Физика Земли, 2022, № 5, стр. 181-188
Применение аэроэлектроразведки для решения гидрогеологических задач
В. В. Агеев 1, *, Е. В. Каршаков 2, Е. В. Мойланен 2, **
1 Институт физики Земли им. О.Ю. Шмидта РАН
г. Москва, Россия
2 Институт проблем управления им. В.А. Трапезникова
г. Москва, Россия
* E-mail: ageevvv@yandex.ru
** E-mail: moilanen@mail.ru
Поступила в редакцию 07.03.2022
После доработки 11.04.2022
Принята к публикации 15.04.2022
- EDN: MCDERF
- DOI: 10.31857/S0002333722050155
Аннотация
В работе описана технология наземных и вертолетных электроразведочных работ, направленных на оценку перспективности территории для поиска воды. Для сложных геокриологических условий Якутии показана эффективность метода переходных процессов и частотного метода при выделении зон, рекомендуемых для бурения на воду.
ВВЕДЕНИЕ
Интенсивное строительство протяженных линейных сооружений, ведущееся в последнее время в России, требует организации локальных водозаборов преимущественно для технического водоснабжения, при этом в критических ситуациях (пожары, аварии) источники водоснабжения должны обеспечивать большие расходы при невысоких требованиях к качеству воды. Строительство выполняется в тундре и тайге, где отсутствует транспортная сеть, кроме просек. В этих регионах широко развиты многолетнемерзлые породы с мощностью до 300–350 м. Учитывая сложные мерзлотно-гидрогеологические условия и, часто, невысокий уровень изученности, геофизические исследования, направленные на выделение перспективных участков для бурения на воду, являются неотъемлемой частью общего комплекса поисково-разведочных работ на воду.
Возможные источники водоснабжения можно разделить на два типа:
1. Приповерхностные (надмерзлотные) талики, расположенные под руслами рек, озер в рыхлых и коренных породах. В этих таликах вода обычно пресная.
2. Подмерзлотные воды, находящиеся в зонах повышенной трещиноватости в коренных терригенно – карбонатных породах. В этих зонах вода преимущественно с высокой минерализацией (10–25 г/л и более). В частности, в описываемом ниже примере работ на территории Якутии наиболее перспективным для бурения на воду представляется метегеро-ичерский комплекс пород кембрийского возраста в интервале глубин 150–300 м, в разрезе которого присутствуют карбонатные породы, из которых фиксировались притоки при бурении скважин на углеводороды.
Как из физических предпосылок, так и из опыта работ в этих условиях очевидно, что наиболее пригодным методом для выделения участков, перспективных для бурения на воду, является электроразведка в модификации зондирование становлением поля (ЗСБ) – методом переходных процессов (МПП) с магнитным диполем для возбуждения и регистрации электромагнитного поля. Очевидные преимущества этой технологии: высокая чувствительность к проводящим объектам, к которым относятся как приповерхностные, так и подмерзлотные талики, а также возможность возбуждения и регистрации измеряемых параметров без контакта с поверхностью земли. Работы могут выполняться как с любых поверхностей (снег, лед, курумники), так и с воздуха. Дополнительно отметим, что в настоящее время в нашей стране отработаны и широко применяются технологии, обеспечивающие выполнение полного цикла работ (от натурных наблюдений до получения результатов интерпретации) в сжатые сроки.
ОСОБЕННОСТИ РАБОТЫ В ДАННЫХ ГЕОКРИОЛОГИЧЕСКИХ УСЛОВИЯХ
При работах методом ЗСБ, особенно в районах развития многолетнемерзлых пород можно столкнуться с двумя эффектами, которые затрудняют интерпретацию [Куликов, Шемякин, 1978; Каменецкий и др., 1990]. Первый – эффект быстрой вызванной поляризации (БВП), присущий мерзлым, льдистым породам. При наземных и аэро- работах ЗСБ (МПП) в Якутии он проявляется повсеместно [Сидоров, Шабаев, 1985; Задорожная, Лепешкин, 1998; Стогний, 2008; Стогний, Коротков, 2010; Кожевников, 2012; Viezzoli et al., 2016; Агеев, Агеев, 2017; Kaminski, Viezzoli, 2017; Fiandaca et al., 2020]. Пример кривых из описываемых работ в Якутии приведен на рис. 1. Красная кривая ЗСБ для совмещенной наземной установки с петлей 100 × 100 м, коричневая – то же с петлей 30 × 30 м. Для маленькой петли влияние БВП приводит к смене знака процесса становления (отрицательные значения отмечены пунктиром). Для большой петли смены знака нет, но остается заметный максимум. Модельная кривая для подобранного разреза без БВП показана розовым цветом. Моделирование выполнялось с помощью программы TEM-Researcher [Барсуков и др., 2006], в которой используется феноменологический подход для введения ВП в уравнения электродинамики, а именно эмпирическое выражение частотной дисперсии удельного электрического сопротивления, получившее название модели Коула–Коула [Pelton et al., 1983]:
Рис. 1.
Пример проявления эффекта БВП над мерзлым разрезом для наземной установки ЗСБ (красная кривая – петля 100 × 100 м, коричневая – 30 × 30 м, розовая – модельная без БВП) и для поднятой на 100 м (синяя – с БВП, зеленая – без БВП).

В аэроварианте влияние БВП существенно меньше. На том же рис. 1 смоделирована ситуация для подобранного разреза с малой установкой при высоте подъема на 100 м. Синяя кривая с влиянием БВП, зеленая – без влияния.
Второй эффект – это суперпарамагнетизм (СПМ) или магнитная вязкость. Случаи фиксации явления СПМ в данных ЗСБ известны с восьмидесятых годов, когда при нефтепоисковых работах часто наблюдалась несогласованность данных при измерении с петлями разного размера или данных на соосной и разнесенной установках. Физика явления СПМ изучена и описана в серии работ. Суперпарамагнетизм – это пограничное состояние магнитного материала между пара- и ферро- магнетизмом. После выключения намагничивающего внешнего поля результирующий вектор намагниченности СПМ материала релаксирует к нулевому состоянию за время, сравнимое с временным диапазоном эксперимента (для измерений ЗСБ это от мкс до секунд). СПМ эффекты обычно трактуются как частотная дисперсия магнитной восприимчивости горных пород. На кривых ЗСБ это приводит к тому, что на поздних временах наблюдается достаточно интенсивный сигнал, спадающий примерно, как 1/t [Barsukov, Fainberg, 2001]. Для моделирования СПМ эффектов в программе TEM-Researcher в качестве релаксационной модели СПМ используется переходная характеристика магнитной восприимчивости ${{\chi }_{{{\text{SPM}}}}}$ в виде:
Для соосных приемной и передающей петель радиусом r и R, расположенных над СПМ полупространством на высоте h, СПМ переходный процесс (E(t)/I) описывается формулой:
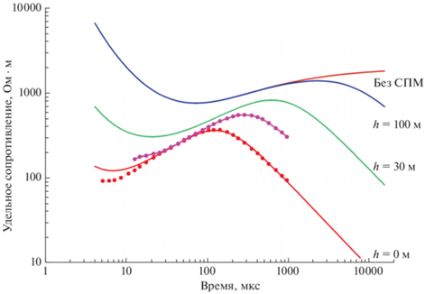
На рис. 2 приведен пример полевых кривых ЗСБ с петлей 30 × 30 м (красная кривая с точками с подобранной модельной кривой с СПМ) и с петлей 100 × 100 м (розовая кривая) на одной из точек в Магаданской области. Параметры подобранной трехслойной модели: h1 = 10 м, ρ1 = 56 Ом · м; h2 = 55 м, ρ2 = 600 Ом · м, ρ3 = 2000 Ом · м, магнитная восприимчивость ${{\chi }_{{{\text{SPM}}}}}$ = 0.0008 (ед. СИ). Данные для разных петель не согласуются между собой на больших временах и указывают на наличие фиктивного проводника на разной глубине. Там же представлены модельные кривые для установки, поднятой на 30 м (зеленая кривая) и на 100 м (синяя – с СПМ, коричневая – без СПМ). Очевидно уменьшение вклада СПМ сигнала на 2 и 3 порядка соответственно.
Рис. 2.
Пример проявления СПМ эффекта для наземной установки с петлей 30 × 30 м (красная кривая) и 100 × 100 м (розовая). Зеленая и синяя кривые для поднятой установки на 30 и 100 м соответственно.

Таким образом модификация аэроэлектроразведки ЗСБ помимо прочих технологических преимуществ перед наземным вариантом обладает еще достоинствами в плане ослабления искажений от эффектов БВП и СПМ.
Рассмотрим эффективность электроразведки в наземном и аэроварианте на примере решения гидрогеологических задач в Якутии.
РЕШЕНИЕ ГИДРОГЕОЛОГИЧЕСКИХ ЗАДАЧ В ЯКУТИИ
Перед нами была поставлена задача выбрать участки для бурения на воду, на площади размером около 300 кв. км.
На начальном этапе мы выполнили наземные работы вдоль наиболее крупной реки и по ее притокам с петлями от 50 × 50 м (на возможные приповерхностные талики) до 200 × 200 м (на подмерзлотные воды до глубины 400 м). Переезды между профилями выполнялись по зимникам на транспорте, передвижение по профилям и установка оборудования производились пешком, по глубокому снегу. При измерениях использовалась аппаратура TEMFAST [Барсуков и др., 2006] – наиболее компактная аппаратура из известных нам образцов, позволяющая выполнять измерения на глубину до нескольких сотен метров при пешем передвижении. Работы проводились в течение 20 дней и были остановлены после наступления оттепели. С середины лета появляется возможность пешего передвижения, при этом перемещение с профиля на профиль возможно только вертолетом. Укажем, что по нашему опыту производительность наземных работ в тайге на больших площадях летом заметно снижается.
Анализ полученных данных позволил определить геоэлектрическое строение разреза и установить следующие особенности мерзлотно – гидрогеологических условий:
• На глубине до 350–400 м разрез имеет преимущественно четырех-пятислойное строение, при этом геоэлектрические горизонты хорошо увязываются с известными литолого-стратиграфическими элементами разреза, выделенными по результатам буровых работ и ГИС на углеводороды (в основном по данным ГК и КС).
• Положение подошвы мерзлых пород может быть установлено только предположительно. Причины этого – высокое содержание глинистых прослоев и интенсивное засоление как мерзлых, так и нижележащих талых пород.
• Подавляющее большинство приповерхностных таликов по геоэлектрическим параметрам (удельное электрическое сопротивление (УЭС) = = 25–40 Ом ⋅ м) сложены преимущественно глинистыми отложениями и не могут быть рекомендованы для получения значительных объемов воды. Пример наиболее крупного выделенного подозерного талика на глубину до 80 м показан на рис. 3.
Рис. 3.
Геоэлектрический разрез (внизу) по наземным данным ЗСБ с петлей 50 × 50 м через подозерный талик и плановое положение точек зондирования (вверху).

Для изыскания подземного источника технологического водоснабжения практический интерес представлял подмерзлотный нижне-среднекембрийский (ичерский) водоносный горизонт, особенно в зонах тектонических нарушений и на участках его флексурообразных перегибов. На изучаемой территории он распространен повсеместно, но отличается крайней неоднородностью фильтрационных свойств, что связано с различной степенью трещиноватости карбонатной толщи. Перекрывающая метегерская свита, сложенная доломитами с прослоями известняков и мергелей, по геологическим данным на участке исследования проморожена. Но по аналогии со смежными участками в зонах тектонических нарушений и в этой свите можно было прогнозировать наличие подмерзлотных вод. Так по предварительной изученности района известна скважина, вскрывшая водоносный горизонт в отложениях метегерской и ичерской свит, дебет которой составил 5 л/с при понижении уровня 16 м.
По наземным работам зона, представляющаяся перспективной в преимущественно карбонатных породах метегеро-ичерского комплекса, была выделена только одна (рис. 4), что явно недостаточно даже для оценки перспективности всей площади при бурении на воду.
Рис. 4.
Сопоставление результатов аэроработ с аппаратурой ЭКВАТОР по маршруту 1 и наземных работ ЗСБ с выделением аномальных зон в метегеро-ичерском горизонте: а – номер геоэлектрического горизонта; б – зоны, перспективные для бурения на воду.

Из полученных данных стало очевидным, что необходимо выполнить исследования с охватом всей площади хотя бы по редкой сети профилей. В сложившихся условиях единственным вариантом выполнить эти работы было использование аэроварианта методом переходных процессов, чтобы успеть за оставшееся время провести оценку перспективности участка для поисков и разведки подземных вод.
Измерения с воздуха были выполнены отечественной аппаратурой ЭКВАТОР [Волковицкий и др., 2010], смонтированной на вертолете и выполняющей измерения электромагнитного поля во временном и частотном диапазоне параллельно с измерением магнитного поля Земли. Основные особенности – измерения выполняются разнесенными петлями, временной диапазон регистрации позволяет изучить в условиях региона разрез на глубину до 350–400 м, кратность отсчетов в сочетании со скоростью полета позволяет проследить разрез с выделением в нем субвертикальных неоднородностей. Полеты выполнялись с обтеканием рельефа при высоте вертолета около 100 м, при этом навигационное оборудование обеспечивало высокую точность привязки.
Особо отметим, что требуемый объем измерений (9 профилей протяженностью 320 км) был выполнен за два дня.
Обработка данных выполнялась с использованием специального программного обеспечения, на основе алгоритма, приведенного в работе [Jupp, Vozoff, 1975]. По участкам работ составлены разрезы распределения удельного электрического сопротивления и графиков локальной составляющей аномального магнитного поля.
Нами выполнен совместный анализ всех полученных данных, позволивший установить следующее:
• Геоэлектрические разрезы, составленные по данным наземных работ и аэроработ, хорошо совпадают, что говорит как об устойчивости принятой геоэлектрической схематизации, так и об удовлетворительном расчленении разреза по удельному электросопротивлению. Пример сопоставления разрезов по близко расположенным аэро и наземным профилям (расхождение в плане до 2000 м) приведен на рис. 4.
• В разрезе выделены четыре геоэлектрических горизонта (рис. 4) со следующей стратиграфической привязкой (описание ведется сверху вниз, номер горизонта соответствует номеру на разрезе, рис. 4):
1. Горизонт с УЭС = 100–200 Ом ⋅ м, объединяющий отложения четвертичного и юрского возраста и, возможно, верхнюю часть верхоленской свиты (условно назовем “верхний” горизонт, Q + J1 + Є2vl).
2. Горизонт с УЭС = 15–30 Ом ⋅ м, относящийся к верхоленской свите (Є2vl), преимущественно глинистого состава. Является хорошим маркером при составлении геоэлектрических разрезов.
3. Горизонт с УЭС = 120–250 уверенно маркирует терригенно-карбонатные породы метегеро–ичерской свиты (Є1-2mt-ič).
4. Горизонт с УЭС = 40–90 Ом ⋅ м соответствует породам чарской свиты (Є1-2čr). Глубина до кровли этого горизонта около 300–350 м, альтитуда кровли от 0 до 50 м. (условно назовем “нижний” горизонт). Этот горизонт является последним для технологии, используемой нами.
В вышеперечисленных нами геоэлектрических горизонтах какие-либо неоднородности с относительно пониженными значениями УЭС с высокой вероятностью фиксируются по всему участку. Именно такие зоны обычно рекомендуются для заверки бурением на воду. Наиболее уверенно эти зоны фиксируются в “первом” и “третьем” геоэлектрических горизонтах (см. выше). Анализ пространственной изменчивости значений УЭС по этим горизонтам позволил выделить следующие граничные значения, ниже которых выделяемая зона обладает “аномально” низкими значениями УЭС для этих горизонтов:
• “Верхний” горизонт 1 (Q + J1 + Є2vl?) – УЭС <50 Ом ⋅ м.
• “Третий” горизонт 3 (Є1-2mt-ič) – УЭС < 40 Ом ⋅ м.
Можно выделить два типа таких зон:
• Первый тип – сравнительно небольшие размеры (до первых сотен метров) и, как следствие, субвертикальность. Для “верхнего” горизонта такие зоны могут увязываться с таликами, для “третьего” – с зонами повышенной трещиноватости и, возможно, относительно более водообильными.
• Второй тип – размеры от пятисот метров и более и, как следствие, субгоризонтальность. Для обоих горизонтов подобные зоны с высокой вероятностью могут увязываться с литологическими неоднородностями, когда уменьшение значений УЭС может объясняться увеличением относительной мощности глинистых (аргиллитистых) слабопроницаемых прослоев. Напомним, что глинистые отложения отличаются низкими значениями УЭС как в талом, так и мерзлом состоянии.
Необходимо указать, что часто в промежуточном горизонте (Є1-2mt-ič) на участках, совпадающих в пространстве с зонами, описанными выше, фиксируются участки с сильной изменчивостью значений УЭС по профилю, приводящей к высокой погрешности решения обратной задачи (ОЗ). Наиболее вероятной причиной подобной ситуации является сильная горизонтальная неоднородность, что и предопределяет невозможность получения “хорошего” решения ОЗ в рамках горизонтально-слоистой модели (1-D).
Мы полагаем, что наибольший интерес для бурения на воду представляют участки, где субвертикальные зоны с относительно “аномальным” понижением УЭС прослеживаются по вертикали для всех изученных геоэлектрических горизонтов.
На рис. 5 приведена схема сквозных зон с аномальными значениями УЭС по всему разрезу (Q + J1 + Є2vl + Є1-2mt-ič + Є1čr). Наиболее достоверными представляются зоны, совпадающие в плане на участках пересечения профилей. В то же время для практики могут представлять интерес участки, расположенные вблизи кустов скважин на углеводороды. Исходя из этих соображений, нами рекомендованы несколько участков для бурения на воду до глубины 400 м с изучением разреза до чарской свиты включительно.
ВЫВОДЫ
Выделенные нами субвертикальные неоднородности необязательно соответствуют зонам с высокой водообильностью.
Таким образом, наиболее значимые результаты геофизических исследований сводятся к следующему:
• Выполнено геоэлектрическое расчленение разреза на глубину до 350 м. Установлена хорошая сходимость полученных данных с результатами бурения и ГИС.
• Результаты заверочного бурения и опытно-фильтрационных работ подтвердили ярко выраженную неравномерность фильтрационных свойств терригенно-карбонатных пород, приуроченных к метегерской, ичерской и чарской свитам кембрия. Производительность скважин в значительной мере зависит от наличия или отсутствия зон тектонической трещиноватости, определяющих и мощность интервалов, и интенсивность водопритоков из них. В частности, на отметке 6500 м (рис. 4) была пробурена скважина в зоне с выраженными вертикальными нарушениями одномерной структуры (УЭС < 40 Ом ⋅ м) в толще горизонта с УЭС = 120–250, соответствующего терригенно-карбонатными породам метегеро-ичерской свиты (Є1-2mt-ič). По результатам обследования в ней было выделено четыре интервала мощностью по 3–6 м с водопритоком соленых вод. При откачке с дебитом 3 л/с понижение уровня в скважине составило всего 14 м. Для сравнения в скважинах вне аномальной зоны при дебите 1–2 л/с понижение уровня составляло 96–115 м.
Список литературы
Агеев В.В., Агеев Д.В. Изучение мерзлых разрезов Якутии с помощью методов ЗСБ и ВЭЗ-ВП // Инженерная геология. 2017. № 2. С. 64–69.
Барсуков П.О., Файнберг Э.Б., Хабенский Е.О. TEM-FAST-технология малоглубинной электроразведки // Приборы и системы разведочной геофизики. 2006. № 2. С. 28–34.
Волковицкий А.К., Каршаков Е.В., Мойланен Е.В. Новая вертолетная аэроэлектроразведочная система ЭКВАТОР для метода АМПП // Приборы и системы разведочной геофизики. 2010. № 2(32). С. 9–11.
Задорожная В.Ю., Лепешкин В.П. Учет процессов вызванной поляризации в многослойных разрезах при индукционном зондировании // Физика Земли. 1998. № 4. С. 55–61.
Каменецкий Ф.М., Сидоров В.А., Тимофеев В.М., Яхин А.М. Индукционные электромагнитные процессы в проводящей поляризующейся среде. Электромагнитная индукция в верхней части земной коры. М.: Наука. 1990. С. 14–40.
Кожевников Н.О. Быстропротекающая индукционно-вызванная поляризация в мерзлых породах // Геология и геофизика. 2012. Т. 53. № 4. С. 527–540.
Куликов А.В., Шемякин Е.А. Электроразведка фазовым методом вызванной поляризации. М.: Недра. 1978. 157 с.
Сидоров В.А., Шабаев Ю.Н. Исследование поляризации образцов пород с высокоомными прослоями. Вопросы поляризации горных пород / В.А. Сидоров, А.А. Молчанов (ред.). ВНИИГИС, Октябрьский, Деп. ВИНИТИ. 1985. № 5847-85. С. 65–70.
Стогний В.В. Импульсная индуктивная электроразведка при изучении поляризующейся среды криолитозоны Якутской кимберлитовой провинции // Криосфера Земли. 2008. Т. XII. № 4. С. 46–56.
Стогний Вас.В., Коротков Ю.В. Поиск кимберлитовых тел методом переходных процессов. Новосибирск: изд-во Малотиражная типография 2D. 2010. 121 с.
Barsukov P.O., Fainberg E.B. Superparamagnetic effect over gold and nickel deposits // European J. Environmental and Engineering Geophysics. № 6. 2001. P. 61–72.
Fiandaca G., Auken E., Madsen L.M. 3-D time-domain spectral inversion of resistivity and full-decay induced polarization data – full solution of Poisson’s equation and modelling of the current waveform // Geophysical J. International. 2020. V. 223. № 3. P. 2101–2116.
Jupp D.L.B., Vozoff K. Stable Iterative Methods for the Inversion of Geophysical Data // Geophys. J. R. 1975. V. 42. P. 957–976.
Kaminski V., Viezzoli A. Modeling induced polarization effects in helicopter time-domain electromagnetic data // Field case studies. Geophysics. 2017. V. 82. № 2. P. B49–B61.
Pelton W.H., Sill W.R., Smith B.D. Interpretation of complex resistivity and dielectric data. Part I // Geophys. Trans. 1983. V. 29. P. 297–330.
Viezzoli A., Kaminski V., Ebner N., Menghini A. Extracting IP information from AEM data to improve the hydrogeological interpretation. Extended Abstracts of ASEG 2016 Conference. Australia: Adelaide. 2016. P. 4.
Дополнительные материалы отсутствуют.
Инструменты
Физика Земли



