Физика Земли, 2023, № 4, стр. 75-95
Геоэлектрическая модель центральной части Северного Кавказа и его флюидонасыщение
В. В. Белявский , *
Центр геоэлектромагнитных исследований, филиал Института физики Земли им. О.Ю. Шмидта РАН
г. Москва, Россия
* E-mail: victor.belyavsky@list.ru
Поступила в редакцию 12.07.2022
После доработки 12.12.2022
Принята к публикации 20.12.2022
- EDN: TKXZGT
- DOI: 10.31857/S0002333723040014
Аннотация
В пределах Северо-Кавказского региона выполнен комплекс магнитотеллурических и сейсмических исследований на профилях протяженностью более двух тысяч километров. Проведенная ранее интерпретация магнитотеллурических наблюдений с помощью программ одномерной, двумерной инверсий и трехмерного математического моделирования, позволила построить серию разрезов и моделей, которые рассматриваются как тестовые и стартовые при построении трехмерной геоэлектрической модели региона. На тестовых моделях опробовались возможности программы трехмерной инверсии компонент тензора импеданса в методе магнитотеллурического зондирования оценивать параметры проводящих блоков в структурах Большого Кавказа и Скифской плиты. В результирующей геоэлектрической модели, построенной по результатам трехмерной инверсии всех компонент тензора импеданса, положение низкоомных блоков коррелирует с глубинными разломами, вулканическими камерами различного генезиса, сейсмически активными зонами, характеризующимися пониженной скоростью сейсмических волн и их повышенным поглощением. Удельное электрическое сопротивление низкоомных аномалий объясняется степенью их насыщения водной фракцией флюида. Максимальная его концентрация сосредоточена в пределах пересечений систем разломов, флексурно-сдвиговых зон и в активизированных тектоническими процессами глубинных разломах.
ВВЕДЕНИЕ
Целью региональных магнитотеллурических исследований, проводимых в Северо-Кавказском регионе, являлось изучение глубинного строения литосферных плит и вулканических систем различного генезиса, условий формирования месторождений полезных ископаемых и активизации сейсмических процессов. Магнитотеллурическими исследованиями решались задачи по построению геоэлектрических моделей: осадочного чехла, складчатого основания и кристаллического фундамента Предкавказской части Скифской плиты, складчатых сооружений Большого Кавказа, вулканических камер вулкана Эльбрус и Таманского прогиба, оценки насыщения их водной фракцией флюида.
В центральной части Северного Кавказа магнитотеллурические зондирования (МТЗ) выполнялись в диапазоне периодов 0.01 < Т < 1000 с станциями ЦЭС-2, ЦЭС-М и “Phoenix” с шагом между точками наблюдений (т. н.) 1–5 км организациями ООО “ЦЭМИ”, ООО “Северо-Запад” и объединением “Кавказгеолсъемка”. Результаты проведенных магнитотеллурических (МТ) исследований были представлены с учетом одномерной и двумерной инверсий кривых МТЗ [Шемпелев и др., 2020; 2005]. Исследования на тестовых трехмерных (3D) моделях показали, что интерпретация профильных магнитотеллурических наблюдений на основе одномерной или двумерной инверсий часто ведет к появлению ложных проводящих блоков, а их трехмерная инверсия дает более реалистическое отображение 3D-структур и под одиночным профилем наблюдения [Siripunvaraporn et al., 2005; Иванов, Пушкарев, 2012; Kiyan et al., 2014]. В этих трудах и ряде других показано, что необходимо включать дополнительные импедансы Zхх и Zуу в процесс инвертирования МТ данных при трехмерной размерности тензоров импедансов.
На тестовой 3D-модели, построенной для Северо-Кавказского региона методом интерактивного подбора к экспериментальным кривым ρob(T) 3D-модельных – ρm(T), рассчитанных по программе трехмерного моделирования Maxwellf [Druskin, Knizhnerman, 1994], оценивалась возможность программы 3D-инверсии WSINV3DMT [Siripunvaraporn et al., 2004] восстанавливать ее геоэлектрические параметры. При проведении трехмерной инверсии необходимо задавать стартовые модели. Верхняя часть этих моделей составлялась на основании 1D/2D-инверсий инвариантных кривых МТЗ, а нижняя – с учетом данных и 3D-моделирования МТ полей. Опробование программы WSINV3DMT показало на существенную ее коррекцию параметров проводящих блоков в складчатом основании и разломных зонах его секущих, представленных ранее [Белявский, 2007].
Проведенные объединением “Кавказгеолсъемка” и центром ГЕОН по профилям МТЗ наблюдений методами МОВЗ и ГСЗ11, с учетом проведенной в восточной и западной частях Северного Кавказа региона трехмерной инверсии МТ данных, позволили оценить содержание связанных долей водной фракции флюида в коре Большого Кавказа, Скифской плиты, Таманского и Терско-Каспийского прогибов.
КРАТКИЕ СВЕДЕНИЯ О СТРОЕНИИ СЕВЕРО-КАВКАЗСКОГО РЕГИОНА
Современная структура Северо-Кавказского региона (рис. 1) охватывает [Атлас карт …, 1998; Вобликов, Лопатин, 2002]:
Рис. 1.
Схема расположения профилей МТЗ на схеме структурного районирования Северного Кавказа [Атлас карт…, 1998] (Нетреба А.В. и др.,1977)1. 1 – Структуры: 1 – Ростовский выступ; 2–9 – Скифская эпигерцинская плита (2 – Азово-Кубанская впадина; 3 – Восточно-Кубанский прогиб; 4 – зона Манычакских прогибов; 5 – Индоло-Кубанский прогиб; 6 – Адыгейский выступ; 7 – Ставропольский свод; 8 – Терско-Кумская впадина; 9 – Терско-Каспийский прогиб); 10–21 – складчатая система Большого Кавказа (10 – Таманский периклинальный прогиб; 11 – Новоросийская складчатая зона; 12 – выступы палеозоя; 13 – Северо-Кавказский краевой массив; 14 – зона Передового хребта; 15 – Минераловодский выступ; 16, 20 – Главный хребет Большого Кавказа; 17 – Известковый Дагестан; 18 – Аквалинскя моноклиналь; 19 – Боковой хребет); 2 – профили МОВЗ, МТЗ (а, б): I – Кубанский, II – Ейск-Каспийское море, III – Туапсинский, IV – Краснополянский, V – Приэльбрусский, VI – Тамань – Новороссийск, VII – Ачуев – Ходыженск, VIII – Новороссийск – Темрюк, IX - Владикавказ – Левокумское, Х, ХI, ХII – Минераловодский выступ, XIII – Талярата – Махачкала, ХIV – Махачкала – Дербент; 3 – изолинии глубин киммерийских доколлизионных комплексов (кристаллический фундамент); 4, а – разломы (Ан – Анапский, АН – Армавир-Невиномысский, Ах – Ахтырский, ВЛ – Владикавказский, ГК – Главный Кавказский, Дж – Джигинский, ПК – Предкавказский, СР – Срединный, Тр – Тырнаузский, Ч – Черкесский); б – надвиги (СФ – Северный фронтальный Восточного Кавказа, ТД – Терско-Дербенский, ГБК – Главный Большого Кавказа; М – Минераловодский, НЛ – Нагутско-Лысогоркий (границы Нальчик-Минераловодской флексурно-сдвиговой зоны)); 5: а – грязевые вулканы [Собисевич и др., 2005]: Ш - Шуро, Г – Гладковский, ЗЦ - Западный Цимбал; б – т.н. МТЗ; 6 – города: Кс – Кисловодск, Лв – Левокумск, Вл – Владикавказ, Мх – Махачкала, Др – Дербент, Тл – Талярата, СТ – Ставрополь. Круг – область максимальной концентрации гипоцентров коровых землетрясений (7–8 баллов). Квадрат – область Дагестанского клина.

– складчатую систему Большого Кавказа, включающую в себя в центральной части горст- антиклинорий Главного хребта, Северо-Кавказский краевой массив, на западе Новороссийскую складчатую зону, а на востоке покров Известнякового Дагестана, Аквалинскую моноклиналь, антиклинории Бокового и Главного хребтов Восточного Кавказа, зоны прибортовой и приосевой складчатостей;
– зону Предкавказских краевых прогибов, заложившихся на Скифской эпигерцинской плите и заполненных неоген-четвертичными молассами. На западе это переклинальный Таманский прогиб, переходящий в Индоло-Кубанский, а на востоке – Терско-Каспийский прогиб. Согласно данным МОВЗ, в пределах Новороссийской складчатой зоны структуры Северо-Западного Кавказа пододвинуты под Скифскую плиту [Золотов и др., 2001] с амплитудой до 10 км;
– Скифскую эпигерцинскую плиту Предкавказья, состоящую из Азово-Кубанской, Терско-Кумской впадин и разделяющего их Ставропольского свода. Деформированная окраина Скифской плиты по системе разломов Ахтырскому, Черкесскому, Нальчик-Минераловодской флексурно-сдвиговой зоне, Северному надвигу Восточного Кавказа отделена от орогена Большого Кавказа [Белов и др., 1990].
Догерцинский фундамент погружается в пределах впадин, Индоло-Кубанского и Терско-Каспийского прогибов до глубины 10–12 км (рис. 1), а складчатое основание (доюрское) до 6–10 км. Их внутренняя структура и внешние контуры, в целом, наследуют структурный план доюрского фундамента и тесно связаны со структурами Северо-Кавказского региона.
К альпийским складчатым зонам относятся: на западе Новороссийская и Таманская структуры, на востоке – Известковый Дагестан, а в центре – Северо-Кавказский краевой массив, который вместе со Ставропольским сводом отделяется от Терско-Каспийского прогиба по Нальчик-Минераловодской зоне с амплитудою до 10 км. На востоке в складчато-глыбовом поднятии Восточного Кавказа выделяют антиклинории Бокового и Главного хребтов, зоны прибортовой и приосевой складчатости (рис. 1). Предполагается, что Известняковый Дагестан надвинут на мезо-кайнозойские осадки Терско-Каспийского краевого прогиба с амплитудой свыше 40 км (покров Шатского) [Белов и др., 1990]. На аллохтон Известнякового Дагестана, в свою очередь, шарьированы олигоцен-миоценовые отложения Терско-Каспийского прогиба, которые погружаются на север до глубины пять километров, а мезозойские отложения осадочного чехла на юг [Магомедов, 2010].
Формирование структур Северо-Кавказского региона связано со сжатием, которое проявилось на всех этапах его развития и обусловлено взаимодействием Скифской и Закавказской литосферных плит. Основными этапами развития региона считаются доюрский-юрский, с раздвигом Евразийской плиты и образованием Скифской и Закавказской плит и дальнейшим их давления друг на друга в позднеальпийский период [Лукк, Шевченко, 2019] с возникновением складчато-покровных структур Большого Кавказа.
Центральная часть Северного Кавказа
Зона Главного хребта Центрального Кавказа представляет собой глубоко эродированный выступ доальпийского основания и состоит из вытянутых в северо-западном направлении блоков, сложенных протерозойскими и палеозойскими метаморфическими породами, гранитами, глинистыми сланцами и песчаниками. Северо-Кавказский краевой массив граничит: на юге с Главным хребтом, через Тырнаузскую – шовную зону (Тырнаузский глубинный разлом) шириною 2–12 км, сложенную вулканогенно-осадочными отложениями палеозоя (рис. 1), на севере с Скифской плитой, через Армавир-Невиномысский, Черкесский, Ахтырский разломы, Минераловодскою и Нагутско-Лысогорскую разломно-сдвиговые системы. Последние две ограничивают Нальчик-Минераловодскую флексурно-разрывную зону северо-западного простирания, пересекая Эльбруско-Минераловодскую зону сбросо-сдвиговых нарушений северо-восточного направления [Милановский и др., 1989].
Краевые разломы в большинстве своем являются взбросами, наклоненными (75–85°) к северу или к югу плоскостями смесителей с амплитудой вертикальных смещений до 3–4 км. Развитые в пределах мегантиклинория Большого Кавказа линейная складчатость, тектонические покровы, разломные структуры связаны с тектоническим процессом – надвига на него Скифской плиты. Их формирование проходило в обстановке северо-восточного тангенциального регионального сжатия на альпийской и позднеальпийской коллизионной стадии развития. В это время основной поверхностью надвигания служил Ахтырский разлом с северным падением смесителя [Белов и др., 1990].
В позднеальпийский период сформировались складчато-покровные сооружения Большого Кавказа, под которыми мощность коры возрастает до 50–60 с 43–45 км под Ставропольским сводом и Минераловодским выступом [Шемпелев и др., 2020].
Догерцинский фундамент погружен в пределах Индоло-Кубанского и Терско-Каспийского прогибов до глубин 10–14 км, а складчатое основание (доюрское) до 9 км [Атлас карт…, 1998]. Cеверо-Кавказский краевой массив на глубинах 20 км характеризуется скоростями продольных волн Vp = 6.4 км/с, а под обрамляющими его прогибами – Vp = 6.2 км/с, что связано с их повышенной гранитизацией [Белявский и др., 2007].
Максимальной плотностью МТ наблюдений охвачена северо-восточная часть Cеверо-Кавказского массива, которую относят к зоне устойчивой сейсмической активности на уровне умеренных и слабых землетрясений. Она охватывает Нальчик-Минераловодскую флексурно-разрывную зону, стыкующуюся с Черкесским разломом, ограничивающим с севера Минераловодский выступ (рис. 1). Вдоль этой зоны с развитой системой крутопадающих разломов, вытянуты две параллельные зоны повышенной сейсмичности север–северо-западного простирания [Габсатарова и др., 2020].
МАГНИТОТЕЛЛУРИЧЕСКИЕ ИССЛЕДОВАНИЯ ЦЕНТРАЛЬНОГО СЕКТОРА СЕВЕРНОГО КАВКАЗА
В центральной части Северного Кавказа рассматривались магнитотеллурические наблюдения на профилях: Краснополянский (IV), Приэльбрусский (V) и X, XI, XII, пересекающих Северо-Кавказский краевой массив (рис. 1). Оценивалось распределение электропроводности под Главным хребтом Большого Кавказа, Северо-Кавказским краевым массивом, Минераловодским выступом, Ставропольским сводом и в Восточно-Кубанском и Терско-Каспийском прогибах. МТ зондирования выполнялись в диапазоне периодов 0.001 < Т < 1000 с станциями ЦЭС-2, ЦЭС-М и MTU-5, MTU-2 с шагом наблюдений 1–5 км организациями ООО “ЦЭМИ”, ООО “Северо-Запад” и объединением “Кавказгеолсъемка”.
Первичная обработка магнитотеллурических наблюдений выполнялась в ООО “ЦЭМИ” и ООО “Северо-Запад”, а углубленная в Центре “ГЕОН” и ЦГЭМИ филиала института Физики Земли. Результаты контрольных наблюдений, выполненных станциями MTU, показали, что при синхронных измерениях с базисной станцией, относительные среднеарифметические отклонения модулей основных импедансов составляют 1–1.6%, дополнительных 4–4.5%, погрешности фаз основных импедансов 1.3°, а дополнительных 4°. Трехмерная интерпретация компонент матриц [Zob] выполнена на площадях: 4 × 104 км2, включающих профили МТЗ IV, V, X, XI, XII и 104 км2 без профиля IV.
ТРЕХМЕРНАЯ ИНТЕРПРЕТАЦИЯ МАГНИТОТЕЛЛУРИЧЕСКИХ ДАННЫХ
Этапы трехмерной интерпретации магнитотеллурических данных:
– Оценка разрешающей способности программы 3D-инверсии WSINV3DMT восстанавливать по ее инверсионным значениям ρin(Хin, Yin, Zin) распределение удельного электрического сопротивления (УЭС) ρm(Хm, Ym, Zm) в тестовых 3D‑моделях отвечающих, построенным ранее геоэлектрическим 3D-моделям региона [Белявский, 2007].
– Составление стартовых и тестовых моделей на основе: одномерной и двумерной инверсий [Белявский, 2007; Варенцов, 2002] основных компонент экспериментальных тензоров импеданса [Zob] и их инвариантных значений – максимальных $Z_{{{\text{ob}}}}^{{\max H}}$ и минимальных $Z_{{{\text{ob}}}}^{{\min H}}$ импедансов индукции [Сounil et al., 1986]; интерактивного подбора к кривым $\rho _{{{\text{ob}}}}^{{\max H}}$ и $\rho _{{{\text{ob}}}}^{{\min H}}$ 3D-модельных $\rho _{{\text{m}}}^{{\max H}}$, $\rho _{{\text{m}}}^{{\min H}}$. Последняя задача решалась с помощью адаптированного к программе Maxwellf блока, выполняющего различного вида трансформации матриц [Zob] и их 1D-инверсию.
– Вычисление в точках инверсии (т. и.) отклонений компонент тензора импеданса [Z in], от экспериментальных [Z ob], с целью оценки адекватности получаемых инверсионных значений ρin(Хin, Yin, Zin) геоэлектрическим параметрам изучаемых объектов.
– Анализ соответствия распределений ρin(Хin, Yin, Zin) сейсмическим построениям и оценка содержания в низкоомных аномалиях водной фракции флюида.
В основе программы трехмерной инверсии WSINV3DMT лежит принцип Оккама: минимизация Тихоновского функционала невязки с весовыми характеристиками в исходных и модельных данных, с получением наиболее сглаженных характеристик геоэлектрического разреза. Минимизация выполняется с помощью приближенного Гаусс–Ньютоновского метода линеаризации. В результате получаем сглаженные вдоль профилей МТЗ распределения инверсионных значений ρin(Xin, Yin, Zin). Ось Х ориентирована на север, а ось Y на восток. Прямая МТ задача решалась конечно-разностным методом [Siripunvaraporn еt al., 2005]. Суммарное отклонение всех исходных компонент тензора импеданса [Z ob] от получаемых на каждой итерации инверсионного процесса матриц [Z in] оценивается нормализованным среднеквадратичным отклонением, параметром RMS, контролирующим достижение главного минимума функционала невязки. При его отсутствии, рассматривались компоненты матриц [Zin], полученные для минимумов RMS, при которых достигнуто наибольшее приближение основных компонент тензоров [Zob] к [Zin] в окрестности низкоомных аномалий. Решение обратной МТ задачи выполнялось при 15–25 итерациях.
Из-за значительного объема магнитотеллурических данных (свыше 1000 т. н. МТЗ на профилях, протяженностью до 2300 км) и ограниченных возможностей программы WSINV3DMТ инвертировать одновременно все тензоры импеданса, 3D-инверсия проводилась раздельно для западной, центральной и восточной частей Северного Кавказа. При этом выделялись структуры, в пределах которых можно ограничиться 1D/2D-инверсиями, уменьшая число 3D-инвертируемых тензоров [Zob]. В центральной части Северного Кавказа рассматривались профили МТЗ IV, V, X, XI и XII, в западной его части инвертировали МТ данные на Пр. МТЗ VI, VII, VIII и частично на Пр. I, II, III [Белявский, 2023], а в восточной на Пр. IX, XIII и XIV [Белявский, 2022] (рис. 1).
Обратная задача решалась для серии стартовых моделей, из которых выбиралась та, которая обеспечивала минимальные относительные среднеарифметические отклонения (δxy, δyx) экспериментальных $\left| {Z_{{{\text{ob}}}}^{{xy}}} \right|$, $\left| {Z_{{{\text{ob}}}}^{{yx}}} \right|$ от модельных $\left| {Z_{{{\text{in}}}}^{{xy}}} \right|$, $\left| {Z_{{{\text{in}}}}^{{yx}}} \right|$ и фаз импедансов ${\text{Arg}}Z_{{{\text{ob}}}}^{{xy}}$, ${\text{Arg}}Z_{{{\text{ob}}}}^{{yx}}$ от ${\text{Arg}}Z_{{{\text{in}}}}^{{xy}}$, ${\text{Arg}}Z_{{{\text{in}}}}^{{yx}}$ в т.н. МТЗ, под которыми картируются аномалии повышенной проводимости.
Исследования на тестовых 3D-моделях информативности трехмерной инверсии
Опыты по трехмерной инверсии (WSINV3DMТ) проводились на тестовых тензорах [Zt] 3D-модели (рис. 2), построенной методом подбора к кривым $\rho _{{{\text{ob}}}}^{{\max H}}$(Т), $\rho _{{{\text{ob}}}}^{{\min H}}$(Т) 3D-модельных $\rho _{t}^{{\max H}}$(Т) и $\rho _{t}^{{\min H}}$(Т), по профилям 5 (т.и. 5-65) и 6 (т.и. 6-66). Азимуты модельных профилей составляли 30° и близки к ориентации экспериментальных профилей МТЗ (рис. 1). Стартовые модели при трехмерной инверсии, содержали в верхнем слое блоки с осредненными значениями – ρt, а в нижнем низкоомные прогибы, обрамляющие высокоомный Северо-Кавказский краевой массив. Верхний слой перекрывался пластиной мощностью 150 м с ρt = 10 Ом ⋅ м, которая снижала погрешности расчета ЭМ полей при стыковки блоков со значительным контрастом в ρt [Miensopust et al., 2013]. Серия 3D-инверсий, проведенных для матриц [Zt] при различных стартовых моделях, показала на возможность оценки с помощью программы WSINV3DMT параметров нижних проводящих блоков под профилями 5 и 6 (рис. 3б; рис. 4в).
Рис. 2.
Сечение на уровне Z = 100 м тестовой 3D-модели Северного Кавказа. Справа – шкала УЭС верхних модельных блоков (ρt), ⚫ – точки инверсии [Zt]. Курсивом показаны их номера для Пр. 5 (т.и. 5–65), отвечающего положению Пр. V на рис. 1, и Пр. 6 (т.и. 6–66).

Рис. 3.
Приэльбрусский профиль (Пр. V), результаты трехмерной интерпретации: (а) – методом подбора параметров 3D‑моделей (рис. 2) [Белявский, 2007], масштаб по оси глубин логарифмический; (б), (в) – 3D-инверсия (WSINW3DМТ) тестовых матриц [Zt] модельных (б) и экспериментальных [Zob] (в). Условные обозначения: 1 – положение и номера: а – модельных т.и., б – экспериментальных т.н.; 2 – аббревиатура разломов согласно рис. 1; 3 – положение изотермы с Т = 600°С – а и кровли фундамента – б; 4 – границы Мохо (М) и Конрада (К) [Атлас карт…, 1998]; 5 – блоки с 3–5% дефицитом скорости продольных волн [Шемпелев и др., 2020].

Рис. 4.
Результаты одномерных инверсий кривых ρyх (б) и трехмерной матрицы [Zt] (в) в тестовой 3D-модели (а) для Пр. 6 (т.и. 6–66, рис. 2). Условные обозначения: 1 – т.и.; 2 – модельные блоки; 3 – шкала УЭС в логарифмическом и линейном масштабах; 4 – названия структур.

Положение кровли проводящих блоков, расположенных под неоднородным верхним слоем в т.и. 5–41 профиля 5, отвечает максимальному градиенту изменения ρin(Xin, Yin, Zin) в низкоомных аномалиях (рис. 3а, 3б), полученных при 14 итерациях инверсионного процесса (RMS = 4.3). Интегральная проводимость проводящих тестовых блоков St = 2000 См в т.и. 35 выше, чем Sin ≈ ≈ 1000 Cм, но под т.и. 41, где St = 1700 Cм близка к Sin = 1500–1600 См (рис. 3б). Близость распределения ρin(Xin, Yin, Zin) к модельному ρt(Xt, Yt, Zt) в интервале периодов 0.1 < Т < 300 c отвечает отклонениям δxу = 1–25% и δух = 1–12% импедансов $\left| {Z_{t}^{{ху}}} \right|$ и $\left| {Z_{t}^{{yx}}} \right|$ от получаемых при 3D-инверсии $\left| {Z_{{{\text{in}}}}^{{xy}}} \right|$ и $\left| {Z_{{{\text{in}}}}^{{yx}}} \right|$.
На рис. 4 представлены результаты одномерной инверсии кривых $\rho _{{yx}}^{t}$ (рис. 4б) и трехмерной компонент матриц импеданса |Zt | (рис. 4г) для Пр. 6. В тестовой модели под ним на глубинах от 9 до 29 км (т.и. 30–42) отсутствует блок с ρt = 10 Ом ⋅ м, присутствующий под Пр. 5 (рис. 3а). Одномерная инверсия кривых $\rho _{{yx}}^{t}$ ≈ ρ║ отразила изменение ρt верхнего структурного этажа, осадочного чехла, разлома под т.и. 30 и проводящего блока под т.и. 36–42 (рис. 4б). Однако проводящий блок под т.и. 6–12 не выделила. Трехмерная инверсия его показала, скорректировав параметры низкоомных аномалий под т.и. 18–42. Полученные Sin близки к тестовым St в т.и.: 6–12, где St = 170 См и Sin = = 200–250 См; 18–24 – St = 120 См и Sin ≈ 150–200 См; 30 – St = 500 См и Sin ≈ 170–200 См; 36 – St = 600 См и Sin ≈ 350–500 См. На рис. 5 показаны тестовые $\rho _{{xy}}^{t}$(Т), $\rho _{{yx}}^{t}$(Т) и инверсионные кривые $\rho _{{xy}}^{{{\text{in}}}}$(Т), $\rho _{{yx}}^{{{\text{in}}}}$(Т). Для т.и. 6–18 значения отклонений δух = 5–35% и δху = 1–25%, в т.и. 24 – δух = 1–25% и δху = 0.5–5%, 30 δух = 1–10%, δху = 0.5–10%. Минимальные δух приходятся на т.и. 30–54.
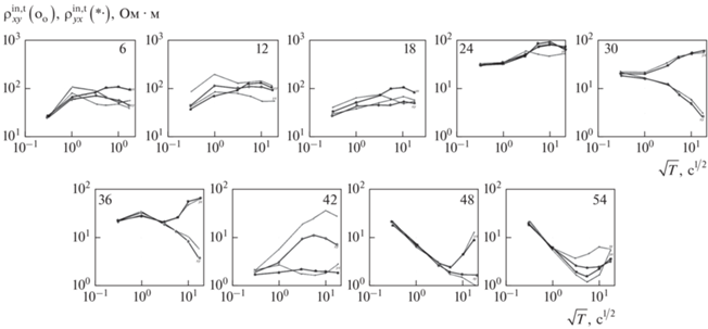
Рис. 5.
Кривые кажущегося сопротивления ($\rho _{{ух}}^{{{\text{in,}}t}}$, $\rho _{{хy}}^{{{\text{in,}}t}}$) для сечения тестовой 3D-модели (рис. 4). Линии широкие – кривые $\rho _{{ух}}^{{{\text{in}}}}$ и $\rho _{{хy}}^{{{\text{in}}}}$, а отвечающих 3D-инверсии тестовые $\rho _{{ух}}^{t}$, $\rho _{{ху}}^{t}$ (тонкие).

Для других сечений тестовой модели, опыты по 3D-инверсии [Белявский, 2023], также показали на восстановление программой WSINV3DMT (с учетом действия принципа эквивалентности и появления псевдоаномалий проводимости) параметров низкоомных блоков, расположенных под неоднородным верхним слоем. Отклонения полученных при этом ρin от тестовых ρt может достигать 100–200%, однако интегральная проводимость Sin(Xin, Yin, Zin) близка к тестовой St, как и максимальный градиент уменьшения ρin(Xin, Yin, Zin) вдоль оси Z к положению кровли низкоомных блоков.
Стартовые геоэлектрические модели центральной части Северного Кавказа
На экспериментальных профилях МТЗ, где можно ограничиться 1D/2D-инверсиями инвариантных компонент тензоров импеданса [Zob], полученные ранее геоэлектрические разрезы для Ставропольского свода, Индоло-Кубанского и Восточно-Кубанского прогибов [Белявский и др., 2007] включались в стартовые 3D-модели. При трехмерной размерности среды, определяемой по параметрам асимметрии матриц [Zob] [Бердичевский, Дмитриев, 2009] skew = |Zxx + + Zyy|/|Zxy – Zyx| и skewη = [Im(Zxy$Z_{{yy}}^{*}$ + Zxx$Z_{{yx}}^{*}$)]1/2/|Zxy –– Zyx)|, составлялись модели, учитывающие результаты, полученные методом подбора 3D-модельных кривых $\rho _{{\text{m}}}^{{\max H}}$(Т) и $\rho _{{\text{m}}}^{{\min H}}$(Т) к экспериментальным $\rho _{{{\text{ob}}}}^{{\max H}}$(Т) и $\rho _{{{\text{ob}}}}^{{\min H}}$ (Т).
Для достижения максимального согласия между компонентами [Zob] и [Zin], в стартовых моделях варьировались параметры модельных блоков, размеры сеток их дискретизации и число инвертируемых тензоров импедансов. Для центральной части Северного Кавказа рассматривалось около 30 стартовых моделей, с разным числом ячеек дискретизации. В моделях 1 типа их задавалось: 46 по оси Х; 50 по оси Y; 20 по оси Z, с шагом между узлами сетки 5 км (по осям Х, Y); в моделях 2 типа – 34 ячейки по оси Х, 50 по оси Y и 20 по оси Z при шаге 3 км. В стартовых моделях в верхний слой, мощностью ∆H = 150 м, с ρm = 10 Ом ⋅ м вставлены блоки с ρm: 100 Ом ⋅ м, 1000 Ом ⋅ м (выступы складчатого основания) и 5–20 Ом ⋅ м (впадины и прогибы). Расположенные ниже блоки, аппроксимировали изменение проводимости прогибов и поднятий (данные 1D/2D-инверсий и 3D-моделирования).
Приэльбрусский профиль (Пр. V)
В пределах Главного Кавказского хребта на средних и низких частотах параметры асимметрии skew и skew η > 0.3, указывая на трехмерное распределение УЭС [Белявский, 2007]. Кривые $\rho _{{{\text{ob}}}}^{{{\text{max}}H}}$ на средних частотах ориентируются по азимутам: (–10°)–(–40°) на Главном хребте Большого Кавказа, –10°–50° в пределах Северо-Кавказской моноклинали и от –30° до 70° в Терско-Кумской впадине (рис. 1). Методом подбора 3D-модельных кривых $\rho _{{\text{m}}}^{{{\text{max}}H}}$, $\rho _{{\text{m}}}^{{{\text{min}}H}}$ к $\rho _{{{\text{ob}}}}^{{{\text{max}}H}}$ и $\rho _{{{\text{ob}}}}^{{{\text{min}}H}}$ выделены блоки под: Главным Кавказским хребтом (т.н. 1–3) с ρm ≈ 30 Ом ⋅ м и Северо-Кавказским краевым массивом (т.н. 29–100) с ρm ≈ 10–15 Ом ⋅ м (рис. 3а).
Краснополянский профиль (Пр. IV)
Согласно распределению параметров асимметрии, на частотах ниже 1 Гц, области квазидвумерной размерности – skew < 0.15, расположены под Ставропольским сводом и в Восточно-Кубанском прогибе. На низких частотах импедансы $Z_{{{\text{ob}}}}^{{{\text{max}}H}}$ ориентируются по азимутам 70°–90°, а на средних по –30°–(–40°), близким к структурным линиям региона. Двумерная инверсия кривых $\rho _{{{\text{ob}}}}^{{{\text{max}}H}}$ и их фаз Arg$Z_{{{\text{ob}}}}^{{{\text{max}}H}}$, проведенная в режиме Е‑поляризации (рис. 6а), выделила под складчатой системой Кавказа (т.н. 2–3) на глубинах Zin = 10–12 км блок с ρin = = 5 Ом ⋅ м мощностью Нin = 20–30 км. Метод подбора 3D-моделей разделил его на два, сместив верхний блок с ρin = = 20 Ом ⋅ м на глубину 15 км, а нижний с ρin = = 40 Ом ⋅ м до Zin = 30 км.
Рис. 6.
Краснополянский профиль (Пр. IV), результаты инверсий экспериментальных кривых МТЗ: (а) – двумерной, амплитудных и фазовых кривых E – поляризации (масштаб глубин логарифмический); (б) – трехмерной, всех компонент матриц [Zob]. Условные обозначения: 1 – положение т.и. при 2D- а и 3D- б инверсиях; 2 – аббревиатура глубинных разломов (рис. 1); 3 – кровля складчатого основания – а и кристаллического фундамента (МОВЗ) – б; 4 – глубинные разломы (МОВЗ); 5 – зоны повышенного поглощения обменных волн [Белявский и др., 2007].

Профили Минераловодского выступа (X, XI, XII)
На профиле X на высоких частотах skew < 0.2, а на низких skew > 0.2, как и параметры фазовой асимметрии – skew η. Кривые $\rho _{{\text{m}}}^{{{\text{max}}H}}$, $\rho _{{\text{m}}}^{{{\text{min}}H}}$ ориентируются по азимутам 20°–30°. На профиле XII, на большинстве т.н. параметр skew > 0.2. На периодах Т > 40 c кривые $\rho _{{\text{m}}}^{{{\text{max}}H}}$ ориентируются, в основном, по азимуту 100°–120° [Белявский, 2007]. Близкая ситуация наблюдается и на профиле XI.
О надежности геоэлектрических разрезов, получаемых при 3D-инверсии
Соответствие экспериментальных кривых $\rho _{{{\text{ob}}}}^{{xy}}$, $\rho _{{{\text{ob}}}}^{{yx}}$, полученным при 3D-инверсии $\rho _{{{\text{in}}}}^{{xy}}$, $\rho _{{{\text{in}}}}^{{yx}}$, является критерием надежности рассматриваемых геоэлектрических разрезов. Их частотные характеристики представлены на рис. 7. Видно, что программа WSINV3DMT на периодах Т > 10–50 c дает сглаженные изменения значений $\rho _{{{\text{in}}}}^{{xy}}$, $\rho _{{{\text{in}}}}^{{yx}}$, вызванных на кривых $\rho _{{{\text{ob}}}}^{{xy}}$ и $\rho _{{{\text{ob}}}}^{{yx}}$ локальными неоднородностями, расположенными под профилями X (а), XI (б), XII (в), V (г) и IV (д). То есть, она частично гасит проявление “S-эффекта” на кривых $\rho _{{{\text{ob}}}}^{{xy}}$, $\rho _{{{\text{ob}}}}^{{yx}}$ при выделении региональных аномалий проводимости, залегающих в нижней части разреза. Аналогичные выводы получены для других профилей МТЗ [Белявский 2022; 2023].
Рис. 7.
Экспериментальные ($\rho _{{{\text{ob}}}}^{{xy}}$, $\rho _{{{\text{ob}}}}^{{yx}}$) и инверсионные ($\rho _{{{\text{in}}}}^{{xy}}$, $\rho _{{{\text{in}}}}^{{yx}}$) карты кажущихся сопротивлений на профилях МТЗ: X (а), XI (б), IV (в), V (г) и д – XII. Сверху – т.и. МТЗ. Справа шкалы УЭС в lg (Ом · м), слева периоды в lg (Т, с).

При решении обратной МТ задачи, на 13–24 итерациях инверсионного процесса, параметр RMS уменьшался до RMS = 4.1–4.6. За результирующую принималась 3D-модель в которой, при минимальных RMS достигались и минимальные отклонения (δxу, δyx) экспериментальных модулей импедансов $\left| {Z_{{{\text{ob}}}}^{{xy,yx}}} \right|$ от $\left| {Z_{{{\text{in}}}}^{{xy,yx}}} \right|$ в т.и. МТЗ, под которыми выделены аномалии проводимости.
Распределение δxу, δyx для центральной части Северного Кавказа представлено на рис. 8, а их осредненные значения составляют на периодах:
Рис. 8.
Относительные среднеарифметические погрешности (δyx) 3D-инверсии кривых $\rho _{{{\text{ob}}}}^{{yx}}$ на профилях МТЗ: X (а), XI (б), XII (в), IV (г) и V (д). Кресты: малые для периодов 0.1 < T < 1 с, большие – 10 < T < 300 с. V – низкоомные зоны.

– Т = 0.1–1 с, Пр. X – δух, ху = 1–5% (редко δух, ху = = 10–15%), а на Пр. XII, XI – δух, ху = 1–10% (редко δух, ху = 15–20%);
– Т = 10–300 с, Пр. X и XII – δxу = 1–25%, δух = = 1–12% (редко δху, уx > 20%) и на Пр. XI – δух = 1–10%, δху = 1–35%;
– Т = 0.1–300 с, Пр. V – δxу,ух = 1–25% (редко δху, уx > 25%),
– Т < 10 с, Пр. IV – δxу, ух = 1–7%, а на Т = 10–400 с – δyx = 5–20% и δxу = 10–60%.
Над низкоомными аномалиями, они показаны для импедансов $Z_{{{\text{ob}}}}^{{yx}}$, ориентированных вдоль основных структурных линий ($Z_{{{\text{ob}}}}^{\parallel }$) в т.и. профилей:
– Пр. X, 5108 – δyx < 25%, 207 δyx < 10%, 214–215, 220–221 δyx < 15%.
– Пр. XII, 109 и 117 – δyx < 15%, 113 и 118 – δyx < 30%.
– Пр. XI, 303–314, 317 – δyx < 15%.
– Пр. V, 25 – δyx < 50%, т.и. 29 – δyx < 25% и т.и. 44 – δyx < 15%.
– Пр. IV, 2, 8 и 19 – δyx < 20%.
Более высокие значения погрешностей δxу по сравнению с δух на Пр. IV связаны с проявлением на импедансах $Z_{{{\text{ob}}}}^{{xy}}$ ($Z_{{{\text{ob}}}}^{ \bot }$) краевого эффекта от южного борта Индоло-Кубанского прогиба. Он полностью не компенсируется понижением модельных |$Z_{{{\text{in}}}}^{{xy}}$| до минимальных значений экспериментальных |$Z_{{{\text{ob}}}}^{{xy}}$|. Аналогичная ситуация наблюдается на Пр. X, протягивающегося вдоль северной границы Минераловодского выступа, и на Пр. V, где импедансы $Z_{{{\text{ob}}}}^{{yx}}$ ориентируются близко к простиранию структурных линий и погрешности δух меньше, чем δxу. Низкоомные блоки в нижней части разреза проявляются, в основном, на продольных импедансах $Z_{{{\text{in}}}}^{\parallel }$, а не на поперечных – $Z_{{{\text{in}}}}^{ \bot }$, что позволяет положительно оценивать возможности проводимой 3D инверсии восстанавливать параметры геоэлектрического разреза и подтверждается проведенными исследованиями на тестовых моделях (рис. 3, рис. 4).
В пределах Таманского переклинального прогиба и Новороссийской складчатой зоны [Белявский, 2023] погрешности δху и δух над низкоомыми блоками составляют:
– Пр. VI, вблизи вулкана Гладковский δху ≈ ≈ 50–70%, δух < 10% (т.и. 80); для Главного Кавказского разлома δху < 10%, δух = 20–60% (т.и. 74) и δху < 45%, δух = 10–30% (т.и. 75); в зоне пересечения Анапского и Молдованского разломов δху ≈ ≈ δух < 10% (т.и. 63) и δху < 50%, δух < 20% (т.и. 66), а Ахтырского и Джигинского разломов δху ≈ δух < 20% (т.и. 59, 63).
– Пр. VIII, для Главного Кавказского разлома δху ≈ δух = 1–60% (т.и. 9–10); в зоне Ахтырского разлома δху ≈ δух = 1–50% (т.и. 15), δху = 100–50%, δух = 10–50% (т.и. 16). На профилях VI и VIII кривые МТЗ ориентированные вдоль разломов (рис. 1) имеют меньшую погрешность отклонения модельных кривых от экспериментальных.
В пределах восточной части Северного Кавказа кривые, ориентированные вдоль структурных линий, имеют на Пр. IX δух: 1–20% (т.и. 1–3; 19), 1–10% (т.и. 11, 27, 52 и 68), а на Пр. XIII, δху ≈ δух = = 1–20% (т.и. 101–106), δху ≈ δух = 1–50% (т.и. 107–114).
ГЕОЭЛЕКТРИЧЕСКАЯ МОДЕЛЬ ЦЕНТРАЛЬНОЙ ЧАСТИ РЕГИОНА
Краснополянский профиль
Трехмерная инверсия матриц [Zob] скорректировала параметры проводящего блока, выделенного при 2D-инверсии под северным бортом складчатой системой Большого Кавказа (т.н. 2), до значений ρin = 50 Ом ⋅ м в интервале глубин 10–25 км (рис. 6б). Под этой аномалией проводимости, глубже 30 км расположен домен [Белявский и др., 2007] с повышенным поглощением обменных волн землетрясений (МОВЗ), обрамляющий Черкесский разлом. В зоне перехода от Восточно-Кубанского прогиба к Северо-Кавказской моноклинали (т.н. 6–8) аномалия с ρin = 10–50 Ом ⋅ м также коррелирует с областью повышенного затухания обменных волн, погружающейся под Восточно-Кубанский прогиб. Область повышенной проводимости на глубинах свыше 5 км под МТЗ 17–21 близка к глубинному разлому, выделенному методом МОВЗ.
Приэльбрусский профиль
Под Главным Кавказским хребтом, вблизи вулкана Эльбрус (т.н. 1–3) на глубинах от 5 до 20 км и в пределах Тырнаузского разлома (т.н. 10–11) в верхней части разреза (Zin < 1.5 км) выделены аномалии с ρin = 5–10 Ом ⋅ м (рис. 3в). Под Северо-Кавказской моноклиналью от т.н. 25 к т.н. 64 (Армавир-Невиномысский разлом) с глубины 5 км и до 15 км погружается блок с ρin = 1–10 Ом ⋅ м, отвечающий положению низкоомным блокам, выделенным методом подбора (рис. 3а). Апробация программы WSINV3DMT показала (рис. 3б), что они выделяются на всем их протяжении, поэтому принято распределение ρin(Xin, Yin, Zin), представленное на рис. 3в.
Эти аномалий низкого УЭС коррелирует с блоками повышенного затухания обменных волн землетрясений (поглощение возрастает в 3–4 раз) и дефицитом скорости продольных волн до 3–5% (рис. 3). Такая картина отвечает надвигу низкоомного и низкоскоростного блока Скифской плиты, приведшему “к вбрасыванию ее слоев”, росту мощности коры под орогеном Большого Кавказа [Шемпелев и др., 2020].
Аномалия с ρin = 10–50 Ом ⋅ м, расположенная глубже 15 км под т.н. 98–116, ассоциирует с системой разломов, ограничивающих Минераловодский выступ и Ставропольский свод (рис. 3). Она выделена под изотермой – Т = 600°С [Левин, Кондорская, 1998], что показывает на ее возможную связь с флюидонасыщением.
Профили Минераловодского выступа
Система разломов (Чегемский, Минераловодский и Нагутско-Лысогорский), обрамляющих Нальчик-Минераловодскую флексурно-сдвиговую зону северо–северо-западного простирания (рис. 9, рис. 10), характеризуется на глубинах 5–20 км аномалиями ρin = 10–50 Ом ⋅ м (т.н. 113–117) и ρin = 1–3 Ом ⋅ м (т.н. 312–314, т.н. 108–109). Выделенные под Пр. X–XI (рис. 7а, 7б) на глубинах: Zin = 10 км аномалии с ρin = 3–10 Ом·м (т.н. 5109, т.н. 207–208); Zin = 20 км с ρin = 50–100 Ом ⋅ м (т.н. 214–216, т.н. 303–304; т.н. 117) и с ρin = 2–5 Ом ⋅ м в т.н. 108–109 коррелируют с положением Армавир-Невиномысского, Минераловодского и Нагутско-Лысогорского разломов.
Рис. 9.
Геоэлектрические разрезы (программа WSINW3DМТ) по профилям МТЗ (рис. 1): (а) – X, (б) – XII, (в) – XI. Условные обозначения: 1 – т.и. МТЗ; 2 – глубинные разломы (рис. 1); 3 – кровля складчатого основания – а и кристаллического фундамента – б [Атлас карт…, 1998]; 4 – разломы, выделенные по сейсмическим данным; 5 – блоки с пониженными ∆Vp = 2–4% относительно средних скоростей; 6 – границы областей высокой а – и менее высокой концентрации землетрясений – б.

Рис. 10.
Распределение УЭС (3D-инверсия) на глубинах: (а) – 5.5 км; (б) – 8.6 км (западная часть Северного Кавказа); (в) – 6.6 км (центральная часть Северного Кавказа): 1 (а – номера МТЗ (каждая вторая т.н.); б – грязевые вулканы); 2 – профили МТЗ; 3 (а – глубинные и региональные разломы (рис. 1), б – границы Эльбрусско–Минераловодской зоны сбросо-сдвиговых нарушений [Милановский и др., 1989], глубинные разломы М и НЛ (рис. 1), ограничивающие Нальчик-Минераловскую флексурно-разрывную зону); 4 – области концентрации эпицентров землетрясений [Габсатарова и др., 2020].

Под Минераловодским выступом аномалии повышенной проводимости (Пр. V, X, XII) согласуются с границами Эльбрусско–Минераловодской зоны сдвиговых нарушений [Милановский и др., 1989] и с глубинными разломами, ограничивающими Нальчик-Минераловскую флексурно-разрывную зону. Вдоль нее концентрируются эпицентры землетрясений [Габсатарова и др., 2020], примыкая или частично охватывая локальные зоны понижения скорости продольных волн и электрического сопротивления под Минераловодским выступом и Северо-Кавказским краевым массивом (рис. 9, рис. 10а, 10в). Восточнее Северо-Кавказского краевого массива (рис. 9а, 9в; т.н. 218–5132, 118–108) понижение скорости продольных волн объясняется с учетом изменения скорости и поперечных волн, ростом содержания SiO2 (с 63 до 65%) [Булин, Егоркин, 2000].
ИСТОЧНИК ПОВЫШЕННОЙ КОРОВОЙ ЭЛЕКТРОПРОВОДНОСТИ
Возникновение свободной фракции флюида и путей его транспортировки может быть связано: с магматической формой их переноса из мантии преобразованием серпентинитов, дегидратацией пород, фазовыми превращениями минералов, процессами дилатансии и скоплением флюида в зонах перехода от более хрупкой коры к жесткой.
О высокой проницаемости шовных зон, ограничивающих Северо-Кавказский краевой массив, свидетельствует и повышение в них концентрации гелия на 4 порядка по сравнению с фоновыми его значениями [Cобисевич и др., 2005]. Основным аргументом в пользу флюидонасыщения проводящих блоков коры является их корреляция с доменами повышенного поглощения и дефицита скорости сейсмических волн. Маловероятно, что графитизированные образования являются источником низкого УЭС при дефиците скорости до 3–5% в тех же проводящих блоках. При скорости продольных волн в графите Vp = 4.3 км/с содержание графита в низкоскоростных блоках должно достигать 6–10% [Белявский, 2007], а таких сведений не найдено.
Понижение удельного сопротивления на глубинах, где температура достигает 600°С, можно объяснить выделением воды из водосодержащих минералов [Браун, Массет, 1984], например, процессами дегидратации серпентинитов при Т = 500°С или пород амфиболитовой фации метаморфизма при Т = 680°С. Такие же температуры ведут к процессу терморазуплотнения и уменьшению УЭС на два порядка [Зонов и др., 1989]. Необходимая для этого температура в 600°С поднимается к глубинам 15–20 км под Ставропольским сводом и Минераловодским выступом (рис. 3, рис. 9). Наблюдаемый здесь повышенный тепловой поток связывается с коровыми астенолинзами [Левин, Кондорская, 1998]. Проведенные GPS-исследования показали на расширение в настоящее время структур Большого Кавказа. Распространенные здесь надвиги вызваны напряжениями субгоризонтального сжатия и “внедрением минерального вещества восходящими потоками глубинных флюидов...” [Лукк, Шевченко, 2019]. Возможность присутствия внутрикоровой гидрогеотермосферы на глубинах 8–15 км, где сосредоточено более 90% землетрясений, аргументирована и в работе [Курбанов, 2001].
ОЦЕНКА СОДЕРЖАНИЯ ФЛЮИДА В СЕВЕРО-КАВКАЗСКОМ РЕГИОНЕ
Содержание связанных в проводящие цепи водных долей флюида fρ определялось согласно зависимости удельного электрического сопротивления ρ в двухфазных породах от ρs его скелета и ρf флюида, заполняющего поры [Shankland, Waff, 1977]. При fρ < 15%, полной связанности флюида в цепи, проводящие ток, ρf$ \ll $ ρ. Тогда содержание флюида, оценивается из модифицированного закона Арчи fρ = 1.5ρf /ρ, который подтвержден численными расчетами для сред, содержащих кубические или шаровые высокоомные включения, вдоль которых распределен флюид. Лабораторные исследования показали, что уменьшение содержания связанных в нити долей флюида fρ в два раза, при той же их концентрации, ведет к увеличению УЭС блоков горных пород в 8–10 раз [Shimojuku et al., 2014]. Зависимость ρf минерализованного водного раствора от температуры и давления принималась согласно работе [Физические свойства…, 1984].
Минерализация подземных вод в пределах Северного Кавказа изменяется от первых граммов до нескольких сотен на литр [Лаврушин, 2012]. Электропроводность флюида рассчитывалась с учетом данных о средней его минерализации солями хлорида натрия в пределах: Таманского полуострова с С = 16–20 г/л, центральной части Северного Кавказа – C = 10 г/л и восточной части Северного Кавказа – С = 8 г/л При температуре Т = 18°C и атмосферном давлении соответственно имеем: ρf = 0.4 Ом ⋅ м, ρf = 0.6 Ом ⋅ м и ρf = 0.8 Ом ⋅ м.
На глубинах 3 км и 10 км в коре Таманского полуострова температура составляет 120 и 300°C [Ершов и др., 2015]. Увеличение с глубиной давления и температуры дает ρf при: Н = 3 км (Т = = 120°C) – ρf = 0.13 Ом ⋅ м, 5 км (Т = 200°C) – ρf = = 0.1 Ом ⋅ м и на 10 км (Т = 300°C) ρf = 0.05 Ом ⋅ м. При оценке содержания связанных долей флюида принято, что для глубин 3–5 км ρf = 0.1 Ом ⋅ м, а 6–10 км – ρf = 0.07 Ом ⋅ м.
Для центральной части Северного Кавказа температура достигает на глубинах: 5–6 км значений Т = 100–150°C; 8–10 км – Т = 200–300°С; 15–20 км – Т = 500–600°С и на 30 км – Т = 600–800°С, что соответственно дает: ρf = 0.2 Ом ⋅ м, ρf = 0.1–0.08 Ом ⋅ м, ρf = 0.05–0.06 Ом ⋅ м и ρf = = 0.04 Ом ⋅ м. Близкие оценки ρf получены и для восточной части Северного Кавказа [Белявский, 2022].
Содержание всех долей флюида fv в низкоскоростных коровых блоках оценивалось по уравнению среднего времени [Wyille еt al., 1956]: fv = (Vf /Vр)(Vo – Vр)/(Vo –Vf), где Vf = 1.7 км/с – скорость продольных волн в воде; Vр – скорость в блоке с водными флюидами; Vo – скорость в обезвоженном блоке коры. Распределения относительных аномалий скоростей продольных волн на профилях МОВЗ, близких или совпадающих с Пр. V, Пр. XII, Пр. X и Пр. IX, принято согласно работам [Шемпелев и др., 2020; Белявский и др., 2007]. Содержание fv и его связанных водных частей fρ в коре Северо-Кавказского краевого массива и сопредельных территорий представлено в таблице, где показано распределение относительного дефицита скорости ∆Vp/Vо продольных сейсмических волн (второй столбец) и УЭС ρin(Xin, Yin, Zin) (пятый столбец).
Таблица 1.
Распределение водной фракции флюида
| Пр. МТЗ (Пр. МОВЗ) |
∆Vp/Vо в %; fv, в %; Vо = 6.4 км/с до H = 20 км и Vо = 6.8 км/с для H > 20 км | Hр – глубины до кровли и подошвы низкоскоростного блока (т.н. МТЗ) | Т (°С); структуры – зоны сдвигов, разломы | ρin (Ом ⋅ м) блока, его Нim (км) и доля водной фракции флюида fρ в % к объему блока |
| Пр. X | 1) 3–4%, fv = 1–1.4% | 1) Hр = 12–25 км, (207–208), | 1) Т = 100–250°С, Черкесский разлом, Нальчик–Минераловодская зона | 1) ρin = 10–3, Нin= 4 км, fρ = 2–8%, fρ= 1.5–4% (10 км) |
| 2) 2–4%, fv = 0.7–1.4% | 2) Hр = 8–25 км, (212–214) | 2) Т = 100–400оС, Нагутско-Лысогорский разлом | 2) ρin = 100–200, Нin = 5–20, fρ ≈ 0.1% | |
| Пр. V | 1) 10–7%, fv = 5–3% | 1) Нр = 5–35 км, (1–3); | 1) Т = 100–400оС, вулкан Эльбрус | 1) ρin = 5–10, Нin = 7–12 км, fρ = 1.5–3%; |
| 2) 3–5%, fv = 1–2% | 2) Нр = 5–15 км, (25–52), 40–50, (60–100) | 2) Т = 150–400°С, | 2) ρin = 3–5, Нin = 5–10 км, fρ = 6–3%; | |
| 3) 2–4%, fv = 0.7–1.4% | 3) Нр = 15–40 км, (80–116), | 3) Т = 200–600°С, Нальчик–Минераловодская зона, Минераловодский разлом | 3) ρin = 10–50, Нin = 15 км, fρ = 1–0.2%; Нin = 30, fρ = 0.5–0.1% | |
| Пр.XII | 1) 3–6%, fv = 1–2% | 1) Нр = 5–25, (117–113) | 1) Т = 200–600°С, Минераловодский разлом, граница Эльбрусско–Минераловодской зоны | 1) ρin = 10–30, Нin = 10 км, fρ = 1.5–0.5%, fρ = 0.45–0.15%, Нin = 30; |
| 2) 2−4%, fv = 0.7–1.3% | 2) Нр = 5–20 км, (113–109) | 2) Т= 100–200°С, Эльбрусско–Минераловодский и Нагутско-Лысогорский разломы | 2) ρin = 10–30, fρ = 1.5–0.3%, Нin = 10 км, fρ = 3–0.6%, Нin = 5 км; | |
| 3) 2–4%, fv= 0.7–1.3% | 3) Нр = 5–15 км, (108) | 3) Н = 4–10 км, Т = 100–200°С, Эльбрусско–Минераловодская зона | 3) ρin = 2–5, Нin = 7–9 км, fρ = 3–6%; | |
| Пр. IX | 4.8%, fv= 2.7% | Нр = 8–20 км, (26, 27) | Т = 150–200°С, разлом Срединный | ρin = 4–5, fρ = 6–3%, Н = 7–9 км |
Полученное распределение связанных долей флюида fρ и глубина их концентрации представлены на рис. 11. В пределах Минераловодского выступа и Северо-Кавказского краевого массива, глубже 5–10 км, fρ близко к значениям fv или ниже (таблица). Лабораторные исследования показали, что повышение fv относительно fρ, связано с адсорбцией части ионов NaCl на стенках капилляров [Shimojuku et al., 2014].
Рис. 11.
Распределение связанных долей флюида fρ (%) в Северо-Кавказском регионе: 1 – профили МТЗ, 2 – глубина до фундамента; 3 – доля флюида (а); 4 – глубина до зон повышенного содержания fρ (б).

Превышение fρ над fv под т.н.: 25–52 (Пр. V), 207–208 (Пр. X), 108 (Пр. XII) можно объяснить более высоким содержанием солей хлорида натрия во флюиде, чем принято при оценке fρ или проявлением принципа эквивалентности при оценке ρin, когда изменение мощности проводника и его УЭС пропорциональны. Например, в тестовой модели (рис. 3а), при интегральной проводимости St под т.и. 36–41 блока с St = 1700–2000 См и его ρt = 10 Ом ⋅ м, уменьшение получаемых ρin до 3–5 Ом ⋅ м и мощности аномалии до hin = 5000 м (рис. 3б) ведет к росту оцениваемого fρ. Увеличение мощности аномалии проводимости hin (т.и. 30–36, рис. 4г) до 3–4 км по сравнению с модельным блоком с ht = 0.5 км (рис. 4а) при росте его ρin до 5–10 Ом ⋅ м (ρt = 1 Ом ⋅ м) ведет к кажущемуся уменьшению fρ.
Введение дополнительных ограничений, например из сейсмических данных, на параметры проводящих блоков позволяет более надежно определять ρin(Xin, Yin, Zin) и fρ, а также внесение коррективов в шкалу возможных отклонений ρin при учете погрешностей инверсии δху, δух. Введенное выше допущение о постоянстве минерализации флюида в частях Северного Кавказа позволяет вносить изменения в оценки fρ, представленные на рис. 11, пропорционально фактическим изменениям значений его минерализации и закона Арчи.
РЕЗУЛЬТАТЫ ИССЛЕДОВАНИЙ
1. В пределах глубинных разломов и шовных зон, пересекающих Минераловодский выступ и Северо-Кавказский краевой массив, максимальное содержание флюида с fρ = 2–9% сосредоточено на глубинах от 2 до 15 км (рис. 10в, рис. 11) в зонах:
– Пересечения разломов: Черкесского и Армавиро–Невиномысского (т.н. 206–208, Пр. X), Нагутского и Нагутско–Лысогорского (т.н. 98–116, Пр. V), а последнего с восточной границей Эльбрусско–Минераловодской зоной (Пр. XII, т.н. 113–117, т.н. 108).
– Сопряжения Северо-Кавказского массива с прогибами Восточно-Кубанским (пр. IV, т.н. 6–8) и Терско-Каспийским (Пр. XI, т.н. 302–304) по Черкесскому и Минераловодскому разломам.
– Надвига с 15 до 5 км от Армавир-Невиномысского разлома до Тырнаузского (Пр. V, т.н. 52–25) и вулканической камере Эльбрус (рис. 3б; рис. 10–рис. 11).
Высокая проводимость коровых блоков коррелирует с доменами пониженных скоростей сейсмических волн до 5% (таблица) или/и повышенным их поглощением (рис. 3, рис. 6, рис. 9). Эти факты объясняются высоким содержанием флюида в разуплотненных плоскостях надвига коры Скифской плиты на южную микроплиту [Шемпелев и др., 2005], активизацией глубинных разломов и “флюидосодержащим жерлом вулкана” Эльбрус [Шемпелев и др., 2020].
2. В камерах грязевых вулканов Таманского прогиба (Пр. VI, т.н. 41, 44, 47 и 52–55, рис. 1), узлах пересечения Главного Кавказского, Ахтырского глубинных разломов с региональными (Джигинский, Анапский), отделяющими складчатые структуры Кавказа от Таманского прогиба (Пр. VI, т.н. 74–75; Пр. VII, т.н. 8–11) и в восточной части Индоло-Кубанского прогиба (Пр. VII, т.н. 53) содержание водной фракции флюида fρ = = 5–20% при ρin = 1–4 Ом ⋅ м (рис. 10; рис. 11). Эти области ассоциируют с положением доменов повышенного поглощения сдвиговых обменных волн, приуроченных к каналам поступления флюида [Рогожин и др., 2019б]. Так в зоне Ахтырского разлома, ограничивающего Большой Кавказ на северо-западе, их затухание втрое превышает фоновые значения.
На северо-востоке Новороссийской складчатой зоны у Ахтырского и Главного Кавказского глубинных разломов fρ понижается до 1–2%, а под Пр. III (т.н. 2–4, 17–23) до fρ = 0.4–1.5% (ρin = = 50–10 Омּм) на глубинах Zin = 4–10 км (рис. 10б; рис. 11) и в области сопряжения структур Большого Кавказа и Индоло-Кубанского прогиба (Пр. I, т.н. 2, 4–10) [Белявский, 2022]. Эти блоки характеризуются и меньшим затуханием поперечных волн [Рогожин и др., 2015] в полосе поддвига Скифской плиты под Большой Кавказ [Золотов и др., 2001]. В пределах этих структур, от Анапского разлома и до Новороссийской складчатой зоны, расположены землетрясения с магнитудою М > 5 [Cтонгий, Стонгий, 2019].
3. В восточной части Северного Кавказа, под складчатыми структурами Бокового хребта, Аквалинской моноклинали, Известкового Дагестана (Пр. XIII) на глубинах от 5 км до 8 км протягиваются блоки с fρ = 3–1% (ρin = 10–30 Омּ ⋅ м) [Белявский, 2022] от Главного хребта Большого Кавказа до Терско-Каспийского прогиба (рис. 11). В пределах поясов, разделяющих основные высокоомные структуры Восточного Кавказа, аномалии повышенных fρ погружаются к северу с глубины 1 до 5 км под Боковой хребет, Аквалинскую моноклиналь и Известковый Дагестан. Положение этих зон флюидонасыщения ассоциирует с сочленением Терско-Каспийского прогиба и складчатых сооружений Восточного Кавказа [Магометов, 2010]. В ней Дагестанский клин (рис. 1) состоит из системы раздробленных надвигов по палеоцен-эоценовым отложениям, вдоль которых может поступать флюид, создающий систему проводящих структур.
В Терско-Каспийском прогибе (Пр. IX), на глубинах 5–7 км под Северным фронтальным надвигом Восточного Кавказа (т.н. 1) и в окрестности Срединного разлома (т.н. 27), разделяющего Терско-Кумскую впадину и Терско-Каспийский прогиб fρ = 6–3% (рис. 11). Первый блок флюидонасыщения связан с южным падением, надвигаемых на Терско-Каспийский прогиб структур Большого Кавказа [Белов и др., 1990]. Он коррелирует с выделенной на глубинах от 15 до 25 км аномалией повышенного поглощения скоростей волн VS до 3–4 дБ [Рогожин и др., 2019], что объясняется “адвективным проникновением легкого, низкодобротного материала в кору”. Вторая зона флюидонасыщения коррелирует с положением менее скоростного блока с V = 5.9 км/с, при средней коровой скорости V = 6.2 км/с [Краснопевцева, 1978], что отвечает fv ≈ 3%, близкой к оцениваемой по fρ. В восточной части Терско-Каспийского прогиба (Пр. XIV), под широтными разломами на глубинах от 3 до 8 км, выделены аномалии проводимости с fρ = 9% [Белявский, 2022].
4. В центральном секторе Северного Кавказа проводящая область под Минераловодским выступом и краевым массивом охватывает Нагутско-Лысогорскую и Минераловодскую сдвиговые структуры (рис. 3в). Они наряду с Армавир-Невиномысским разломом, коррелируют с расположением трех лент повышенной сейсмичности (рис. 9; рис. 10в) [Габсатарова и др., 2020]. Северный фронтальный надвиг (fρ = 3–6%), граничащий с Владикавказским разломом (т.н. 3, Пр. IX), окружен сейсмолинеаментом с магнитудою возможных землетрясений до Мmax = 6.5–7.1 [Асманов и др., 2013] (рис. 1). Эта концентрация очагов землетрясений, отображает “… миграцию глубинных флюидных потоков вдоль, расположенных параллельно высокоскоростному блоку, слоев с пониженными скоростями продольных волн” [Краснопевцева, Кузин, 2009]. В пределах Дагестанского клина и прилегающих к нему территорий Терско-Каспийского прогиба наблюдаемое высокое флюидонасыщение (рис. 11) уменьшает вязкость и устойчивость активизированных зон коры, что и проявляется в концентрации эпицентров литосферных землетрясений.
Можно констатировать, что повышенная проводимость (ионный тип) коры, связанная с ее физико-химическими свойствами, позволяет решать задачи геодинамики и сейсмической активности.
Список литературы
Асманов О.А., Адилов З.А., Даниялов М.Г. Анализ сейсмического материала в целях среднемасштабного сейсмического районирования территории Дагестана. Труды института геологии Дагестанского научного центра РАН. Гидрогеология и некоторые прикладные аспекты геологии Восточного Кавказа. 2013. Вып. № 62. С. 218–222.
Атлас карт Северного Кавказа: тектоническая карта Северного Кавказа. Масштаб 1: 1 000 000. Гл. ред. Н.И. Пруцкий. Ессентуки: Северо-Кавказский региональный геологический центр МПР России. 1998.
Бердичевский М.Н., Дмитриев В.И. Модели и методы магнитотеллурики. М.: Научный мир. 2009. 680 с.
Белявский В.В. Геоэлектрическая модель тектоносферы Северо-Кавказского региона Тверь: ООО “Издательство ГЕРС”. 2007. 250 с.
Белявский В.В., Егоркин А.В., Ракитов В.А., Солодилов Л.Н., Яковлев А.Г. Некоторые результаты применения методов естественных электромагнитных полей и сейсмических полей на Северном Кавказе // Физика Земли. 2007. № 3. С. 4–14.
Белявский В.В. Геоэлектрическая модель Восточного Кавказа // Геофизика. 2022. № 1. С. 64–69.
Белявский В.В. Геоэлектрическая модель Северо-Западного Кавказа: трехмерная инверсия // Физика Земли. 2023. № 2. C. 78–92.
Белов А.А., Буртман В.С., Зинкевич В.П. и др., Тектоническая расслоенность литосферы и региональные геологические исследования М.: Наука. 1990. 293 с.
Браун Л., Массет А. Недоступная Земля. М.: Мир. 1984. 262 с.
Булин Н.К., Егоркин. А.В. Региональный прогноз нефтегазоносности недр по глубинным сейсмическим критериям. М.: Центр ГЕОН. 2000. 192 с.
Варенцов И.М. Общий подход к решению обратных задач магнитотеллурики в кусочно-непрерывных средах // Физика Земли. 2002. № 11. С. 11–33.
Вобликов Б.Г., Лопатин А.Ф. Тектоническое строение палеозойских отложений центрального и восточного Предкавказь // Тектоника и геодинамика. Ставрополь. 2002. С. 87–108.
Габсатарова И.П., Королецки Л.Н., Иванова Л.Е. Селиванова Е.А. Землетрясения Заветненское 2 мая 2012 с Kр = 11.2, Мwрег = 4.3, $I_{o}^{p}$ = 5 и Воровосколесское – II 15 декабря 2012 г. с Kр = 10.8, Мwрег = 4.2, $I_{o}^{p}$ = 4 (Ставропольский край). Cильные и ощутимые землетрясения. Обнинск: ФИЦ ЕГС РАН. 2020. С. 323 – 331.
Ершов В.В., Собисевич А.Л., Пузич И.Н. Глубинное строение грязевых вулканов Тамани по данным натурных исследований и математического моделирования // Геофизические исследования 2015. Т. 16. № 2. С. 69–76.
Золотов Е.Е., Кадурин И.Н., Кадурина Л.С., Недядько В.В., Ракитов В.А., Рогожин Е.А., Ляшенко Л.Л. Новые данные о глубинном строении земной коры и сейсмичности Западного Кавказа. Геофизика ХХI столетия / Солодилов Л.Н. (ред.). 2001. С. 85–89.
Зонов С.В., Зарайский Г.П., Балашов В.И. Влияние теплового разуплотнения на проницаемость гранитов в условиях небольшого превышения литостатического давления над флюидным // Докл. АН. СССР. 1989. № 307(1). С. 191–194.
Иванов П.В., Пушкарев П.Ю. Трехмерная инверсия рассчитанных на одиночном профиле магнитотеллурических данных // Физика Земли. 2012. № 11–12. С. 91–96.
Краснопевцева Г.В., Кузин А.М. Комплексная сейсмическая интерпретация данных ГСЗ (продольные волны) на примере профиля “Волгоград–Нахичевань”. Материалы Всеросс. совещ. 18–21 августа 2009, г. Иркутск. Иркутск: ИЗК СО РАН. 2009. Т. 1. С. 61–63.
Краснопевцева Г.В. Глубинное строение Кавказаю Строение земной коры и верхней мантии Центральной и Восточной Европы / Соллогуб В.Б. (ред.). Киев: Наукова думка. 1978. С. 190–199.
Курбанов М.К. Геотермальные и гидроминеральные ресурсы Восточного Кавказа и Предкавказья. М.: Наука. 2001. 260 с.
Лаврушин В.Ю. Подземные флюиды Большого Кавказа и его обрамления / Поляк Б.Г. (ред.). Тр. ГИН РАН. М.: ГЕОС. 2012. Вып. 599. 348 с.
Левин Л.Э., Кондорская Н.В. Сейсмичность центральной части Средиземноморского пояса Евразии в связи с проблемой развития нефтегазового комплекса // Разведка и охрана недр. 1998. № 2. С. 28–31.
Лукк А.А., Шевченко В.И. Сейсмичность, тектоника и GPS-Геодинамика Кавказа // Физика Земли. 2019. № 4. С. 99–123.
Магомедов Р.А. Геодинамический режим области Дагестанского клина в Альпийском цикле развития Восточного Кавказа. Институт геологии ДНЦ РАН. Сборник научных трудов выпуск № 56. Мониторинг и прогнозирование природных катастроф. Махачкала. 2010. С. 66–79.
Милановский Е.Е., Расцветаев Л.М., Кухмазов С.У., Бирман А.С., Курдин Н.Н., Симако В.Г., Тверитинова Т.Ю. Новейшая геодинамика Эльбрусско-Минераловодской области Северного Кавказа // Геодинамика Кавказа. М.: Наука 1989. С. 99–105.
Рогожин Е.А., Малюков В.К., Миронов А.П, Овсюченко А.Н., Горбатиков А.В., Андреева Н.В., Лукашова Р.Н., Дробышев В.И., Хубаев Х.М. Характеристики современных горизонтальных движений в зонах заметных землетрясений начала XXI в. в центральном секторе Большого Кавказа по данным gps- наблюдений и их связь с новейшей тектоникой и глубинными строением Земной коры // Геофизические процессы и биосфера. 2019а. Т. 18. № 1. С. 91–102.
Рогожин Е.А., Горбатиков А.В., Харазова Ю.В., Степанова М.Ю., Chen J, Овсюченко А.Н., Ларьков А.C., Сысолин А.И. Глубинное строение Анапской флексурно-разрывной зоны, западный Кавказ // Геотектоника. 2019б. № 5. С. 3–11.
Рогожин Е.А., Горбатиков А.В., Степанова М.Ю., Овсюченко А.Н., Андреева Н.В., Харазова Ю.В. Структура и современная геодинамика мегантиклинория Большого Кавказа в свете новых данных о глубинном строении // Геотектоника. 2015. № 2. С. 36–49.
Собисевич А.Л., Лаверова Н.И., Собисевич Л.Е., Микадзе Э.И., Овсюченко А.Н Сейсмоактивные флюидо-магматические системы Северного Кавказа / Лаверов Н.П. (ред.). М.: ИФЗ. им. О.Ю. Шмидта РАН. 2005. 225 с.
Стонгий Г.А., Стонгий В.В. Сейсмотектоническая модель Северо-западного Кавказа: геолого-геофизический аспект // Физика Земли. 2019. № 4. С. 124–132.
Шемпелев А.Г., Пьянов В.Я., Лыгин В.А., Кухмазов С.У., Морозова А.Г. Результаты геофизических исследований вдоль Приэльбрусского профиля (вулкан Эльбрус – Кавказские Минеральные воды). Региональная геология и металлогения. 2005. № 25. С. 178–185.
Шемпелев А.Г., Заалишвили В.Б., Чотчаев Х.О., Шамановская С.П., Рогожин Е.А. Тектоническая раздробленность и геодинамический режим вулканов Эльбрус и Казбек (центральный Кавказ, Россия): Результаты глубинных исследований // Геотектоника. 2020. № 5. С. 55–69.
Физические свойства горных пород и полезных ископаемых (петрофизика) / Н.В. Дортман (ред.). М.: Недра. 1984. 455 с.
Druskin V., Knizhnerman L. Spectral approach to solving three-dimensional Maxwell’s diffusion equations in the time and frequency domains // Radio Sci. 1994. V. 29(4). P. 937–953.
Counil J.L., le Mouel J.L., Menvielle M. Associate and conjugate directions concepts in magnetotellurics // Ann. Geophys. 1986. V. 4B. № 2. P. 115–130.
Kiyan D., Jones A., Vozar J. The inability of magnetotelluric off-diagonal impedance tensor elements to sense oblique conductors in three-dimensional inversion // Geophys. J. Int. 2014. V. 196. P. 1351–1364.
Miensopust M.P., Queralt P., Jones A.G. Magnetotelluric 3D inversion - review of two successful workshops on forward and inversion code testing and comparison and the 3D MT modelers // Geophys. J. Int. 2013. V. 193. P. 1216–1238.
Siripunvaraporn W., Egbert G., Lenbury Y, Uyeshima M. Three-dimensional magnetotelluric inversion: data-space method // Physics of the Earth and Planetary Interiors. 2005. V. 150 (1–3). P. 3–14. https://doi.org/10.1016/j.pepi 2004.08.023
Siripunvaraporn W., Egbert G., Uyeshima M. Interpretation of two-dimensional magnetotelluric profile data with three-dimensional inversion: synthetic examples // Geophys. J. Jnt. 2005. V. 160. P. 804–814. https://doi.org/10.1111/j.1365-246X.2005.02527
Shimojuku A., Yoshino T., Yamazaki D. Electrical conductivity of brine-bearing quartzite at 1 GPa: implications for fluid content and salinity of the crust // Earth Planet Sp. 2014. V. 66. P. 2. https://doi.org/10.1186/1880-5981-66-2
Shankland T.I., Waff H.S. Partial melting and electrical conductivity anomalies in the upper mantle // J. Geophys. Res. 1977. V. 82 (33). P. 5409–5417.
Wyllie M.R.J., Gregory A.R. Gardner L.W. Elastic wave velocities in heterogeneous and porous media // Geophysics. 1956. V. 21. P. 41—70.
Дополнительные материалы отсутствуют.


