S0869590317060036
Кононова В.А., Голубева Ю.Ю., Богатиков О.А., Каргин А.В. Алмазоносность кимберлитов Зимнебережного поля (Архангельская область) // Геология рудн. месторождений. 2007. Т. 49. № 6. С. 483–505.
Костровицкий С.И., Алымова Н.В., Яковлев Д.А. и др. Особенности химического состава пикроильменита из алмазоносных полей Якутской провинции // Докл. АН. 2006. Т. 406. № 3. С. 350–354.
Костровицкий С.И., Соловьева Л.В., Яковлев Д.А. и др. Кимберлиты и мегакристная ассоциация минералов, изотопно-геохимические исследования // Петрология. 2013. Т. 21. № 2. С. 143–162. https://doi.org/10.7868/S0869590313020052
Лапин А.В., Толстов А.В., Лисицын Д.В. Кимберлиты и конвергентные породы. М.: ИМГРЭ, 2004. 226 с.
Ларионова Ю.О., Сазонова Л.В., Лебедева Н.М. и др. Возраст кимберлитов Архангельской провинции: Rb‑Sr, 40Ar/39Ar изотопно-геохронологические и минералогические данные для флогопита // Петрология. 2016. Т. 24. № 4. С. 607–639. https://doi.org/10.7868/S0869590316040026
Саблуков С.М., Саблукова Л.И., Шавырина М.В. Мантийные ксенолиты из кимберлитовых месторождений округлых алмазов Зимнебережного района, Архангельская алмазоносная провинция // Петрология. 2000. Т. 8. № 5. С. 518–548.
Саблуков С.М., Саблукова Л.И., Гриффин В.Л. Распределение редких элементов в глубинных минералах кимберлитов как признак плюмовых процессов на севере Русской платформы // Глубинный магматизм, его источники и плюмы. IX Международный семинар. Под ред. Н.В. Владыкина. Миасс, Иркутск: Институт географии СО РАН, 2009. С. 135–170.
Сазонова Л.В., Носова А.А., Каргин А.В. и др. Оливин кимберлитов трубок Пионерская и им. В. Гриба (Архангельская алмазоносная провинция): типы, состав, происхождение // Петрология. 2015. Т. 23. № 3. С. 251–284. https://doi.org/10.7868/S086959031503005X
Соловьева Л.В., Костровицкий С.И., Калашникова Т.В., Иванов А.В. Природа флогопит-ильменитовых и ильменитовых парагенезисов в мантийных ксенолитах из трубки Удачная // Докл. АН. 2019. Т. 486. № 2. С. 223–227. https://doi.org/10.31857/S0869-56524862223-227
Третяченко В.В. Литолого-фациальная характеристика и палеографические условия формирования раннекаменноугольных промежуточных коллекторов Зимнебережного алмазоносного района // Проблемы прогнозирования и поисков месторождений алмазов на закрытых территориях: материалы конференции, посвященной 40-летию ЯНИГП ЦНИГРИ АК “АЛРОСА”. Якутск: Изд-во ЯНЦ СО РАН, 2008a. С. 125–131.
Третяченко В.В. Архангельская кимберлит – пикритовая область (особенности формационного состава, критериев алмазоносных кимберлитов // Материалы V Всероссийской научно-практической конференции с международным участием, посвященной 50-летию Алмазной лаборатории ЦНИГРИ – НИГП АК “АЛРОСА” (ПАО) “Эффективность геологоразведочных работ на алмазы”. Мирный: Акционерная компания “АЛРОСА”, 2018. С. 199–209.
Хвостиков В.А., Карандашев В.К., Бурмий Ж.П. Оптимизация условий анализа методом масс-спектрометрии с индуктивно-связанной плазмой и лазерным пробоотбором // Заводская лаборатория. Диагностика минералов. 2017. Т. 83. С. 13–20.
Щукина Е.В., Головин Н.Н., Мальковец В.Г., Похиленко Н.П. Минералогия и Р-Т параметры равновесия минеральных парагенезисов перидотитов из кимберлитовой трубки им. В. Гриба (Архангельская алмазоносная провинция) // Докл. АН. 2012. Т. 444. № 6. С. 660–665.
Щукина Е.В., Агашев А.М., Костровицкий С.И., Похиленко Н.П. Метасоматические изменения литосферной мантии в районе кимберлитовой трубки им. В. Гриба, Архангельская алмазоносная провинция // Геология и геофизика. 2015. Т. 56. № 12. С. 2153–2172. https://doi.org/10.15372/GiG20151204
Afanasiev V.P., Ashchepkov I.V., Verzhak V.V. et al. P-T conditions and trace element variations of picroilmenites and pyropes from placers and kimberlites in the Arkhangelsk region, NW Russia // J. Asian Earth Sci. 2013. V. 70–71. № 1. P. 45–63. https://doi.org/10.1016/j.jseaes.2013.03.002
Ashchepkov I.V., Alymova N.V., Logvinova A.M. et al. Picroilmenites in Yakutian kimberlites: variations and genetic models // Solid Earth. 2014. V. 5. № 2. P. 915–938. https://doi.org/10.5194/se-5-915-2014
Beard A.D., Downes H., Hegner E., Sablukov S.M. Geochemistry and mineralogy of kimberlites from the Arkhangelsk Region, NW Russia: Evidence for transitional kimberlite magma types // Lithos. 2000. V. 51. № 1–2. P. 47–73. https://doi.org/10.1016/S0024-4937(99)00074-2
Bogdanova S.V., Gorbatschev R., Garetsky R.G. EUROPE|East European Craton // Reference Module in Earth Systems and Environmental Sciences. Elsevier, 2016. P. 1–18.
Boyd F.R., Nixon P.H. Origins of the ultramafic nodules from some kimberlites of northern Lesotho and the Monastery Mine, South Africa // Phys. Chem. Earth. 1975. V. 9. № C. P. 431–454. https://doi.org/10.1016/0079-1946(75)90032-4
Burgess S.R., Harte B. Tracing lithosphere evolution through the analysis of heterogeneous G9-G10 garnets in peridotite xenoliths, II: REE chemistry // J. Petrol. 2004. V. 45. № 3. P. 609–633. https://doi.org/10.1093/petrology/egg095
Bussweiler Y., Pearson D.G., Stachel T., Kjarsgaard B.A. Cr‑rich megacrysts of clinopyroxene and garnet from Lac de Gras kimberlites, Slave Craton, Canada – implications for the origin of clinopyroxene and garnet in cratonic lherzolites // Mineral. Petrol. 2018. V. 112. № S2. P. 583–596. https://doi.org/10.1007/s00710-018-0599-2
Carmody L., Taylor L.A., Thaisen K.G. et al. Ilmenite as a diamond indicator mineral in the Siberian Craton: A tool to predict diamond potential // Econ. Geol. 2014. V. 109. № 3. P. 775–783. https://doi.org/10.2113/econgeo.109.3.775
Castillo-Oliver M., Melgarejo J.C., Galí S. et al. Use and misuse of Mg- and Mn-rich ilmenite in diamond exploration: A petrographic and trace element approach // Lithos. 2017. V. 292–293. P. 348–363. https://doi.org/10.1016/j.lithos.2017.09.021
Dawson J.B., Smith J.V. The MARID (mica-amphibole-rutile-ilmenite-diopside) suite of xenoliths in kimberlite // Geochim. Cosmochim. Acta. 1977. V. 41. № 2. https://doi.org/10.1016/0016-7037(77)90239-3
Erlank A.J., Waters F.G., Hawkesworth C.J. et al. Evidence for mantle metasomatism in peridotite nodules from Kimberley pipe, South Africa // Mantle Metasomatism. Ed. M. Menzies. San Diego, Calif., USA: Academic Press, 1987. P. 221–311.
Fedortchouk Y., Zhang Z. Diamond resorption: Link to metasomatic events in the mantle or record of magmatic fluid in kimberlitic magma? // Can. Mineral. 2011. V. 49. № 3. P. 707–719. https://doi.org/10.3749/canmin.49.3.707
Fedortchouk Y., Canil D., Carlson J.A. Dissolution forms in Lac de Gras diamonds and their relationship to the temperature and redox state of kimberlite magma // Contrib. Mineral. Petrol. 2005. V. 150. № 1. P. 54–69. https://doi.org/10.1007/s00410-005-0003-1
Fitzpayne A., Giuliani A., Hergt J. et al. New geochemical constraints on the origins of MARID and PIC rocks: Implications for mantle metasomatism and mantle-derived potassic magmatism // Lithos. 2018a. V. 318–319. P. 478–493. https://doi.org/10.1016/j.lithos.2018.08.036
Fitzpayne A., Giuliani A., Phillips D. et al. Kimberlite-related metasomatism recorded in MARID and PIC mantle xenoliths // Mineral. Petrol. 2018b. P. 1–14. https://doi.org/10.1007/s00710-018-0573-z
Francis D., Patterson M. Kimberlites and aillikites as probes of the continental lithospheric mantle // Lithos. 2009. V. 109. № 1–2. P. 72–80. https://doi.org/10.1016/j.lithos.2008.05.007
Frost B.R. Stability of oxide minerals in metamorphic rocks // Rev. Mineral. Geochemistry. 1991. V. 25. № 1. P. 469–488.
Giuliani A., Kamenetsky V.S., Kendrick M.A.A. et al. Oxide, sulphide and carbonate minerals in a mantle polymict breccia: Metasomatism by proto-kimberlite magmas, and relationship to the kimberlite megacrystic suite // Chem. Geol. 2013. V. 353. P. 4–18. https://doi.org/10.1016/j.chemgeo.2012.09.025
Giuliani A., Phillips D., Kamenetsky V.S. et al. Petrogenesis of mantle polymict breccias: Insights into mantle processes coeval with kimberlite magmatism // J. Petrol. 2014. V. 55. № 4. P. 831–858. https://doi.org/10.1093/petrology/egu008
Giuliani A., Phillips D., Kamenetsky V.S., Goemann K. Constraints on kimberlite ascent mechanisms revealed by phlogopite compositions in kimberlites and mantle xenoliths // Lithos. 2016. V. 240–243. P. 189–201. https://doi.org/10.1016/j.lithos.2015.11.013
Gregoire M., Bell D.R., Le Roex A.P. Garnet lherzolites from the Kaapvaal Craton (South Africa): Trace element evidence for a metasomatic history // J. Petrol. 2003. V. 44. № 4. P. 629–657. https://doi.org/10.1093/petrology/44.4.629
Griffin W.L., Shee S.R., Ryan C.G. et al. Harzburgite to lherzolite and back again: metasomatic processes in ultramafic xenoliths from the Wesselton // Contrib. Mineral. Petrol. 1999. V. 134. P. 232–250.
Gurney J.J., Zweistra P. The interpretation of the major element compositions of mantle minerals in diamond exploration // J. Geochemical Explor. 1995. V. 53. № 1–3. P. 293–309. https://doi.org/10.1016/0375-6742(94)00021-3
Gurney J.J., Helmstaedt H., Moore R.O.O. A review of the use and application of mantle mineral geochemistry in diamond exploration // Pure Appl. Chem. 1993. V. 65. № 12. P. 2423–2442. https://doi.org/10.1351/pac199365122423
Haggerty S.E. The chemistry and genesis of opaque mine-rals in kimberlites // Phys. Chem. Earth. 1975. V. 9. № C. P. 295–307. https://doi.org/10.1016/0079-1946(75)90024-5
Haggerty S.E., Tomkins L.A. Redox state of Earth’s upper mantle from kimberlitic ilmenites // Nature. 1983. V. 303. P. 295–300.
Harte B. Mantle peridotites and processes the kimberlite samples // Continental basalts and mantle xenoliths. Eds. C. Hawkesworth, M. Norry. Nantwich, Cheshire, UK: Shiva Publishing Ltd., 1983. P. 46–91.
Jochum K.P., Weis U., Stoll B. et al. Determination of refe-rence values for NIST SRM 610-617 glasses following ISO guidelines // Geostand. Geoanalytical Res. 2011. V. 35. № 4. P. 397–429. https://doi.org/10.1111/j.1751-908X.2011.00120.x
Johnson K.T.M. Experimental determination of partition coefficients for rare earth and high-field-strength elements between clinopyroxene, garnet, and basaltic melt at high pressures // Contrib. Mineral. Petrol. 1998. V. 133. № 1–2. P. 60–68. https://doi.org/10.1007/s004100050437
Kamenetsky V.S., Kamenetsky M.B., Golovin A.V. et al. Ul‑trafresh salty kimberlite of the Udachnaya–East pipe (Yakutia, Russia): A petrological oddity or fortuitous discovery? // Lithos. 2012. V. 152. P. 173–186. https://doi.org/10.1016/j.lithos.2012.04.032
Kargin A.V., Sazonova L.V., Nosova A.A., Tretyachenko V.V. Composition of garnet and clinopyroxene in peridotite xenoliths from the Grib kimberlite pipe, Arkhangelsk diamond province, Russia: Evidence for mantle metasomatism associated with kimberlite melts // Lithos. 2016. V. 262. P. 442–455. https://doi.org/10.1016/j.lithos.2016.07.015
Kargin A.V., Sazonova L.V., Nosova A.A. et al. Cr-rich cli-nopyroxene megacrysts from the Grib kimberlite, Arkhangelsk province, Russia: Relation to clinopyroxene–phlogopite xenoliths and evidence for mantle metasomatism by kimberlite melts // Lithos. 2017a. V. 292–293. P. 34–48. https://doi.org/10.1016/j.lithos.2017.08.018
Kargin A.V., Sazonova L.V., Nosova A.A. et al. Sheared peridotite xenolith from the V. Grib kimberlite pipe, Arkhangelsk Diamond Province, Russia: Texture, composition, and origin // Geosci. Front. 2017b. V. 8. № 4. P. 653–669. https://doi.org/10.1016/j.gsf.2016.03.001
Kopylova M.G., Matveev S., Raudsepp M. Searching for parental kimberlite melt // Geochim. Cosmochim. Acta. 2007. V. 71. № 14. P. 3616–3629. https://doi.org/10.1016/j.gca.2007.05.009
Kostrovitsky S.I., Malkovets V.G., Verichev E.M. et al. Megacrysts from the Grib kimberlite pipe (Arkhangelsk Province, Russia) // Lithos. 2004. V. 77. № 1–4. Spec. Is. P. 511–523. https://doi.org/10.1016/j.lithos.2004.03.014
Kramm U., Kogarko L.N., Kononova V.A., Vartiainen H. The Kola Alkaline Province of the CIS and Finland: Precise Rb‑Sr ages define 380–360 Ma age range for all magmatism // Lithos. 1993. V. 30. № 1. P. 33–44. https://doi.org/10.1016/0024-4937(93)90004-V
Lebedeva N.M., Nosova A.A., Kargin A.V., Sazonova L.V. Multi-stage evolution of kimberlite melt as inferred from inclusions in garnet megacrysts in the Grib kimberlite (Arkhangelsk region, Russia) // Mineral. Petrol. 2020 (In press). https://doi.org/10.1007/s00710-020-00704-0
Martin L.H.J., Schmidt M.W., Mattsson H.B., Guenther D. Element partitioning between immiscible carbonatite and silicate melts for dry and H2O-bearing systems at 1–3 Gpa // J. Petrol. 2013. V. 54. № 11. P. 2301–2338. https://doi.org/10.1093/petrology/egt048
Mitchell R.H. Kimberlites, Orangeites, and Related Rocks. Boston, MA: Springer US, 1995. 410 p.
Mitchell R.H. Experimental studies at 5–12 GPa of the Ondermatjie hypabyssal kimberlite // Lithos. 2004. V. 76. № 1–4. P. 551–564. https://doi.org/10.1016/j.lithos.2004.03.032
Moore A.E. A model for the origin of ilmenite in kimberlite and diamond: implications for the genesis of the discrete nodule (megacryst) suite // Contrib. Mineral. Petrol. 1987. V. 95. № 2. P. 245–253. https://doi.org/10.1007/BF00381274
Moore A.E., Lock N.P. The origin of mantle-derived megacrysts and sheared peridotites-evidence from kimberlites in the northern Lesotho – Orange Free State (South Africa) and Botswana pipe clusters // South African J. Geol. 2001. V. 104. № 1. P. 23–38. https://doi.org/10.2113/104.1.23
Moore R.O., Griffin W.L., Gurney J.J. et al. Trace element geochemistry of ilmenite megacrysts from the Monastery kimberlite, South Africa // Lithos. 1992. V. 29. № 1–2. P. 1–18. https://doi.org/10.1016/0024-4937(92)90031-S
Peresetskaya E.V., Kargin A.V., Sazonova L.V., Nosova A.A. Origin of high-Ti megacrysts from kimberlites: petrological and geochemical investigations of orthopyroxene-ilmenite-garnet association in xenoliths from the Grib kimberlite (Arkhangelsk, Russia) // Magmatism of the Earth and Related Strategic Metal Deposits. Moscow: VSEGEI, 2019. P. 228–232.
Pilet S., Baker M.B., Müntener O., Stolper E.M. Monte Carlo simulations of metasomatic enrichment in the lithosphere and implications for the source of alkaline basalts // J. Petrol. 2011. V. 52. № 7–8. P. 1415–1442. https://doi.org/10.1093/petrology/egr007
Pokhilenko N.P. Polymict breccia xenoliths: Evidence for the complex character of kimberlite formation // Lithos. 2009. V. 112. P. 934–941. https://doi.org/10.1016/j.lithos.2009.06.019
Price S.E., Russell J.K., Kopylova M.G. Primitive magma from the Jericho Pipe, N.W.T., Canada: Constraints on primary kimberlite melt chemistry // J. Petrol. 2000. V. 41. № 6. P. 789–808. https://doi.org/10.1093/petrology/41.6.789
Rawlinson P.J., Dawson J.B.J. A quench pyroxene-ilmenite xenolith from kimberlite: Implications for pyroxene-ilme-nite intergrowths // The Mantle Sample: Inclusion in Kimberlites and Other Volcanics. Washington D.C.: Amer. Geophysical Union, 1979. P. 292–299.
Rehfeldt T., Jacob D.E., Carlson R.W., Foley S.F. Fe-rich dunite xenoliths from South African kimberlites: Cumulates from Karoo flood basalts // J. Petrol. 2007. V. 48. № 7. P. 1387–1409. https://doi.org/10.1093/petrology/egm023
Seda T., Hearne G.R. Pressure induced Fe2+ + Ti4+→ Fe3+ + + Ti3+ intervalence charge transfer and the Fe3+/Fe2+ ratio in natural ilmenite (FeTiO3) minerals // J. Phys. Condens. Matter. 2004. V. 16. № 15. P. 2707–2718. https://doi.org/10.1088/0953-8984/16/15/021
Semytkivska N. Picro-Ilmenites: An experimental study in simple and complex systems to investigate P-T-fO2 composition relations at high pressures // A dissertation submitted to ETH ZURICH for the degree of Doctor of Sciences. ETH Zurich. 2010. DISS. ETH NO.18907.
Sobolev N.V., Kaminsky F.V., Griffin W.L. et al. Mineral inclusions in diamonds from the Sputnik kimberlite pipe, Yakutia // Lithos. 1997. V. 39. № 3–4. P. 135–157.
Sparks R.S.J. Kimberlite volcanism // Annu. Rev. Earth Planet. Sci. 2013. V. 41. № 1. P. 497–528. https://doi.org/10.1146/annurev-earth-042711-105252
Tao R.B., Zhang L.F., Stagno V. et al. High-pressure experimental verification of rutile-ilmenite oxybarometer: Implications for the redox state of the subduction zone // Sci. China Earth Sci. 2017. V. 60. № 10. P. 1817–1825. https://doi.org/10.1007/s11430-016-9082-5
Vasilenko V., Zinchuk N., Krasavchikov V. et al. Diamond potential estimation based on kimberlite major element chemistry // J. Geochemical Explor. 2002. V. 76. № 2. P. 93–112. https://doi.org/10.1016/S0375-6742(02)00219-4
Wyatt B.A., Baumgartner M., Anckar E., Grutter H. Compositional classification of “kimberlitic” and “non-kimberlitic” ilmenite // Lithos. 2004. V. 77. № 1–4. Spec. Is. P. 819–840. https://doi.org/10.1016/j.lithos.2004.04.025
Xu J., Melgarejo J.C., Castillo-Oliver M. Ilmenite as a recorder of kimberlite history from mantle to surface: examples from Indian kimberlites // Mineral. Petrol. 2018. P. 1–13. https://doi.org/10.1007/s00710-018-0616-5
Yaxley G.M., Berry A.J., Rosenthal A. et al. Redox preconditioning deep cratonic lithosphere for kimberlite genesis – evidence from the central Slave Craton // Sci. Rep. 2017. V. 7. № 1. P. 30. https://doi.org/10.1038/s41598-017-00049-3
Zack T., Brumm R. Ilmenite/liquid partition coefficients of 26 trace elements determined through ilmenite/clinopyro-xene partitioning in garnet pyroxenites // 7th International Kimberlite Conference. 1998. P. 986–988.
Zhang H.F., Menzies M.A., Mattey D.P. et al. Petrology, mineralogy and geochemistry of oxide minerals in polymict xenoliths from the Bultfontein kimberlites, South Africa: Implication for low bulk-rock oxygen isotopic ratios // Contrib. Mineral. Petrol. 2001. V. 141. № 3. P. 367–379. https://doi.org/10.1007/s004100100254
Дополнительные материалы
- скачать ESM_1.xlsx
- Supplementary 1. Таблица. Состав мегакристов ильменита из кимберлитов трубки им. В. Гриба.
- скачать ESM_2.xlsx
- Supplementary 2. Таблица. Состав ильменита из ксенолитов безгранатовых перидотитов из кимберлитов трубки им. В. Гриба.
- скачать ESM_3.xlsx
- Supplementary 3. Состав ильменита из кимберлитов Кепинского поля.



