Петрология, 2020, T. 28, № 3, стр. 227-253
Палеопротерозойские (1860 млн лет) мафические силлы I-типа в Мурманском кратоне, Северо-Восточная Фенноскандия: петрология и тектоника внутриплитного магматизма в период сборки суперконтинента Нуна
А. В. Степанова a, *, А. В. Самсонов b, Ю. О. Ларионова b, С. В. Егорова a, А. А. Арзамасцев c, Е. Б. Сальникова c, Р. В. Веселовский d, К. Г. Ерофеева b, М. В. Стифеева c
a Институт геологии КарНЦ РАН
185910 Петрозаводск, ул. Пушкинская, 11, Россия
b Институт геологии рудных месторождений, петрографии, минералогии и геохимии РАН
119017 Москва, Старомонетный пер., 35, Россия
c Институт геологии и геохронологии докембрия РАН
199034 Санкт-Петербург, наб. Макарова, д.2, Россия
d Институт физики Земли РАН им. О.Ю. Шмидта
123995 Москва, Большая Грузинская ул., 10, Россия
* E-mail: stepanov@krc.karelia.ru
Поступила в редакцию 25.10.2018
После доработки 12.05.2019
Принята к публикации 27.09.2019
Аннотация
Внутриплитные базиты Восточно-Мурманской провинции изучены в северной части Мурманского кратона, где они формируют пластообразные тела (силлы) мощностью до 100 м в архейских гранитоидах и гнейсах. Силлы имеют простое внутреннее строение, не имеют макроскопических признаков внутрикамерной дифференциации даже в крупных телах и сложены пойкилоофитовыми долеритами, слабо варьирующими по составу в телах разной мощности. Особенности внутреннего строения силлов позволяют относить их к I-типу, а вероятной причиной однородности тел является быстрая кристаллизация афировых магм. По химическому составу породы силлов близки к базальтам N-MORB, но контрастно отличаются от них по характеру распределения рассеянных элементов. Низкие концентрации Cr и Ni указывают на высокую степень фракционной кристаллизации в промежуточных камерах, а низкие концентрации HREE и HFSE позволяют предполагать образование первичных коматиитовых расплавов за счет высоких степеней плавления деплетированного мантийного источника. В зонах закалки силлов нет фенокристов, поэтому использование минералого-петрографических критериев оценки параметров кристаллизации в промежуточных камерах невозможно. Результаты моделирования петрогенетических процессов в программах alphaMELTs 1.9 и PRIMELT3 MEGA позволяют предполагать, что формирование первичных расплавов могло происходить при высоких степенях плавления в результате подъема высокотемпературного мантийного плюма, а последующая контаминация и фракционная кристаллизация происходили в среднекоровых промежуточных камерах. Изучение изотопного состава Nd и Sr в долеритах и слагающих их минералах показало, что при формировании силлов контаминация могла происходить в несколько этапов. Первый, наиболее значимый этап, вероятно, был связан с контаминацией основных расплавов архейскими тоналитами в промежуточных камерах в средней коре, что обеспечило отрицательные величины εNd и высокорадиогенный изотопный состав Sri (0.702–0.704) в долеритах. Второй этап – захват корового материала – фиксируется по широким вариациям изотопного состава Sr и Nd в валовых пробах и минералах, что происходило, вероятно, при латеральном движении расплавов в пологих трещинах отрыва в верхней коре. Третий этап – контаминация флюидом, обогащенным радиогенным 87Sr, устанавливается по резкому возрастанию величины Sri (до 0.708) в габбро-пегматитах при неизменном изотопном составе Nd. Такой флюид мог образоваться при дегидратации биотита во вмещающих архейских гранитоидах при прогреве мафическими магмами. Возраст, объем и петрогенетические характеристики силлов I-типа Мурманского кратона позволяют предполагать, что они формировались на периферии крупной магматической провинции Circum Superior, расположенной на Канадском щите. Это дает основание утверждать, что 1860 млн лет назад Мурманский кратон и провинция Сюьпериор были объединены в единый консолидированный литосферный блок, который послужил рамой для внутриплитных базитов и, вероятно, мог представлять раннее ядро палеопротерозойского суперконтинента Нуна.
ВВЕДЕНИЕ
Реконструкции тектонических режимов внедрения расплавов проводятся на основании анализа характера залегания, морфологии и внутреннего строения гипабиссальных магматических тел (Bell, Butcher, 2002; Coetzee, Kisters, 2017). Силлы являются одной из главных разновидностей верхнекоровых магматических камер, с ними связывают латеральное распространение расплавов в континентальной коре (Leat, 2008; Menand, 2011; Magee et al., 2016). Согласно классическим представлениям, мафические силлы формируют согласные тела в стратифицированных осадочных толщах, заполняя ослабленные зоны на границах слоев пород с разной реологией (Pollard, Johnson 1973; Airoldi et al., 2011). Вместе с тем известны субгоризонтальные тела базитов, секущих интрузивные массивные однородные гранитоиды и складчатые метаморфические комплексы. Формирование силлов в нестратифицированных породах может происходить в условиях сжатия (Stephens et al., 2017; Walker, 2016; Walker et al., 2017) и заполнения расплавами пологих ослабленных зон.
Силлы базитов часто связаны с крупными магматическими провинциями и маркируют раскол континентальной литосферы и процессы растяжения в верхней коре (Феррар, Кару, Северо-Атлантическая провинция (Neumann et al., 2013)). Наряду с мафическими дайками, силлы служат реперами при реконструкциях взаимного расположения блоков континентальной коры, разобщенных в ходе раскола и фрагментации суперконтинентов (Elliot, Fleming, 2000).
Силлы базитов интересны тем, что позволяют изучать процессы внедрения, кристаллизации и дифференциации базальтовых расплавов в верхней коре. Выделение силлов S-, D-, C-, M- и I-типов обусловлено контрастными различиями в трендах дифференциации в разрезах тел (Gibb, Henderson, 1992; Marsh, 1996; Latypov, 2003; Egorova, Latypov, 2013). Cиллы S-типа распространены наиболее широко (Latypov, 2003; Egorova, Latypov, 2013), в том числе известны и в северной части Фенноскандинавского щита (Ерофеева и др., 2019 и ссылки в этой работе), в то время как другие разновидности встречаются значительно реже (Galerne et al., 2010). Проведенные ранее исследования показали, что формирование разрезов S‑типа может происходить за счет гравитационной дифференциации фенокристов, содержащихся в поступавших в камеры магмах. Для пород зон закалки силлов S-типа характерно высокое содержание фенокристов. Было также показано, что в силлах I-типа, имеющих однородное строение, породы зон закалки не содержат фенокристов (Marsh, 1996; Latypov, 2003).
Цель настоящей работы – оценка причин появления в верхней коре однородных афировых базальтовых расплавов и условий формирования силлов I-типа на примере силлов пойкилоофитовых долеритов Восточно-Мурманской силловой провинции (ВМСП) (Veselovskiy et al., 2019), закартированных на обширной территории среди архейских гнейсов и гранитоидов Мурманского кратона. Силлы пойкилоофитовых долеритов ВСМП, в том числе Ивановский силл (Latypov, 2003), относятся к I-типу. Геохронологические и палеомагнитные исследования пород (Veselovskiy et al., 2019) показали, что формирование ВМСП происходило 1.86 млрд лет назад синхронно с заключительными стадиями развития палеопротерозойских Лапландско-Кольского (Lahtinen, Huhma, 2019) и Свекофеннского орогенов (Lahtinen et al., 2008). Формирование этих орогенов на Фенноскандинавском щите маркирует процессы амальгамации континентальных блоков в составе суперконтинента Нуна (Veselovskiy et al., 2019 и ссылки в этой работе). В настоящей статье обсуждаются вопросы петрологии, тектоники и геодинамики процессов формирования силлов ВСМП.
ГЕОЛОГИЧЕСКАЯ ПОЗИЦИЯ
Мурманский кратон расположен на северо-востоке Фенноскандинавского щита, при ширине 60–70 км протягивается на 600 км вдоль побережья Баренцева моря и представляет собой хорошо сохранившийся фрагмент архейской коры, отделенный от палеопротерозойского (1.98–1.85 млрд лет) Лапландско-Кольского орогена (Daly et al., 2006; Hölttä et al., 2008; Lahtinen et al., 2008) гранито-гнейсовыми комплексами Кольской провинции (рис. 1). Северную границу Мурманского кратона проводят в акватории Баренцева моря (Ранний докембрий …, 2005). Преобладающим типом пород в Мурманском кратоне являются архейские тоналит-трондьемит-гранодиоритовые гнейсы (ТТГ) с немногочисленными включениями вулканогенно-осадочных пород и интрузивные гранитоиды, представленные гнейсовидными эндербитами, диоритами, тоналитами, трондьемитами и массивными гранитами (Козлов и др., 2006). Возраст гранитоидов Мурманского кратона варьирует от 2.8 до 2.7 млрд лет (Козлов и др., 2006). Изучение основного магматизма на территории Мурманского кратона показало наличие пяти этапов формирования внутриплитных базитов: 2.68, 2.51, 1.98, 1.86 и 0.38 млрд лет назад (Арзамасцев и др., 2009; Федотов и др., 2012; Степанова и др., 2018). Наиболее поздний из раннедокембрийских этапов – 1.86 млрд лет представлен силлами пойкилоофитовых долеритов (Федотов и др., 2012; Veselovskiy et al., 2019), являющихся объектом исследования настоящей работы.
МЕТОДЫ ИССЛЕДОВАНИЙ
Изучено 49 образцов из 12 тел, вскрытых в береговых обнажениях на побережье Баренцева моря от губы Ярышная на западе до губы Савиха на востоке. Петрографическое изучение пород проводилось методами оптической микроскопии и на сканирующем электронном микроскопе TESCAN Vega II LSH с приставкой для энергодисперсионного рентгеноспектрального микроанализа Inca Energy-350 в Центре коллективного пользования Карельского научного центра РАН (ЦКП КарНЦ РАН, г. Петрозаводск). Состав минералов анализировался в напыленных углеродом (толщина напыления 20 нм) полированных шлифах при ускоряющем напряжении 20 кВ и постоянном токе электронного пучка 15 ± 0.05 нА. Рабочее расстояние – 15 мм, время накопления спектра – 70 с. При обработке спектров рентгеновского излучения проводилась оптимизация по спектрам простых соединений и стандартизация по набору эталонов породообразующих минералов. Ошибки измерений составили для концентраций свыше 10 мас. % – до 2 отн. %; 5–10 мас. % – до 5 отн. %; от 1 до 5 мас. % – до 10 отн. %.
Содержание петрогенных и редких элементов определялось на рентгенофлюоресцентном спектрометре последовательного действия PW-2400 (Philips Analytical B.V.) в Институте геологии рудных месторождений, петрографии, минералогии и геохимии РАН (ИГЕМ РАН, Москва). Анализ породообразующих элементов проводился в стекловатых дисках, полученных при сплавлении 0.3 г порошка пробы с 3 г тетрабората лития. Анализ микроэлементов выполнен из прессованных образцов. Потери при прокаливании определялись гравиметрическим методом. Точность анализа составляла 1–5 отн. % для элементов с концентрациями выше 0.5 мас. % и до 12 отн. % для элементов с концентрацией ниже 0.5 мас. %.
Концентрации редких и редкоземельных элементов определялись методом ICP-MS на приборе Thermo Scientific XSeries 2 в ЦКП КарНЦ РАН по стандартной методике (Светов и др., 2015). Разложение образцов проводилось путем кислотного растворения в открытой системе. Правильность анализа контролировалась путем измерения стандартных образцов BHVO-2, СГД-2А и внутрилабораторного стандарта 1412. Относительное стандартное отклонение по результатам измерений стандартных образцов для большинства элементов не превышало 5%, для Li составило 5.6%.
Выделение монофракций породообразующих минералов проводилось методами магнитной и плотностной сепарации в лаборатории анализа минерального вещества ИГЕМ РАН.
Изотопные Rb-Sr и Sm-Nd исследования выполнены в лаборатории изотопной геохимии и геохронологии ИГЕМ РАН. Химическая подготовка вещества для масс-спектрометрических измерений проведена по методике, описанной в (Ларионова и др., 2007). Измерения изотопных отношений проводились на масс-спектрометре Sector 54 (Micromass, Англия) в мультиколлекторном динамическом режиме с использованием трехленточного источника ионов (Thirlwall, 1991). Итоговая погрешность определения 143Nd/144Nd не превышает ±0.0022% с учетом воспроизводимости результатов по внутрилабораторному стандарту Nd-ИГЕМ 0.512400 ± 11 (2σед, N = 24), что соответствует значению 0.511852 в стандарте изотопного состава неодима LaJolla. Погрешность определения 147Sm/144Nd оценивается в ± 0.3% (2σед) по результатам измерения стандарта BCR-1. Отношение 87Sr/86Sr в стандарте SRM-987 за время измерительной сессии составило 0.710242 ± 15 (2σед, N = 31). Погрешность 87Rb/86Sr принята равной 1%.
ГЕОЛОГИЯ И ПЕТРОГРАФИЯ
Пологие тела, сложенные пойкилоофитовыми долеритами, обнажаются на побережье Баренцева моря от пос. Дальние Зеленцы до пос. Островной (рис. 1) (Арзамасцев и др., 2009). U-Pb датирование бадделеита из габбро-пегматита в силле в районе пос. Дальние Зеленцы определяет возраст кристаллизации этих базитов в 1860 ± 4 млн лет (Veselovskiy et al., 2019). Возраст бадделеита из габбро-пегматита силла губы Дворовая составляет 1863 ± 7 млн лет (Veselovskiy et al., 2019). Силлы варьируют по мощности от первых десятков сантиметров до 100 м. С определенной долей условности их можно разделить на тонкие (менее 1 м), маломощные (1–10 м) и крупные тела (> 10 м). Маломощные силлы во многих случаях вскрыты в обнажениях от кровли до подошвы (рис. 2, 3), в то время как крупные тела эродированы по разрезу фрагментарно. Силлы пойкилоофитовых долеритов характеризуются хорошей сохранностью первичных магматических минералов. Наложенные преобразования проявлены локально и связаны, вероятно, с термальным воздействием девонского магматизма. Амфиболитизированные долериты зафиксированы в маломощных силлах пос. Дальние Зеленцы и губ Ивановка и Дроздовка. Условия метаморфизма не превышали таковых для зеленосланцевой фации.
Рис. 2.
Геологическая позиция и петрографические особенности тонких силлов пойкилоофитовых долеритов: (a) – секущий контакт силла и вмещающих архейских тоналитовых гнейсов, пос. Дальние Зеленцы (обн. Са-563); (б) – долерит из центральной части тонкого силла (обр. Са-562-5, пос. Дальние Зеленцы), в проходящем свете; (в–д) – изображения в BSE: (в) – долерит из тонкого силла (обр. Са-563-1), (г, д) – детали (б).

Рис. 3.
Геологическое строение и петрографические особенности маломощных силлов пойкилоофитовых долеритов. (а) – разрез силла, вскрытый в вертикальной стенке, обн. Са-633, губа Дроздовка, точка показывает положение обр. Са-633-3; (б) – ойкокрист клинопироксена, обр. Са-633-3; (в) – деталь (б), включение оливина в клинопироксене; (г) – низко-Mg оливин в межойкокристовом пространстве, обр. Са-633-3.

Силлы мощностью менее 1 м – это субгоризонтальные тела с прямолинейными контактами, их мощность выдержана по простиранию на протяжении десятков метров. Силлы секут архейские тоналитовые гнейсы и гранитоиды (рис. 2а), отличаются отсутствием апофиз. В контактовых зонах нет диагностируемых макроскопически экзоконтактовых изменений и рассланцевания в плоскости контакта. Тонкие силлы полностью сложены тонкозернистыми афировыми массивными породами офитовой с элементами пойкилоофитовой структуры (рис. 2б). Плагиоклаз, формирующий основной структурный мотив породы, образует зональные лейсты, центральные части которых сложены An80–78, а краевые имеют состав An43. Интерстиции выполнены авгитом (XMg = 0.66–0.75), ортопироксеном (XMg = 0.60), оливином (Fo60), кварцем, ильменитом и титаномагнетитом Suppl. 1. (ESM_1.pdf)22.
Силлы мощностью от 1 до 10 м представляют собой субгоризонтальные или пологие (до 20°) тела (рис. 3а) и характеризуются простым внутренним строением: зоны закалки аналогичны по составу тонким силлам, центральные части тел однородны и сложены мелко-среднезернистыми массивными долеритами пятнистой (горошчатой) текстуры. Светлые пятна (рис. 3б) представляют собой срастания мелких ойкокристов авгита (XMg = 0.77–0.80) и пижонита (XMg = 0.78), содержащие хадакристы плагиоклаза (An79–63) и мелкие ксеноморфные зерна оливина (Fo72–70) (рис. 3б, 3в). В краевых частях ойкокристов магнезиальность авгита снижается до 0.66. Ойкокристы располагаются в мелкозернистой оливин-клинопироксен-плагиоклаз-титано-магнетитовой основной массе (рис. 3г). Оливин здесь имеет существенно более железистый состав (Fo37–24), чем в ранних ксеноморфных зернах, магнезиальность авгитов снижается до 0.52. Ядра лейст плагиоклаза в основной массе имеют состав An73–63, краевые части – An45–28. Интерстиции выполнены кварцем и калиевым полевым шпатом.
Крупные тела пойкилоофитовых долеритов, достигающие 100 м мощности, характеризуются отсутствием макроскопических признаков расслоенности и внутрикамерной дифференциации. Преобладающей разновидностью пород в объеме крупных силлов являются массивные мелко-среднезернистые долериты пойкилоофитовой структуры (рис. 4в). Характерно наличие шлиров и жил габбро-пегматитов, мощностью от 20 см до нескольких метров, локализованных преимущественно в центральной и нижней частях тел (рис. 4г). Крупные пегматоидные обособления варьируют по составу от обогащенных рудным компонентом базитов до монцодиоритов. Тонкие жилы сложены пегматоидными базитами с высоким содержанием рудных минералов.
Рис. 4.
Геологическая позиция и минералого-петрографические особенности крупных силлов пойкилоофитовых долеритов. (а) – силл в районе губы Савиха (обн. Са-642); (б) – силл в районе губы Дворовая (обн. Са-676); (в) – пойкилоофитовый “пятнистый” долерит из центра силла губы Дворовая (обр. Са-676-5); (г) – габбро-пегматит (обр. Са-552-2) в нижней части силла в районе пос. Дальние Зеленцы; (д) – структуры распада в инвертированном пижоните, центральная часть силла в районе пос. Дальние Зеленцы (обр. Са-552-3); (е) – идиоморфный ойкокрист Ol в центральной части силла в районе пос. Дальние Зеленцы (обр. Са-552-10); (ж) – биотит в интерстициях зерен плагиоклаза, обр. Са-552-3; (з) – центральная часть ойкокриста авгита с хадакристами Pl, обр. Са-552-3.

Ни в одном из мощных тел нам не удалось изучить полный разрез. Подошва крупного силла опробована в районе губы Савиха, кровельная и центральная части тела в силле губы Дворовая, нижняя и центральная части силла – в районе пос. Дальние Зеленцы.
Силл в районе пос. Дальние Зеленцы имеет мощность более 30 м. Верхний и нижний контакты тела не обнажены, но, исходя из характера юго-западного контакта с вмещающими гранитами, можно предполагать блюдцеобразную форму тела. В нижней части тела развиты массивные мелкозернистые долериты пойкилоофитовой структуры (обр. Са-552-1). Оливин (Fo60, около 5 об. %), почти полностью замещенный иддингситом, формирует мелкие ксеноморфные зерна в авгите и между ойкокристами авгита. Плагиоклаз, содержание которого в породах составляет около 40 об. %, образует мелкие лейсты в ойкокристах (An81–71) и в межзерновом пространстве крупных ойкокристов (An55–37) (рис. 4д, 4е, 4з). Мелкозернистые долериты имеют мощность первые метры и вверх по разрезу сменяются однородными среднезернистыми долеритами с жильными обособлениями габбро-пегматитов (рис. 4г). В вышележащих породах, формирующих основной объем силла, зернистость практически не меняется, размер ойкокристов пироксена достигает 0.7 мм (рис. 4в), вариации состава пород, устанавливаемые макроскопически, незначительны. В шлифах дифференциация проявлена ярче и выражена в вариациях содержаний главных минералов. В центральной части тела обнажаются мезо-меланократовые породы с большим объемом ойкокристов пироксена (обр. Са-552-7). Выше по разрезу количество плагиоклаза и мелкозернистого межойкокристового материала увеличивается, растет содержание рудных минералов (до 5 об. %) и биотита (до 3 об. %). Эти породы сменяются долеритами порфировидной структуры (обр. Са-552-10, рис. 4д), в которых авгит (XMg = 0.81) и оливин (Fo58–53) формируют идиоморфные ойкокристы размером до 1 см, содержащие хадакристы плагиоклаза (рис. 4е). Плагиоклаз в породах формирует хадакристы состава An80–71, крупные лейсты с прямой зональностью от An71 в центре до An50 в краевых частях зерен, но и единичные крупные (до 3 мм) зональные (от An82 до An59) таблитчатые кристаллы с ксеноморфными ядрами состава An65. Выше обнажаются более лейкократовые долериты, в которых содержание оливина, рудных минералов и биотита составляет менее 3 об. % . Эти породы содержат шлиры габбро-пегматитов (обр. Са-552-14). Краевая часть силла сложена мелкозернистыми пойкилоофитовыми долеритами с содержанием Ti‑Mgt до 7 об. % (обр. Са-552-13).
Силл в районе губы Дворовая имеет мощность более 100 м и является наиболее крупным из изученных. Нижний контакт тела с вмещающими гранитоидами расположен ниже уровня моря. Долериты, обнажающиеся у уреза воды (обр. Са-676-2), отличаются от вышележащих пород порфировидной структурой и наличием таблитчатых зональных зерен плагиоклаза. Здесь отсутствует оливин, но есть первично-магматический биотит, формирующий как ксеноморфные зерна в интерстициях, так и идиоморфные шестиугольные пластинки, что предполагает его относительно раннюю кристаллизацию из расплава.
Выше по разрезу преобладают габбро-пегматиты, формирующие шлиры и линзы размером до нескольких метров. Мощность зоны развития пегматитов составляет до 4–5 м. Выше обнажаются мелкозернистые долериты пойкилоофитовой с элементами порфировидной структуры, в которых плагиоклаз (до 50 об. %) формирует крупные зональные таблитчатые зерна размером до 0.5 см, мелкие лейсты в межзерновом пространстве ойкокристов и хадакристы в авгите. В единичных крупных (до 1.5 см) фенокристах плагиоклаза ядра, составляющие около 70% от объема зерен, сложены высоко-Ca плагиоклазом (An80), а краевые части зерен имеют состав An55–50. Эти плагиоклаз-порфировые долериты сменяются среднезернистыми долеритами порфировидной структуры, в которых пироксены формируют идиоморфные ойкокристы размером до 1 см. Среди клинопироксенов преобладают однородные или слабозональные зерна авгита XMg = 0.81(центр) – 0.66 (край), аналогичные наблюдаемым в порфировидных долеритах силла в районе пос. Дальние Зеленцы. Хадакристы сложены иддингситом, заместившим оливин плагиоклазом состава An78–64. Поздние фазы, локализованные в интерстициях плагиоклазов межойкокристового пространства, представлены биотитом, роговой обманкой, кварцем и калиевым полевым шпатом. Вверх по разрезу породы однородны и представлены мелко-среднезернистыми долеритами. Верхняя часть силла (около 20 м видимой мощности) сложена однородными мелко-среднезернистыми пойкилоофитовыми долеритами со слабо выраженными вариациями содержаний оливина, биотита и Ti-Mgt. Непосредственный контакт силла губы Дворовая с микроклиновыми гранитами не обнажен, в приконтактовой зоне развиты мелкозернистые массивные пойкилоофитовые долериты с единичными вкрапленниками плагиоклаза.
ХИМИЧЕСКИЙ СОСТАВ ПОРОД
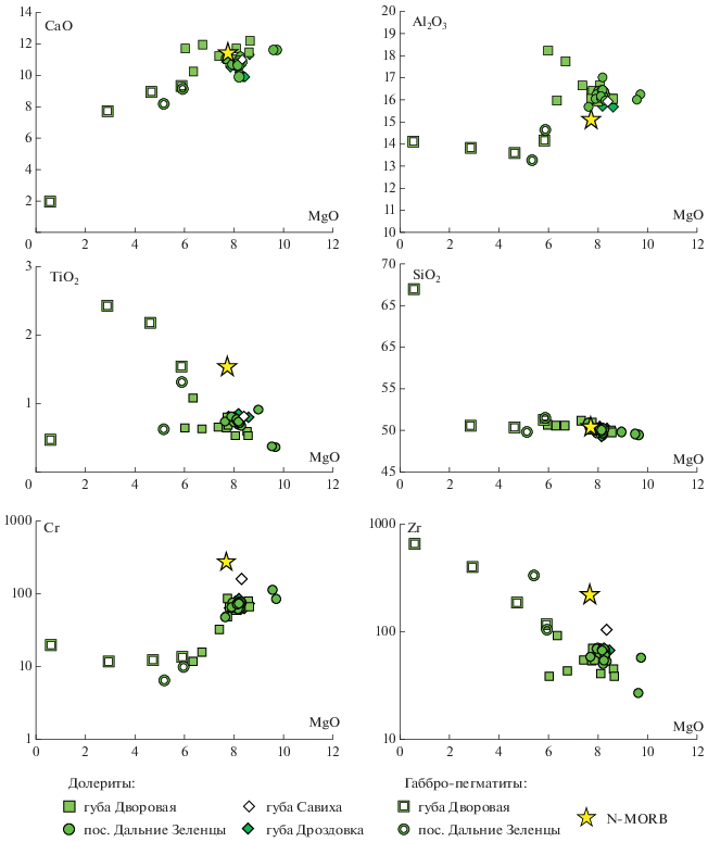
Все изученные долериты относятся к базитам толеитовой серии нормального ряда щелочности. Породы слабо варьируют по содержанию главных и рассеянных элементов как в разрезах силлов (где исключением являются габбро-пегматиты), так и по латерали (рис. 5, 7). Содержание MgO в породах не превышает 10 мас. %, максимальная концентрация TiO2 в долеритах зон закалки составляет 0.80 мас. %, а в габбро-пегматитах достигает 2.42 мас. % (рис. 5). Характерной особенностью пойкилоофитовых долеритов являются умеренные концентрации LILE, HFSE и REE, обогащение легкими REE и слабая деплетированность тяжелых REE ([La/Sm]n = 2.1–3.2, [Gd/Yb]n = 1.2–1.3), слабопроявленные аномалии Eu (Eu/Eu* = 1.0 ± 0.2). Во всех породах хорошо выражены отрицательные аномалии Nb (Nb/Nb* = 0.30–0.36). В целом пойкилоофитовые долериты являются типичными представителями континентальных платобазальтов, контрастно отличаясь от базальтов N-MORB по характеру распределения рассеянных элементов (рис. 5, 6).
Рис. 5.
Вариации содержаний оксидов петрогенных элементов (в мас. %), Cr и Zr (в ppm) относительно MgO в силлах ВМСП.

Рис. 6.
Распределение рассеянных элементов в силлах ВМСП. Нормировано по (Wedepohl, Hartmann, 1994). Условные обозначения см. на рис. 5

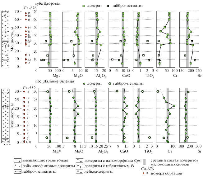
Рис. 7.
Вариации содержаний главных и рассеянных элементов в разрезах силлов губы Дворовая и пос. Дальние Зеленцы.

Тонкие и маломощные силлы имеют близкий химический состав на всех пространственно разобщенных участках (рис. 5, 6). Содержания в закаленных породах составляют (мас. %): MgO = = 7.83–8.63, TiO2 = 0.75–0.84, ${\text{F}}{{{\text{e}}}_{{\text{2}}}}{\text{O}}_{{\text{3}}}^{{{\text{tot}}}}$ = 10.60–11.73, Al2O3 = 15.7–16.5. В породах центральных частей маломощных силлов снижается содержание MgO (7.70–7.96 мас. %), а концентрации остальных главных элементов сохраняются на том же уровне, что и в зонах закалки (табл. 1). Для маломощных силлов характерны низкие содержания Cr (63–86 ppm) и Ni (188–201 ppm). (табл. 1). Содержания LIL-элементов в маломощных силлах варьируют слабо (рис. 6, табл. 1), демонстрируя рост конентраций в амфиболитизированных разновидностях, что позволяет связывать их вариации с флюидной переработкой (Veselovskiy et al., 2019). Долериты маломощных силлов близки к базальтам N-MORB по содержанию большинства главных элементов, но контрастно отличаются более низкими концентрациями TiO2, Cr, HREE и HFSE. При этом пойкилоофитовые долериты обогащены LREE и LILE относительно N-MORB (рис. 5, 6).
Таблица 1.
Химический состав пород силлов ВМСП
| Компо-ненты | Тонкие силлы | Маломощные силлы | ||||||||||
| пос. Дальние Зеленцы | губа Ивановка | губа Дроздовка | ||||||||||
| Са-562-5* | Са-563-1* | Са-564-1 | Са-649-1* | Са-649-2 | Са-650-2 | Са-650-3 | Са-652-3 | Са-666-1* | Са-666-2 | Са-666-3 | Са-666-4 | |
| 0.1** | 0.1 | 0.5 | 0.5 | 2.5 | 1 | 4 | 3 | 0.1 | 0.8 | 3 | 5 | |
| CHD | CHD | D | CHD | D | D | D | D | CHD | D | D | D | |
| SiO2 | 50.01 | 49.40 | 49.98 | 50.01 | 49.55 | 49.73 | 50.10 | 49.86 | 48.80 | 49.31 | 49.59 | 48.81 |
| TiO2 | 0.75 | 0.74 | 0.76 | 0.78 | 0.79 | 0.77 | 0.74 | 0.77 | 0.75 | 0.77 | 0.78 | 0.76 |
| Al2O3 | 16.01 | 16.27 | 16.12 | 15.99 | 15.80 | 16.05 | 16.10 | 15.85 | 15.67 | 15.82 | 15.99 | 15.65 |
| Fe2O3 | 10.80 | 10.60 | 10.79 | 10.93 | 11.02 | 10.88 | 10.68 | 11.01 | 10.70 | 11.26 | 10.93 | 11.02 |
| MnO | 0.162 | 0.157 | 0.157 | 0.163 | 0.163 | 0.163 | 0.159 | 0.169 | 0.176 | 0.174 | 0.166 | 0.177 |
| MgO | 8.10 | 8.13 | 8.12 | 8.01 | 7.70 | 8.27 | 8.07 | 8.13 | 8.03 | 8.15 | 7.96 | 8.20 |
| CaO | 10.63 | 10.48 | 10.56 | 10.84 | 10.26 | 10.84 | 10.47 | 10.72 | 9.90 | 10.47 | 10.68 | 9.66 |
| Na2O | 2.10 | 2.13 | 2.25 | 2.14 | 2.19 | 2.24 | 2.10 | 2.20 | 2.43 | 2.18 | 2.25 | 2.36 |
| K2O | 0.73 | 0.81 | 0.81 | 0.56 | 0.76 | 0.67 | 0.63 | 0.63 | 1.17 | 0.86 | 0.67 | 1.33 |
| P2O5 | 0.08 | 0.09 | 0.09 | 0.09 | 0.08 | 0.09 | 0.09 | 0.09 | 0.09 | 0.09 | 0.08 | 0.09 |
| П.п.п. | 0.41 | 0.95 | 0.13 | 0.31 | 1.48 | 0.10 | 0.68 | 0.39 | 2.08 | 0.71 | 0.72 | 1.74 |
| Сумма | 99.78 | 99.76 | 99.77 | 99.82 | 99.79 | 99.80 | 99.82 | 99.82 | 99.80 | 99.79 | 99.82 | 99.80 |
| Li | 17.7 | 25.7 | 16.5 | 7.58 | 9.30 | 6.02 | 8.61 | 9.76 | 19.6 | 8.28 | 7.99 | 25.9 |
| Be | 0.798 | 0.481 | <PO | 0.394 | 0.454 | 0.379 | 0.371 | 0.479 | 0.573 | 0.400 | 0.408 | 0.683 |
| Sc | 31.3 | 30.2 | 31.0 | 30.7 | 31.4 | 33.8 | 34.1 | 32.4 | 32.6 | 32.6 | 33.4 | 32.8 |
| V | 219 | 211 | 219 | 217 | 232 | 234 | 242 | 219 | 228 | 228 | 235 | 234 |
| Cr | 71.1 | 66.0 | 66.9 | 66.6 | 64.8 | 73.8 | 75.9 | 66.3 | 64.1 | 68.4 | 68.1 | 65.3 |
| Co | 48.1 | 47.6 | 46.9 | 44.9 | 46.7 | 49.2 | 49.4 | 45.9 | 45.3 | 46.9 | 48.2 | 46.7 |
| Ni | 164 | 170 | 172 | 159 | 163 | 175 | 177 | 164 | 164 | 166 | 167 | 165 |
| Cu | 109 | 132 | 109 | 102 | 111 | 109 | 110 | 106 | 71.5 | 105 | 111 | 61.0 |
| Zn | 73.7 | 77.3 | 72.4 | 72.5 | 76.5 | 77.2 | 76.7 | 74.9 | 78.7 | 74.8 | 78.6 | 85.0 |
| Rb | 33.2 | 27.7 | 37.6 | 16.6 | 27.6 | 25.0 | 19.3 | 19.8 | 48.3 | 36.3 | 22.8 | 68.0 |
| Sr | 178 | 160 | 187 | 162 | 176 | 175 | 184 | 189 | 169 | 179 | 180 | 199 |
| Y | 14.7 | 14.4 | 15.0 | 14.4 | 14.1 | 15.4 | 15.2 | 14.4 | 14.5 | 14.5 | 14.9 | 15.0 |
| Zr | 64.5 | 41.8 | 65.7 | 52.4 | 49.8 | 56.5 | 56.4 | 54.7 | 28.4 | 55.2 | 57.8 | 35.2 |
| Nb | 3.27 | 2.92 | 3.14 | 3.45 | 3.87 | 3.64 | 3.62 | 3.47 | 3.49 | 3.46 | 3.55 | 3.54 |
| Ba | 281 | 243 | 284 | 170 | 195 | 183 | 183 | 201 | 188 | 236 | 194 | 194 |
| La | 8.45 | 8.00 | 8.57 | 8.36 | 9.00 | 8.80 | 8.71 | 8.63 | 8.88 | 8.67 | 8.86 | 7.94 |
| Ce | 15.9 | 15.0 | 16.4 | 17.8 | 18.8 | 18.6 | 18.2 | 18.2 | 18.5 | 18.3 | 18.8 | 17.1 |
| Pr | 2.32 | 2.26 | 2.36 | 2.34 | 2.42 | 2.43 | 2.32 | 2.28 | 2.23 | 2.28 | 2.38 | 2.19 |
| Nd | 9.99 | 9.16 | 10.1 | 9.56 | 9.63 | 9.71 | 9.71 | 9.61 | 9.17 | 9.56 | 9.76 | 9.15 |
| Sm | 1.63 | 2.22 | 2.33 | 2.32 | 2.48 | 2.59 | 2.55 | 2.49 | 2.37 | 2.48 | 2.38 | 2.30 |
| Eu | 0.824 | 0.861 | 0.837 | 0.760 | 0.752 | 0.799 | 0.786 | 0.800 | 0.759 | 0.759 | 0.806 | 0.728 |
| Gd | 2.72 | 2.59 | 2.77 | 2.56 | 2.48 | 2.71 | 2.55 | 2.49 | 2.42 | 2.57 | 2.62 | 2.43 |
| Tb | 0.497 | 0.423 | 0.440 | 0.470 | 0.429 | 0.493 | 0.447 | 0.443 | 0.405 | 0.410 | 0.474 | 0.419 |
| Dy | 2.67 | 2.81 | 2.86 | 2.75 | 2.61 | 2.84 | 2.71 | 2.74 | 2.73 | 2.73 | 2.82 | 2.68 |
| Ho | 0.587 | 0.572 | 0.587 | 0.592 | 0.566 | 0.653 | 0.642 | 0.620 | 0.614 | 0.608 | 0.611 | 0.634 |
| Er | 1.79 | 1.74 | 1.82 | 1.69 | 1.61 | 1.73 | 1.66 | 1.69 | 1.67 | 1.83 | 1.72 | 1.68 |
| Tm | 0.27 | 0.24 | 0.26 | 0.24 | 0.23 | 0.25 | 0.25 | 0.26 | 0.26 | 0.27 | 0.26 | 0.29 |
| Yb | 1.73 | 1.61 | 1.78 | 1.66 | 1.52 | 1.70 | 1.70 | 1.59 | 1.61 | 1.56 | 1.61 | 1.65 |
| Lu | 0.252 | 0.239 | 0.252 | 0.268 | 0.230 | 0.259 | 0.253 | 0.260 | 0.227 | 0.241 | 0.263 | 0.248 |
| Hf | 1.75 | 1.80 | 1.84 | 1.49 | 1.44 | 1.56 | 1.59 | 1.50 | 0.84 | 1.54 | 1.61 | 1.07 |
| Ta | 0.212 | 0.204 | 0.222 | 0.358 | 0.380 | 0.343 | 0.342 | 0.365 | 0.309 | 0.339 | 0.315 | 0.313 |
| Pb | 2.90 | 2.67 | 2.91 | 3.02 | 3.55 | 2.91 | 2.87 | 2.94 | 3.88 | 2.92 | 2.97 | 8.61 |
| Th | 1.50 | 1.43 | 1.50 | 1.65 | 2.44 | 1.65 | 1.61 | 1.64 | 1.63 | 1.65 | 1.64 | 1.63 |
| U | 0.390 | 0.356 | 0.403 | 0.404 | 0.516 | 0.402 | 0.399 | 0.406 | 0.406 | 0.394 | 0.399 | 0.382 |
| Компо-ненты | Маломощные силлы | Крупные силлы | ||||||||||
| губа Дроздовка | Савиха | пос. Дальние Зеленцы | ||||||||||
| Са-669-1 | Са-669-2 | Са-670-1 | Са-671-1 | Са-671-2 | Са-642-1* | Са-552-1 | Са-552-2 | Са-552-3* | Са-552-4 | Са-552-5 | ||
| 0.5 | 1 | – | – | – | – | 0.5 | 2.85 | 5.2 | 7.55 | 9.9 | ||
| D | D | CHD | CHD | D | D | D | P | D | D | D | ||
| SiO2 | 49.19 | 48.68 | 49.54 | 48.97 | 49.35 | 49.43 | 49.52 | 49.2 | 50.11 | 48.57 | 49.57 | |
| TiO2 | 0.78 | 0.79 | 0.76 | 0.83 | 0.77 | 0.76 | 0.68 | 2.30 | 0.66 | 0.70 | 0.70 | |
| Al2O3 | 15.60 | 15.64 | 15.80 | 15.65 | 15.88 | 15.95 | 16.37 | 13.18 | 16.23 | 16.03 | 16.32 | |
| Fe2O3 | 10.36 | 11.56 | 10.71 | 11.65 | 10.78 | 11.17 | 10.95 | 14.08 | 10.63 | 10.93 | 10.84 | |
| MnO | 0.188 | 0.174 | 0.188 | 0.178 | 0.171 | 0.18 | 0.160 | 0.221 | 0.157 | 0.155 | 0.162 | |
| MgO | 8.25 | 8.60 | 8.05 | 8.16 | 7.99 | 8.31 | 8.21 | 5.35 | 8.30 | 7.84 | 8.24 | |
| CaO | 9.61 | 11.22 | 10.33 | 10.72 | 10.30 | 10.96 | 10.92 | 10.88 | 10.73 | 10.31 | 10.83 | |
| Na2O | 2.40 | 2.19 | 2.00 | 2.20 | 2.10 | 2.33 | 2.29 | 3.21 | 2.32 | 2.39 | 2.39 | |
| K2O | 1.31 | 0.73 | 0.86 | 0.85 | 1.07 | 0.62 | 0.46 | 0.36 | 0.54 | 0.52 | 0.50 | |
| P2O5 | 0.09 | 0.09 | 0.09 | 0.09 | 0.09 | 0.09 | 0.08 | 0.38 | 0.09 | 0.10 | 0.08 | |
| П.п.п. | 1.95 | 0.13 | 1.41 | 0.52 | 1.25 | 0.00 | 0.15 | 1.69 | 0.05 | 2.25 | 0.16 | |
| Сумма | 99.73 | 99.80 | 99.74 | 99.82 | 99.75 | 99.75 | 99.79 | 100.9 | 99.82 | 99.80 | 99.79 | |
| Li | 21.8 | 8.30 | 15.9 | 13.2 | 21.9 | 14.19 | 7.19 | 22.1 | 9.22 | 10.3 | 9.14 | |
| Be | 0.502 | 0.407 | 0.507 | 0.453 | 0.425 | <PO | 0.473 | 0.963 | <PO | 0.646 | <PO | |
| Sc | 32.9 | 33.9 | 33.4 | 34.0 | 33.2 | 28.38 | 30.3 | 33.0 | 32.9 | 28.5 | 32.1 | |
| V | 224 | 238 | 228 | 241 | 235 | 195 | 214 | 427 | 220 | 215 | 226 | |
| Cr | 66.1 | 70.4 | 68.4 | 69.3 | 68.1 | 149 | 71.9 | 6.52 | 78.3 | 54.8 | 75.5 | |
| Co | 45.5 | 49.0 | 47.9 | 49.5 | 48.0 | 38.2 | 46.4 | 41.7 | 46.1 | 48.7 | 46.5 | |
| Ni | 162 | 172 | 166 | 172 | 166 | 53.4 | 177 | 90.5 | 175 | 180 | 176 | |
| Cu | 180 | 108 | 108 | 114 | 113 | 78.5 | 104 | 302 | 101 | 116 | 102 | |
| Zn | 77.1 | 76.6 | 79.4 | 79.8 | 75.1 | 94.1 | 69.5 | 127 | 67.9 | 74.1 | 71.4 | |
| Rb | 51.6 | 25.6 | 36.7 | 34.5 | 42.7 | 40.6 | 12.4 | 3.65 | 16.4 | 14.3 | 15.3 | |
| Sr | 177 | 185 | 169 | 184 | 171 | 270 | 167 | 194 | 174 | 182 | 176 | |
| Y | 14.6 | 14.7 | 15.0 | 15.6 | 15.1 | 15.3 | 13.1 | 52.3 | 12.9 | 14.1 | 14.0 | |
| Zr | 51.1 | 54.6 | 42.4 | 59.6 | 42.0 | 71.7 | 49.3 | 173 | 49.2 | 55.9 | 53.4 | |
| Nb | 3.45 | 3.42 | 3.44 | 3.88 | 3.70 | 4.9 | 2.64 | 16.05 | 2.45 | 3.03 | 2.96 | |
| Ba | 226 | 213 | 193 | 233 | 199 | 198 | 145 | 83.9 | 170 | 143 | 162 | |
| La | 8.25 | 8.69 | 8.19 | 9.22 | 8.18 | 16.8 | 7.31 | 40.0 | 7.09 | 8.32 | 7.84 | |
| Ce | 17.9 | 17.8 | 17.3 | 19.4 | 17.8 | 31.0 | 14.0 | 76.0 | 13.5 | 16.1 | 14.7 | |
| Pr | 2.09 | 2.41 | 2.29 | 2.52 | 2.22 | 4.51 | 1.95 | 10.4 | 1.94 | 2.24 | 2.20 | |
| Nd | 8.45 | 9.42 | 9.26 | 10.1 | 9.10 | 17.2 | 8.03 | 40.1 | 7.40 | 8.84 | 8.85 | |
| Sm | 2.17 | 2.24 | 2.31 | 2.51 | 2.28 | 3.32 | 1.77 | 9.89 | 1.60 | 1.77 | 2.06 | |
| Eu | 0.728 | 0.811 | 0.780 | 0.844 | 0.723 | 0.95 | 0.780 | 1.65 | 0.777 | 0.807 | 0.776 | |
| Gd | 2.33 | 2.52 | 2.48 | 2.77 | 2.46 | 3.56 | 2.25 | 10.3 | 2.53 | 2.69 | 2.24 | |
| Tb | 0.409 | 0.448 | 0.405 | 0.431 | 0.440 | 0.51 | 0.401 | 1.56 | 0.394 | 0.414 | 0.457 | |
| Dy | 2.71 | 2.69 | 2.72 | 2.85 | 2.63 | 3.01 | 2.44 | 10.0 | 2.41 | 2.69 | 2.72 | |
| Ho | 0.598 | 0.616 | 0.613 | 0.622 | 0.605 | 0.63 | 0.554 | 2.040 | 0.480 | 0.531 | 0.543 | |
| Er | 1.68 | 1.65 | 1.71 | 1.71 | 1.68 | 1.89 | 1.61 | 6.10 | 1.61 | 1.71 | 1.62 | |
| Tm | 0.23 | 0.25 | 0.25 | 0.29 | 0.29 | 0.27 | 0.23 | 0.86 | 0.22 | 0.23 | 0.23 | |
| Yb | 1.60 | 1.58 | 1.70 | 1.71 | 1.63 | 1.68 | 1.45 | 5.45 | 1.51 | 1.62 | 1.64 | |
| Lu | 0.250 | 0.254 | 0.240 | 0.275 | 0.252 | 0.27 | 0.195 | 0.802 | 0.230 | 0.241 | 0.244 | |
| Hf | 1.41 | 1.57 | 1.20 | 1.63 | 1.24 | 2.23 | 1.46 | 5.37 | 1.54 | 1.80 | 1.73 | |
| Ta | 0.296 | 0.304 | 0.288 | 0.597 | 0.427 | 0.35 | 0.173 | 0.872 | 0.172 | 0.174 | 0.174 | |
| Pb | 5.57 | 2.86 | 5.38 | 2.98 | 5.61 | 8.32 | 2.40 | 19.5 | 2.17 | 2.71 | 2.52 | |
| Th | 1.66 | 1.57 | 1.61 | 1.71 | 1.65 | 3.12 | 1.22 | 8.25 | 1.18 | 1.42 | 1.41 | |
| U | 0.977 | 0.373 | 0.417 | 0.423 | 0.404 | 0.82 | 0.310 | 2.05 | 0.305 | 0.365 | 0.323 | |
| Компо-ненты | Крупные силлы | |||||||||||
| пос. Дальние Зеленцы | губа Дворовая | |||||||||||
| Са-552-6* | Са-552-7 | Са-552-8 | Са-552-9 | Са-552-10* | Са-552-11 | Са-552-12 | Са-552-13 | Са-552-14* | Са-676-1* | Са-676-2 | Са-676-3 | |
| 12.25 | 14.6 | 16.95 | 19.3 | 21.65 | 24 | 26.35 | 1 | 30 | 15 | 5 | 9 | |
| D | D | D | D | D | D | LD | D | P | P | D | P | |
| SiO2 | 49.93 | 50.20 | 49.33 | 49.91 | 49.56 | 49.89 | 50.80 | 50.04 | 51.15 | 51.10 | 50.34 | 49.90 |
| TiO2 | 0.71 | 0.70 | 0.35 | 0.79 | 0.37 | 0.72 | 0.72 | 0.80 | 1.30 | 1.54 | 1.05 | 2.39 |
| Al2O3 | 16.18 | 16.18 | 16.18 | 16.19 | 16.02 | 16.41 | 15.69 | 16.05 | 14.58 | 14.11 | 15.91 | 13.68 |
| Fe2O3 | 10.89 | 10.41 | 10.01 | 10.97 | 10.33 | 10.46 | 10.84 | 11.18 | 13.32 | 13.99 | 12.10 | 16.81 |
| MnO | 0.160 | 0.156 | 0.153 | 0.159 | 0.154 | 0.162 | 0.168 | 0.166 | 0.181 | 0.195 | 0.185 | 0.216 |
| MgO | 8.21 | 8.24 | 9.67 | 7.91 | 9.56 | 8.15 | 7.64 | 7.90 | 5.89 | 5.86 | 6.34 | 2.87 |
| CaO | 10.84 | 11.10 | 11.50 | 10.59 | 11.58 | 10.81 | 10.98 | 10.65 | 8.98 | 9.19 | 10.13 | 7.52 |
| Na2O | 2.24 | 2.27 | 2.03 | 2.33 | 1.95 | 2.32 | 2.45 | 2.28 | 2.97 | 2.64 | 2.55 | 3.60 |
| K2O | 0.51 | 0.47 | 0.27 | 0.52 | 0.28 | 0.50 | 0.41 | 0.63 | 0.86 | 0.83 | 0.80 | 1.40 |
| P2O5 | 0.09 | 0.08 | 0.04 | 0.10 | 0.04 | 0.07 | 0.08 | 0.10 | 0.16 | 0.15 | 0.13 | 0.35 |
| П.п.п. | 0.05 | <0.05 | 0.29 | 0.35 | <0.05 | 0.32 | 0.06 | <0.05 | 0.37 | 0.11 | 0.23 | 0.76 |
| Сумма | 99.81 | 99.81 | 99.82 | 99.82 | 99.84 | 99.81 | 99.84 | 99.80 | 99.76 | 99.72 | 99.77 | 99.50 |
| Li | 13.0 | 6.78 | 8.81 | 9.25 | 6.45 | 7.77 | 5.86 | 9.35 | 6.09 | 9.08 | 10.6 | 16.3 |
| Be | 0.544 | <PO | <PO | 0.219 | <PO | 0.438 | <PO | <PO | 0.604 | 0.750 | 0.598 | 1.61 |
| Sc | 29.9 | 31.4 | 30.2 | 30.6 | 29.9 | 32.0 | 33.3 | 31.7 | 35.9 | 38.8 | 35.6 | 33.5 |
| V | 232 | 228 | 224 | 242 | 164 | 243 | 249 | 238 | 340 | 335 | 277 | 146 |
| Cr | 71.3 | 78.3 | 80.4 | 68.4 | 104.3 | 56.7 | 46.6 | 67.2 | 10.6 | 13.4 | 16.9 | 11.7 |
| Co | 47.0 | 45.4 | 43.6 | 48.0 | 52.2 | 44.3 | 42.0 | 46.4 | 45.8 | 49.9 | 45.8 | 39.5 |
| Ni | 172 | 161 | 160 | 164 | 209 | 163 | 118 | 166 | 90.6 | 107 | 116 | 30.5 |
| Cu | 110 | 100 | 101 | 118 | 68.0 | 102 | 114 | 117 | 185 | 172 | 149 | 207 |
| Zn | 75.1 | 67.4 | 64.7 | 78.7 | 57.6 | 67.6 | 71.7 | 74.3 | 101 | 102 | 89.6 | 122 |
| Rb | 15.2 | 13.3 | 16.7 | 15.0 | 5.52 | 13.4 | 9.46 | 18.9 | 24.8 | 32.6 | 25.2 | 41.7 |
| Sr | 177 | 171 | 175 | 178 | 167 | 180 | 172 | 170 | 204 | 163 | 201 | 222 |
| Y | 14.5 | 14.0 | 13.2 | 15.9 | 7.81 | 12.7 | 14.1 | 15.3 | 26.0 | 26.2 | 20.7 | 52.1 |
| Zr | 63.3 | 54.8 | 50.3 | 64.1 | 24.4 | 46.3 | 55.6 | 63.2 | 105 | 106 | 82.6 | 362 |
| Nb | 2.90 | 2.90 | 2.57 | 3.68 | 1.07 | 2.55 | 2.86 | 3.19 | 6.07 | 9.71 | 5.21 | 17.5 |
| Ba | 146 | 145 | 159 | 169 | 93.8 | 147 | 164 | 193 | 274 | 221 | 256 | 419 |
| La | 8.50 | 7.99 | 7.45 | 9.51 | 4.01 | 6.80 | 7.62 | 8.85 | 16.1 | 16.5 | 13.2 | 33.9 |
| Ce | 16.3 | 15.8 | 14.4 | 17.7 | 7.4 | 13.0 | 15.0 | 17.4 | 30.7 | 36.3 | 27.5 | 72.8 |
| Pr | 2.25 | 2.18 | 2.05 | 2.35 | 1.11 | 1.72 | 2.03 | 2.50 | 4.27 | 4.55 | 3.48 | 9.25 |
| Nd | 8.85 | 8.62 | 7.99 | 10.7 | 4.36 | 7.64 | 8.18 | 9.28 | 17.7 | 18.2 | 13.8 | 36.8 |
| Sm | 2.14 | 2.01 | 1.76 | 2.19 | 1.05 | 2.13 | 1.68 | 2.10 | 3.80 | 4.27 | 3.47 | 8.79 |
| Eu | 0.714 | 0.773 | 0.798 | 0.826 | 0.552 | 0.705 | 0.830 | 0.869 | 1.25 | 0.995 | 1.07 | 2.42 |
| Gd | 2.50 | 2.55 | 2.38 | 2.98 | 1.27 | 2.08 | 2.47 | 2.67 | 4.78 | 4.43 | 3.54 | 9.45 |
| Tb | 0.442 | 0.441 | 0.366 | 0.459 | 0.275 | 0.374 | 0.415 | 0.467 | 0.719 | 0.772 | 0.631 | 1.49 |
| Dy | 2.60 | 2.59 | 2.53 | 2.88 | 1.45 | 2.27 | 2.74 | 2.98 | 4.66 | 4.61 | 3.74 | 9.02 |
| Ho | 0.556 | 0.560 | 0.553 | 0.660 | 0.292 | 0.506 | 0.570 | 0.582 | 1.01 | 1.01 | 0.804 | 2.052 |
| Er | 1.70 | 1.66 | 1.56 | 1.94 | 1.05 | 1.50 | 1.68 | 1.79 | 3.05 | 2.86 | 2.32 | 5.69 |
| Tm | 0.24 | 0.23 | 0.24 | 0.28 | 0.14 | 0.21 | 0.22 | 0.26 | 0.45 | 0.41 | 0.34 | 0.87 |
| Yb | 1.68 | 1.61 | 1.56 | 1.80 | 0.89 | 1.49 | 1.66 | 1.68 | 2.85 | 2.81 | 2.19 | 5.55 |
| Lu | 0.230 | 0.243 | 0.232 | 0.261 | 0.146 | 0.211 | 0.237 | 0.241 | 0.442 | 0.444 | 0.344 | 0.867 |
| Hf | 2.01 | 1.65 | 1.56 | 2.04 | 0.81 | 1.39 | 1.73 | 2.09 | 3.27 | 2.89 | 2.23 | 8.75 |
| Ta | 0.197 | 0.258 | 0.221 | 0.264 | 0.112 | 0.165 | 0.169 | 0.210 | 0.364 | 0.662 | 0.414 | 1.05 |
| Pb | 2.75 | 2.78 | 2.41 | 2.94 | 1.42 | 2.25 | 2.60 | 2.91 | 4.79 | 7.20 | 4.78 | 10.2 |
| Th | 1.52 | 1.35 | 1.29 | 1.65 | 0.54 | 1.14 | 1.40 | 1.50 | 2.99 | 4.48 | 2.64 | 7.64 |
| U | 0.374 | 0.342 | 0.320 | 0.411 | 0.137 | 0.287 | 0.361 | 0.364 | 0.738 | 1.07 | 0.632 | 1.71 |
| Компо-ненты | Крупные силлы | |||||||||||
| губа Дворовая | ||||||||||||
| Са-676-4 | Са-676-5 | Са-676-7 | Са-676-8 | Са-676-9 | Са-676-10 | Са-676-13 | Са-676-14 | Са-676-15 | Са-676-16 | Са-676-17 | ||
| 9.5 | 28 | 30 | 33 | 34 | 38 | 45 | 50 | 60 | 65 | 68 | ||
| P | D | D | P | D | D | D | D | D | D | D | ||
| SiO2 | 66.04 | 50.47 | 49.95 | 49.57 | 49.53 | 50.14 | 50.33 | 50.41 | 50.84 | 49.87 | 49.92 | |
| TiO2 | 0.47 | 0.63 | 0.58 | 2.11 | 0.52 | 0.51 | 0.61 | 0.62 | 0.66 | 0.79 | 0.76 | |
| Al2O3 | 13.94 | 18.21 | 16.04 | 13.37 | 16.01 | 16.61 | 17.69 | 16.28 | 16.39 | 15.99 | 15.93 | |
| Fe2O3 | 7.07 | 9.55 | 10.44 | 15.98 | 10.08 | 9.90 | 9.29 | 10.65 | 10.45 | 11.19 | 11.27 | |
| MnO | 0.082 | 0.153 | 0.164 | 0.211 | 0.164 | 0.160 | 0.153 | 0.168 | 0.158 | 0.164 | 0.164 | |
| MgO | 0.60 | 6.02 | 8.59 | 4.62 | 8.61 | 8.07 | 6.72 | 7.72 | 7.82 | 7.73 | 8.01 | |
| CaO | 1.84 | 11.62 | 11.38 | 8.71 | 12.08 | 11.58 | 11.84 | 10.91 | 10.74 | 10.89 | 10.96 | |
| Na2O | 4.05 | 2.43 | 2.13 | 2.71 | 2.14 | 2.22 | 2.50 | 2.25 | 2.16 | 2.23 | 2.18 | |
| K2O | 4.35 | 0.50 | 0.48 | 0.74 | 0.41 | 0.41 | 0.42 | 0.48 | 0.52 | 0.60 | 0.52 | |
| P2O5 | 0.09 | 0.06 | 0.07 | 0.25 | 0.05 | 0.06 | 0.06 | 0.07 | 0.08 | 0.09 | 0.09 | |
| П.п.п. | 0.84 | 0.19 | 1.03 | 0.25 | 0.18 | 0.22 | 0.24 | 0.28 | ||||
| Сумма | 99.37 | 99.83 | 99.82 | 99.30 | 99.84 | 99.84 | 99.83 | 99.80 | 99.82 | 99.82 | 99.80 | |
| Li | 15.6 | 9.98 | 9.07 | 12.8 | 7.11 | 7.28 | 5.40 | 4.85 | 8.04 | 6.86 | 7.77 | |
| Be | 3.47 | 0.485 | 0.271 | 1.01 | 0.268 | 0.336 | 0.320 | 0.344 | 0.444 | 0.430 | 0.445 | |
| Sc | 13.3 | 34.0 | 33.1 | 37.3 | 34.0 | 32.8 | 33.8 | 33.0 | 33.0 | 33.2 | 33.5 | |
| V | 50 | 243 | 214 | 406 | 212 | 211 | 230 | 216 | 225 | 233 | 233 | |
| Cr | 20.5 | 26.3 | 75.0 | 12.1 | 71.4 | 55.2 | 22.1 | 44.5 | 68.9 | 68.6 | 68.4 | |
| Co | 11.3 | 42.7 | 48.0 | 48.9 | 43.7 | 44.6 | 39.4 | 46.6 | 45.5 | 46.3 | 47.2 | |
| Ni | 12.9 | 128 | 179 | 88 | 164 | 163 | 124 | 153 | 163 | 168 | 172 | |
| Cu | 48.1 | 98.4 | 77.2 | 280 | 64.5 | 69.3 | 78.0 | 89.9 | 101 | 109 | 115 | |
| Zn | 83.7 | 66.8 | 64.6 | 150 | 60.0 | 60.9 | 62.9 | 75.1 | 71.5 | 77.1 | 77.5 | |
| Rb | 80.6 | 12.3 | 12.4 | 20.3 | 10.0 | 10.5 | 9.8 | 13.4 | 15.5 | 17.9 | 14.9 | |
| Sr | 104 | 219 | 180 | 200 | 183 | 191 | 208 | 189 | 185 | 183 | 185 | |
| Y | 87.4 | 11.3 | 11.5 | 38.3 | 9.76 | 10.1 | 11.4 | 12.6 | 13.5 | 15.1 | 14.8 | |
| Zr | 556 | 33.4 | 40.0 | 165 | 32.3 | 34.5 | 40.9 | 49.0 | 50.0 | 62.1 | 60.9 | |
| Nb | 30.4 | 2.35 | 2.39 | 12.1 | 3.00 | 2.27 | 2.61 | 2.88 | 3.62 | 4.21 | 3.69 | |
| Ba | 1277 | 190 | 156 | 232 | 127 | 135 | 145 | 168 | 172 | 181 | 175 | |
| La | 68.4 | 6.00 | 6.45 | 24.14 | 5.13 | 5.49 | 6.16 | 7.10 | 8.74 | 10.14 | 8.81 | |
| Ce | 140 | 12.6 | 13.5 | 53.7 | 10.9 | 11.8 | 13.5 | 15.5 | 19.1 | 21.9 | 19.3 | |
| Pr | 18.1 | 1.62 | 1.73 | 6.75 | 1.39 | 1.51 | 1.69 | 1.92 | 2.28 | 2.64 | 2.29 | |
| Nd | 67.5 | 6.46 | 7.03 | 27.0 | 5.79 | 6.24 | 7.01 | 8.28 | 9.82 | 11.00 | 10.05 | |
| Sm | 15.5 | 1.75 | 1.80 | 7.02 | 1.55 | 1.60 | 1.78 | 1.90 | 2.21 | 2.47 | 2.35 | |
| Eu | 2.78 | 0.809 | 0.697 | 1.58 | 0.596 | 0.632 | 0.700 | 0.778 | 0.774 | 0.808 | 0.843 | |
| Gd | 14.4 | 1.87 | 2.05 | 6.83 | 1.76 | 1.79 | 1.91 | 2.27 | 2.31 | 2.86 | 2.62 | |
| Tb | 2.47 | 0.318 | 0.325 | 1.12 | 0.289 | 0.303 | 0.323 | 0.361 | 0.386 | 0.448 | 0.447 | |
| Dy | 15.4 | 1.96 | 2.10 | 6.95 | 1.79 | 1.93 | 2.17 | 2.38 | 2.56 | 2.75 | 2.74 | |
| Ho | 3.435 | 0.444 | 0.466 | 1.56 | 0.377 | 0.406 | 0.442 | 0.499 | 0.543 | 0.605 | 0.554 | |
| Er | 9.66 | 1.20 | 1.34 | 4.18 | 1.15 | 1.17 | 1.36 | 1.49 | 1.58 | 1.82 | 1.77 | |
| Tm | 1.47 | 0.18 | 0.19 | 0.64 | 0.17 | 0.18 | 0.20 | 0.22 | 0.23 | 0.28 | 0.24 | |
| Yb | 9.80 | 1.27 | 1.29 | 4.23 | 1.13 | 1.21 | 1.32 | 1.42 | 1.51 | 1.68 | 1.66 | |
| Lu | 1.45 | 0.198 | 0.200 | 0.597 | 0.173 | 0.169 | 0.192 | 0.219 | 0.245 | 0.248 | 0.267 | |
| Hf | 13.4 | 0.96 | 1.16 | 4.46 | 1.06 | 1.00 | 1.11 | 1.29 | 1.35 | 1.64 | 1.61 | |
| Ta | 1.76 | 0.248 | 0.245 | 0.740 | <PO | 0.413 | 0.264 | 0.267 | 0.350 | 0.346 | 0.284 | |
| Pb | 15.8 | 2.54 | 2.23 | 15.2 | 1.83 | 1.96 | 2.54 | 3.52 | 2.99 | 3.48 | 2.92 | |
| Th | 19.5 | 1.04 | 1.23 | 5.65 | 0.99 | 1.01 | 1.13 | 1.35 | 1.90 | 2.23 | 1.61 | |
| U | 3.25 | 0.242 | 0.280 | 1.29 | 0.227 | 0.233 | 0.258 | 0.302 | 0.416 | 0.527 | 0.393 | |
Примечание. Содержания оксидов петрогенных элементов приведены в мас. %; содержания редких элементов приведены в ppm. *Образцы из работы (Veselovskiy et al., 2019); ** расстояние в метрах от нижнего контакта; “ –” – расстояние не определялось; D – долерит, CHD – тонкозернистый долерит зоны закалки, Р – габбро-пегматит; <PO – концентрации ниже предела обнаружения.
Для крупных силлов пойкилоофитовых долеритов характерны значительно более широкие вариации составов пород (рис. 5–7), которые определяются присутствием в телах шлиров и линз габбро-пегматитов и слабо проявленной внутрикамерной дифференциацией. Следует отметить, что долериты крупных тел близки к среднему составу долеритов маломощных силлов по содержанию большинства элементов (рис. 7). В силле в районе пос. Дальние Зеленцы магнезиальность пород по разрезу варьирует слабо и аналогична магнезиальности маломощных силлов, но в центральной части обнажающегося фрагмента разреза наблюдаются существенные вариации содержаний MgO, CaO, TiO2, Cr (рис. 7). При этом содержания Al2O3 и Sr в породах остаются постоянными. Минимальная концентрация MgO установлена в верхней части тела в долеритах, вмещающих шлиры габбро-пегматитов. Максимальные концентрации MgO (до 10 мас. %), CaO (до 11.6 мас. %), Cr (до 115 ppm) наблюдаются в среднезернистых порфировидных долеритах центральной части тела (обр. Са-552-10). Этот же образец характеризуется минимальными концентрациями рассеянных элементов (рис. 6). Максимальные концентрации несовместимых элементов наблюдаются в габбро-пегматитах (рис. 5, 6, табл 1).
В силле губы Дворовая магнезиальность пород выдержана в долеритах (51–63), но существенно снижается в габбро-пегматитах (14–45) (рис. 7). Концентрация MgO составляет 6.04–8.65 мас. % в долеритах, снижаясь до 0.61–5.88 мас. % в габбро-пегматитах. Вариации в характере распределения Al2O3 зависят от содержания плагиоклаза, отмечается увеличение концентрации Al2O3 в породах с крупными кристаллами плагиоклаза (рис. 7). Эти породы формируют дополнительный “короткий тренд” на бинарных диаграммах. Содержания CaO, TiO2, ${\text{F}}{{{\text{e}}}_{2}}{\text{O}}_{3}^{{{\text{tot}}}}$ в разрезе тела варьируют слабо (рис. 7). Габбро-пегматиты имеют низкие содержания MgO, обогащены LILE, HFSE и REE и выделяются резкими отрицательными аномалиями Sr и Eu (рис. 5, 6).
ИЗОТОПНАЯ ГЕОХИМИЯ
Sm-Nd и Rb-Sr изотопные исследования проведены для девяти образцов валовых проб долеритов из силлов разной мощности (табл. 2). Кроме того, изучены концентраты авгита и плагиоклаза из долеритов крупного силла в районе пос. Дальние Зеленцы, которые дополнили данные по минеральным фракциям, полученные ранее при геохронологических исследованиях (Veselovskiy et al., 2019).
Таблица 2.
Изотопный состав пород и минералов силлов ВМСП
| Образец | Порода/ минерал | Sm, ppm | Nd, ppm | 147Sm/144Nd | 143Nd/144Nd | εNd(1860) | Rb, ppm |
Sr, ppm |
87Rb/86Sr | 87Sr/86Sr | (87Sr/86Sr)1860 |
|---|---|---|---|---|---|---|---|---|---|---|---|
| Ca-552-3 | Долерит | 2.07 | 8.64 | 0.1449 | 0.511863 ± 10 | –2.8 | 21.1 | 230 | 0.265 | 0.711692 ± 9 | 0.7046 |
| Авгит | 4.95 | 16.6 | 0.1803 | 0.512269 ± 14 | –3.3 | 1.89 | 23.7 | 0.231 | 0.711132 ± 51 | 0.7049 | |
| Плагиоклаз | 0.493 | 3.31 | 0.0899 | 0.511154 ± 11 | –3.5 | 29.8 | 381 | 0.226 | 0.710997 ± 7 | 0.7049 | |
| Ca-552-6 | Долерит | 2.40 | 10.2 | 0.1423 | 0.511815 ± 6 | –3.1 | 19.4 | 229 | 0.244 | 0.712745 ± 10 | 0.7062 |
| Плагиоклаз | 0.625 | 4.01 | 0.0944 | 0.511145 ± 10 | –4.7 | 18.1 | 384 | 0.136 | 0.711355 ± 9 | 0.7077 | |
| Авгит | 6.60 | 21.6 | 0.1845 | 0.512181 ± 8 | –6.0 | 2.40 | 37.3 | 0.187 | 0.710436 ± 9 | 0.7054 | |
| Са-552-10 | Долерит | 1.26 | 5.06 | 0.1505 | 0.511881 ± 6 | –3.8 | 5.52 | 167 | 0.096 | 0.708116 ± 6 | 0.7056 |
| Ca-552-14 | Габбро-пегматит | 4.25 | 18.5 | 0.1391 | 0.511783 ± 9 | –3.0 | 28.2 | 256 | 0.318 | 0.715794 ± 10 | 0.7073 |
| Ca-562-5 | Долерит | 2.36 | 10.0 | 0.1424 | 0.511806 ± 8 | –3.3 | 33.2 | 178 | 0.539 | 0.716300 ± 8 | 0.7020 |
| Ca-666-3 | Долерит | 2.33 | 9.80 | 0.1436 | 0.511823 ± 7 | –3.2 | 22.8 | 180 | 0.366 | 0.712622 ± 6 | 0.7028 |
| Ca-676-2 | Долерит | 3.13 | 13.6 | 0.1393 | 0.511708 ± 7 | –4.5 | 25.2 | 201 | 0.363 | 0.714895 ± 5 | 0.7052 |
| Ca-676-4 | Габбро-пегматит | 15.4 | 73.8 | 0.1260 | 0.511593 ± 7 | –3.5 | 80.6 | 104 | 2.24 | 0.768053 ± 7 | 0.7080 |
| Ca-676-17 | Долерит | 2.47 | 10.5 | 0.1426 | 0.511736 ± 8 | –4.7 | 14.9 | 185 | 0.233 | 0.711429 ± 5 | 0.7052 |
| Ca-554-3 | Трондьемит | 3.45 | 23.0 | 0.0906 | 0.510762 ± 8 | –11 | 124 | 345 | 1.04 | 0.740399 ± 10 | 0.7126 |
| Ca-552-15 | Гранит | 1.89 | 11.4 | 0.1004 | 0.510690 ± 7 | –15 | 105 | 189 | 1.60 | 0.768383 ± 10 | 0.7256 |
| Ca-563-3 | Тоналит | 1.95 | 12.3 | 0.0956 | 0.510709 ± 7 | –13 | 57.1 | 281 | 0.588 | 0.724323 ± 11 | 0.7086 |
Первичный изотопный состав Nd в валовых пробах долеритов из маломощных силлов в районе пос. Дальние Зеленцы (εNd(1860) = –3.3) и губы Ивановка (εNd(1860) = –3.2) не различается. Крупные силлы имеют широкие вариации первичного изотопного состава Nd. В крупном силле в районе пос. Дальние Зеленцы изотопный состав валовых проб долеритов и габбро-пегматитов находится в интервале εNd(1860) = –3.3 ± 0.5. Этому же интервалу отвечают величины εNd(1860) в изученных ранее минеральных концентратах из образца долерита Са-552-3, включая Aug (–3.3) и Pl (–3.5), по которым был рассчитан изохронный возраст – около 1900 млн лет (Veselovskiy et al., 2019). Для обр. Са-552-6 величины εNd(1860) заметно различаются как для авгита (–6.0), так и для плагиоклаза (–4.7) (рис. 8, табл. 2). Долериты и габбро-пегматит в силле губы Дворовая имеют максимальные вариации и наименее радиогенный изотопный состав Nd, εNd(1860) = –4.1 ± 0.6 (рис. 8, табл. 2).
По первичному изотопному составу стронция (87Sr/86Sr)1860 силлы неоднородны. Наименее радиогенный Sr имеют долериты маломощных тел, в которых величина (87Sr/86Sr)1860 варьирует от 0.7019 до 0.7028. Долериты крупных силлов имеют более радиогенный изотопный состав Sr, варьирующий в широких пределах в объеме силлов в районе пос. Дальние Зеленцы (0.7046–0.7073) и губы Дворовая (0.7052–0.7080) и достигающий максимальных значений в габбро-пегматитах (рис. 8, табл. 2). Первичный изотопный состав Sr в минеральных концентратах двух образцов из силла в районе пос. Дальние Зеленцы сильно различается. Образец Са-552-3 с наименее радиогенным Sr имеет сравнительно небольшие вариации (87Sr/86Sr)1860 в валовой пробе (0.7046), авгите (0.7050) и плагиоклазе (0.7049), сопоставимые с аналитическими ошибками (табл. 2, рис. 8). В обр. Са-552-6 первичный изотопный состав Sr в валовой пробе (0.7062), Aug (0.7054) и Pl (0.7077) более радиогенный и имеет различия, существенно превышающие аналитические ошибки.
ОБСУЖДЕНИЕ РЕЗУЛЬТАТОВ
Полученные ранее (Арзамасцев и др., 2009; Veselovskiy et al., 2019) и приведенные в настоящей статье данные свидетельствуют о значительном сходстве пойкилоофитовых долеритов ВМСП в разных частях Мурманского кратона. Двупироксеновые оливинсодержащие долериты силлов имеют близкий минеральный состав и микроструктурные особенности во всех изученных телах. Они однородны по химическому составу, сложены умеренно-магнезиальными низко-Ti базитами толеитовой серии и имеют близкий характер дифференциации в объеме тел. Датированные в разных частях Мурманского кратона силлы имеют U-Pb изотопный возраст около 1860 млн лет и обладают близкими петро- и палеомагнитными характеристиками (Veselovskiy et al., 2019), что предполагает формирование ВМСП в результате одноактного внедрения расплавов. Проведенные исследования позволяют провести расшифровку истории формирования ВМСП, включая оценки состава первичного расплава, определение условий его коровой эволюции, кристаллизации мафических расплавов in situ, реконструкции тектонической обстановки их внедрения и геодинамических причин формирования расплавов.
Кристаллизация in situ
Тонкие силлы и зоны закалки более крупных тел не содержат фенокристов, что указывает на гомогенность внедрявшихся расплавов. Главные минералы закаленных долеритов – плагиоклаз (An81–78), оливин (Fo60) и авгит (XMg = 0.66–0.70) – фиксируют раннюю ликвидусную ассоциацию. Центральные части маломощных (1–10 м) силлов, сложенные пойкилоофитовыми долеритами пятнистой текстуры, представляют собой двухкомпонентную систему, являющуюся продуктом локальной дифференциации: (1) ойкокристы клинопироксена (XMg = 0.75–0.81) с большим объемом хадакристов плагиоклаза (An80–70) погружены в (2) мелкозернистую основную массу, сложенную авгитом (XMg = 0.52–0.62), оливином (Fo37–24) и плагиоклазом (An74–45) (рис. 3). Таким образом, последовательность кристаллизации расплавов в маломощных телах была следующей: оливин (Fo60 – 1–2%), основной плагиоклаз (An82–71) – до 25–30%, клинопироксен XMg = 0.75–0.81 – около 30%, матрикс – 40% от объема пород. Фиксируемые единичные ксеноморфные зерна магнезиального оливина Fo72 могут представлять реликты фенокристов, вынесенных расплавами из промежуточных камер.
Наличие в долеритах крупных тел ойкокристов клинопироксена с хадакристами плагиоклаза, аналогичных наблюдаемым в маломощных силлах, указывает на высокую скорость и большое количество центров кристаллизации в переохлажденных расплавах вблизи контактов с вмещающими гранитоидами и смещение фронта кристаллизации от верхнего и нижнего контактов к центру тела, что определило незначительные вариации составов пород в кровле и подошве крупных силлов (рис. 7). Общий объем однородных зон, близких по составу к исходным расплавам, в крупных силлах составляет до 40% от объема тел и достигает 20 м по мощности (рис. 7). Слабые вариации химического и минерального состава пород в телах ВМСП, в том числе в крупных силлах, характерный прямой профиль вариаций составов пород в разрезах тел (рис. 7) позволяют относить силлы ВМСП к I-типу (Marsh, 1996; Latypov, 2003). Особенности внутреннего строения крупных тел пойкилоофитовых долеритов ВМСП, типичные для силлов I-типа, могут быть обусловлены отсутствием фенокристаллов во внедрявшихся магмах (Marsh, 1996) или близостью составов расплавов к эвтектике системы Ol-Cpx-Pl (Latypov, 2003).
Моделирование кристаллизации расплава, отвечающего среднему составу долеритов маломощных силлов ВМСП (табл. 3) в программном пакете alphaMELTs 1.9 (Smith, Asimow, 2005; Ghiorso, Sack, 1995), показывает, что наблюдаемая в породах последовательность кристаллизации Pl + Ol → Pl + Cpx → Pl + Aug + Ol + Ti-Mgt может быть получена при давлениях менее 2 кбар. Согласно расчетам, выполненным в alphaMELTs 1.9 (Ghiorso, Sack, 1995; Asimow, Ghiorso, 1998), температуры ликвидуса расплавов (Tliq) при Р = = 0.5–2 кбар составляют 1240–1266°C. Оценки температур, полученные для пары оливин–авгит с использованием термометра (Lockus, 1996) предполагают кристаллизацию ойкокристов при Т = 1080°С, а основной массы при Т = 960°С. Следовательно, при кристаллизации силлов температура внедрявшихся расплавов должна быть резко (примерно на 200°С) понижена относительно Tliq. Зональность, наблюдаемая в плагиоклазах межойкокристового пространства в маломощных силлах (Suppl. 1), и наличие кварц-полевошпатовых интерстиций предполагает постепенное снижение температуры системы после кристаллизации ойкокристов.
Таблица 3.
Модельные составы и результаты моделирования
| Компоненты | 1 | 2 | 3 | 4 | 5 | 6 | 7 | 8 |
|---|---|---|---|---|---|---|---|---|
| SiO2 | 50.01 | 66.78 | 45.16 | 45.13 | 47.86 | 47.32 | 49.20 | 45.58 |
| TiO2 | 0.78 | 0.42 | 0.58 | 0.64 | 0.99 | 1.00 | 0.59 | 0.57 |
| Al2O3 | 16.05 | 16.58 | 11.59 | 11.78 | 12.40 | 18.49 | 10.61 | 8.17 |
| ${\text{F}}{{{\text{e}}}_{{\text{2}}}}{\text{O}}_{{\text{3}}}^{{{\text{tot}}}}$ | 11.04 | 3.80 | 12.98 | 12.52 | 11.58 | 11.30 | 12.02 | 13.10 |
| MnO | 0.17 | 0.038 | 0.17 | 0.18 | 0.17 | 0.23 | 0.17 | 0.18 |
| MgO | 8.20 | 1.20 | 20.47 | 18.25 | 16.55 | 8.43 | 15.18 | 22.06 |
| CaO | 10.57 | 3.89 | 8.00 | 10.10 | 9.51 | 10.52 | 10.39 | 9.25 |
| Na2O | 2.23 | 4.54 | 1.36 | 1.30 | 1.66 | 2.89 | 1.68 | 0.93 |
| K2O | 0.86 | 1.55 | 0.47 | 0.06 | 0.22 | 0.40 | 0.11 | 0.11 |
| P2O5 | 0.09 | 0.12 | 0.06 | 0.05 | 0.06 | 0.10 | 0.05 | 0.06 |
| H2O | 0.86 | 0.09 | 0.18 |
Примечание. 1 – средний пойкилоофитовый долерит; 2 – тоналит, обр. Са-563-3; 3 – состав первичного неконтаминированного расплава среднего долерита ВМСП, рассчитанный в PRIMELT3.MEGA; 4 – коматиит океанического плато (Kerr, 2003); 5 – контаминированный коматиит океанического плато; 6 – остаточный расплав, полученный при фракционной кристаллизации контаминированного коматиита океанического плато; 7 – средний состав Chukotat belt; 8 – средний состав Winipegiouis belt (Ciborowski et al., 2017).
Таким образом, становление силлов ВМСП могло происходить при внедрении афировых магм (Т = 1250°С) в верхнекоровые (P < 2 кбар) камеры. Кристаллизация во всех телах происходила быстро с резким снижением температуры и, главным образом, в пределах фронтов кристаллизации в кровле и подошве тел. В центральных частях крупных тел, остывавших дольше, фиксируются слабо проявленные процессы фракционной кристаллизации.
Первичные расплавы
Пойкилоофитовые долериты ВМСП, очевидно, являются продуктами фракционной кристаллизации более примитивных расплавов, поскольку низкие концентрации Cr и Ni в этих породах (табл. 1) исключают их равновесие с мантийными перидотитами. Реконструкция ранних этапов эволюции расплавов пойкилоофитовых долеритов осложнена отсутствием интрателлурических вкрапленников в породах, которые позволили бы провести независимую оценку глубины заложения промежуточных камер, Р-Т параметров кристаллизации и составов расплава с использованием минералого-петрографических и термобарометрических подходов. Вместе с тем возможный состав ликвидусной ассоциации в промежуточных камерах можно в первом приближении оценить, анализируя петрографические и геохимические особенности тонких и маломощных силлов. Плагиоклаз, вероятно, не кристаллизовался в промежуточных камерах, учитывая массовую раннюю кристаллизацию этого минерала на уровне становления силлов и высокие (около 16.5 мас. %) концентрации Al2O3 в закаленных долеритах. Также маловероятна кристаллизация клинопироксена в промежуточных камерах, о чем свидетельствуют высокая концентрация СаО в породах и отсутствие в клинопироксенах зон закалки выраженных высокомагнезиальных ядер (Suppl. 1), которые могли бы рассматриваться как реликты ранних фенокристов. Главным, и, возможно, единственным ликвидусным минералом был оливин, реликты фенокристов которого, по-видимому, сохранились в долеритах маломощных силлов (рис. 3, Suppl. 1, обр. Са-666-3). Имеющиеся данные не дают информации о кристаллизации ортопироксена на ранних этапах коровой эволюции первичных расплавов.
Все вышесказанное, а также достаточно примитивный состав долеритов ВМСП (в среднем в маломощных силлах MgO = 8.2 мас. %, CaO = 10.6 мас. %) позволяет использовать PRIMELT3 MEGA (Herzberg, Asimov, 2015) для оценки состава первичных расплавов, потенциальных температур и степени плавления мантийного источника. Полученные оценки показывают, что первичные расплавы пойкилоофитовых долеритов, вероятнее всего, были высокомагнезиальными (MgO = 20.8–23.7 мас. %), а потенциальные температуры в источнике могли достигать 1583–1655°С (табл. 3, Suppl. 2), что предполагает формирование первичных расплавов ВМСП в результате подъема высокотемпературного плюма.
Высокая магнезиальность первичных расплавов и их плюмовая природа косвенно подтверждаются и геохимическими характеритиками пород. Умеренные концентрации MgO на фоне низких концентраций как совместимых, так и несовместимых элементов позволяют предполагать, что расплавы пойкилоофитовых долеритов подверглись высоким степеням фракционной кристаллизации, а следовательно, первичные расплавы, характеризовавшиеся существенно более высоким содержанием MgO и более низкими концентрациями несовместимых элементов, могли быть сформированы при высоких степенях плавления деплетированной мантии и близки по составу к коматиитам.
Коровая контаминация
На существенный вклад процессов коровой контаминации в генезисe расплавов ВМСП указывают низкорадиогенный изотопный состав Nd и высокорадиогенный изотопный состав Sr в долеритах. Проведенные исследования позволяют распознать три разных типа контаминации, каждый из которых внес свой вклад в изотопно-геохимические особенности изученных долеритов.
Тонкие и маломощные силлы с наименьшим вкладом коровой контаминанты на уровне становления, вероятно, отвечают исходным магмам, поступавшим в верхнекоровые камеры. Изотопно-геохимические характеристики этих силлов, обладающих низким мантийным первичным изотопным составом стронция ((87Sr/86Sr)1860 = 0.7019–0.7028) и низкорадиогенным коровым изотопным составом неодима (εNd(1860) = –3.2) (рис. 8, 9), предполагают контаминацию первичных мантийных расплавов гнейсами и гранитоидами ТТГ-серии, с низкими Rb/Sr и Sm/Nd отношениями.
Рис. 9.
Диаграмма εNd(1860)–(87Sr/86Sr)1860 для долеритов Восточно-Мурманской провинции, иллюстрирующая возможный вклад разных типов коровой контаминации в мафические расплавы. 1 – верхнекоровая контаминация вмещающими гнейсами и гранитоидами при внедрении силла; 2 – верхнекоровая контаминация флюидом, образовавшимся при распаде биотита во вмещающих гранитоидах; 3 – суммарная контаминация первичных деплетированных мафических магм, проходившая, возможно, на среднем уровне коры. Остальные условные см. на рис. 8.

Как минимум, часть корового материала была захвачена расплавами в процессе внедрения и не успела полностью гомогенизироваться, что определило различия изотопных характеристик долеритов и их породообразующих минералов в объеме одного силла (рис. 9). Петрографическими свидетельствами неполной гомогенизации захваченных коровых пород в базитовом расплаве могут служить данные о присутствии в основных плагиоклазах (An81–78) включений, сложенных серицитом, калиевым полевым шпатом, олигоклазом и эпидотом (Supрl. 1, обр. Са-552-3). Результатом неполной гомогенизации контаминанты, возможно, являются повышенные концентрации калия (до 1 мас. %) в хадакристах плагиоклаза в маломощных силлах (Suppl. 1, обр. Са-666-3). Такой стиль контаминации мог быть обусловлен захватом корового материала при быстром перемещении перегретых базитовых расплавов в узких каналах среди гнейсов и гранитоидов с последующим быстрым охлаждением и закалкой этого контаминированного расплава при становлении силлов.
Помимо контаминации вмещающими гранитоидами, расплавы в крупных силлах, вероятно, были контаминированы флюидом с высокорадиогенным Sr. Указанием на это является резкое обогащение габбро-пегматитов радиогенным Sr ((87Sr/86Sr)1860 до 0.7080) без существенного изменения в них изотопного состава Nd (рис. 9). Образование такого обогащенного радиогенным Sr флюида могло происходить при разрушении биотита во вмещающих ТТГ-гнейсах и гранитах при температурном воздействии расплавов мощных силлов. При разрушении биотита образовавшийся флюид будет аномально обогащен 87Sr, который накапливался в биотите на протяжении почти 1 млрд лет (с 2.70 до 1.86 млрд лет) при радиоактивном распаде 87Rb (Knesel, Davidson, 1999). Значимость такого вклада радиогенного стронция в силлы можно оценить, ориентируясь на величины (87Sr/86Sr)1860 ~ 0.7046–0.7051 в долеритах подошвы и кровли мощных силлов, где количество позднемагматического флюида было, вероятно, минимальным.
Использование коматиита (табл. 3) в качестве первичного расплава силлов ВМСП позволяет оценить общий вклад процесса контаминации в петрогенезис исходного мафического расплава. Исходя из моделей смешения в бинарной системе коматиит–архейский тоналит Мурманского кратона (рис. 10), вклад коровой компоненты мог составлять от 10 до 12 об. %. Составы среднего долерита и архейского тоналита приведены в табл. 3.
Рис. 10.
Положение точек составов пойкилоофитовых долеритов на бинарных диаграммах, иллюстрирующих контаминацию расплавов, отвечающих по составу коматииту океанического плато (Kerr, 2003) и среднему вулканиту пояса Winnipegosis (Ciborowski et al., 2017), архейским тоналитам (обр. Са-563-3, табл. 2, 3).

Контаминация и фракционная кристаллизация в промежуточных камерах
Моделирование ранних этапов коровой контаминации и фракционной кристаллизации предполагаемых первичных расплавов пойкилоофитовых долеритов в промежуточных камерах было выполнено с использованием программного пакета alphaMELTs 1.9 (Smith, Asimow, 2005; Ghiorso, Sack, 1995). При моделировании были использованы следующие параметры: исходный расплав отвечал коматииту океанического плато (табл. 3), в качестве контаминанты принят архейский тоналит (обр. Са-563-3, табл. 3). Вклад контаминанты составлял 11%. Расчет фракционной кристаллизации контаминированного коматиитового расплава (табл. 3) проводился в закрытой системе при Р = 5 кбар, fO2 = NNO до получения остаточного расплава с содержанием MgO = 9.5 мас. %. При этом главными кристаллизовавшимися фазами были оливин (Mg# = 0.87–0.90) – 11%, ортопироксен (Mg# = 0.86–0.89) – 10%, авгит (Mg# = = 0.87–0.89) – 5% и алюмохромит – 0.1% (Suppl. 3). Степень кристаллизации составляла около 26%, а остаточный расплав по содержанию главных, высокозарядных, средних и тяжелых редкоземельных элементов близок к составу среднего пойкилоофитового долерита (табл. 3, рис. 11). При более высоких степенях кристаллизации резко увеличивается количество авгита, в остаточных расплавах снижается содержание CaO и повышается – Al2O3. Это является ограничением на степень кристаллизации в среднекоровых промежуточных камерах. Модельные расчеты показывают, что при формировании исходных магм пойкилоофитовых долеритов количество кристаллизовавшегося клинопироксена было минимальным. Довольно значительные отличия наблюдаются в содержаниях LILE и LREE в модельном исходном расплаве и среднем долерите (рис. 11). Обогащение расплавов этими элементами может быть обусловлено контаминацией архейскими гранитами при внедрении в верхнекоровые камеры. Предполагаемая неполная гомогенизация верхнекоровой контаминанты в расплавах не позволяет провести отдельно количественную оценку степени контаминации на этом уровне.
Рис. 11.
Бинарные и мультиэлементные диаграммы для модельных составов (мас. %) и предполагаемых первичных расплавов долеритов ВМСП и базитов CS LIP (по данным Ciborowsli et al., 2017). Состав коматиита океанического плато приведен по данным (Kerr, 2003). Состав контаминированного коматиита океанического плато (+11% ТТГ) приведен по результатам моделирования смешения; состав остаточных расплавов, полученных при кристаллизации контаминированного коматиита океанического плато, рассчитан в alphaMELTS 1.9. Архейский тоналит – обр. Са-563-3.

Механизмы формирования первичных расплавов
Возраст базитов ВСМП (1860 млн лет) совпадает с периодом завершения коллизии и начала коллапса в Лапландско-Кольском орогене (ЛКО) (Daly et al.; 2006, Балаганский и др., 2006) и процессами аккреции в расположенном далее к юго-западу Свекофеннском орогене (Lahtinen et al., 2008; Kukkonen et al., 2008; Melezhik, Hanski, 2013) (рис. 1, 12). Синхронность формирования базитовых расплавов с посторогенными и постсубдукционными процессами лапландско-кольской орогении могла бы служить основанием для предположения о взаимосвязи основного магматизма с деламинацией литосферного корня или отрывом субдуцируемой плиты, которые могут инициировать подъем и адиабатическое плавление астеносферы и погружающихся блоков литосферной мантии (Lustrino, 2005; Anderson, 2005). Однако этот аргумент в пользу модели деламинации теряет весомость, поскольку базиты, возраст которых составляет 1860 млн лет, не известны в Кольской провинции и локализованы исключительно в Мурманском кратоне, который примыкает к северо-восточному форланду ЛКО и находится вне зоны его влияния. В качестве еще одного аргумента в пользу модели деламинации можно было бы привлечь геохимические, изотопные и петрогенетические характеристики силлов базитов, такие как обогащение легкими REE, отрицательные аномалии Nb, отрицательные значения εNd(1860) и повышенные величины (87Sr/86Sr)1860, которые часто рассматриваются как указатели на плавление литосферной мантии, претерпевшей надсубдукционную метасоматическую и/или расплавную переработку задолго до эпизода плавления. Однако, как показывают расчеты, такие же характеристики базитов могли быть сформированы за счет контаминации деплетированных астеносферных магм архейским коровым материалом. Кроме того, низкие содержания Ti и других HFSE в долеритах делают маловероятным вовлечение в процесс плавления литосферной мантии Мурманского кратона, которая, могла быть обогащена высокозарядными элементами в ходе трех предшествовавших эпизодов Fe-Ti плюмового магматизма в Мурманском кратоне: 2680, 2505 и 1980 млн лет (Самсонов и др., 2019; Степанова и др., 2018). Возможность такого обогащения литосферной мантии под влиянием плюма показана для Сибирского кратона в работах (Тычков и др., 2008; Howarth et al., 2014).
Рис. 12.
Модель формирования силлов пойкилоофитовых долеритов Восточно-Мурманской провинции. Составлена с учетом данных (Lahtinen et al., 2008; Kukkonen et al., 2008; Daly et al., 2006; Ciborowski et al., 2017). СВЕКО – Свекофеннский аккреционный ороген, ЛКО – Лапландско-Кольский коллизионный ороген, AFC-камеры – среднекоровые магматические камеры, в которых происходила контаминация и фракционная кристаллизация расплавов.

В альтернативной модели зарождение первичных расплавов пойкилоофитовых долеритов ВМСП может быть обусловлено подъемом глубинного высокотемпературного плюма с последующей дифференциацией и контаминацией мантийных магм в коровых условиях. В пользу этой модели свидетельствуют геохимические особенности пород и результаты моделирования. Ограниченная площадь распространения ВМСП (рис. 1) предполагает, что глубинный мантийный источник расплавов мог располагаться за пределами Восточной Фенноскандии, а рассматриваемая область распространения силлов представляет периферию зоны влияния этого источника. Как показали исследования, отличительной особенностью силлов является однородность состава на территории Мурманского кратона. Внедрение больших объемов, близких по составу расплавов, на обширной территории, требует дренажа единой крупной магматической линзы в средней коре и быстрого заполнения пологих ослабленных зон в гнейсах и гранитоидах в верхней коре.
Подъем расплавов на уровень верхней коры мог происходить по пологим сдвиговым зонам глубокого заложения (рис. 12), которые были сформированы в ходе коллизионного этапа лапландско-кольской орогении 1.94–1.91 млрд лет назад (Daly et al., 2006). Реактивация этих зон могла происходить в период становления ВМСП в ходе более поздних (1.86–1.87 млрд лет) тектонических событий в Лапландско-Кольском орогене (Lahtinen, Huhma, 2019). Возможно, она была результатом удаленного отклика на аккреционные процессы в Свекофеннском орогене 1.86–1.87 млрд лет назад (Lahtinen et al., 2008). Подъем расплавов по таким тектоническим ослабленным зонам со значительной глубины, вероятно, мог обеспечить декомпрессионное плавление ранней фенокристовой ассоциации и гомогенность внедрявшихся в верхнекоровые камеры магм. Латеральное перемещение расплавов в верхней коре происходило, вероятно, по пологим трещинам отрыва в гранитоидах, а быстрое остывание расплавов обеспечило формирование силлов I-типа. Низкая вязкость афировых базитовых расплавов могла обеспечить заполнение пологих камер на значительное расстояние по латерали.
Палеотектонические корреляции силлов ВМСП
Объем расплавов ВМСП с учетом площади распространения и мощности тел составляет 25–30 км3, что исключает ее рассмотрение как самостоятельной крупной магматической провинции (Ernst, 2014). Вместе с тем силлы долеритов ВМСП могут представлять фрагмент более крупной магматической системы. Базиты близкого возраста известны на кратонах Илгарн (Stark et al., 2019) в Австралии, Дхарвар (French et al., 2008) в Индии, Зимбабве и Каапвааль в Южной Африке (Olsson et al., 2016), в составе крупной магматической провинции Circum Superior (CS LIP) на Канадском щите (Ciborowski et al., 2017). Последняя представляет наибольший интерес, так как по имеющимся реконструкциям Канадский и Фенноскандинавский щиты занимали близкую позицию в составе суперконтинента Нуна в период 1.8–1.9 млрд лет (Veselovskiy et al., 2019 и ссылки в этой работе).
Дайки, силлы и вулканиты крупной магматической провинции Circum Superior (Ciborowski et al., 2017; Minifie et al., 2013) установлены на периферии кратона Superior на Канадском щите, которая объединяет базиты двух геохимических типов: обогащенного и деплетированного. Обогащенный тип включает вулканиты формаций Flaherty, Hemlock, вулканических комплексов Emperor и Badwater и ультрабазиты пояса Thompson Nickel Belt. Деплетированный тип включает базальты и коматииты поясов Chukotat, Fox River и Winnipegosis и рои мафических даек Molson и Pickle Crow. Возраст базитов CS LIP варьирует от 1860 до 1880 млн лет (Ciborowski et al., 2017). Высокомагнезиальные базиты деплетированного типа поясов Chukotat и Winipegious рассматриваются как примитивные, близкие к первичным мантийным расплавам компоненты CS LIP, формирование которых происходило при Тр = 1595°С и Р = = 3.3 ГПа в результате подъема мантийного плюма (Ciborowski et al., 2017).
Сравнение долеритов ВМСП с базитами обогащенного компонента CS LIP показывает, что они контрастно отличаются по содержаниям Ti, Fe, HFSE, но близки по концентрациям LILE, LREE (рис. 11), изотопному составу Nd. Долериты ВМСП близки к наиболее дифференцированным базитам деплетированного типа в CS LIP по содержаниям петрогенных элементов, HREE и HFSE, но контрастно отличаются от них по изотопному составу Nd и характеру распределения LILE и LREE, что может объясняться разной степенью контаминации и фракционной кристаллизации близких по составу первичных расплавов. Оценки показывают, что расплавы ВМСП могут быть получены при 8% контаминации наиболее примитивных деплетированных базитов пояса Winnipegoisis архейскими тоналитами и последующей фракционной кристаллизацией контаминированных расплавов (рис. 10). Таким образом, имеющиеся геохимические, геохронологические и изотопные данные не противоречат предположению о принадлежности силлов ВМСП к крупной магматической провинции Circum Superior и позволяют предполагать близкое взаимное расположение Мурманского кратона и провинции Superior в период 1.86 млрд лет (рис. 12).
Полученные результаты подтверждают высказанные ранее предположения (Балаганский и др., 2011, 2016) о последовательной консолидаци и причленении к ядру суперконтинента Нуна сначала Мурманского и Кольского архейских коровых сегментов, затем архейского Карельского кратона и позднее палеопротерозойских островодужных комплексов Свекофеннской провинции. Именно поэтому 1.86 млрд лет назад, в то время, когда в консолидированной коре Северной Фенноскандии существовали внутриплитные обстановки и формировались базиты плюмового генезиса, в Свекофеннской области происходила аккреция островодужных коплексов к Карельскому блоку. Предположение о раннем и последовательном вхождении коровых сегментов Северной Фенноксандии в состав суперконтинента Нуна подтверждается и палеомагнитными данными для силлов пойкилоофитовых долеритов (Veselovskiy et al., 2019).
ЗАКЛЮЧЕНИЕ
Изученные силлы пойкилоофитовых долеритов (1860 млн лет) простираются на площади около 1000 км2 в северной части Мурманского кратона Фенноскандинавского щита. Силлы сложены умеренно-магнезиальными породами, слабо варьирующими по латерали и в разрезах тел, что позволяет относить их к силлам I-типа. Наблюдаемые особенности внутреннего строения тел обусловлены быстрой кристаллизацией в верхнекоровых камерах расплавов, не содержавших фенокристов.
Характер распределения рассеянных элементов и результаты моделирования предполагают, что высокомагнезиальные (коматиитовые) первичные для базитов ВСМП расплавы образовались в результате высоких степеней плавления глубинного источника при подъеме мантийного плюма и минимальном вкладе субконтинентальной литосферной мантии, модифицированной в ходе конвергентных процессов. Коровая эволюция расплавов включала несколько эпизодов их контаминации архейскими гранитоидами в среднекоровых промежуточных камерах, при подъеме к поверхности и на уровне становления, что подтверждается данными по изотопному составу Nd и Sr в породах силлов. Расчеты показывают, что степень контаминации составляла 10–12%.
Анализ пространственного распространения тел Восточно-Мурманской провинции позволят предполагать, что она сформирована на периферии зоны воздействия мантийного плюма и, вероятно, является компонентом крупной магматической провинции Circum Superioir. Это дает основание утверждать, что 1860 млн лет назад Мурманский кратон и провинция Сюьпериор представляли единый консолидированный литосферный блок, который служил рамой для внутриплитных базитов и, вероятно, представлял раннее ядро палеопротерозойского суперконтинента Нуна.
Благодарности. Авторы признательны рецензентам С.В. Богдановой, А.А. Носовой и В.В. Балаганскому, чьи конструктивные замечания позволили существенно улучшить статью.
Источники финансирования. Исследования выполнены при поддержке Российского научного фонда, грант № 16-17-10260. В проведении экспедиционных работ и сборе представительной коллекции каменного материала неоценимую помощь оказала команда судна “Удача”.
Список литературы
Арзамасцев А.А., Федотов Ж.А., Арзамасцева Л.В. Дайковый магматизм северо-восточной части Балтийского щита. М.: Наука, 2009. 379 с.
Балаганский В.В., Минц М.В., Дэйли Д.С. Палеопротерозойский Лапландско-Кольский ороген // Строение и динамика литосферы Восточной Европы. Результаты исследований по программе EUROPROBE. М.: Геокарт, 2006. С. 158–171.
Балаганский В.В., Раевский А.Б., Мудрук С.В. Нижний докембрий Кейвского террейна, северо-восток Балтийского щита: стратиграфический разрез или коллаж тектонических пластин? // Геотектоника. 2011. Т. 24. С. 32–48.
Балаганский В.В., Горбунов И.А., Мудрук С.В. Палеопротерозойские Лапландско-Кольский и Свекофеннский орогены (Балтийский щит) // Вестник КНЦ РАН. 2016. № 3. С. 5–11.
Ерофеева К.Г., Степанова С.В., Самсонов С.В. и др. Базитовые дайки и силлы палеопротерозойского возраста (2400 млн лет) на севере Фенноскандии: петрология и коровая эволюция // Петрология. 2019. Т. 27. № 1. С. 19–46.
Козлов Н.Е., Сорохтин Н.О., Глазнев В.Н. и др. Геология архея Балтийского щита. СПб.: Наука, 2006. 345 с.
Ларионова Ю.О., Самсонов А.В., Шатагин К.Н. Источники архейских санукитоидов (высоко-Mg субщелочных гранитоидов) Карельского кратона: Sm-Nd и Rb-Sr изотопно-геохимические данные // Петрология. 2007. Т. 15. № 6. С. 571–593.
Ранний докембрий Балтийского щита // Ред. В.А. Глебовицкий. СПб.: Наука, 2005. 711 с.
Светов С.А., Степанова А.В., Чаженгина С.Ю. и др. Прецизионный (ICP-MS, LA-ICP-MS) анализ состава горных пород и минералов: методика и оценка точности результатов на примере раннедокембрийских мафитовых комплексов // Тр. КарНЦ РАН. 2015. № 7. С. 173–192.
Самсонов А.В., Степанова А.В., Сальникова Е.Б. и др. Неоархейский плюм “Печенгского типа” в северной Фенноскандии: дайки 2680 млн лет в Мурманском кратоне // Материалы LI Тектонического совещания “Проблемы тектоники континентов и океанов”. М.: ГЕОС, 29.01–02.02.2019. Т. 2. С. 216–220
Степанова А.В., Сальникова Е.Б., Самсонов А.В. и др. U‑Pb геохронология раннедокембрийских базитов Кольско-Мурманской провинции Восточной Фенноскандии: дайковый “штрих-код” как основа палеоконтинентальных реконструкций // Материалы VII Российской конференции по изотопной геохронологии 5–7 июня 2018 г., М.: ИГЕМ РАН, 2018. С. 340–342 .
Тычков Н.C., Поxиленко Н.П., Кулигин C.C., Малыгина Е.В. Особенности состава и происхождения пиропов аномального состава из лерцолитов (cвидетельcтва эволюции литоcфеpной мантии Cибиpcкой платфоpмы) // Геология и геофизика. 2008. Т. 49. № 4. С. 302—318
Федотов Ж.А., Баянова Т.Б., Серов П.А. Пространственно-временные закономерности проявления дайкового магматизма Кольского региона // Геотектоника. 2012. № 6. С. 29–45.
Airoldi G., Muirhead J.D., White J.D.L., Rowland J. Emplacement of magma at shallow depth: Insights from field relationships at Allan Hills, south Victoria Land, East Antar-ctica // Antarct. Sci. 2011. V. 23. № 3. P. 281–296.
Anderson D.L. Large Igneous Provinces, Delamination, and Fertile Mantle // Elements. 2005. V. 1. № 5. P. 271–275.
Asimow P.D., Ghiorso M.S. Algorithmic Modifications Extending MELTS to Calculate Subsolidus Phase Relations // Amer. Mineral. 1998. V. 83. P. 1127–1131.
Bell B., Butcher H. On the emplacement of sill complexes: evidence from the Faroe-Shetland Basin // Geol. Soc. London, Spec. Publ. 2002. T. 197. № 1. C. 307–329.
Bogdanova S.V., Gorbatschev R., Garetsky R.G. Europe/ East European craton // Reference module in Earth systems and environmental sciences. Amsterdam: Elsiver, 2016. P. 1–18.
Ciborowski T.J.R., Minifie M.J., Kerr A.C. et al. A mantle plume origin for the Palaeoproterozoic Circum-Superior Large Igneous Province // Precambrian Res. 2017. V. 294. P. 189–213.
Coetzee A., Kisters A.F.M. Dyke-sill relationships in Karoo dolerites as indicators of propagation and emplacement processes of mafic magmas in the shallow crust // J. Struct. Geol. 2017. V. 97. P. 172–188.
Daly J.S., Balagansky V.V., Timmerman M.J., Whitehouse M.J. The Lapland-Kola orogen: Palaeoproterozoic collision and accretion of the northern Fennoscandian lithosphere // Geol. Soc. London, Mem. 2006. V. 32. № 1. P. 579–598.
Egorova V., Latypov R. Mafic-ultramafic sills: new insights from M- and S-shaped mineral and whole-rock compositional profiles // J. Petrol. 2013. V. 54. № 10. P. 2155–2191.
Elliot D.H., Fleming T.H. Weddell triple junction: The principal focus of Ferrar and Karoo magmatism during initial breakup of Gondwana // Geology. 2000. № 28. P. 539–542.
Ernst R.E. Large Igneous Provinces. Cambridge: Cambridge University Press, 2014. 653 p.
French J.E., Heaman L.M., Chack, T., Srivastava R.K. 1891–1883 Ma Southern Bastar-Cuddapah mafic igneous events, India: a newly recognized large igneous province // Precambrian Res. 2008. V. 160. P. 308–322.
Galerne C.Y., Neumann E.R., Aarnes I., Planke S. Magmatic differentiation processes in saucer-shaped sills: evidence from the Golden Valley Sill in the Karoo Basin, South Africa // Geosphere. 2010. V. 6. P. 163–188.
Gibb F.G.F., Henderson M.B. Convection and crystal settling in sills // Contrib. Mineral. Petrol. 1992. V. 109. № 4. P. 538–545.
Ghiorso M.S., Sack R.O. Chemical mass-transfer in magmatic processes IV. A revised and internally consistent thermodynamic model for the interpolation and extrapolation of liquid-solid equilibria in magmatic systems at elevated-temperatures and pressures // Contrib. Mineral. Petrol. 1995. V. 119. № 2–3. P. 197–212.
Herzberg C.T., Asimow P.D. PRIMELT3 MEGA.XLSM software for primary magma calculation: Peridotite primary magma MgO contents from the liquidus to the solidus // Geochem. Geophys. Geosyst. 2015. V. 16. P. 563–578.
Hölttä P., Balagansky V.V., Garde A.A. et al. Archean of Greenland and Fennoscandia // Episodes. 2008. V. 31. № 1. P. 13–19.
Howarth G.H., Barry P.H., Pernet-Fisher J.F. et al. Superplume metasomatism: Evidence from Siberian mantle xenoliths // Lithos. 2014. V. 184–187. P. 209–224.
Kerr A.C. Oceanic Plateaus // Treastise on Geochemistry. 2003. P. 537–565.
Knesel K.M., Davidson J.P. Sr isotope systematics during melt generation by intrusion of basalt into continental crust // Contrib. Mineral. Petrol. 1999. V. 136. P. 285–295.
Kukkonen I.T., Kuusisto M., Lehtonen M., Peltonen P. Delamination of eclogitized lower crust: Control on the crust–mantle boundary in the central Fennoscandian shield // Tectonophysics. 2008. V. 457. № 3–4. P. 111–127.
Lahtinen R., Garde A.A., Melezhik V.A. Paleoproterozoic evolution of Fennoscandia and Greenland // Episodes. 2008. V. 31. P. 20–28.
Lahtinen R., Huhma H. A revised geodynamic model for the Lapland-Kola Orogen // Precambrian Res. 2019. V. 330. P. 1–19.
Latypov R.M. The Origin of basic-ultrabasic sills with S-, D-, and I-shaped compositional profiles by in situ crystallization of a single input of phenocryst-poor parental magma // J. Petrol. 2003. V. 44. № 9. P. 1619–1656.
Leat P.T. On the long-distance transport of Ferrar magmas service on the long-distance transport of Ferrar magmas // Geol. Soc. London, Spec. Publ. 2008. V. 302. P. 45–61.
Lustrino M. How the delamination and detachment of lower crust can influence basaltic magmatism // Earth Sci. Rev. 2005. V. 72. № 1–2. P. 21–38.
Lockus R.R. A precise olivine-augite Mg-Fe-exchange geothermometer // Contrib. Mineral. Petrol. 1996. V. 125. P. 140–150.
Magee C., Muirhead J.D., Karvelas A. et al. Lateral magma flow in mafic sill complexes // Geosphere. 2016. V. 12. № 3. P. 809–841.
Marsh B.D. Solidification fronts and magmatic evolution // Mineral. Mag. 1996. V. 60. P. 5–40.
Melezhik V.A., Hanski E.J. The Early Palaeoproterozoic of Fennoscandia: Geological and tectonic settings // Reading the archive of Earth’s oxygenation. Eds. V.A. Melezhik et al. Frontiers in Earth Sciences. Berlin, Heidelberg: Springer Berlin Heidelberg, 2013. P. 33–38.
Menand T. Physical controls and depth of emplacement of igneous bodies: A review // Tectonophysics. 2011. V. 500. P. 11–19
Minifie M.J., Kerr A.C., Erns R.E. et al. The northern and southern sections of the western ca. 1880Ma Circum-Superior Large Igneous Province, North America: The Pickle Crow dyke connection? // Lithos. 2013. V. 174. P. 217–235.
Neumann E.-R., Svensen H., Tegner C. et al. Sill and lava geochemistry of the mid-Norway and NE Greenland conjugate margins // Geochem. Geophys. Geosystems. 2013. V. 14. P. 3666–3690.
Olsson J.R., Klausen M.B., Hamilton M.A. et al. Baddeleyite U-Pb ages and geochemistry of the 1875–1835 Ma Black Hills Dyke Swarm across north-eastern South Africa: part of a trans-Kalahari Craton back-arc setting? // GFF. 2016. V. 138. № 1. P. 183–202.
Pollard D.D., Johnson A.M. Mechanics of growth of some laccolithic intrusions in the Henry Mountains, Utah, II. Bending and failure of overburden layers and sill formation // Tectonophysics 1973. V.18. P. 311–354.
Smith P.M., Asimow P.D. Adiabat_1ph: A new public front-end to the MELTS, pMELTS, and pHMELTS models // Geochem. Geophys. Geosystems. 2005. № 6, art. no. Q02004.
Stark J.C., Wang X.-C., Denyszynd S.W. et al. Newly identified 1.89 Ga mafic dyke swarm in the Archean Yilgarn Craton, Western Australia suggests a connection with India // Precambrian Res. 2019. V. 329. P. 156–169.
Veselovskiy R.V., Samsonov A.V., Stepanova A.V. et al. 1.86 Ga key paleomagnetic pole from the Murmansk craton intrusions, NE Fennoscandia: multidisciplinary approach and paleotectonic applications // Precambrian Res. 2019. V. 324. P. 126–145.
Stephens T.L., Walker R.J., Healy D. et al. Igneous sills record far-field and near-field stress interactions during volcano construction: Isle of Mull, Scotland // Earth Planet. Sci. Lett. 2017. V. 478. P. 159–174.
Thirlwall M.F. Long-term reproducibility of multicollector Sr and Nd isotope ratio analysis // Chem. Geol. 1991. V. 94. № 2. P. 85–104.
Walker R.J. Controls on transgressive sill growth // Geology. 2016. V. 44. № 2. P. 99–102.
Walker R.J., Healy D., Kawanzaruwa T.M. et al. Igneous sills as a record of horizontal shortening: The San Rafael subvolcanic field, Utah // Bull. Geol. Soc. Amer. 2017. V. 129. № 9–10. P. 1052–1070.
Wedepohl K.H., Hartmann G. The composition of the primitive upper earth’s mantle // Kimberlites, related rocks and mantle xenoliths. Eds. H.O.A. Meyer, O.H. Leonardos, Companhia de Pesquisa de Recursos Minerais. 1994. P. 486–495.
Дополнительные материалы отсутствуют.
Инструменты
Петрология




