Известия РАН. Механика жидкости и газа, 2019, № 6, стр. 114-128
ВЛИЯНИЕ УГЛА АТАКИ И РАДИУСА ЗАТУПЛЕНИЯ НА РАСПРЕДЕЛЕНИЕ СКОРОСТИ НАГРЕВА ЗАТУПЛЕННЫХ МОДЕЛЕЙ ПРИ ГИПЕРЗВУКОВЫХ СКОРОСТЯХ
М. Сайпракаш a, *, С. Сентилкумар b, **, Дж. Кадам сунил c, ***, С. П. Рампратар c, ****, В. Шанмугам c, *****, Дж. Балу c, ******
a Факультет аэрокосмической техники, МЛР Институт технологии
Телагана, Хайдерабад, Индия
b Факультет аэрокосмической техники, МИТ Кампус, Университет Анна
Ченнай, Индия
c Директорат аэродинамики, Лаборатория исследования защиты и развития
Хайдерабад, Индия
* E-mail: iamsaiaero@gmail.com
** E-mail: cskumar34@gmail.com
*** E-mail: sgk54@yahoo.com
**** E-mail: sprakash29@gmail.com
***** E-mail: shanmugam@drdl.drdo.in
****** E-mail: gbalu_aed@gmail.com
Поступила в редакцию 02.10.2018
После доработки 18.12.2018
Принята к публикации 20.03.2019
Аннотация
Исследуется влияние радиуса затупления на распределение интенсивности теплопереноса вдоль линии торможения и на поверхности затупленного тела. Эксперименты выполнены в гиперзвуковой ударной трубе при гиперзвуковом числе Маха, равном 6.56 и половине угла раствора затупленного конуса 11.38° с радиусом затупления 0.2R, где R – радиус основания модели. Кроме того, эксперименты выполнены при числе Маха, равном 7.32 и половине угла раствора затупленного конуса модели 13.87° с радиусом затупления 0.18R′, где R′ – радиус основания. Тест выполнен при энтальпии в точке торможения 1.4 и 2 МДж/кг с эффективным временем теста 3.5 мс. Измерения конвективного теплопереноса выполнены на модели с двумя разными углами атаки, а именно, 0 and 5° с углами поворота, равными 0, 90 и 180° с датчиками из тонкой платиновой пленки. Для моделирования течения около затупленной модели при разных числах Маха был использован пакет ANSYS-Fluent. Отход ударной волны, измеренный с помощью шлирен-фотографий, сравнивается с теорией и результатами исследования методами вычислительной гидродинамики для обеих конфигураций. Измеренное значение нагрева в точке торможения сравнивается с теоретическим значением, вычисленным по формуле Фэя–Ридделла и полученным с помощью численного моделирования. Измеренная скорость теплопереноса больше для конфигурации 1 по сравнению с конфигурацией 2. Увеличение интенсивности теплопереноса обусловлено бóльшим перепадом плотности на ударной волне и уменьшенной толщиной ударного слоя. Измеренная толщина ударного слоя составляла 2.06 мм при числе Маха 6.56 и 3.45 мм при числе Маха 7.32. Интенсивность теплопереноса больше при числе Маха 6.56 по сравнению с числом Маха 7.32.
ОБОЗНАЧЕНИЯ
| α | – угол атаки | Индексы |
| D | – диаметр модели (мм) | 0 – условия в точке торможения |
| s | – расстояние вдоль поверхности модели (мм) | inf – условия в набегающем потоке |
| θc | – угол полураствора конуса | 1 – условия перед нормальной ударной волной |
| ϕ | – угол поворота | 2 – условия за нормальной ударной волной |
| Rn | – радиус затупления | 5 – условия за отраженной ударной волной |
| M | – число Маха | Сокращения |
| P | – давление (бар) | ANSYS – Пакет ANSYS |
| ρ | – плотность (кг/м3) | DRDL – Лаборатория Исследования защиты и развития |
| T | – температура (K) | TPS – Система теплозащиты |
| h | – энтальпия (МДж/кг) | CFD – Вычислительная гидродинамика |
| q(t) | – локальная поверхностная интенсивность теплопереноса | DAS – система сбора данных |
| Qo | – интенсивность теплопереноса на вершине конуса (Вт/см2) | NI – национальное оборудование |
| CH | – число Стантона |
При входе в атмосферу возвращаемые космические аппараты рассеивают огромное количество кинетической энергии, поскольку они движутся при числе Маха около 30. В результате поверхность аппарата оплавляется и испаряется из-за тепловых нагрузок. Для того, чтобы минимизировать аэродинамический нагрев, возвращаемые аппараты должны быть затуплены [1, 2]. Форма такого возвращаемого аппарата геометрически представляет собой конус, затупленный по сфере на большом угле, что подходит для пилотируемых аппаратов, таких как Mercury, Gemini и Apollo [3–5] или непилотируемых возвращаемых аппаратов в виде сферической шляпки с большим радиусом кривизны, таких как Fire II, Stardust, Beagle2 и Orion [6–9]. Такие конфигурации аппаратов должны уменьшить интенсивность конвективного теплопереноса во время входа в атмосферу. Радиационный теплоперенос составляет небольшую долю общих тепловых нагрузок. В окрестности космического аппарата в режиме гиперзвукового полета можно выделить несколько характерных зон, таких как тонкий ударный слой, энтропийный слой, пограничные слои с химическими реакциями и вязким взаимодействием, диссоциирующие высокотемпературные течения и режимы течения с низкой плотностью [10–12]. В течение последних лет несколько результатов измерений аэродинамического нагрева были опубликованы в открытой литературе [13–16].
При нестационарных условиях измерения тепловых потоков в гиперзвуковых наземных экспериментальных установках обычно выполняются с помощью поверхностных датчиков температуры и данные, полученные как функции времени, обрабатываются с целью получения теплопереноса с помощью метода обратного расчета, развитого в [17, 18]. В [19] была разработана и произведена термопара К-типа для проверки поверхностной морфологии и оценки конструкции термопары. Тесты в ударной трубе доказали, что вручную сделанная термопара точно измеряет температуру поверхности и интенсивности теплопереноса в установках, работающих в неустановившемся режиме. В [20] термохромный жидкий кристалл был использован для измерения скорости нагрева на пересечении ударной волны с пограничным слоем в аэродинамической трубе периодического действия. В [21] были оценены характеристики коаксиальной термопары по сравнению с датчиком на основе тонкой платиновой пленки для измерения потока тепла в тестах с ультракороткой продолжительностью. Примерами датчиков для измерения быстро меняющейся температуры поверхности являются инфракрасная термография [22] и окраска, чувствительная к изменениям температуры [23]. В настоящем исследовании метод тонкой платиновой пленки использован для измерения теплопереноса. Основное преимущество этого метода по сравнению с другими способами измерения потоков тепла состоит в его хорошей чувствительности, в том, что выход сигнала прямо пропорционален потоку тепла, и, наконец, его способности фиксации тепловых потоков очень низкого уровня порядка 0.1 Вт/см2. Основные недостатки состоят в следующем: 1) создание датчика нестандартно и представляет собой род некоего искусства и датчики обычно создаются индивидуально для каждой модели; 2) элементы тонкой пленки очень непрочные и чрезвычайно чувствительны к воздействию частиц и истиранию.
В аэродинамической трубе периодического действия гиперзвуковые числа Маха в рабочей секции достигаются за счет понижения температуры набегающего потока, что приводит к уменьшению скорости звука и соответствующего роста числа Маха потока. Аэродинамическая труба периодического действия может генерировать течение с большими числами Маха, но для числа Маха имеется верхний предел при заданной температуре газа в резервуаре, который об-условлен возможностью конденсации рабочего газа в рабочей секции. В [24] обычная аэродинамическая установка периодического действия была исследована экспериментально, некорректно моделируя эффекты реального газа для числа Маха потока выше 6. Эффекты реального газа преобладают в поле гиперзвукового течения в окрестности современных гиперзвуковых возвращаемых космических аппаратов. Эффекты реального газа могут успешно моделироваться в ударной трубе за счет создания течения воздуха в рабочей секции с энергией, сопоставимой с энергией при полете гиперзвукового аппарата. Это может быть достигнуто за счет расширения рабочего газа от конца ударной трубы при очень высоких температурах и давлениях через сверхзвуковое сопло Лаваля.
Имеется большое количество исследований, посвященных измерениям теплопереноса для специальной геометрии, но ни в одном из этих исследований измерения тепловых потоков не сравниваются при варьировании затупления при фиксированных условиях в набегающем потоке. Форма ударной волны и расстояние до ударного слоя являются важными параметрами, которые влияют на теплоперенос на возвращаемый аппарат при гиперзвуковых скоростях. Статей, связанных с формой ударной волны, немного. Поэтому для того, чтобы заполнить частично этот недостаток, было инициировано исследование на гиперзвуковых ударных трубах в Лаборатории исследования защиты и развития. Главные цели настоящего исследования следующие: 1) сравнение расстояния отхода ударной волны, измеренного с помощью шлирен-метода, с эмпирическим соотношением и результатами исследования методами вычислительной гидродинамики для двух разных конических моделей; 2) измерения интенсивностей теплопереноса на затупленное тело вдоль линии торможения и на поверхности модели с использованием датчиков с платиновой тонкой пленкой, напыленной в вакууме, при двух разных углах атаки 0 и 5°; 3) выполнение иллюстративного численного моделирования с использованием коммерческого пакета вычислительной гидродинамики для дополнения экспериментальных результатов. Детали проведенного исследования обсуждаются в следующих разделах.
1. ЭКСПЕРИМЕНТАЛЬНАЯ УСТАНОВКА
Эксперименты выполнены в гиперзвуковой ударной трубе, способной моделировать энтальпию торможения 1.4 и 2.0 МДж/кг. Ударная труба включала в себя камеру высокого давления, камеру низкого давления, сверхзвуковое сопло Лаваля, рабочую секцию и приемный резервуар. Внутренний диаметр ударной трубы составлял 180 мм, камеры высокого и низкого давления разделялись алюминиевой диафрагмой толщиной 6.4 мм. В качестве толкающего газа использовался гелий, рабочим газом служил воздух. Для создания ударной волны использовался метод разрыва металлической диафрагмы с образованием скачка давления. Напорная секция длиной 5 м была оборудована приспособлением для подвода газа с высоким давлением из цилиндров. Секция низкого давления длиной 18.7 м имела оборудование для откачки газа из трубы, закачки любого рабочего газа и измерения уровня вакуума. Ударная труба и сопло Лаваля были разделены диафрагмой из Милара и состояли из конического сопла длиной 3 м (угол раскрытия 10°), присоединенного к концу ударной трубы [25]. Модель в виде затупленного конуса диаметром 200 мм могла быть тестирована в невязком ядре пятиметровой рабочей секции. Выход из сопла диаметром 590 мм использовался для создания гиперзвукового обтекания испытуемой модели за счет работы ударной трубы в отраженном режиме.
1.1. Аппаратура
Скорость ударной волны могла быть измерена с помощью любых двух датчиков давления на печатной плате, установленных заподлицо в ударной трубе на некотором расстоянии друг от друга. Эти датчики давления имели встроенные комбинированные электрические контуры, которые обеспечивали выходное напряжение, пропорциональное давлению на входе. Восстановитель сигнала датчиков давления доставлял требуемое возбуждение к внутренней электронике инструмента, а также определял индикацию датчика от одной и той же пары линий. Выход сигнала восстановителя передавался на высокоскоростную систему сбора данных. Главная характеристика системы сбора данных состояла в том, что все данные тестировались числовым образом до 2.5 Мега образцов в секунду на канал с 14-битным разрешением, сделанным с картой национального оборудования. Было использовано национальное оборудование, сделанное на базе PXI-8187 Lab VIEW RT контроллера с 2.5 ГГц процессором для прерывания базового триггера с цифровой частотой 10 МГц. Период сбора данных составлял 100 мс с пре-включением и пост-включением 30 и 70 мс соответственно. Динамический датчик давления выполнял высокоскоростной сбор данных на уровне 1 Мега образцов в секунду на канал.
1.2. Тестируемые модели
В настоящем исследовании две затупленные модели были использованы для образования очертаний космического аппарата, как изображено на рис. 1. Конфигурация 1 соответствует углу полураствора при вершине конуса 11.38°, радиусу затупления 0.2R и радиусу основания R. Конфигурация 2 соответствует углу полураствора при вершине конуса 13.87°, радиусу затупления 0.18 R′ мм и радиусу основания R′, где R′ > R. При выборе размеров моделей учитывались следующие факторы: 1) поток должен пройти по крайней мере три раза над тестируемой моделью в течение теста длительностью 3.1 мс; 2) учитывался коэффициент закупорки; 3) рассматривалось взаимодействие между пограничным слоем на стенке с полем аэродинамического течения около конической модели; 4) учитывалась система поддержки модели. Восемь датчиков теплового потока от G1 до G8 были смонтированы на половинке модели. Схематический вид тестируемых моделей изображен на рис. 1.
1.3. Тепловые измерения
В качестве подложки обычно используются стекло или керамические материалы, такие как Macor, Pyrex или Quartz, поскольку они являются термическими подложками. В настоящем исследовании в качестве подложки выбран керамический материал Macor. Macor легче обрабатывается на станках, чем Pyrex, а также его термические свойства меняются слабее при изменении температуры по сравнению с материалом Pyrex. Толщина образца, изготовленного из материала Macor, должна быть не менее 3 мм при времени тестирования порядка 1 с [26]. В настоящем исследовании его толщина составляла 8 мм. Наждачная бумага из карбида кремния (сорта C-320) использовалась для полировки поверхности. Затем отполированная поверхность очищалась ацетоном с помощью ультразвукового очистителя на высокой частоте (≈35 кГц), чтобы избежать загрязнения.
Следующие факторы рассматривались при выборе материала тонкой пленки: 1) материал должен иметь ненулевой положительный температурный коэффициент удельного сопротивления; 2) материал должен был обеспечить сильное прилипание к поверхности Macor; 3) материал должен иметь большее удельное сопротивление для лучшей чувствительности, так что меньшая величина ΔT может быть измерена с более высокой точностью.
Золото, медь, серебро, платина, никель и вольфрам имеют положительный температурный коэффициент сопротивления. Серебро, медь и золото имеют меньшее удельное сопротивление, а вольфрам и сплавы никеля имеют большее удельное сопротивление. Сплав никеля не рассматривался из-за его нелинейных характеристик. Вольфрам также был отвергнут из-за его чрезвычайной хрупкости и трудности для обработки. Платина имеет большее удельное сопротивление по сравнению с другими проводящими металлами. Она дает совершенно линейный стабильный выходной сигнал и инертна к враждебному окружению. Осаждение тонкой пленки на подложке может быть сделано вручную или методом вакуумного напыления. В настоящем исследовании для осаждения тонкой пленки на подложке использовался метод вакуумного напыления за счет выбивания ионов из поверхности мишени при ее бомбардировке высокоэнергичными атомами в присутствии магнитного поля и поперечного электрического поля. Эти выбитые ионы осаждались на Macor подложке. Перед напылением каптоновая лента (лента на основе полиамидной пленки) наносилась на подложку, и тонкий слой открывался для осаждения платины. Каптоновая лента представляет собой специальный тип изоляционной ленты, который может выдержать температуру до 180°C. После напыления сопротивление лежало в пределах от 50 до 100 Ом. Толщина тонкой платиновой пленки составляла 0.4 µм; она зависит от площади, сопротивления и удельного сопротивления тонкой пленки. Затем датчики помещались в муфельную печь для отвердения, чтобы увеличить силу сцепления между подложкой и тонкой пленкой. В течение процесса отвердения температура в печи поднималась до 800°С и такая температура поддерживалась 30 мин. После этого следовало естественное охлаждение датчиков в муфельной печи до комнатной температуры. С целью обеспечения электрических связей для измерения напряжения на датчике во время тестирования ударной трубы в Macor подложке были просверлены два отверстия диаметром 1 мм. Серебряная паста EPOTEX была наложена между электропроводкой с внешним диаметром 0.6 мм и концами датчика из тонкой пленки. Затем датчик был обработан при 150°С в течение 15 мин.
1.3.1. Калибровка тонкой пленки. Все датчики теплового потока калибруются с помощью масляной ванны для определения чувствительности и линейности датчиков. Калибровка проводится в течение цикла нагрева, т.е. подвод тепла растет от комнатной температуры до 100°С. Аналогично, в течение цикла охлаждения датчики подвергались естественному охлаждению от 100°С до комнатной температуры. Температура поверхности датчика измерялась с шагом 5°С, используя ртутный термометр, и согласованное выходное напряжение измерялось национальным инструментом на базе системы DAQ. Тестирование на саморазогрев выполнялось с целью определения порогового значения электрического тока, чтобы избежать саморазогрева датчика. Выходное напряжение на датчике увеличивалось вследствие саморазогрева даже в отсутствие внешнего изменения температуры. Эксперимент был выполнен на 65-омном пленочном датчике, который имел чувствительность 2 мВ/°С. Изменение выходного напряжения (∆V) записывалось в течение 90 с при разных значениях тока возбуждения. Наблюдалось, что выходное напряжения не изменялось вплоть до тока возбуждения 20 мА. При превышении током возбуждения значения 20 мА изменение выходного напряжения росло экспоненциально. Следует отметить, что даже изменение выходного напряжения (∆V) в 2 мВ неприемлемо, поскольку 2 мВ приводит к ошибке в 1°С при измерении температуры.
Используя корреляционное соотношение Фэя–Риддела [27], была теоретически оценена интенсивность теплопереноса в точке торможения на полусферическом теле при заданных условиях в набегающем потоке. Величина теплового потока в точке торможения, значение чувствительности датчика и нестационарная история зависимости напряжения от времени, полученная из показаний датчиков из тонкой платиновой пленки, были заданы как входные значения для алгоритма Кука–Фельдермана [28] и было оценено значение теплового выхода (β). Оцененное значение равнялось 1400 Дж/м2/K/с1/2.
1.3.2. Схема измерений. Пленочный датчик является пассивным сенсором, чтобы его активировать, необходим подвод внешней мощности. Подвод внешней мощности может быть задан постоянным напряжением или постоянным током. Однако постоянный ток предпочтительнее по нижеизложенным причинам. Допустим, постоянный ток течет через пленочный датчик. Изменение сопротивления, из-за изменения температуры поверхности, дает изменение напряжения на датчике. Это изменение напряжения является непосредственным указанием на изменение сопротивления датчика. Этот метод точный, поскольку он нечувствителен к длине подводящих проводов и нет ошибок в температурном коэффициенте, и в этом методе не используются никакие дополнительные сопротивления, отсутствует необходимость в балансировке и т.д.
2. ЭКСПЕРИМЕНТ И УСЛОВИЯ ТЕСТИРОВАНИЯ
Эксперимент проведен при числах Маха набегающего потока 6.56 и 7.24 для конфигураций 1 и 2 соответственно при двух разных углах атаки с углом поворота ϕ = 0, 90 и 180°. В качестве толкающего газа использовался гелий, а тестовым газом был воздух. Труба работала при давлении толкающего газа от 46.8 до 52.79 бар, а в рабочей секции давление варьировалось от 0.297 до 0.315 бар. Ударная труба была способна произвести много большую энтальпию торможения, чем 4 МДж/кг, но в настоящем исследовании труба работала при меньшей энтальпии торможения величиной 1.4 и 2 МДж/кг. Ожидаемая неопределенность в свойствах потока меньше при меньшей энтальпии торможения. Во всех экспериментах статическое давление в рабочей секции мониторилось вместе с выходным сигналом тонкопленочных датчиков и датчиков давления, установленных на модели. Выходные сигналы этих датчиков записывались в высокоскоростной системе сбора данных для получения адекватных данных в границах доступного времени стационарного теста. Осторожность была предпринята для проверки повторяемости во время измерений потока тепла и давления. Эксперименты повторялись три раза при одинаковых условиях теста и при одинаковой геометрии. После нескольких тестов сопротивление датчиков было исследовано на долговечность платиновых тонкопленочных датчиков, использованных в экспериментах. Было найдено, что изменение сопротивления было очень маленьким, это показывало, что сенсоры, полученные вакуумным напылением, имели бóльшую долговечность. Экспериментальные условия тестов и их неопределенность (указаны в скобках) даны в табл. 1.
Таблица 1.
Номинальные условия тестов в ударной трубе
| Модель | P05 (бар) | Ms | h0 (МДж/кг) | Pinf (Па) | Tinf (K) | ρinf (кг/м3) | Minf |
|---|---|---|---|---|---|---|---|
| Конфигурация 1 | 25.96 (±5.4%) |
3.01 (±1.7%) |
1.4 (±2.01%) | 840 (±6.9%) |
154 (±2.0%) |
0.019 (±7.1%) | 6.56 (±2%) |
| Конфигурация 2 | 20.7 (±6.1%) |
3.44 (±1%) |
2.0 (±1.8%) |
376 (±7.2%) |
159 (±1.7%) |
0.00824 (±8.3%) |
7.32 (±1.7%) |
2.1. Численное моделирование
В настоящем исследовании коммерчески доступный пакет программ ANSYS–Fluent 15, эффективный для инженерных гидродинамических задач, был использован для моделирования поля течения около затупленного тела при числах Маха 6.56 и 7.32 для дополнения экспериментальных значений интенсивностей теплопереноса около тела в гиперзвуковой ударной трубе. Численное моделирование было выполнено при двух разных углах атаки, а именно, 0 и 5°. Пакет ANSYS–Fluent 15 представляет собой солвер полных уравнений Навье–Стокса, предназначенный для обработки решения задач как несжимаемых, так и сжимаемых течений почти во всех режимах течения. Течение предполагается турбулентным на основе расчета числа Рейнольдса (т.е. Re = 5.06 × 105 для числа Маха 7.32, тогда как Re = 9.14 × 105 при числе Маха 6.56). При моделировании вычислительной гидродинамики использовалась SST k–ω модель турбулентности. Численное исследование выполнено для условий стационарного течения и в настоящей работе использовалась схема второго порядка точности.
2.1.1. Начальные и граничные условия. Различные граничные условия, использованные в настоящем моделировании методами вычислительной гидродинамики, которые основываются на экспериментальных свойствах набегающего потока, полученных на входе в рабочую секцию ударной трубы, имеют следующий вид. На входе: на этой границе вычислительной области свойства потока, такие как статическое давление, статическая температура и число Маха потока задавались (см. табл. 1). На выходе: на выходе из вычислительной области все переменные были экстраполированы по значениям во внутренней области. На стенке: граничные условия на стенке были взяты на поверхностях тестовой модели. Жидкость на этих поверхностях предполагалась подчиняющейся условиям отсутствия скольжения и в качестве граничных условий на станке задавалась постоянная температура 300 K.
2.1.2. Расчетная сетка. В настоящем исследовании для вычислений используется структурированная сетка. В первоначальном моделировании для расчетов использовалась многоблочная сетка, связанная с телом, которая имела примерно 9,67,835 элементов. В последующих запусках программы число узлов сетки было увеличено (т.е. исследовано сгущение сетки), чтобы проверить влияние количества сеточных узлов на изменения интенсивности теплопереноса и поверхностного давления на модели. Более мелкая структурированная сетка использовалась в непосредственной близости к поверхности тестируемой модели для обеспечения точности расчетов градиентов. Целевые остаточные члены для прекращения вычислений задавались равными 1 × 10–6. Для достижения сходимости требовалось около 9000 итераций и примерно 8 ч процессорного времени было необходимо для одного численного расчета на процессоре Intel core i4, 2.8 GHz при 6 ГБ оперативной памяти. Программа запускалась на платформе Windows 7.
Интенсивность поверхностного переноса тепла и поверхностное давление вдоль поверхности затупленного тела вычислялись на трех разных сетках (9,67,835, 16,69,394 и 28,45,628 элементов). Видно, что изменения рассчитанных параметров на разных сетках лежат в пределах ±5%. Окончательно сетка с общим числом элементов 16,69,394 была выбрана для настоящего исследования. В табл. 2 показаны результаты исследования независимости сетки.
Таблица 2.
Результаты исследования независимости сетки
| Число элементов | Первое расстояние до стенки (м) | Отношение сторон сетки | Время расчетов в часах (приблизительно) | Изменение теплового потока между двумя сетками |
|---|---|---|---|---|
| 9,67,835 | 8 × 10–4 | 0.9 | 7 | 5% |
| 16,69,394 | 6 × 10–4 | 0.8 | 9 | |
| 4% | ||||
| 28,45,628 | 5 × 10–4 | 0.6 | 11 |
2.2. Визуализация течения
Наблюдения гиперзвукового течения в рабочей секции проводились высокоскоростной камерой через оптические окна высокого качества. Система шлирен–фотографии Z-типа состояла из источника света, двух коллимирующих зеркал, острой (ножевой) кромки и высокоскоростной камеры. В настоящей визуализации шлирен–система имела источник, испускающий свет, который затем был коллимирован за счет комбинации плоского и первого вогнутого зеркала, используемого, чтобы получить параллельные световые лучи, которые проходят через окно из оптического стекла в рабочей секции. Второе вогнутое зеркало, помещенное по другую сторону рабочей секции, собирает световые лучи, проходящие через рабочую секцию и затем отражающиеся от плоского зеркала, что дает изображение рабочей секции на острой кромке, вмонтированной в устройство X-Y позиционирования. Наконец, изображение тестовой модели фотографируется высокоскоростной камерой. Скорость съемки цифровой камеры несущественна в длительных экспериментах, однако для установок короткого действия, подобных ударной трубе, тип камеры жизненно важен. В настоящем исследовании высокоскоростная камера использовалась для съемки шлирен–фотографий при разрешении 384 × 240 для 14 035 кадров в секунду.
Исследование визуализации течения было выполнено для двух разных конфигураций затупленной модели (конфигурации 1 и 2). Чтобы четко зарегистрировать положение ударной волны около затупленной модели, модель располагалась точно в центре рабочей секции. На рис. 2 изображено наблюдаемое поле течения около тестовой модели (затупленного конуса) для обеих конфигураций. Фотографии демонстрируют образование стационарной ударной волны перед тестовой моделью при длительности течения около 3.1 мс. Ударная волна сферическая по форме и осесимметричная при обтекании конической модели при угле атаки 5°. Отход ударной волны (δ) может быть рассчитан на базе скачка плотности на ударной волне и радиуса затупления носика конической модели. В [23] эмпирическое корреляционное соотношение для расстояния отхода ударной волны задается в следующем виде:
(2.1)
$\frac{\delta }{{{{R}_{n}}}} = 0.78\left( {\frac{{{{\rho }_{{\inf }}}}}{{{{\rho }_{2}}}}} \right),$3. РЕЗУЛЬТАТЫ И ОБСУЖДЕНИЕ
Свойства набегающего потока на входе в рабочую секцию были определены из изоэнтропических расчетов течения газа, расширяющегося при прохождении через сверхзвуковое сопло Лаваля. Число Маха, составлявшее в экспериментах 6.56 and 7.32, определялось с помощью шести трубок Пито, установленных на гребенку Пито. Измеренная интенсивность теплопереноса около затупленной конической модели должна, в идеале, оставаться постоянной с течением времени. Эта идеальная ситуация требует, чтобы величины в набегающем потоке не изменялись с течением времени при работе ударной трубы. Вероятное изменение свойств набегающего потока как функции времени, особенно в случае воздуха в качестве рабочего газа, действительно проявляется в гиперзвуковой ударной трубе. Поэтому была принята процедура усреднения по времени, чтобы получить измеренную скорость теплопереноса при обтекании модели в виде затупленного конуса. Интенсивности теплопереноса в точке торможения для различных чисел Маха приведены в табл. 4. Измеренное значение в точке торможения было меньше, чем значения, полученные численным моделированием или из корреляционного соотношения Фэя–Ридделла. Измеренное значение в точке торможения отличалось на 10% от поправки Фэя–Ридделла для числа Маха 6.56 и была на 5% меньше поправки Фэя–Ридделла для числа Маха 7.32. Это расхождение возникает прежде всего из-за градиента скорости, использованного в корреляционном соотношении Фэя–Ридделла [27]. Для расчета скорости теплопереноса следующие предположения были сделаны: 1) теплоперенос одномерный; 2) тонкая металлическая пленка имеет пренебрежимо малое влияние на теплопроводность. Серебряная паста была наложена между концами датчика и выводящей электропроводкой, для электрической связи использовалась электропроводная проволока с внешним диаметром 0.6 мм. Серебро имеет намного более высокую теплопроводность, чем тонкая платиновая пленка. В результате оно могло отводить достаточно тепла от концов датчика теплового потока. Следовательно, низкая температура пленки вблизи концов чувствительного элемента не должна была возмущать одномерный анализ теплопередачи.
Таблица 4.
Интенсивность теплопереноса (Вт/см2) в точке торможения для различных чисел Маха
| Модели | Число Маха | Эксперимент | Формулы Фэя–Риддела | Численное моделирование |
|---|---|---|---|---|
| Конфигурация 1 | M∞ = 6.5 | 70 | 62.5 | 76 |
| Конфигурация 2 | M∞ = 7.35 | 51 | 54 | 59 |
3.1. Локальные скорости поверхностного нагрева
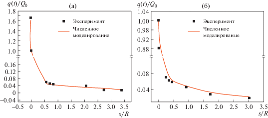
Локальные поверхностные скорости теплопередачи q(t) измерялись на разных положениях вдоль оси тестовых моделей и были выражены через длину смоченной поверхности (s/R), измеряемой от геометрической точки торможения при нулевом угле атаки. Измеренное распределение скорости теплопередачи по поверхности для каждого датчика потока тепла показано на рис. 3, где также даны результаты расчетов с целью их сравнения с данными измерений. Разница между измеренными значениями теплопереноса и полученными из численного моделирования, выраженная в процентах, лежит в пределах 15%. Для сенсоров теплового потока наблюдалась относительная случайная ошибка ±5%. С другой стороны, искривленная ударная волна влияла на аэродинамический нагрев вокруг носовой области модели затупленного конуса. Следовательно, имеется дозвуковая область вокруг точки торможения. Поскольку поток останавливается в точке торможения, кинетическая энергия преобразуется по внутреннюю энергию, индуцируя внезапное увеличение температуры. Для условий высокоскоростного полета этот рост температуры поперек криволинейной ударной волны пропорционален квадрату скорости, приводя к существенному аэродинамический нагреву в точке торможения. Максимальная скорость нагрева, т.е. максимальное увеличение температуры, соответствовала точке торможения. Так как при гиперзвуковой скорости теплоперенос изменяется обратно пропорционально квадратному корню из радиуса затупления [12], скорость теплопереноса в точке торможения больше для конфигурации 1, чем для конфигурации 2, в результате соответствующего роста градиента скорости и уменьшения отхода ударной волны.
Рис. 3.
Распределение конвективного теплопереноса по поверхности модели затупленного конуса при угле атаки 5°; а) угол полураствора конуса θc =11.38° при числе Маха 6.56; б) угол полураствора конуса θc =13.87° при числе Маха 7.32

По мере увеличения числа Маха набегающего потока, потери полного давления (P01 – P02) вдоль линии тока торможения растут при том же самом статическом давлении в набегающем потоке. В точке торможения ударная волна была перпендикулярна потоку, для нормальной ударной волны при числе Маха 6.56 потери полного давления (P01 – P02) составляли 2.26 МПа, тогда как для числа Маха 7.32 потери полного давления составляли 2.07 МПа, где P01 – полное давление в набегающем потоке и P02 – полное давление за нормальной ударной волной. Из-за более высокого статического давления в набегающем потоке Pinf = 840 Па при числе Маха 6.56 и низкого статического давления в набегающем потоке Pinf = 376 Па при числе Маха 7.32, потери полного давления больше при числе Маха 6.56 по сравнению с числом Маха 7.32. Потери полного давления являются показателем эффективности течения жидкости. Потери полного давления уменьшают коэффициент полезного действия любого устройства и способность течения совершать полезную работу. Конфигурация 2 дает больший коэффициент полезного действия, но общее сопротивление будет больше для той же конфигурации из-за большего диаметра. Следовательно, результирующая тяга двигателя больше при числе Маха 7.32 (т.е. в конфигурации 2), чем при числе Маха 6.56 (т.е. в конфигурации 1). Интенсивность ударной волны перед носовой частью слабее для конфигурации 1, в этом случае происходят меньший нагрев воздуха и больший нагрев тела, тогда как для конфигурации 2 более сильная ударная волна возникает перед носовой частью, тепло сильнее рассеивается в воздухе и происходит меньший нагрев тела. Увеличение интенсивности теплопередачи в точке торможения в конфигурации 2 по сравнению с конфигурацией 1 составляет 37%.
Датчики измеряли тепловой поток на верхней поверхности модели (ϕ = 0°). Затем модель поворачивали на 180° при том же самом угле атаки 5° с теми же условиями в набегающем потоке, чтобы получить данные для другой половины модели затупленного конуса.
Данные, полученные на наветренной (нижняя часть конуса) и подветренной (верхняя часть конуса) поверхностях показывают, что скорость нагрева существенно уменьшается по сравнению с его максимальным значением в области торможения из-за разрежения в течении Прандтля–Майера. Полученные результаты также указывают на тот факт, что толщина пограничного слоя растет непосредственно вниз по потоку от носовой области, что можно заключить из уменьшения интенсивности теплопереноса. При удалении от точки торможения измеренная интенсивность теплопереноса монотонно спадала и согласовалась с результатами численного моделирования в рамках общей модели в пределах ±15% (рис. 3). При расстоянии s/R = 3.1 от точки торможения скорость нагрева убывала до минимума и составляла 5% от скорости нагрева в точке торможения.
Представленное распределение нагрева вдоль модели является средним по трем отдельным тестам. Для этих трех тестов максимальный разброс в теплопереносе (q(t)) составлял ±7%. Если посмотреть вначале данные при α = 0°, то распределение тепла на наветренной и подветренной сторонах поверхности представляется почти симметричным для двух отдельных тестов. Разница в значениях потока тепла на наветренной и подветренной сторонах для этих тестов составляет ±10%. Эта разница в величине нагрева возникала из-за нерегулярности глубины канавки в алюминиевой диафрагме и также, вероятно, из-за накопления влаги в секции высокого давления. Вдобавок, небольшие фрагменты Mylar диафрагмы могли влиять на качество потока, а также течение около конической модели могло быть очень чувствительным к небольшой степени турбулентности набегающего потока и шероховатости поверхности. Из-за этих обстоятельств течение с теми же самыми качественными и количественными характеристиками не могло быть воспроизведено несмотря на то, что ударная труба действовала при одних и тех же тестовых условиях.
3.2. Влияние угла атаки
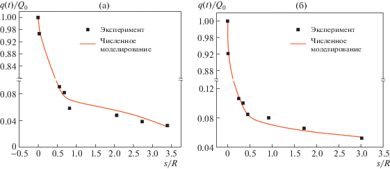
При ненулевом угле атаки особенности течения полностью отличаются по сравнению с симметричной интенсивностью теплопереноса. Линии тока становятся криволинейными и уже не являются плоскими в трехмерном пространстве между ударной волной и поверхностью конуса. При ненулевом угле атаки криволинейные линии тока закручиваются вокруг тела с нижней поверхности конуса (называемой наветренной) к верхней поверхности конуса (называемой подветренной). Теплоперенос является функцией формы тела и условий в набегающем потоке. Экспериментальные результаты измерения нормализованной скорости теплопереноса (q(t)/Q0) на поверхности модели затупленного конуса, обтекаемой при числах Маха 7.32 и 6.56, изображены на рис. 4 и 5, где результаты экспериментов сравниваются с численным моделированием. Когда испытуемая модель находится под углом атаки, положение линии тока и точки торможения заранее неизвестны. Более того, линия тока торможения не проходит через нормальную часть криволинейной ударной волны. В носовой части скорость теплопереноса уменьшается с увеличением угла атаки, что указывает на смещение точки торможения в наветренную сторону. Ясно, что линия тока торможения притягивается максимумом кривизны. Максимальный нагрев перед телом при α = 5° на 14.5% меньше, чем значение в точке торможения, когда модель имеет нулевой угол атаки. Очевидно, что в носовой области измеренное распределение скорости нагрева при α = 0° очень чувствительно к углу атаки, что подтверждает результаты, полученные численным моделированием. Можно видеть существенную разницу между измеренными значениями и результатами численного моделирования и эта разница может происходить из нестационарных осцилляций в поле течения во время проведения эксперимента и предположения об условиях в пограничном слое, рассчитанном на базе SST k-omega модели.
Рис. 4.
Распределение интенсивностей конвективного теплопереноса на наветренной стороне поверхности модели затупленного конуса при угле атаки 5°; а) угол полураствора конуса θc = 11.38° при числе Маха 6.56; б) угол полураствора конуса θc = 13.87° при числе Маха 7.32

Рис. 5.
Распределение интенсивностей конвективного теплопереноса на подветренной стороне поверхности модели затупленного конуса при угле атаки 5°; а) угол полураствора конуса θc = 11.38° при числе Маха 6.56; б) угол полураствора конуса θc = 13.87° при числе Маха 7.32

Гиперзвуковой пограничный слой толще на несколько порядков, чем низкоскоростной пограничный слой, при том же самом числе Рейнольдса 1.16 × 106 [29]. Действительно, в гиперзвуковом течении толстый пограничный слой имеет большое воздействие на смещение невязкого течения вне пограничного слоя. Это состоит в увеличении скорости роста пограничного слоя, быстром расширении вдоль поверхности модели, и существенном уменьшении скорости теплопередачи (т.е. падение температуры) вниз по потоку от точки торможения. Когда модель конуса установлена под углом атаки, который меньше угла отклонения потока θc, на наветренной стороне поверхности (ϕ = 180°) линия тока пересекает более сильную ударную волну и поток приобретает бóльшую энтропию, следовательно, скорость теплопереноса больше на наветренной поверхности. На подветренной стороне поверхности (ϕ = 0°) линия тока пересекает более слабую ударную волну и поток приобретает меньшую энтропию, следовательно, скорость теплопереноса меньше по сравнению с наветренной частью поверхности. Кроме того, все линии тока вдоль поверхности с наветренной стороны искривлены вверх по потоку и сближаются в подветренном направлении (ϕ = 0°). Подветренная сторона имела многозначную энтропию, которая изменялась от самого малого до наибольшего значения внутри поля течения.
В силу большей толщины ударного слоя на подветренной стороне по сравнению с наветренной стороной, скорость нагрева поверхности выше на наветренной стороне, чем на подветренной. Аэродинамический нагрев на наветренной стороне более чувствителен при ненулевом угле атаки по сравнению с моделью с нулевым углом атаки. При ненулевом угле атаки для конфигурации 2 интенсивность теплопередачи на наветренной стороне больше, чем на подветренной, в пределах от 1.05 до 4.5 раз. Аналогично, для конфигурации 1 эти значения лежат в пределах от 1.11 до 5.65 раз. Расположение зоны максимальной интенсивности аэродинамического нагрева на поверхности смещается на наветренную сторону модели с ростом угла атаки, тогда как меньшие значения интенсивностей нагрева наблюдаются в носовой части модели. Это требует присутствия системы тепловой защиты не только в носовой области, но также делает необходимым защитить другие части поверхности модели при ненулевом угле атаки.
Возросшие скорости теплопереноса на наветренных и подветренных сторонах модели следуют из выросших градиентов давления, вызванных течением, быстро движущимся от дозвуковых к сверхзвуковым условиям. Увеличение нагрева поверхности криволинейной ударной волной на затупленном конусе приводит к образованию энтропийного слоя, взаимодействующего с пограничным слоем. Для осесимметричных моделей течение поперек криволинейной ударной волны индуцирует сильный градиент энтропии, который приводит к большей завихренности в направлении, перпендикулярном скорости на поверхности модели. Изменения нормального градиента скорости в направлении поверхности тела изменяют форму пограничного слоя и, следовательно, скорости нагрева, направленного на поверхность модели. Для трехмерных моделей градиент энтропии производит завихренность, которая имеет громадную компоненту, параллельную направлению потока вне пограничного слоя по сравнению с нормальной компонентой, что может воздействовать на скорость нагрева и устойчивость пограничного слоя. Вязкое взаимодействие между внешним невязким течением и толстым пограничным слоем в гиперзвуковом потоке имеет существенное влияние на теплоперенос.
3.3. Эффект бокового скольжения
Влияние бокового скольжения на аэродинамический нагрев на конической модели исследовано при угле атаки 5° для конфигураций 1 и 2. Как показано на рис. 6 и 7, распределение потока тепла вдоль поверхности модели более чувствительно к углу бокового скольжения по сравнению со скоростью нагрева на наветренной и подветренной сторонах. Линии тока с наветренной поверхности конуса искривляются вверх по потоку и сходятся на подветренной поверхности. Течение тормозится при переходе с наветренной на подветренную поверхность. Градиенты давления и скорости и свойства набегающего потока зависят от скорости нагрева. Больший градиент давления получается, когда модель состоит в боковом скольжении по сравнению с подветренной поверхностью при ϕ = 180°. Из-за более высокого градиента давления нагрев на боковом скольжении вдоль поверхности модели больше, чем нагрев на подветренной стороне и меньше, чем нагрев на наветренной стороне для обеих конфигураций. При угле атаки 5°, по мере того, как угол поворота возрастает от ϕ = 0° на подветренной стороне тела до ϕ = 180° на наветренной стороне тела, ударная волна приближается к поверхности тела и, следовательно, скорость нагрева больше на наветренной стороне по сравнению с боковым скольжением и меньше для подветренной поверхности. Кроме вышеупомянутых явлений, существенная разница наблюдалась в отношениях скоростей нагрева для чисел Маха потока 6.56 и 7.32 при любом осевом положении затупленной модели, как показано на рис. 6 и 7.
Рис. 6.
Распределение интенсивностей конвективного теплопереноса (ϕ = 0°) по поверхности модели затупленного конуса при угле атаки 5°; а) угол полураствора конуса θc = 11.38° при числе Маха 6.56; б) угол полураствора конуса θc = 13.87° при числе Маха 7.32

Рис. 7.
Распределение измеренных интенсивностей конвективного теплопереноса по поверхности модели затупленного конуса; а) угол полураствора конуса θc = 11.38° при числе Маха 6.56; б) угол полураствора конуса θc = 13.87° при числе Маха 7.32

3.4. Изменчивость потока тепла
В полной изменчивости теплового потока можно выделить следующие позиции:
a) Изменчивость в свойствах материала подложки (MACOR), β = $\sqrt {\rho ck} $ равна 4% ([31], ссылка 52).
b) Изменчивость температурной зависимости коэффициента сопротивления, α равно 2%.
c) Погрешность измерения начального напряжения на датчике: ±1.0%.
d) Погрешность измерения коэффициента усиления сигнала восстановителя: ±1.0%
Полная погрешность измерения теплового потока (Uq) равна 4.6%.
ВЫВОДЫ
Эксперименты выполнены при числах Маха потока 6.56 и 7.32 для конфигураций 1 и 2, соответственно, при двух разных углах атаки. Данные тестов показали, что радиус затупления и диаметр основания непосредственно влияют на теплопередачу на конус в точке торможения. Измеренные данные в точке торможения всегда меньше для обеих числах Маха потока 6.56 и 7.32 по сравнению с теоретически оцененными значениями, полученными из корреляционного соотношения Фэя–Ридделла. Увеличение скорости теплопереноса в точке торможения в конфигурации 1 по сравнению с конфигурацией 2 составляло 37%. Исследования конвективного теплопереноса в области перед телом показывают, что аэродинамический нагрев преобладает в условиях гиперзвукового течения. Коническая часть тела представляла собой довольно большую долю геометрической фигуры, которая нуждается в тепловой защите. На основе экспериментальных данных можно утверждать, что безразмерное распределение теплового потока вдоль поверхности модели зависит от формы тела и условий в набегающем потоке. Из-за более высокого статического давления в набегающем потоке при числе Маха 6.56 потери полного давления были больше для числа Маха 6.56 по сравнению с числом Маха 7.32. Любые потери полного давления уменьшают коэффициент полезного действия любой установки и способности потока совершать полезную работу. Конфигурация 2 давала больший коэффициент полезного действия, однако общее сопротивление будет больше для такой же конфигурации из-за большего диаметра. При угле атаки 5° скорость конвективного теплопереноса на наветренной стороне больше для числа Маха 6.56 по сравнению с числом Маха 7.32. Наблюдаемое увеличение скорости теплопереноса происходило из-за уменьшенной толщины ударного слоя и большего отношения плотностей на ударной волне, вызывающего более быстрый поглощающий эффект градиентов энтропии. Численные результаты хорошо согласуются с экспериментальными данными для распределений теплового потока вдоль поверхности модели, однако в области торможения можно видеть небольшие различия.
Список литературы
Julian A.H. Hypersonic flight and reentry problem // J. Aerospace Sci. 1958. Vol. 25. № 4. P. 217–227.
Fay J.A., Riddell F.R. Theory of stagnation point heat transfer in dissociated air // J. Aeronautical Sci. 1958. Vol. 25. № 2. P. 373–386.
MacLean M., Mundy E., Wadhams T., Holden M., Parker R. Analysis and ground test of aerothermal effects on spherical capsule geometries // AIAA Paper 4273-2008.
Berger K.T. Aerothermodynamics testing of the crew exploration vehicle at Mach 6 and Mach 10 // J. Spacecraft Rockets. 2009. Vol. 46. № 4. P. 758–765. https://doi.org/10.2514/1.39247
Hideyuki T., Tomoyuki K., Kazuo S., Masahiro T., Katsuhiro I., Lillard R.P., Olenjniczak J. Aeroheating measurements on of Apollo-shaped capsule with boundary layer trip in the free-piston shock tunnel HIEST // AIAA Paper 1181– 2010.
Wright, M., Loomis M., Papadopoulos. Aero thermal analysis of the project fire II after body flow // J. Thermophys. Heat Transfer. 2003. Vol. 17. № 2. P. 240–249.
Trumble K.A., Cozmuta I., Sepka S., Jenniskens P., Winter M. Post flight aero thermal analysis of stardust sample return capsule // J. Spacecrafts. 2010. Vol. 47. № 5. P. 765–774. https://doi.org/10.2514/1.41514
Smith A.J., Parnaby G.D., Matthews A.J., Jones T.V. Aerothermodynamic environment of the BEAGLE2 entry capsule // Proceedings of 4th European Symposium, Aerothermodynamics for Space Application, ESA SP-487, 2001.
Wadhams T.P., Cassady A.M., MacLean M., Holden M.S. Experimental studies of the aerothermal characteristics of the project Orion CEV heat shield in high speed transitional and turbulent flows // AIAA Paper 677-2009.
Aerothermodynamics of Hypersonic Vehicles // AGARD R-761, 1988.
Dorrance W.H. Viscous Hypersonic Flow // New York: MacGraw-Hill, 1962.
Anderson J.D., Jr. Hypersonic and High Temperature Gas Dynamics // New York: MacGraw-Hill, 1989.
Xiao H., He Q.J. Aero-heating in hypersonic continuum and rarefied gas flows // Aerospace Science and Technology. 2018. Vol. 82–83. P. 566–574.
Massimia, Heriberto Saldivar, Shena Hua, Wena Chih-Yung, Chenb Yen-Sen, Liang Shen-Min // Aerospace Science and Technology. 2015. Vol. 43. P. 360–371.
Gerdroodbary M., Barzegar, Imania M., Ganji D.D. Heat reduction using conterflowing jet for a nose cone with aerodisk in hypersonic flow // Aerospace Science and Technology. 2014. Vol. 39. P. 652–665.
Huang Wei, Zhao Zhen-tao, Yan Li, Zhou Yun, Zhang Rui-rui. Parametric study on the drag and heat flux reduction mechanism of forward-facing cavity on a blunt body in supersonic flows // Aerospace Science and Technology. 2017. Vol. 71. P. 619–626.
Bezuidenhout Jurie. Convective heat flux determination using surface temperature history measurements and an inverse calculation method, MS THESIS, 2000, Virginia Polytechnic Institute and State University, Blacksburg, Virginia, 2000.
Cook W.J., Felderman E.J. Reduction of data from thin film heat transfer gauge: a concise numerical technique // AIAA Journal. 1966. vol. 4. № 3. P. 561–562.
Mohammed H., Salleh H., Yusoff Mohd Zamri. Design and fabrication of coaxial surface junction thermocouples for transient heat transfer measurements // International Communication in Heat and Mass Transfer. 2008. vol. 35. № 7. P. 853–859.
Mee D.J. and Ireland P.T. Heat transfer measurements in a cold supersonic blowdown tunnel using thermochromic liquid crystals // Houwing, A.F.P. et al. (Eds.), Proceedings of the 21st International Symposium on Shock Waves. Canberra: Panther Publishing, P. 471–476.
Kiran Joy Irimpan, Nithin Mannil, Hemendra Arya, Viren Menezes. Performance evaluation of coaxial thermocouple against platinum thin film gauge for heat flux measurement in shock tunnel // Measurement. 2015. vol. 61. P. 291–298.
Manabu Matsunaga, Yusuke Takahashi, Nobuyuki Oshima, Kazuhiko Yamada. Aerodynamic heating prediction of an inflatable reentry vehicle in a hypersonic wind tunnel // AIAA Sci. Tech Forum, 9–13 January, Grapevine, Texas. 55th AIAA Aerospace Sciences Meeting. 2017.
Mosharov V., Orlov A., Radchenko V. Temperature sensitive paint (TSP) for heat transfer measurement in short duration wind tunnels // 20th International Congress on Instrumentation in Aerospace Simulation Facilities (ICIASF 03), 25–29 August 2003. P. 351–356.
Hornung H.G. 28th Lanchester Memorial Lecture – Experimental real–gas hypersonics // Aero. J. 1988, P. 379–389.
Chandra T.K., Shanmugam V., Janardhana Rao P., Ravi J. Prasad, Treena, Sen Gupta, Prakash S., Narayana A.S. Commissioning of 1 meter diameter shock tunnel at DRDL // Challenges in High Speed Transatmospheric Air & Space Transportation. Hyderabad, 2007.
Kevin M. Kinnear, Frank K.Lu. Design, calibration and testing of transient thin film heat transfer gauge // 20th AIAA Advanced Measurement and Ground Testing Technology Conference, Fluid Dynamics and Co-located Conferences, June 1998. https://doi.org/10.2514/6.1998-2504.
Fay F.R., Riddell J.A. Theory of stagnation point heat transfer in dissociated air // J. Aeronautical Sciences. 1958. vol. 25. № 2. pp. 73–85.
Cook W.J., Felderman E.J. Reduction of data from thin film heat transfer gauge a concise numerical technique // AIAA Journal. 1966. Vol. 49. № 3. pp. 561–562. https://doi.org/10.2514/3.3486
Anderson J.D. Hypersonic and High Temperature Gas Dynamics // New York: Mc-Graw Hill, 1989.
Stewart D.A., Chen Y.K. Hypersonic convective heat transfer over 140-deg blunt cones in different gases // Journal of Spacecraft and Rockets. 1994. Vol. 31. № 5. P. 735–743. https://doi.org/10.2514/3.26506
Hollis B.R. User’s Manual for the One-dimensional Hypersonic Experimental Aero-thermodynamic (1DHEAT) Data Reduction Code // NASA Contractor Report 4691. 1995.
Дополнительные материалы отсутствуют.
Инструменты
Известия РАН. Механика жидкости и газа




