Петрология, 2020, T. 28, № 2, стр. 150-183
Петрогенезис и возраст пород нижней платиноносной зоны Мончетундровского базитового массива, Кольский полуостров
В. В. Чащин a, *, Т. Б. Баянова a, **, Е. Э. Савченко a, ***, Д. В. Киселева b, ****, П. А. Серов a, *****
a Геологический институт Кольского научного центра РАН
184209 Мурманская обл., Апатиты, ул. Ферсмана, 14, Россия
b Институт геологии и геохимии Уральского отделения РАН
620016 Свердловская обл., Екатеринбург, ул. Академика Вонсовского, 15, Россия
* E-mail: chashchin@geoksc.apatity.ru
** E-mail: tamara@geoksc.apatity.ru
*** E-mail: evsav@geoksc.apatity.ru
**** E-mail: kiseleva@igg.uran.ru
***** E-mail: serov@geoksc.apatity.ru
Поступила в редакцию 15.01.2019
После доработки 18.06.2019
Принята к публикации 21.09.2019
Аннотация
Приведены результаты комплексных исследований ассоциации пород нижней зоны северо-восточной части Мончетундровского базитового массива, расположенного в Мончегорском рудном районе. Она включает ортопироксениты, плагиоортопироксениты и нориты, в той или иной степени амфиболизированные и в значительной степени инъецированные габброидами верхней зоны массива. Изучен химический состав главных породообразующих минералов, слагающих данную ассоциацию. Показано, что ортопироксены нижней зоны Мончетундровского массива (НЗММ) существенно отличаются от таковых Мончегорского плутона (Мончеплутона) менее глиноземистым составом, что обусловлено различием условий их кристаллизации. Согласно данным минеральных геотермобарометров, кристаллизация пород НЗММ происходила в интервале 1200–1000°С при давлении около 6 кбар на глубине порядка 20 км. Тогда как породы Мончеплутона кристаллизовались при средней температуре 1230°С и давлении 3 кбар в малоглубинных условиях. По химическому составу породы НЗММ характеризуются умеренными содержаниями магния и кремнезема, повышенным – железа и низким – титана, обогащением легкими редкоземельными элементами (ЛРЗЭ) и крупноионными литофилами (Rb, Ba и Sr) при деплетировании высокозарядными элементами (Nb и Ta). По поведению главных элементов они сходны с аналогичными породами осевой части нижней зоны Мончетундровского массива, залегающими в его основании. Кроме того, по всем петро-геохимическим параметрам породы НЗММ близки сходным породам Мончеплутона. Получены новые изотопно-геохронологические данные U-Pb методом по единичным цирконам из пород НЗММ. Возраст ортопироксенитов составил 2496.3 ± 2.7 млн лет, норитов – 2500 ± 2 млн лет, что в пределах погрешности свидетельствует о синхронности их образования. По данным Sm-Nd изотопной систематики ортопироксениты имеют возраст 2452 ± 85 млн лет, положительное значение величины εNd(T) = +1.7 и модельный возраст протолита исходных пород T(DM), равный 2.76 млрд лет. В качестве возможного исходного расплава для изученных пород рассматриваются коматииты, контаминированные коровым материалом. Полученные результаты исследований свидетельствуют о том, что Мончетундровский массив представляет собой составную интрузию, нижняя зона которой соответствует расслоенным интрузиям, а верхняя представлена породами, принадлежащими комплексу габбро-анортозитов. Формирование массива происходило в течение как минимум трех эпизодов магматической активности (2.50, 2.47 и 2.45 млрд лет).
ВВЕДЕНИЕ
Палеопротерозойский Мончетундровский базитовый массив является одним из крупнейших в Кольском регионе, занимая площадь около 130 км2. Наряду с Мончеплутоном он входит в состав Мончегорского хромово-платинометально-медно-никелевого рудного района (рис. 1) и изучается на протяжении довольно длительного времени. Геологические исследования, начатые с середины прошлого столетия, в основном были направлены на поиски сульфидных медно-никелевых руд. Существует две точки зрения о принадлежности Мончетундровского массива к тому или иному интрузивному комплексу. Долгое время считалось, что Мончетундровский массив является частью позднеархейского габбро-анортозитового комплекса Главного хребта (Козлов и др., 1967; Юдин, 1980; Магматические …, 1985). Впоследствии были получены многочисленные изотопно-геохронологические свидетельства палеопротерозойского возраста пород верхней зоны Мончетундровского массива (Расслоенные …, 2004а; Баянова и др., 2010; Борисенко и др., 2015), однако мнение о его принадлежности к габбро-анортозитовому комплексу Главного хребта сохранялось (Расслоенные …, 2004а). Согласно другой точке зрения (Соколова, 1976; Шарков, 1971, 1980, 2006), массив является расслоенной интрузией и рассматривается в качестве верхней части единого с Мончеплутоном расслоенного Мончегорского комплекса.
Рис. 1.
Геологическая схема Кольского полуострова (а). 1 – палеозойские плутоны щелочных нефелиновых сиенитов: Хибинский (Х), Ловозерский (Л); 2 – палеопротерозойские рифтогенные структуры: Печенгская (П), Имандра-Варзугская (ИВ), Куолаярвинская (К); 3 – палеопротерозойские гранулитовые пояса: Лапландский (Л), Кандалакшско-Колвицкий (КК); 4 – позднеархейские зеленокаменные пояса: Колмозеро-Воронинский (КВ), Терско-Аллареченский (ТА). Схема геологического строения Мончетундровского массива и Мончеплутона (б). 1 – метадуниты и метагарцбургиты; 2 – палеопротерозойская Имандра-Варзугская рифтогенная структура: метабазальты, метаандезибазальты, метариолиты, метариодациты и метадациты, кварциты и сланцы пестрого состава; 3 – микроклин-плагиоклазовые граниты; 4 – расслоенные базитовые интрузии Имандровского комплекса; 5 – Островской массив, расслоенный от перидотитов до габброноритов; 6 – интрузия Чуна-тундра комплекса Главного хребта: анортозиты, лейкогаббро, габбронориты и лейконориты; 7 – Мончетундровский массив: (а) верхняя зона: метагаббро и метагаббронориты, (б) нижняя зона: нориты и ортопироксениты; 8 – кварцевое метагаббро массива 10-й аномалии; 9 – габбронориты и нориты массива оз. Морошковое; 10 – габбронориты массива Кириха; 11 – Мончеплутон: (а) жильные сульфидные Cu-Ni руды, (б) рудный пласт 330, (в) “критический” горизонт Нюда, (г) метагаббронориты массива предгорий Вуручуайвенч, (д) нориты и габбронориты, (е) ортопироксениты, (ж) переслаивание ортопироксенитов и гарцбургитов, (з) гарцбургиты, (и) дуниты; 12 – гнейсо-диориты и кварцевые гнейсо-диориты; 13 – неоархейский Терско-Аллареченский зеленокаменный пояс: амфиболиты, биотит-амфиболовые и биотитовые плагиосланцы; 14 – палео-неоархейские метаморфические и ультраметаморфические образования Кольского блока; 15 – разрывные нарушения; 16 – структурные скважины и их номера.

Следует отметить, что верхняя, сравнительно хорошо обнаженная зона Мончетундровского массива исследована достаточно полно (Расслоенные …, 2004а; Нерович и др., 2009; Кунаккузин и др., 2015а), тогда как нижняя зона изучена явно недостаточно и до последнего времени сведения о ней базировались на материалах бурения глубоких структурных скважин. В то же время она представляет значительный интерес в связи с обнаружением в последнее время в ее пределах малосульфидного платинометального месторождения Лойпишнюн, геологическое строение которого, геохимия элементов платиновой группы и минералогия платиновых металлов изучены достаточно хорошо (Чащин и др., 2018). Однако основные петрологические параметры становления этой рудоносной части Мончетундровского массива, а именно: состав породообразующих минералов, петро-геохимические характеристики пород, P-T условия кристаллизации, источники вещества и др. остались не исследованы. Для изучения этих вопросов, играющих важную роль, в том числе и в понимании процессов платинометального рудообразования, было предпринято исследование вещественного состава и изотопно-геохимических параметров пород НЗММ в его северо-восточной части, в районе малосульфидного платинометального месторождения Лойпишнюн.
ГЕОЛОГИЯ И ГЕОХРОНОЛОГИЯ МОНЧЕТУНДРОВСКОГО МАССИВА
Геологическое положение, внутреннее строение и петрография пород
Мончетундровский массив расположен в центральной части Кольского региона, в зоне сочленения палео-неоархейского Кольского блока с неоархейским Терско-Аллареченским зеленокаменным поясом и палеопротерозойской Имандра-Варзугской рифтогенной структурой (рис. 1). В плане он имеет овальную форму протяженностью около 30 км при ширине 2–6 км, вытянутую в северо-западном направлении с погружением на юго-восток. По данным глубокого структурного бурения Мончетундровский массив в разрезе является пологой мульдой с падением трахитоидности и первичной полосчатости к ее центру (рис. 1). Вертикальная мощность сохранившейся части массива составляет около 2 км, а его верхняя часть и кровля эродированы. Северо-западная и северо-восточная части массива контактируют с глиноземистыми гнейсами, основными гранулитами и диоритами Кольского блока, а юго-западная – с амфиболитами, биотит-амфиболовыми и биотитовыми плагиосланцами неоархейского Терско-Аллареченского зеленокаменного пояса. Юго-восточная часть массива частично перекрыта кислыми метавулканитами арваренчской свиты с возрастом 2429 ± 6.6 млн лет (Вревский, 2011) палеопротерозойской Имандра-Варзугской рифтогенной структуры. Часть северо-восточного контакта Мончетундровского массива, в районе Пентландитового ущелья и далее на юго-восток, проходит с Мончеплутоном и маркируется Мончетундровским разломом (рис. 1).
Юго-восточное продолжение Мончетундровского массива получило собственное название – массив Южная Сопча (рис. 1). Следует отметить, что вопрос принадлежности этого массива к той или иной интрузии является предметом дискуссии. По мнению Т.Л. Гроховской с соавторами (Гроховская и др., 2012) он является частью Мончетундровского массива. Согласно другой точке зрения (Кнауф, Гусева, 2011; Sharkov, Chistyakov, 2012), рассматривается в составе единой интрузии южного обрамления Мончеплутона, включающей, помимо массива Южная Сопча, массивы Морошкового озера и Вуручуайвенч (рис. 1). Существует также мнение, что породы верхней зоны массива Южная Сопча близки к таковым Мончетундровского массива (Гроховская и др., 2012), тогда как нижней – имеют сходство с ортопироксенитами и норитами Мончеплутона (Рундквист и др., 2012; Pripachkin et al., 2016).
Во внутреннем строении Мончетундровского массива разными авторами выделяются две (Расслоенные …, 2004а), три (Нерович и др., 2009) или четыре (Шарков, 2006) зоны. Основные разногласия касаются объема выделения различных зон в верхней части массива, которые по вещественному составу пород между собой принципиально не различаются. Поэтому, учитывая, что строение верхней части массива в настоящей работе не рассматривается, нами для упрощения принято двучленное строение массива. В этом случае массив делится на нижнюю норит-ортопироксенитовую и верхнюю лейкогаббро-габброноритовую зоны.
В общем объеме Мончетундровского массива нижняя зона составляет около 20%. В центральной, осевой части массива ее разрез является наиболее полным и хорошо сохранившимся, достигая 450 м мощности. В основании нижней зоны залегают ортопироксениты и плагиоортопироксениты, которые выше по разрезу сменяются мезо-меланократовыми норитами. В юго-западном крыле мульды мощность НЗММ постепенно уменьшается до <50 м и срезается разломом (рис. 1). Геологическое строение НЗММ в северо-восточном борту мульды, в зоне, примыкающей к тектонической границе с Мончеплутоном (рис. 1), судя по данным структурных скважин М-1 и 753, а также многочисленных поисковых скважин, в отличие от центральной части гораздо сложнее (рис. 2, 3). В целом породы НЗММ в этой части Мончетундровского массива состоят из отдельных фрагментов мощностью от 1–10 до 50–250 м, прорванных габброидами верхней зоны (рис. 2, 3). Разрез НЗММ здесь характеризуется незакономерным чередованием ортопироксенитов и плагиоортопироксенитов мощностью от 2–3 до 50 и более метров с мезо-меланократовыми норитами мощностью 1–30 м. При этом расслоенность в них проявлена неотчетливо. Обычно эти породы связаны между собой постепенными переходами, зачастую в различной степени амфиболизированы и по вещественному составу сходны с аналогичными породами, вскрытыми структурными скважинами в осевой части массива.
Рис. 2.
Строение НЗММ по данным бурения структурных скважин: 753, по Н.Г. Добрыниной (1967 г.), 742, 765, по Х.Т. Шляховой (1972 г.) и М-1, по В.Н. Климентьеву (1999 г.), с упрощениями. 1 – дайки метадолеритов и метагаббро-долеритов; 2 – микроклин-плагиоклазовые граниты; 3 – амфиболиты: (а) роговообманковые, (б) гранатсодержащие, (в) тремолитовые; 4, 5 – породы Мончетундровского массива: 4 – верхняя зона: метагаббро и метагаббронориты мезо-лейкократовые средне-крупнозернистые, 5 – нижняя зона: (а) нориты, (б) ортопироксениты и плагиоортопироксениты; 6 – дуниты (а) и гарцбургиты (б); 7 – гнейсо-диориты и кварцевые диориты; 8 – плагиогнейсы: (а) ставролит-гранат-биотитовые, (б) биотит-амфиболовые; 9 – геологические границы: (а) достоверные, (б) фациальные.

Рис. 3.
Схема геологического строения малосульфидного платинометального месторождения Лойпишнюн и разрезы по скважинам МТ-3, МТ-25, МТ-69 и МТ-72, по М.С. Люлько (2007 г.), с упрощениями и изменениями. 1 – дайки метадолеритов: (а) вне масштаба, (б) в масштабе разрезов; 2 – дуниты; 3, 4 – Мончетундровский массив: 3 – средне-крупнозернистые лейкогаббро и метагаббронориты верхней зоны, 4 – нориты (а) и ортопироксениты (б) нижней зоны; 5 – гнейсы ставролит-гранат-биотитовые; 6 – геологические границы фациальные; 7 – разрывные нарушения; 8 – скважины и их номера.

Ортопироксениты НЗММ представляют собой породы мелко-среднезернистого сложения, состоящие из идиоморфных кристаллов ортопироксена (кумулус), по краям зерен слабо замещенных бесцветным тремолитом (до 5 об. %), реже хлоритом (до 1–3 об. %) (рис. 4а). Иногда в ортопироксенитах содержится интеркумулусный плагиоклаз в количестве до 2–3 об. %. В качестве второстепенного минерала присутствует ксеноморфный клинопироксен, в акцессорных количествах – карбонат и титаномагнетит. Плагиоортопироксениты внешне ничем не отличаются от ортопироксенитов и установлены при микроскопическом изучении. От ортопироксенитов они отличаются повышенным содержанием интеркумулусного плагиоклаза (до 10–15 об. %) среди идиоморфных и субидиоморфных кристаллов ортопироксена (рис. 4б), содержащего тонкие келифитовые каймы тремолита. Мезо- и меланократовые нориты включают две разновидности: среднезернистые (рис. 4в) и крупнозернистые (рис. 4г), которые, как будет показано ниже, различаются по химическому составу. Обычно они состоят из идиоморфных и субидиоморфных кристаллов слабо амфиболизированного (до 10 об. % тремолита) ортопироксена (40–60 об. %), субидиоморфных и ксеноморфных зерен плагиоклаза (30–50 об. %) (рис. 4в, 4г) и содержат редкие зерна ксеноморфного клинопироксена, а также биотита, титаномагнетита, рутила, кварца, апатита и сульфидов. В некоторых случаях нориты интенсивно амфиболизированы, иногда (пробы 72102, 69100) в значительной степени карбонатизированы.
Рис. 4.
Фотографии шлифов типичных пород НЗММ: (а) – ортопироксенит (шлиф 69088), (б) – плагиоортопироксенит (шлиф 69140), (в) – норит I группы (шлиф 72089), (г) – норит II группы (шлиф 72048). Здесь и на рис. 6, 14 и 17 символы минералов по (Whitney, Evans, 2010).

Верхняя зона Мончетундровского массива составляет около 80% от его объема при вертикальной мощности от 500 до 1400 м (рис. 1). Она представлена мезократовыми среднезернистыми, реже крупнозернистыми, интенсивно амфиболизированными лейкократовыми габброноритами массивной, участками трахитоидной, текстуры и крупнозернистыми лейкогаббро, реже анортозитами, обычно залегающими в верхней части разреза. В осевой части массива разрез габброидов обычно однороден, иногда среди них встречаются прослои (ксенолиты) пород нижней зоны (скв. 765, инт. 1040–1170 м, рис. 2) и тремолитовых амфиболитов мощностью 25 м (скв. 742, рис. 2). В северо-восточной части массива разрез этой зоны, вскрытый скважиной M-1, включает два интервала: 0–755 и 1034–1770 м (рис. 2). Первый сложен преимущественно средне-крупнозернистым массивным лейкогаббро, иногда трахитоидным, с редкими маломощными прослоями габброноритов и анортозитов, а также редкими прослоями троктолитов. Второй интервал представлен, главным образом, средне-крупнозернистыми мезо- и лейкократовыми метагаббро, реже метагабброноритами (рис. 2). Среди них встречаются прослои (ксенолиты) норитов и мелкозернистых гранатсодержащих меланократовых амфиболитов неясной природы, а также кварцевых амфиболовых, реже гиперстеновых, диоритов, являющихся, вероятно, ксенолитами фундамента (рис. 2). Ниже по разрезу скв. М-1 (инт. 1850–2100 м) габброиды встречаются в виде маломощных жил в преобладающих норитах и плагиоортопироксенитах нижней зоны (рис. 2). При этом в отдельных случаях отмечается цементация габброидами обломков меланоноритов (Расслоенные …, 2004а). Секущий характер соотношений между габброидами верхней зоны и породами нижней подтверждается многочисленными примерами в обнажениях массива Южная Сопча (Рундквист и др., 2012). Приведенные факты с высокой степенью достоверности свидетельствуют о фазовых соотношениях между породами нижней и верхней зон Мончетундровского массива.
В пределах как нижней, так и верхней зон массива встречаются многочисленные линзовидно-пластовые тела дунитов, реже гарцбургитов, в той или иной степени серпентинизированных, мощностью до 50 м. Так, по разрезу скв. 753 вскрыто около 40 подсечений ультрабазитов, которые группируются в 20 самостоятельных тел, секущих как породы НЗММ, так и габброиды верхней зоны (рис. 2). Они не коррелируют друг с другом по разрезу скважин и занимают различное положение в разрезе НЗММ. В нижней части разреза скв. М-1 вскрыто более мощное однородное тело таких пород, залегающее на границе между диоритами фундамента и вышеописанной зоны чередования пород верхней и нижней зон массива (инт. 2100–2350 м) (рис. 2). В целом ультрабазиты, скорее всего, являются более молодыми образованиями относительно пород нижней и верхней зон Мончетундровского массива и по этой причине они исключены из дальнейшего рассмотрения.
Кроме того, породы обеих зон массива содержат ксенолиты ставролит-гранат-биотитовых плагиогнейсов мощностью около 10 м, а также секутся многочисленными дайками метадолеритов (рис. 2, 3).
Геохронология пород Мончетундровского массива
Ранее U-Pb методами по циркону и бадделеиту были определены возрасты пород как нижней, так и верхней зон Мончетундровского массива. Для плагиоортопироксенитов НЗММ из района Пентландитового ущелья получен возраст в 2502.3 ± 5.9 (Bayanova et al., 2014), а для метаноритов массива Южная Сопча – 2504 ± 1 млн лет (Чащин и др., 2016). Породы верхней зоны массива характеризуются значительным разбросом возрастов. Так, для трахитоидных габброноритов возраст определен в интервале 2501–2507 млн лет (Баянова и др., 2010; Нерович и др., 2009; Расслоенные …, 2004б), для массивных лейкогабброноритов и метагаббро Южной Сопчи – 2478–2471 млн лет (Баянова и др., 2010; Борисенко и др., 2015; Чащин и др., 2016) и для массивных лейкогаббро – 2456–2453 млн лет (Митрофанов и др., 1993; Баянова и др., 2010). Следует отметить, что возрасты массивных лейкогабброноритов Мончетундровского массива и метагаббро массива Южная Сопча в пределах ошибки весьма близки таковым для лейконоритов краевой зоны (2463 ± 2.4 млн лет) и лейкогаббро главной зоны (2467 ± 8 млн лет) Волчьетундровского габбро-анортозитового массива (Чащин и др., 2012), а также трахитоидных лейкогаббро Чунатундровского массива (2467 ± 7 млн лет) (Баянова, 2004; Расслоенные …, 2004б), относящихся к комплексу габбро-анортозитов Главного хребта. Это свидетельствует о высокой вероятности принадлежности верхней зоны Мончетундровского массива к этому же комплексу. Наряду с этим, секущие соотношения между трахитоидными габброноритами и массивными лейкогаббро верхней зоны (Борисенко и др., 2015) в совокупности с имеющимися различиями в возрастах могут служить доказательством фазовых соотношений между ними.
Sm-Nd методом по породообразующим минералам и сульфидам возраст плагиоортопироксенитов нижней зоны из района Пентландитового ущелья составляет 2489 ± 49 млн лет с положительной первичной величиной εNd, равной +1.2, и модельным возрастом протолита, равным 3.19 млрд лет (Bayanova et al., 2014). Для метаноритов массива Южная Сопча первичная величина εNd = –2.19, а модельный возраст протолита составляет 3.21 млрд лет (Чащин и др., 2016).
Породы Мончетундровского массива неравномерно метаморфизованы с увеличением интенсивности метаморфизма в северо-восточном направлении и максимумом вблизи Мончетундровского разлома. Sm-Nd методом по метаморфическим минералам определено время метаморфических преобразований габброидов верхней зоны: 2038 ± 58 млн лет (Шарков и др., 2006), 2020 ± 50 и 2017 ± 38 млн лет (Кунаккузин и др., 2015б). Первый из этих возрастов рассматривается в качестве времени заложения Мончетундровского разлома, а остальные характеризуют время метаморфических преобразований пород.
АНАЛИТИЧЕСКИЕ МЕТОДЫ
Все пробы для аналитических исследований, в том числе геохронологические, были отобраны из керна поисковых скважин, пробуренных в пределах месторождения малосульфидных платинометальных руд Лойпишнюн. Положение этих скважин показано на рис. 3, а глубины отбора проб и характеристики пород приведены в табл. 1.
Таблица 1.
Привязка проанализированных проб и их петрографическая характеристика
| Номер пробы |
Номер скважин/глубина; интервал | Порода |
|---|---|---|
| 69088 | МТ-69/240.3 | Ортопироксенит |
| 69132 | МТ-69/275.2 | Ортопироксенит |
| 69134 | МТ-69/276.5 | Ортопироксенит плагиоклазсодержащий |
| 69147 | МТ-69/286.1 | Ортопироксенит плагиоклазсодержащий |
| 69083 | МТ-69/237.1 | Плагиоортопироксенит |
| 69091 | МТ-69/243.5 | Плагиоортопироксенит |
| 69092 | МТ-69/244.5 | Плагиоортопироксенит |
| 69140 | МТ-69/280.2 | Плагиоортопироксенит |
| 72117 | МТ-72/286.8 | Плагиоортопироксенит |
| 72122 | МТ-72/291.3 | Плагиоортопироксенит |
| 69100 | МТ-69/250.6 | Метанорит мезо-меланократовый |
| 72088 | МТ-72/260.9 | Метанорит меланократовый |
| 72089 | МТ-72/261.4 | Норит мезо-меланократовый |
| 72048 | МТ-72/230.6 | Норит мезократовый |
| 72102 | МТ-72/274.1 | Метанорит мезо-меланократовый |
| 72110 | МТ-72/280.75 | Метанорит мезократовый |
| Геохронологические пробы | ||
| МТ-3 | МТ-3/172.2–229.0 | Ортопироксенит |
| МТ-25 | МТ-25/104.1–117.85 и 129.85–138.6 | Норит мезократовый |
Анализ петрогенных компонентов (полный силикатный анализ) выполнен в химико-аналитической лаборатории Геологического института КНЦ РАН (г. Апатиты) под руководством Л.И. Константиновой. Для определения компонентов применялись следующие методы: атомно-абсорбционный пламенный (Si, Al, Fe, Mg, Ca, Mn), эмиссионный пламенный (Na, K), фотоколориметрический (Ti), весовой (П.п.п., H2O–) и объемный (CO2, FeO).
Химический состав породообразующих минералов изучался рентгеноспектральным методом на электроннозондовом микроанализаторе Cameca MS-46 при ускоряющем напряжении 22 кВ и силе тока зонда 30–40 нА. В качестве эталонов использовались искусственные и природные соединения: Si, Ca (волластонит), Al (Y3Al5O12), Na, Ti (лоренценит), Mg (форстерит), Fe (гематит), Mn (MnCO3) и K (вадеит).
Содержание элементов-примесей определено в ИГГ УрО РАН (г. Екатеринбург) с помощью ICP-MS анализа на квадрупольном масс-спектрометре NexION 300S (Perkin Elmer, США). Микроволновое разложение проб осуществлялось смесью кислот HCl + HNO3 + HF c использованием системы Berghof Speedwave MWS 3+. Точность определения элементов контролировалась с помощью сертифицированных образцов базальта BCR-2 и андезита AGV-2 (USGS). Полученные концентрации редких, рассеянных и редкоземельных элементов удовлетворительно согласуются с аттестованными величинами с допустимым отклонением в пределах 15%. Погрешности определения элементов составили (отн. %): 24 (Cr, Ni, Co, Cu, V, Ba, Sr), 30 (Rb), 41 (РЗЭ), 50 (Zr), 60 (Y, Hf, Ta, Nb, Th, U).
Цирконы для U-Pb изотопных исследований, а также породообразующие минералы и сульфиды для Sm-Nd изотопных исследований были выделены в лаборатории сепарации вещества и первичной обработки проб Геологического института КНЦ РАН под руководством Л.И. Коваль по стандартной методике сепарации с помощью электромагнитов различной мощности и тяжелых жидкостей.
Изотопное U-Pb датирование единичных цирконов осуществлялось в лаборатории геохронологии и изотопной геохимии Геологического института КНЦ РАН на семиканальном масс-спектрометре Finnigan MAT-262 с использованием искусственного трассера 205Pb по методике, изложенной в работах (Баянова и др., 2007; Bayanova et al., 2014).
Измерения концентраций Sm и Nd, а также изотопного состава Nd проводились на семиканальном твердофазном масс-спектрометре Finnigan-MAT 262 (RPQ) в статическом двухленточном режиме с использованием рениевых и танталовых лент. Ошибка в 147Sm/144Nd отношениях составляет 0.3% (2σ) – среднее значение из семи измерений в стандарте BCR. Погрешность измерения изотопного состава Nd в индивидуальном анализе – 0.004%; для минералов с низкими концентрациями Nd и Sm – до 0.017%. Холостое внутрилабораторное загрязнение по Nd равно 0.3 нг и по Sm – 0.06 нг. Точность определения концентраций Sm и Nd составляет ±0.5%. Изотопные отношения были нормализованы по отношению 146Nd/144Nd = 0.7219, а затем пересчитаны на отношение 143Nd/144Nd в стандарте La Jolla, равное 0.511860. Вычисление параметров изохрон проводилось с помощью программного комплекса ISOPLOT (Ludwig, 2008).
МИНЕРАЛОГИЯ
Полученные результаты определения химического состава породообразующих минералов приведены в табл. 2–4 и показаны на рис. 5, 6. Ортопироксен является главным породобразующим минералом в породах НЗММ. Он образует в основном идиоморфные кристаллы призматической и таблитчатой формы размером 0.5–3 мм, зачастую резорбированные и окруженные тонкой келифитовой каймой бесцветного тремолита. По химическому составу, согласно классификации Н. Моримото (Morimoto, 1988), все ортопироксены относятся к энстатиту, при этом отмечается отчетливая зависимость их состава от основности пород, что свидетельствует о наличии скрытой расслоенности в породах НЗММ. Так, наиболее магнезиальными являются ортопироксены из ортопироксенитов с узкими вариациями состава (En71–81), тогда как из плагиоортопироксенитов и норитов они характеризуются более низкими величинами энстатитовой молекулы и весьма широкими колебаниями состава: (En59–78) и (En57–73) соответственно (табл. 2, рис. 5). Ортопироксены из ортопироксенитов и плагиоортопироксенитов НЗММ довольно однородны по содержаниям Al и Ca (0.92–1.23 мас. % Al2O3 и 1.60–2.11 мас. % CaO), тогда как в норитах разброс составов становится значительно большим (0.55–1.20 мас. % Al2O3 и 0.29–2.04 мас. % CaO) (табл. 2, рис. 5а, 5б). Содержание Cr2O3 в ортопироксенах закономерно снижается от 0.20–0.49 мас. % в ортопироксенитах и 0.05–0.36 мас. % в плагиоортопироксенах до 0.13 мас. % в норитах (табл. 2, рис. 5в).
Таблица 2.
Химические составы ортопироксенов из пород НЗММ (мас. %)
| Компо- ненты |
69088* | 69132 | 69134 | 69147 | 69083 | 69091 | 69092 | 69140 | 72117 | 72122 | 69100 | 72088 | 72089 | 72048 | 72102 | 72110 |
|---|---|---|---|---|---|---|---|---|---|---|---|---|---|---|---|---|
| центр | край | центр | край | центр | край | |||||||||||
| ортопироксениты | плагиоортопироксениты | нориты и метанориты I группы | нориты и метанориты II группы | |||||||||||||
| SiO2 | 54.49 | 55.25 | 54.16 | 55.70 | 52.30 | 54.24 | 53.99 | 54.99 | 53.66 | 53.50 | 56.40 | 57.57 | 53.76 | 50.68 | 56.80 | 57.18 |
| TiO2 | 0.13 | 0.21 | 0.22 | 0.16 | 0.19 | 0.13 | 0.14 | 0.19 | 0.22 | 0.10 | − | 0.43 | 0.20 | 0.39 | 0.08 | − |
| Al2O3 | 1.15 | 1.03 | 1.05 | 1.23 | 0.98 | 0.92 | 0.95 | 1.07 | 1.08 | 1.21 | 0.58 | 0.78 | 1.01 | 0.96 | 0.55 | 1.20 |
| Cr2O3 | 0.49 | 0.45 | 0.20 | 0.49 | 0.05 | 0.10 | 0.07 | 0.36 | 0.09 | 0.28 | 0.06 | 0.07 | 0.08 | − | 0.10 | 0.13 |
| FeO | 10.74 | 10.75 | 15.49 | 9.57 | 22.85 | 15.92 | 16.77 | 11.85 | 16.09 | 16.64 | 17.43 | 14.97 | 15.08 | 23.92 | 17.64 | 15.07 |
| MnO | 0.23 | 0.24 | 0.37 | 0.23 | 0.44 | 0.34 | 0.38 | 0.26 | 0.34 | 0.37 | 0.29 | 0.33 | 0.32 | 0.47 | 0.38 | 0.47 |
| MgO | 30.83 | 29.98 | 25.61 | 30.86 | 20.91 | 25.70 | 25.36 | 28.82 | 26.03 | 25.98 | 24.83 | 24.10 | 26.17 | 20.14 | 22.56 | 24.32 |
| CaO | 1.60 | 1.68 | 1.98 | 1.74 | 2.11 | 2.08 | 2.09 | 1.75 | 1.74 | 2.08 | 0.29 | 1.16 | 2.04 | 1.84 | 0.38 | 0.59 |
| Na2O | − | 0.09 | − | 0.07 | − | − | − | − | − | 0.10 | − | − | 0.05 | − | 0.07 | 0.13 |
| NiO | 0.06 | − | 0.05 | 0.05 | 0.04 | − | 0.07 | 0.09 | 0.07 | 0.09 | 0.08 | 0.06 | 0.05 | − | 0.03 | − |
| Сумма | 99.72 | 99.68 | 99.13 | 100.10 | 99.87 | 99.43 | 99.82 | 99.38 | 99.32 | 100.35 | 99.96 | 99.47 | 98.76 | 98.40 | 98.59 | 99.09 |
| Количество ионов в пересчете на 6(O) | ||||||||||||||||
| Si | 1.938 | 1.962 | 1.977 | 1.959 | 1.966 | 1.978 | 1.971 | 1.968 | 1.962 | 1.946 | 2.037 | 2.065 | 1.968 | 1.949 | 2.078 | 2.059 |
| Ti | 0.003 | 0.006 | 0.006 | 0.004 | 0.003 | 0.004 | 0.004 | 0.005 | 0.006 | 0.003 | − | 0.012 | 0.006 | 0.011 | 0.002 | − |
| Al | 0.048 | 0.043 | 0.045 | 0.051 | 0.043 | 0.040 | 0.051 | 0.045 | 0.047 | 0.052 | 0.025 | 0.033 | 0.044 | 0.044 | 0.024 | 0.051 |
| Cr | 0.014 | 0.013 | 0.006 | 0.014 | 0.002 | 0.003 | 0.002 | 0.010 | 0.003 | 0.008 | 0.002 | 0.002 | 0.002 | − | 0.003 | 0.004 |
| Fe | 0.319 | 0.319 | 0.473 | 0.282 | 0.718 | 0.485 | 0.512 | 0.355 | 0.492 | 0.506 | 0.527 | 0.449 | 0.462 | 0.769 | 0.540 | 0.454 |
| Mn | 0.007 | 0.007 | 0.011 | 0.007 | 0.014 | 0.011 | 0.012 | 0.008 | 0.011 | 0.011 | 0.009 | 0.010 | 0.010 | 0.015 | 0.012 | 0.014 |
| Mg | 1.634 | 1.587 | 1.393 | 1.618 | 1.171 | 1.397 | 1.379 | 1.538 | 1.418 | 1.408 | 1.337 | 1.288 | 1.428 | 1.154 | 1.230 | 1.305 |
| Ca | 0.061 | 0.064 | 0.077 | 0.066 | 0.085 | 0.081 | 0.082 | 0.067 | 0.068 | 0.081 | 0.011 | 0.045 | 0.080 | 0.076 | 0.015 | 0.023 |
| Na | − | 0.006 | − | 0.005 | − | − | − | − | − | 0.007 | − | − | 0.004 | − | 0.005 | 0.009 |
| Ni | 0.002 | 0.003 | 0.001 | 0.001 | 0.001 | − | 0.002 | 0.003 | 0.002 | 0.003 | 0.002 | 0.002 | 0.001 | − | 0.001 | − |
| En | 80.8 | 80.3 | 71.2 | 82.1 | 58.9 | 70.8 | 69.5 | 78.2 | 71.3 | 70.2 | 71.0 | 71.9 | 72.1 | 57.3 | 68.5 | 72.6 |
| Fs | 16.2 | 16.5 | 24.8 | 14.6 | 36.8 | 25.1 | 26.4 | 18.4 | 25.3 | 25.8 | 28.4 | 25.6 | 23.8 | 38.9 | 30.7 | 26.1 |
| Wo | 3.0 | 3.2 | 4.0 | 3.3 | 4.3 | 4.1 | 4.1 | 3.4 | 3.4 | 4.0 | 0.6 | 2.5 | 4.1 | 3.8 | 0.8 | 1.3 |
Примечание. Здесь и в табл. 3, 4: прочерк – содержания ниже предела обнаружения, * номера проб.
Таблица 3.
Химические составы клинопироксенов из пород НЗММ (мас. %)
| Компоненты | 69132* | 69134 | 69140 | 72117 | 72089 | 72048 |
|---|---|---|---|---|---|---|
| ортопироксениты | плагиоортопироксениты | норит I группы | норит II группы | |||
| SiO2 | 52.19 | 51.70 | 52.56 | 51.42 | 52.57 | 49.14 |
| TiO2 | 0.34 | 0.42 | 0.33 | 0.37 | 0.27 | 0.52 |
| Al2O3 | 1.94 | 1.81 | 1.64 | 1.65 | 1.89 | 1.97 |
| Cr2O3 | 0.91 | 0.35 | 0.64 | 0.19 | 0.13 | 0.08 |
| FeO | 5.47 | 9.54 | 5.89 | 8.82 | 8.66 | 13.05 |
| MnO | 0.15 | 0.23 | 0.17 | 0.24 | 0.25 | 0.30 |
| MgO | 16.70 | 16.14 | 16.75 | 15.62 | 16.54 | 14.07 |
| CaO | 21.13 | 18.34 | 21.35 | 19.17 | 18.93 | 18.04 |
| Na2O | 0.38 | 0.23 | 0.31 | 0.30 | 0.29 | 0.32 |
| K2O | − | − | − | 0.04 | − | 0.03 |
| Сумма | 99.21 | 98.76 | 99.64 | 97.82 | 99.53 | 97.52 |
| Количество ионов в пересчете на 6(O) | ||||||
| Si | 1.933 | 1.942 | 1.941 | 1.945 | 1.951 | 1.909 |
| Ti | 0.009 | 0.012 | 0.009 | 0.011 | 0.008 | 0.015 |
| Al | 0.085 | 0.080 | 0.071 | 0.074 | 0.083 | 0.090 |
| Cr | 0.027 | 0.010 | 0.019 | 0.006 | 0.004 | 0.002 |
| Fe | 0.169 | 0.300 | 0.182 | 0.280 | 0.269 | 0.424 |
| Mn | 0.005 | 0.007 | 0.005 | 0.008 | 0.008 | 0.010 |
| Mg | 0.922 | 0.903 | 0.922 | 0.882 | 0.915 | 0.815 |
| Ca | 0.839 | 0.738 | 0.845 | 0.779 | 0.753 | 0.751 |
| Na | 0.027 | 0.017 | 0.022 | 0.022 | 0.021 | 0.024 |
| K | − | − | − | 0.002 | − | 0.001 |
| En | 47.6 | 46.4 | 47.2 | 45.3 | 47.1 | 40.7 |
| Fs | 9.0 | 15.7 | 9.6 | 14.7 | 14.2 | 21.7 |
| Wo | 43.4 | 37.9 | 43.2 | 40.0 | 38.7 | 37.6 |
Таблица 4.
Химические составы плагиоклазов из пород НЗММ (мас. %)
| Компо- ненты |
69132* | 69134 | 69147 | 69083 | 69091 | 69092 | 69140 | 72117 | 72122 | 69100 | 72088 | 72089 | 72048 | 72102 | 72110 |
|---|---|---|---|---|---|---|---|---|---|---|---|---|---|---|---|
| ортопироксениты | плагиоортопироксениты | нориты I группы | нориты II группы | ||||||||||||
| SiO2 | 50.92 | 51.24 | 50.21 | 53.59 | 52.28 | 49.97 | 50.48 | 52.97 | 53.34 | 50.72 | 49.22 | 49.23 | 50.49 | 50.94 | 49.15 |
| TiO2 | 0.05 | − | − | − | 0.08 | − | − | − | − | 0.04 | − | − | − | − | 0.05 |
| Al2O3 | 30.87 | 29.94 | 31.21 | 29.02 | 29.72 | 30.77 | 30.76 | 28.42 | 29.73 | 30.61 | 31.90 | 31.60 | 31.54 | 30.48 | 31.76 |
| FeO | 0.19 | 0.38 | 0.11 | 0.23 | 0.12 | 0.38 | 0.48 | 0.38 | 0.32 | 0.18 | 0.06 | 0.20 | 0.50 | 0.06 | 0.13 |
| CaO | 13.70 | 14.83 | 14.17 | 12.42 | 13.54 | 15.92 | 14.05 | 12.07 | 11.74 | 14.69 | 15.68 | 14.74 | 13.49 | 13.96 | 16.32 |
| Na2O | 3.65 | 3.22 | 3.65 | 4.47 | 3.82 | 2.73 | 3.65 | 4.94 | 4.91 | 3.30 | 2.96 | 3.16 | 4.01 | 3.75 | 2.31 |
| K2O | 0.03 | 0.02 | 0.04 | 0.09 | 0.04 | 0.02 | 0.07 | 0.07 | 0.05 | 0.03 | − | 0.06 | 0.07 | 0.03 | 0.04 |
| Сумма | 99.41 | 99.63 | 99.39 | 99.82 | 99.60 | 99.79 | 99.49 | 98.85 | 100.09 | 99.57 | 99.82 | 98.99 | 100.10 | 99.22 | 99.76 |
| Количество ионов в пересчете на 8(O) | |||||||||||||||
| Si | 2.329 | 2.346 | 2.303 | 2.431 | 2.382 | 2.292 | 2.316 | 2.431 | 2.412 | 2.322 | 2.256 | 2.271 | 2.301 | 2.336 | 2.255 |
| Ti | 0.002 | − | − | − | 0.003 | − | − | − | − | 0.001 | − | − | − | − | 0.002 |
| Al | 1.665 | 1.616 | 1.687 | 1.552 | 1.596 | 1.664 | 1.663 | 1.538 | 1.585 | 1.652 | 1.723 | 1.719 | 1.694 | 1.648 | 1.718 |
| Fe | 0.007 | 0.015 | 0.004 | 0.009 | 0.005 | 0.015 | 0.008 | 0.015 | 0.012 | 0.007 | 0.002 | 0.008 | 0.019 | 0.002 | 0.005 |
| Ca | 0.671 | 0.727 | 0.696 | 0.604 | 0.661 | 0.783 | 0.691 | 0.594 | 0.569 | 0.721 | 0.770 | 0.729 | 0.659 | 0.686 | 0.802 |
| Na | 0.324 | 0.286 | 0.325 | 0.393 | 0.337 | 0.243 | 0.325 | 0.440 | 0.431 | 0.293 | 0.263 | 0.283 | 0.354 | 0.333 | 0.205 |
| K | 0.002 | 0.001 | 0.002 | 0.005 | 0.002 | 0.001 | 0.004 | 0.004 | 0.003 | 0.002 | − | 0.004 | 0.004 | 0.002 | 0.002 |
| Ab | 32.5 | 28.2 | 31.7 | 39.2 | 33.7 | 23.7 | 31.8 | 42.4 | 42.9 | 28.8 | 25.5 | 27.8 | 34.8 | 32.6 | 20.4 |
| An | 67.3 | 71.7 | 68.1 | 60.3 | 66.1 | 76.2 | 67.8 | 57.2 | 56.8 | 71.0 | 74.5 | 71.8 | 64.8 | 67.2 | 79.4 |
| Or | 0.2 | 0.1 | 0.2 | 0.5 | 0.2 | 0.1 | 0.4 | 0.4 | 0.3 | 0.2 | 0.0 | 0.4 | 0.4 | 0.2 | 0.2 |
Рис. 5.
Составы ортопироксенов из пород Мончетундровского массива и Мончеплутона на диаграммах: (а) En–Al2O3, (б) En–CaO, (в) Al2O3–Cr2O3 и (г) FeO– MnO. Составы ортопироксенов из ортопироксенитов и норитов Мончеплутона по (Анализы…, 1983; Докучаева, 1974, 1979; Козлов, 1973; Дистлер и др., 1988), из пород верхней зоны Мончетундровского массива по (Чащин, 1999).

Рис. 6.
Морфология и изображения зерен ортопироксена в обратно отраженных электронах из (а) ортопироксенитов (шлиф 69132) и (б) плагиоортопироксенитов (шлиф 69140) с графиками микрозондового профилирования.

Зональность в ортопироксенитах отсутствует. Она не проявлена при их изображении в обратно отраженных электронах и не выражена в результатах химических анализов из разных частей зерен (табл. 2). Микрозондовое профилирование зерен ортопироксенов из ортопироксенитов и плагиоортопироксенитов показало, что они имеют гомогенный состав (рис. 6) и только в ортопироксене из плагиоортопироксенитов наблюдается несущественное снижение содержания MgO по направлению к краям зерна (рис. 6б). Это свидетельствует о значительной длительности остывания родоначального расплава НЗММ и, соответственно, медленной скорости кристаллизации слагающих ее пород.
Сравнение состава ортопироксенов из пород НЗММ с таковыми Мончеплутона показало, что последние являются гораздо более глиноземистыми, в большинстве случаев – более магнезиальными, а в ряде случаев – более хромистыми и кальциевыми (рис. 5). Характерно, что в ортопироксенах НЗММ и Мончеплутона содержания Mn и Fe имеют положительную корреляцию между собой, укладываясь в единый тренд (рис. 5г). Ортопироксены из крупнозернистых габброноритов верхней зоны Мончетундровского массива, несмотря на ограниченность имеющихся данных, демонстрируют в целом низкие содержания глинозема и повышенные – марганца (рис. 5).
Клинопироксен встречается в виде редких ксеноморфных зерен размером 1–2 мм в ортопироксенитах, плагиоортопироксенитах и норитах. По химическому составу, согласно существующей классификации Н. Моримото (Morimoto, 1988), данный клинопироксен относится к авгиту (En41–48Fs9–22Wo38–43) с весьма широкими вариациями ферросилитовой молекулы (табл. 3). Кроме того, для его состава характерно стабильное содержание глинозема (1.64–1.97 мас. % Al2O3), низкие содержания Ti и Na, резко переменные – Cr (табл. 3).
Плагиоклаз развит в виде редких ксеноморфных зерен в ортопироксенитах, его количество и, соответственно, степень идиоморфизма возрастают в плагиоортопироксенитах (до 10%) и, наряду с ортопироксеном, он является одним из главных минералов в норитах, образуя субидиоморфные зерна размером 1–3 мм, зачастую полисинтетически сдвойникованные (рис. 4в, 4г). По химическому составу плагиоклаз соответствует лабрадору (An57–68) и битовниту (An71–79) (табл. 4), при этом зависимости состава плагиоклаза от основности пород не обнаружено.
P-T УСЛОВИЯ ОБРАЗОВАНИЯ ПОРОД
Результаты изучения химического состава орто- и клинопироксенов из пород НЗММ были использованы для оценки P-T параметров минеральных равновесий. Для этих целей применялись следующие термометры: ортопироксеновый (Brey, Köhler, 1990), клинопироксеновый (Nimis, Taylor, 2000) и двупироксеновые (Перчук, 1977а; Mori, Green, 1978; Bertrand, Mercier, 1985; Brey, Köhler, 1990), а также ортопироксеновые геобарометры (Перчук, 1977б; Mercier, 1980). Необходимо отметить, что двупироксеновый геотермометр П. Бертрана и Ж.-К. Мерсье показал несколько завышенные величины температур по сравнению с остальными довольно удовлетворительно согласующимися между собой двупироксеновыми геотермометрами. Полученные результаты приведены в табл. 5.
Таблица 5.
Температуры (°С) и давления (кбар) минеральных равновесий пород НЗММ
| Номер пробы | Термометры | Барометры | |||||||
|---|---|---|---|---|---|---|---|---|---|
| Cpx-Opx | Opx | Cpx | Opx | ||||||
| 1 | 2 | 3 | 4 | 5 | 6 | 7 | 8 | 9 | |
| 69088 | 1146 | 5.8 | 5.6 | ||||||
| 69132 | 1065 | 1020 | 1119 | 985 | 975 | 1160 | 1000 | 6.0 | 5.9 |
| 69134 | 1043 | 1099 | 1290 | 1055 | 1117 | 1223 | 1118 | 5.9 | 5.7 |
| 69147 | 1168 | 5.3 | 5.7 | ||||||
| 69083 | 1255 | 6.2 | 5.4 | ||||||
| 69091 | 1239 | 6.4 | 6.2 | ||||||
| 69092 | 1241 | 6.3 | 6.1 | ||||||
| 69140 | 1042 | 950 | 1117 | 968 | 972 | 1176 | 996 | 5.8 | 5.7 |
| 72117 | 1009 | 1020 | 1231 | 1009 | 1023 | 1180 | 1070 | 5.8 | 5.3 |
| 72122 | 1238 | 5.3 | 5.5 | ||||||
| 69100 | 767 | 8.3 | 3.0 | ||||||
| 72088 | 1056 | 7.1 | 4.8 | ||||||
| 72089 | 1033 | 1014 | 1272 | 1048 | 988 | 1234 | 1114 | 6.0 | 6.0 |
| 72048 | 948 | 866 | 1268 | 931 | 829 | 1216 | 1045 | 6.3 | 4.9 |
| 72102 | 815 | 8.5 | 3.3 | ||||||
| 72110 | 897 | 5.4 | 2.8 | ||||||
| Среднее | 1023 ± 41 | 995 ± 163 | 1216 ± 78 | 999 ± 48 | 1001 ± 93 | 1195 ± 55 | 1057 ± 53 | 6.2 ± 1.1 | 5.1 ± 1.1 |
По ортопироксеновому геотермометру Дж.П. Брея и Т. Кохлера (Brey, Köhler, 1990), основанному на содержании Ca в ортопироксене, получены в целом весьма выдержанные значения, варьирующие от 1051 до 1249°С, в среднем – 1189°С. Исключение составляют три пробы метаноритов, в реликтах ортопироксена которых определено весьма низкое содержание Ca (0.29–0.59 мас. %). Полученные по ним температуры варьируют от 767 до 897°С (табл. 5) и составляют в среднем 822°C, отражая условия метаморфического преобразования пород. Таким образом, можно предположить, что кристаллизация кумулусного ортопироксена происходила при температуре около 1200°С (ликвидус). Клинопироксен в породах НЗММ, являясь интеркумулусным минералом, согласно данным клинопироксенового термометра П. Нимиса и У.P. Тейлора (Nimis, Taylor, 2000), образовался после кристаллизации ортопироксена на позднемагматическом этапе при температуре в среднем около 1050°С (табл. 5). По результатам двупироксеновой термометрии температурное равновесие между сосуществующими орто- и клинопироксенами установилось при ~1000°С (солидус) (табл. 5).
Использование имеющихся данных по составу ортопироксенов и клинопироксенов из пород верхней зоны Мончетундровского массива (Чащин, 1999) для оценки P-T условий их образования с применением тех же геотермометров показало, что они кристаллизовались в температурном интервале от 900 до 1050°С, в среднем около 980°С, что сопоставимо с температурой солидуса пород НЗММ.
Для сравнения определена температура кристаллизация пород Мончеплутона, сходных по составу с породами НЗММ (ортопироксенитов и норитов), с использованием имеющихся литературных данных по химическому составу ортопироксенов (Анализы …, 1983; Докучаева, 1974; 1979; Козлов, 1973; Дистлер и др., 1988). Согласно расчетам по ортопироксеновому геотермометру Дж.П. Брея и Т. Кохлера (Brey, Köhler, 1990), она протекала при 1191–1296°С, в среднем – 1230 ± 35°С, что несколько выше температуры ликвидуса пород НЗММ.
Значения давления по ортопироксеному геобарометру Л. Перчука (Перчук, 1977б), основанному на зависимости содержания глинозема в ортопироксене от давления, варьируют в довольно широком диапазоне: от 5.3 до 8.3 кбар, составляя в среднем 6.2 кбар (табл. 5). Согласно данным ортопироксенового геобарометра Ж.-K. Мерсье (Mercier, 1980), рассчитываемого по валовому химическому составу минерала, величины давления изменяются в основном от 4.8 до 6.2 кбар, в среднем – 5.1 кбар (табл. 5). Исключение составляют три пробы с низким содержанием Ca, в которых определены и более низкие, почти в два раза ниже, чем в большинстве проб, величины давления – 2.8–3.3 кбар, в среднем около 3.0 кбар (табл. 5). Исходя из предположения, что полученное давление является литостатическим, можно констатировать, что кристаллизация основного объема пород НЗММ протекала на глубине около 20 км, тогда как вторичные изменения происходили на глубине около 10 км.
Согласно полученным данным расчетов давления, кристаллизация пород верхней зоны Мончетундровского массива происходила в среднем при 7.5 кбар (Перчук, 1977б), т.е. в целом сопоставимых с данными для пород НЗММ. Для пород Мончеплутона результаты определения давления показали значения 3.0 кбар (Перчук, 1977б), что гораздо ниже таковых для пород НЗММ и свидетельствует о том, что кристаллизация основной массы пород Мончеплутона происходила в малоглубинных условиях.
ХИМИЧЕСКИЙ СОСТАВ ПОРОД
Химический состав ортопироксенитов, плагиоортопироксенитов и норитов, принимающих участие в строении НЗММ, приведен в табл. 6 и показан на рис. 7–11. Ортопироксениты характеризуются наиболее высокими содержаниями магния и кремнезема (MgO = 26.20–29.35 мас. % и SiO2 = 53.70–54.01 мас. %), низкими – глинозема (Al2O3 = 2.22–3.82 мас. %), титана (TiO2 = 0.14–0.18 мас. %), кальция (CaO = 2.54–3.76 мас. %) и суммой щелочей (Na2O + K2O = 0.27–0.39 мас. %), слабыми вариациями содержания железа (FeOtot = = 9.13–10.08 мас. %) при низкой доле окисного железа (табл. 6, рис. 7). На диаграмме Al2O3–(Fe2O3 + FeO + TiO2)–MgO они располагаются в полях ультрамафитовых и мафитовых коматиитов (рис. 8а) и относятся к толеитовой серии (рис. 8б). Для ортопироксенитов характерно повышенное содержание Cr (1673–2447 г/т) при сравнительно узких диапазонах содержаний V (47–54 г/т), Ni (248–286 г/т) и Co (56–63 г/т) (табл. 6, рис. 9).
Таблица 6.
Химический состав пород НЗММ
| Компо-ненты | 69088* | 69132 | 69134 | 69147 | 69083 | 69091 | 69092 | 69140 | 72117 |
| ортопироксениты | плагиоортопироксениты | ||||||||
| SiO2 | 53.70 | 53.77 | 53.93 | 54.01 | 50.90 | 51.03 | 51.58 | 53.18 | 50.10 |
| TiO2 | 0.14 | 0.18 | 0.15 | 0.16 | 0.33 | 0.22 | 0.24 | 0.18 | 0.38 |
| Al2O3 | 2.22 | 3.05 | 3.82 | 3.48 | 4.94 | 5.84 | 4.90 | 7.09 | 3.78 |
| Cr2O3 | 0.37 | 0.35 | 0.35 | 0.44 | 0.026 | 0.036 | 0.026 | 0.23 | 0.047 |
| Fe2O3 | 0.00 | 0.10 | 0.36 | 0.00 | 2.59 | 2.38 | 2.65 | 0.10 | 2.76 |
| FeO | 9.13 | 9.99 | 9.05 | 9.61 | 14.00 | 12.08 | 11.61 | 9.81 | 14.97 |
| FeOtot | 9.13 | 10.08 | 9.37 | 9.61 | 16.33 | 14.22 | 14.00 | 9.90 | 17.45 |
| MnO | 0.23 | 0.24 | 0.23 | 0.21 | 0.29 | 0.25 | 0.26 | 0.21 | 0.33 |
| MgO | 29.35 | 26.20 | 26.20 | 27.10 | 18.04 | 18.80 | 19.82 | 21.52 | 20.03 |
| CaO | 2.54 | 3.76 | 3.61 | 3.16 | 3.19 | 4.50 | 4.38 | 5.45 | 4.01 |
| Na2O | 0.19 | 0.28 | 0.34 | 0.31 | 0.47 | 0.52 | 0.51 | 0.68 | 0.35 |
| K2O | 0.08 | 0.06 | 0.05 | 0.05 | 0.44 | 0.30 | 0.25 | 0.10 | 0.13 |
| П.п.п. | 1.58 | 1.69 | 1.16 | 1.07 | 2.38 | 2.57 | 2.32 | 1.23 | 2.27 |
| H2O– | 0.06 | 0.18 | 0.20 | 0.17 | 0.32 | 0.25 | 0.28 | 0.20 | 0.29 |
| CO2 | 0.24 | 0.28 | 0.12 | 0.19 | 1.14 | 0.39 | 0.37 | 0.26 | 0.37 |
| Сумма | 99.83 | 100.17 | 99.57 | 99.96 | 99.06 | 99.17 | 99.20 | 100.24 | 99.82 |
| Mg# | 0.76 | 0.72 | 0.74 | 0.74 | 0.52 | 0.57 | 0.59 | 0.68 | 0.53 |
| Rb | 1.5 | 1.2 | 1.1 | 0.8 | 10.7 | 6.8 | 5.9 | 2.0 | 3.0 |
| Ba | 5.9 | 8.6 | 9.0 | 7.1 | 69.2 | 39.5 | 34.9 | 21.2 | 17.1 |
| Th | 0.04 | 0.07 | 0.07 | 0.06 | 0.53 | 0.25 | 0.33 | 0.11 | 0.26 |
| U | 0.01 | 0.01 | 0.01 | 0.01 | 0.19 | 0.06 | 0.08 | 0.02 | 0.07 |
| Ta | 0.01 | 0.01 | 0.01 | 0.01 | 0.06 | 0.02 | 0.03 | 0.01 | 0.03 |
| Nb | 0.08 | 0.13 | 0.13 | 0.09 | 0.64 | 0.25 | 0.31 | 0.14 | 0.29 |
| Sr | 16.0 | 21.5 | 34.2 | 22.9 | 32.5 | 44.0 | 37.6 | 62.0 | 25.6 |
| Hf | 0.06 | 0.15 | 0.11 | 0.09 | 0.41 | 0.19 | 0.22 | 0.16 | 0.22 |
| Zr | 1.5 | 3.8 | 2.8 | 2.5 | 11.6 | 4.5 | 5.9 | 4.3 | 5.7 |
| Y | 0.65 | 1.8 | 1.4 | 1.0 | 3.3 | 2.4 | 2.6 | 2.0 | 3.6 |
| V | 46.9 | 54.1 | 53.0 | 51.9 | 112 | 87.2 | 88.0 | 63.3 | 124 |
| Cr | 1703 | 1672 | 1725 | 2447 | 315 | 269 | 333 | 1049 | 482 |
| Ni | 277 | 249 | 253 | 287 | 338 | 437 | 552 | 278 | 278 |
| Co | 55.9 | 61.6 | 63.1 | 61.9 | 79.6 | 72.6 | 80.9 | 54.3 | 72.1 |
| Cu | 15.0 | 32.6 | 27.9 | 44.0 | 672 | 863 | 957 | 29.7 | 260 |
| La | 0.28 | 0.52 | 0.48 | 0.47 | 2.18 | 1.14 | 1.52 | 0.80 | 1.13 |
| Ce | 0.61 | 1.30 | 1.09 | 1.05 | 4.71 | 2.55 | 3.30 | 1.80 | 2.58 |
| Pr | 0.08 | 0.18 | 0.14 | 0.13 | 0.57 | 0.31 | 0.41 | 0.23 | 0.33 |
| Nd | 0.36 | 0.87 | 0.63 | 0.59 | 2.33 | 1.34 | 1.71 | 1.03 | 1.47 |
| Sm | 0.09 | 0.24 | 0.17 | 0.16 | 0.53 | 0.33 | 0.39 | 0.26 | 0.39 |
| Eu | 0.04 | 0.08 | 0.07 | 0.06 | 0.14 | 0.12 | 0.13 | 0.12 | 0.11 |
| Gd | 0.12 | 0.32 | 0.22 | 0.19 | 0.61 | 0.41 | 0.46 | 0.35 | 0.54 |
| Tb | 0.02 | 0.05 | 0.04 | 0.03 | 0.10 | 0.07 | 0.07 | 0.06 | 0.09 |
| Dy | 0.13 | 0.37 | 0.27 | 0.22 | 0.68 | 0.49 | 0.51 | 0.40 | 0.72 |
| Ho | 0.03 | 0.08 | 0.06 | 0.05 | 0.16 | 0.11 | 0.12 | 0.09 | 0.16 |
| Er | 0.10 | 0.27 | 0.20 | 0.16 | 0.52 | 0.37 | 0.37 | 0.39 | 0.57 |
| Tm | 0.02 | 0.04 | 0.03 | 0.02 | 0.08 | 0.06 | 0.06 | 0.04 | 0.09 |
| Yb | 0.10 | 0.29 | 0.21 | 0.17 | 0.61 | 0.42 | 0.42 | 0.32 | 0.66 |
| Lu | 0.02 | 0.05 | 0.04 | 0.03 | 0.10 | 0.07 | 0.07 | 0.05 | 0.11 |
| Сумма | 1.99 | 4.66 | 3.65 | 3.31 | 13.32 | 7.78 | 9.55 | 5.58 | 8.96 |
| (La/Yb)N | 1.87 | 1.24 | 1.53 | 1.89 | 2.42 | 1.85 | 2.45 | 1.71 | 1.16 |
| (Eu/Eu*)N | 1.05 | 0.88 | 1.09 | 1.08 | 0.77 | 1.03 | 0.95 | 1.19 | 0.75 |
| (Ce/Sm)N | 1.59 | 1.45 | 1.88 | 1.79 | 2.17 | 1.67 | 2.42 | 2.54 | 1.59 |
| (Gd/Yb)N | 0.94 | 0.92 | 0.83 | 0.91 | 0.81 | 0.80 | 0.87 | 0.90 | 0.66 |
| Компо-ненты | 72122 | 69100 | 72088 | 72089 | 72048 | 72102 | 72110 | Средний состав | |
| плагиоортопи-роксениты | нориты и метанориты I группы | нориты и метанориты II группы | |||||||
| SiO2 | 50.69 | 51.38 | 48.62 | 48.39 | 51.69 | 52.39 | 52.74 | 52.44 | |
| TiO2 | 0.23 | 0.16 | 0.15 | 0.15 | 0.75 | 0.37 | 0.66 | 0.24 | |
| Al2O3 | 4.11 | 7.10 | 12.96 | 13.08 | 6.23 | 9.59 | 11.38 | 5.61 | |
| Cr2O3 | 0.035 | 0.047 | 0.051 | 0.066 | 0.011 | 0.024 | 0.029 | 0.21 | |
| Fe2O3 | 2.06 | 4.24 | 2.59 | 2.05 | 1.86 | 2.18 | 2.83 | 1.26 | |
| FeO | 13.01 | 6.86 | 6.18 | 7.96 | 15.00 | 9.38 | 10.61 | 10.05 | |
| FeOtot | 14.86 | 10.68 | 8.51 | 9.81 | 16.67 | 11.34 | 13.46 | 11.19 | |
| MnO | 0.29 | 0.16 | 0.16 | 0.15 | 0.33 | 0.20 | 0.21 | 0.23 | |
| MgO | 21.19 | 13.66 | 15.42 | 13.39 | 12.54 | 14.10 | 11.22 | 21.60 | |
| CaO | 4.82 | 5.83 | 7.01 | 8.22 | 6.16 | 5.90 | 5.18 | 4.43 | |
| Na2O | 0.41 | 0.73 | 1.03 | 1.24 | 0.86 | 1.26 | 1.45 | 0.57 | |
| K2O | 0.14 | 0.20 | 0.26 | 0.21 | 0.35 | 0.36 | 0.57 | 0.17 | |
| П.п.п. | 2.30 | 5.40 | 3.60 | 2.61 | 3.62 | 2.70 | 2.47 | 2.14 | |
| H2O– | 0.25 | 0.74 | 0.35 | 0.49 | 0.19 | 0.21 | 0.23 | 0.24 | |
| CO2 | 0.62 | 3.59 | 0.91 | 0.49 | 1.07 | 1.14 | 0.14 | 0.58 | |
| Сумма | 100.16 | 100.10 | 99.29 | 98.50 | 100.75 | 99.80 | 99.72 | 99.77 | |
| Mg# | 0.59 | 0.56 | 0.64 | 0.58 | 0.43 | 0.55 | 0.46 | 0.66 | |
| Rb | 3.4 | 4.6 | 6.7 | 5.1 | 8.2 | 10.9 | 25.4 | 4.7 | |
| Ba | 22.6 | 33.0 | 80.6 | 58.7 | 57.4 | 124 | 132 | 34.9 | |
| Th | 0.24 | 0.10 | 0.07 | 0.05 | 0.90 | 0.72 | 1.30 | 0.24 | |
| U | 0.14 | 0.06 | 0.02 | 0.02 | 0.17 | 0.18 | 0.31 | 0.06 | |
| Ta | 0.03 | 0.02 | 0.05 | 0.02 | 0.12 | 0.08 | 0.14 | 0.03 | |
| Nb | 0.19 | 0.32 | 0.89 | 0.20 | 1.2 | 1.3 | 2.1 | 0.41 | |
| Sr | 33.9 | 55.9 | 128 | 141 | 48.3 | 117 | 131 | 50.8 | |
| Hf | 0.16 | 0.13 | 0.13 | 0.13 | 0.68 | 0.51 | 0.82 | 0.22 | |
| Zr | 4.1 | 3.9 | 4.3 | 4.2 | 20.3 | 19.0 | 29.6 | 6.6 | |
| Y | 3.3 | 1.8 | 1.8 | 2.4 | 8.0 | 4.7 | 5.8 | 2.4 | |
| V | 96.2 | 71.5 | 52.0 | 56.3 | 179 | 86.7 | 155 | 74.8 | |
| Cr | 346 | 326 | 281 | 317 | 92.8 | 160 | 190 | 1105 | |
| Ni | 327 | 259 | 226 | 688 | 158 | 288 | 258 | 301 | |
| Co | 68.8 | 46.7 | 41.0 | 58.4 | 73.5 | 49.5 | 51.9 | 59.4 | |
| Cu | 364 | 104 | 205 | 2149 | 271 | 341 | 436 | 295 | |
| La | 1.09 | 0.76 | 1.29 | 1.06 | 4.04 | 4.98 | 6.86 | 1.43 | |
| Ce | 2.44 | 1.53 | 2.77 | 2.23 | 9.32 | 10.50 | 14.46 | 3.13 | |
| Pr | 0.33 | 0.18 | 0.35 | 0.29 | 1.19 | 1.27 | 1.75 | 0.39 | |
| Nd | 1.49 | 0.78 | 1.45 | 1.28 | 5.20 | 5.13 | 6.89 | 1.65 | |
| Sm | 0.41 | 0.20 | 0.31 | 0.32 | 1.25 | 1.05 | 1.38 | 0.39 | |
| Eu | 0.13 | 0.12 | 0.17 | 0.20 | 0.32 | 0.36 | 0.40 | 0.13 | |
| Gd | 0.56 | 0.27 | 0.37 | 0.44 | 1.56 | 1.21 | 1.49 | 0.47 | |
| Tb | 0.09 | 0.05 | 0.05 | 0.07 | 0.24 | 0.15 | 0.19 | 0.07 | |
| Dy | 0.66 | 0.36 | 0.36 | 0.46 | 1.70 | 1.00 | 1.25 | 0.50 | |
| Ho | 0.15 | 0.08 | 0.08 | 0.10 | 0.38 | 0.21 | 0.27 | 0.11 | |
| Er | 0.50 | 0.28 | 0.26 | 0.31 | 1.18 | 0.64 | 0.82 | 0.35 | |
| Tm | 0.08 | 0.05 | 0.04 | 0.05 | 0.18 | 0.10 | 0.12 | 0.05 | |
| Yb | 0.55 | 0.32 | 0.27 | 0.32 | 1.23 | 0.63 | 0.83 | 0.38 | |
| Lu | 0.09 | 0.05 | 0.04 | 0.05 | 0.20 | 0.10 | 0.13 | 0.06 | |
| Сумма | 8.56 | 5.02 | 7.80 | 7.18 | 27.99 | 27.33 | 36.83 | 9.11 | |
| (La/Yb)N | 1.33 | 1.59 | 3.26 | 2.26 | 2.23 | 5.36 | 5.64 | 2.59 | |
| (Eu/Eu*)N | 0.83 | 1.52 | 1.55 | 1.58 | 0.69 | 0.97 | 0.85 | 0.96 | |
| (Ce/Sm)N | 1.45 | 1.88 | 2.17 | 1.67 | 1.79 | 2.42 | 2.54 | 1.96 | |
| (Gd/Yb)N | 0.82 | 0.68 | 1.11 | 1.11 | 1.02 | 1.55 | 1.46 | 1.02 | |
Рис. 7.
Бинарные диаграммы MgO–оксиды для пород НЗММ в сопоставлении с аналогичными по составу породами НЗММ в осевой части Мончетундровского массива и Мончеплутона. 1 – породы НЗММ в районе месторождения Лойпишнюн: (а) ортопироксениты, (б) плагиоортопироксениты, (в) нориты I группы, (г) нориты II группы; 2 – средний состав пород НЗММ; 3, 4 – породы НЗММ, вскрытые глубокими структурными скважинами, по данным производственных организаций: 3 – в осевой части массива (скв. 742 и 765), 4 – в северо-восточной части массива (скв. 753): (а) ортопироксениты, (б) нориты; 5 – поля составов пород Мончеплутона по (Химические …, 1982) и данным производственных организаций: (а) перидотиты, (б) ортопироксениты, (в) нориты; 6 – поля химических составов архейских коматиитов по (Arndt et al., 2008; Sossi et al., 2016); 7 – поля химических составов фанерозойских бонинитов по (Hickey, Frey, 1982; Pearce et al., 1992).

Рис. 8.
Положение пород НЗММ на диаграммах MgO–(Fe2O3 + FeO + TiO2)–Al2O3 (а) и AFM (б). Условные обозначения см. рис. 7.

Рис. 9.
Диаграммы соотношений содержаний MgO с Cr (а), Ni (б), Co (в) и V (г), FeOtot с Co (д) и V (e) и TiO2 с V (ж) для пород НЗММ. Линии – тренды вариаций состава пород со значениями коэффициентов корреляции. Поля химических составов фанерозойских бонинитов по (Hickey, Frey, 1982; Pearce et al., 1992), архейских коматиитов по (Sossi et al., 2016) и из базы данных http://georoc.mpch-mainz.dwdg.de/georoc/. Условные обозначения см. рис. 7.

Рис. 10.
Спектры распределения редкоземельных элементов в породах НЗММ, нормированных на хондрит С1, по (McDonough, Sun, 1995): (а) ортопироксениты и плагиоортопироксениты, (б) нориты и метанориты. Условные обозначения см. рис. 7.

Рис. 11.
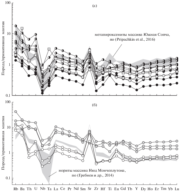
Спектры распределения элементов-примесей в породах НЗММ, нормированных на примитивную мантию, по (McDonough, Sun, 1995): (а) ортопироксениты и плагиоортопироксениты, (б) нориты и метанориты. Условные обозначения см. рис. 7.

Для ортопироксенитов характерен относительно низкий уровень накопления РЗЭ с суммарными содержаниями РЗЭ от 2.0 до 4.7 г/т (табл. 6). Редкоземельные спектры этих пород имеют слабый отрицательный наклон в области ЛРЗЭ при концентрациях, составляющих 0.8–2.2 относительно хондрита, и почти прямые линии в интервале от Gd до Lu с концентрациями, составляющими 0.5–1.9 относительно хондрита (рис. 10а). Это отражается в низких значениях параметра (Ce/Sm)N = 1.59–1.88 и близких к единице величинах (Gd/Yb)N = 0.83–0.94 (табл. 6). В большинстве проб ортопироксенитов присутствуют весьма слабые положительные европиевые аномалии: (Eu/Eu*)N = 1.05–1.09 (табл. 6, рис. 10а).
Для распределения элементов-примесей в ортопироксенитах, нормированных относительно примитивной мантии, характерны повышенные содержания Rb и Ba, хорошо выраженные отрицательные аномалии Ta и Nb, более слабой интенсивности – Zr и Y, резкие положительные – Sr и менее проявленные – Ti (рис. 11а).
Плагиоортопироксениты по химическому составу характеризуются более низкой, чем в ортопироксенитах, концентрацией магния (MgO = 18.04–21.52 мас. %) и более высокими содержаниями глинозема (Al2O3 = 3.78–7.09 мас. %), титана (TiO2 = 0.18–0.38 мас. %), кальция (CaO = 3.19–5.45 мас. %), щелочей (Na2O+K2O = 0.48–0.91 мас. %) и железа (FeOtot = 9.90–17.45 мас. %) при повышенной, по сравнению с ортопироксенитами, доле окисной составляющей в нем (табл. 6, рис. 7). Содержание кремнезема в них в целом заметно ниже, чем в ортопироксенитах (SiO2 = 50.10–53.18 мас. %, табл. 6). На диаграмме Al2O3–(Fe2O3 + + FeO + TiO2)–MgO точки составов плагиоортопироксенитов располагаются в поле базальтовых коматиитов (рис. 8а) и относятся к толеитовой серии (рис. 8б). Плагиоортопироксениты характеризуются гораздо более низким, чем ортопироксениты, содержанием Cr, в основном в пределах 269–482 г/т. Исключение составляет проба 69140, где содержание Cr достигает 1049 г/т (табл. 6). Содержания Ni, Co и V превышают таковые в ортопироксенитах и составляют 63–124, 278–552 и 54–81 г/т соответственно (табл. 6, рис. 9).
Суммарное содержание РЗЭ в плагиоортопироксенитах варьирует в диапазоне 5.6–13.3 г/т (табл. 6), что заметно выше, чем в ортопироксенитах. Соответственно, хондрит-нормализованное распределение РЗЭ в плагиоортопироксенитах характеризуется более высоким уровнем по сравнению с ортопироксенитами, в 1.6–9 раз превышая их концентрации в хондрите. Графики РЗЭ в основном имеют более крутой отрицательный наклон в области ЛРЗЭ, что отражается в повышенных значениях параметра (Ce/Sm)N = 1.45–2.54 и слабо вогнутый характер в области ТРЗЭ, который отражается низкими величинами параметра (Gd/Yb)N = 0.66–0.90 (табл. 6). В плагиопироксенитах присутствуют как слабо положительные, так и отрицательные аномалии Eu: (Eu/Eu*)N = 0.75–1.19 (табл. 6, рис. 10а).
Графики нормированных на примитивную мантию содержаний элементов-примесей в плагиоортопироксенитах характеризуются теми же особенностями, что и в ортопироксенитах, за исключением более резкого накопления Rb и Ba, а также наличия слабо и умеренно положительных аномалий U (рис. 11а).
Нориты и метанориты по химическому составу подразделяются на две группы (табл. 6). В группу I входят в основном среднезернистые нориты и метанориты, которые характеризуются относительно пониженными содержаниями кремнезема (SiO2 = 48.39–51.38 мас. %), титана (TiO2 = 0.15–0.16 мас. %) и железа (FeOtot = 8.51–10.68 мас. %), умеренным суммарным количеством РЗЭ – 5.0–7.8 г/т, в 2–5 раз превышая их концентрации в хондрите (табл. 6). Они характеризуются хорошо выраженным отрицательным наклоном в области ЛРЗЭ, что отражается в величине параметра (Ce/Sm)N = 1.67–2.17, а также как положительным, так и слабо отрицательным наклоном графика в области ТРЗЭ, что подчеркивается изменчивостью величины (Gd/Yb)N = 0.68–1.11 (табл. 6, рис. 10б). Эта группа норитов выделяется отчетливой положительной Eu-аномалией с величиной (Eu/Eu*)N = 1.52–1.58 (табл. 6, рис. 10б). На мультиэлементной диаграмме для них характерны хорошо выраженные отрицательные аномалии Ta, Nb и Th, а также резко положительные аномалии Rb, Ba и Sr (рис. 11б).
Ко II группе норитов и метаноритов относятся преимущественно крупнозернистые разновидности, которые от норитов I группы отличаются более высокими содержаниями кремнезема (SiO2 = = 51.69–52.74 мас. %), титана (TiO2 = 0.37–0.75 мас. %), железа (FeOtot = 11.34–16.67 мас. %), РЗЭ и их суммарного количества (27.3–36.8 г/т), а также элементов-примесей. Концентрации РЗЭ в них превышают таковые в хондрите в 4–30 раз. Нориты II группы характеризуются весьма контрастным фракционированием РЗЭ, что отражается в крутом отрицательном наклоне спектра ЛРЗЭ и подчеркивается повышенной величиной (Ce/Sm)N = 1.79–2.54 (табл. 6). В области ТРЗЭ графики норитов II группы имеют как ровный, “плоский” характер, так и весьма отчетливо выпуклый, что характеризуется параметром (Gd/Yb)N = 1.02–1.55 (табл. 6). Отличительной особенностью пород этой группы является наличие как слабых, так и умеренных отрицательных Eu-аномалий: (Eu/Eu*)N = 0.69–0.97 (табл. 6, рис. 10б). Кроме того, нориты II группы отличаются от таковых I группы пониженным содержанием Cr, но повышенным – V (табл. 6, рис. 9а, 9г), а также слабой положительный аномалией Sr при отсутствии аномалий Rb, Ba и Th (рис. 11б).
На треугольной диаграмме Al2O3–(Fe2O3 + + FeO + TiO2)–MgO обе группы норитов располагаются в основном в полях базальтовых коматиитов (рис. 8а) и относятся к толеитовой серии (рис. 8б).
Одной из особенностей пород НЗММ является высокая положительная корреляция содержания V c Ti, что свидетельствует об изоморфном вхождении ванадия в оксидную титаномагнетитовую минерализацию (рис. 9ж). Кроме того, для них характерны весьма широкие вариации содержания Cu, максимальные из них определены в норитах I группы (2149 г/т, проба 72089, табл. 6), что отражает присутствие в них сульфидной (халькопиритовой) минерализации.
ИЗОТОПНОЕ U-Pb ДАТИРОВАНИЕ
Материалами для изотопного датирования послужили дубликаты дробления керновых проб фракции ≤2 мм поисковых скважин МТ-3 и МТ-25, пробуренных в районе платинометального месторождения Лойпишнюн (рис. 3). Полученные результаты U-Pb датирования представлены в табл. 7 и показаны на рис. 12, 13. Из ортопироксенита НЗММ (проба МТ-3 весом 101 кг, инт. 172.2–229.0 м, рис. 3) выделено 2 мг циркона трех морфотипов (табл. 7, рис. 12). Первая разновидность представлена обломками полупрозрачных, призматических, слабо корродированных кристаллов светло-желтого цвета размером 190 × 100 мкм. При изображении в обратно отраженных электронах в них наблюдаются минеральные включения, внутрифазовая неоднородность и тонкая краевая кайма (рис. 12а). Вторая разновидность циркона характеризуется обломками прозрачных, призматических кристаллов коричневого цвета размером 110 × 80 мкм со сглаженными гранями и слабо проявленной неоднородностью при изображении в обратно отраженных электронах (рис. 12б). Третья разновидность циркона представлена прозрачными кристаллами светло-коричневого цвета призматической формы со сглаженными гранями размером 160 × 120 мкм. При изображении в обратно отраженных электронах в них наблюдаются минеральные включения и слабо выраженная зональность (рис. 12в).
Таблица 7.
Изотопные U-Pb данные для единичных зерен циркона из пород НЗММ
| № п/п |
Навеска, мг | Концентрация, г/т | Изотопные отношения* | Изотопные отношения и возраст, млн лет** | Дисс., % |
||||||
|---|---|---|---|---|---|---|---|---|---|---|---|
| Pb | U | 206Pb/204Pb | 206Pb/238U ± ±2σ | 207Pb/235U ± ± 2σ | 207Pb/206Pb ± ± 2σ | 206Pb/238U ± ± 2σ | 207Pb/235U ± ± 2σ | 207Pb/206Pb ± ± 2σ | |||
| Ортопироксенит, проба МТ-3 | |||||||||||
| 1 | 0.0257 | 160.60 | 258.18 | 2852.16 | 0.470 ± 0.006 | 10.611 ± 0.129 | 0.1651 ± 0.0002 | 2486 ± 30 | 2490 ± 30 | 2509 ± 3 | 0.9 |
| 2 | 0.0589 | 180.96 | 361.49 | 2049.30 | 0.466 ± 0.006 | 10.521 ± 0.128 | 0.1637 ± 0.0002 | 2467 ± 30 | 2482 ± 30 | 2494 ± 3 | 1.1 |
| 3 | 0.0313 | 181.62 | 464.72 | 1126.10 | 0.170 ± 0.002 | 3.163 ± 0.047 | 0.0681 ± 0.0006 | 1072 ± 13 | 1048 ± 16 | 1370 ± 12 | 21.8 |
| Норит, проба МТ-25 | |||||||||||
| 1 | 0.0520 | 62.07 | 95.22 | 3003.0 | 0.470 ± 0.004 | 10.622 ± 0.113 | 0.1503 ± 0.0009 | 2494 ± 22 | 2497 ± 26 | 2500 ± 2 | 0.2 |
| 2 | 0.0840 | 23.74 | 29.62 | 974.9 | 0.373 ± 0.002 | 6.540 ± 0.071 | 0.1271 ± 0.0010 | 2044 ± 13 | 2051 ± 22 | 2060 ± 10 | 0.7 |
| 3 | 0.0798 | 70.67 | 113.56 | 1662.5 | 0.336 ± 0.006 | 5.385 ± 0.098 | 0.1161 ± 0.0009 | 1869 ± 31 | 1882 ± 34 | 1900 ± 15 | 1.5 |
Рис. 12.
Морфология цирконов при изображении в обратно отраженных электронах из ортопироксенитов (а–в) и норитов (г–е) НЗММ.

Рис. 13.
Изотопные U-Pb диаграммы с конкордией для единичных цирконов из пород НЗММ: (а) ортопироксенита, проба МТ-3; (б) норита, проба МТ-25.

Дискордия, построенная по этим трем морфологическим разновидностям, образует верхнее пересечение с конкордией в точке с возрастом 2496.3 ± 2.7 млн лет (рис. 13а), который интерпретируется как время кристаллизации ортопироксенитов НЗММ. Нижнее пересечение дискордии с конкордией – 382 ± 15 млн лет отражает нарушение U-Pb системы за счет флюидно-термального воздействия на породу в процессе палеозойской тектоно-магматической активизации, широко проявленной в регионе (Kramm et al., 1993; Баянова, 2004).
Из норита НЗММ (проба МТ-25 весом 35 кг, инт. 104.1–117.85 и 129.85–138.6 м, рис. 3) выделено 4 мг циркона трех морфотипов (табл. 7, рис. 12). Первая разновидность циркона представлена обломками прозрачных, длиннопризматических кристаллов темно-коричневого цвета размером 160 × 80 мкм. При изображении в обратно отраженных электронах в них наблюдается хорошо выраженная зональность (3, 4 зоны) и минеральные включения (рис. 12г). Конкордантный U-Pb возраст этих цирконов равен 2500 ± 2 млн лет (рис. 13б), который интерпретируется как время кристаллизации норитов НЗММ. Вторая разновидность циркона представлена обломками прозрачных, длиннопризматических кристаллов светло-коричневого цвета размером 190 × 65 мкм с хорошо проявленной зональностью (2, 3 зоны) при изображении в обратно отраженных электронах (рис. 12д). Конкордантный U-Pb возраст этой разновидности цирконов составляет 2060 ± 10 млн лет (рис. 12б) и отражает время проявления тектонических событий, предшествующих свекофеннской орогении, и близок времени формирования Мончетундровского разлома (Шарков, 2006). Третья разновидность циркона характеризуется уплощенными, корродированными, прозрачными кристаллами бледно-желтого цвета призматической формы размером 140 × 60 мкм. При изображении в обратно отраженных электронах в них наблюдается зональность и внутрифазовая неоднородность (рис. 12е). По ним получен конкордантный возраст, соответствующий 1900 ± 15 млн лет (рис. 13б), который характеризует заключительный этап свекофеннской орогении (Балтыбаев, 2013), проявленный в Кольском регионе в виде гранулитового метаморфизма в Лапландском и Кандалакшско-Колвицком поясах.
ИЗОТОПНО-ГЕОХИМИЧЕСКИЕ Sm-Nd ДАННЫЕ
Результаты исследований представлены в табл. 8 и на рис. 14. По ортопироксенитам НЗММ (проба МТ-3, инт. 172.2-229.0 м) получен минеральный изохронный Sm-Nd возраст, равный 2452 ± 85 млн лет (рис. 14). Ортопироксениты имеют положительное значение εNd(T) = +1.7 и модельный возраст протолита исходной магмы – 2.76 млрд лет (табл. 8). Полученный Sm-Nd возраст в пределах ошибок измерений близок к U-Pb изотопной датировке.
Таблица 8.
Изотопно-геохимические Sm-Nd данные для минералов и породы в целом из ортопироксенита НЗММ
| Породы и минералы | Концентрация, г/т | Изотопные отношения | T(DM), млн лет | εNd(T) | ||
|---|---|---|---|---|---|---|
| Sm | Nd | 147Sm/144Nd | 143Nd/144Nd ± 2σ | |||
| Ортопироксенит, проба МТ-3 | ||||||
| WR | 0.245 | 1.055 | 0.1403 | 0.511815 ± 9 | 2762 | + 1.7 |
| Sulf | 0.020 | 0.090 | 0.1337 | 0.511703 ± 15 | ||
| Pl | 0.596 | 4.940 | 0.0730 | 0.510736 ± 12 | ||
| Opx | 0.156 | 0.499 | 0.1892 | 0.512594 ± 15 | ||
| Opx+Ol | 0.119 | 0.371 | 0.1934 | 0.512704 ± 25 | ||
Примечание. WR – порода в целом. При расчете величин εNd(T) и модельных возрастов T(DM) использованы современные значения CHUR по (Bouvier et al., 2008) (143Nd/144Nd = 0.512630, 147Sm/144Nd = 0.1960) и DM по (Goldstein, Jacobsen, 1988) (143Nd/144Nd = 0.513151, 147Sm/144Nd = 0.2136). Среднее значение отношения 143Nd/144Nd в стандарте La Jolla за период измерений составило 0.511828 ± 22 (N = 9).
ОБСУЖДЕНИЕ РЕЗУЛЬТАТОВ
Корреляция НЗММ с Мончеплутоном и массивом Южная Сопча
По химическому составу ортопироксениты, плагиоортопироксениты и нориты, развитые в северо-восточной части Мончетундровского массива (месторождение Лойпишнюн и скв. 753) полностью сходны как между собой, так и с аналогичными породами в осевой части массива (скв. 742 и 765), структурное положение которых однозначно свидетельствует о принадлежности их к НЗММ (рис. 1). Для эволюции химического состава этих пород характерны общие закономерности, которые выражаются в снижении содержаний магния и возрастании содержаний глинозема, железа, кальция и щелочей по мере снижения основности пород. В этом же ряду содержание титана в породах меняется слабо с незначительной тенденцией к возрастанию (рис. 7).
Таким образом, несмотря на значительное инъецирование ассоциации пород НЗММ в северо-восточной части Мончетундровского массива габброидами верхней зоны, зачастую нарушающими их нормальную литологическую последовательность, они сохраняют все типовые петрохимические признаки пород нижней зоны, что свидетельствует о правомерности отнесения изученной ассоциации пород к НЗММ.
По химическому составу изученные породы НЗММ демонстрируют хорошее сходство и с аналогичными породами Мончеплутона (рис. 7, 8). В частности, фигуративные точки составов пород НЗММ полностью находятся в полях, соответствующих породам Мончеплутона, за исключением отдельных проб НЗММ с более высоким содержанием железа (рис. 7). По спектру хондрит-нормализованного распределения РЗЭ ортопироксениты НЗММ в целом близки ортопироксенитам массива Ниттис Мончеплутона, отличаясь от такового массива Сопча более низким уровнем содержаний ЛРЗЭ (рис. 10а). По распределению элементов-примесей на мантийно-нормализованных диаграммах ортопироксениты НЗММ и Мончеплутона вполне сопоставимы друг с другом, за исключением положительных аномалий Ba и Ta в ортопироксенитах массива Сопча, а также менее интенсивных отрицательных аномалий Nb и Ta в ортопироксенитах массива Ниттис (рис. 11а). По распределению как РЗЭ, так и большинства элементов-примесей весьма близки между собой плагиоортопироксениты НЗММ и метапироксениты массива Южная Сопча (рис. 10а, 11а).
По спектру РЗЭ нориты I группы НЗММ хорошо сопоставимы с норитами массива Нюд, отличаясь от них более низким уровнем накопления ЛРЗЭ (рис. 10б). Также близки между собой эти породы и по распределению большинства элементов-примесей, в том числе по положительной аномалии Sr и отрицательным аномалиям Ta и Nb. Исключение составляют повышенные содержания Zr и Hf в норитах массива Нюд (рис. 11б). Таким образом, по химическому составу родственные породы НЗММ, Мончеплутона и массива Южная Сопча демонстрируют хорошее сходство между собой.
Этому не противоречит и близость U-Pb возрастов цирконов из пород всех этих массивов, которые в пределах погрешности составляют около 2.50 млрд лет (Расслоенные …, 2004б; Баянова, 2004; Bayanova et al., 2014; Чащин и др., 2016). Значения величин εNd(T) в НЗММ варьируют от положительных (Пентландитовое ущелье, Bayanova et al., 2014 и месторождение Лойпишнюн) до отрицательных в меланоноритах скв. M-1 (Расслоенные …, 2004б) и метаноритах массива Южная Сопча (Чащин и др., 2016) так же, как и в породах Мончеплутона, верхней зоны Мончетундровского массива (рис. 15) и других расслоенных интрузий Фенноскандинавского щита. Таким образом, петро-геохимические и изотопно-геохронологические данные свидетельствуют о сходстве НЗММ и Мончеплутона, но не дают надежных оснований для отнесения массива Южная Сопча к Мончетундровскому массиву или Мончеплутону.
Рис. 15.
Положение ортопироксенитов НЗММ на диаграммах εNd–время (а) и εNd–T(DM) (б). Данные по Мончеплутону приведены из (Расслоенные …, 2004б; Чащин и др., 2016), для пород верхней зоны Мончетундровского массива из (Кунаккузин и др., 2015а). CHUR – однородный хондритовый резервуар, MORB – базальты срединно-океанических хребтов по модели (Smith, Ludden, 1989), AR – область эволюции архейской коры, по (Patchett, Bridgwater, 1984).

Весьма информативным оказался химический состав ортопироксена, сравнение которого из пород НЗММ и Мончеплутона показало их значимое различие. В частности, в ортопироксенах из пород НЗММ содержание глинозема существенно ниже, чем в ортопироксенах из пород Мончеплутона. Менее отчетливо это различие касается содержания кальция, тем не менее в ортопироксенах Мончеплутона его содержание несколько выше (рис. 5). Такое различие в составах ортопироксена, как показали расчеты P-T условий их кристаллизации, обусловлено тем, что формирование пород НЗММ протекало при более высоком давлении и несколько более низкой температуре, чем пород Мончеплутона (рис. 5а, 5б).
В целом совокупность полученных расчетов P-T условий и имеющихся изотопно-геохронологических параметров свидетельствует о том, что кристаллизация пород НЗММ и Мончеплутона происходила одновременно, но в отдельных разноглубинных магматических камерах. Имеющихся изотопно-геохимических данных по массиву Южная Сопча явно недостаточно для однозначного суждения о его типизации. Однако его структурное положение, а также наличие малосульфидного платинометального оруденения, сходного с таковым месторождения Лойпишнюн, более определенно указывают на то, что он, являясь частью Мончетундровского массива, сформировался в условиях самостоятельной небольшой субкамеры.
Состав исходного расплава
Достоверно оценить состав родоначальной магмы для пород НЗММ весьма затруднительно, поскольку он не является результатом прямых мантийных выплавок, претерпел фракционирование в процессе подъема в магматическом канале и поступлении в промежуточные магматические очаги. Таким образом, в магматическую камеру поступил в какой-то степени уже трансформированный “остаточный” расплав, состав которого можно оценить с достаточно высокой вероятностью. В связи с тем, что породы зоны закалки НЗММ не обнаружены, состав исходного расплава был рассчитан по среднему составу пород НЗММ, исходя из примерного соотношения ортопироксенитов (50%), плагиоортопироксенитов (20%) и норитов (30%) по многочисленным разрезам поисковых скважин. Полученный в результате расчетов средневзвешенный состав НЗММ приведен в табл. 6 и соотносится с составом исходного расплава.
Согласно этим данным, полученный средний состав НЗММ имеет черты сходства как с бонинитами, так и с коматиитами. К примеру, по содержаниям кремнезема и титана он близок составу бонинитов, тогда как по содержаниям магния, железа, кальция и по сумме щелочей весьма сходен с составом коматиитов (табл. 6, рис. 7). Кроме того, по соотношению магния, глинозема и железа он находится в области базальтовых коматиитов (рис. 8а). По сравнению с коматиитами и бонинитами средний состав НЗММ истощен такими совместимыми элементами, как хром, никель и ванадий, а по содержанию кобальта находится в поле коматиитов (рис. 9а–9г).
По содержанию и распределению РЗЭ и элементов-примесей средний состав НЗММ демонстрирует гораздо большее сходство с бонинитами, чем с коматиитами (рис. 16а). В частности, как среднему составу НЗММ, так и бонинитам свойственно накопление ЛРЗЭ, тогда как для коматиитов характерен слабо фракционированный характер спектра РЗЭ (рис. 16а). Отличительной чертой спектра элементов-примесей в среднем составе НЗММ является повышенные содержания Rb и Ba, положительная аномалия Sr, отрицательные аномалии Nb и Zr (рис. 16б). Накопление крупноионных литофилов (Rb, Ba, Sr) является характерной чертой бонинитов, тогда как деплетированность Nb в них отсутствует, но присутствует, в отличие от среднего состава НЗММ, положительная аномалия Zr. Иной, более ровный характер спектра распределения элементов-примесей характерен для коматиитов, осложненный только повышенным содержанием Rb и слабыми отрицательными аномалиями Nb и Sr (рис. 16б).
Рис. 16.
Хондрит-нормализованное распределение РЗЭ (а) и редких элементов, нормированных на примитивную мантию (б) в средних составах НЗММ, фанерозойских бонинитов по (Cameron et al., 1983) и архейских коматиитов по (Jochum et al., 1991; Sossi et al., 2016).

Следует отметить, что обогащение крупноионными литофилами (Rb, Ba и Sr) при деплетировании Nb является характерным признаком коровой контаминации расслоенных интрузий Карело-Кольского региона (Криволуцкая и др., 2010а). Такие петро-геохимические особенности также характерны как для большинства расслоенных интрузий Карело-Кольского региона, так и комплементарных с ними сумийско-сариолийских вулканитов рифтогенных структур (Шарков и др., 1997; Криволуцкая и др., 2010а). Это послужило основанием для выделения в восточной части Фенноскандинавского щита крупной провинции высокомагнезиальных бонинитоподобных пород (Шарков и др., 1997).
Таким образом, средний состав НЗММ по совокупности петро-геохимических данных имеет двойственную природу, о чем свидетельствует сходство как с коматиитами, так и с бонинитами, при наличии ярко выраженных черт коровой контаминации. Для большей определенности был выполнен пересчет среднего состава НЗММ на нормативный, который показал, что он является оливин-нормативной породой (26% нормативного оливина). Это свидетельствует, скорее, в пользу коматиитового исходного расплава для пород НЗММ, чем бонинитового, поскольку последние являются кварц-нормативными породами (Ohnenstetter, Brown, 1996).
Несмотря на некоторые черты сходства составов бонинитоподобной вулканоплутонической ассоциации палеопротерозоя Фенноскандинавского щита с фанерозойскими вулканитами, сформированными в обстановках активных континентальных окраин, их образование имеет разный механизм. Важное значение для его расшифровки имеют результаты изотопно-геохимических исследований пород Мончеплутона (Расслоенные …, 2004б; Чащин и др., 2016) и верхней зоны Мончетундровского массив (Кунаккузин и др., 2015а). Согласно этим данным, все значения первичной изотопной величины εNd(T) из этих пород расположены ниже деплетированной мантии для соответствующего возраста (рис. 15a). Для пород Мончеплутона эти величины варьируют от –2.9 до +1.2, а для верхней зоны Мончетундровского массива – от ‒3.5 до +1.9. Примечательно, что по разрезу Мончеплутона происходит закономерное изменение первичной величины εNd. К примеру, кварцевые нориты эндоконтакта Мончеплутона имеют значение величины εNd, равное –1.5, ортопироксениты средней части разреза плутона (массив Сопча) – –2.0, а нориты и габбронориты верхней части разреза – –2.43 (массив Поаз) и –2.84…–2.93 (массив Вуручуайвенч) (Расслоенные …, 2004б; Чащин и др., 2016). Это свидетельствует о том, что породы Мончеплутона были контаминированы коровым материалом в магматической камере, причем в кровле массива они испытали контаминацию в значительно большей степени, чем в подошве. Сходные величины εNd(T) получены и для других расслоенных интрузий восточной части Фенноскандинавского щита, а также сумийско-сариолийских вулканитов региона (Расслоенные…, 2004б; Чащин и др., 2008; Криволуцкая и др., 2010б; Вревский, 2011; Lauri et al., 2006) и носят универсальный характер. Таким образом, особенности изотопного состава палеопротерозойских расслоенных интрузий свидетельствуют об образовании их из деплетированной мантии, испытавшей в различной степени коровую контаминацию.
Для пород НЗММ величины εNd имеют как положительные (Пентландитовое ущелье и месторождение Лойпишнюн), так и отрицательные значения (скв. М-1/933.1 м, Расслоенные …, 2004б; массив Южная Сопча, Чащин и др., 2016; рис. 15), свидетельствуя о вкладе различной степени коровой контаминации в их петрогенезис. Для пород НЗММ района Лойпишнюн положительные значения εNd, наряду с геохимическими признаками (обогащенностью ЛРЗЭ и отрицательными аномалиями Nb и Ta), свидетельствуют о том, что они были весьма слабо затронуты процессами коровой контаминации. Таким образом, имеющиеся изотопно-геохимические особенности изученных пород НЗММ, как и в целом сумийско-сариолийской вулканоплутонической ассоциации, обусловлены их образованием из мантийного резервуара, по составу близкого коматиитам, сформировавшегося на границе кора–мантия в результате поступления материала мантийного плюма (рис. 17а) и испытавшего контаминацию архейским коровым веществом (Amelin et al., 1995; Шарков, 2006; Вревский, 2011).
Петрогенезис пород НЗММ и механизм становления Мончетундровского массива
Наличие единого мантийного источника для вулканоплутонических образований Кольского региона ранней (сумийской) стадии развития континентального палеопротерозойского рифтогенеза может быть связано с условиями растяжения над растекающейся головной частью мантийного плюма (Amelin, Semenov, 1996; Шарков, 1997; рис. 17б). Судя по всему, он существовал длительное время, начиная с архея, являясь источником коматиитового магматизма в позднеархейских зеленокаменных поясах региона.
Возможен следующий сценарий механизма становления Мончетундровского массива, который проиллюстрирован на рис. 17а. На границе кора–мантия за счет поступления многочисленных импульсов магмы из мантийного плюма сформировался мантийный резервуар коматиитового состава, в какой-то степени контаминированный материалом нижней коры. В следствии амагматических пауз в нем произошло расслоение на три горизонта, обогащенных снизу-вверх оливином, ортопироксеном и плагиоклазом, соответственно. Из верхней части мантийного источника в течение продолжительного времени всплывали порции кашеобразной массы, обогащенные плагиоклазом, которые продвигаясь в верхнюю часть коры, объединялись между собой, согласно модели (Ashwal, 1993), и послужили источником пород верхней зоны Мончетундровского массива.
Отделение исходной для пород НЗММ магмы из мантийного резервуара, обогащенного ортопироксеном, произошло около 3.2–2.8 млрд лет назад. По вертикальному подводящему каналу магма поднялась до глубины около 20 км на уровень средней коры, где заполнила магматическую камеру силлоподобного типа (рис. 17а), в которой около 2.50 млрд лет назад имела место кристаллизация пород НЗММ при температуре 1200–1000°С. После затвердевания основного объема пород НЗММ магматическая камера переместилась на более высокий (около 10 км) коровый уровень, где произошли частичные вторичные преобразования пород при температуре около 800°С и поступление в нее нескольких порций (во время 2.47 и 2.45 млрд лет) более глиноземистой и менее основной магмы, родоначальной для пород верхней зоны Мончетундровского массива. Таким образом, в результате этих геологических событий Мончетундровский массив в целом представляет собой составную интрузию, состоящую из расслоенной нижней части и габбро-анортозитовой верхней.
В то же самое время из мантийного источника, обогащенного оливином, произошло отделение магмы, которая по вертикальному подводящему каналу поднялась на малоглубинный коровый уровень (около 10 км), заполнив камеру лакколитообразной формы (рис. 17а), в результате кристаллизации которой был сформирован основной объем пород Мончеплутона.
Кристаллизация пород НЗММ в магматической камере происходила снизу-вверх и порядок выделения фаз имел следующих вид: Opx (±Pl) (ортопироксенит) → Pl + Opx (плагиоортопироксенит) → Opx + Pl (норит). Остывание магмы привело к кристаллизации преобладающего кумулусного ортопироксена. Дальнейшая эволюция пород, по мере снижения их основности, происходила по феннеровскому тренду, для которого характерно обогащение железом при практически постоянном содержании кремнезема (рис. 7, 8б). Кроме того, такая эволюция состава пород НЗММ сопровождалась снижением содержания хрома и повышением – кобальта и ванадия (рис. 9а, 9д, 9е). Известно, что феннеровский тренд характеризует фракционную кристаллизацию при постоянном общем составе и снижающемся парциальном давлении кислорода, что свидетельствует о формировании НЗММ в условиях закрытой системы. При дальнейшем понижении температуры в магматической камере был сформирован остаточный флюидизированный расплав, обогащенный рудными компонентами, который заполнял пространство между скоплениями ранее закристаллизовавшегося кумулуса, частично мигрируя по направлению к кровле камеры вдоль границ кристаллов ортопироксена с образованием рудных платиноносных горизонтов. Дальнейшее формирование Мончетундровского массива происходило в условиях открытой системы за счет поступления в магматическую камеру нескольких порций высокоглиноземистого расплава, что привело к образованию пород верхней зоны. Впоследствии в результате тектонических дислокаций свекофеннского этапа Мончеплутон и Мончетундровский массив были совмещены вдоль тектонической зоны Мончетундровского массива.
ВЫВОДЫ
1. Изучена ассоциация ортопироксенитов, плагиоортопироксенитов и норитов в северо-восточной части Мончетундровского массива, которая по вещественному и химическому составу демонстрирует полное сходство с аналогичными породами в осевой части массива, относящимися к НЗММ. Поэтому, несмотря на значительное инъецирование этой части Мончетундровского массива габброидами верхней зоны, существенно нарушающее их нормальное залегание, изученные породы принадлежат к этой же НЗММ.
2. По химическому составу ортопироксены пород НЗММ и Мончеплутона обнаруживают существенное отличие, заключающееся в менее глиноземистом составе ортопироксенов НЗММ по сравнению с таковым Мончеплутона, что обусловлено различными условиями их кристаллизации. Согласно данным минеральных геотермо-барометров, кристаллизация пород НЗММ происходила в интервале 1200–1000°С при давлении около 6 кбар на глубине порядка 20 км. Тогда как породы Мончеплутона кристаллизовались при средней температуре 1230°С и давлении 3 кбар в малоглубинных условиях.
3. По химическому составу породы НЗММ характеризуются умеренными содержаниями кремнезема и магния, а также низким содержанием титана. Хондрит-нормализованный спектр РЗЭ этих пород обогащен ЛРЗЭ, а нормализованное на примитивную мантию распределение элементов-примесей в них демонстрирует обогащение Rb и Ba, характеризуется положительной аномалией Sr и отрицательными аномалиями Nb и Ta, иногда Th. Это свидетельствует о контаминации исходного расплава коровым материалом. По всем петро-геохимическим параметрам породы НЗММ близки соответствующим породам Мончеплутона.
4. Получены новые изотопные U-Pb возрасты циркона из ортопироксенитов (2496.3 ± 2.7 млн лет) и норитов (2500 ± 2 млн лет) НЗММ, которые сходны с таковыми, установленными для Мончеплутона, свидетельствуя о синхронности их формирования. Согласно полученным Sm-Nd изотопно-геохимическим данным, ортопироксениты НЗММ имеют возраст 2452 ± 85 млн лет, положительное значение величины εNd(T) = +1.7 и модельный возраст протолита исходных пород T(DM), равный 2.76 млрд лет.
5. В качестве родоначальной магмы для пород НЗММ рассматриваются коматииты, контаминированные коровым материалом и образованные в результате деятельности мантийного плюма. Согласно полученным результатам, Мончетундровский массив рассматривается в качестве составной интрузии, нижняя зона которой сложена породами, сопоставимыми с расслоенными породами Мончегорского плутона, а верхняя представлена породами, принадлежащими комплексу габбро-анортозитов. Образование массива происходило в течение трех основных этапов магматической деятельности: (1) 2500 млн лет – породы НЗММ, (2) 2470 млн лет – лейкогаббронориты и (3) 2450 млн лет – лейкогаббро верхней зоны.
Благодарности. Авторы выражают признательность рецензентам журнала Петрология за конструктивные критические замечания, устранение которых способствовало существенному улучшению первоначального варианта статьи, а также Л.И. Коваль (ГИ КНЦ РАН, г. Апатиты) за дробление пород, выделение породообразующих и акцессорных минералов для Sm-Nd исследований и Л.М. Лялиной и О.В. Придановой (ГИ КНЦ РАН, г. Апатиты) за выделение монофракций цирконов и получение их изображений в обратно отраженных электронах.
Источники финансирования. Исследования выполнены на материалах и с согласия ЗАО “Терская горная компания” при частичной финансовой поддержке РФФИ в рамках грантов № 15-35-20501 и № 18-05-70082.
Список литературы
Анализы минералов медно-никелевых месторождений Кольского полуострова // Oтв. ред. Ю.Н. Яковлев и А.К. Яковлева. Апатиты: Изд-во КолФАН СССР, 1983. 320 с.
Балтыбаев Ш.К. Свекофеннский ороген Фенноскандинавского щита: вещественно-изотопная зональность и ее тектоническая интерпретация // Геотектоника. 2013. № 6. С. 44–59.
Баянова Т.Б. Возраст реперных геологических комплексов Кольского региона и длительность процессов магматизма. СПб.: Наука, 2004. 174 с.
Баянова Т.Б., Корфу Ф., Тодт В. и др. Гетерогенность стандартов 91500 и TEMORA-1 для U-Pb датирования единичных цирконов // XVIII симпозиум по геохимии изотопов им. акад. А.П. Виноградова. М.: ГЕОХИ, 2007. С. 42–43.
Баянова Т.Б., Нерович Л.И., Митрофанов Ф.П. и др. Мончетундровский базитовый массив Кольского региона: новые геологические и изотопно-возрастные данные // Докл. АН. 2010. Т. 431. № 2. С. 216–222.
Борисенко Е.С., Баянова Т.Б., Нерович Л.И., Кунаккузин Е.Л. Палеопротерозойский базитовый массив Мончетундра (Кольский п-ов): новые геологические и геохронологические данные // Докл. АН. 2015. Т. 465. № 1. С. 68–72.
Вревский А.Б. Петрология, возраст и полихронность источников инициального магматизма Имандра-Варзугского палеорифта Фенноскандинавского щита // Петрология. 2011. Т. 19. № 5. С. 546–574.
Гребнев Р.А., Рундквист Т.В., Припачкин П.В. Геохимия основных пород платиноносного массива Вурэчуайвенч (Мончегорский комплекс, Кольский регион) // Геохимия. 2014. № 9. С. 791–806.
Гроховская Т.Л., Иванченко В.Н., Каримова О.В. и др. Геологическое строение, минералогия и генезис ЭПГ-минерализации массива Южная Сопча, Мончегорский комплекс, Россия // Геология рудн. месторождений. 2012. Т. 54. № 5. С. 416–440.
Дистлер В.В., Гроховская Т.Л., Евстигнеева Т.Л. и др. Петрология сульфидного магматического рудообразования. М.: Наука, 1988. 232 с.
Докучаева В.С. Сосуществующие оливин, ромбический и моноклинный пироксены в породах Мончегорского плутона // Материалы по минералогии Кольского полуострова. Отв. ред. И.В. Бельков Л.: Наука, 1974. Вып. 10. С. 43–51.
Докучаева В.С. Ромбический пироксен из вкрапленных медно-никелевых руд Мончегорского плутона // Новые данные по минералогии медно-никелевых и колчеданных руд Кольского полуострова. Отв. ред. Г.И. Горбунов Апатиты: Изд-во КолФАН СССР, 1979. С. 25–31.
Кнауф В.В., Гусева Н.С. О новом рудно-формационном типе платинометальных руд в двучленных разрезах массивов южного обрамления Мончегорского расслоенного плутона // Гл. ред. Д.А. Додин. Платина России. Красноярск. 2011. Т. VII. С. 313–329.
Козлов Е.К. Естественные ряды пород дифференцированных никеленосных интрузий Кольского полуострова и их металлогения. Л.: Наука, 1973. 288 с.
Козлов Е.К., Юдин Б.Н., Докучаева В.С. Основной и ультраосновной комплекс Монче-Волчьих-Лосевых тундр. Л.: Наука, 1967. 166 с.
Криволуцкая Н.А., Смолькин В.Ф., Свирская Н.М. и др. Геохимические особенности массивов друзитового комплекса центральной части Беломорского подвижного пояса: I. Распределение главных и редких элементов в породах // Геохимия. 2010а. № 3. С. 16–44.
Криволуцкая Н.А., Беляцкий Б.В., Смолькин В.Ф. и др. Геохимические особенности массивов друзитового комплекса центральной части Беломорского подвижного пояса: II. Исследование самарий-неодимовой изотопной системы в породах и уран-свинцовой системы в цирконах // Геохимия. 2010б. № 11. С. 1132–1153.
Кунаккузин Е.Л., Баянова Т.Б., Нерович Л.И. и др. Новые Nd-Sr изотопно-геохимические исследования пород палеопротерозойского ЭПГ-содержащего массива Мончетундра (Фенноскандинавский щит) // Вестник МГТУ. 2015а. Т. 18. № 2. С. 269–279.
Кунаккузин Е.Л., Серов П.А., Баянова Т.Б. и др. Палеопротерозойский расслоенный ЭПГ-содержащий массив Мончетундра (Кольский полуостров): датирование Sm-Nd методом времени метаморфических преобразований основных пород // Докл. АН. 2015б. Т. 464. № 1. С. 71–74.
Магматические формации докембрия северо-восточной части Балтийского щита // Ред. И.В. Бельков. Л.: Наука, 1985. 176 с.
Митрофанов Ф.П., Балаганский В.В., Балашов Ю.А. и др. U-Pb возраст габбро-анортозитов Кольского полуострова // Докл. АН. 1993. Т. 331. № 1. С. 95–98.
Нерович Л.И., Баянова Т.Б., Савченко Е.Э. и др. Новые данные по геологии, петрографии, изотопной геохимии и ЭПГ минерализации Мончетундровского массива // Вестник МГТУ. 2009. Т. 12. № 3. С. 461–477.
Перчук Л.Л. Усовершенствование двупироксенового геотермометра для глубинных перидотитов // Докл. АН СССР. 1977а. Т. 233. № 3. С. 456–459.
Перчук Л.Л. Пироксеновый барометр и “пироксеновые геотермы” // Докл. АН СССР. 1977б. Т. 233. № 6. С. 1196–1200.
Расслоенные интрузии Мончегорского рудного района: петрология, оруденение, изотопия, глубинное строение // Ред. Ф.П. Митрофанов и В.Ф. Смолькин Апатиты: Изд-во КНЦ РАН, 2004а. Ч. 1. 177 с.
Расслоенные интрузии Мончегорского рудного района: петрология, оруденение, изотопия, глубинное строение // Ред. Ф.П. Митрофанов и В.Ф. Смолькин Апатиты: Изд-во КНЦ РАН, 2004б. Ч. 2. 177 с.
Рундквист Т.В., Припачкин П.В., Гребнев Р.А. Особенности взаимоотношений интрузивных тел в зоне контакта ультрамафит-мафитовых комплексов Мончегорский и Главного хребта (участок “Южносопчинский”, Кольский полуостров) // Литосфера. 2012. № 3. С. 65–79.
Соколова В.Н. Новые данные о геологическом строении интрузивного комплекса Монче-Чуна-Волчьих тундр (Кольский п-ов) // Советская геология. 1976. № 6. С. 100–111.
Химические анализы пород базит-гипербазитовых комплексов докембрия Кольского полуострова // Отв. ред. Г.И. Горбунов. Апатиты: Изд-во КолФАН СССР, 1982. 216 с.
Чащин В.В. Пироксены Мончетундровского перидотит-пироксенит-лейкогаббрового и Волчьетундровского габбро-анортозитового массивов // Записки ВМО. 1999. № 3. С. 101–111.
Чащин В.В., Баянова Т.Б., Левкович Н.В. Вулканоплутоническая ассоциация раннего этапа развития Имандра-Варзугской рифтогенной зоны, Кольский полуостров: геологические, петрогеохимические и изотопно-геохронологические данные // Петрология. 2008. Т. 16. № 3. С. 1–21.
Чащин В.В., Баянова Т.Б., Елизарова И.Р., Серов П.А. Волчьетундровский массив комплекса автономных анортозитов главного хребта: геологическое строение, петрогеохимические особенности и изотопно-геохронологические исследования (Кольский полуостров, Россия) // Петрология. 2012. Т. 20. № 5. С. 514–540.
Чащин В.В., Баянова Т.Б., Митрофанов Ф.П., Серов П.А. Малосульфидные платинометальные руды палеопротерозойского Мончегорского плутона и массивов его южного обрамления (Кольский полуостров, Россия): геологическая характеристика и изотопно-геохронологические свидетельства полихронности рудно-магматических систем // Геология рудн. месторождений. 2016. Т. 58. № 1. С. 41–63.
Чащин В.В., Петров С.В., Дрогобужская С.В. Малосульфидное платино-палладиевое месторождение Лойпишнюн Мончетундровского базитового массива (Кольский полуостров, Россия) // Геология рудн. месторождений. 2018. Т. 60. № 5. С. 418–448.
Шарков Е.В. О формационной характеристике интрузий габбронорит-лабрадоритов Главного Хребта Мончи и Мончегорского плутона (Кольский полуостров) // Проблемы магматизма Балтийского щита. Материалы регионального петрографического совещания. Отв. ред. И.В. Бельков и К.А. Шуркин. Л.: Наука, 1971. С. 153–158.
Шарков Е.В. Петрология расслоенных интрузий. Л.: Наука, 1980. 180 с.
Шарков Е.В. Формирование расслоенных интрузивов и связанного с ними оруденения. М.: Научный мир, 2006. 368 с.
Шарков Е.В., Смолькин В.Ф., Красивская И.С. Раннепротерозойская магматическая провинция высокомагнезиальных бонинитоподобных пород в восточной части Балтийского щита // Петрология. 1997. Т. 5. № 5. С. 503–522.
Шарков Е.В., Смолькин В.Ф., Беляцкий В.Б. и др. Время формирования Мончетундровского разлома (Кольский полуостров) по данным Sm-Nd и Rb-Sr изотопных систематик метаморфических парагенезисов // Геохимия. 2006. № 4. С. 355–364.
Юдин Б.А. Габбро-лабрадоритовая формация Кольского полуострова. Л.: Наука, 1980. 169 с.
Amelin Yu.V., Semenov V.S. Nd and Sr isotopic geochemistry of mafic layered intrusions in the eastern Baltic shield: implication for the evolution of Paleoproterozoic continental mafic magmas // Contributions to Mineralogy and Petrology. 1996. V. 124. № 3–4. P. 255–272.
Arndt N.T., Lesher C.M., Barnes S.J. Komatiite. N.Y.: Cambridge University Press, 2008. 467 p.
Ashwal L.D. Anorthosites. Berlin: Springer-Verlag, 1993. 422 p.
Bayanova T., Mitrofanov F., Serov P. et al. Layered PGE paleoproterozoic (LIP) intrusions in the N-E part of the Fennoscandian Shield – isotope Nd-Sr and 3He/4He data, summarizing U-Pb ages (on baddeleyite and zircon), Sm-Nd data (on rock-forming and sulphide minerals), duration and mineralization // Geochronology – Methods and Case Studies. Ed. N.-A. Mörner. INTECH, 2014. P. 143–193.
Bertrand Ph., Mercier J.-C. The mutual solubility of coexisting ortho- and clinopyroxene: toward an absolute geothermometer for the natural system? // Earth and Planetary Science Letters. 1985. V. 76. P. 109–122.
Bouvier A., Vervoort J.D., Patchett P.J. The Lu-Hf and Sm-Nd isotopic composition of CHUR: constraints from unequilibrated chondrites and implications for the bulk composition of terrestrial planets // Earth and Planetary Science Letters. 2008. V. 273. № 1–2. P. 48–57.
Brey G.P., Köhler T. Geothermobarometry in four-phase lherzolite II. New thermobarometers, and practical assessment of existing thermobarometers // J. Petrology. 1990. V. 31. P. 1353–1378.
Cameron W.E., McCulloch M.T., Walker D.A. Boninite petrogenesis: chemical and Nd-Sr isotopic constraints // Earth and Planetary Science Letters. 1983. V. 65. P. 75–89.
Goldstein S.J., Jacobsen S.B. Nd and Sr isotopic systematics of river water suspended material implications for crystal evolution // Earth and Planetary Science Letters. 1988. V. 87. P. 249–265.
Herzberg C., O’Hara M.J. Phase equilibrium constraints on the origin of basalts, picrites, and komatiites // Earth-Science Reviews. 1998. V. 44. P. 39–79.
Hickey R.L., Frey F.A. Geochemical characteristics of boninite series volcanic: implications for their source // Geochimica et Cosmochimica Acta. 1982. V. 46. P. 2099–2115.
Jochum K.P., Arndt N.T., Hofmann A.W. Nb-Th-La in komatiites and basalts: constraints on komatiite petrogenesis and mantle evolution // Earth and Planetary Science Letters. 1991. V. 107. P. 272–289.
Kramm U., Kogarko L.N., Kononova V.A., Variainen H. The Kola alkaline province of the CIS and Finland: precise Rb-Sr ages define 380–360 age range for all magmatism // Lithos. 1993. V. 30. P. 33–44.
Lauri L.S., Ramo O.T., Huhma H. et al. Petrogenesis of silicic magmatism related to the ~2.44 Ga rifting of Archean crust in Koillismaa, eastern Finland // Lithos. 2006. V. 86. P. 137–166.
Ludwig K.R. ISOPLOT/Ex – a geochronological toolkit for Microsoft Excel, version 3.6 // Berkeley Geochronology Center Special Publication. 2008. № 4. 76 p.
Mercier J.C.C. Single-pyroxene thermobarometry // Tectonophysics. 1980. V. 70. № 1–2. P. 1–37.
McDonough W.F., Sun S.-s. The composition of the Earth // Chemical Geology. 1995. V. 120. P. 223–253.
Mori T., Green D.H. Laboratory duplication of phase equilibria observed in natural garnet lherzolites // J. Geology. 1978. V. 86. P. 83–97.
Morimoto N. Nomenclature of pyroxenes // Mineralogical Magazine. 1988. V. 52. P. 535–550.
Nimis P., Taylor W.R. Single clinopyroxene thermobarometry for garnet peridotites. Part I. Calibration and testing of a Cr-in-Cpx barometer and an enstatite-in-Cpx thermometer // Contributions to Mineralogy and Petrology. 2000. V. 139. P. 541–554.
Ohnenstetter D., Brown W.L. Compositional variation and Primary water contents of differentiated interstitial and included glasses in boninites // Contributions to Mineralogy and Petrology. 1996. V. 123. P. 117–137.
Patchett P.J. Bridgwater D. Origin of continental crust of 1.9–1.7 Ga age defined by Nd isotopes in the Ketilidian terrain of South Greenland // Contributions to Mineralogy and Petrology. 1984. V. 87. № 4. P. 311–318.
Pearce J.A., van der Laan S.R., Arculus R.J. et al. Boninite and harzburgite from leg 125 (Bonin-Mariana forearc): a case study of magma genesis during the initial srages of subduction // Proceedings of the Ocean Drilling Program, Scientific Results. Eds. P. Fryer, J.A. Pearce, L.B. Stokking. College Station, TX: Ocean Drilling Program, 1992. V. 125. P. 623–659.
Pripachkin P.V., Rundkvist T.V., Miroshnikova Ya.A. et al. Geological structure and ore mineralization of the South Sopchinsky and Gabbro-10 massifs and the Moroshkovoe Lake target, Monchegorsk area, Kola Peninsula, Russia // Mineralium Deposita. 2016. V. 51. № 8. P. 973–992.
Sharkov E.V., Chistyakov A.V. The early paleoproterozoic Monchegorsk layered mafite-ultramafite massif in the Kola Peninsula: geology, petrology and ore potential // Petrology. 2012. V. 20. № 7. P. 607–639.
Smith A.D., Ludden J.N. Nd isotopic evolution of the Precambrian mantle // Earth and Planetary Science Letters. 1989. V. 93. № 1. P. 14–22.
Sossi P.A., Eggins S.M., Nesbitt R.W. et al. Petrogenesis and geochemistry of archean komatiites // Journal of Petrology. 2016. V. 57. № 1. P. 147–184.
Stacey J.S., Kramers J.D. Approximation of terrestrial lead isotope evolution by a two-stage model // Earth and Planetary Science Letters. 1975. V. 26. P. 207–221.
Taylor W.R. An experimental test of some geothermometer and geobarometer formulations for upper mantle peridotites with application to the thermobarometry of fertile lherzolite and garnet websterite // Neues Jahrbuch fuer Mineralogie, Abhandlungen. 1998. V. 172. P. 381–408.
Whitney D.L., Evans B.W. Abbreviations for names of rock-forming minerals // American Mineralogist. 2010. V. 95. P. 185–187.
Дополнительные материалы отсутствуют.




