Физика Земли, 2021, № 4, стр. 120-132
Вариации электрических характеристик приземной атмосферы при сильных землетрясениях. Результаты наблюдений
С. А. Рябова 1, *, А. А. Спивак 1
1 Институт динамики геосфер имени академика М.А. Садовского РАН
г. Москва, Россия
* E-mail: riabovasa@mail.ru
Поступила в редакцию 02.12.2020
После доработки 26.02.2021
Принята к публикации 03.03.2021
Аннотация
На основе данных Центра геофизического мониторинга г. Москвы и Геофизической обсерватории “Михнево” ИДГ РАН выполнен анализ вариаций вертикальной компоненты электрического поля и атмосферного тока в приземной атмосфере, сопровождающих сильные землетрясения. Рассматривались сейсмические события, произошедшие в периоды, характеризующиеся отсутствием возмущений электрического поля и атмосферного тока, вызванных техногенными источниками, а также природными источниками, не связанными с землетрясениями. Отмечено, что землетрясения сопровождаются повышенными локальными вариациями электрического поля в период прихода сейсмических волн в пункт наблюдений и вариациями, вызванными очаговой областью сейсмического события. В последнем случае эффект проявляется в виде бухтообразного понижения и повышения, а также знакопеременных вариаций вертикальной компоненты напряженности электрического поля. Одновременно землетрясения сопровождаются повышенными вариациями атмосферного тока. Впервые показано, что основной толчок сопровождается повышенными вариациями электрических характеристик приземной атмосферы на значительных расстояниях от очага сейсмического события.
1. ВВЕДЕНИЕ
Динамические проявления землетрясений и сопутствующие им геофизические эффекты являются в настоящее время одним из наиболее важных объектов исследований в области наук о Земле. Несмотря на достигнутый технический прогресс и расширение сети инструментальных наблюдений, землетрясение как катастрофическое явление и его геофизические последствия остаются недостаточно изученными и прогнозируемыми.
Землетрясения – весьма быстрые упругие колебания мантии и литосферы и вызванные ими сотрясения земной поверхности, происходящие при взрывообразном высвобождении механической энергии в очагах на глубинах от 3 до 750 км, сопровождаются не только сейсмическими сигналами, изменением напряженно-деформируемого состояния земной коры в результате, например, медленных и быстрых подвижек по границам блоков и разломов, деформированием поверхностного слоя земной коры, но также интенсивной активизацией различных геофизических процессов [Адушкин и др., 2018; Серафимова, Копылова, 2010; Сидорин, 1992; Thompson, 1936]. При этом одним из наиболее интересных и важных эффектов, вызванных землетрясениями, являются вариации электрического поля в приземной атмосфере Земли. Изучение указанного эффекта имеет не только фундаментальное, но и практическое значение. Это связано со все возрастающей необходимостью разработки новых, более совершенных методов и способов описания свойств земной коры и диагностики ее геодинамического состояния. Действительно, интенсивность преобразования энергии колебаний твердой среды в энергию электрического поля во многом определяется ее строением, а также физико-механическими характеристиками, в частности ее напряженно-деформированным состоянием [Мигунов, 1984]. По отклику на землетрясения в виде генерации электрических сигналов можно судить о свойствах твердой среды, действующих напряжениях и характере деформаций [Мигунов, 1984; Mikhailov et al., 1997; Zhu, Toksoz, 2005]. Особое значение это имеет при определении степени современной активности разломных зон либо выделении их активных участков [Соловьев, Спивак, 2006; 2009; Thompson, Gist, 1993]).
Можно полагать, что началу исследований влияния землетрясений на электрическое поле Земли положила работа Р. Томпсона [Thompson, 1936], в которой впервые описан эффект возникновения вариаций электрического поля в горных породах под действием упругих колебаний, который Р. Томпсон назвал сейсмоэлектрическим эффектом. Позже были предложены механизмы преобразования механической энергии в электрическую, связанные с разделением электрических зарядов при движении дислокаций, в результате пиннинг/депиннинг эффектов, а также деформирования композитных сред [Соболев, Демин, 1980].
Значительный вклад в исследование сейсмоэлектрического эффекта был сделан в работах [Иванов, 1940; Френкель, 1944], в которых в качестве механизма был предложен и рассмотрен эффект смещения электрических зарядов в диффузной области двойного слоя, существующего в горных породах на границе твердых минералов и внутрипоровой влаги. Возможны и другие механизмы преобразования механической энергии в энергию электрического поля при деформировании и разрушении горных пород (сейсмоэлектрический эффект 1-го рода), в основе которых лежат пьезо- и трибоэлектрические явления, механохимические процессы на границе зерен и т.д.
Наряду с сейсмоэлектрическим наблюдаются эффекты, обусловленные процессами, протекающими в очаговой зоне землетрясения. Действительно, исследования последних лет убедительно свидетельствуют о связи между процессами, сопровождающими подготовку землетрясений и их развитие, и возмущениями в приземной атмосфере и ионосфере [Гохберг, Шалимов, 2008; Сейсмоионосферные…, 2012; Собисевич, 2020; Собисевич и др., 2020; Сурков, 2000; Михайлов и др., 2002; Hayakawa, 1999]. В частности, на основе анализа данных мониторинга в приповерхностных слоях Земли и спутниковых данных показано, что на последней стадии подготовки (главным образом, за несколько дней и часов до главного толчка), а также в периоды основного толчка и афтершоковой активности возникают электромагнитные возмущения в широком спектральном интервале [Гульельми, Зотов, 2012; Собисевич и др., 2013; Chavez et al., 2011; Hattori, 2004; Johnston, 1997]. Такого рода исследования носят не только фундаментальный, но и прикладной характер в части совершенствования и разработки новых подходов к прогнозу сейсмических событий и совершенствования их описаний с учетом сопутствующих геофизических явлений [Соболев, Пономарев, 2003; Hayakawa, 2013].
Как можно судить по имеющимся публикациям [Моргунов, 2000; Руленко и др., 1992; Михайлов и др., 2006; Hao et al., 1998], вызванные очаговой зоной землетрясений аномалии в поведении электрического поля проявляются в основном в виде бухтообразного понижения вертикальной компоненты напряженности Ez перед землетрясением относительно фоновых вариаций (в некоторых случаях даже со сменой знака) или в виде цуга колебаний разной частоты. Амплитуда таких возмущений может достигать ~1 кВ/м перед сильными землетрясениями [Руленко, 2000; Kondo, 1968; Smirnov, 2008], но вместе с тем зависит от магнитуды готовящегося землетрясения и расстояния от места регистрации возмущений до эпицентра землетрясения [Смирнов, 2005; Корсунова и др., 2013].
В большинстве случаев вызванные аномалии электрического поля объясняются влиянием на электропроводность приземной атмосферы подпочвенного радона (222Rn), интенсивность поступления в атмосферу которого резко возрастает при активном образовании трещин перед землетрясением и в момент основного толчка, [Шулейкин, 2003; Pulinets, Boyarchuk, 2004]. Существование указанного механизма подтверждается увеличением почти на 20% эксхаляции радона в период, предшествующий землетрясениям [Рудаков, 2009; Фирстов и др., 2015; Koike et al., 2014]. Аномальные концентрации радона регистрируются на расстояниях вплоть до 3400 км от эпицентра землетрясения [Уткин, Юрков, 2010]. При этом следует отметить, что наличие вертикального турбулентного переноса инжектируемых в атмосферу заряженных аэрозолей на стадии подготовки землетрясения приводит к возникновению стороннего электрического тока [Liperovsky et al., 2005].
Электрические аномалии в зоне землетрясения могут быть также связаны с механоэлектрическими процессами, сопровождающими деформирование и разрушение горных пород [Gyulai, Hartly, 1928; Molchanov, Hayakawa, 2008]. Электрические аномалии могут быть также связаны, например, с возникновением электрических зарядов в результате сжатия магматических и метаморфных пород в зонах тектонических разломов с последующим переносом положительно заряженных “дырок” к земной поверхности [St-Laurent et al., 2006; Freund et al., 2006; 2009] либо c образованием электрически заряженных трещин [Моргунов, Мальцев, 2003], порождающих дополнительное электрическое поле в атмосфере. Существенными факторами, оказывающими влияние на интенсивность механоэлектрических процессов, является проводимость флюидов, заполняющих поры и трещины в горных породах, а также фрагментарность горных пород, величина которой определяет степень их подверженности деформированию [Соловьев, Спивак, 2006; 2009; Алексеев, Аксенов, 2003].
Следует отметить, что рассмотренные примеры механизмов образования, вызванных сейсмическими событиями электрических аномалий, не объясняют выявленное во многих случаях изменение хода напряженности электрического поля непосредственно перед землетрясениями и особенно в период основного толчка [Руленко и др., 1996; Kachakhidze, 2000]. В этой связи остаются актуальными инструментальные исследования, направленные на установление отклика атмосферного электрического поля на землетрясения.
В настоящей работе представлены предварительные результаты инструментальных наблюдений за вариациями напряженности электрического поля и атмосферного тока в приземной атмосфере, сопровождающими сильные землетрясения.
2. ИСХОДНЫЕ ДАННЫЕ
В качестве исходных данных в настоящей работе привлекались данные регистрации вертикальной компоненты напряженности электрического поля Еz в Центре геофизического мониторинга г. Москвы (ЦГМ) с координатами 55.71° N; 37.57° Е и в Геофизической обсерватории “Михнево” (MHV) c координатами 54.94° N; 37.73° Е Института динамики геосфер имени академика М.А. Садовского РАН, расположенных в центральной части Восточно-Европейской платформы на расстоянии ~85 км друг от друга [Адушкин и др., 2016; Спивак и др., 2016]. Непрерывные наблюдения за вариациями атмосферного электрического поля организованы с 2008 г. в MHV и с 2014 г. в ЦГМ. Мониторинг электрического поля проводится с использованием электростатических флюксметров ИНЭП, технические характеристики которых обеспечивают устойчивую регистрацию напряженности электрического поля в частотном диапазоне от 0 до 20 Гц с амплитудами от 1 В/м до 10 кВ/м и более с точностью ±5% в зависимости от конкретного экземпляра прибора (с целью очистки рабочих поверхностей ИНЭП от загрязнения регистраторы периодически сменяются). При анализе использовались ряды данных с частотой опроса 0.2 Гц.
В дополнение к данным мониторинга вариаций вертикальной составляющей напряженности электрического поля при выполнении исследований использовались данные непрерывной регистрации атмосферного тока в MHV, выполненные вблизи земной поверхности. Измерения вертикального атмосферного тока осуществлялись с помощью компенсационного регистратора тока с частотой выборки 1 Гц [Барышев и др., 2009]. Вследствие высокой временной вариабельности атмосферного тока в настоящей работе использовались ряды его абсолютных значений I, усредненные по одноминутным интервалам.
Обработка данных инструментальных наблюдений с определением амплитудных и временных параметров, вызванных землетрясениями вариаций электрического поля, выполнялась с использованием методов анализа цифровых рядов и выделения полезных сигналов, предложенных в работе [Хаттон и др., 1989]).
В настоящей работе вариации электрического поля исследовались при сильных землетрясениях с магнитудой М ≥ 5 при рассмотрении сейсмоэлектрического эффекта и М ≥ 6.5 при рассмотрении эффекта, связанного с очаговыми зонами рассматриваемых событий. Выбор событий определялся погодными условиями в пунктах регистрации и отсутствием помех. Анализировались данные, полученные в периоды, характеризующиеся отсутствием вариаций электрического поля, вызванных техногенными источниками и источниками в виде локально проявляющихся природных процессов (прохождение атмосферных фронтов, ураганы, шквалы), а также каких-либо осадков, в том числе тумана и дымки, и плотной облачности) [Адушкин и др., 2018; Клейменова и др., 2010; Семенов, 1982; Israelsson, 1978]. Кроме того, выбирались периоды с низкой геомагнитной активностью и отсутствием близких по времени других землетрясений.
3. СЕЙСМОЭЛЕКТРИЧЕСКИЙ ЭФФЕКТ ЗЕМЛЕТРЯСЕНИЙ
Сейсмоэлектрический эффект удобно рассмотреть на основе данных Геофизической обсерватории “Михнево”, в которой в течение продолжительного периода времени выполняются сейсмические наблюдения (сейсмическая станция MHV) и синхронные с ними измерения электрического поля. Анализ полученных в настоящей работе данных показывает, что прохождение сейсмических волн, вызванных землетрясениями11, в подавляющем большинстве случаев сопровождается вариациями напряженности электрического поля в приземном слое атмосферы [Адушкин и др., 2016; Локтев и др., 2015]. При этом максимум амплитуды вызванных вариаций Е* наблюдается в большинстве случаев практически синхронно с сейсмическими возмущениями. В качестве примера синхронного с сейсмическим сигналом отклика Еz на рис. 1 приведены совместно записи сейсмического возмущения, вызванного землетрясением магнитудой 5.2 на архипелаге Додеканес 22.08.2014 г. (данные MHV, расстояние от очага события ~2000 км). Из рис. 1 следует, что в период прихода группы поверхностных волн наблюдается аномальная бухтообразная положительная вариация Еz с максимальной амплитудой Е* ~ 80 В/м при максимальных значениях сейсмического сигнала. В то же время меньший по амплитуде отклик Е* ~ 40 В/м зарегистрирован также и в период прихода головной волны. Длительности обеих вариаций Еz примерно совпадают с длительностями соответствующих сейсмических волн.
Рис. 1.
Пример вариаций вертикальной компоненты напряженности электрического поля в приземной атмосфере в период прихода сейсмического сигнала, вызванного землетрясением на архипелаге Додеканес (Греция) с магнитудой 5.1 (22.08.2014 г.); I – группа поверхностных волн, II – головная волна, А – амплитуда сейсмического сигнала.

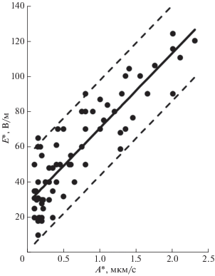
Особый интерес представляет возможная количественная связь между интенсивностью сейсмического воздействия и вызванными вариациями электрического поля. Полученная по итогам анализа в общей сложности 72 сейсмических событий [Локтев и др., 2015] зависимость между максимальной амплитудой сейсмического сигнала А* и максимальной амплитудой вариации Е* приведена на рис. 2. Несмотря на значительный разброс, данные рис. 2 свидетельствуют о том, что в целом при увеличении амплитуды сейсмического сигнала амплитуда вариаций электрического поля на земной поверхности растет. Для качественных оценок зависимость Е*(А*) допустимо представить в виде:
4. ОТКЛИК ЭЛЕКТРИЧЕСКОГО ПОЛЯ НА ВОЗМУЩЕНИЯ, ВЫЗВАННЫЕ ОЧАГОВОЙ ЗОНОЙ ЗЕМЛЕТРЯСЕНИЯ
Результаты измерений Еz показали, что в периоды землетрясений характер и амплитуды вызванных вариаций электрического поля, зарегистрированных в MHV и ЦГМ, близки между собой. Это позволяет в дальнейшем с целью упрощения анализа приводить в качестве иллюстрации результаты измерений Еz, выполненных в ЦГМ, где получен больший объем данных по сравнению с MHV вследствие большего количества временных периодов, благоприятных по погодным и указанным выше негативным геофизическим условиям в периоды землетрясений с магнитудой М ≥ 6.5 (перечень событий приведен в табл. 1). Обработка и анализ временного хода Еz свидетельствуют о том, что землетрясения сопровождаются повышенными вариациями электрического поля на фоне естественных суточных изменений [Спивак и др., 2019]. При этом наблюдаются три основных вида вызванных вариаций Еz, а именно: 1) квазипериодические знакопеременные, 2) бухтообразные с уменьшением Еz и 3) бухтообразные с повышением Еz. Вызванные вариации в случае бухтообразного вида характеризуются максимальной амплитудой E*22 и длительностью Т33, в случае, когда вариации имеют знакопеременный вид, ‒ максимальной амплитудой E* и преимущественным периодом Т*44.
Таблица 1.
Перечень рассмотренных землетрясений1
| № п/п | Дата | Время (UTC) | Магнитуда | h, км | Район | R, км | Т, мин | Т*, мин | Е*, В/м |
|---|---|---|---|---|---|---|---|---|---|
| 1+ | 14.11.2018 | 9:18 | 7.1 | 40 | Перу | 12 864 | 80 | – | ~70 |
| 2 | 23.01.2018 | 9:31 | 7.9 | 14 | Аляска | 6211 | 80 | – | ~130 |
| 3 | 28.01.2018 | 16:03 | 6.6 | 10 | Африка | 12 283 | 65 | – | ~120 |
| 4 | 16.02.2018 | 23:39 | 7.2 | 22 | Мексика | 11 054 | 15 | – | ~30 |
| 5 | 25.02.2018 | 17:44 | 7.5 | 25 | Новая Гвинея | 11 516 | – | 16 | ~50 |
| 6 | 08.03.2018 | 17:39 | 6.8 | 23 | Новая Гвинея | 12 007 | – | 5 | ~10 |
| 7+ | 29.03.2018 | 21:25 | 6.9 | 35 | Новая Гвинея | 12 011 | 60 | – | ~50 |
| 8+ | 19.08.2018 | 14:56 | 6.9 | 21 | Индонезия | 10 065 | 30 | – | ~50 |
| 9 | 24.08.2018 | 9:04 | 7.1 | 630 | Перу | 12 191 | 15 | – | ~20 |
| 10+ | 05.09.2018 | 18:07 | 6.6 | 35 | Япония | 7024 | 32 | – | ~80 |
| 11 | 10.09.2018 | 4:19 | 6.9 | 115 | Н. Зеландия | 16 136 | 10 | – | ~10 |
| 12 | 30.09.2018 | 10:52 | 6.7 | 550 | О-ва Фиджи | 14 948 | – | 6 | ~20 |
| 13 | 10.10.2018 | 20:48 | 7.0 | 39 | Новая Гвинея | 12 009 | – | 6 | ~10 |
| 14 | 13.10.2018 | 11:10 | 6.7 | 461 | Курильские о-ва (Россия) | 6649 | – | 5 | ~20 |
| 15 | 22.10.2018 | 6:16 | 6.5 | 10 | Канада | 8365 | – | 4 | ~20 |
| 16 | 25.10.2018 | 22:54 | 6.8 | 14 | Греция | 2331 | – | 8 | ~20 |
| 17 | 09.11.2018 | 1:49 | 6.7 | 10 | Свальбард и Ян-Майен | 2936 | – | 6 | ~10 |
| 18 | 18.11.2018 | 20:25 | 6.8 | 540 | О-ва Фиджи | 14 857 | – | 12 | ~35 |
| 19 | 05.01.2019 | 19:25 | 6.8 | 570 | Бразилия | 11 976 | – | 8 | ~25 |
| 20 | 15.01.2019 | 18:06 | 6.6 | 35 | О-в Вануату | 13 654 | – | 8 | ~18 |
| 21 | 20.01.2019 | 1:32 | 6.7 | 63 | Чили | 13 891 | – | 6 | ~10 |
| 22 | 06.05.2019 | 21:19 | 7.1 | 146 | Новая Гвинея | 11 831 | – | 3 | ~10 |
| 23 | 26.05.2019 | 7:41 | 8.0 | 122 | Перу | 11 990 | – | 12 | ~25 |
| 24+ | 15.06.2019 | 22:55 | 7.3 | 46 | Н. Зеландия | 16 109 | 20 | – | ~12 |
| 25+ | 07.07.2019 | 15:08 | 6.9 | 35 | Индонезия | 9862 | 22 | – | ~30 |
| 26 | 02.08.2019 | 12:03 | 6.9 | 49 | Индонезия | 9252 | – | 16 | ~26 |
| 27 | 14.11.2019 | 16:17 | 7.1 | 33 | Индонезия | 9776 | – | 5 | ~13 |
| 28 | 25.03.2020 | 2:49 | 7.5 | 58 | Курильские о-ва (Россия) | 7182 | – | 7 | ~15 |
| 29 | 02.05.2020 | 15:51 | 6.5 | 10 | Греция | 2489 | – | 8 | ~30 |
| 30 | 15.05.2020 | 11:03 | 6.5 | 3 | Невада (США) | 9404 | – | 20 | ~30 |
| 31+ | 23.06.2020 | 15:29 | 7.4 | 20 | Мексика | 11 018 | 75 | – | ~70 |
| 32 | 06.07.2020 | 22:54 | 6.6 | 533 | Индонезия | 9448 | 42 | – | ~20 |
| 33+ | 18.08.2020 | 0:03 | 6.6 | 26 | Филиппины | 8754 | 48 | – | ~70 |
| 34 | 30.08.2020 | 21:20 | 6.5 | 10 | Атлантика | 8528 | – | 5 | ~20 |
| 35+ | 01.09.2020 | 21:09 | 6.5 | 15 | Чили | 13705 | 35 | – | ~100 |
| 36+ | 06.09.2020 | 6:51 | 6.7 | 10 | Атлантика | 5340 | 15 | – | ~60 |
| 37+ | 19.10.2020 | 20:54 | 7.6 | 35 | Аляска | 7730 | 70 | – | ~50 |
В качестве примера на рис. 3 приведены55 повышенные вариации Еz знакопеременного вида, зарегистрированные в период землетрясений 25.02.2018 г., 22.10.2018 г., 09.11.2018 г. и 15.05.2020 г. Подобный характер вариаций Еz зарегистрирован в общей сложности при 20 событиях из списка табл. 1. Среднее значение Е* составляет ~20 В/м (табл. 2) при отсутствии выраженной тенденции к увеличению либо уменьшению амплитуды вариаций с расстоянием. Длительность вызванных вариаций составляет в этом случае ~25–110 мин при среднем значении Т0 ~ 60 мин. Период вариаций, хорошо выделяемый на фоне суточного хода, составляет ~4–20 мин при среднем значении $T_{0}^{*}$ ~ 8 мин.
Рис. 3.
Вариации вертикальной компоненты напряженности электрического поля в приземной атмосфере в периоды землетрясений 25.02.2018 г. (а); 15.05.2020 г. (б); 22.10.2018 г. (в) и 09.11.2018 г. (г). Здесь и далее: время в очаге приведено в поле рисунка и отмечено вертикальной закрашенной стрелкой; вертикальными незакрашенными стрелками обозначены начало и окончание вызванных вариаций; штриховая линия ‒ линия тренда1.

Таблица 2.
Параметры вызванных вариаций
| Характер вариаций | Знакопеременный | Положительная бухта |
Отрицательная бухта |
|---|---|---|---|
| Диапазон изменения | |||
| Е* (В/м) | 10–50 | 10–100 | 20–130 |
| $E_{0}^{*}$ (В/м) | ~20 | ~50 | ~65 |
| Длительность вызванных вариаций (мин) | 25–110 | 10–75 | 15–65 |
| Т0 (мин) | ~53 | ~42 | ~38 |
| Период колебаний (мин) | 4–20 | – | – |
| $T_{0}^{*}$ (мин) | ~8 | – | – |
В качестве примеров положительных бухтообразных вариаций Еz на рис. 4 приведены результаты регистрации, выполненной в периоды землетрясений 19.08.2018 г., 07.07.2019 г., 23.06.2020 г. и 19.10.2020 г. Подобный характер вариаций Еz зарегистрирован в общей сложности при 11 событиях из списка табл. 1. Амплитуда вариаций Е* находится в интервале: 10–100 В/м при среднем значении $E_{0}^{*}$ ~ 50 В/м. Длительность вариаций колеблется в интервале 10–75 мин при среднем значении Т0 ~ 40 мин.
Рис. 4.
Вариации вертикальной компоненты напряженности электрического поля в приземной атмосфере в периоды землетрясений 19.08.2018 г. (а); 07.07.2019 г. (б); 23.06.2020 г. (в) и 19.10.2020 г. (г).

Примеры хорошо выраженных отрицательных бухтообразных вариаций Еz представлены на рис. 5 (землетрясения 23.01.2018 г., 28.01.2018 г., 16.02.2018 г. и 06.07.2018 г.). Следует отметить, что подобный характер вариаций зарегистрирован также при землетрясениях 24.08.2018 г. и 05.09.2018 г. Таким образом отрицательное бухтообразное возмущение электрического поля наблюдалось при 6 землетрясениях.
Рис. 5.
Вариации вертикальной компоненты напряженности электрического поля в приземной атмосфере в периоды землетрясений 23.01.2018 г. (а); 28.01.2018 г. (б); 16.02.2018 г. (в) и 06.07.2020 г. (г).

В рассматриваемом случае отрицательной бухтообразной вариации Еz в период землетрясений амплитуда вариаций Е* заключена в интервале 20–130 В/м при среднем значении $E_{0}^{*}$ ~ 65 В/м. Длительность отрицательной бухтообразной вариации заключена в интервале 15–65 мин при среднем значении Т0 ~ 38 мин.
5. ВАРИАЦИИ АТМОСФЕРНОГО ТОКА
Результаты инструментальных наблюдений свидетельствуют о наличии ярко выраженной реакции атмосферного тока на сильные землетрясения. В большинстве случаев в периоды рассмотренных землетрясений наблюдается увеличение амплитудных вариаций атмосферного тока, причем в вариациях абсолютных значений I хорошо просматривается периодичность. Также следует отметить сходный характер повышенных вариаций тока в периоды землетрясений, которым сопутствуют разные по рассмотренным выше типам вариации Ez.
В качестве примера на рис. 6 приведены характерные примеры вариаций I, которые сопутствуют событиям 23.01.2018 г. (отклик Ez в виде отрицательной бухты), 29.03.2018 г. (отклик Ez в виде положительной бухты), 07.07.2019 г. (отклик Ez в виде положительной бухты) и 15.05.2020 г. (отклик Ez в виде знакопеременных вариаций).
Рис. 6.
Вариации вертикальной компоненты электрического тока в приземной атмосфере по данным MHV в периоды землетрясений 23.01.2018 г. (а); 29.03.2018 г. (б); 07.07.2019 г. (в) и 15.05.2020 г. (г).

В целом вариации атмосферного тока в периоды землетрясений характеризуются амплитудой в интервале 0.5–5 пА/м2 и доминирующим периодом в интервале примерно 10–20 мин при среднем значении ~12 мин.
6. ОБСУЖДЕНИЕ РЕЗУЛЬТАТОВ
Полученные данные свидетельствуют о том, что в периоды сильных землетрясений наблюдаются вариации электрических характеристик атмосферы, причем, как показывают результаты инструментальных наблюдений, на значительных расстояниях от очага события. Следует отметить, что по сравнению с возмущениями, вызванными прохождением грозовых ячеек и сильных атмосферных фронтов [Спивак и др., 2017; 2018], амплитуды вариаций Ez при землетрясениях достаточно малы. Однако здесь следует иметь в виду не столько энергетическую, сколько информационную значимость рассматриваемого эффекта при всестороннем описании сейсмических процессов и межгеосферных взаимодействий в системе литосфера–атмосфера–ионосфера. Характер вариаций Ez, сопутствующих землетрясениям, в ряде случаев достаточно сложный. Например, не всегда можно однозначно решить вопрос о типе вызванных вариаций Ez. Так, хотя и в небольшом количестве случаев, происходит комбинирование двух типов вариаций – бухтообразной и знакопеременной. В качестве примера на рис. 7 приведены вариации Ez при некоторых событиях: 29.03.2018 г., 05.09.2018 г., 13.10.2018 г. и 20.01.2020 г. Из рис. 7 видно, что в целом бухтообразные вариации Ez осложнены наложением знакопеременной составляющей. Такой характер вызванных вариаций может, в частности, свидетельствовать о суперпозиции разных механизмов генерации вызванных возмущений Ez.
Рис. 7.
Вариации вертикальной компоненты напряженности электрического поля в приземной атмосфере по данным ЦГМ в периоды землетрясений 29.03.2018 г. (а); 05.09.2018 г. (б); 13.10.2018 г. (в) и 20.01.2020 г. (г).

Наблюдаемые при землетрясениях возмущения Ez, как это следует из данных табл. 1, регистрируются на больших расстояниях от очага события именно в период самого сейсмического события66: либо в момент, близкий к моменту основного толчка, либо с некоторым опережением за 5–30 мин до него. Это свидетельствует о том, что, во-первых, возмущающее действие очага может проявляться не только в момент основного толчка, но и на заключительной стадии его подготовки, т.е. в период наиболее интенсивного протекания геофизических процессов в окрестности очага, и, во-вторых, о высокой скорости распространения возмущений до места регистрации. Последнее может говорить о том, что в качестве основного канала передачи возмущения на расстояния может выступать ионосфера. Действительно, скорость распространения по ионосфере сформировавшихся в эпицентральной зоне землетрясения, например, магнитогидродинамических волн может достигать 20 км/с [Сорокин, Федорович, 1982].
Следует обратить внимание также на амплитуду вызванных вариаций. Несмотря на значительную разницу в расстояниях от пункта регистрации до очагов землетрясений R77, амплитуда вариаций Е* находится в достаточно узком интервале по сравнению с максимальными значениями Ez. Это свидетельствует о слабом затухании возмущения, возникшего в эпицентральной зоне землетрясения, с расстоянием.
Если вопрос о механизме вариаций, вызванных сейсмическим сигналом, в целом более или менее понятен и связан с формированием аэроэлектрических структур в приземной атмосфере при ее возмущении поверхностными волнами от землетрясений [Анисимов, Мареев, 2000; Голицын, Кляцкин, 1967; Гохберг и др., 1998; Швед и др., 2018], то вопрос о механизмах, вызывающих повышенные вариации электрического поля за счет процессов, протекающих в эпицентральной зоне землетрясений, не решен окончательно, особенно в части достаточно быстрой передачи возмущения на большие расстояния при его достаточно слабом затухании [Гохберг, Шалимов, 2008; Шалимов, 2018; Шереметьева, 2013]. Это затрудняет физическое описание наблюдаемого эффекта в настоящее время. Рассмотрение конкретных механизмов генерации возмущений электрических характеристик приземной атмосферы в эпицентральной зоне землетрясений и их быстрого распространения на большие расстояния – это предмет дальнейших исследований, требующих в первую очередь накопления эмпирических данных, содержащих сведения о морфологических и амплитудных характеристиках вызванных возмущений Ez. В известной мере именно это и явилось предметом настоящих исследований.
6. ЗАКЛЮЧЕНИЕ
Полученные в настоящей работе данные подтверждают наличие сейсмоэлектрического эффекта в периоды прохождения сейсмических волн, который хорошо регистрируется в отсутствие сильных возмущений, вызванных другими источниками (прохождение атмосферных фронтов, грозовые явления, сильный ветер и т.д.). При этом можно предполагать, что интенсивность преобразования механической энергии сейсмических волн в энергию электрического поля определяется в целом амплитудой сейсмического сигнала. Дальнейшие исследования в этой части должны быть связаны с определением зависимости сейсмоэлектрического эффекта от характеристик сейсмического сигнала (тип, спектральные характеристики волн и т.д.), а также с установлением конкретных механизмов преобразования энергии механических колебаний в неоднородной среде в энергию электрического поля.
Результаты выполненных исследований свидетельствуют о том, что при сильных землетрясениях наблюдаются возмущения электрических характеристик приземной атмосферы: Ez и I на значительных расстояниях, вызванные, вероятнее всего, процессами, протекающими в очаговой зоне основного толчка. В частности, как показано, выделяются три типа вызванных вариаций Ez, а именно: в целом в виде отрицательной либо положительной бухты, а также в виде цуга колебаний с определенным периодом, что косвенно свидетельствует о возможном наличии по крайне мере трех разных возмущающих механизмов. При этом нельзя исключать из рассмотрения вопрос о возможной суперпозиции воздействия этих механизмов на электрическое поле атмосферы.
Развитие настоящей работы связано с поиском определяющих параметров рассматриваемого эффекта, в перечень которых помимо характеристик основного толчка, расстояния до места регистрации и т.д. требуется включить глобальные и локальные характеристики атмосферы и ионосферы, учитывая возможную определяющую роль последней в распространении сигналов, вызванных в очаговой зоне землетрясения, на большие расстояния.
Представленные результаты дополняют соответствующую базу данных и могут представлять интерес при совершенствовании известных и разработке новых моделей влияния землетрясений на окружающую геофизическую среду и их верификации.
Список литературы
Адушкин В.В., Локтев Д.Н., Спивак А.А. Сейсмоэлектрический эффект по данным геофизической обсерватории Михнево // Докл. РАН. 2016. Т. 467. № 4. С. 454–457.
Адушкин В.В., Овчинников В.М., Санина И.А., Ризниченко О.Ю. “Михнево”: от сейсмостанции № 1 до современной геофизической обсерватории // Физика Земли. 2016. № 1. С. 108−119.
Адушкин В.В., Соловьев С.П., Спивак А.А. Электрические поля техногенных и природных процессов. М.: ГЕОС. 2018. 459 с.
Алексеев А.С., Аксенов В.В. Об электрическом поле в очаговой зоне землетрясений // Докл. РАН. 2003. Т. 392. № 1. С. 106–110.
Анисимов С.В., Мареев Е.А. Аэроэлектрические структуры в атмосфере // Докл. РАН. 2000. Т. 371. № 1. С. 101–104.
Бахмутский М.Л. Алгоритм выделения тренда зашумленных больших временных рядов // Программные продукты и системы. 2011. № 4. С. 36–40.
Барышев В.И., Вааг Л.Л., Гаврилов Б.Г., Полетаев А.С. Датчик приземного вертикального тока атмосферы // Проблемы взаимодействующих геосфер. М.: ГЕОС. 2009. С. 358–364.
Голицын Г.С., Кляцкин В.И. Колебания в атмосфере, вызванные движениями земной поверхности // Изв. АН СССР. Физика атмосферы и океана. 1967. Т. 3. № 10. С. 1044–1052.
Гохберг М.Б., Моргунов В.А., Похотелов О.А. Сейсмоэлектромагнитные явления. М.: Наука. 1998. 176 с.
Гохберг М.Б., Шалимов С.Л. Воздействие землетрясений и взрывов на ионосферу. М.: Наука. 2008. 295 с.
Гульельми А.В., Зотов О.Д. О магнитных возмущениях перед сильными землетрясениями // Физика Земли. 2012. № 2. С. 84–87.
Иванов А.Г. Сейсмоэлектрический эффект второго рода // Изв. АН СССР. Сер. географ. и геофиз. 1940. № 5. С. 599–626.
Клейменова Н.Г., Козырева О.В., Кубицки М., Михновский С. Утренние полярные суббури и вариации атмосферного электрического поля // Геомагнетизм и аэрономия. 2010. Т. 50. № 1. С. 51–60.
Корсунова Л.П., Хегай В.В., Михайлов Ю.М., Смирнов С.Э. Закономерности в проявлении предвестников землетрясений в ионосфере и приземных атмосферных электрических полях на Камчатке // Геомагнетизм и аэрономия. 2013. Т. 53. № 2. С. 239–246.
Локтев Д.Н., Спивак А.А., Волосов С.Г. Сейсмоэлектрические эффекты по данным наблюдений на геофизической обсерватории “Михнево” ИДГ РАН. Динамические процессы в геосферах. Вып. 7. М.: ГЕОС. 2015. С. 107–112.
Мигунов Н.И. Об использовании сейсмоэлектрических явлений для изучения напряженного состояния насыщенных горных пород // Изв. АН СССР. Сер. Физика Земли. 1984. № 9. С. 20–28.
Михайлов Ю.М., Михайлова Г.А., Капустина О.В., Депуева А.Х., Бузевич А.В., Дружин Г.И., Смирнов С.Э., Фирстов П.П. Вариации различных атмосферно–ионосферных параметров в периоды подготовки землетрясений на Камчатке: предварительные результаты // Геомагнетизм и аэрономия. 2002. Т. 42. № 6. С. 805–813.
Михайлов Ю.М., Михайлова Г.А., Капустина О.В., Дружин Г.И., Смирнов С.Э. Электрические и электромагнитные процессы в приземной атмосфере перед землетрясениями на Камчатке // Геомагнетизм и аэрономия. 2006. Т. 46. № 6. С. 839–852.
Моргунов В.А. Пространственные неоднородности электрического поля как фактор лито-ионосферных связей. Электрическое взаимодействие геосферных оболочек. М.: ОИФЗ РАН. 2000. С. 106–113.
Моргунов В.А., Мальцев С.А. Модель квазистационарного электрического поля литосферной природы. Пятая Российская конф. по атмосферному электричеству: сб. тр. в двух томах, 22–26 сентября 2003 г., Владимир. Владимир: изд-во Транзит ИКС. 2003. Т. 2. С. 59–61.
Рудаков В.П. Эманационный мониторинг геосред и процессов. М.: Научный мир. 2009. 175 с.
Руленко О.П. Оперативные предвестники землетрясений в электричестве приземной атмосферы // Вулканология и сейсмология. 2000. № 4. С. 57–68.
Руленко О.П., Дружин Г.И., Вершинин Е.Ф. Измерения атмосферного электрического поля и естественного электромагнитного излучения перед камчатским землетрясением 13.11.1993 М = 7.0 // Докл. РАН. 1996. Т. 348. № 6. С. 814–816.
Руленко О.П., Иванов А.В., Шумейко А.В. Краткосрочный атмосферно-электрический предвестник камчатского землетрясения 6.III.1992, М = 6.1 // Докл. РАН. 1992. Т. 326. № 6. С. 980–982.
Рябова С.А. Временные вариации магнитотеллурической функции (магнитного типпера) и их возможная связь с изменением уровня подземных вод // Проблемы недропользования. 2020. Т. 2. № 25. С. 166–172.
Сейсмоионосферные и сейсмоэлектромагнитные процессы в Байкальской рифтовой зоне. Вып. 35. Новосибирск: Интеграционные проекты СО РАН. 2012. 304 с.
Семенов К.А. Хорошая погода и элементы атмосферного электричества // Труды ГГО. Вып. 455. Л.: Гидрометеоиздат. 1982. С. 112−113.
Серафимова Ю.К., Копылова Г.Н. Среднесрочные предвестники сильных (М ≥ 6.6) землетрясений Камчатки 1987–2004 гг.: Ретроспективная оценка их информативности для прогноза // Вулканология и сейсмология. 2010. № 4. С. 3–12.
Сидорин А.Я. Предвестники землетрясений. М.: Наука. 1992. 192 с.
Смирнов С.Э. Особенности отрицательных аномалий квазистатического электрического поля в приземной атмосфере на Камчатке // Геомагнетизм и аэрономия. 2005. Т. 45. № 2. С. 282–287.
Собисевич Л.Е., Собисевич А.Л., Канониди К.Х. Результаты анализа инструментальных наблюдений аномальных геомагнитных возмущений, наведенных землетрясениями в геосферах. Триггерные эффекты в геосистемах. М.: ГЕОС. 2013. С. 329–341.
Собисевич Л.Е. Сейсмогравитационные процессы и гравиомагнитные возмущения – спутники геофизических катастроф // Геофизика. 2020. № 1. С. 70–76.
Собисевич Л.Е., Собисевич А.Л., Лиходеев Д.В. Сейсмогравитационные процессы, сопровождающие эволюцию сейсмофокальных структур литосферы // Геодинамика и тектонофизика. 2020. Т. 11. № 1. С. 53–61.
Соболев Г.А., Демин В.М. Механоэлектрические явления в земле. М.: Наука. 1980. 215 с.
Соболев Г.А., Пономарев А.В. Физика землетрясений и предвестников. М.: Наука. 2003. 270 с.
Соловьев С.П., Спивак А.А. Электромагнитные эффекты как следствие неоднородного строения и дифференциальных движений в земной коре. Динамические процессы во взаимодействующих геосферах. М.: ГЕОС. 2006. С. 196–204.
Соловьев С.П., Спивак А.А. Электромагнитные сигналы в результате электрической поляризации при стесненном деформировании горных пород // Физика Земли. 2009. № 2. С. 34–48.
Сорокин В.М., Федорович Г.В. Физика медленных МГД-волн в ионосферной плазме. М.: Энергоиздат. 1982. 136 с.
Спивак А.А., Кишкина С.Б., Локтев Д.Н., Рыбнов Ю.С., Соловьев С.П., Харламов В.А. Аппаратура и методики для мониторинга геофизических полей мегаполиса и их применение в Центре геофизического мониторинга г.Москвы ИДГ РАН // Сейсмические приборы. 2016. Т. 52. № 2. С. 65–78.
Спивак А.А., Рыбнов Ю.С., Соловьев С.П., Харламов В.А. Акустические и электрические предвестники сильных грозовых явлений в условиях мегаполиса // Геофизические процессы и биосфера. 2017. Т. 16. № 4. С. 81–91.
Спивак А.А., Рыбнов Ю.С., Соловьев С.П., Харламов В.А. Вариации геофизических полей при ураганах и шквалах // Докл. РАН. 2018. Т. 480. № 5. С. 592–595.
Спивак А.А., Рябова С.А., Харламов В.А. Электрическое поле в приземной атмосфере московского мегаполиса // Геомагнетизм и аэрономия. 2019. Т. 59. № 4. С. 501–513.
Сурков В.В. Электромагнитные эффекты при землетрясениях и взрывах. М.: МИФИ. 2000. 448 с.
Уткин В.И., Юрков А.К. Радон как индикатор геодинамических процессов // Геология и геофизика. 2010. Т. 51. № 2. С. 277–286.
Фирстов П.П., Макаров Е.О., Акбашев Р.Р. Мониторинг концентрации почвенных газов на Петропавловск-Камчатском геодинамическом полигоне в связи с прогнозом сильных землетрясений // Сейсмические приборы. 2015. Т. 51. № 1. С. 60–80.
Френкель Я.И. К теории сейсмических и сейсмоэлектрических явлений во влажной почве // Изв. АН СССР. Сер. геогр. и геофиз. 1944. Т. 8. № 4. С. 133–150.
Хаттон Л., Уэрдингтон М., Мейкин Дж. Обработка сейсмических данных. Теория и практика: Пер. с англ. М.: Мир. 1989. 216 с.
Шалимов С.Л. Атмосферные волны в плазме ионосферы (с геофизическими примерами). М.: ИФЗ РАН. 2018. 390 с.
Швед Г.М., Голицын Г.С., Ермоленко С.И., Кукушкина А.Е. Связь длиннопериодных собственных колебаний Земли с процессами в атмосфере // Докл. РАН. 2018. Т. 481. № 3. С. 315–319.
Шереметьева О.В. Модели геомагнитных вариаций, обусловленных процессами в геосферных оболочках. Петропавловск-Камчатский: КамГУ им. Витуса Беринга. 2013. 95 с.
Шулейкин В.Н. Вариации элементов приземного атмосферного электричества перед сейсмическими событиями – причины, формы и масштабы проявления. Геофизика ХХI столетия: 2002 г. М.: Научный мир. 2003. С. 396–404.
Chavez O., Perez-Enrıquez R., Cruz-Abeyro J.A., Millan-Almaraz J.R., Kotsarenko A., Rojas E. Detection of electromagnetic anomalies of three earthquakes in Mexico with an improved statistical method // Nat. Hazards Earth Syst. 2011. V. 11. № 7. P. 2021–2027.
Freund F.T., Kulahci I., Cyr G., Ling J., Winnick M., Tregloan-Reed J., Freund M.M. Air ionization at rock surface and pre-earthquake signals // J. Atmos. Sol. Terr. Phys. 2009. V. 71. P. 1824–1834.
Freund F.T., Takeuchi A., Lau B.W. Electric currents streaming out of stressed igneous rocks – A step towards understanding pre-earthquake low frequency EM emissions // Phys. Chem. Earth. 2006. V. 31. P. 389–396.
Gyulai Z., Hartly D. Elektrische leitfahigkeit verformer steinsalzkristalle // Zeitschrift fur physic. 1928. V. 51. № 5–6. P. 378–387.
Hao J.G., Tang T.M., Li D.R. A kind of information on short-term and imminent earthquake precursors: – research on atmospheric electric field anomalies before earthquakes // Acta Seismologica Sinica. 1998. V. 11. № 1. P. 121–131.
Hattori K. ULF Geomagnetic changes associated with large earthquakes // Terrestrial, Atmospheric and Ocean Sciences. 2004. V. 15. № 3. P. 329–360.
Hayakawa M. Atmospheric and ionospheric electromagnetic phenomena associated with earthquakes. Tokyo: TERRAPUB. 1999. 996 p.
Hayakawa M. Earthquake prediction studies: Seismo-electromagnetics. Tokyo: TERRAPUB. 2013. 176 p.
Israelsson S. On the conception – fair weather condition in atmospheric electricity // Pure Appl. geophys. 1978. V. 116. P. 149–158.
Johnston M.J.S. Review of electric and magnetic fields accompanying seismic and volcanic activity // Surv. Geophys. 1997. V. 18. P. 441–475.
Kachakhidze N. Electrical field potential gradient of atmosphere as a possible precursor of earthquakes // Bull. Georgian Natl. Acad. Sci. 2000. V. 161. № 3. P. 32–43.
Koike K., Yoshinaga T., Ueyama T., Asaue H. Increased radon-222 in soil gas because of cumulative seismicity at active faults // Earth, Planets Space. 2014. V. 66. P. 57.
Kondo G. The variation of the atmospheric electric field at the time of earthquake // Kakioka Magnet. Observ. Mem. 1968. V. 13. № 1. P. 11–23.
Liperovsky V.A., Meister C.-V., Liperovskaya E.V., Davidov V.F., Bogdanov V.V. On the possible influence of radon and aerosol injection into the atmosphere and ionosphere before earthquakes // Nat. Hazards Earth Syst. Sci. 2005. V. 5. № 6. P. 783–789.
Mikhailov O.V., Haartsen M.V., Toksoz M.N. Electroseismic investigation of the shallow subsurface: field measurements and numerical modeling // Geophysycs. 1997. V. 62. P. 97–105.
Molchanov O.A., Hayakawa M. Seismo-electromagnetics and related phenomena. History and latest results. Tokyo: TERRAPUB. 2008. 189 p.
Pulinets S.A., Boyarchuk K. Ionospheric precursors of earthquakes. Berlin: Springer. 2004. 315 p.
Smirnov S. Association of the negative anomalies of the quasistatic electric field in atmosphere with Kamchatka seismicity // Nat. Hazards Earth Syst. 2008. V. 8. № 4. P. 745–749.
St-Laurent F., Derr J.S., Freund F.T. Earthquake lights and the stress-activation of positive hole charge carriers in rocks // Phys. Chem. Earth. 2006. V. 31. P. 305–312.
Thompson R.R. The seismic-electric effect // Geophysics. 1936. V. 1. № 3. P. 48–51.
Thompson A.H., Gist G.A. Geophysical applications of electrokinetic conversion // The leading Edge. 1993. V. 12. P. 1160–1173.
Zhu Z., Toksoz M.N. Seismoelectric and seismomagnetic measurements in fractured borehole models // Geophysics. 2005. V. 70. P. F45–F51.
Дополнительные материалы отсутствуют.



