Журнал неорганической химии, 2019, T. 64, № 1, стр. 57-62
О возможности создания сенсоров на основе поверхностно-карбоксилированных бороуглеродных нанотрубокН. П. Борознина, И. В. Запороцкова, С. В. Борознин, Л. В. Кожитов, А. В. Попкова
Н. П. Борознина 1, И. В. Запороцкова 1, *, **, С. В. Борознин 1, Л. В. Кожитов 2, А. В. Попкова 2
1 Волгоградский государственный университет
400062 Волгоград, Университетский пр-т, 100, Россия
2 Национальный исследовательский технологический университет “МИСиС”,
119049 Москва, Ленинский пр-т, 4, Россия
* E-mail: irinazaporotskova@gmail.com
** E-mail: priori@volsu.ru
Поступила в редакцию 15.02.2018
После доработки 04.07.2018
Принята к публикации 28.03.2018
Аннотация
Рассмотрен механизм создания наноразмерных сенсоров на основе бороуглеродных нанотрубок типа ВС3, поверхность которых модифицирована карбоксильной группой. Проанализирована возможность использования поверхностно-карбоксилированных нанотрубок для детектирования щелочных металлов. Выполнено моделирование процессов взаимодействия карбоксильной группы с поверхностью нанотрубки и последующего взаимодействия полученной наносистемы с атомами лития, калия и натрия. Расчеты проведены с использованием модели молекулярного кластера в рамках метода функционала плотности (density functional theory – DFT). Доказано, что поверхностно-карбоксилированные бороуглеродные нанотрубки проявляют высокую чувствительность по отношению к выбранным атомам.
ВВЕДЕНИЕ
В настоящее время прорывные технологии в области электронной инженерии и наноэлектроники обеспечиваются за счет использования новых материалов [1–6], в том числе уникального наноматериала с широким спектром новых механических, электронных и магнитных свойств – углеродных нанотрубок (УНТ) [7–11]. Нанотрубки проявляют высокую сорбционную активность [12] и уникальные проводящие свойства [13]. Существенное изменение электронных свойств нанотрубок при адсорбировании на их поверхности различных атомов позволяет прогнозировать их использование в качестве наноразмерных химических и биологических сенсоров [14–21]. Принцип действия предлагаемых сенсоров основан на изменении вольтамперных характеристик нанотрубок, происходящем из-за сорбирования атомов или молекул на их поверхности. В [22] представлен обзор работ, посвященных изучению сенсоров для определения некоторых газов, построенных с использованием немодифицированных и модифицированных УНТ. В качестве модификаторов могут применяться различные функциональные группы, полимерные звенья, атомы металлов или их оксиды. В число таких модифицирующих групп входит карбоксильная группа. В работе [23] говорится об экспериментальном исследовании УНТ, один край которой был модифицирован группой –СООН. Механизм образования гранично-модифицированных систем на основе однослойных углеродных нанотрубок и их чувствительность к щелочным металлам подробно изучены в работах [24, 25].
Сейчас внимание исследователей обращено на наноструктуры, получаемые замещением атомов углерода на другие элементы. Среди них особый интерес представляют бороуглеродные нанотрубки (БУНТ), полученные в 2004 г. путем замещения атомов углерода поверхности нанотрубки на атомы бора в потоке газа BCl3 [26]. Бороуглеродные нанотрубки являются стабильными полупроводниками и проявляют лучшие сорбционные свойства по сравнению с углеродными [27, 28], что делает их перспективными для использования в качестве сенсоров. Использование БУНТ в сенсорных устройствах – одно из самых перспективных их применений в электронике. Сенсоры на основе БУНТ будут обладать высокой селективностью и чувствительностью наряду с быстрым откликом и высоким спектром анализируемых веществ.
В настоящей работе описана возможность создания наноразмерных высокочувствительных сенсоров на основе карбоксилированных БУНТ и проанализированы процессы взаимодействия их с некоторыми атомами щелочных металлов (литий, калий, натрий). Рассмотрена поверхностная модификация БУНТ карбоксильной группой. Моделирование процессов присоединения функциональной группы к нанотрубке и взаимодействие наносистемы с атомами металлов проводили в рамках модели молекулярного кластера с использованием расчетного метода DFT [29].
Механизм модификации бороуглеродных нанотрубок карбоксильной группой: присоединение к поверхности нанотрубки
Для описания механизма поверхностной модификации бороуглеродной ВС3-нанотрубки карбоксильной группой –СООН рассмотрен фрагмент нанотрубки типа “зиг-заг” (6, 0) в рамках модели молекулярного кластера. Кластер содержал пять слоев бороуглеродных гексагонов вдоль продольной оси нанотрубки. Оборванные связи на границе кластера были замкнуты псевдоатомами, в роли которых выступали атомы водорода. Карбоксильная группа присоединялась к атому углерода, находящемуся примерно в центре кластера, для исключения влияния краевых эффектов. Процесс присоединения функциональной группы –СООН к бороуглеродной нанотрубке моделировали с использованием так называемой процедуры изменения координаты реакции, когда функциональная группа приближалась к поверхности ВС3-нанотрубки вдоль перпендикуляра к ее продольной оси, проходящего через выбранный поверхностный атом углерода, с изменением координаты на 0.1 Å. На рис. 1 приведена модель поверхностно-карбоксилированной бороуглеродной ВС3-нанотрубки (6, 0). Выполненные расчеты позволили построить энергетическую кривую, наглядно описывающую процесс взаимодействия БУНТ с карбоксильной группой –СООН (рис. 2), анализ которой показал, что величина энергии взаимодействия между нанотрубкой и модифицирующей группой составляет 2.37 эВ. Данное значение соответствует химической связи между нанотрубкой и функциональной группой на расстоянии 1.8 Å, что доказывает возможность создания сенсорных устройств, использующих в качестве зондов бороуглеродные ВС3-нанотрубки, поверхность которых модифицирована карбоксильной группой.
Изучение взаимодействия комплекса “бороуглеродная нанотрубка + СООН” с атомами щелочных металлов
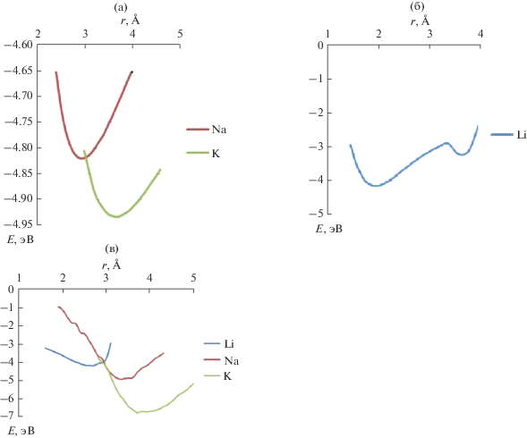
Следующим этапом исследования стало изучение взаимодействия атомов натрия, лития и калия с граничными атомами водорода и кислорода карбоксильной группы –СООН, присоединенной к поверхности бороуглеродной ВС3-нанотрубки. Моделирование процесса осуществляли с использованием метода изменения координаты реакции (на 0.1 Å) при приближении атомов щелочных металлов к атомам О или Н функциональной группы. В результате выполненных расчетов были построены энергетические кривые процессов взаимодействия атомов Li, K, Na с изучаемой поверхностно-модифицированной наносистемой (так называемые профили поверхности потенциальной энергии процессов), изображенные на рис. 3. Основные характеристики процесса взаимодействия выбранных атомов металлов с атомами О и Н карбоксильной группы, модифицирующей бороуглеродную нанотрубку, приведены в табл. 1. Из-за достаточно большого расстояния, на котором происходит взаимодействие, иллюстрируемое минимумом на кривой, можно сделать вывод, что атомы функциональной группы и щелочных металлов взаимодействуют за счет слабых сил Ван-дер-Ваальса. Это обеспечивает возможность неоднократного использования созданного сенсорного датчика, полученного путем поверхностного модифицирования карбоксильной группой бороуглеродной ВС3-нанотрубки, поскольку образование химических связей с определяемыми щелочными металлами привело бы к разрушению зонда после осуществленного взаимодействия.
Рис. 3.
Профили поверхности потенциальной энергии процессов взаимодействия между поверхностно-модифицированной ВС3-нанотрубкой и атомами металлов в зависимости от расстояния: а, б – атомы металлов приближаются к атому кислорода карбоксильной группы, модифицирующей нанотрубку; в – атом металла приближается к атому Н карбоксильной группы, модифицирующей нанотрубку.

Таблица 1.
Основные характеристики процесса присоединения атомов Li, K, Na к атомам О и Н карбоксильной группы, поверхностно-модифицирующей бороуглеродную нанотрубку: Rвз – расстояние взаимодействия, Евз – энергия взаимодействия
| Тип связи | Rвз, Å | Евз, эВ | Заряд на атомах металла |
|---|---|---|---|
| Na–О | 3.0 | –4.82 | +0.9 |
| Na–Н | 3.3 | –4.90 | +0.9 |
| К–О | 3.7 | –4.93 | +0.9 |
| К–Н | 3.7 | –6.72 | +0.9 |
| Li–O | 2.0 | –4.14 | +0.6 |
| Li–H | 2.7 | –4.17 | +0.7 |
В модифицированной системе происходит перенос заряда от атомов Li, K, Na к атомам комплекса “БУНТ + СООН”, что ведет к увеличению числа основных носителей в нанотубулярной системе.
Моделирование сканирования поверхности, содержащей атомы щелочных металлов
Проведено моделирование процесса сканирования произвольной поверхности, содержащей атомы Li, K, Na, поверхностно-карбоксилированной бороуглеродной ВС3-нанотрубкой и определена ее чувствительность к выбранным атомам. Процесс моделировали пошаговым движением атома металла параллельно оси нанотрубки вдоль ее поверхности по направлению к карбоксильной группе (рис. 4). Моделировали два варианта движения: 1) когда атом последовательно проходил мимо атома Н, а потом О, ориентируясь на атом кислорода группы –СООН (назовем этот путь Н–О); 2) когда атом металла последовательно проходил мимо атома О, а потом Н, ориентируясь на атом водорода группы СООН (путь О–Н). Расстояние, на котором проходила траектория движения каждого из выбранных атомов металла, соответствовало усредненному расстоянию взаимодействия атомов с атомами водорода и кислорода карбоксильной группы, определенному ранее. Так, для атома лития это расстояние составляло 2.35 Å, для атома калия – 3.7 Å, для атома натрия – 3.15 Å. Анализ построенных в результате выполненных расчетов профилей поверхности потенциальной энергии (рис. 5) показал, что модифицированная нанотрубка чувствительна к выбранным атомам металла. Об этом свидетельствует минимум на кривых, соответствующий возникающему между ними сенсорному взаимодействию и определяемому так называемым расстоянием реакции сенсора и соответствующей энергией реакции сенсора. В табл. 2 приведены результаты исследования сенсорного взаимодействия между поверхностно-модифицированной карбоксильной группой ВС3-нанотрубкой и атомами щелочных металлов для двух описанных путей сканирования, ориентированных на атомы Н или О группы. Сравнение энергий взаимодействия (энергий реакции сенсора) показало, что наибольший отклик происходит при движении металла от Н к О, т.е. атом кислорода группы –СООН оказывает большее влияние на чувствительность поверхностно-карбоксилированной бороуглеродной нанотрубки в отношении атомов лития, калия и натрия.
Рис. 4.
Модель сканирования произвольной поверхности, содержащей атом лития (большая темная сфера), поверхностно-модифицированной бороуглеродной нанотрубкой; пунктиром отмечена траектория движения атома лития относительно карбоксилированной нанотрубки.

Рис. 5.
Профили поверхности потенциальной энергии взаимодействия атомов металлов и поверхностно-модифицированной бороуглеродной нанотубулярной системы: а – начало отсчета соответствует положению атома кислорода карбоксильной группы; б – начало отсчета соответствует положению атома водорода карбоксильной группы.

Таблица 2.
Основные характеристики сенсорного взаимодействия между атомами Li, K, Na и зондовой модифицированной наносистемой при сканировании поверхности, содержащей определяемые атомы металлов: Rвз-сен – расстояние реакции сенсора, Евз-сен – энергия реакции сенсора
| Тип связи | Rвз-сен, Å | Евз-сен, эВ |
|---|---|---|
| Na–О | 3.2 | –4.99 |
| Na–Н | 3.6 | –3.99 |
| К–О | 4.1 | –5.10 |
| К–Н | 4.5 | –4.79 |
| Li–O | 2.0 | –4.37 |
| Li–H | 2.3 | –4.04 |
ЗАКЛЮЧЕНИЕ
Бороуглеродные нанотрубки являются уникальным материалом для дальнейшего изучения и применения в различных отраслях. Прогресс в сфере нанотехнологий приводит к созданию новых объектов, обладающих интереснейшими свойствами, представляющими большой интерес для ученых и исследователей. Доказанная способность поверхностного модифицирования бороуглеродных нанотрубок карбоксильной группой может быть использована для создания чувствительных сенсорных датчиков для определения различных элементов. Результаты моделирования доказали возможность многократного использования поверхностно-карбоксилированных бороуглеродных ВС3-нанотрубок в качестве зондов для идентификации определенного набора элементов, в том числе щелочных металлов. Их присутствие можно зафиксировать путем измерения потенциала в сенсорной системе, основанной на модифицированной функциональной группой нанотрубке. Когда рассматриваемый сенсор взаимодействует с металлом, электронная плотность смещается к карбоксилированной нанотубулярной системе. Как следствие, число носителей заряда в модифицированной нанотубулярной системе возрастает и может быть зафиксировано изменением ее электронных (проводящих) свойств. Рассматриваемое сенсорное устройство будет иметь особую селективность, определяемую энергией его взаимодействия с различными элементами, соответствующую различному отклику системы на их присутствие. Сенсоры, создаваемые по предложенному механизму, будут способны обнаруживать малые количества вещества, вплоть до присутствия его атомов, что открывает широкий спектр возможностей их применения в медицине, биологии, экспертной практике, химии и т.д.
Список литературы
Novotortsev V.M., Palkina K.K., Mikhailov S.G. et al. // Inorg. Mater. 2005. V. 41. № 5. P. 439. https://org/ 10.1007/s10789-005-0149-2.
Маренкин С.Ф., Изотов А.Д., Федорченко И.В. и др. // Журн. неорган. химии. 2015. Т. 60. № 3. С. 343. doi 10.7868/S0044457X15030149
Mahmoud A., Caes S., Brisbois M. et al. // J. Solid State Electrochem. 2018. V. 22. Is. 1. P. 103. https://org/10.1007/s10008-017-3717-x.
Елисеев А.А., Лукашин А.В. Функциональные наноматериалы / Под ред. Третьякова Ю.М. М.: Физматлит, 2010. 456 с.
Mishra Y.K., Murugan N.A., Kotakoski J. et al. // Vacuum. 2017. V. 146. P. 304. https://org/ doi 10.1016/j.vacuum.2017.09.035.
Brisbois M., Caes S., Sougrati M.T. et al. // Sol. Energy Mater. Sol. Cells. 2016. V. 148. P. 67. https://org/ 10.1016/j.solmat.2015.09.005
Dresselhaus M.S. Carbon nanotubes: synthesis, structure, properties, and application. Springer-Verlag, 2000. 464 p.
D’yachkov P.N. Electron properties and applications of nanotubes. M.: BINOM. Laboratoria znanii, 2010. 488 p.
Saito R., Dresselhaus M.S., Dresselhaus G. Physical properties of carbon nanotubes. L.: Imperial College Press, 1999. 251 p.
Harris P. Carbon nanotubes and related structures. New materials of the XXI century. M.: Technoshera, 2003. 336 p.
Wong H.-S.P., Akinwande D. Carbon Nanotube and Graphene Device Physics. Cambridge University Press, 2011. 365 p.
Елецкий А.В. // Успехи физ. наук. 2004. Т. 174. № 11. С. 1191. doi 10.3367/UFNr.0174.200411с.1191
Запороцкова И.В. Углеродные и неуглеродные наноматериалы и композитные структуры на их основе: структура и электронные свойства. Волгоград, 2009. 490 с.
Ахмадишина К.Ф., Бобринетский И.И., Комаров И.А. и др. // Рос. нанотехнологии. 2013. Т. 8. № 11–12. С. 35.
Zhang Wei-De, Zhang Wen-Hui. // J. Sensors. 2009. P. 16.
Barsan M.M. // Anal. Chim. Acta. 2015. V. 881. P. 1. doi 10.1016/j.aca.2015.02.059
Kim J., Choi S.-W., Lee J.-H. et al. // Sens. Actuators, B. 2016. V. 228. P. 688. doi 10.1016/j.snb.2016.01.094
Kwona Y.J., Naa H.G., Kanga S.Y. et al. // Sens. Actuators, B. 2016. V. 227. P. 157. doi 10.1016/j.snb.2015.12.024
Abdelhalim A., Abdellah A., Scarpa G. et al. // Nanotechnology. 2014. V. 5. P. 055208.
Im J., Sterner E.S., Swager T.M. // Sensors. 2016. V. 16. P. 183. doi 10.3390/s16020183
Boyd A., Dube I., Fedorov G. et al. // Carbon. 2014. V. 69. P. 417. doi 10.1016/j.carbon.2013.12.044
Zaporotskova I.V., Boroznina N.P., Ozhitov L.V. et al. // Mod. Electronic Materials. 2016. V. 2. № 4. P. 95. http://dx.org/10.1016/j.moem.2017.02.002
Mäklin J., Mustonen T., Kordás K. et al. // Phys. Status Solidi B. 2007. V. 244. № 11. P. 4298.
Zaporotskova I.V., Polikarpova N.P., Vil’keeva D.E. // Nanosci. Nanotechnol. Lett. 2013. V. 5. № 11. P. 1169. https://org/10.1166/nnl.2013.1695.
Zaporotskova I.V., Kozhitov L.V., Boroznina N.P. // Russ. J. Inorg. Chem. 2017. V. 62. № 11. P. 1458.
Fuentes G.G., Borowiak-Palen E., Knupfer M. et al. // Phys. Rev. B. 2004. V. 69. P. 245403. https://org/ 10.1103/PhysRevB.69.245403.
Debnarayan J., Sun C.-L, Chen L.-C. et al. // Prog. Mater. Sci. 2013. V. 58. Is. 5. P. 565. https://org/ 10.1016/j.pmatsci.2013.01.003.
Zaporotskova I.V., Boroznin S.V., Perevalova E.V. // Nanosci. Nanotechnol. Lett. 2012. V. 4. № 11. P. 1096. https://org/10.1166/nnl.2012.1464.
Koch W., Holthausen M. A chemist’s guide to density functional theory. Weinheim: Wiley-VCH, 2001. 313 p.
Дополнительные материалы отсутствуют.
Инструменты
Журнал неорганической химии




