Известия РАН. Механика жидкости и газа, 2019, № 5, стр. 6-14
НЕСТАЦИОНАРНАЯ ФИЛЬТРАЦИЯ В ПЛАСТЕ С ТРЕЩИНОЙ ГИДРОРАЗРЫВА
И. Л. Хабибуллин a, *, А. А. Хисамов a, **
a Башкирский государственный университет
Уфа, Россия
* E-mail: habibi.bsu@mail.ru
** E-mail: khisamovartur@list.ru
Поступила в редакцию 12.07.2018
После доработки 04.03.2019
Принята к публикации 05.03.2019
Аннотация
В настоящее время для интенсификации нефтегазодобычи из коллекторов с трудноизвлекаемыми запасами широко используются технологии гидроразрыва пластов. Моделирование процессов фильтрации в пластах с трещинами гидроразрыва достаточно полно развито в приближении стационарной фильтрации. Нестационарные процессы распределения давления рассмотрены применительно к теории гидродинамических методов исследований скважин, в которой рассматриваются асимптотически ограниченные интервалы изменения координат и времени (расстояния порядка радиуса скважины и времена, намного меньшие, чем характерное время процесса фильтрации). В то же время в коллекторах с трудно извлекаемыми запасами (малые проницаемости пласта и высоковязкие нефти) продолжительность нестационарных процессов распределения давления может быть одного порядка с характерным временем фильтрации в пласте. В данной работе представлены новые аналитические решения задачи о нестационарном распределении давления вокруг скважины, пересеченной вертикальной трещиной. Научная новизна работы заключается в том, что в модели учитывается сжимаемость жидкости в трещине и фильтрация жидкости не только в трещине, но и в пласте. Решения задач построены методом преобразований Лапласа. В частных случаях из полученных решений следуют известные в литературе выражения. Проведен анализ полученных аналитических решений, позволяющий определить основные характерные особенности рассматриваемых процессов фильтрации.
Создание в пласте вертикальных трещин, пересекающихся со скважинами, является одним из эффективных методов интенсификации добычи нефти и газа из малопроницаемых коллекторов. Гидродинамическая связь пласта и скважины, как правило, реализуется только через трещину гидроразрыва. В зависимости от соотношений проницаемостей пласта и трещины, соотношений длины трещины и характерного размера пласта меняются геометрия и интенсивность фильтрационного потока в системе пласт-трещина-скважина. Модели таких фильтрационных потоков достаточно полно развиты в приближении стационарной фильтрации [1]. Нестационарные аналитические модели рассматриваются в основном применительно к задачам гидродинамического исследования скважин и пластов, в которых определяются зависимости от времени дебита скважины или давления на забое скважины [1–3], распределения давления в трещине и в пласте не рассматриваются. В работе [4] рассмотрен упругий режим фильтрации в трещине, но фильтрация в пласте также не рассматривается.
В то же время в коллекторах с трудноизвлекаемыми запасами, за счет малой проницаемости пласта и большой вязкости нефти, продолжительность нестационарных процессов распределения давления может быть одного порядка с характерным временем процесса фильтрации [5]. Поэтому актуальным является исследование нестационарных моделей фильтрации в системе пласт-трещина с точки зрения развития общей теории этих процессов [1, 4, 6], а также для развития методов гидродинамических исследований пластов [7], методов оценки дебита скважин с трещиной гидроразрыва [8].
1. ПОСТАНОВКА ЗАДАЧИ
В пласте, насыщенном малосжимаемой однородной жидкостью, имеется скважина, которая пересекается симметричной вертикальной трещиной гидроразрыва по всей толщине пласта. Гидравлическая связь пласта и скважины реализуется только через боковую поверхность трещины, так как ширина (раскрытие) трещины намного меньше, чем ее длина. Предполагается, что вначале давление в пласте и трещине одинаково и при t = 0 скважина запускается в эксплуатацию. Тогда вокруг скважины в трещине и в пласте создается нестационарный фильтрационный поток. С учетом симметрии геометрии задачи относительно скважины и трещины рассматривается одна четвертая часть области фильтрации (рис. 1).
Поскольку ширина трещины намного меньше, чем длина, поток в трещине считается одномерным, направленным по оси x. Поток в пласте направлен по оси y, перпендикулярно к боковой поверхности трещины. Тогда приведенная на рис. 1 схема соответствует так называемому билинейному режиму течения, который представляет собой совокупность одновременно существующих в трещине и в пласте двух линейных взаимно-перпендикулярных потоков [1–3, 6, 9].
Распределения давления в пласте и трещине описываются уравнениями
(1.1)
$\frac{{\partial {{P}_{r}}}}{{\partial t}} = {{\kappa }_{r}}\frac{{{{\partial }^{2}}{{P}_{r}}}}{{\partial {{y}^{2}}}}\quad 0 \leqslant x \leqslant \infty ,~\quad 0 \leqslant y \leqslant \infty ~$(1.2)
$\frac{{\partial {{P}_{f}}}}{{\partial t}} = {{\kappa }_{f}}\frac{{{{\partial }^{2}}{{P}_{f}}}}{{\partial {{x}^{2}}}} + {{\left. {\frac{{{{\kappa }_{f}}}}{{{{w}_{f}}}}\frac{{{{k}_{r}}}}{{{{k}_{f}}}}\frac{{\partial {{P}_{r}}}}{{\partial y}}} \right|}_{{y = 0}}}\quad 0 \leqslant x \leqslant \infty ,\quad - {{w}_{f}} \leqslant y \leqslant 0$Здесь P – давление, x и y – координаты, t – время, индексы r и f относятся к пласту и трещине, $\varkappa $ – коэффициент пьезопроводности, k – проницаемость, wf – полуширина трещины.
Начальное распределение давления
На поверхности трещины (линия раздела пласт-трещина) выполняется условие равенства давлений:
Условия на непроницаемых границах имеют вид
(1.5)
$\frac{{\partial {{P}_{f}}(x = \infty ,y,t)}}{{\partial x}} = 0,\quad \frac{{\partial {{P}_{f}}(x,y = - {{w}_{f}},0)}}{{\partial y}} = 0.$На поверхности пересечения трещины со скважиной выполняется условие, констатирующее работу скважины в режиме заданного давления Pc или заданного дебита Q
(1.7)
$\frac{{{{k}_{f}}{{h}_{r}}{{w}_{f}}}}{\mu }\frac{{\partial {{P}_{f}}(x = 0,t)}}{{\partial x}} = Q~$.Здесь μ – вязкость жидкости, Q – часть дебита, поступающего в скважину из рассматриваемой области фильтрации, xf – полудлина трещины, hr – толщина пласта.
Соответственно имеют место первая ((1.1)–(1.6)) или вторая краевые задачи ((1.1)–(1.5), (1.7)). В безразмерных переменных
(1.8)
$\frac{{\partial {{{\bar {P}}}_{r}}}}{{\partial{ \bar {t}}}} = \frac{{{{\partial }^{2}}{{{\bar {P}}}_{r}}}}{{\partial {{{\bar {y}}}^{2}}}}$(1.9)
$\frac{{\partial {{{\bar {P}}}_{f}}}}{{\partial{ \bar {t}}}} = a\frac{{{{\partial }^{2}}{{{\bar {P}}}_{f}}}}{{\partial {{{\bar {x}}}^{2}}}} + b{{\left. {\frac{{\partial {{{\bar {P}}}_{r}}}}{{\partial{ \bar {y}}}}} \right|}_{{\bar {y} = 0}}}~$(1.10)
${{\bar {P}}_{r}}(\bar {x},\bar {y},\bar {t} = 0) = ~{{\bar {P}}_{f}}(\bar {x},\bar {t} = 0) = 0~$(1.13)
$\frac{{\partial {{{\bar {P}}}_{f}}(\bar {x} = 0,\bar {t})}}{{\partial{ \bar {x}}}} = \frac{b}{a}$Здесь $a = {{\varkappa }_{f}}{\text{/}}{{\varkappa }_{r}}$, $b = a({{k}_{r}}{\text{/}}{{k}_{f}})({{x}_{f}}{\text{/}}{{w}_{f}})$, величина a/b совпадает с безразмерной проводимостью трещины, впервые введенной в [2] и широко используемой в литературе. Величины $P_{1}^{*}$ и $P_{2}^{*}$ относятся соответственно к первой и второй краевым задачам. Приведенная выше модель является инвариантной относительно изменения знаков дебита скважины и депрессии на пласт. Поэтому она позволяет исследовать как процесс отбора жидкости из пласта через трещину и скважину, так и процесс закачки жидкости в пласт через скважину с трещиной гидроразрыва.
Решение первой краевой задачи подробно рассмотрено в [10], поэтому мы здесь приведем только окончательный вид решения. В этой работе получено два вида решения. Первое решение имеет вид
(1.15)
${{\bar {P}}_{f}}\left( {\bar {x},\bar {t}} \right) = 1 - \frac{1}{\pi }\mathop \smallint \limits_0^\infty {\text{exp}}\left( { - \rho \bar {t} - {{f}_{1}}\left( \rho \right)\bar {x}} \right){\text{sin}}\left[ {{{f}_{2}}\left( \rho \right)\bar {x}} \right]\frac{{d\rho }}{\rho }$(1.16)
${{\bar {P}}_{r}}\left( {\bar {x},\bar {y},\bar {t}} \right) = 1 - \frac{1}{\pi }\mathop \smallint \limits_0^\infty {\text{exp}}\left( { - \rho \bar {t} - {{f}_{1}}\left( \rho \right)\bar {x}} \right){\text{sin}}[{{f}_{2}}\left( \rho \right)\bar {x} + \rho \sqrt {\bar {y}} ]\frac{{d\rho }}{\rho }$Другой вид решения выражается формулами
(1.17)
${{\bar {P}}_{f}}\left( {\bar {x},\bar {t}} \right) = \frac{{\bar {x}}}{{\sqrt {\pi a\bar {t}} }}\mathop \smallint \limits_0^1 {\text{exp}}\left( { - \frac{{{{{\bar {x}}}^{2}}}}{{4a\bar {t}{{\rho }^{2}}}}} \right){\text{erfc}}\left( {\frac{{{{\rho }^{2}}b\sqrt {\bar {t}} }}{{2\sqrt {1 - {{\rho }^{2}}} }}} \right)\frac{{d\rho }}{{{{\rho }^{2}}}}$(1.18)
${{\bar {P}}_{r}}\left( {\bar {x},\bar {y},\bar {t}} \right) = \frac{{\bar {x}}}{{\sqrt {\pi a\bar {t}} }}\mathop \smallint \limits_0^1 {\text{exp}}\left( { - \frac{{{{{\bar {x}}}^{2}}}}{{4a\bar {t}{{\rho }^{2}}}}} \right){\text{erfc}}\left( {\frac{{\bar {y} + {{\rho }^{2}}b\bar {t}}}{{2\sqrt {\bar {t}(1 - {{\rho }^{2}})} }}} \right)\frac{{d\rho }}{{{{\rho }^{2}}}}$Здесь erfc(ξ) – дополнительная функция ошибок:
Выражения (1.17), (1.18) должны быть тождественны (1.15), (1.16), так как они представляют решения одной и той же задачи, построенные методом преобразования Лапласа, но переход от изображений к оригиналу реализован разными методами. При получении выражений (1.15) и (1.16) использована теорема Меллина, а (1.17) и (1.18) получены, используя общие правила преобразования Лапласа.
2. РЕШЕНИЕ ЗАДАЧИ
Решение второй краевой задачи построим методом преобразования Лапласа по переменной t (L – символ преобразования Лапласа)
(2.2)
$\frac{{{{d}^{2}}{{{\bar {\bar {P}}}}_{f}}}}{{d{{x}^{2}}}} - \frac{s}{a}{{\bar {\bar {P}}}_{f}} + \frac{b}{a}{{\left. {\frac{{d{{{\bar {\bar {P}}}}_{r}}}}{{dy}}} \right|}_{{y = 0}}} = 0$Таким образом, в пространстве изображений Лапласа получается система обыкновенных дифференциальных уравнений относительно ${{\bar {\bar {P}}}_{f}}$ и ${{\bar {\bar {P}}}_{r}}$.
Решение этой системы находится стандартными методами и представляется в следующем виде
(2.6)
${{\bar {\bar {P}}}_{f}}\left( {\bar {x},s} \right) = - \frac{b}{a}\frac{{{\text{exp}}\left( { - \bar {x} \cdot \delta } \right)}}{{s\delta }}$(2.7)
${{\bar {\bar {P}}}_{r}}\left( {\bar {x},\bar {y},s} \right) = - \frac{b}{a}\frac{{{\text{exp}}( - \bar {x} \cdot \delta - \bar {y}\sqrt s )}}{{s\delta }}$Окончательные решения задач получаются посредством перехода в выражениях (2.6), (2.7) к оригиналам.
Для удобства нахождения оригинала выражение (2.6) представим в виде
(2.8)
${{\bar {\bar {P}}}_{f}}\left( {\bar {x},s} \right) = - \frac{1}{{\sqrt a b\sqrt s }}L\left[ {V(\bar {x},\bar {t})} \right],~\quad L\left[ {V(\bar {x},\bar {t})} \right] = \frac{b}{{\sqrt s a}}\frac{{{\text{exp}}\left( { - \bar {x}\delta } \right)}}{\delta }$.Используя теорему о свертке и формулу обращения преобразования Лапласа [11] (L–1 – символ обратного преобразования Лапласа)
из (2.8) имеемТаким образом, необходимо найти $V(\bar {x},\bar {t})$.
Используя теорему подобия [12] ко второму выражению (2.8), находим
(2.9)
$L[V(\bar {x},{{b}^{2}}\bar {t})] = \frac{1}{{\sqrt s }}\frac{{{\text{exp}}\left[ { - \frac{{b\bar {x}}}{{\sqrt a }}{{{(s + \sqrt s )}}^{{1/2}}}} \right]}}{{\sqrt {s + \sqrt s } }}.$Для нахождения $V(\bar {x},\bar {t})$, в (2.9) используем следующее правило операционного исчисления [12]
Тогда
C учетом этого выражения, (2.9) можно представить в виде
Изменяя здесь порядок интегрирования и вычисляя внутренний интеграл
(2.10)
${{\bar {P}}_{f}}\left( {\bar {x},\bar {t}} \right) = - \frac{1}{{\sqrt a \sqrt \pi }}\mathop \smallint \limits_0^{{{b}^{2}}\bar {t}} {\text{exp}}\left( { - \frac{{{{b}^{2}}{{{\bar {x}}}^{2}}}}{{4au}}} \right){\text{erfc}}\left( {\frac{u}{{2\sqrt {{{b}^{2}}\bar {t} - u} }}} \right)\frac{{du}}{{\sqrt u }}.$В (2.10), для удобства численных расчетов, произведем замену переменной интегрирования u на ${{\rho }^{2}}{{b}^{2}}\bar {t}$. Тогда имеем
(2.11)
${{\bar {P}}_{f}}\left( {\bar {x},\bar {t}} \right) = - \frac{{2b\sqrt {\bar {t}} }}{{\sqrt a \sqrt \pi }}\mathop \smallint \limits_0^1 {\text{exp}}\left( { - \frac{{{{{\bar {x}}}^{2}}}}{{4a\bar {t}{{\rho }^{2}}}}} \right){\text{erfc}}\left( {\frac{{{{\rho }^{2}}b\sqrt {\bar {t}} }}{{2\sqrt {(1 - {{\rho }^{2}})} }}} \right)d\rho .$Выполняя аналогичные операции, из (2.7) получаем выражение для распределения давления в пласте
(2.12)
${{\bar {P}}_{r}}\left( {\bar {x},\bar {y},\bar {t},} \right) = - \frac{{2b\sqrt {\bar {t}} }}{{\sqrt a \sqrt \pi }}\mathop \smallint \limits_0^1 {\text{exp}}\left( { - \frac{{{{{\bar {x}}}^{2}}}}{{4a\bar {t}{{\rho }^{2}}}}} \right){\text{erfc}}\left( {\frac{{{{\rho }^{2}}b\bar {t} + \bar {y}}}{{2\sqrt {\bar {t}(1 - {{\rho }^{2}})} }}} \right)d\rho .$3. АНАЛИЗ РЕШЕНИЯ
Полагая в (2.12) $\bar {x} = 0$, находим давление на забое скважины
(3.1)
${{\bar {P}}_{f}}(\bar {x} = 0,\bar {t}) = - \frac{1}{{\sqrt {\pi a} }}\mathop \smallint \limits_0^{{{b}^{2}}\bar {t}} {\text{erfc}}\left( {\frac{u}{{2\sqrt {{{b}^{2}}\bar {t} - u} }}} \right)\frac{{du}}{{\sqrt u }}.$Асимптотическое представление этой формулы, соответствующее большим значениям времени, является одним из основных теоретических выражений, используемых при гидродинамическом исследовании скважин с трещиной гидроразрыва. А именно, это выражение определяет характерную для билинейного режима фильтрации зависимость давления на забое скважины от времени в степени 1/4, и представляет теоретическую формулу для оценки проводимости трещины [2].
В работе [2] отмечается, что ввиду сложности получение соответствующей асимптотики для больших времен из (3.1) является затруднительным. Поэтому эта асимптотика определяется в пространстве изображений Лапласа из выражения (2.6) при x = 0 и малых s (больших t) и последующим переходом от изображения к оригиналу.
Покажем, как можно получить асимптотику (3.1) для больших времен. Для этого случая (b2t → ∞) выражение (3.1) представим в виде
(3.2)
${{\bar {P}}_{f}}(\bar {x} = 0,\bar {t}) \approx - \frac{1}{{\sqrt {\pi a} }}\mathop \smallint \limits_0^\infty {\text{erfc}}\left( {\frac{u}{{2b\sqrt {\bar {t}} }}} \right)\frac{{du}}{{\sqrt u }}.$Используя подстановку $u{\text{/}}2b\sqrt {\bar {t}} = z$, получаем
(3.3)
${{\bar {P}}_{f}}(\bar {x} = 0,\bar {t}) = - \sqrt {\frac{2}{\pi }} \sqrt {\frac{b}{a}} {{(\bar {t})}^{{\frac{1}{4}}}}\mathop \smallint \limits_0^\infty {\text{erfc}}(z)\frac{{dz}}{{\sqrt z }} = \sqrt {\frac{2}{\pi }} \sqrt {\frac{b}{a}} {{(\bar {t})}^{{\frac{1}{4}}}}\frac{{2Г(0.75)}}{{\sqrt \pi }} = 1.103\sqrt {\frac{b}{a}} {{(\bar {t})}^{{\frac{1}{4}}}}.$Здесь Г – гамма-функция
Это выражение можно использовать для определения проводимости трещины так называемым методом типовых кривых, т.е. путем сопоставительного его анализа с кривой изменения давления, экспериментально определяемой на забое скважины.
Представление формулы (3.3) в размерном виде
(3.4)
${{P}_{f}}(x = 0,t) = {{P}_{0}} - 1.103\frac{{Q{{\mu }^{{3/4}}}{{t}^{{1/4}}}}}{{{{h}_{r}}\sqrt {{{w}_{f}}{{k}_{f}}} \beta _{*}^{{1/4}}k_{r}^{{1/4}}}}$(3.5)
$P\left( {x = 0,t} \right) = {{P}_{0}} - 1.128\frac{{Q\sqrt \mu \sqrt t }}{{b{{h}_{r}}\sqrt {{{k}_{r}}} \sqrt {{{\beta }_{*}}} }}$.Из сравнения (3.4) и (3.5) видно, что наличие трещины гидроразрыва существенным образом влияет на распределение давления, различие между выражениями является качественным, так как принципиально отличаются зависимости давления от времени, вязкости, проницаемости и упругоемкости пласта.
Количество жидкости, поступающее из пласта в трещину, определяется из выражения
Тогда, с учетом выражений (1.12), (1.13) и (1.18), можно найти долю в дебите скважины объема жидкости, поступающего в трещину из пласта
Из этого выражения следует, что в начальной стадии в дебите скважины преобладает доля притока из трещины, со временем увеличивается доля притока из пласта. Так, при $\bar {t} < 0.59{\text{/}}{{b}^{2}}$ больше половины дебита скважины определяется емкостью трещины, в размерном виде это условие имеет вид
Оценки по этому выражению показывают, что проявление емкости трещины в дебите скважины является заметным при малых временах и при малых значениях подвижности kr/μ жидкости в пласте.
В области определения $0 \leqslant z \leqslant 1$ функция erfc изменяется в пределах от 1 до 0, поэтому, согласно теореме о среднем значении [14], выражение (2.11) можно представить в виде
(3.6)
${{\bar {P}}_{f}}(\bar {x},\bar {t}) = \frac{{2b}}{{\sqrt \pi }}\frac{{\sqrt {\bar {t}} }}{{\sqrt a }}c\mathop \smallint \limits_0^1 {\text{exp}}\left( { - \frac{{{{{\bar {x}}}^{2}}}}{{4a\bar {t}{{z}^{2}}}}} \right)dz,\quad 0 \leqslant c \leqslant 1.$Очевидно, что значение этого выражения при c = 1 является мажорантой для построенного выше решения (2.11) во всем диапазоне изменения $\bar {x}$ и $\bar {t}$. Вычисляя интеграл в (3.6), полагая c = 1, получаем известную формулу, описывающую распределение давления при плоскопараллельной фильтрации жидкости в полубесконечном пласте, когда при x = 0 задано значение дебита [13]. В размерных переменных эта формула, которая следует так же из полученного выше решения (2.11) при kr = 0 (отсутствие перетока жидкости из пласта в трещину), имеет вид
Рассмотрим некоторые результаты численных расчетов по выражениям (2.11), (2.12) и (3.4). Рассматривается отбор жидкости из пласта при следующих значениях параметров: начальное давление пласта P0 = 200 × 105 Па, мощность продуктивного пласта hr = 10 м, дебит Q = 10 м3/сут, ширина трещины wf = 5 × 10–3 м, проницаемости пласта и трещины соответственно kr = 10–13 м2, kf = 10–10 м2, вязкость жидкости μ = 4 × 10–3 Па⋅с, коэффициент упругоемкости β = 10–9 Па–1.
На рис. 2 представлено распределение давления в пласте и в трещине для фиксированного момента времени t = 1 сутки. На этом рисунке кривая 1 описывает изменение давления вдоль трещины Pf(x, t) (формула (2.11)), кривая 2 – изменение давления в пласте Pr (x = 0, y, t) по формуле (2.12). Пересекающиеся линии на этом графике определяют соответствующие значения давления по осям x и y. В частности, линия ab описывает изменение давления в рассматриваемый момент времени на расстоянии x = 20 м от скважины (по трещине) для всех точек пласта 0 < y < < 100 м. Аналогично, линия cd определяет давление P (x, y = 60 м, t = 1 сут).
Рис. 2.
Распределение давления (P) в трещине и в пласте: t = 1 сут; 1 – вдоль трещины – P = Pf(x); 2 – в пласте – P = Pr (x = 0, y); ab – P (x = 20 м, y); cd – P (x, y = 60 м)

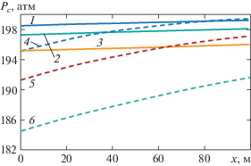
На рис. 3 представлены зависимости давления на забое скважины от времени. Здесь кривые 1 и 2 построены соответственно по точной формуле (3.1) и асимптотической формуле (3.4), кривая 3 – по формуле, полученной в работе [4] в приближении несжимаемости жидкости в трещине. Эта формула с точностью до обозначений совпадает с выражением (33), но имеется количественное различие в численных коэффициентах, в работе [4] этот коэффициент равен 0.83, в формуле (3.4) – 1.103. Расчеты по формулам (3.1) и (3.4) показывают совпадение результатов – во всем практически значимом диапазоне изменения времени разница не превышает 1%. Различие между кривыми 1 и 3 является заметным и увеличивается с ростом времени. При t = 1 сут это различие составляет 2%, при t = 10 сут – 4%. Таким образом, асимптотическое представление точного решения (формула (3.4)) является более приемлемым по сравнению с приближением, когда не учитывается сжимаемость трещины.
Рис. 3.
Распределение давления на забое скважины: 1 – формула (3.1), 2 – формула (3.4), 3 – формула в приближении несжимаемости жидкости в трещине

Отметим, что асимптотическое представление точного решения возможно не только при x = 0, а при любых значениях x. Полагая ${{b}^{2}}\bar {t} \gg u$ и заменяя переменные интегрирования, формулу (2.10) можно привести к асимптотическому виду, в котором явно выделяется зависимость от времени в степени 1/4.
Из рис. 4 (формула (2.11)) видно, что с увеличением проницаемости трещины падение давления вдоль трещины резко уменьшается. Эпюры давления постепенно выпрямляются. Как следует из рисунка, при kf = 10–8 м2 падение давления в трещине за 100 сут составляет менее 1 атм. Это означает, что при принятых параметрах трещина имеет большую проводимость, поэтому распределение давления вдоль трещины становится практически однородным.
ЗАКЛЮЧЕНИЕ
В работе представлены новые аналитические решения теории нестационарной фильтрации жидкости в пласте с вертикальной трещиной гидроразрыва. Решения получены на основе реализации модели с учетом фильтрации жидкости в пласте и сжимаемости трещины, которая является более общей, чем известные в литературе. Эти решения и их асимптотические представления имеют значимость для теоретического обоснования методов гидродинамических исследований пластов и для оценки дебита скважин с трещиной гидроразрыва. Показано, что при наличии трещины гидроразрыва качественно меняется характер течения в пласте, а именно зависимости давления от времени, вязкости жидкости, проницаемости и упругоемкости пласта. Использование решений в случае нагнетательных скважин позволяет описать динамику заводнения пластов с трещинами гидроразрыва, в частности определить скорость движения жидкости в трещине и в пласте при моделировании трассерных исследований.
Список литературы
Каневская Р.Д. Математическое моделирование разработки месторождений нефти и газа с применением гидравлического разрыва пласта. М.: ООО “Недра-Бизнесцентр”, 1999. 212 с.
Cinco-Ley H., Samaniego V.F. Transient Pressure Analysis for fractured wells // J. Petrol. Techonol. 1981. V. 33. № 9. P. 1749–1766.
Wong D.W., Harrington A.G., Cinco-Ley H. Application of the Pressure-Derivative Function in the Pressure-Transient Testing of Fracture Wells // Paper SPE 13056, SPE formation Evaluation. 1986. P. 470–480.
Нагаева З.М., Шагапов В.Ш. Об упругом режиме фильтрации в трещине, расположенной в нефтяном или газовом пласте // ПММ. 2017. Т. 81. Вып. 3. С. 319–329.
Асалхузина Г.Ф., Давлетбаев А.Я., Хабибуллин И.Л. Моделирование дифференциации пластового давления между нагнетательными и добывающими скважинами на месторождениях с низкопроницаемыми коллекторами // Вестн. Башкирского ун-та. 2016. Т. 21. № 3. С. 537–542.
Хабибуллин И.Л., Евграфов Н.А., Хисамов А.А. Моделирование нестационарного притока жидкости из пласта в скважину через трещину гидроразрыва // Сб. тр. Первой летней школы-конференции “Физико-химическая гидродинамика: модели и приложения”. Уфа: РИЦ БашГУ, 2016. С. 184–192.
Эрлагер Р. Гидродинамические методы исследования скважин. М.–Ижевск: Ин-т компьют. исслед., 2007. 521 с.
Хасанов М.М., Головнева О.Ю. Определение дебита вертикальных скважин с гидроразрывом пласта на неустановившемся режиме фильтрации // Нефтяное хозяйство. 2016. № 12. С. 64.
Хабибуллин И.Л., Хисамов А.А. Моделирование нестационарной фильтрации вокруг скважины с вертикальной трещиной гидроразрыва // Вестн. Башкирского ун-та. 2017. Т. 22. № 2. С. 309–314.
Хабибуллин И.Л., Хисамов А.А. К теории билинейного режима фильтрации в пластах с трещинами гидроразрыва // Вестн. Башкирского ун-та. 2018. Т. 23. № 4. С. 958–963.
Дёч Г. Руководство к практическому применению преобразования Лапласа и z-преобразования. М.: Наука, 1971. 288 с.
Диткин А.В., Прудников А.П. Операционное исчисление. М.: Высшая школа, 1975. 407 с.
Басниев К.С., Дмитриев Н.М., Каневская Р.Д., Максимов В.М. Подземная гидромеханика. М.–Ижевск: Ин-т компьют. исслед., 2006. 488 с.
Фихтенгольц Г.М. Курс дифференциального и интегрального исчисления. Т. 2. М.: Наука, 2003. 800 с.
Дополнительные материалы отсутствуют.
Инструменты
Известия РАН. Механика жидкости и газа




