Петрология, 2020, T. 28, № 2, стр. 115-138
Реликты эоархейской континентальной коры Анабарского щита, Сибирский кратон
Н. И. Гусев a, *, Л. Ю. Сергеева a, А. Н. Ларионов a, С. Г. Скублов b, c
a Геологический институт им. А.П. Карпинского
199106 Санкт-Петербург, Средний просп., 74, Россия
b Институт геологии и геохронологии докембрия РАН
199034 Санкт-Петербург, наб. Макарова, 2, Россия
c Санкт-Петербургский горный университет
199106 Санкт-Петербург, 21 линия, 2, Россия
* E-mail: nikolay_gusev@vsegei.ru
Поступила в редакцию 20.03.2019
После доработки 06.05.2019
Принята к публикации 27.09.2019
Аннотация
В северной части Анабарского щита ортопироксеновые плагиогнейсы далдынской гранулитовой серии содержат линзы мафических пород, окруженные меланократовыми оторочками. По химическому составу мафические породы соответствуют умеренно-щелочным габбро, плагиогнейсы – гранодиоритам, контаминированные мафическим материалом оторочки – диоритам. Ортопироксеновые плагиогнейсы гранодиоритового состава характеризуются величинами 147Sm/144Nd = 0.1097, εNd(Т) = 1.6, TNd(DM) = 3.47 млрд лет и образованы по анатектическим гранитоидам c возрастом 3.34 млрд лет. Мафические породы имеют высокие содержания Zr, Th, Pb, обогащены REE (ΣREE = 636 ppm) c высокой степенью фракционированности (La/Yb)N = 17.73) и хорошо выраженным Eu-минимумом (Eu/Eu* = 0.51), характеризуются значениями 147Sm/144Nd = 0.099, εNd(Т) = 1.4, TNd(DM) = 3.65 млрд лет. Предполагается, что образование этих пород происходило в результате кристаллизации расплава, поступившего из обогащенного мантийного (плюмового) источника. По результатам определения возраста U-Pb методом (SHRIMP-II) 50 зерен циркона из мафических пород установлена группа зерен с конкордантными возрастами от 3567 до 1939 млн лет, а также большое количество дискордантных значений. Множественные измерения в зернах циркона с дискордантными величинами позволяют выделить семь зерен эоархейского возраста с верхними пересечениями дискордий 3987 ± 71–3599 ± 33 млн лет. Lu-Hf систематика в 14 зернах циркона характеризуется εHf(T) = +3.7, близкими значениями THf(DM) = 3.95 и ${\text{T}}_{{{\text{Hf}}}}^{{\text{C}}}$ = 3.93 млрд лет, для наиболее древнего циркона – 3.99 млрд лет. Палеоархейские цирконы (3.57 млрд лет) характеризуются отрицательными величинами εHf(T) = –5.3 и –6.8 и значениями THf(DM) = 3.92–3.98 млрд лет и ${\text{T}}_{{{\text{Hf}}}}^{{\text{C}}}$ = 4.14–4.24 млрд лет, указывающими на рециклинг ранее существовавшей континентальной коры эоархейского и хадейского возраста. Образование более позднего циркона (3287–2410 млн лет) также происходило в процессе переработки раннее существовавшей коры.
ВВЕДЕНИЕ
Анабарский щит на севере Сибирского кратона сложен преимущественно породами гранулитовой фации метаморфизма далдынской и верхнеанабарской серий архейского возраста и хапчанской серии раннего протерозоя. Изучение циркона в древних породах является наиболее эффективным инструментом для познания процессов формирования и эволюции ранней земной коры (Hawkesworth et al., 2017; Trail, 2018). Уже на ранних этапах изучения пород Анабарского щита U-Pb датированием циркона было установлено два этапа гранулитового метаморфизма: первый – в архее (2.75 ± 0.05 млрд лет), второй – в раннем протерозое (1.97 ± 0.02 млрд лет) (Архей …, 1988). По данным изучения Sm-Nd изотопных систем и U-Pb возраста цирконов в архейских породах Анабарского щита выделяется несколько эпизодов корово-мантийного взаимодействия – 3.15–3.12, 2.99, 2.89, 2.79, 2.70 млрд лет (Гусев, 2013). По результатам изучения U-Pb и Lu-Hf изотопных систем детритового циркона из современного аллювия Анабарского щита фиксируется три основных периода магматической активности: 3.4–3.0, 2.8–2.4, 2.0–1.8 млрд лет (Paquette et al., 2017). Возраст мощных тектонотермальных процессов – 2.9–2.85, 2.75–2.7, 2.0–1.95 млрд лет подтверждается данными U-Pb и Lu-Hf изотопных систем цирконов из гранулитовых ксенолитов в кимберлитах Анабарской провинции (Shatsky et al., 2018). Существенным является то, что протерозойский гранулитовый метаморфизм проявлен в породах повсеместно, что скрывает более ранние события. Именно с ранепротерозойским этапом связано формирование ультравысокотемпературных сапфиринсодержащих парагнейсов Анабарского щита (Ножкин и др., 2018), в которых возраст ядер наиболее молодого детритового циркона составляет 2.2 млрд лет.
Глубокий и неоднократно проявленный метаморфизм сильно затрудняет определение времени формирования исходного субстрата гранулитов. Исходные породы гранулитов и их первичный циркон обычно перекристаллизованы, изотопные системы часто нарушены, поэтому определение состава и возраста первичных пород гранулитов является проблематичным. В настоящее время на Земле сохранилось только 5% архейской коры, возраст которой более 3 млрд лет (Hawkesworth et al., 2017). Еще реже встречаются эоархейские образования (более 3.6 млрд лет), а хадейские породы идентифицированы пока только в Канаде (гнейсы Акаста; Reimink et al., 2016). Вещество доархейской коры в настоящее время присутствует в виде детритового эоархейского циркона в осадочных породах или в виде магматического циркона в эоархейских плутонических породах. Возраст кристаллизации древних пород часто является спорным, в связи с возможным присутствием в одном образце нескольких генераций циркона, что связано с такими процессами, как метаморфическая рекристаллизация, вторичные обрастания, субсолидусные изменения и растворение, потеря Pb в результате нарушения изотопных систем. Кроме того, древние породы испытывали многочисленные термальные воздействия, и цирконы из этих пород обычно имеют сложную структуру. Целью статьи является обоснование существования эоархейской континентальной коры Сибирского кратона на основании результатов изучения U-Pb возраста, микроэлементного состава и Lu-Hf систематики циркона из глубокометаморфизованных палеоархейских образований далдынской серии Анабарского щита.
ГЕОЛОГИЧЕСКОЕ СТРОЕНИЕ
Многочисленные определения U-Pb возраста циркона и изучение Sm-Nd изотопных систем (Липенков и др., 2016; Гусев и др., 2016, 2017) показали, что среди архейских пород Анабарского щита наиболее распространены гранулиты, возраст исходных пород которых составляет 3.0–2.8 млрд лет. Реже встречаются мигматизированные мафические кристаллосланцы, лейкосома в которых представлена эндербитами с возрастом 3.34 млрд лет (Степанюк и др., 1993), при этом возраст протолита мафических кристаллосланцев оставался неясным. В настоящей работе охарактеризованы наиболее древние породы, обнаруженные на севере Анабарского щита в гранулитах верхнего течения р. Налим Рассоха (рис. 1). Здесь в составе далдынской серии выделена монотонная толща орто- и двупироксеновых плагиогнейсов с линзами мафических, ультрамафических и плагиоклазовых кристаллосланцев, мощностью первые сотни метров и протяженностью до нескольких километров. Мафические кристаллосланцы содержатся также в плагиогнейсах в виде разного размера линзовидных тел, окруженных оторочками меланократовых гнейсов. Пример таких пород показан на рис. 2.
Рис. 1.
Схема геологического строения Анабарского щита. 1–3 – метаморфические образования архея и раннего протерозоя: 1 – далдынская серия, 2 – верхнеанабарская серия, 3 – хапчанская серия; 4 – раннепротерозойские зоны смятия; 5 – интрузивные образования: а – анортозиты, б – габброиды; 6 – автохтонные и параавтохтонные гранитоиды; 7 – главные разломы: а – крутопадающие, б – надвиги; 8 – платформенный чехол; 9 – участок с эоархейскими кристаллосланцами, координаты: 70°26′49.9′′ с.ш., 109°31′14.7′′ в.д.

Рис. 2.
Приполированные образцы из зоны контакта мафических кристаллосланцев (1) c лейкоплагиогнейсами (3) и полосы переходных пород (2). 1 – двупироксеновые кристаллосланцы (пр. 607, TNd(DM) = 3.65 млрд лет), 2 – контаминированные двупироксеновые гнейсы (пр. 607А, TNd(DM) = 3.67 млрд лет); 3 – ортопироксеновые лейкоплагиогнейсы (пр. 607В, TNd(DM) = = 3.47 млрд лет).

МЕТОДЫ ИССЛЕДОВАНИЯ
Содержания петрогенных и редких элементов в породах определены методами XRF и ICP-MS в лаборатории ФГБУ ВСЕГЕИ (г. Санкт-Петербург). Погрешности определения методом XRF не превышают 5 отн. %. Пределы обнаружения редких элементов составляют от 0.005 до 0.1 ppm. Точность анализа в среднем – 2–7 отн. %. Определение состава минералов проводилось в прозрачно-полированных шлифах на электронном микроскопе CamScan MV2300 c энергодисперсионным спектрометром Link ISIS-300.
U-Pb датирование циркона осуществлялось на ионном микрозонде SHRIMP-II в Центре изотопных исследований (ЦИИ) ВСЕГЕИ по общепринятой методике (Williams, 1998). Для выбора участков (точек) датирования использовались оптические (в проходящем и отраженном свете) и катодолюминесцентные изображения (CL), отражающие внутреннюю структуру и зональность цирконов. Интенсивность первичного пучка молекулярного кислорода составляла 4 нА, диаметр пятна (кратера) – 25 мкм при глубине 2 мкм. Обработка полученных данных осуществлялась с использованием программы SQUID (Ludwig, 2000). U-Pb отношения нормализовались на значение 0.0668 для стандартного циркона TEMORA с возрастом 416.75 млн лет (Black et al., 2003). Погрешности единичных анализов (отношений и возрастов) приводятся на уровне 1σ, погрешности вычисленных значений конкордантных возрастов и пересечений с конкордией – на уровне 2σ. Построение графиков проводилось с помощью программы ISOPLOT/ET (Ludwig, 1999).
Анализ редких элементов в цирконе выполнен методом масс-спектрометрии вторичных ионов на ионном микозонде Cameca IMS-4f в Ярославском филиале Физико-технологического института РАН, процедура исследования приведена в работе (Федотова и др., 2008). Точность определения составляет <10% для содержаний элементов более 0.1 ppm и 30–50% при концентрациях менее 0.1 ppm.
Определение Lu-Hf изотопного состава циркона проведено методом ICP-MS с лазерной абляцией с применением 193 нм ArF лазера COMPex-102, системы абляции DUV-193 и мультиколлекторного масс-спектрометра с ионизацией в индуктивно связанной плазме ThermoFinnigan Neptune в ЦИИ ВСЕГЕИ по методике, описанной в работе (Griffin et al., 2000). Конфигурация коллекторов позволяла одновременно регистрировать изотопы 172Yb, 174Yb, 175Lu, 176Hf, 177Hf, 178Hf, 179Hf. Для коррекции масс-дискриминации использовалось одно нормализующее отношение (178Hf/177Hf). Корректное значение 176Hf было получено путем вычитания 176Yb и 176Lu (измерялись свободные от наложений 172Yb и 175Lu) (Капитонов и др., 2007). Анализ изотопного состава выполнен в точках U-Pb датирования, но диаметр кратера составлял ∼50 мкм, а глубина – 20–40 мкм. За период измерений средние величины 176Hf/177Hf для цирконовых стандартов составили 0.282701 ± 35 (TEMORA, n = 6), 0.282497 ± 27 (Mud Tank, n = 5) и 0.282009 ± 23 (GJ-1, n = 7). Эти величины соответствуют опубликованным значениям для стандартов: TEMORA – 0.282680 ± 24 (Woodhead et al., 2004), Mud Tank – 0.282504 ± 44 (Woodhead, Hergt, 2005) и GJ-1 – 0.282015 ± 19 (Elhlou et al., 2006). При обработке данных принята постоянная распада 176Lu = 1.865 × 10–11 лет–1 (Scherer et al., 2001). Для расчета εHf использованы хондритовые величины: 176Lu/177Hf = 0.0332 и 176Hf/177Hf = 0.282772 (Blichert-Toft, Albarede, 1997). Hf модельный возраст определен относительно деплетированной мантии (DM) с параметрами: 176Lu/177Hf = 0.0384 и 176Hf/177Hf = 0.28325 (Chauvel, Blichert-Toft, 2001). Поскольку модельный возраст циркона THf(DM) представляет собой минимальный возраст источника расплава, из которого он кристаллизовался, также был рассчитан по двухстадийной модели возраст ${\text{T}}_{{{\text{Hf}}}}^{{\text{С}}}{\text{,}}$ полученный проецированием инициального 176Hf/177Hf циркона к линии деплетированной мантии с использованием среднекоровой величины 176Lu/177Hf = 0.015 (Griffin et al., 2000).
Изотопный Sm-Nd состав изучен с применением стандартных процедур выделения элементов, изотопные измерения осуществлены с помощью масс-спектрометра ThermoFinnigan MAT TRITON (ЦИИ ВСЕГЕИ). При расчете величин εNd(Т) использовались следующие значения современных изотопных отношений для однородного хондритового резервуара (CHUR): 147Sm/144Nd = 0.1967 и 143Nd/144Nd = 0.512638 (Jacobsen, Wasserburg, 1984). Одностадийный модельный возраст TNd(DM) рассчитан относительно деплетированной мантии с параметрами 147Sm/144Nd = 0.2136 и 143Nd/144Nd = 0.51315 (Goldstein, Jacobsen, 1988).
Символы минералов приведены по (Whitney, Evans, 2010).
РЕЗУЛЬТАТЫ ИССЛЕДОВАНИЙ
Петрография пород изучалась в шлифах, состав породообразующих и рудных минералов – методом SEM EDS. Ксенолиты меланократовых двупироксеновых кристаллосланцев (пр. 607) по химическому составу соответствуют щелочным базитам. Минеральный состав: плагиоклаз (Ab61.14An36.12Or2.74) – 40–45 об. %, клинопироксен авгитового ряда (En37.31Fs18.41Wo44.28) – 20–25 об. %, ортопироксен (En56.10Fs45.23Wo1.38) – 5–7 об. %, бурая роговая обманка – магнезиогастингсит (содержит K2O 2–3 мас. % и TiO2 1.7–2.5 мас. %) – 15–20 об. %, Сr-содержащий (Сr2O3 0.6–1 мас. %) магнетит – 10 об. %, Mn-содержащий (MnO 1.18–1.82 мас. %) ильменит – 2 об. %, единичные зерна апатита, циркона, монацита и чешуйки наложенного биотита. Величина XMg22 убывает в последовательности: клинопироксен 0.67, ортопироксен 0.58, амфибол 0.44. В пироксенах отмечается содержание MnO: Орх – 0.53–1.08 мас. %, Cpx – 0.44–0.49 мас. %.
Лейкократовые плагиогнейсы (пр. 607B) имеют тоналит-гранодиоритовый состав: антипертитовый плагиоклаз (Ab71.34An25.92Or2.75) – 50–55 об. %, кварц – 30–33 об. %, ортоклаз (Ab9.59Or90.41) – 9–10 об. %, сгустки крупных выделений ортопироксена (En61.98Fs36.76Wo1.26) – 10 об. %, хромсодержащий (Сr2O3 1.42 мас. %) магнетит – 3 об. %, ильменит – 1 об. %, в единичных зернах присутствуют апатит, циркон, монацит.
Контаминированные двупироксеновые гнейсы (пр. 607A) содержат две генерации андезинового плагиоклаза: раннюю (An43) с антипертитовыми вростками и более однородную позднюю (Ab67.80 An29.12Or3.08), в сумме составляющие 55–60 об. %, ортопироксен (En59.06Fs39.62Wo1.32) – 12 об. %, клинопироксен авгитового ряда (En38.58Fs17.39Wo44.04) – 7–10 об. %, бурую роговую обманку – 2–3 об. %, кварц – 5%, Сr-содержащий (Сr2O3 1.56–2.24 мас. %) магнетит – 5 об. %, Mn-содержащий (MnO 0.88–2.01 мас. %) ильменит – 1 об. %, апатит и единичные чешуйки биотита. В пироксенах отмечается снижение содержания MnO от орто- к клинопироксенам: Орх – 0.66–0.81 мас. %, Cpx – 0.27–0.45 мас. %.
Магнезиальность ортопироксенов наиболее высокая в ортогнейсах (XMg= 0.67), минимальная – в мафических ксенолитах (XMg = 0.58) и промежуточная (XMg = 0.63) в контаминированных гнейсах. Клинопироксены также более магнезиальные в контаминированных гнейсах (XMg = 0.72), чем в мафических ксенолитах (XMg = 0.67), в плагиогнейсах клинопироксен отсутствует.
Геохимические особенности. Мафические кристаллосланцы (пр. 607) отличаются низким содержанием SiO2 44.7 мас. % (табл. 1), высокими содержаниями железа (Fe2O3 = 8.94, FeO = 8.69 мас. %) и магния 8.27 мас. % (Мg#33 = 46.8), повышенной щелочностью (в мас. %): Na2O = 2.49 и K2О = 0.9. На TAS-диаграмме (Петрографический кодекс, 2009) породы относятся к умерено-щелочной серии. При нормализации содержаний редких элементов на состав примитивной мантии (рис. 3а) отмечаются положительные аномалии Th, La, Ce, Pb, Nd, отрицательные – Ta, Nb, Ti, Sr, P. Кристаллосланцы имеют высокие концентрации Th, Zr и обогащены REE (ΣREE = 636 ppm) при высокой степени фракционированности (La/Yb)N = 17.73) и хорошо выраженном Eu-минимуме (Eu/Eu*44 = 0.51), что может указывать на фракционирование в условиях континентальной коры (Тейлор, Мак-Леннан, 1988). Повышенные содержания Сr = = 1010 ppm и Ni = 235 ppm, низкие величины отношений MgO/CaO = 0.83, P2O5/TiO2 = 0.15 дают основание предполагать в качестве протолита магматические породы основного состава (Werner, 1987).
Таблица 1.
Содержания петрогенных (мас. %) и редких (ppm) элементов в гранулитах
| Компоненты | 607 | 607A | 607B |
|---|---|---|---|
| SiO2 | 44.7 | 57.4 | 69.2 |
| TiO2 | 1.37 | 0.86 | 0.5 |
| Al2O3 | 12.8 | 15.6 | 14.9 |
| Fe2O3 | 8.94 | 4.66 | 2.14 |
| FeO | 8.69 | 4.17 | 1.71 |
| MnO | 0.23 | 0.16 | 0.06 |
| MgO | 8.27 | 5.13 | 2.22 |
| CaO | 10.0 | 6.59 | 3.52 |
| Na2O | 2.49 | 3.97 | 3.8 |
| K2O | 0.9 | 0.76 | 1.61 |
| P2O5 | 0.21 | 0.13 | 0.12 |
| П.п.п. | 0.16 | <0.1 | <0.1 |
| Сумма | 98.8 | 99.4 | 99.8 |
| Th | 47.3 | 2.21 | 1.29 |
| U | 1.35 | 0.18 | 0.29 |
| Rb | 6.06 | 2.67 | 23.7 |
| Ba | 224 | 649 | 841 |
| Sr | 97.1 | 344 | 351 |
| La | 147 | 38.0 | 27.9 |
| Ce | 288 | 71.6 | 50.0 |
| Pr | 32.1 | 8.83 | 5.69 |
| Nd | 107 | 34.5 | 20.3 |
| Sm | 15.9 | 7.04 | 3.71 |
| Eu | 2.61 | 1.89 | 1.15 |
| Gd | 15.3 | 6.29 | 3.21 |
| Tb | 2.02 | 1.07 | 0.50 |
| Dy | 10.9 | 6.42 | 2.58 |
| Ho | 2.12 | 1.35 | 0.57 |
| Er | 6.11 | 4.05 | 1.49 |
| Tm | 0.89 | 0.6 | 0.19 |
| Yb | 5.59 | 3.76 | 1.33 |
| Lu | 0.77 | 0.58 | 0.23 |
| Zr | 351 | 149 | 338 |
| Hf | 9.17 | 3.89 | 8.69 |
| Ta | 1.14 | 0.29 | 0.18 |
| Nb | 17.3 | 7.27 | 3.78 |
| Y | 59.6 | 36.9 | 14.7 |
| Cr | 1010 | 259 | 67.7 |
| V | 224 | 125 | 56.5 |
| Ni | 235 | 75.4 | 17.0 |
| Co | 57.9 | 32.1 | 11.1 |
| Sc | 46.6 | 15.5 | 5.36 |
| Cu | 16.0 | 55.1 | 24.9 |
| Zn | 209 | 157 | 75.1 |
| Pb | 14.8 | 8.75 | 12.0 |
| Be | 1.14 | 1.06 | 0.50 |
| Ga | 26.8 | 22.1 | 19.4 |
| Mg# | 46.8 | 52.2 | 52.1 |
| Eu/Eu* | 0.51 | 0.87 | 1.02 |
| (La/Yb)N | 17.7 | 6.81 | 14.1 |
| ΣREE | 636 | 186 | 119 |
Рис. 3.
Мультиэлементные диаграммы для гранулитов. 1 – двупироксеновые кристаллосланцы (пр. 607), 2 – контаминированные двупироксеновые гнейсы (пр. 607А); 3 – ортопироксеновые лейкоплагиогнейсы (пр. 607В). Нормализация содержаний проведена на состав примитивной мантии и хондрита по (Sun, McDonough, 1989).

Ортопироксеновые лейкоплагиогнейсы (пр. 607B) по химическому составу (табл. 1) соответствуют гранодиоритам (в мас. %): SiO2 = 69.2, Na2O = 3.8, K2O = 1.61 c невысоким содержанием Al2O3 = 14.9 мас. % (ASI55 = 1.05). Отмечается повышенная магнезиальность пород Мg# = 52.1, высокие содержания фемафильных элементов: FeOtоt + MgO + MnO + TiO2 = 6.82 мас. %, Ni = = 17 ppm, Cr = 67.7 ppm, низкая концентрация Y = 14.7 ppm и невысокие отношения (La/Yb)N = 14 и Sr/Y = 24. При нормализации содержаний на состав примитивной мантии (рис. 3) отмечаются положительные аномалии Ba, La, Pb, Zr, отрицательные – Th, U, P, Nb, Ta, Ti. Содержание REE относительно невысокое (ΣREE = 119 ppm), степень фракционированности равна 14, Eu-минимум отсутствует (Eu/Eu* = 1.02).
Контаминированные двупироксеновые гнейсы по химическому составу (табл. 1) соответствуют диоритам (в мас. %): SiO2 = 57.4, Na2O = 3.97, K2O = = 0.76. Породы метаглиноземистые (ASI = 0.81) c такой же как в лейкоплагиогнейсах магнезиальностью (Мg# = 52.2), но более высокими содержаниями Nd, Sm, Y и HREE. В них выше чем в лейкоплагионейсах содержание REE (ΣREE =186 ppm), слабо выражен Eu-минимум (Eu/Eu* = 0.87) и степень фракционированности REE (La/Yb)N = 6.8).
Изучение Sm-Nd системы пород показывает, что она характеризуется низкими величинами отношения 147Sm/144Nd = 0.0998–0.1246, значениями εNd(T) от – 0.6 до +1.6 и модельным возрастом протолита TNd(DM) от 3.65–3.67 млрд лет в двупироксеновых мафических ксенолитах и контаминированных гнейсах до 3.47 млрд лет в лейкоплагиогнейсах (табл. 2).
Таблица 2.
Изотопный состав самария и неодима в гранулитах
| Номер пробы |
Возраст, млн лет | Sm, ppm |
Nd, ppm |
147Sm/144Nd | 143Nd/144Nd | εNd(T) | TNd(DM), млрд лет | TNd(DM-2st), млрд лет |
|---|---|---|---|---|---|---|---|---|
| 607 | 3600 | 18.0 | 109 | 0.0998 | 0.510402 | 1.4 | 3.65 | 3.67 |
| 607A | 3400 | 7.03 | 34.1 | 0.1246 | 0.510987 | –0.6 | 3.67 | 3.66 |
| 607B | 3400 | 3.87 | 21.3 | 0.1097 | 0.510765 | 1.6 | 3.47 | 3.48 |
Примечание. Номера проб соответствуют таковым на рис. 2.
U-Pb датирование и геохимия циркона. Датирование циркона выполнено для всех трех разностей пород: мафических двупироксеновых кристаллосланцев, двупироксеновых гнейсов и ортопироксеновых лейкоплагиогнейсов.
Циркон из двупироксеновых кристаллосланцев (пр. 607) представлен бесцветными, желтоватыми, розоватыми, прозрачными призматическими и овальными зернами полигенного строения. Длина кристаллов составляет 108–370 мкм, коэффициент удлинения 1.2–3.2. Свечение слабое (CL), выделяются ядра циркона с грубой, пятнистой, секториальной, реже ритмичной, зональностью, по периферии развиты темно-серые до черных оторочки. На границе черных оторочек и ядер иногда сохраняются тонкие яркие прерывистые оболочки. На первом этапе была изучена U-Pb изотопная система для 49 зерен, в основном по ядрам циркона. В результате был получен широкий диапазон значений 207Pb-206Pb возраста 3838–1928 млн лет, значительная часть из которых оказалась дискордантной. В дополнение к единичным анализам было проанализировано 13 зерен с дискордантными значениями возраста еще в 66 точках, в общей сложности проведено 105 определений (Suppl. 1, ESM_1.xls)66. Некоторые анализы не образуют каких-либо закономерных кластеров и дискордий, но по семи зернам на основании не менее трех анализов в каждом зерне, получены статистически достоверные линейные тренды (дискордии), а также их верхние и нижние пересечения с линией конкордии (СКВО < 1, табл. 3). По пяти зернам получены менее достоверные данные (СКВО = = 1.9–2.8) и по одному зерну значение СКВО составляет 11.8. Среди достоверных данных наибольший интерес представляют дискордии по верхним пересечениям с линией конкордии для цирконов с эоархейским возрастом (>3600 млн лет). Большинство дискордий по нижним пересечениям имеют палеопротерозойские значения возраста, что объясняется потерями радиогенного свинца в процессе палеопротерозойского и лишь в одном случае (зерно с анализами в точках 47.1–47.5) – неоархейского метаморфизма.
Таблица 3.
Возрасты пересечений дискордий для зерен циркона с несколькими определениями U-Pb возраста
| Номера анализов в зернах циркона | Исключенные анализы |
Нижнее пересечение, млн лет | ±2σ | Верхнее пересечение, млн лет | ±2σ | СКВО |
|---|---|---|---|---|---|---|
| 6.1–6.2 | 0 из 2 | 1978 | 200 | 3943 | 59 | 0.00 |
| 28.1–28.7 | 1 из 7 | 1243 | 400 | 3048 | 82 | 2.50 |
| 34.1–34.3 | 0 из 3 | 2042 | 250 | 3995 | 87 | 0.13 |
| 35.1–35.3 | 0 из 3 | 1884 | 1300 | 3228 | 820 | 11.8 |
| 36.1–36.4 | 0 из 4 | 2332 | 180 | 3844 | 940 | 0.90 |
| 41.1–41.3 | 0 из 3 | 1999 | 72 | 3645 | 51 | 0.71 |
| 43.1–43.9 | 2 из 9 | 2002 | 140 | 3647 | 110 | 2.40 |
| 44.1–44.5 | 0 из 5 | 1728 | 67 | 3117 | 65 | 0.76 |
| 45.1–45.6 | 0 из 6 | 1794 | 45 | 2721 | 140 | 0.77 |
| 46.1–46.5 | 0 из 5 | 1807 | 100 | 2641 | 490 | 1.90 |
| 47.1–47.5 | 0 из 5 | 2646 | 81 | 3879 | 110 | 0.98 |
| 48.1–48.5 | 1 из 5 | 1953 | 49 | 3765 | 130 | 0.71 |
| 49.1–49.5 | 0 из 5 | 1904 | 42 | 3207 | 150 | 2.40 |
| 50.1–50.6 | 0 из 6 | 2304 | 77 | 3282 | 94 | 2.00 |
Примечание. Номера анализов соответствуют таковым на рис. 4 и в Supрl. 1.
Эоархейские цирконы представлены семью зернами, по которым дискордии по верхнему пересечению с конкордией дают эоархейские значения возраста. Их изображения помещены в верхней части рис. 4. Пять анализов, выполненные по двум зернам 6 и 34 (см. в верхней левой части рис. 4), образуют линию дискордии с верхним пересечением 3987 ± 71 (эоархей) и нижним пересечением 2071 ± 180 млн лет (рис. 5), соответствующим возрасту раннепротерозойского гранулитового метаморфизма.
Рис. 4.
Катодолюминесцентные (CL) изображения и возраст циркона из двупироксеновых кристаллосланцев (пр. 607). Белыми окружностями обозначены аналитические кратеры с номерами точек анализа, в числителе – номера точек анализа, в знаменателе – 207Pb-206Pb возраст. Диаметр кратера составляет 20–30 мкм.

Рис. 5.
Диаграмма 207U/235U–206Pb/238U для циркона из двупироксеновых кристаллосланцев (пр. 607). N – количество анализов. Эллипсы сплошными линиями – результаты измерений, использованные для построения дискордий, и конкордантные значения возраста, полученные по нескольким анализам. Пунктирные эллипсы – все прочие результаты измерений. Цифры п/ж – номера точек анализов зерен циркона.

В точке анализа 34.1 по 207Pb/206Pb отношению получено максимальное значение возраста 3838 ± ± 10 млн лет (D77 = 10%), два других анализа показывают меньший возраст и большую дискордантность.
Более информативным является зерно эллипсоидальной формы с анализами в точках 6.1 и 6.2 (рис. 6). Оно содержит полигенное ядро и отчетливо выраженные оболочки. В верхней части CL-изображения вокруг ядра видна тонкая белая кайма, общая внешняя оболочка – черная. В оптическом изображении в верхней половине зерна выделяется изогнутое гладкое латунно-желтое ядро, которое в нижней части сменяется цирконом розовато-серого цвета с шагреневой поверхностью, видимо, за счет микровключений и двух черных включений магнезиального биотита (Bt). По данным микрозондового анализа биотита: железистость ХFe = 0.34–0.41, содержание общего Al = 2.41–2.54 apfu, Ti = 0.51–0.60 apfu. В CL-изображении в верхней половине зерна заметно тонкополосчатое строение (зональность), свойственное магматическому циркону, нижняя половина – черная однородная. Присутствие включений биотита дает основание предполагать перекристаллизацию нижней половины зерна циркона в условиях амфиболитовой фации метаморфизма.
Рис. 6.
Эоархейский циркон и диаграмма распределения REE. (а) – оптическое изображение циркона (Bt – включения биотита), (б) – катодолюминесцентное. Белым пунктиром показана область измерений, в числителе – номера точек анализа, в знаменателе – 207Pb-206Pb возраст. (в) – график среднего состава магматического циркона по (Hoskin, 2005). Поле – состав циркона из основных пород Хараелахского массива, Норильский район (Malitch et al., 2010).

В зональной части зерна (точка анализа 6.1) график распределения REE почти совпадает с таковым для магматического циркона из гранитоидов по (Hoskin, 2005), но существенно отклоняется от графика циркона из мафических пород по (Malitch et al., 2010) по причине более низкой концентрации REE (рис. 6). В нем относительно низкая концентрация (в ppm) Hf = 8306, но высокие Y = 1047, U = 208 и отношения Th/U = 0.45, (Yb/Gd)N = 16 (табл. 4). В перекристаллизованном участке (точка анализа 6.2) ниже концентрация (в ррm) Y = 556, но выше Hf =11192, Li = 17.6 и U = 1339, низкая величина отношения Th/U = = 0.08 и высокая U/Ce = 190, что характерно для метаморфического циркона (Marsh et al., 2015; Rubatto, 2017). Этот циркон обеднен L- и MREE, большая величина отношения (Yb/Gd)N = 155 указывает на отсутствие граната в парагенезисе при перекристаллизации циркона и подкрепляет предположение о росте нижней части зерна в условиях амфиболитового метаморфизма (Rubatto, 2017).
Таблица 4.
Содержание редких и редкоземельных элементов (ppm) в цирконе
| Элементы | Пр. 607 – двупироксеновые кристаллосланцы | ||||||||||||||||||
| 1.1 | 2.1 | 3.1 | 4.1 | 5.1 | 6.1 | 6.2 | 7.1 | 8.1 | 11.1 | 12.1 | 13.1 | 14.1 | 15.1 | 16.1 | 20.1 | 20.2 | 21.1 | 22.1 | |
| La | 5.24 | 0.25 | 10.3 | 0.15 | 0.13 | 0.40 | 0.13 | 4.67 | 0.07 | 0.04 | 0.86 | 0.06 | 3.12 | 0.05 | 0.50 | 1.64 | 0.44 | 0.26 | 2.48 |
| Ce | 41.3 | 10.5 | 39.7 | 28.3 | 13.4 | 24.0 | 7.04 | 43.4 | 12.8 | 11.1 | 8.47 | 11.7 | 42.9 | 9.05 | 13.6 | 6.60 | 40.5 | 41.9 | 18.3 |
| Pr | 3.05 | 0.16 | 2.43 | 0.44 | 0.08 | 0.17 | 0.06 | 2.03 | 0.11 | 0.19 | 0.52 | 0.07 | 2.22 | 0.13 | 0.23 | 0.53 | 0.23 | 0.20 | 1.20 |
| Nd | 16.8 | 1.63 | 14.6 | 7.04 | 1.02 | 2.13 | 0.31 | 9.99 | 1.96 | 3.65 | 4.60 | 1.27 | 18.7 | 2.63 | 3.63 | 3.01 | 1.38 | 1.55 | 8.05 |
| Sm | 8.91 | 4.85 | 13.3 | 12.3 | 1.82 | 4.13 | 0.46 | 4.58 | 4.15 | 7.22 | 4.47 | 2.75 | 17.1 | 5.46 | 8.55 | 1.21 | 1.16 | 1.47 | 9.97 |
| Eu | 1.03 | 0.38 | 0.99 | 1.51 | 0.07 | 0.44 | 0.06 | 1.48 | 0.42 | 0.55 | 1.32 | 0.15 | 1.40 | 0.45 | 0.80 | 0.21 | 0.24 | 0.30 | 1.48 |
| Gd | 29.9 | 47.9 | 53.9 | 65.4 | 12.7 | 22.4 | 3.04 | 14.2 | 20.6 | 38.1 | 15.3 | 16.5 | 73.8 | 27.9 | 51.6 | 1.60 | 5.06 | 6.18 | 47.2 |
| Dy | 89.3 | 320 | 170 | 237 | 56.9 | 86.9 | 25.8 | 63.0 | 66.3 | 125 | 43.9 | 63.4 | 229 | 96.2 | 215 | 3.85 | 20.4 | 21.0 | 169 |
| Er | 153 | 740 | 294 | 448 | 142 | 179 | 121 | 165 | 121 | 226 | 78.8 | 127 | 397 | 170 | 434 | 8.00 | 51.0 | 48.0 | 326 |
| Yb | 235 | 1310 | 425 | 707 | 277 | 291 | 381 | 339 | 205 | 328 | 161 | 207 | 559 | 257 | 673 | 22.6 | 119 | 106 | 515 |
| Lu | 34.6 | 197 | 64.4 | 110 | 45.6 | 49.1 | 82.9 | 60.1 | 32.7 | 50.8 | 28.7 | 33.6 | 84.9 | 41.1 | 105 | 5.32 | 21.0 | 18.7 | 77.7 |
| Li | 3.59 | 16.7 | 0.48 | 1.89 | 7.86 | 0.37 | 17.6 | 9.29 | 1.83 | 0.08 | 0.85 | 1.48 | 6.36 | 0.34 | 2.93 | 1.96 | 10.8 | 9.56 | 3.83 |
| P | 190 | 1265 | 163 | 258 | 104 | 163 | 192 | 254 | 217 | 159 | 100 | 90.0 | 224 | 132 | 747 | – | 54.3 | 60.0 | 499 |
| Ca | 150 | 2.47 | 1534 | 3.62 | 8.11 | 3.73 | 1.05 | 26.1 | 1.64 | 1.33 | 9.92 | 2.88 | 23.1 | 15.0 | 9.46 | 134 | 6.85 | 1.51 | 19.1 |
| Ti | 12.2 | 23.6 | 10.2 | 22.5 | 9.36 | 12.3 | 16.6 | 13.3 | 10.2 | 8.94 | 9.35 | 8.40 | 23.9 | 9.82 | 5.88 | 9.80 | 8.71 | 10.2 | 108 |
| Sr | 1.78 | 1.19 | 3.10 | 0.95 | 0.75 | 0.71 | 0.56 | 0.92 | 0.57 | 0.71 | 0.57 | 0.56 | 1.17 | 0.68 | 0.99 | 0.84 | 0.51 | 0.57 | 1.04 |
| Y | 929 | 4092 | 1790 | 2469 | 821 | 1048 | 556 | 899 | 746 | 1391 | 571 | 759 | 2408 | 1011 | 2540 | 43.5 | 287 | 277 | 2032 |
| Nb | 59.3 | 72.9 | 32.4 | 29.3 | 29.2 | 19.3 | 29.3 | 17.7 | 8.28 | 11.2 | 5.09 | 12.5 | 15.4 | 13.3 | 16.0 | 4.08 | 9.61 | 10.2 | 41.5 |
| Ba | 18.9 | 1.12 | 1.85 | 1.15 | 1.39 | 0.96 | 0.93 | 1.97 | 1.07 | 1.27 | 1.12 | 1.67 | 1.93 | 1.22 | 0.45 | 1.30 | 0.83 | 1.16 | 40.9 |
| Hf | 7546 | 10161 | 8142 | 7390 | 10614 | 8307 | 11193 | 8227 | 8448 | 7884 | 5959 | 8394 | 7935 | 7638 | 7459 | 8482 | 8827 | 8098 | 6737 |
| Th | 199 | 169 | 191 | 297 | 175 | 93.4 | 109 | 121 | 85.0 | 133 | 53.2 | 97.5 | 367 | 92.6 | 110 | 4.37 | 155 | 287 | 115 |
| U | 160 | 2063 | 193 | 538 | 301 | 208 | 1339 | 505 | 139 | 142 | 147 | 139 | 335 | 104 | 227 | 37.4 | 698 | 475 | 244 |
| Th/U | 1.24 | 0.08 | 0.99 | 0.55 | 0.58 | 0.45 | 0.08 | 0.24 | 0.61 | 0.94 | 0.36 | 0.70 | 1.09 | 0.89 | 0.48 | 0.12 | 0.22 | 0.60 | 0.47 |
| Eu/Eu* | 0.19 | 0.08 | 0.11 | 0.16 | 0.05 | 0.14 | 0.15 | 0.56 | 0.14 | 0.10 | 0.49 | 0.07 | 0.12 | 0.11 | 0.12 | 0.45 | 0.30 | 0.31 | 0.21 |
| Ce/Ce* | 2.50 | 13.0 | 1.92 | 27.0 | 31.5 | 22.0 | 19.6 | 3.41 | 35.2 | 29.8 | 3.06 | 41.4 | 3.94 | 27.7 | 9.58 | 1.72 | 30.8 | 44.6 | 2.57 |
| SREE | 618 | 2631 | 1089 | 1618 | 550 | 660 | 622 | 708 | 465 | 791 | 348 | 464 | 1430 | 610 | 1506 | 54.6 | 260 | 246 | 1176 |
| SLREE | 66.4 | 12.5 | 67.0 | 35.9 | 14.7 | 26.7 | 7.54 | 60.1 | 15.0 | 14.9 | 14.4 | 13.1 | 66.9 | 11.9 | 17.9 | 11.8 | 42.6 | 43.9 | 30.0 |
| SHREE | 542 | 2614 | 1007 | 1568 | 534 | 628 | 614 | 642 | 446 | 768 | 328 | 448 | 1345 | 592 | 1479 | 41.4 | 216 | 200 | 1135 |
| (Lu/La)N | 63.5 | 7717 | 60.4 | 7171 | 3272 | 1181 | 6013 | 124 | 4649 | 11254 | 320 | 5187 | 262 | 8551 | 2023 | 31.3 | 461 | 681 | 302 |
| (Lu/Gd)N | 9.34 | 33.2 | 9.66 | 13.6 | 29.2 | 17.7 | 221 | 34.2 | 12.8 | 10.8 | 15.2 | 16.5 | 9.31 | 11.9 | 16.5 | 27.0 | 33.5 | 24.4 | 13.3 |
| (Sm/La)N | 2.72 | 31.6 | 2.07 | 133 | 21.7 | 16.5 | 5.58 | 1.57 | 98.1 | 266 | 8.28 | 70.7 | 8.78 | 189 | 27.2 | 1.18 | 4.24 | 8.88 | 6.44 |
| T(Ti),°C | 761 | 825 | 744 | 820 | 737 | 762 | 790 | 769 | 745 | 733 | 737 | 728 | 826 | 741 | 698 | 741 | 731 | 745 | 1008 |
| Элементы | Пр. 607 – двупироксеновые кристаллосланцы | Пр. 607B – ортопироксеновые лейкоплагиогнейсы | |||||||||||||||||
| 23.1 | 24.1 | 25.1 | 27.1 | 28.1 | 29.1 | 32.1 | 3.1 | 4.1 | 7.1 | 8.1 | 9.1 | 10.1 | 11.1 | 12.1 | 13.1 | 14.1 | 15.1 | 16.1 | |
| La | 4.52 | 0.09 | 0.05 | 2.10 | 0.67 | 5.92 | 12.9 | 0.73 | 0.87 | 0.20 | 0.74 | 0.24 | 0.76 | 2.28 | 0.22 | 0.25 | 1.26 | 1.81 | 2.53 |
| Ce | 21.8 | 12.8 | 9.23 | 20.5 | 16.0 | 68.8 | 167 | 13.5 | 23.7 | 3.4 | 32.5 | 15.8 | 47.3 | 53.4 | 15.2 | 13.9 | 19.7 | 46.9 | 55.6 |
| Pr | 0.97 | 0.36 | 0.13 | 1.18 | 0.33 | 2.13 | 7.80 | 0.43 | 0.67 | 0.08 | 0.57 | 0.23 | 0.93 | 2.75 | 0.23 | 0.19 | 1.27 | 1.33 | 1.43 |
| Nd | 8.00 | 5.73 | 2.35 | 7.54 | 2.60 | 10.9 | 44.5 | 2.0 | 4.0 | 0.5 | 3.5 | 1.5 | 4.5 | 15.4 | 1.8 | 1.7 | 7.5 | 9.0 | 9.2 |
| Sm | 8.91 | 9.90 | 4.41 | 5.09 | 3.51 | 9.96 | 18.3 | 2.50 | 4.78 | 0.51 | 3.96 | 2.09 | 4.23 | 9.74 | 2.71 | 3.28 | 4.81 | 6.35 | 7.46 |
| Eu | 0.69 | 0.61 | 0.28 | 0.89 | 0.36 | 1.19 | 4.55 | 0.38 | 0.51 | 0.49 | 0.89 | 0.21 | 0.42 | 5.51 | 0.20 | 0.54 | 0.74 | 1.18 | 0.47 |
| Gd | 38.8 | 49.2 | 24.1 | 21.0 | 21.2 | 58.2 | 59.8 | 16.4 | 31.7 | 8.2 | 27.2 | 20.0 | 23.1 | 41.0 | 20.6 | 19.4 | 22.9 | 24.4 | 40.8 |
| Dy | 118 | 153 | 83.7 | 77.1 | 87.3 | 273 | 208 | 116 | 253 | 112 | 195 | 171 | 147 | 171 | 131 | 69 | 188 | 118 | 170 |
| Er | 208 | 266 | 154 | 149 | 198 | 548 | 421 | 338 | 689 | 509 | 536 | 469 | 407 | 350 | 385 | 126 | 598 | 292 | 351 |
| Yb | 297 | 399 | 242 | 241 | 356 | 862 | 736 | 812 | 1459 | 1417 | 1119 | 942 | 910 | 623 | 958 | 213 | 1551 | 586 | 638 |
| Lu | 45.9 | 61.7 | 37.7 | 39.2 | 62.4 | 131 | 116 | 132 | 217 | 243 | 172 | 157 | 141 | 93 | 162 | 34 | 253 | 98 | 105 |
| Li | 1.89 | 2.80 | 0.07 | 1.42 | 12.6 | 4.57 | 8.00 | 7.02 | 4.75 | 23.66 | 0.99 | 13.29 | 2.83 | 9.89 | 7.14 | 1.80 | 5.40 | 1.24 | 9.65 |
| P | 243 | 195 | 112 | 124 | 134 | 957 | 657 | 580 | 1105 | 680 | 865 | 747 | 575 | 469 | 620 | 191 | 981 | 405 | 647 |
| Ca | 814 | 1.54 | 1.04 | 45.5 | 45.4 | 48.2 | 73.9 | 34.9 | 22.5 | 78.7 | 67.7 | 8.2 | 22.3 | 663.2 | 4.3 | 7.4 | 23.3 | 47.6 | 88.3 |
| Ti | 11.0 | 11.9 | 9.86 | 10.4 | 13.1 | 8.92 | 33.1 | 61.3 | 22.3 | 66.4 | 19.4 | 45.7 | 22.6 | 29.1 | 17.9 | 14.5 | 23.2 | 15.7 | 34.7 |
| Sr | 1.93 | 0.63 | 0.53 | 1.01 | 1.70 | 1.44 | 1.84 | 1.10 | 1.41 | 3.02 | 1.86 | 1.12 | 0.72 | 18.12 | 0.76 | 0.48 | 1.60 | 1.15 | 0.88 |
| Y | 1321 | 1673 | 960 | 917 | 1214 | 3436 | 2411 | 1638 | 3506 | 2174 | 2645 | 2341 | 1905 | 1881 | 1844 | 759 | 2743 | 1550 | 1957 |
| Nb | 34.4 | 25.3 | 25.4 | 10.4 | 12.1 | 22.2 | 14.9 | 72.2 | 125.9 | 97.0 | 77.0 | 102.2 | 178.3 | 74.7 | 61.8 | 56.8 | 53.6 | 41.1 | 48.0 |
| Ba | 2.56 | 1.30 | 0.96 | 1.53 | 2.01 | 3.04 | 2.93 | 7.71 | 2.35 | 2.24 | 6.65 | 1.78 | 2.00 | 14.49 | 1.61 | 1.36 | 1.91 | 5.59 | 2.58 |
| Hf | 7717 | 7919 | 8142 | 7699 | 10754 | 9267 | 7051 | 10537 | 11165 | 12595 | 9779 | 14050 | 9989 | 11592 | 11116 | 9500 | 10915 | 9213 | 9255 |
| Th | 118 | 195 | 87.5 | 119 | 176 | 235 | 407 | 76 | 67 | 81 | 71 | 341 | 69 | 465 | 199 | 74 | 47 | 237 | 695 |
| U | 139 | 228 | 111 | 142 | 655 | 358 | 566 | 967 | 470 | 3880 | 247 | 2217 | 347 | 1313 | 1013 | 208 | 969 | 266 | 1628 |
| Th/U | 0.85 | 0.85 | 0.79 | 0.84 | 0.27 | 0.66 | 0.72 | 0.08 | 0.14 | 0.02 | 0.29 | 0.15 | 0.20 | 0.35 | 0.20 | 0.35 | 0.05 | 0.89 | 0.43 |
| Eu/Eu* | 0.11 | 0.08 | 0.08 | 0.26 | 0.13 | 0.15 | 0.42 | 0.18 | 0.13 | 0.73 | 0.26 | 0.10 | 0.13 | 0.84 | 0.08 | 0.20 | 0.21 | 0.29 | 0.08 |
| Ce/Ce* | 2.51 | 16.9 | 27.5 | 3.15 | 8.20 | 4.68 | 4.03 | 5.87 | 7.50 | 6.45 | 12.07 | 16.43 | 13.61 | 5.17 | 16.32 | 15.40 | 3.77 | 7.32 | 7.07 |
| SREE | 753 | 958 | 558 | 564 | 748 | 1971 | 1796 | 1434 | 2684 | 2294 | 2091 | 1778 | 1685 | 1367 | 1677 | 482 | 2648 | 1185 | 1381 |
| SLREE | 35.3 | 19.0 | 11.8 | 31.4 | 19.6 | 87.8 | 232 | 16.7 | 29.2 | 4.2 | 37.2 | 17.8 | 53.5 | 73.9 | 17.5 | 16.1 | 29.8 | 59.0 | 68.7 |
| SHREE | 708 | 928 | 541 | 527 | 725 | 1872 | 1541 | 1415 | 2649 | 2289 | 2049 | 1758 | 1627 | 1277 | 1656 | 462 | 2613 | 1118 | 1304 |
| (Lu/La)N | 97.8 | 6320 | 7005 | 180 | 903 | 212 | 87.1 | 1737 | 2404 | 11817 | 2248 | 6294 | 1787 | 392 | 7160 | 1291 | 1925 | 525 | 399 |
| (Lu/Gd)N | 9.57 | 10.1 | 12.7 | 15.1 | 23.8 | 18.1 | 15.8 | 65.2 | 55.3 | 238.3 | 51.1 | 63.4 | 49.2 | 18.3 | 63.4 | 14.1 | 89.2 | 32.7 | 20.8 |
| (Sm/La)N | 3.16 | 169 | 136 | 3.87 | 8.45 | 2.69 | 2.28 | 5.47 | 8.81 | 4.15 | 8.59 | 13.96 | 8.93 | 6.86 | 19.94 | 20.86 | 6.09 | 5.63 | 4.72 |
| T(Ti),°C | 751 | 759 | 742 | 747 | 767 | 733 | 861 | 933 | 819 | 943 | 805 | 898 | 821 | 847 | 797 | 777 | 823 | 784 | 866 |
| Элементы | Пр. 607B – ортопироксеновые лейкоплагиогнейсы | ||||||||||||||||||
| 18.1 | 19.1 | 19.2 | 19.3 | 20.1 | 20.2 | 20.3 | 22.1 | 23.1 | 24.1 | 24.2 | 24.3 | 27.1 | 28.1 | 31.1 | 32.1 | 33.1 | 34.1 | 35.1 | |
| La | 0.95 | 0.56 | 0.19 | 0.43 | 0.47 | 0.13 | 1.10 | 0.61 | 1.18 | 0.51 | 0.60 | 3.85 | 0.62 | 0.05 | 29.00 | 0.88 | 3.95 | 4.59 | 0.40 |
| Ce | 73.7 | 24.1 | 4.6 | 8.4 | 9.3 | 5.5 | 4.4 | 17.0 | 42.0 | 14.9 | 2.9 | 49.4 | 9.6 | 21.3 | 64.4 | 55.8 | 64.3 | 43.7 | 12.8 |
| Pr | 1.24 | 0.40 | 0.07 | 0.29 | 0.30 | 0.10 | 0.79 | 0.45 | 1.92 | 0.42 | 0.37 | 3.02 | 0.38 | 0.10 | 6.75 | 0.83 | 2.33 | 4.69 | 0.30 |
| Nd | 12.0 | 1.9 | 0.8 | 2.1 | 2.6 | 0.6 | 4.8 | 3.2 | 8.6 | 2.8 | 2.3 | 15.8 | 2.3 | 0.4 | 28.2 | 6.6 | 15.6 | 22.6 | 1.8 |
| Sm | 20.70 | 2.54 | 3.16 | 3.69 | 3.66 | 0.61 | 1.47 | 3.36 | 6.58 | 2.63 | 1.40 | 7.26 | 2.23 | 0.88 | 8.13 | 9.79 | 15.15 | 8.47 | 2.20 |
| Eu | 1.65 | 0.34 | 0.20 | 0.52 | 0.75 | 0.09 | 0.24 | 0.91 | 1.31 | 0.19 | 0.12 | 2.67 | 0.34 | 0.29 | 0.55 | 2.84 | 2.43 | 1.21 | 0.28 |
| Gd | 118.1 | 12.0 | 22.2 | 28.0 | 20.4 | 6.1 | 1.4 | 11.3 | 33.5 | 12.8 | 1.7 | 19.3 | 13.4 | 3.6 | 39.6 | 55.1 | 76.6 | 20.6 | 20.3 |
| Dy | 443 | 50 | 96 | 160 | 92 | 54 | 8 | 27 | 161 | 112 | 4 | 75 | 91 | 16 | 180 | 279 | 307 | 121 | 176 |
| Er | 833 | 95 | 167 | 350 | 204 | 220 | 36 | 35 | 403 | 443 | 21 | 162 | 302 | 49 | 420 | 568 | 609 | 326 | 509 |
| Yb | 1249 | 157 | 256 | 683 | 341 | 604 | 154 | 104 | 756 | 1357 | 64 | 318 | 802 | 124 | 880 | 992 | 986 | 764 | 1079 |
| Lu | 190 | 24 | 42 | 111 | 57 | 117 | 31 | 33 | 123 | 253 | 11 | 50 | 137 | 24 | 158 | 157 | 148 | 126 | 176 |
| Li | 1.40 | 1.10 | 7.79 | 12.43 | 0.20 | 10.89 | 3.65 | 1.40 | 23.58 | 25.06 | 0.15 | 11.57 | 14.90 | 6.26 | 5.57 | 21.31 | 7.92 | 5.42 | 4.70 |
| P | 1279 | 114 | 440 | 620 | 307 | 319 | 38 | 115 | 691 | 636 | 52 | 351 | 527 | 12 | 712 | 919 | 786 | 471 | 860 |
| Ca | 15.3 | 60.6 | 1.4 | 24.1 | 30.7 | 3.3 | 41.0 | 22.6 | 71.8 | 166.0 | 94.9 | 168.9 | 74.1 | 1.4 | 376.6 | 1679.0 | 159.9 | 64.4 | 9.3 |
| Ti | 28.6 | 22.9 | 19.9 | 23.6 | 13.5 | 32.3 | 13.7 | 15.3 | 30.1 | 81.5 | 13.7 | 42.3 | 45.0 | 21.7 | 23.8 | 42.1 | 90.7 | 22.7 | 17.9 |
| Sr | 1.41 | 1.24 | 0.28 | 1.28 | 0.82 | 0.89 | 1.08 | 0.45 | 3.20 | 3.83 | 1.60 | 3.48 | 1.34 | 0.27 | 1.37 | 47.04 | 2.39 | 1.62 | 1.18 |
| Y | 4837 | 591 | 1032 | 1936 | 1081 | 966 | 177 | 262 | 2209 | 2153 | 89 | 787 | 1381 | 261 | 2513 | 3361 | 3546 | 1485 | 2426 |
| Nb | 56.1 | 105.4 | 40.9 | 45.2 | 28.2 | 43.3 | 76.2 | 17.8 | 42.9 | 64.8 | 40.6 | 95.0 | 44.2 | 33.4 | 44.2 | 49.8 | 29.9 | 33.5 | 32.8 |
| Ba | 1.79 | 5.14 | 0.34 | 0.88 | 2.65 | 1.10 | 4.25 | 2.74 | 4.27 | 2.04 | 10.86 | 9.35 | 1.28 | 1.39 | 2.54 | 19.87 | 12.64 | 4.09 | 1.95 |
| Hf | 9336 | 9053 | 11074 | 12403 | 8361 | 11454 | 10193 | 6470 | 9792 | 13988 | 9428 | 10845 | 11550 | 5817 | 11775 | 10391 | 8436 | 10023 | 10231 |
| Th | 935 | 97 | 100 | 174 | 46 | 26 | 5 | 56 | 797 | 298 | 3 | 165 | 175 | 124 | 124 | 936 | 655 | 53 | 43 |
| U | 731 | 43 | 1323 | 2710 | 98 | 1217 | 164 | 329 | 1737 | 3876 | 10 | 620 | 2547 | 835 | 871 | 1721 | 674 | 521 | 548 |
| Th/U | 1.28 | 2.27 | 0.08 | 0.06 | 0.47 | 0.02 | 0.03 | 0.17 | 0.46 | 0.08 | 0.33 | 0.27 | 0.07 | 0.15 | 0.14 | 0.54 | 0.97 | 0.10 | 0.08 |
| Eu/Eu* | 0.10 | 0.19 | 0.07 | 0.15 | 0.26 | 0.14 | 0.52 | 0.45 | 0.27 | 0.10 | 0.24 | 0.69 | 0.19 | 0.49 | 0.09 | 0.37 | 0.22 | 0.28 | 0.13 |
| Ce/Ce* | 16.44 | 12.32 | 9.30 | 5.72 | 5.95 | 11.95 | 1.16 | 7.83 | 6.75 | 7.81 | 1.49 | 3.50 | 4.84 | 73.97 | 1.11 | 15.80 | 5.13 | 2.28 | 8.97 |
| SREE | 2943 | 368 | 592 | 1348 | 731 | 1008 | 244 | 236 | 1538 | 2199 | 110 | 707 | 1361 | 240 | 1815 | 2129 | 2231 | 1444 | 1978 |
| SLREE | 87.8 | 27.0 | 5.6 | 11.2 | 12.7 | 6.3 | 11.1 | 21.3 | 53.7 | 18.6 | 6.2 | 72.0 | 12.9 | 21.9 | 128.4 | 64.1 | 86.1 | 75.6 | 15.3 |
| SHREE | 2833 | 338 | 583 | 1332 | 714 | 1001 | 231 | 210 | 1476 | 2178 | 102 | 625 | 1345 | 217 | 1678 | 2053 | 2127 | 1358 | 1960 |
| (Lu/La)N | 1933 | 408 | 2128 | 2494 | 1178 | 8847 | 277 | 513 | 1005 | 4810 | 182 | 124 | 2142 | 4581 | 52 | 1726 | 362 | 264 | 4277 |
| (Lu/Gd)N | 13.0 | 16.1 | 15.3 | 32.1 | 22.8 | 154.0 | 186 | 23.3 | 29.6 | 159.6 | 54.6 | 20.8 | 82.6 | 54.5 | 32.2 | 23.1 | 15.7 | 49.4 | 70.3 |
| (Sm/La)N | 35.07 | 7.23 | 26.63 | 13.78 | 12.51 | 7.64 | 2.14 | 8.80 | 8.96 | 8.31 | 3.76 | 3.01 | 5.78 | 27.66 | 0.45 | 17.85 | 6.14 | 2.96 | 8.89 |
| T(Ti),°C | 845 | 822 | 807 | 825 | 771 | 858 | 772 | 782 | 851 | 969 | 771 | 889 | 896 | 816 | 826 | 888 | 984 | 821 | 797 |
Примечание. Номера точек соответствуют таковым на рис. 4. T(Ti),°C – температура кристаллизации циркона, по (Watson, Harrison, 2005).
В зерне 47 (точки анализов 47.1–47.5) (CL) – ядро серого метаморфического циркона (точка анализа 47.4) содержит реликты черного (точки анализа 47.2, 47.3, 47.5) и белого (точка анализа 47.1) циркона. По пяти анализам получена линия дискордии с верхним пересечением 3879 ± 110 и нижним – 2646 ± 81 млн лет (СКВО = 0.98), которое соответствует позднеархейскому метаморфизму. В средней части зерна, вблизи точки анализа 47.4 с возрастом 2934 ± 22 млн лет, вытянутое включение клинопироксена (En41.02Fs16.04Wo42.94; XMg = 0.72) по составу подобно авгиту в контаминированных ортогнейсах, что дает основание считать метаморфизм гранулитовым.
Зерно 36 (точки анализов 36.1–36.4) дает верхнее пересечение линии дискордии 3844 ± 940 и нижнее – 2332 ± 180 млн лет (СКВО = 0.90). В ядерной части зерна присутствуют многочисленные включения плагиоклаза, по составу (шесть микрозондовых анализов) соответствующих андезину (Ab61.61An33.73Or4.66), иногда с содержанием FeO = 0.22–0.60 мас. %. Рост этого циркона, вероятно, происходил в процессе эндербитизации пород в благоприятных условиях для кристаллизации плагиоклаза.
Еще три зерна с анализами в точках 48.1–48.5, 41.1–41.3 и 43.1–43.9 – черные в CL-изображении и однородные в ядрах – дают дискордантный возраст по верхним пересечениям около 3.6–3.7 млрд лет.
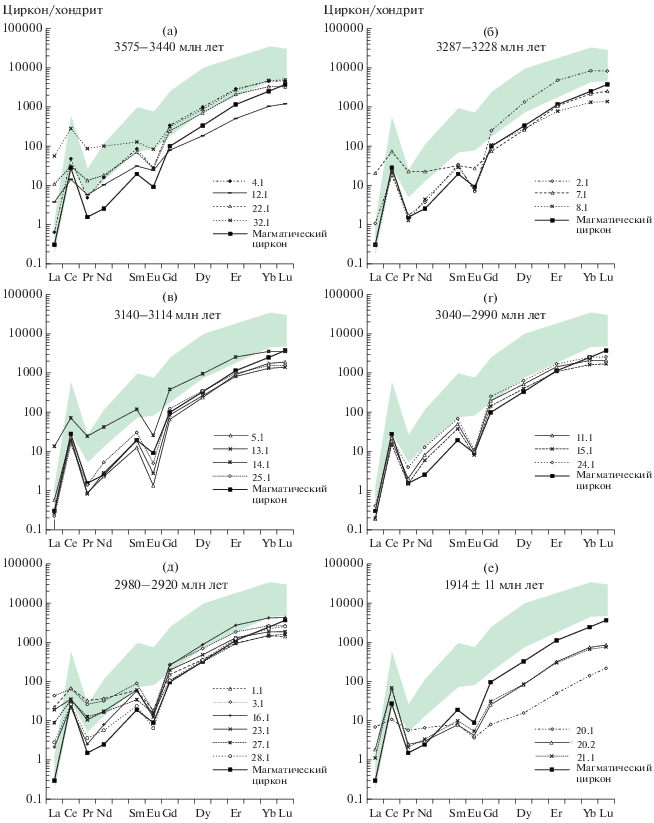
Палеоархейские значения возраста образуют два возрастных кластера: раннепалеоархейский и позднепалеоархейский. Раннепалеоархейские значения, близкие к рубежу с эоархеем, получены по четырем зернам (третий сверху ряд на рис. 4), одно из которых (анализ в точке 4.1) конкордантное. Отчетливая грубая зональность проявлена в зерне 12 (анализ в точке 12.1), в остальных зернах она проявлена слабо. По четырем анализам получено верхнее пересечение линии дискордии, соответствующее возрасту 3599 ± 33 млн лет, нижнее – 1674 ± 210 млн лет (СКВО = 2.2). Характерно низкое содержание Hf = 5959–7390 ppm, величина отношения Th/U = = 0.36–0.72 подобна таковой, наблюдаемой в цирконе магматических пород. На диаграмме REE (рис. 7а) циркон (точка анализа 4.1) наиболее приближен по конфигурации к магматическому типу из гранитоидов по (Hoskin, 2005), другие зерна из этого кластера обогащены LREE и характеризуются низкой величиной Ce/Ce* = 2.57–4.03. По количественной оценке химических изменений циркона (индекс LREE-I88 по (Bell et al., 2016), зерна с точками анализов 4.1 и 22.1 – первично магматические (LREE-I = 38–51), зерна с точками анализов 12.1 и 32.1 – измененные (LREE-I = 16–19). В зерне с анализом в точке 22.1 высокое содержание Ti указывает на возможный UHT-метаморфизм (температура по Ti-термометру (Watson, Harrison, 2005) равна 1008°C) или на то, что рост метаморфического циркона происходил совместно с рутилом (Harley, Kelly, 2007).
Рис. 7.
Диаграммы распределения REE в цирконе из мафических кристаллосланцев (пр. 607). Номера спектров соответствуют номерам точек анализов на рис. 4. Магматический циркон – график среднего состава магматического циркона по (Hoskin, 2005). Поле на всех диаграммах – состав циркона из основных пород Хараелахского массива, Норильский район (Malitch et al., 2010).

Позднепалеоархейские конкордантные значения имеют зерна 8 и 2 (анализ в точках 8.1 (3287 ± ± 8 млн лет) и 2.1 (3243 ± 3 млн лет)), а также три зерна с дикордантным возрастом около 3.2 млрд лет – в точках: 35.1–35.3 (3228 ± 820 млн лет; СКВО = = 11.8), 49.1–49.5 (3207 ± 150 млн лет; СКВО = 2.4); 50.1–50.6 (3282 ± 94 млн лет; СКВО = 2.0) (рис. 4).
Конкордантные значения отличаются между собой примерно на 40 млн лет. Более древнее зерно (анализ в точке 8.1) в ядре имеет секториальную зональность и характеризуется содержаниями (в ppm): Th = 85, U = 139, Hf = 8448, Y = 746, ∑REE = 465 и Th/U = 0.61, Eu/Eu* = 0.14, Ce/Ce* = 35.20, (Sm/La)N = 98.12. График REE (рис. 7б) очень близок таковому для магматического типа циркона из гранитоидов, отмечается только выполаживание спектра HREE, особенно заметное на участке Er–Lu. Низкое отношение (Yb/Gd)N = = 12.3 указывает на возможный парагенезис с гранатом. Зерно с анализом в точке 2.1 имеет слабо выраженную размытую грубую зональность и обогащено Th, U, Hf, Y, HREE, P, Nb. В этом анализе отмечается низкое отношение Th/U = 0.08 и высокое отношение U/Ce = 196 – что характерно для метаморфического циркона. Обогащение Y и HREE (Yb/Gd)N = 33.8 по сравнению с анализом в точке 8.1, возможно, связано с замещением граната ассоциацией Opx + Pl (Harley, 1989) или Hbl + Pl (Prakash et al., 2012), что указывает на декомпрессионные процессы. Оба анализа в точках 2.1 и 8.1 характеризуются высокими величинами LREE-I = = 49.8–262.4 по (Bell et al., 2016), и на диаграмме La–(Sm/La)N (рис. 8) находятся в поле неизмененного магматического циркона.
Рис. 8.
Типизации циркона на диаграммах La–(Sm/La)N и U–Ca по (Bouvier et al., 2012). В условных обозначениях указаны возрастные группы циркона в млн лет по отношению 207Pb/206Pb в пробах 607 и 607B.

Мезоархейские значения возраста образуют два возрастных кластера: раннемезоархейский и позднемезоархейский.
Ранненемезоархейский конкордантный возраст 3125 ± 16 (СКВО 0.87) (рис. 5) получен по четырем анализам в точках 5.1, 13.1, 14.1, 25.1 (рис. 4). Три зерна из этой популяции (кроме точки анализа 14.1) по спектрам REE близки к магматическому типу из гранитоидов (рис. 7в), характеризуются высокими величинами LREE-I = 54.6–87.0 по (Bell et al., 2016) и на диаграмме La–(Sm/La)N (рис. 8) они попадают в поле магматического циркона. Однако одно из этих зерен (точка анализа 13.1) выглядит как циркон гранулитового типа, с серым пятнистым свечением в СL-изображении. Кроме того, зерно в точке анализа 14.1 характеризуется повышенными содержаниями REE (∑REE = 1430 ppm), высоким Th/U отношением (Th/U = 1.09) и низким (Yb/Gd)N = 9.4, что может указывать на участие граната в парагенезисе. Включения в этом зерне представлены апатитом и амфиболом (магнезиогастингсит с содержанием (в мас. %): K2O = 2.15, TiO2 = 1.93, MnO = 0.26). Таким образом, для популяции циркона с конкордантным возрастом 3125 ± 16 млн лет можно полагать гранулитовый и амфиболитовый метаморфизм с частичным плавлением пород. Из анатектического расплава формировался циркон, геохимически сходный с магматическим, но в CL-изображении – черный однородный.
Позднемезоархейские цирконы (3039 ± 11–2927 ± ± 28 млн лет) образуют на линии конкордии непрерывный рой точек. Встречаются зерна с грубой, иногда концентрической зональностью, а также субизометричные многогранные зерна (типа футбольного мяча) и с елочковидной зональностью (CL), характерной для гранулитового циркона (зерно в точке анализа 15.1, 3030 ± 10 млн лет). Чем циркон древнее и по возрасту ближе к 3000 млн лет, тем больше его спектр распределения REE приближается к типовому графику магматического циркона из гранитоидов, а фигуративные точки состава попадают в поле неизмененного магматического циркона на диаграмме La–(Sm/La)N (рис. 8). Величина отношения (Yb/Gd)N = 9.5–11.4 указывает на возможную кристаллизацию в присутствии граната. Цирконы с возрастом моложе 2980 млн лет обогащены REE, особенно LREE (∑LREE = 17.93–67.04), для значительной части зерен отмечаются LREE-I = 15.3–28.0, высокие содержания Ca = 1534 ppm и Y = 1214–2540 ppm, что характерно для измененного циркона. В возрастном диапазоне 3030–2927 млн лет предполагается гранулитовый метаморфизм и частичное плавление пород.
Палеопротерозойское значение конкордантного возраста 1918 ± 12 млн лет получено по 10 анализам. Геохимия циркона изучена в трех точках с минимальной дискордантностью от +1 до 0, конкордантный возраст составляет 1914 ± 11 млн лет. Циркон в точке анализа 20.1 с ярким свечением в CL обеднен (в ppm): Th = 4, U = 37, Th/U 0.11, Hf = 8481, Y = 43, ∑REE = 55, не выражены положительная аномалия Ce и отрицательная Eu-аномалия. На рис. 7е график распределения REE сильно отклоняется от типового для магматического циркона. Серый в СL-изображении циркон в точках анализа 20.2 и 21.1 образует наросты или внешние каймы на зернах. В нем выше концентрации (в ppm): Th = 155–287, U = 495–698, Th/U = 0.22–0.60, Hf = 8098–8827, Y = 277–286, P = = 54–60, ∑REE = 246–260. Спектры распределения REE похожи на график для магматического типа циркона, но заметно обеднение M- и HREE. По величине (Lu/Gd)N = 24–33 при образовании палеопротерозойского циркона гранат отсутствовал в парагенезисе, что может указывать на метаморфизм амфиболитовой фации. На рис. 8а палеопротерозойский циркон располагается в поле пористого99 циркона, однако на рис. 8б это неизмененный магматический циркон. Может быть, это следствие роста циркона в условиях декомпрессионного частичного плавления пород (температура кристаллизации циркона по Ti-термометру (Watson, Harrison, 2005) равна 731–745°C.
В целом, начиная с возраста 3243±3 млн лет (точка анализа 2.1), в более молодых зернах наблюдаются устойчивые признаки метаморфического генезиса циркона и его формирования из анатектического расплава.
Из двупироксеновых гнейсов (пр. 607A) было датировано 13 ядер циркона (рис. 9, Suppl. 1). Ядра циркона черные однородные (CL), что характерно для циркона анатектических пород (Rubatto, 2017). Полученные значения возраста в разной степени дискордантные, минимальная D = 4% отмечается для анализа 3.1 с возрастом 3384 ± 3 млн лет. Среднее отношение Th/U = 0.55, но в двух точках анализа 4.1 и 11.1 величина отношения Th/U = = 0.04–0.08 – низкая, как у метаморфического циркона. По шести анализам построена линия дискордии с верхним пересечением 3386 ± 7 млн лет. Нижнее пересечение с возрастом 240 ± 160 млн лет, предполагает потери свинца в результате современного взаимодействия с водой в поверхностных условиях (Villa, Hanchar, 2017). Значение возраста верхнего пересечения 3386 ± 7 млн лет, вероятно, соответствует времени анатексиса пород.
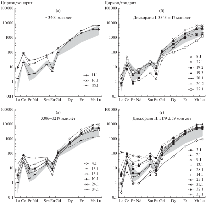
Из ортопироксеновых лейкоплагиогнейсов (пр. 607В) изучено 36 зерен циркона преимущественно в ядерных частях, по которым выполнено 46 U-Pb определений возраста (рис. 10, Suppl. 1). В CL-изображении зерна циркона в основном состоят из однородных, реже пятнистых темных ядер овальной и округлой формы без свечения, либо с несколькими оболочками с темным и ярким свечением. Ритмично зональный циркон не встречается, доминирующий темный и пятнистый циркон обычно связан с перекристаллизацией в субсолидусных условиях (Rubatto, 2017). Преобладают дискордантные значения возраста, по которым построено три линии дискордии, верхние пересечения которых соответствуют: I – 3343 ± 17 млн лет; II – 3179 ± 19 млн лет, III – 2563 ± ± 51 млн лет (рис. 10). CL-изображения цирконов сгруппированы по принадлежности к полученным линиям дискордий. Микроэлементный состав циркона изучен в 31 зерне (рис. 10, 11, табл. 4), при этом более чем в половине случаев (54%) отмечается низкая величина отношения Th/U < 0.15, указывающая на возможный метаморфический и анатектический генезис циркона (Rubatto, 2017).
Рис. 11.
Диаграммы распределения REE в цирконах из ортопироксеновых лейкоплагиогнейсов (пр. 607B). (а) – цирконы с дискордантными значениями возраста 3406–3343 млн лет; (б) – цирконы, образующие дискордию I c верхним пересечением 3343 ± 17 млн лет; (в) – цирконы с промежуточными возрастами 3306–3219 млн лет; (г) – цирконы, образующие дискордию II с верхним пересечением 3179 ± 19 млн лет. Серое поле на всех диаграммах показано поле магматического циркона по (Hoskin, 2005). Содержания REE нормализованы по (Sun, McDonough, 1989).

Три зерна в верхней части рис. 10 имеют наиболее древние значения 206Pb/207Pb возраста 3406–3343 млн лет (D = 2–7%) и не принадлежат к полученным дискордиям. В этих зернах отмечаются значительные различия в содержаниях LREE (ΣLREE = 15.3–73.9 ppm). Величина индекса LREE-I = 29–178 указывает на обогащение циркона LREE в процессе его роста, а не из-за пересечения лучом SIMS трещин или включений в цирконе (Bell et al., 2016). Анализ зерна в точке 35.1 (206Pb/207Pb возраст равен 3343 ± 10 млн лет) имеет низкое значение отношения Th/U = 0.08, свидетельствующее в пользу его метаморфического генезиса. При этом отмечается большая величина отношения (Yb/Gd)N = 65.8, высокие содержания (ppm): P = 860, Y = 2426, Hf = 10 231. Сильное деплетирование LREE (ΣLREE = = 15.3 ppm) и крутой наклон их спектра распределения (рис. 11а) характерны для циркона амфиболитовой фации метаморфизма и указывают на формирование в процессе роста циркона минералов, обогащенных LREE: титанита, алланита, монацита (Rubatto, 2017). На диаграмме 8а все три анализа попадают в поле пористого циркона и только анализ зерна в точке 35.1 на рис. 8б – в поле неизмененного магматического циркона.
Линия дискордии I построена по 13 анализам с верхним пересечением 3343 ± 17 млн лет и нижним – 2068 ± 50 млн лет. Нижнее пересечение совпадает с возрастом раннепротерозойского гранулитового метаморфизма, верхнее, судя по геохимическим особенностям цирконов, – с процессом анатексиса. Из рис. 11 видно, что спектры REE размещаются в поле магматического циркона, однако, большинство анализов (5 из 7) имеют низкие отношения Th/U = 0.02–0.14, характерные для метаморфического циркона. В этой популяции выделяется анализ зерна 20.1 с секториальной зональностью “елочкой”, свойственной гранулитовому циркону и отражающей сильные флуктуации скорости роста (Corfu et al., 2003). Вогнутость на графике HREE для анализа зерна в точке 22.1 (рис. 11б) является следствием вытеснения REE из рекристаллизованной решетки циркона (Hoskin, Black, 2000). Низкое отношение (Sm/La)N показывает, что почти вся группа относится к пористому циркону (рис. 8).
Между верхними пересечениями дискордий I и II размещаются анализы шести зерен, показавшие значения возраста 3306–3219 млн лет. Из них в трех случаях величина отношения Th/U = 0.08–0.14 соответствует метаморфическому циркону. Согласно спектрам REE на рис. 11в, они близки к магматическому типу, хотя в зерне с анализом в точке 34.1 – повышенное содержание LREE = 75.6 ppm (LREE-I = 19.7), что может быть связано с трещинами или включениями в цирконе. В зерне циркона 24 (анализ в точке 24.1, Th/U = 0.08), возраст которого равен 3265 млн лет, высокая температура кристаллизации циркона по титановому геотермометру (Watson, Harrison, 2005) ${\text{T}}_{{{\text{Ti}}}}^{{Zir}}$ = 969°C указывает на UHT-тип метаморфизма. Снижение возрастов по конкордии в диапазоне 3306–3219 млн лет происходит, вероятно, в результате длительности сохранения термодинамических условий высокоградного метаморфизма, обеспечивающих рост и перекристаллизацию циркона (O’Brien, Miller, 2014).
Линия дискордии II построена на основании 15 анализов, верхнее пересечение которой соответствует возрасту 3179 ± 19 млн лет (рис. 10). Геохимия ядер циркона изучена в 11 зернах (рис. 11г), из которых больше половины имеет отношение Th/U = 0.02–0.15, свойственное метаморфическому циркону, и в пяти зернах метаморфизм относится к UHT-типу.
Линия дискордии III построена по шести анализам метаморфических оболочек и кайм. Единичные измерения по каймам показали, что они имеют архейский и палеопротерозойский возраст. Каймы с ярким свечением (анализы зерен 20.3 и 24.2) и значениями возраста по отношению 207Pb/206Pb – 2620 ± 31–2487 ± 64 млн лет близки по характеру распределения REE, причем по анализу в точке 20.3 (2620 млн лет) получено низкое отношение Th/U = 0.03 и высокое (Lu/Gd)N = 185, указывающие на метаморфизм амфиболитовой фации. Протерозойская кайма в зерне с номером анализа 19.1 (1932 ± 37 млн лет), с высоким отношением Th/U = 2.27 и низким (Lu/Gd)N = 16 является свидетельством гранулитовой фации метаморфизма этого возраста.
В семи зернах (3349–3099 млн лет) по Ti-геотермометру фиксируется высокая температура кристаллизации (~900°C и более), причем в популяции циркона с возрастом 3179 ± 9 млн лет таких анализов пять, что дает основание для выделения UHT-типа метаморфизма указанного возраста. В цирконе из ортопироксеновых лейкоплагиогнейсов отсутствуют ядра с ритмичной (магматической) зональностью и только небольшое число зерен имеет геохимию неизмененного магматического циркона (рис. 8а). По CL-изображениям и геохимическим данным преобладающий циркон ортопироксеновых лейкоплагиогнейсов является анатектическим, измененным под действием флюидов. Поэтому возраст верхнего пересечения дискордии I, равный 3343 ± 17 млн лет, соответствует времени кристаллизации анатектических пород.
Lu-Hf изотопная система изучена в 14 зернах циркона из мафических кристаллосланцев, 207Pb-206Pb возраст которых варьирует от 3.9 до 2.4 млрд лет (табл. 5). Величины первичных отношений (176Hf/177Hf)i и εHf для отдельных зерен рассчитаны на возраст по измеренному отношению 207Pb/206Pb, кроме дискордантного анализа зерна циркона в точке 6.1, для которого принят возраст верхнего пересечения дискордии в 3987 млн лет.
Таблица 5.
Изотопный Lu-Hf состав циркона
| Номера точек анализа |
T, млн лет | 176Yb/177Hf | 176Lu/177Hf | 176Hf/177Hf | ±σ | εHf (T) | ±2σ | THf(DM), млрд лет | ${\text{T}}_{{{\text{Hf}}}}^{{\text{C}}}$, млрд лет |
|---|---|---|---|---|---|---|---|---|---|
| 6.1 | 3987 | 0.01799 | 0.000784 | 0.28037 | 0.000041 | 3.7 | 0.09 | 3.95 | 3.93 |
| 12.1 | 3575 | 0.01654 | 0.000789 | 0.28034 | 0.000076 | –6.8 | 1.46 | 3.99 | 4.24 |
| 4.1 | 3567 | 0.02743 | 0.001176 | 0.28042 | 0.000032 | –5.3 | 0.1 | 3.93 | 4.14 |
| 8.1 | 3287 | 0.00972 | 0.000411 | 0.28062 | 0.000039 | –2.7 | 0.26 | 3.59 | 3.77 |
| 2.1 | 3243 | 0.04316 | 0.001838 | 0.28062 | 0.000031 | –6.8 | 0.01 | 3.72 | 3.98 |
| 14.1 | 3141 | 0.02253 | 0.000899 | 0.28073 | 0.00005 | –3.3 | 0.7 | 3.49 | 3.69 |
| 25.1 | 3121 | 0.01395 | 0.000561 | 0.28073 | 0.000038 | –2.8 | 0.28 | 3.45 | 3.65 |
| 13.1 | 3118 | 0.01071 | 0.000438 | 0.28052 | 0.000069 | –10.2 | 1.39 | 3.72 | 4.09 |
| 5.1 | 3114 | 0.01006 | 0.000473 | 0.28064 | 0.000035 | –6.3 | 0.19 | 3.57 | 3.85 |
| 24.1 | 2991 | 0.01498 | 0.000612 | 0.28070 | 0.000035 | –7.1 | 0.23 | 3.5 | 3.81 |
| 3.1 | 2983 | 0.01192 | 0.000510 | 0.28069 | 0.000031 | –7.6 | 0.09 | 3.51 | 3.83 |
| 28.1 | 2927 | 0.01344 | 0.000584 | 0.28073 | 0.000061 | –7.6 | 1.18 | 3.46 | 3.79 |
| 17.1 | 2713 | 0.01725 | 0.000727 | 0.28068 | 0.000033 | –14.4 | 0.25 | 3.53 | 4.03 |
| 31.1 | 2410 | 0.01639 | 0.000623 | 0.28073 | 0.000034 | –19.2 | 0.38 | 3.45 | 4.08 |
Примечание. Анализы расположены по убыванию возраста. Т – возраст циркона по измеренному отношению 207Pb/206Pb; THf(DM) – модельный возраст; ${\text{T}}_{{{\text{Hf}}}}^{{\text{C}}}$ – время коровой экстракции (двухстадийный возраст). Рассчитано с использованием средней величины для фельзической коры 176Lu/177Hf = 0.015 (Griffin et al., 2014).
На диаграмме рис. 12а выделяется две совокупности анализов. В наиболее древних цирконах (3987 и 3575 млн лет, точки анализов 6.1 и 12.1 соответственно) отношение 176Lu/177Hf составляет 0.000784–0.000789, но в зерне циркона в точке анализа 4.1 (3567 млн лет) отношение значительно выше 0.001176 и наиболее высокое 0.001838 в зерне с анализом в точке 2.1 (3243 млн лет). Эти четыре зерна в нижней части диаграммы 176Lu/177Hf–176Hf/177Hf образуют тренд, вероятно, связанный с метаморфическими изменениями (включая анатексис) эоархейских магматических пород. Положительная корреляция 176Lu/177Hf и 176Hf/177Hf является свидетельством о изменениях циркона в закрытой системе (Chen et al., 2010). С уменьшением возраста цирконов отмечается рост величины отношения 176Hf/177Hf, начиная с 3287 млн лет и менее, цирконы характеризуются более высоким отношением 176Hf/177Hf, отчасти более низкими величинами отношений 176Lu/177Hf и концентрируются в верхней части диаграммы (рис. 12а). Это результат изменений первичного циркона, поскольку вновь образующийся циркон всегда имеет более высокие значения отношения 176Hf/177Hf, чем первичный циркон пород (Gerdes, Zeh, 2009). Увеличение 176Hf/177Hf происходит при метаморфизме и анатексисе в результате изотопного обмена между цирконом и минералами/расплавом, поскольку породообразующие минералы и расплав имеют более высокое отношение Lu/Hf и, следовательно, более радиогенный состав Hf (Chen et al., 2010). Наиболее низкие величины отношения 176Lu/177Hf = 0.000411 наблюдаются в зерне в точке анализа 8.1 (3287 млн лет) и в анализах зерен 5.1 (0.000438) и 13.1 (0.000473), возраст которых 3118 и 3114 млн лет соответственно. Видимо, при перекристаллизации циркона в эти периоды вместе с флюидами происходило поступление ювенильного мантийного вещества в процессе формирования новой коры. В ходе последующих изменений циркона происходило увеличение изотопных отношений 176Lu/177Hf, в результате чего анализы образуют область положительно коррелирующих значений в левой верхней части рис. 12a. С уменьшением возраста циркона происходит слабое уменьшение величин отношения (176Hf/177Hf)i, промежуточных между значениями хондритового резервуара и коры (рис. 12б). Положительная величина εHf(T) = +3.7 и близкие значения модельного возраста THf(DM) = 3.95 млрд лет и возраста коровой экстракции ${\text{T}}_{{{\text{Hf}}}}^{{\text{C}}}$ = 3.93 млрд лет отмечаются только для циркона с возрастом 3987 млн лет. Весь более поздний циркон отличается отрицательными величинами εHf(T) (табл. 6), указывающими на переработку ранее существовавшей коры. При этом циркон, возраст которого 3575 и 3567 млн лет, характеризуется наиболее древним модельным возрастом THf(DM) = 3.99–3.93 млрд лет и хадейским возрастом экстракции коры ${\text{T}}_{{{\text{Hf}}}}^{{\text{C}}}$ = 4.24–4.14 млрд лет. Циркону с возрастом 3287 млн лет и менее соответствует в основном палеоархейский модельный возраст 3585–3448 млн лет, в двух случаях – полученный по анализам в точках 2.1 и 13.1 – эоархейский (3716 и 3718 млн лет). В палео- и мезоархейском цирконе моложе 3287 млн лет преобладают эоархейские величины возраста экстракции коры, хадейские значения наблюдаются только в зерне в точке анализа 13.1 из популяции циркона с конкордантным возрастом 3125 ± 16 млн лет и в зернах в точках 17.1 и 31.1 с дискордантными значениями 2713 и 2410 млн лет.
Рис. 12.
Диаграммы 176Lu/177Hf–176Hf/177Hf (a) и T–(176Hf/177Hf)i (б) для цирконов из мафических кристаллосланцев (пр. 607). На диаграмме (а) цифрами обозначен 207Pb-206Pb возраст, точечной линией – тренд метаморфических изменений эоархейского циркона. DM – деплетированная мантия, CHUR – хондритовый резервуар, CRUST – кора.

ОБСУЖДЕНИЕ РЕЗУЛЬТАТОВ
Обpазование пpевалиpующей в палеоаpxее высокоглиноземистой TTG-серии, обедненной HREE и Y, пpоиcxодило в pавновеcии c pеcтитовым гpанатом пpи P ≥ 10–15 кбаp, тогда как породы TTG-серии c повышенными концентpациями HREE и Y, но отноcительно обедненные Sr, выплавлялись в pавновеcии c плагиоклаз-амфиболовым pеcтитом пpи P ≤ 8 кбаp (Rapp et al., 1995; Winther, 1996). Ортопироксеновые лейкоплагиогнейсы, содержащие линзы мафических пород, отличаются от преобладающих палеоархейских TTG-серий более высокой магнезиальностью (Мg# = 52.1, хотя обычно для TTG-серий Мg# ≤ 50 (Condie, 2005)), высоким содержанием фемафильных элементов: FeOtot + MgO + MnO + TiO2 = = 6.82 мас. %, Ni = 17 ppm, Cr = 67.7 ppm, отношением Nb/Ta = 21 (обычно для TTG-серий Nb/Ta = 12–13 (Condie, 2005)), но более низкими отношениями (La/Yb)N = 14 и Sr/Y = 24. Учитывая вышеуказанные параметры можно предполагать, что плавление базитовых пород происходило при низком (<8 кбаp) давлении и повышенной темпеpатуpе в pавновеcии c плагиоклазом. По суперхондритовым величинам отношений Nb/Ta = 21 и Zr/Hf = 38.8 лейкоплагиогнейсы близки к мигматитовым TTG-сериям (Hoffmann et al., 2011).
Преобладающий циркон ортопироксеновых лейкоплагиогнейсов по геохимическим и CL данным является анатектическим, измененным под действием флюидов. Возраст циркона по верхнему пересечению линии дискордии в лейкоплагиогнейсах составляет 3343 ± 17 млн лет и рассматривается как возраст анатексиса. Ранее (Степанюк и др., 1993) такой же возраст 3347 ± 21 млн лет был получен U-Pb датированием по навеске циркона из эндербитизированного (мигматизированного) мафитового гранулита далдынской серии в правом борту р. Бол. Куонамка в районе устья р. Сербеян. Полученное значение возраста авторы исследования связывали именно с мигматизацией, отмечая, что исходные мафиты не содержали собственного циркона. Приведенные выше геохимические особенности лейкоплагиогнейсов (пр. 607В) и синхронность их образования с эндербитовой лейкосомой мигматитов (Степанюк и др., 1993) дают основание считать, что лейкоплагиогнейсы, вероятно, являются частью мигматит-плутона палеоархейского возраста.
Контамированные двупироксеновые гнейсы по большинству элементов имеют геохимические характеристики, промежуточные между мафическими ксенолитами и лейкоплагиогнейсами. На спайдерграммах (рис. 3) спектр двупироксеновых гнейсов конформен и приближен к плагиогнейсовому, отмечаются различия только в содержаниях Zr (положительная аномалия в плагиогнейсах и наиболее низкое содержание в двупироксеновых гнейсах) и REE, которые в 1.5 раза выше, чем в плагиогнейсах, при менее фракционированном распределении (La/Yb)N = 6.8. Циркон из контаминированных гнейсов сходен с таковым из лейкоплагиогнейсов. В CL-изображении он тоже черный и однородный, что характерно для циркона анатектических пород. Присутствуют ядра с низким отношением Th/U = 0.04–0.08, характерным для метаморфического циркона. Возраст циркона в контаминированных гнейсах по верхнему пересечению линии дискордии (3386 ± 7 млн лет) близок к возрасту анатектического циркона в лейкоплагиогнейсах. Однако двупироксеновые гнейсы имеют Nd-модельный возраст протолита TNd(DM) = = 3.67 млрд лет, такой же как у мафических кристаллосланцев TNd(DM) = 3.65. Можно предположить, что мафические интрузии внедрились в анатектические гранитоиды и были контаминированы гранитоидным материалом. Следует отметить, что в контаминированных разностях не установлен древний циркон, присутствующий в мафических кристаллосланцах.
Присутствие линз мафических пород среди лейкоплагиогнейсов может объясняться с разных позиций. Геохимические особенности мафических кристаллосланцев свидетельствуют о магматическом протолите основного состава. Это могут быть как остатки мафических пород, подвергшихся частичному плавлению (мигматизации) около 3.34 млрд лет назад, что отмечалось ранее (Степанюк и др., 1993), так и более поздние интрузии основной магмы в анатектические гранитоиды, в дальнейшем испытавшие вместе с вмещающими породами неоднократные глубокие метаморфические преобразования. Мафические кристаллосланцы также могут рассматриваться как меланосома или рестит относительно вмещающих их лейкоплагиогнейсов. Однако этому предположению противоречит отсутствие комплементарности в химическом и микроэлементном составах мафических пород и плагиогнейсов и признаки смешения их составов в приконтактовых двупироксеновых гнейсах. Вместе с тем мафические породы могут быть реститом более раннего (древнее 3343 млн лет) этапа частичного плавления мафических пород.
Мафические линзы могут рассматриваться как породы дифференцированной в условиях коры умеренно-щелочной базитовой серии, судя по высоким концентрациям REE, Th, Pb, высокой фракционированности REE (La/Yb)N = 17.73), хорошо выраженному Eu-минимуму (Eu/Eu* = 0.51) и отрицательной аномалии Sr. Повышенные концентрации несовместимых элементов (Th, REE) в сочетании и с положительной величиной εNd(T) = 1.4 предполагают плавление обогащенного мантийного источника при образовании протолита мафических кристаллосланцев. Следует отметить, что отрицательные аномалии Eu и Sr могут быть не только результатом фракционирования из расплава плагиоклаза, но и следствием образования эндербитовой лейкосомы, обогащенной плагиоклазом, в условиях гранулитовой фации метаморфизма. Меланосома или рестит, обедненные плагиоклазом, в этом случае также могут иметь отрицательные аномалии Eu и Sr.
В мафических породах, геохимические особенности которых указывают на магматический протолит основного состава, установлено большое количество циркона, в котором фиксируется многократный рост и перекристаллизация в результате неоднократного метаморфизма. Присутствие первично магматического циркона в мафических породах, учитывая их низкую кремнекислотность, вызывает сомнения. Значительная часть циркона имеет конкордантные значения возраста от 3567 до 1939 млн лет, при этом по геохимическим данным циркон базитового типа не наблюдается. Циркон из мафических пород по геохимическим особенностям подобен циркону из гранитоидов. Большое число зерен магматического типа на рис. 8, вероятно, связано с процессами глубокого метаморфизма и анатексиса, в результате которых кристаллизация циркона также происходит в расплаве.
Обилие разновозрастного конкордантного циркона обычно связано с осадочным протолитом, обогащенным детритовым цирконом разного возраста, рециклингом более древнего корового материала, захватом мафическими породами циркона из вмещающих пород. Кроме того, для глубокометаморфизованных пород снижение возраста по линии конкордии может объясняться потерями радиогенного свинца, в связи с длительным нахождением пород в условиях гранулитовой фации метаморфизма (O’Brien, Miller, 2014). В случае реститового генезиса мафических линз их первичные породы могли иметь более кислый (средний) состав и тогда можно объяснить обилие циркона в мафических породах, в которых теоретически цирконий должен был находиться в бадделеите в связи с низким содержанием SiO2.
По результатам U-Pb датирования семь зерен циркона с дискордантными значениями образуют дискордии с эоархейскими значениями верхних пересечений с конкордией – 3987 ± 71–3599 ± ± 33 млн лет. Предполагаемый возраст этого циркона превышает TNd(DM) = 3.65 млрд лет вмещающих пород и, вероятно, он представляет унаследованный компонент переработанной эоархейской коры.
Палеоархейские цирконы с возрастами 3575 и 3567 млн лет имеют лучшую сохранность, но по геохимическим особенностям они соответствуют циркону из гранитоидов и характеризуются отрицательными величинами εHf(T), указывающими на переработку ранее существовавшей континентальной коры. Этот циркон отличается наиболее древним модельным возрастом THf(DM) = 3.99–3.93 млрд лет и хадейским возрастом экстракции коры ${\text{T}}_{{{\text{Hf}}}}^{{\text{C}}}$ = 4.24–4.14 млрд лет, что указывает на его образование в результате кристаллизации расплавов эоархейского и хадейского возраста.
В цирконе с возрастом 3287 млн лет и менее Hf-модельный возраст THf(DM) заметно моложе, в основном он палеоархейский (3585–3448 млн лет) и в двух случаях – эоархейский (3716–3718 млн лет). В палео- и мезоархейском цирконе (менее 3287 млн лет) преобладающий возраст экстракции коры – эоархейский > 3.6 млрд лет, хадейские значения получены в зерне в точке анализа 13.1 из популяции циркона с конкордантным возрастом 3125 ± ± 16 млн лет, а также в зернах с дискордантными значениями 2713 и 2410 млн лет.
Вопрос о возрасте мафических пород не имеет однозначного решения. Исходя из модельного возраста протолита TNd(DM) = 3.65 млрд лет более древний циркон в мафических породах, вероятно, является захваченным из вмещающих пород. Если считать мафические породы интрузиями основного состава, внедрившимися в анатектические гранитоиды, то их возраст менее 3.34 млрд лет. Если это ксенолиты мафических пород, подвергшихся анатексису 3.34 млрд лет назад, то их возраст находится в диапазоне между 3.57 млрд лет (возраст захваченного магматического циркона) и 3.34 млрд лет – время мигматизации и анатексиса основных пород.
ЗАКЛЮЧЕНИЕ
Несмотря на глубокий метаморфизм пород Анабарского щита синтез петрографических, геохимических, U-Pb, Sm-Nd и Lu-Hf изотопных данных по гранулитам позволяет установить особенности формирования и эволюции ранней континентальной коры севера Сибирского кратона. Ортопироксеновые плагиогнейсы с возрастом 3.34 млрд лет имеют анатектическое происхождение и отличаются от превалирующего в палеоархее выcокоглиноземиcтого типа TTG-серий. Они содержат мафические линзы с Nd-модельным возрастом протолита TNd(DM) = 3.65–3.67 млрд лет и геохимическими характеристиками пород, образовавшихся в результате плавления обогащенного базитового источника. Мафические породы содержат циркон разного возраста и разной степени конкордантности. Множественные измерения в зернах циркона с дискордантным возрастом позволяют выделить по меньшей мере семь зерен эоархейского циркона (верхние пересечения дискордий 3987 ± 71–3599 ± 33 млн лет). Наиболее древний циркон с возрастом 3.99 млрд лет характеризуется εHf(T) = +3.7 и близкими значениями модельного возраста THf(DM) и возраста коровой экстракции ${\text{T}}_{{{\text{Hf}}}}^{{\text{C}}}$ – 3.95 и 3.93 млрд лет. Палеоархейские цирконы с возрастом 3.57 млрд лет характеризуются отрицательными величинами εHf(T) –5.3 и –6.8 с модельным возрастом THf(DM) = 3.92–3.98 млрд лет и временем экстракции коры ${\text{T}}_{{{\text{Hf}}}}^{{\text{C}}}$ = = 4.14–4.24 млрд лет, указывающими на рециклинг ранее существовавшей континентальной коры эоархейского и хадейского возраста. Образование более позднего циркона с возрастом 3287–2410 млн лет также происходило в процессе переработки раннее существовавшей коры.
Благодарности. Авторы выражают благодарность рецензентам журнала “Петрология” за конструктивные замечания, позволившие значительно улучшить статью.
Источники финансирования. Работа выполнена по материалам, полученным при составлении Госгеолкарты РФ масштаба 1 : 1 000 000 третьего поколения листа R-49–Оленек. Геохимия циркона изучена в рамках Госзадания ИГГД РАН (тема НИР № 0153-2019-0002). Исследование выполнено при финансовой поддержке РФФИ (грант № 18-35-00229/18 мол_а).
Список литературы
Архей Анабарского щита и проблемы ранней эволюции Земли. М.: Наука, 1988. 253 с.
Гусев Н.И. Анабарский щит Сибирского кратона: вещественный состав, геохимия, геохронология. Saarbrücken: LAMBERT Academic Publ, 2013. 188 с.
Гусев Н.И., Пушкин М.Г., Круглова А.А. и др. Государственная геологическая карта Российской Федерации. Масштаб 1 : 1 000 000 (третье поколение). Лист R-49–Оленек. Объясн. записка. СПб.: Картфабрика ВСЕГЕИ, 2016. 448 с.
Гусев Н.И., Сергеева Л.Ю., Скублов С.Г. и др. Состав и соотношения ранне- и позднеарехейских гранулитов в бекелехской толще Анабарского щита (Сибирский кратон) // Регион. геология и металлогения. 2017. № 70. С. 17–35.
Капитонов И.Н., Адамская Е.В., Лохов К.И., Сергеев С.А. Возможности LA-ICP-MS методики определения 176Hf/177Hf в древнейших (>3 млрд лет) цирконах // XVIII симпозиум по геохимии изотопов. Тез. докл. М.: ГЕОХИ РАН, 2007. С. 117.
Липенков Г.В., Мащак М.С., Кириченко В.Т. и др. Государственная геологическая карта Российской Федерации масштаба 1 : 1 000 000 (третье поколение). Серия Анабарская. Лист R-48–Хатанга. Объясн. Записка. СПб.: Картфабрика ВСЕГЕИ, 2016. 342 с.
Ножкин А.Д., Лиханов И.И., Савко К.А. и др. Сапфиринсодержащие ультравысокотемпературные гранулиты Анабарского щита: состав, U-Pb возраст цирконов и P-T условия метаморфизма // Докл. АН. 2018. Т. 479. № 1. С. 71–76.
Петрографический кодекс России. Магматические, метаморфические, метасоматические, импактные образования. Издание третье, исправленное и дополненное. СПб.: Изд-во ВСЕГЕИ, 2009. 197 с.
Степанюк Л.М., Пономаренко А.Н., Яковлев Б.Г. и др. Кристаллогенезис и возраст циркона в породах гранулитовой фации (на примере мафитового гранулита далдынской серии Анабарского щита) // Минералогический журн. 1993. Т. 15. № 2. С. 40–52.
Тейлор С.Р., Мак-Леннан С.М. Континентальная кора, ее состав и эволюция. М.: Мир, 1988. 379 с.
Федотова А.А., Бибикова Е.В., Симакин С.Г. Геохимия циркона (данные ионного микрозонда) как индикатор генезиса минерала при геохронологических исследованиях // Геохимия. 2008. № 9. С. 980–997.
Bell E.A., Boehnke P., Harrison T.M. Recovering the primary geochemistry of Jack Hills zircons through quantitative estimates of chemical alteration // Geochim. Cosmochim. Acta. 2016. V. 191. P. 187–202.
Black L.P., Kamo S.L., Allen C.M. et al. TEMORA 1: a new zircon standard for Phanerozoic U-Pb geochronology // Chem. Geol. 2003. V. 200. P. 155–170.
Blichert-Toft J., Albarede F. The Lu-Hf isotope geochemistry of chondrites and evolution of the crust-mantle system // Earth Planet. Sci. Lett. 1997. V. 148. P. 243–258.
Bouvier A.-S., Ushikubo T., Kita N. et al. Li isotopes and trace elements as a petrogenetic tracer in zircon: Insights from Archean TTGs and sanukitoids // Contrib. Mineral. Petrol. 2012. V. 163. P. 745–768.
Chauvel C., Blichert-Toft J. A hafnium isotope and trace ele-ment perspective on melting of the depleted mantle // Earth Planet. Sci. Lett. 2001. V. 190. P. 137–151.
Chen R.-X., Zheng Y.-F., Zie L. Metamorphic growth and recrystallization of zircon: distinction by simultaneous in-situ analyses of trace elements, U-Th-Pb and Lu-Hf isotopes in zircon from eclogite-facies rocks in the Sulu orogen // Lithos. 2010. V. 114. P. 132–154.
Condie K.C. TTGs and adakites: are they both slab melts? // Lithos. 2005. V. 80. P. 33–44.
Corfu F., Hanchar J.M., Hoskin P.W.O., Kinny P. Atlas of zircon textures // Rev. Mineral. Geochem. 2003. V. 53. P. 469–500.
Elhlou S., Belousova E., Griffin W.L. et al. Trace element and isotopic composition of GJ red zircon standard by laser ablation // Geochim. Cosmochim. Acta. 2006. V. 70. P. A158.
Gerdes A., Zeh A. Zircon formation versus zircon alteration – new insights from combined U-Pb and Lu-Hf in-situ LA-ICP-MS analyses, and consequences for the interpretation of Archean zircon from the Central Zone of the Limpopo Belt // Chem. Geol. 2009.V. 261. P. 230–243.
Goldstein S.J., Jacobsen S.B. Nd and Sm isotopic systematics of river water suspended material: implications for crustal evolution // Earth Planet. Sci. Lett. 1988. V. 87. P. 249–265.
Griffin W.L., Pearson N.J., Belousova E. et al. The Hf isotope composition of cratonic mantle: LAM-MC-ICPMS analysis of zircon megacrysts in kimberlites // Geochim. Cosmochim. Acta. 2000. V. 64. P. 133–147.
Griffin W.L., Belousova E.A., O’Neill C. et al. The world turns over: Hadean-Archean crust-mantle evolution // Lithos. 2014. V. 189. P. 2–15.
Grimes C.B., John B.E., Cheadle M.J. et al. On the occurrence, trace element geochemistry, and crystallization history of zircon from in situ ocean lithosphere // Contrib. Mineral. Petrol. 2009. V. 158. P. 757–783.
Hawkesworth C.J., Cawood P.A., Dhuime B., Kemp T.I.S. Earth’s continental lithosphere through time // Annu. Rev. Earth Planet. Sci. 2017. V. 45. P. 169–198.
Harley S.L. The origins of granulites: a metamorphic perspective // Geological Magazine. 1989. V. 126. P. 215–247.
Harley S.L., Kelly N.M., Moller A. Zircon behaviour and thermal histories of mountain chains // Elements. 2007. V. 3. № 1. P. 25–30.
Hoffmann J.E., Münker C., NæraaT. et al. Mechanisms of Archean crust formation inferred from high-precision HFSE systematics in TTGs // Geochim. Cosmochim. Acta. 2011. V. 75. P. 4157–4178.
Hoskin P.W.O. Trace-element composition of hydrothermal zircon and the alteration of Hadean zircon from the Jack Hills, Australia // Geochim. Cosmochim. Acta. 2005. V. 69. P. 637–648.
Hoskin P.W.O., Black L.P. Metamorphic zircon formation by solid-state recrystallization of protolith igneous zircon // J. Metamorph. Geol. 2000. V. 18. P. 423–439.
Jacobsen S.B., Wasserburg G.J. Sm-Nd evolution of chondrites and achondrites // Earth Planet. Sci. Lett. 1984. V. 67. P. 137–150.
Ludwig K.R. User’s manual for Isoplot/Ex. Version 2.10. A geochronological toolkit for Microsoft Excel. Berkeley Geochronology Center Special Publication. 1999. V. 1. 46 p.
Ludwig K.R. SQUID 1.00. A user’s manual. Berkeley Geochronology Center Special Publication. 2000. V. 2. 19 p.
Malitch K.N., Belousova E.A., Griffin W.L. et al. Magmatic evolution of the ultramafic-mafic Kharaelakh intrusion (Siberian Craton, Russia): insights from trace-element, U-Pb and Hf-isotope data on zircon // Contrib. Mineral. Petrol. 2010. V. 159. P. 753–768.
Marsh J.H., Stockli D.F. Zircon U-Pb and trace element zoning characteristics in an anatectic granulite domain: Insights from LASS-ICP-MS depth profiling // Lithos. 2015. V. 239. P. 170–185.
O’Brien T.M., Miller E.L. Continuous zircon growth during long-lived granulite facies metamorphism: microtextural, U-Pb, Lu-Hf and trace element study of Caledonian rocks from the Arctic // Contrib. Mineral. Petrol. 2014. V. 168. P. 1071–1088.
Paquette J.L., Ionov D.A., Agashev A.M. et al. Age, provenance and Precambrian evolution of the Anabar shield from U-Pb and Lu-Hf isotope data on detrital zircons, and the history of the northern and central Siberian craton // Precambrian Research. 2017. V. 301. P. 134–144.
Prakash D., Singh P.C., Arima M., Singh T. P-T history and geochemical characteristics of mafic granulites and charnockites from west of Periya, North Kerala, southern India // J. Asian Earth Sci. 2012. V. 61. P. 102–115.
Rapp R.P., Watson E.B. Dehydration melting of metabasalt at 8—32 kbar: implications for continental growth and crustal-mantle recycling // J. Petrol. 1995. V. 36. P. 891–931.
Reimink J.R., Chacko T., Stern R.A., Heaman L.M. The birth of a cratonic nucleus: lithogeochemical evolution of the 4.02–2.94 Ga Acasta Gneiss Complex // Precambrian Research. 2016. V. 281. P. 453–472.
Rubatto D. Zircon: the metamorphic mineral // Rev. Mineral. Geochem. 2017. V. 83. P. 261–295.
Scherer E., Munker C., Mezger K. Calibration of the Lutetium-Hafnium clock // Science. 2001. V. 293. P. 683–687.
Shatsky V.S., Malkovets V.G., Belousova E.A. et al. Multi-stage modification of Paleoarchean crust beneath the Anabar tectonic province (Siberian craton) // Precambrian. Research. 2018. V. 305. P. 125–144.
Sun S., McDonough W.F. Chemical and isotopic systematics of oceanic basalts: implications for mantle composition and processes // Geol. Soc. Spec. Publ. 1989. № 42. P. 313–345.
Trail D. An accessory mineral and experimental perspective on the evolution of the early crust // Amer. Mineral. 2018. V. 103. P. 1335–1344.
Villa I.M., Hanchar J.M. Age discordance and mineralogy // Amer. Mineral. 2017. V. 102. P. 2422–2439.
Watson E., Harrison T. Zircon thermometer reveals minimum melting conditions on earliest Earth // Science. 2005. V. 308. P. 841–844.
Werner C.D. Saxonian granulites – a contribution to the geochemical diagnosis of original rocks in high-metamorphic complexes // Gerlands Beitr. Geopys. 1987. V. 96. № 3–4. P. 271–290.
Whitney D.L., Evans B.W. Abbreviations for names of rock-forming minerals // Amer. Mineral. 2010. V. 95. P. 185–187.
Williams I.S. U-Th-Pb geochronology by ion-microprobe // Rev. Econ. Geol. 1998. V. 7. P. 1– 35.
Winther T.K. An experimentally based model for the origin of tonalitic and trondhjemitic melts // Chem. Geol. 1996. V. 127. P. 43–59.
Woodhead J., Hergt J. Preliminary appraisal of seven natural zircon reference materials for in situ Hf isotope determination // Geostand. Geoanal. Res. 2005. V. 29. P. 183–195.
Woodhead J., Hergt J., Shelley M. et al. Zircon Hf-isotope analysis with an excimer laser, depth profiling, ablation of complex geometries, and concomitant age estimation // Chem. Geol. 2004. V. 209. P. 121–135.
Дополнительные материалы
- скачать Supplement.xlsx
- Результаты U-Pb (SHRIMP-II) анализов циркона
Инструменты
Петрология




