Геомагнетизм и аэрономия, 2019, T. 59, № 1, стр. 30-38
Двумерная феноменологическая модель динамики кольцевого тока в магнитосфере Земли
С. В. Смолин *
Сибирский федеральный университет
г. Красноярск, Россия
* E-mail: smolinsv@inbox.ru
Поступила в редакцию 28.08.2017
После доработки 25.05.2018
Принята к публикации 15.12.2017
Аннотация
Исследована динамика протонов кольцевого тока с переменными граничными условиями во внутренней магнитосфере во время магнитной бури. Рассчитана временнáя и пространственная эволюция (дифференциальных потоков) протонов в дипольном магнитном поле. Расчеты выполнены с помощью предлагаемой автором двумерной феноменологической модели кольцевого тока PheMRC 2-D (two-dimensional Phenomenological Model of the Ring Current 2-D), рассматривающей радиальную и питч-угловую диффузии с учетом потерь из-за взаимодействий “волна–частица”. Моделирование начинается с распределения магнитоспокойного времени. Модель тестируется сравнением вычисленных потоков протонов с измерениями на спутнике Polar/MICS во время магнитной бури 21–22 октября 1999 г. Получено хорошее согласие расчетного питч-углового распределения и экспериментальных данных. Проведено сравнение с другой моделью кольцевого тока ECRCM (Extended Comprehensive Ring Current Model) [Ebihara et al., 2008]. Модель PheMRC 2-D точнее модели ECRCM описывает экспериментальные данные. Предложенная модель может быть использована для моделирования динамики заряженных частиц в магнитосферах Юпитера и Сатурна.
1. ВВЕДЕНИЕ
Во время магнитной бури плазма инжектируется на ночной стороне около геостационарной орбиты. Взаимодействуя с электрическим полем конвекции, эти частицы дрейфуют внутрь магнитосферы, захватываются геомагнитным полем и формируют кольцевой ток во время бури. Земной кольцевой ток – это электрический ток, текущий к западу вокруг Земли, который обычно обнаруживается на расстояниях между ~2 и 9RE (RE – средний радиус Земли). Его область, рост и спад связаны с геомагнитными бурями [Daglis et al., 1999]. Захваченные энергичные (~десятков кэВ) положительные ионы (${{{\text{H}}}^{ + }},$ ${\text{H}}{{{\text{e}}}^{ + }}$ и ${{{\text{O}}}^{ + }}$) подвергаются азимутальному дрейфу и составляют кольцевой ток бури. Три главных процесса считаются ответственными за спад кольцевого тока: кулоновские столкновения и обмен зарядами вместе с питч-угловой диффузией, управляемой электромагнитными ионно-циклотронными волнами [Kennel and Petschek, 1966; Cornwall et al., 1970; Sakaguchi et al., 2008; Xiao et al., 2011, 2012]. Время потерь, связанное с обменом зарядами и кулоновскими столкновениями, изменяется от ~1 до ~100 суток для энергий ионов выше десятков кэВ [Fok et al., 1991]. Характерные времена, связанные с питч-угловым рассеянием электромагнитными ионно-циклотронными волнами, являются более короткими ~1 ч [Lyons and Thorne, 1972; Lyons and Williams, 1984].
В квазилинейной кинетической теории гирорезонансные взаимодействия между электромагнитными волнами и энергичными частицами ведут к нарушению первого адиабатического инварианта и к диффузии по питч-углу и энергии. В общем, питч-угловая диффузия продвигает, например, протоны к конусу потерь и высыпанию [Gendrin, 1981], тогда как диффузия по энергии приводит к ускорению частиц и ужесточению энергетического спектра [Thorne and Horne, 1996]. Количественное описание таких процессов требует, например, решения двумерного баунс-усредненного уравнения диффузии Фоккера-Планка, описывающего локальное ускорение и процессы потерь в пространстве скоростей. Такое уравнение для описания эволюции плотности фазового пространства [Kozyra et al., 1994; Albert, 2004; Xiao et al., 2012] использовалось, чтобы исследовать поток протонов. Динамику ионов кольцевого тока, включающую питч-угловое рассеяние электромагнитными ионно-циклотронными волнами, рассматривалось также в работах [Jordanova et al., 2001; Khazanov et al., 2002, 2003; Khazanov, 2011]. Однако, одновременное рассмотрение радиальной диффузии протонов и соответствующего питч-углового рассеяния протонов кольцевого тока электромагнитными ионно-циклотронными волнами не проводилось, кроме, вероятно, [Smolin, 2012].
Целью работы является исследование динамики протонов кольцевого тока в течение главной фазы магнитной бури. Для исследования использовалась двумерная феноменологическая модель кольцевого тока PheMRC 2-D (Phenomenological Model of the Ring Current 2-D).
2. МАТЕМАТИЧЕСКАЯ МОДЕЛЬ
Предлагаемая двумерная феноменологическая модель кольцевого тока PheMRC 2-D на основе двумерного уравнения Фоккера–Планка общего вида для плотности фазового пространства, описывающая радиальную и питч-угловую диффузии, потери при обмене зарядами и вследствие взаимодействий “волна–частица”, может быть выражена при помощи следующего уравнения [Смолин, 1996, 2012; Smolin, 2010, 2012, 2014, 2015]
(1)
$\begin{gathered} \frac{{\partial f}}{{\partial t}} = {{L}^{2}}\frac{\partial }{{\partial L}}\left( {{{L}^{{ - 2}}}{{D}_{{LL}}}\frac{{\partial f}}{{\partial L}}} \right) + \frac{1}{{\sin \alpha }} \times \\ \times \,\,\frac{\partial }{{\partial \alpha }}\left( {{{D}_{{\alpha \alpha }}}\sin \alpha \frac{{\partial f}}{{\partial \alpha }} + \sin \alpha \frac{{d\alpha }}{{dt}}f} \right) - \\ - \,\,\lambda {\kern 1pt} f - \frac{f}{{{{T}_{{wp}}}}} + f{\kern 1pt} {{S}_{ \bot }}{{\sin }^{2}}\alpha . \\ \end{gathered} $Здесь, f – плотность фазового пространства (или функция распределения); t – время; L – параметр Мак-Илвейна; α – локальный питч-угол; ${{D}_{{LL}}}$ – коэффициент радиальной диффузии; ${{D}_{{\alpha \alpha }}}$ – коэффициент питч-угловой диффузии; ${{d\alpha } \mathord{\left/ {\vphantom {{d\alpha } {dt}}} \right. \kern-0em} {dt}}$ – питч-угловая скорость; λ – скорость потерь при нейтрализации протонов обменом зарядами; ${{T}_{{wp}}}$ – время жизни вследствие взаимодействий волна–частица; ${{S}_{ \bot }}$ – перпендикулярный коэффициент функции источника частиц (α = 90°).
Предлагаемое уравнение (1) описывает радиальную диффузию в “обычном” пространстве с учетом потерь при обмене зарядами и питч-угловую диффузию в пространстве скоростей с потерями вследствие взаимодействия “волна–частица”. Поэтому необходим соответствующий коэффициент диффузии в пространстве скоростей, а именно коэффициент питч-угловой диффузии. Функция потерь обусловлена попаданием заряженных частиц в так называемый “конус потерь” в результате взаимодействий “волна–частица”. Функция источника частиц может быть связана, например, с заряженными частицами, которые движутся из хвоста магнитосферы к Земле под влиянием магнитосферной конвекции.
Радиальный перенос управляется флуктуациями геомагнитного и электрического полей. Поэтому коэффициент радиальной диффузии был взят согласно [Башкиров и Ковтюх, 1995] следующим:
(2)
$\begin{gathered} {{D}_{{LL}}} = 5 \times {{10}^{{ - 9}}}{{L}^{{10}}}\left( {0.11 + 0.89{{{\sin }}^{4}}\alpha } \right) + \\ + \,\,5 \times {{10}^{{ - 6}}}\frac{{{{L}^{{10}}}}}{{{{L}^{4}} + {{M}^{2}}}}, \\ \end{gathered} $Первое слагаемое относится к флуктуациям магнитного поля [Schulz and Lanzerotti, 1974], а второе – к флуктуациям электрического поля [Cornwall, 1972]. Такой коэффициент радиальной диффузии рекомендуется в работе [Башкиров и Ковтюх, 1995], потому что в пределах достигнутой точности измерений питч-угловых распределений протонов и с учетом допустимого разброса параметров эмпирических моделей водородной геокороны и плазмосферы достигается наилучшее согласие теории с экспериментом (не хуже 20%) для используемых в (2) коэффициентов магнитной ($5 \times {{10}^{{ - 9}}}$ 1/сут) и электрической ($5 \times {{10}^{{ - 6}}}$ 1/сут) диффузий.
Коэффициент питч-угловой диффузии предлагается определять следующими формулами [Смолин, 2012; Smolin, 2012, 2014, 2015]
(3)
${{D}_{{\alpha \alpha }}} = {{D}_{ \bot }}{{\sin }^{2}}\alpha = \frac{1}{{{{\gamma }_{{ \bot 0}}}\left( {{{\gamma }_{{ \bot 0}}} + 2} \right){{T}_{{wp}}}}}{{\sin }^{2}}\alpha ,$(4)
${{S}_{ \bot }} = \frac{{\left( {{{\gamma }_{{ \bot 0}}} + 3} \right)}}{{\left( {{{\gamma }_{{ \bot 0}}} + 2} \right){{T}_{{wp}}}}}.$В формулах (3) и (4) ${{\gamma }_{{ \bot 0}}}$ – это хорошо известный (когда $f$ ~ ${{\sin }^{\gamma }}\alpha $) показатель питч-углового распределения заряженных частиц (или индекс анизотропии питч-углового распределения), но взятый для питч-угла 90° в начальный момент времени. Если же в начальный момент хотя бы приближенно для всего диапазона питч-углов γ = = const, то берем ${{\gamma }_{{ \bot 0}}} = \gamma .$ Из формул (3) и (4) также видно, что начальный перпендикулярный показатель питч-углового распределения частиц должен быть больше нуля (${{\gamma }_{{ \bot 0}}}$ > 0), чтобы не было деления на нуль и чтобы коэффициент питч-угловой диффузии был больше нуля. Другим необходимым условием для модели является следующее – дифференциальный поток частиц вдоль магнитных силовых линий должен быть много меньше дифференциального потока частиц перпендикулярного к магнитным силовым линиям (${{j}_{{||}}}$ $ \ll $ ${{j}_{ \bot }}$), т.е. в этой модели пренебрегаем продольными токами. Такое условие возможно, так как часто подтверждается экспериментально. С другой стороны в этом случае можно использовать нулевые граничные условия для α = 0° и α = 180°.
Время жизни вследствие взаимодействий “волна–частица” (кратко будем называть эту величину – время взаимодействия “волна–частица”) в зависимости от индекса геомагнитной активности $Kp \leqslant 6$ будем определять согласно работе [Miyoshi et al., 2006]
где ${{T}_{{wp0}}}$ – время взаимодействия волна–частица при $Kp$ = 0, а величина ${{T}_{{wp}}}$ для $Kp = 6$ используется и для более высоких Kp.Так как ${{T}_{{wp0}}}$ не было определено в [Miyoshi et al., 2006], предлагается следующая формула для вычисления [Смолин, 2012; Smolin, 2012, 2014, 2015]
(6)
${{T}_{{wp0}}} = {{k}_{T}}{{T}_{{\min }}} = {{k}_{T}}\frac{{2{{T}_{B}}}}{{\alpha _{c}^{2}}} = {{k}_{T}}\frac{{2{{R}_{{\text{E}}}}{{L}^{4}}\sqrt {4L - 3} \sqrt m }}{{\sqrt {2EL} }},$Несмотря на то, что время жизни вследствие взаимодействий “волна–частица” точно неизвестно, формулы (5), (6) позволяют оценивать это время в зависимости от параметра ${{k}_{T}}$ и от энергии заряженной частицы, ее массы, параметра Мак-Илвейна, $Kp$-индекса. Позволяя таким образом моделировать влияние времени жизни вследствие взаимодействий “волна – частица” на процесс питч-угловой диффузии в магнитосфере Земли.
Для определения скорости изменения питч-угла со временем предлагается следующая формула [Смолин, 2012; Smolin, 2012, 2014, 2015]:
При проведении численных расчетов будем полагать в формуле (7), что ${{dL} \mathord{\left/ {\vphantom {{dL} {dt \approx \left\langle {{{dL} \mathord{\left/ {\vphantom {{dL} {dt}}} \right. \kern-0em} {dt}}} \right\rangle }}} \right. \kern-0em} {dt \approx \left\langle {{{dL} \mathord{\left/ {\vphantom {{dL} {dt}}} \right. \kern-0em} {dt}}} \right\rangle }}.$ Тогда баунс-усредненная радиальная дрейфовая скорость движения заряженных частиц в магнитосфере Земли будет определена, например, так [Смолин, 1993, 1996]:
(8)
$\left\langle {\frac{{dL}}{{dt}}} \right\rangle = - \Omega \frac{{{{\varphi }_{2}}}}{{{{\varphi }_{0}}}}{{L}^{4}}\cos \phi ,$Скорость потерь при перезарядке дается формулой
здесь ${{N}_{H}}$ – концентрация нейтрального водорода [Smith and Bewtra, 1978]; $\text{v}$ – скорость протона; $Q$ – эффективное сечение перезарядки, которое аппроксимируется выражением(11)
$Q = 3.27 \times {{10}^{{ - 15}}}{{\left( {\frac{E}{{{{E}_{0}}}}} \right)}^{{{1 \mathord{\left/ {\vphantom {1 2}} \right. \kern-0em} 2}}}}\exp \left( { - {{{\left( {\frac{E}{{{{E}_{0}}}}} \right)}}^{{{1 \mathord{\left/ {\vphantom {1 2}} \right. \kern-0em} 2}}}}} \right),$Сравнение (11) с экспериментальными величинами, как это представлено в работе [Smith and Bewtra, 1978], показывает превосходное согласие для энергий ниже 300 кэВ. Для больших энергий спад эффективного сечения уменьшается быстрее, чем предсказано (11).
Предлагаемое уравнение (1) совместно с (2)–(11) для описания радиальной и питч-угловой диффузии в магнитосфере отличается от других математических моделей питч-угловой диффузии, например, следующим: 1) конкретным аналитическим приближенным определением коэффициента питч-угловой диффузии ${{D}_{{\alpha \alpha }}}\left( \alpha \right)$ (3), 2) конкретным аналитическим определением функции источника заряженных частиц $S\left( \alpha \right)$ (4), (1), 3) определением скорости изменения питч-угла со временем (7), 4) вычислением времени жизни вследствие взаимодействий волна–частица ${{T}_{{wp}}}$ (5), (6). Поэтому уравнение (1) содержит некоторые математические модели “чистой” питч-угловой диффузии как частные случаи, например [Kennel and Petschek, 1966; Лайонс и Уильямс, 1987; Смолин, 1996, 2012; Smolin, 2015].
Более того, входящая в (1)–(11) математическая модель питч-угловой диффузии заряженных частиц в магнитосфере Земли учитывает три физических механизма [Sibeck et al., 1987]. Во-первых, взаимодействия “волна–частица” учитываются за счет влияния времени ${{T}_{{wp}}}$ (5), (6). Причем, воздействие как бы “интегральное или усредненное” из-за того, что в приближенных формулах (5), (6) предполагается учет взаимодействий частиц со всем спектром волн в магнитосфере Земли, а не с одним каким-то конкретным видом (как это обычно принято). Отсюда следует, что к коэффициенту питч-угловой диффузии ${{D}_{{\alpha \alpha }}}\left( \alpha \right)$ (3) и к функции источника частиц $S\left( \alpha \right)$ (1), (4) надо относиться как к приближенным “интегральным или усредненным”. Во-вторых, учитывается физический механизм инжекции и дрейфа частиц наличием в уравнении (1) скорости радиального дрейфа ${{dL} \mathord{\left/ {\vphantom {{dL} {dt}}} \right. \kern-0em} {dt}}$ (7), (8). И, в-третьих, принимая во внимание зависимость потенциала электрического поля от индекса геомагнитной активности $Kp$ (9), мы учитываем влияние расщепления дрейфовых оболочек электрического поля на распределение заряженных частиц по питч-углам.
Уравнение (1) совместно с (2)–(11) представляет собой нестационарное двумерное дифференциальное уравнение в частных производных второго порядка, решение которого следует искать в виде функции от L, α и t. Используем его для определения эволюции питч-углового распределения протонов кольцевого тока Земли в зависимости от параметра Мак-Илвейна L во время конкретной магнитной бури.
3. НАЧАЛЬНЫЕ И ГРАНИЧНЫЕ УСЛОВИЯ
Начальные и граничные условия будут представлены для следующих областей параметра Мак-Илвейна $L$ и питч-угла α: 2.26 ≤ L ≤ 6.6, 0° ≤ ≤ α ≤ 180°. В дальнейшем также будет использоваться взаимосвязь между дифференциальным потоком частиц j и плотностью фазового пространства f: $j = 2mEf.$
Моделирование начинается с условий магнитоспокойного времени [Sheldon and Hamilton, 1993; Sheldon, 1994]. Данные, представленные Шелдоном и Гамильтоном [Sheldon and Hamilton, 1993] за самые спокойные дни 1985–1987 гг. и определенные прибором AMPTE/CCE/CHEM на околоэкваториальной орбите на L = 2–9, используются как начальное распределение потоков протонов до начала бури. Полагаем, что эта группа данных предлагает средние дифференциальные потоки протонов в области энергий 1–300 кэВ приблизительно при питч-угле α = 90°, т.е. ${{j}_{{ \bot 0}}}(2.26 \leqslant L < 6.6,E)$ при t = 0.
Другим важным граничным условием в начальный момент времени является задание энергетического спектра протонов на внешней границе (L = 6.6). Он был аппроксимирован соотношением:
(12)
${{j}_{{ \bot 0}}}\left( {L = 6.6,E} \right) = k\sqrt {\frac{E}{{{{E}_{b}}}}} \exp \left( { - \sqrt {\frac{E}{{{{E}_{b}}}}} } \right),$Такое представление спектра согласно [Горяинов и др., 1987] хорошо описывает имеющиеся экспериментальные данные по протонам в широком диапазоне энергий от 1 кэВ до 10 МэВ, включая как спектр частиц ионосферы (в области малых энергий), так и спектр частиц солнечного происхождения (область энергий больше десятков кэВ).
Для двух оставшихся граничных условий (α = 0°, α = 180°) будем полагать, что на этих границах дифференциальный поток протонов всегда равен нулю.
Чтобы получить зависимости от питч-угла для начальной функции распределения (2.26 < L < 6.6, 0° < α < 180°) и функций распределения на границах в начальный момент времени, предположим, что (12) и данные [Sheldon and Hamilton, 1993; Fok et al., 1996] приблизительно соответствуют распределениям при питч-угле 90°, т.е. ${{j}_{{ \bot 0}}}.$ Тогда для указанных функций распределения предлагается использовать следующую общую зависимость
принимая $\gamma $ = const = ${{\gamma }_{{ \bot 0}}}.$В работах [Fok et al., 1995; 1996] питч-угловое распределение ионов кольцевого тока в магнитоспокойные периоды оценивается поперечными сечениями при обмене зарядами, полагая, что питч-угловое распределение формируется главным образом потерей при обмене зарядами. Поэтому начальная величина показателя питч-углового распределения протонов ${{\gamma }_{{ \bot 0}}}$ (в начальный момент времени при питч-угле α = 90°) на основании результатов предыдущих моделирований для поздней фазы восстановления магнитной бури [Fok et al., 1995; 1996] дается следующим образом:
(14)
${{\gamma }_{{ \bot 0}}} = {{k}_{\gamma }}73.75\frac{{{{{\left( {Q\sqrt E } \right)}}^{{0.613}}}}}{{{{L}^{{2.74}}}}},$Формулы (13) и (14) указывают на необходимость дальнейшего развития и уточнения, например, эмпирических (полуэмпирических) моделей для определения дифференциальных потоков заряженных частиц при питч-угле α = 90°${{j}_{ \bot }}$ и показателя (индекса анизотропии) питч-углового распределения заряженных частиц при питч-угле α = 90°${{\gamma }_{ \bot }}$ в разных геофизических условиях, особенно для магнитоспокойных условий.
На ночной стороне (MLT = 23:00, E = 90 кэВ) для L = 2.26 и L = 6.6 были использованы переменные граничные условия. Здесь два варианта: приближенные аналитические решения или в идеале условия, полученные численным решением нестационарного одномерного уравнения “чистой” питч-угловой диффузии [Смолин, 2012; Smolin, 2015].
Таким образом, нестационарное двумерное дифференциальное уравнение в частных производных (1) совместно с (2)–(14) решается численно, используя проекционный метод конечных элементов, с начальными и переменными граничными условиями.
4. РАСЧЕТЫ И ИХ РЕЗУЛЬТАТЫ
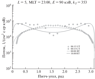
Далее исследуется динамика протонов кольцевого тока во время магнитной бури. Для примера взята магнитная буря 21–22 октября 1999 г., рассмотренная в работе [Ebihara et al., 2008], представлена на рис. 1 как зависимость трехчасового $Kp$-индекса от текущего времени моделирования (бегущего времени) RT (Run Time) магнитной бури. Часы отсчитывались от 06:13 UT 21 октября 1999 г., что соответствует 00:00 RT (магнитоспокойные условия). При проведении расчетов взят промежуток времени 20:30 RT = 02:43 UT 22 октября 1999 г. (главная фаза магнитной бури). Из рисунка 1 видно, что в начальный момент времени (00:00 RT) $Kp$ = 2, а затем возрос до Кр = 7. Все модельные расчеты будем выполнять для ночной стороны магнитосферы Земли (23:00 MLT) для протонов с энергией E = 90 кэВ. Чтобы определить коэффициент ${{k}_{\gamma }}$ в выражении (14), воспользуемся экспериментальными данными, представленными кружочками на рис. 2. Это питч-угловое распределение протонов, измеренное на КА Polar/MICS для E = 80–100 кэВ, $L$ = 5, MLT = 22.9–23.2 в 00:00 RT = 06:13 UT 21 октября 1999 г. (перед началом магнитной бури) [Ebihara et al., 2008]. Необходимо иметь хотя бы одно такое полное питч-угловое распределение для дальнейших расчетов, поэтому оно добавлено к данным [Sheldon and Hamilton, 1993].
Рис. 1.
Kp-индекс как функция модельного (бегущего) времени RT (Run Time) во время магнитной бури 21–22 октября 1999 г. (00:00 RT = 06:13 UT 21 октября 1999 г., 20:00 RT = 02:13 UT 22 октября 1999 г.).

Рис. 2.
Питч-угловые распределения протонов, измеренные на КА Polar/MICS для E = 80–100 кэВ, L = 5, MLT = 22.9–23.2. Линии (кружочки и квадратики) указывают экспериментальные дифференциальные потоки в 00:00 RT = 06:13 UT 21 октября 1999 г. (перед началом бури) и в 18:02 RT = 00:15 UT 22 октября 1999 г. (главная фаза бури), соответственно. Штриховая и сплошная линии указывают модельные дифференциальные потоки (L = 5, MLT = 23:00, E = 90 кэВ, ${{k}_{T}}$ = 353) в 00:00 RT и в 18:00 RT = 00:13 UT 22 октября 1999 г., соответственно.

Сначала по этим экспериментальным данным находим “экспериментальный” показатель питч-углового распределения протонов ${{\gamma }_{{ \bot 0}}}.$ Например, при проведении практических расчетов для определения ${{\gamma }_{ \bot }}$ хорошим приближением является следующая общая формула [Смолин, 1996]
(15)
${{\gamma }_{ \bot }} \cong \gamma \left( {87^\circ } \right) = \frac{{\lg j\left( {87^\circ } \right) - \lg {{j}_{ \bot }}}}{{\lg \sin 87^\circ }}.$А затем, используя (15) и сравнивая полученное ${{\gamma }_{{ \bot 0}}}$ = 0.75 с (14) (L = 5, E = 90 кэВ), определяем коэффициент ${{k}_{\gamma }}$ = 2.444. Полученный таким образом коэффициент ${{k}_{\gamma }}$ используется далее для всех функций распределения (13) в начальный момент времени. Но точно находить в любой момент времени перпендикулярный (α = 90°) показатель питч-углового распределения заряженных частиц следует по формуле [Смолин, 1996]
(16)
${{\gamma }_{ \bot }} = - \frac{1}{{{{j}_{ \bot }}}}{{\left( {\frac{{{{d}^{2}}j}}{{d{{\alpha }^{2}}}}} \right)}_{ \bot }}.$Это может быть выполнено, если с хорошей точностью определять по экспериментальным данным вторую производную ${{\left( {\frac{{{{d}^{2}}j}}{{d{{\alpha }^{2}}}}} \right)}_{ \bot }}.$
Параметр ${{k}_{T}}$ в выражении (6) найдем методом подбора этой величины, решая неоднократно нестационарное одномерное уравнение “чистой” питч-угловой диффузии. Для этого начальное питч-угловое распределение протонов (кружочки на рис. 2, 00:00 RT) аппроксимируем приближенной зависимостью (13), (17) (штриховая линия на рис. 2, L = 5, MLT = 23:00, E = 90 кэВ)
(17)
${{j}_{0}}\left( \alpha \right) = {{j}_{{ \bot 0}}}{{\sin }^{{{{\gamma }_{{ \bot 0}}}}}}\alpha \approx 36{\kern 1pt} 948{{\sin }^{{0.75}}}\alpha $На этом же рисунке квадратиками представлено экспериментальное питч-угловое распределение протонов в 18:02 RT = 00:15 UT 22 октября 1999 г. (главная фаза магнитной бури) [Ebihara et al., 2008]. Это питч-угловое распределение сравнивается с модельным распределением (L = 5, MLT = = 23:00, E = 90 кэВ) для момента времени 18:00 RT = = 00:13 UT 22 октября 1999 г. В итоге, хорошее согласие получено для ${{k}_{T}}$ = 353 (сплошная линия на рис. 2). Именно эта величина ${{k}_{T}}$ будет использована для всех дальнейших расчетов при определении ${{T}_{{wp}}},$ ${{D}_{{\alpha \alpha }}}$ и ${{S}_{ \bot }}.$
На рисунке 2 модельные питч-угловые распределения сравниваются с распределениями, полученными по данным наблюдений на КА Polar/MICS для E = 80–100 кэВ, L = 5, MLT = 22.9–23.2. Линии (кружочки и квадратики) указывают экспериментальные дифференциальные потоки в 00:00 RT = 06:13 UT 21октября 1999 г. (перед началом бури) и в 18:02 RT = 00:15 UT 22 октября 1999 г. (главная фаза бури), соответственно. Штриховая и сплошная линии показывают модельные дифференциальные потоки (L = 5, MLT = 23:00, E = 90 кэВ, kT = 353) для 00:00 RT и 18:00 RT = 00:13 UT 22 октября 1999 г., соответственно. Перед началом бури питч-угловое распределение блино-подобное, тогда как в главную фазу бури оно становится бабочко-подобным. Та же самая тенденция отмечена в работе [Ebihara et al., 2008], а также подтверждается на рис. 3 и 4.
Рис. 3.
Модельная эволюция питч-угловых распределений протонов для E = 90 кэВ, MLT = 23:00, L = = 2.26–6.6, ${{k}_{T}}$ = 353 в моменты времени 00:00 RT = = 06:13 UT 21 октября 1999 г. (перед началом бури), 04:00 RT и 08:00 RT, соответственно.

Рис. 4.
Модельная эволюция питч-угловых распределений протонов для E = 90 кэВ, MLT = 23:00, L = = 2.26–6.6, ${{k}_{T}}$ = 353 в моменты времени 12:00 RT, 15:00 RT и 18:00 RT = 00:13 UT 22 октября 1999 г. (главная фаза бури), соответственно.

Рисунок 3 показывает модельную эволюцию питч-угловых распределений протонов для E = = 90 кэВ, MLT = 23:00, L = 2.26–6.6, ${{k}_{T}}$ = 353 в моменты времени 00:00 RT = 06:13 UT 21 октября 1999 г. (перед началом бури), 04:00 RT and 08:00 RT. На рисунке 4 представлена модельная эволюция питч-угловых распределений протонов в другие моменты времени: 12:00 RT, 15:00 RT and 18:00 RT = = 00:13 UT 22 октября 1999 г. (главная фаза бури).
Таким образом, в предложенной модели PheMRC 2-D (1)–(16) на количественном уровне (рис. 2–4) представлена эволюция кольцевого тока (питч-угловых распределений) протонов во время магнитной бури, которая связана с одновременным влиянием нескольких физических механизмов: радиальной диффузии, питч-угловой диффузии, обмена зарядами, взаимодействий волна–частица, расщепления дрейфовых оболочек электрического поля, инжекции и дрейфа частиц.
5. СРАВНЕНИЕ С ДРУГОЙ МОДЕЛЬЮ КОЛЬЦЕВОГО ТОКА
Двумерную модель PheMRC 2-D (Phenomenological Model of the Ring Current 2-D) можно сравнить с другой моделью кольцевого тока ECRCM (Extended Comprehensive Ring Current Model) [Ebihara et al., 2008; Fok et al., 2001], которая для расчетов использует те же самые экспериментальные данные (рис. 3 из работы [Ebihara et al., 2008] и рис. 2). Моделирование кольцевого тока в работе [Ebihara et al., 2008] проведено с самосогласованными магнитным и электрическим полями. Когда протоны с энергией < 80 кэВ инжектируются во внутреннюю магнитосферу, поток протонов с энергией > 90 кэВ адиабатически уменьшается для питч-углов около 90°. Возможно, что это происходит вследствие адиабатического замедления (торможения) экваториально отражающихся протонов, т.е. за счет сохранения первого адиабатического инварианта при ослабленном магнитном поле. А для питч-углов около 0° и 180° поток увеличивается вследствие адиабатического ускорения протонов вдоль магнитного поля, чтобы сохранить второй адиабатический инвариант при укороченных (подобных хвосту) силовых линиях магнитного поля [Ebihara et al., 2008]. Поэтому результирующее питч-угловое распределение бабочко-подобное. Эта тенденция хорошо согласуется с наблюдениями спутника Polar для наиболее интенсивного события экваториального магнитного ослабления (Equatorially Magnetic Depression Event) EMDE. Но расчеты, представленные в работе [Ebihara et al., 2008] показали, что уменьшение в модельном потоке высокоэнергичных протонов много больше по величине и шире по питч-углу, чем в наблюдавшемся кольцевом токе и в предложенной модели PheMRC 2-D (1)–(16).
Наиболее вероятная причина рассогласования между моделированием [Ebihara et al., 2008] и экспериментальными данными – это процесс питч-углового рассеяния, который не рассматривается в [Ebihara et al., 2008], но имеет место в реальной магнитосфере, чтобы сглаживать питч-угловое распределение протонов с энергиями > 90 кэВ. Таким образом, сравнение результатов моделирования (рис. 2 и рис. 8 из работы [Ebihara et al., 2008]) показывает, что предложенная модель PheMRC 2-D (1)–(16) точнее модели ECRCM [Ebihara et al., 2008] описывает экспериментальные данные. Каждая из двух моделей имеет свои достоинства и ограничения. В кратком изложении первая модель PheMRC 2-D учитывает процесс питч-углового рассеяния протонов, но в стационарном дипольном магнитном поле. Вторая модель ECRCM [Ebihara et al., 2008] рассчитывает самосогласованные магнитное и электрическое поля, но не включает процесс питч-углового рассеяния. Поэтому в дальнейшем эти две модели можно объединить, вычисляя, например, скорость ${{dL} \mathord{\left/ {\vphantom {{dL} {dt \approx \left\langle {{{dL} \mathord{\left/ {\vphantom {{dL} {dt}}} \right. \kern-0em} {dt}}} \right\rangle }}} \right. \kern-0em} {dt \approx \left\langle {{{dL} \mathord{\left/ {\vphantom {{dL} {dt}}} \right. \kern-0em} {dt}}} \right\rangle }}$ в (7), (1) через самосогласованные магнитное и электрическое поля кольцевого тока. При этом достоинства исходных моделей, разные физические механизмы, использованные в данных моделях, соединяются и можно ожидать более точного описания экспериментальных данных.
6. ВЫВОДЫ
1. Исследовано развитие динамики протонов кольцевого тока (E = 90 кэВ) во внутренней магнитосфере Земли (L = 2.26–6.6, MLT = 23:00) с переменными граничными условиями во время магнитной бури 21–22 октября 1999 г., используя предлагаемую двумерную феноменологическую модель кольцевого тока PheMRC 2-D (Phenomenological Model of the Ring Current 2-D) (1)–(16).
2. Модель PheMRC 2-D учитывает радиальную и питч-угловую диффузии, а выражения потерь описываются вследствие обмена зарядами и взаимодействий “волна–частица”.
3. Проведено сравнение модельных потоков протонов с измерениями на спутнике Polar/MICS во время магнитной бури 21–22 октября 1999 г. Получено хорошее согласие модельных потоков с экспериментальными данными.
4. Подтверждена тенденция, установленная экспериментально – перед началом магнитной бури питч-угловое распределение блино-подобное, а в главную фазу бури распределение становится бабочко-подобным.
5. Сравнение результатов моделирования двух разных моделей кольцевого тока Земли показало, что предложенная модель PheMRC 2-D (1)–(16) точнее модели ECRCM [Ebihara et al., 2008] описывает экспериментальные данные. Но в дальнейшем целесообразно эти две модели объединить для соединения достоинств исходных моделей и разных физических механизмов, использованных в них.
Формулы (13) и (14) указывают на необходимость дальнейшего развития и уточнения, например, эмпирических (полуэмпирических) моделей определения дифференциальных потоков заряженных частиц при питч-угле α = 90°${{j}_{ \bot }}$ и показателя (индекса анизотропии) питч-углового распределения заряженных частиц при питч-угле α = 90°${{\gamma }_{ \bot }}$ в разных геофизических условиях, особенно для магнитоспокойных условий.
Используя соответствующие экспериментальные данные, предложенная модель PheMRC 2-D может быть использована для моделирования динамики заряженных частиц в магнитосферах Юпитера и Сатурна.
Список литературы
– Башкиров В.Ф., Ковтюх А.С. Стационарные питч-угловые распределения протонов радиационных поясов Земли в области сильной диссипации // Геомагнетизм и аэрономия. T. 35. № 4. C. 8–21. 1995.
– Горяинов М.Ф., Панасюк М.И., Сенкевич В.В. Моделирование распределений энергичных ионов в магнитосфере Земли // Космич. исслед. Т. 25. № 4. С. 556–561. 1987.
– Лайонс Л., Уильямс Д. Физика магнитосферы. Количественный подход. М.: Мир, 312 с. 1987.
– Пудовкин М.И., Распопов О.М., Клейменова Н.Г. Возмущения электромагнитного поля Земли. Ч. 1. Полярные магнитные возмущения. Л.: изд-во ЛГУ, 220 с. 1975.
– Смолин С.В. Влияние питч-углового распределения на плазменные процессы в ночной магнитосфере // Геомагнетизм и аэрономия. Т. 33. № 5. С. 17–25. 1993.
– Смолин С.В. Моделирование питч-угловой диффузии в магнитосфере Земли. Красноярск: редакционно-издательское предприятие “Либра”, 205 с. 1996.
– Смолин С.В. Моделирование питч-углового распределения на дневной стороне магнитосферы Земли // Журнал Сибирского федерального университета. Сер. Математика и физика. Т. 5. № 2. С. 269–275. 2012.
– Albert J.M. Using quasi-linear diffusion to model acceleration and loss from wave-particle interactions // Space Weather. V. 2. S09S03. 2004. doi 10.1029/2004SW000069
– Cornwall J.M., Coroniti F.V., Thorne R.M. Turbulent loss of ring current protons // J. Geophys. Res. V. 75. № 3. P. 4699–4705. 1970.
– Cornwall J.M. Radial diffusion of ionized helium and protons: a probe for magnetosphere dynamics // J. Geophys. Res. V. 77. P. 1756–1760. 1972.
– Daglis I.A., Thorne R.M., Baumjohan W., Levi S. The terrestrial ring current: origin, formation, and decay // Rev. Geophys. V. 37. № 4. P. 407–438. 1999.
– Ebihara Y., Fok M.-C., Blake J.B., Fennell J.F. Magnetic coupling of the ring current and the radiation belt // J. Geophys. Res. V. 113. № A7. A07221. 2008. doi 10.1029/ 2008JA013267
– Fok M.-C., Kozyra J.U., Nagy A.F., Cravens T.E. Lifetime of ring current particles due to coulomb collisions in the plasmasphere // J. Geophys. Res. V. 96. № A5. P. 7861–7867. 1991.
– Fok M.-C., Moore T.E., Kozyra J.U., Ho G.C., Hamilton D.C. Three-dimensional ring current decay model // J. Geophys. Res. V. 100. P. 9619–9632. 1995.
– Fok M.-C., Moore T.E., Greenspan M.E. Ring current development during storm main phase // J. Geophys. Res. V. 101. № A7. P. 15.311–15.322. 1996.
– Fok M.-C., Wolf R.A., Spiro R.W., Moore T.E. Comprehensive computational model of Earth’s ring current // J. Geophys. Res. V. 106. № A5. P. 8417–8424. 2001. doi 10.1029/2000JA000235
– Gendrin R. General relationships between wave amplification and particle diffusion in a magnetoplasma // Rev. Geophys. V. 19. № 1. P. 171–184. 1981. doi 10.1029/ RG019i001p00171
– Jordanova V.K., Farrugia C.J., Thorne R.M., Khazanov G.V., Reeves G.D., Thomsen M.F. Modeling ring current proton precipitation by electromagnetic ion cyclotron waves during the May 14-16, 1997 storm // J. Geophys. Res. V. 106. № A1. P. 7–22. 2001.
– Kennel C.F., Petschek H.E. Limit on stably trapped particle fluxes // J. Geophys. Res. V. 71. № 1. P. 1–14. 1966.
– Khazanov G.V., Gamayunov K.V., Jordanova V.K., Krivorutsky E.N. A self-consistent model of the interacting ring current ions and electromagnetic ion cyclotron waves, initial results: waves and precipitating fluxes // J. Geophys. Res. V. 107. № A6. 2002. doi 10.1029/2001JA000180
– Khazanov G.V., Gamayunov K.V., Jordanova V.K. Self-consistent model of magnetospheric ring current and electromagnetic ion cyclotron waves: The 2-7 May 1998 storm // J. Geophys. Res. V. 108. № A12. P. 1419–1436. 2003.
– Khazanov G.V. Kinetic theory of the inner magnetospheric plasma. N.Y.: Springer, 581 p. 2011.
– Kozyra J.U., Rasmussen C.E., Miller R.H., Lyons L.R. Interaction of ring current and radiation belt protons with ducted plasmaspheric hiss: 1. Diffusion coefficients and timescales // J. Geophys. Res. V. 99. № A3. P. 4069–4084. 1994. doi 10.1029/93JA01532
– Lyons L.R., Thorne R.M. Parasitic pitch angle diffusion of radiation belt particles by ion cyclotron waves // J. Geophys. Res. V. 77. № 8. P. 5608–5614. 1972.
– Lyons L.R., Williams D.J. Quantitative aspects of magnetospheric physics. N.Y.: Springer, 312 p. 1984.
– Miyoshi Y.S., Jordanova V.K., Morioka A., Thomsen M.F., Reeves G.D., Evans D.S., Green J.C. Observations and modeling of energetic electron dynamics during the October 2001 storm // J. Geophys. Res. V. 111. № A11. A11502. 2006. doi 10.1029/2005JA011351
– Nishida A. Geomagnetic diagnosis of the magnetosphere. N.Y.: Springer-Verlag, 301 p. 1978.
– Sakaguchi K., Shiokawa K., Miyoshi Y., Otsuka Y., Ogawaa T., Asamura K., Connors M. Simultaneous appearance of isolated auroral arcs and Pc 1 geomagnetic pulsations at subauroral latitudes // J. Geophys. Res. V. 113. № A5. A05201. 2008. doi 10.1029/2007JA012888
– Schulz M., Lanzerotti L.J. Particle diffusion in the radiation belts. N.Y.: Springer, 218 p. 1974.
– Sheldon R.B., Hamilton D.C. Ion transport and loss in the Earth’s quiet ring current. 1. Data and standard model // J. Geophys. Res. V. 98. № A8. P. 13 491–13 508. 1993.
– Sheldon R.B. Ion transport and loss in the Earth’s quiet ring current. 2. Diffusion and magnetosphere-ionosphere coupling // J. Geophys. Res. V. 99. № A4. P. 5705–5720. 1994.
– Sibeck D.G., McEntire R.W., Lui A.T.Y., Lopez R.E., Krimigis S.M. Magnetic field drift shell splitting: cause of unusual dayside particle pitch angle distributions during storms and substorms // J. Geophys. Res. V. 92. № A12. P. 13.485–13.497. 1987.
– Smith P.H., Bewtra N.K. Charge exchange lifetimes for ring current ions // Space Sci. Rev. V. 22. P. 301–305. 1978.
– Smolin S.V. Effect of magnetospheric convection on the energy distribution of protons from the Earth radiation belts // Geomagnetism and Aeronomy. V. 50. № 3. P. 298–302. 2010.
– Smolin S.V. The proton ring current development during the magnetic storm / Proc. 9 th Intern. Conf. on Problems of Geocosmos. SPb., Russia, 8–12 October 2012. P. 400–404. 2012.
– Smolin S.V. General relations for particle diffusion in pitch angle and energy / Proc. 10 th Intern. Conf. on Problems of Geocosmos. SPb., Russia, 6–10 October 2014. P. 399–401. 2014.
– Smolin S.V. Modeling the pitch angle distribution on the nightside of the Earth’s magnetosphere // Geomagnetism and Aeronomy. V. 55. № 2. P. 166–173. 2015.
– Summers D., Thorne R.M. Relativistic electron pitch-angle scattering by electromagnetic ion cyclotron waves during geomagnetic storms // J. Geophys. Res. V. 108. № A4. 1143. 2003. doi 10.1029/2002JA009489
– Thorne R.M., Horne R.B. Whistler absorption and electron heating near the plasmapause // J. Geophys. Res. V. 101. № A3. P. 4917–4928. 1996. doi 10.1029/95JA03671
– Xiao F., Chen L., He Y., Su Z., Zheng H. Modeling for precipitation loss of ring current protons by electromagnetic ion cyclotron waves // J. Atmos. Solar. Terr. Phys. V. 73. № 1. P. 106–111. 2011.
– Xiao F., Yang C., Zhou Q., He Z., He Y., Zhou X., Tang L. Nonstorm time scattering of ring current protons by electromagnetic ion cyclotron waves // J. Geophys. Res. V. 117. № 8. A08204. 2012. doi 10.1029/2012JA017922
Дополнительные материалы отсутствуют.
Инструменты
Геомагнетизм и аэрономия


