Физика Земли, 2021, № 3, стр. 115-129
Археомагнитные исследования обожженных кирпичей на территории Европейской части России: новые данные
Н. В. Сальная 1, 2, *, Д. Д. Елшин 3, **
1 Геологический институт РАН
г. Москва, Россия
2 Институт физики Земли им. О.Ю. Шмидта РАН
г. Москва, Россия
3 Государственный Эрмитаж
г. Санкт-Петербург, Россия
* E-mail: natalia.salnaia@gmail.com
** E-mail: denis.jolshin@gmail.com
Поступила в редакцию 31.05.2020
После доработки 11.11.2020
Принята к публикации 03.12.2020
Аннотация
Восстановление эволюции геомагнитного поля Европейской части России остается крайне трудной задачей из-за все еще малого количества данных, отвечающих современным критериям качества. В работе представлены результаты археомагнитных исследований пяти групп фрагментов обожженных кирпичей, отобранных в Ярославской области из архитектурных памятников XVIII–XIX вв. Определения палеонапряженности были выполнены по методу Триакс, предусматривающему проведение серии непрерывных высокотемпературных измерений. Определения палеонапряженности, отвечающие современным критериям качества, получены по 71 образцу из 19 фрагментов пяти археомагнитных групп. В работе приведены результаты сопоставления полученных данных по палеонапряженности с имеющимися определениями по Европейской части России и различными региональными опорными кривыми по Западной и Восточной Европе.
ВВЕДЕНИЕ
В настоящее время большое внимание уделяется изучению геомагнитного поля исторического периода [Gomez-Paccard et al., 2008; Kovacheva et al., 2014; Genevey et al., 2016; Начасова и др., 2018; Pilipenko et al., 2018; и др.]. Однако многие регионы все еще остаются малоизученными, что создает значительные трудности для реконструкции геомагнитного поля как в планетарном, так и в региональном масштабе.
Восстановление эволюции геомагнитного поля создает предпосылки для выявления пространственно-временных изменений геомагнитного поля путем сравнения данных по различным территориям и позволяет использовать наши знания о геомагнитном поле в качестве инструмента для датирования обожженных археологических находок.
Европейская часть России является перспективным регионом для выполнения археомагнитных исследований, поскольку здесь имеется значительное количество архитектурных и археологических памятников разных возрастных эпох, детально изученных с точки зрения археологии.
На настоящий момент для территории России имеется более 200 определений палеонапряженности, приуроченных к историческому периоду времени, большинство из которых получено по территории Европейской части России для эпохи неолита [Начасова и др., 2016; 2018; Pilipenko et al., 2018] и второй половины второго тысячелетия [Начасова, 1970; Бураков, Начасова, 1970; Начасова и др., 2016; Kosareva et al., 2020]. Ряд определений палеонапряженности получен для Сибири [Бураков и др., 2000; Начасова и др., 2015] и Камчатки [Латышев и др., 2017]. Однако, несмотря на довольно большое число имеющихся археомагнитных определений, значительные интервалы времени и регионы остаются недостаточно хорошо охарактеризованными в археомагнитном отношении и требуют дальнейшего изучения.
В течение последних нескольких лет нами ведутся исследования, направленные на заполнение существующих лакун археомагнитной записи, путем изучения хорошо датированных объектов и детальной реконструкции эволюции геомагнитного поля по территории Европейской части России. Данная работа направлена на уточнение поведения древнего геомагнитного поля во втором тысячелетии нашей эры и сравнительного анализа с европейскими региональными опорными кривыми с целью оценки вклада недипольных составляющих в главное геомагнитное поле на территории Европы.
АРХЕОМАГНИТНАЯ КОЛЛЕКЦИЯ
Для получения качественных результатов палеонапряженности исторического периода времени крайне важным фактором является выбор объектов исследований – архитектурных или археологических памятников. В первую очередь, архитектурные памятники должны иметь точные датировки, подтвержденные историческими, археологическими или иными источниками. Во-вторых, памятники должны быть минимально затронуты перестройками и реставрационными работами.
Одним из благоприятных районов для выполнения археомагнитных исследований для XVIII–XIX вв. оказалась Ярославская область, на территории которой сохраняется множество недействующих приходских или усадебных церквей, построенных в XVIII–XIX вв. [Стерлина и др., 2016], отвечающих вышеприведенным условиям.
В ходе полевых работ на северо-западе области была отобрана коллекция из руинированых первоначальных кладок основных зданий храмов Некоузского и Борисоглебского районов Ярославской области, состоящая из пяти археомагнитных групп фрагментов обожженных кирпичей (каждая группа была представлена 7–12 фрагментами). Время постройки храмов уточнялось по опубликованным сведениям и архивным документам [Краткие сведения…, 1908; РГИА. Ф. 799. Оп. 33. Д. 2389, 2413]. Возраст храмов (см. табл. 1), из материалов которых осуществлялся отбор археомагнитных групп, соответствует датировке их архитектурных типов и стилям архитектурного декора: провинциальному варианту барокко – Никольская церковь в с. Никольском (группа NIK01), раннему периоду классицизма – Покровская церковь в с. Веретея (VER01) и Троицкая церковь в с. Старый Некоуз (NEK01). К позднему классицизму относятся Крестовоздвиженская церковь в с. Дмитриевском (DMIT01) и Георгиевская церковь в с. Георгиевском на р. Лехте (GEOR01). Размеры кирпичей рассматриваемых памятников практически не имеют существенных отличий, основной формат (26–28 × 13 × 7–8 см) характерен для данного периода, за исключением кирпичей церкви Покрова Пресвятой Богородицы в с. Веретея (группа VER01), где они имеют несколько большую, в среднем на 2–3 см, длину.
Таблица 1.
Определения напряженности геомагнитного поля по Ярославской коллекции обожженных глиняных фрагментов
| Группа фрагментов | φ, с.ш. | λ, в.д. | Архитектурный памятник | Датировка, г. | N(n) | Ндр ср ± σНдр, мкТл | ВАДМ ± σВАДМ (×1022 Ам2) |
|---|---|---|---|---|---|---|---|
| NIK01 | 57.9112 | 38.2940 | Никольская церковь в с. Никольском | 1764–1776 | 3(11) | 47.5 ± 0.5 | 7 ± 0.1 |
| NEK01 | 57.9123 | 37.9956 | Троицкая церковь в с. Старый Некоуз | 1790 | 3(11) | 48.2 ± 2.0 | 7 ± 0.3 |
| VER01 | 58.1190 | 38.2057 | Покровская церковь в с. Веретея | 1789–1792 | 4(16) | 48.5 ± 1.4 | 7.1 ± 0.2 |
| DMIT01 | 57.9696 | 38.0482 | Крестовоздвиженская церковь в с. Дмитриевском | 1808 | 4(15) | 48 ± 0.5 | 7 ± 0.1 |
| GEOR01 | 57.2923 | 38.8869 | Георгиевская церковь в с. Георгиевском на р. Лехте | 1838 | 5(18) | 47.6 ± 0.7 | 7 ± 0.1 |
Примечания: Группа фрагментов – краткое название отобранных групп фрагментов; φ, с.ш., λ, в.д. – широта и долгота места отбора групп фрагментов; архитектурный памятник – полное наименование памятников; датировка групп фрагментов, г. н. э.; N(n) – количество фрагментов (образцов); Ндр ср ± σНдр (мкТл) – среднее значение напряженности геомагнитного поля на уровне группы фрагментов в мкТл ± стандартное отклонение в мкТл; ВАДМ ± σВАДМ (×1022 Ам2) – значения виртуального аксиального дипольного момента, рассчитанные по определениям палеонапряженности, в Ам2 ± стандартное отклонение в Ам2, при расчете использовалась средняя широта объектов – 57.8о с.ш.
МЕТОДИКА АРХЕОМАГНИТНЫХ ИССЛЕДОВАНИЙ
Магнито-минералогические эксперименты играют важную роль в археомагнитных исследованиях для оценки стабильности магнитных минералов образцов к нагревам и доменной структуры зерен магнитных минералов. Результаты компонентного анализа естественной остаточной намагниченности и магнито-минералогических исследований позволяют определять магнитные минералы, являющиеся носителями естественной остаточной намагниченности.
Стабильность магнитных минералов служит критерием отбраковки фрагментов и групп, поскольку изменение магнитных минералов при нагреве до высоких температур делает невозможным их исследование “нагревными” методами определения палеонапряженности, предусматривающими создание термоостаточной намагниченности. Тип доменной структуры магнитных зерен также служит критерием для выбора пригодных фрагментов для определения палеонапряженности. Фрагменты, содержащие преимущественно многодоменные зерна, не подходят для определения напряженности с помощью методов типа Телье [Shcherbakov, Shcherbakova, 2001]. Определение магнитных минералов в археомагнитных исследованиях необходимо для выбора оптимального температурного интервала в экспериментах по определению палеонапряженности.
В работе был выполнен комплекс магнито-минералогических исследований, включающий термомагнитный анализ магнитной восприимчивости Km(T), эксперименты Лаури [Lowrie, 1990], исследование кривых изотермической остаточной намагниченности и петель гистерезиса при различных температурах.
Измерения Km(T) проводились с помощью каппа-моста MFK-1 c приставкой CS-3 (AGICO, Чехия) на воздухе. Для разделения высококоэрцитивных и низкокоэрцитивных минералов по температурам деблокирования на всех фрагментах коллекции был выполнен эксперимент Лаури [Lowrie, 1990]. Образцы объемом 1 см3 предварительно намагничивались с использованием импульсного намагничивающего устройства (Impulse Magnetizer, ACS scientific, США) в полях 1.2, 0.4, 0.2 Tл в трех перпендикулярных направлениях, и затем проводилось ступенчатое терморазмагничивание созданной остаточной намагниченности с использованием немагнитной печи MMTD80 (Magnetic Measurements Ltd., Великобритания). Измерения остаточной намагниченности выполнялись с помощью спин-магнитометра JR-6 (AGICO, Чехия).
Определение палеонапряженности осуществлялось по методу Триакс [Le Goff, Gallet, 2004], сочетающему в себе высокотемпературную версию метода Телье [Thellier, Thellier, 1959] и метод Вильсона–Буракова [Wilson, 1961; Бураков, 1973]. Эксперименты по определению палеонапряженности методом Триакс состоят из пяти этапов высокотемпературных измерений:
1. Размагничивание ЕОН (естественной остаточной намагниченности) в нулевом поле от комнатной температуры (Т0) до заданной температуры Т2;
2–3. Охлаждение образца в нулевом поле до заданной температуры T1 ≥ T0 и последующий нагрев в нулевом поле до температуры T2; на этом этапе фиксируются изменения той части намагниченности, которая остается заблокированной после прогрева образцов до температуры T2 на этапе 1.
4. Охлаждение образца от температуры Т2 до температуры Т1 в известном лабораторном поле и создание лабораторной, в общем случае, парциальной термоостаточной намагниченности (пТОН). На этой стадии поле задается автоматически в направлении ЕОН, рассчитанном на 50° температурном интервале до Т2. Если угол отклонения между ЕОН и лабораторной пТОН – γ – превышал 4°, образец вновь нагревался и направление намагничивающего поля корректировалось на угол “–γ” [Le Goff, Gallet, 2004].
5. Размагничивание пТОН, созданной в интервале от Т1 до Т2.
После завершения пятого этапа, образец охлаждался до комнатной температуры.
Определение палеонапряженности осуществлялось исходя из значений намагниченности, получаемых с шагом в 5° на первом, третьем и пятом этапах эксперимента. Величина палеонапряженности оценивалась с помощью параметра Ндр(i), который рассчитывается как произведение напряженности лабораторного поля на отношение доли ЕОН к пТОН, деблокированных в интервале от Т1 до Ti. В расчетах также учитывается доля заблокированной ЕОН, получаемой на этапе 3, а именно, из значений ЕОН и пТОН, измеренных при каждой температуре всего интервала измерений, вычитаются значения, полученные на этапе 3.
Определение палеонапряженности по одному образцу рассчитывается как среднее арифметическое значений Ндр(i), вычисленных в пределах температур $T_{1}^{*}{\kern 1pt} - {\kern 1pt} {{T}_{2}}$, находящихся внутри интервала измерений Т1–Т2.
Критерии качества получаемых данных палеонапряженности аналогичны применяемым в работах [Le Goff, Gallet, 2004; Gallet, Le Goff, 2006]. Основные из них это: однокомпонентный состав ЕОН в интервале определения палеонапряженности; прямолинейность графика Ндр(i)(Т), оцениваемая с помощью количественного параметра S [Le Goff, Gallet, 2004]; доля деблокированной части ЕОН в интервале $T_{1}^{*}{\kern 1pt} - {\kern 1pt} {{T}_{2}}$ должна составлять более 50% от температуры T1 [Gallet, Le Goff, 2006]. Для определений, полученных на уровне фрагментов и групп фрагментов, стандартное отклонение от среднего не должно превышать 5%. Необходимо отметить, что метод Триакс предусматривает создание пТОН в направлении разрушенной ЕОН, поэтому корректировки получаемых данных за анизотропию пТОН не требуется. Также в работе проводилась оценка зависимости пТОН от скорости ее создания (“cooling rate effect”) посредством сравнения определений палеонапряженности, получаемых из экспериментов с различной скоростью создания термоостаточной намагниченности (25 и 5°С/мин).
РЕЗУЛЬТАТЫ МАГНИТО-МИНЕРАЛОГИЧЕСКИХ И АРХЕОМАГНИТНЫХ ИССЛЕДОВАНИЙ
Предварительно, для всех фрагментов кирпичей была исследована стабильность их магнитных свойств к нагревам до высоких температур. Эта характеристика служит одним из критериев для оценки возможности использования фрагментов и коллекций для проведения экспериментов по определению напряженности.
Температурная зависимость Km(T) определялась на порошкообразных образцах, изготовленных из каждого фрагмента. Нагрев производился до +520…+600°С, т.е. выше максимальной температуры интервала определения палеонапряженности (Т2) (рис.1). Критерием отбраковки образцов, непригодных для дальнейших исследований, считалось расхождение значений Km, измеренных в ходе нагрева и охлаждения, более чем на 10%. В результате этих экспериментов отобрано 52 фрагмента для проведения дальнейших исследований (рис. 1г) из 55 исследованных. Однако только по 19 из них были получены определения палеонапряженности, удовлетворяющие критериям метода Триакс [Le Goff, Gallet, 2004; Gallet, Le Goff, 2006; Salnaia et al., 2017]. Результаты магнито-минералогических исследований по этим фрагментам приведены ниже.
Рис. 1.
Результаты термомагнитного анализа Km(Т) при нагреве (сплошная кривая) и охлаждении (пунктирная кривая): (а), (б), (в) – примеры фрагментов, показавших стабильность Km в ходе термомагнитного анализа и пригодных для экспериментов по определению палеонапряженности; (г) – пример отбракованного фрагмента.

По результатам экспериментов Лаури [Lowrie, 1990] все изученные фрагменты могут быть разделены на три магнито-минералогические группы (рис. 2). К первой группе (5%) относятся фрагменты, где основным магнитным минералом является низкокоэрцитивный минерал с температурами деблокирования ~540°С, предположительно, магнетит с низким содержанием Ti. Для фрагментов этой группы характерны кривые нормального намагничивания, достигающие насыщения в малых полях, гистерезисные петли аналогичны таковым для минералов титаномагнетитового ряда (рис. 2а, 2г, 2ж)
Рис. 2.
Экспериментальные результаты для трех различных магнито-минералогических групп (пояснения в тексте): (а), (б), (в) – результаты эксперимента Лаури [Lowrie, 1990] – кривые ступенчатого размагничивания изотермической остаточной намагниченности, созданной по трем осям в различных полях (в условном обозначении указаны поля для создания изотермической остаточной намагниченности); (г), (д), (е) – петли гистерезиса ((г) – петля гистерезиса с учетом парамагнитной составляющей); (д), (е) и вставка (г*) – петли гистерезиса без коррекции за парамагнитную составляющую; (ж), (з), (и) – кривые изотермической остаточной намагниченности.

Вторая группа (63%) представлена фрагментами, где наряду с низкокоэрцитивным минералом, выделенным в первой группе, присутствует высококоэрцитивный минерал с низкими температурами деблокирования +150…+200°С (high coerciti-vity low temperature – HCLT), являющийся, вероятно, ε-Fe2O3, как показано в работах, включающих результаты исследований, в том числе выборочной части образцов Ярославской коллекции [Kosterov et al., 2021]. Важно отметить, что HCLT – ε-Fe2O3 минерал, довольно распространен в археологических материалах [McIntosh et al., 2011; Lopez-Sánchez et al., 2017]. Однако на результаты определения палеонапряженности наличие HCLT – ε-Fe2O3 минерала зачастую не оказывает существенного влияния, поскольку его температуры деблокирования близки (или ниже) начальных температур ($T_{1}^{*}{\kern 1pt} $) интервала определения палеонапряженности.
Для фрагментов, относящихся к третьей группе (32% всех фрагментов), наряду с магнитными минералами, выявленными во второй группе (HCLT и минералов титаномагнетитового ряда), характерно наличие высококоэрцитивного минерала с высокими температурами деблокирования +660…+700°С, предположительно гематита (рис. 2в).
Для фрагментов второй и третьей группы по результатам изучения петель гистерезиса наблюдается их перетяжка в малых полях (рис 2д, 2е), что свидетельствует о наличии высококоэрцитивных магнитных минералов. Результаты нормального намагничивания для таких фрагментов свидетельствуют о наличии как минимум двух минералов – низкокоэрцитивного и более высококоэрцитивного, достигающего насыщения (рис. 2з) или нет (рис. 2и) в поле до 1 Тл.
Сложный магнито-минералогический состав фрагментов коллекций не позволяет оценить доменную структуру магнитных зерен минерала, предположительно являющегося магнетитом с низким содержанием Ti при использовании диаграммы Дэя [Day et al., 1977] и ее модифицированной версии [Dunlop, 2002] для фрагментов второй магнито-минералогической группы в силу наличия высококоэрцитивного магнитного минерала с низкими температурами Кюри (ТК). Возможным решением проблемы является измерение и определение гистерезисных параметров при повышенных температурах. Гистерезисные параметры, измеренные при температуре 250°С и нанесенные на диаграмму Дэя–Данлопа, попадают в область псевдооднодоменных с присутствием суперпарамагнитных частиц (рис. 3) [Day et al., 1977; Dunlop, 2002].
Рис. 3.
Диаграмма Дэя–Данлопа для образцов I и II магнито-минералогических групп, параметры Jrs, Js и Hcr, Hc определены при 250°С.

Фрагменты третьей группы не исследовались, ввиду присутствия в них высококоэрцитивных минералов, ТК которых превышают ТК магнетита с низким содержанием Ti, и, следовательно, для них нельзя оценить доменную структуру магнитных зерен с помощью диаграммы Дэя–Данлопа [Day et al., 1977; Dunlop, 2002].
РЕЗУЛЬТАТЫ ЭКСПЕРИМЕНТОВ ПО ОПРЕДЕЛЕНИЮ НАПРЯЖЕННОСТИ ГЕОМАГНИТНОГО ПОЛЯ
Эксперименты по определению палеонапряженности проводились в температурном интервале +150…+490°С с использованием двух скоростей создания лабораторной пТОН – 25 и 2°С/мин в лабораторном поле 50 мкТл.
Определения палеонапряженности, отвечающие критериям метода Триакс [Le Goff, Gallet, 2004; Gallet, Le Goff, 2006], получены по 71 образцу, относящемуся к 19 фрагментам из исследованных 129 образцов из 34 фрагментов. Большинство результатов отсеяно из-за вогнутости кривых Ндр(Тi), а также вследствие наклона кривой Ндр(Тi) – фактора S более 10% (например, рис. 4в).
Рис. 4.
Примеры получаемых данных по методу Триакс слева направо: график напряженности Ндр(i) от температуры, график размагничивания ЕОН от температуры, где на (а) обозначены шаги эксперимента (см. текст), диаграмма Зийдервельда [Zijderveld, 1967] в системе координат образца, (в) – пример результата, не соответствующего критериям метода Триакс [Le Goff, Gallet, 2006].

В процессе эксперимента для всех образцов отмечается сходство кривых размагничивания ЕОН и созданной пТОН (рис. 4), что является косвенным доказательством термомагнитной природы естественной остаточной намагниченности образцов. По диаграммам Зийдервельда [Zijderveld, 1967] в температурном интервале определения палеонапряженности 175–220…450–490°С выделяется одна – характеристическая – компонента ЕОН, идущая в начало координат (см. примеры на рис. 4), что также является необходимым условием для получения качественных определений палеонапряженности. Доля деблокированной ЕОН в интервале определения палеонапряженности при расчете от начальной температуры этого интервала составила от 63 до 92% (табл. 2) и превышает необходимый порог в 50% [Gallet, Le Goff, 2006].
Таблица 2.
Определения палеонапряженности на уровне образцов и фрагментов
| N | n | Tмин–Tмакс, °C | Нлаб | Скорость создания пТОН, °C/мин | ЕОН дебл от Tмин, % | S, % | Ндр, мкТл | Ндр.фр ± σН, мкТл |
|---|---|---|---|---|---|---|---|---|
| NIK01, Ярославская область, Церковь Николая Чудотворца, 1764 г. (9/6/3)* | ||||||||
| 1 | 2 | 3 | 4 | 5 | 6 | 7 | 8 | 9 |
| NIK01-02 | a | 175–485 | 50 | 25 | 72 | –9 | 47.4 | 47.8 ± 0.6 |
| d | 175–490 | 50 | 25 | 73 | –6 | 48.2 | ||
| b-v2 | 175–490 | 50 | 2 | 72 | –8 | 48.3 | ||
| c-v2 | 180–475 | 50 | 2 | 68 | –6 | 47.2 | ||
| NIK01-03 | d | 175–490 | 50 | 25 | 70 | –10 | 46.8 | 46.9 ± 0.1 |
| b-v2 | 175–490 | 50 | 2 | 70 | –8 | 47.0 | ||
| c-v2 | 190–485 | 50 | 2 | 67 | –8 | 47.0 | ||
| NIK01-08 | a | 175–485 | 50 | 25 | 77 | 5 | 47.5 | 47.7 ± 0.1 |
| d | 175–490 | 50 | 25 | 76 | 5 | 47.7 | ||
| b-v2 | 175–480 | 50 | 2 | 76 | –2 | 47.7 | ||
| c-v2 | 175–480 | 50 | 2 | 78 | –2 | 47.8 | ||
| NEK01, Ярославская область, Церковь Святой Троицы Живоначальной, 1790 г., (9/8/3) | ||||||||
| NEK01-02 | a | 175–490 | 50 | 25 | 81 | 2 | 51.9 | 50.5 ± 1.1 |
| d | 180–475 | 50 | 25 | 77 | 4 | 50.1 | ||
| b-v2 | 180–475 | 50 | 2 | 78 | –2 | 50.8 | ||
| c-v2 | 180–475 | 50 | 2 | 80 | 3 | 49.3 | ||
| NEK01-03 | a | 175–490 | 50 | 25 | 84 | 3 | 46.4 | 47.0 ± 1.3 |
| c | 175–475 | 50 | 25 | 69 | 1 | 47.1 | ||
| b-v2 | 180–475 | 50 | 2 | 79 | 5 | 45.8 | ||
| d-v2 | 175–465 | 50 | 2 | 77 | –7 | 48.8 | ||
| NEK01-08 | a | 175–490 | 50 | 25 | 79 | –6 | 47.1 | 47.2 ± 0.2 |
| b-v2 | 175–485 | 50 | 2 | 81 | –6 | 47.5 | ||
| c-v2 | 175–490 | 50 | 2 | 80 | –6 | 47.1 | ||
| VER01, Ярославская область, Церковь Покрова Пресвятой Богородицы, 1792–1793 н. э., (16/9/4) | ||||||||
| VER01-04 | a | 175–490 | 50 | 25 | 70 | –3 | 49.4 | 48.9 ± 0.4 |
| e | 190–475 | 50 | 25 | 68 | –2 | 48.5 | ||
| b-v2 | 175–485 | 50 | 2 | 71 | –6 | 49.2 | ||
| c-v2 | 175–490 | 50 | 2 | 69 | –5 | 48.4 | ||
| d-v2 | 185–475 | 50 | 2 | 66 | –3 | 48.9 | ||
| VER01-06 | a | 185–480 | 50 | 25 | 76 | 0 | 48.3 | 47.0 ± 1.0 |
| b-v2 | 185–480 | 50 | 2 | 80 | –7 | 46.5 | ||
| c-v2 | 185–475 | 50 | 2 | 79 | –9 | 47.1 | ||
| d-v2 | 185–485 | 50 | 2 | 80 | –4 | 46.0 | ||
| VER01-08 | a | 175–485 | 50 | 25 | 82 | 1 | 50.5 | 50.2 ± 0.8 |
| d | 175–490 | 50 | 25 | 82 | 0 | 50.9 | ||
| b-v2 | 175–485 | 50 | 2 | 81 | –3 | 50.4 | ||
| c-v2 | 175–490 | 50 | 2 | 80 | 2 | 49.1 | ||
| VER01-16 | a | 175–490 | 50 | 25 | 83 | 0 | 48.9 | 48 ± 0.8 |
| b-v2 | 175–485 | 50 | 2 | 82 | 0 | 47.6 | ||
| c-v2 | 175–490 | 50 | 2 | 83 | 1 | 47.4 | ||
| DMIT01, Ярославская область, Церковь Воздвижения Креста Господня, 1808 н. э., (9/6/4) | ||||||||
| DMIT01-04 | a | 190–480 | 50 | 25 | 65 | –1 | 48.4 | 48.8 ± 0.7 |
| b | 195–480 | 50 | 25 | 65 | 3 | 49.0 | ||
| c-v2 | 175–480 | 50 | 2 | 67 | –3 | 49.7 | ||
| d-v2 | 200–480 | 50 | 2 | 65 | –2 | 48.0 | ||
| DMIT01-05 | a | 195–490 | 50 | 25 | 71 | 3 | 46.8 | 47.7 ± 0.6 |
| b | 190–480 | 50 | 25 | 74 | –2 | 48.2 | ||
| c-v2 | 200–480 | 50 | 2 | 72 | –3 | 47.7 | ||
| d-v2 | 190–485 | 50 | 2 | 75 | –1 | 48.0 | ||
| DMIT01-06 | b | 175–490 | 50 | 25 | 83 | 0 | 46.9 | 47.9 ± 1.0 |
| c-v2 | 175–480 | 50 | 2 | 82 | –4 | 48.0 | ||
| d-v2 | 175–480 | 50 | 2 | 83 | –8 | 48.9 | ||
| DMIT01-08 | a | 175–490 | 50 | 25 | 75 | –4 | 47.3 | 47.8 ± 0.8 |
| b | 190–490 | 50 | 25 | 72 | –5 | 47.1 | ||
| c-v2 | 175–480 | 50 | 2 | 73 | –6 | 48.8 | ||
| d-v2 | 200–480 | 50 | 2 | 70 | –6 | 47.8 | ||
| GEOR01, Ярославская область, Церковь Георгия Победоносца, 1838 н. э., (12/10/4) | ||||||||
| GEOR01-02 | a | 175–480 | 50 | 25 | 92 | 4 | 46.5 | 47.4 ± 1 |
| b | 175–455 | 50 | 25 | 76 | –4 | 48.4 | ||
| c-v2 | 175–475 | 50 | 2 | 85 | –3 | 47.2 | ||
| GEOR01-04 | a | 175–480 | 50 | 25 | 80 | –2 | 46.7 | 46.7 ± 0.8 |
| c | 185–475 | 50 | 25 | 70 | 5 | 47.8 | ||
| d-v2 | 175–475 | 50 | 2 | 73 | 1 | 46.0 | ||
| e-v2 | 175–475 | 50 | 2 | 70 | 2 | 46.4 | ||
| GEOR01-06 | a | 175–475 | 50 | 25 | 82 | 0 | 48.1 | 47.7 ± 0.6 |
| c | 175–490 | 50 | 25 | 83 | 3 | 48.3 | ||
| b-v2 | 175–475 | 50 | 2 | 77 | –4 | 47.4 | ||
| d-v2 | 175–490 | 50 | 2 | 84 | –1 | 47.1 | ||
| GEOR01-08 | a | 175–480 | 50 | 25 | 80 | 2 | 47.4 | 48.1 ± 0.7 |
| b | 170–450 | 50 | 25 | 76 | –1 | 48.7 | ||
| c-v2 | 170–465 | 50 | 2 | 79 | 2 | 48.3 | ||
| GEOR01-12 | a | 195–480 | 50 | 25 | 82 | –4 | 48.8 | 48.1 ± 0.9 |
| b | 175–455 | 50 | 25 | 63 | –5 | 47.4 | ||
| c-v2 | 180–475 | 50 | 2 | 65 | –5 | 48.9 | ||
| e-v2 | 220–475 | 50 | 2 | 78 | –6 | 47.1 | ||
Примечания: (1)N – название фрагмента группы; (2) n – название образца; (3) Tмин–Tмакс (°C) – температурный интервал определения палеонапряженности; (4) Нлаб – лабораторное поле при создании пТОН; скорость создания термоостаточной намагниченности (°C/мин); (5) скорость создания лабораторной пТОН; (6) ЕОН дебл от Tмин (%) – доля деблокированной естественной остаточной намагниченности от измеренной при Тмин, т.е. при начальной температуре интервала определения палеонапряженности; (7) S, % – фактор, учитывающий наклон кривой палеонапряженности между начальной и конечной температурами (см. раздел 2.4.); (8) Ндр, мкТл – палеонапряженность на уровне образца; (9) Ндрфр ± σН, (мкТл) – палеонапряженность на уровне фрагмента, σ стандартное отклонение от среднего; * – здесь и ниже в скобках указано (количество фрагментов группы/количество фрагментов, подходящих по величине намагниченности, для измерений на аппаратурном комплексе Триакс/количество фрагментов, по которым получены определения палеонапряженности, соответствующие критериям метода Триакс).
Средние значения на уровне фрагментов были вычислены по результатам исследования трех– пяти образцов-дублей из одного фрагмента. В свою очередь средние значения на уровне группы фрагментов были определены по трем–семи фрагментам. Таким образом, значения палеонапряженности по группам фрагментов вычислялись на основе 11–18 индивидуальных определений по образцам (табл. 2).
Стандартное отклонение (σ) определений палеонапряженности, вычисленных на уровне фрагментов, не превышает 1.3 мкТл (или 3.7%) от среднего (табл. 2). На уровне группы фрагментов минимальное σ Ндр составляет от ±0.5 мкТл (~1%, группы NIK01 и DMIT01), максимальное значение отмечено для группы NEK01 – ±2.0 мкТл (±4.1%) (табл. 1).
Средние значения, полученные из экспериментов с использованием двух различных скоростей – 25 и 2°С/мин при создании пТОН, близки по величине, при этом соответствующие стандартные отклонения от среднего составляют 0.3–1.8%, иными словами, значения статистически не различаются (табл. 2).
ОБСУЖДЕНИЕ
Результаты проведенных магнито-минералогических и археомагнитных исследований позволили предположить, что основным магнитным минералом – носителем ЕОН – является низкокоэрцитивный минерал с температурами деблокирования ~540°С, вероятно являющийся магнетитом с низким содержанием Ti. Однако более детальные магнито-минералогические исследования, проведенные на выборочных образцах Ярославской коллекции, предполагают наличие в образцах минерала, близкого к маггемиту, частично замещенному Ti, Mn и/или Al [Kosterov et al., 2021].
По пяти группам фрагментов обожженных кирпичей, точно датированных в пределах 1764–1838 гг., получены средние значения палеонапряженности, имеющие близкие значения от 47.2 ± 0.7 до 48.5 ± 1.4 мкТл. Этот результат указывает на то, что напряженность геомагнитного поля на протяжении рассматриваемого времени значительно не изменялась.
В течение последних нескольких лет на территории Европейской части России по объектам, расположенным не далее чем в 730 км от Москвы, получено 17 новых определений палеонапряженности для периода XII–XIX вв. [Salnaia et al., 2017, Сальная и др., 2017; Kosareva et al., 2020; данная работа]. В совокупности, эти данные свидетельствуют о тенденции уменьшения виртуального аксиального дипольного момента (ВАДМ) без резких максимумов и минимумов с 9.6 × 1022 по 8.5 × 1022 Ам2 во временном интервале XII–XVI вв. нашей эры и о его несущественных изменениях с 7.4 × 1022 по 6.9 × 1022 Ам2 с начала XVIII в. по первую треть XIX в.
Как отмечалось выше, довольно большой объем археомагнитных исследований на территории Европейской части России был выполнен в 70-х гг. прошлого столетия [Бураков, Начасова, 1970; Начасова, 1970].
Сводка определений из работ [Бураков, Начасова, 1970; Начасова, 1970] приведена в археомагнитной базе данных GEOMAGIA [Brown et al., 2015]. Стоит отметить, что в первоисточнике, где описаны результаты измерений по памятникам Нижнего Новгорода и Вологды [Бураков, Начасова, 1970] приводятся значения коэффициента К (тангенс угла наклона прямой ЕОН от пТОН на диаграмме Араи–Нагаты), нормированные на лабораторное поле (48.8 мкТл), т.е. для получения значений древнего поля необходимо указанный коэффициент умножить на значение лабораторного поля. В то же время в базе данных GEOMAGIA [Brown et al., 2015] и сборнике определений [Бурлацкая и др., 1986] для получения значений палеонапряженности те же самые значения коэффициента К умножаются уже на значения современного поля на момент проведения работ (52 мкТл), что приводит к переоценке древней напряженности примерно на 5%. В этой работе данные по Вологде и Нижнему Новгороду (Горькому) приведены из работы [Бураков, Начасова, 1970], исходя из предположения, что в первоисточнике не было допущено ошибки. Также отметим, что в ранних работах не представлены археомагнитные данные для первой половины второго тысячелетия н. э., а большинство определений палеонапряженности получены на основе недостаточного, по современным представлениям, статистического материала – в большинстве случаев средние определения получены по результатам исследований 1–2–3 фрагментов и 1–2–3 образцов соответственно. Все указанные выше обстоятельства обуславливают необходимость постановки исследований для получения новых качественных данных.
Для определений палеонапряженности в работах [Бураков, Начасова, 1970; Начасова, 1970] характерны существенные различия палеонапряженности геомагнитного поля (иногда до 10 мкТл) для близковозрастных определений (рис. 5). С одной стороны, это могло бы указывать на существование короткопериодных высокоамплитудных вариаций геомагнитного поля. Однако для данных, полученных в настоящей работе и ранее [Salnaia et al., 2017; Сальная и др., 2017; Kosareva et al., 2020], такой разброс нехарактерен, что позволяет усомниться в этой гипотезе. С другой стороны, это может являться следствием малого количества качественных данных, не позволяющего зафиксировать короткопериодные вариации палеонапряженности геомагнитного поля, подобные наблюдаемым на территории Юго-Восточной Европы [Kovacheva et al., 2014; Tema et al., 2013].
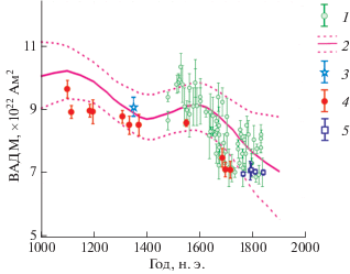
Рис. 5.
Сопоставление значений ВАДМ: 1 – выборка из данных по Европейской части России, полученных ранее [Начасова, Бураков, 1970; Начасова, 1970]; 2 – региональной опорной кривой по Франции [Genevey et al., 2016]; определений из работ: 3 – [Kosareva et al., 2020]; 4 – [Salnaia et al., 2017; Сальная и др., 2017]; и 5 – данных, полученных в ходе данной работы.

Чтобы сопоставить данные, полученные в 70-х гг. прошлого века [Бураков, Начасова, 1970; Начасова, 1970] с определениями, полученными за последние несколько лет, из первых были выбраны данные, соответствующие критериям качества, наиболее приближенными к современным, а именно: 1) средние определения получены на основе исследования трех и более фрагментов/образцов; 2) стандартное отклонение от среднего составляет менее 10%; 3) данные получены по объектам, расположенным не более чем в 730 км от Москвы. Также принималось во внимание, что для всех определений точность датирования составляла до ±10 лет, что соответствует самым строгим современным требованиям; в экспериментах Телье [Thellier, Thellier, 1959] были выполнены проверки величины термоостаточной намагниченности (pTRM checks). В результате из 134 определений палеонапряженности, полученных в 70-х гг. для второго тысячелетия нашей эры, было отобрано 64, как соответствующие вышеприведенным критериям.
Серия определений, представленных в работах [Salnaia et al., 2017; Сальная и др., 2017; Kosareva et al., 2020; данная статья], указывает на пониженные значения геомагнитного поля по сравнению с результатами исследований 70-х гг. [Бураков, Начасова, 1970; Начасова, 1970]. Определенной причины такому систематическому несоответствию мы не нашли, однако оно не может быть следствием различий скоростей при создании ЕОН и пТОН для данных исследований [Бураков, Начасова, 1970; Начасова, 1970], поскольку в них этот эффект был минимизирован с помощью естественного охлаждения образцов в ходе экспериментов [Начасова, 1970].
Для проведения сравнительного анализа были выбраны региональные опорные кривые, построенные на основе определений по территории Франции [Genevey et al., 2016] – следующей версии кривой [Genevey et al., 2013], Греции [De Marco et al., 2008], Болгарии [Kovacheva et al., 2014]. В то же время использовались опорные кривые, построенные на основе данных с обширных территорий, а именно, по Европе [Gomez-Paccard et al., 2008] и Балканам [Tema, Kondopoulou, 2011], уже частично включающие данные по Франции, Испании, Дании, Норвегии и Болгарии, Греции, Сербии, Южной Италии соответственно.
Для сопоставления были выбраны опорные кривые, которые в сравнении с использованием обычного набора данных по региону, описывают общие тенденции изменения регионального геомагнитного поля, исключая или минимизируя вклад случайных ошибок экспериментальных данных, а также включают лишь определения, которые отвечают современным критериям качества данных, как указано в работах [De Marco et al., 2008; Gomez-Paccard et al., 2008; Tema, Kondopoulou, 2011; Kovacheva et al., 2014; Genevey et al., 2016].
Для проведения сопоставления европейских региональных опорных кривых палеонапряженности геомагнитного поля с данными по территории Европейской части России [Бураков, Начасова, 1970; Начасова, 1970; Salnaia et al., 2017; Сальная и др., 2017; Kosareva et al., 2020; данная статья] все определения были пересчитаны в значения виртуального аксиального дипольного момента (ВАДМ) через дипольную формулу [Merrill et al., 1996]. Этот способ сравнения данных является единственным возможным для территории Европейской части России. Другой возможный вариант перевода определений палеонапряженности, полученных в разных регионах к определенным координатам, состоит в использовании моделей геомагнитного поля. Подобный вариант, к сожалению, неприменим в данном случае, поскольку модели геомагнитного поля все еще недостаточно точно предсказывают поведение геомагнитного поля на территории Европейской части России, как это было показано ранее в работе [Salnaia et al., 2017].
При этом данные по территории Европейской части России включали определения, полученные по Великому Новгороду, Московской области, Болгару (Татарстан) и Ярославской области [Salnaia et al., 2017; Сальная и др., 2017; Kosareva et al., 2020; данная статья], а также выборку данных, полученных в 70-х гг. прошлого века по Москве, Нижнему Новгороду и Вологде [Начасова, 1970; Бураков, Начасова, 1970] (далее “данные по ЕЧР”). Все объекты, по которым получены данные по ЕЧР, располагаются на расстоянии не более 730 км от Москвы, что соответствует области, где геомагнитное поле может считаться однородным [Tarling et al., 1983], самым удаленным из них является Болгар – ~726 км [Kosareva et al., 2020], далее следует Великий Новгород – ~585 км [Salnaia et al., 2017], Вологда – ~409 км и Нижний Новгород (Горький) – ~402 км [Бураков, Начасова, 1970], все оставшиеся определения приходятся на Москву и Подмосковье [Начасова, 1970; Сальная и др., 2017].
Проведенный сравнительный анализ показал, что данные [Salnaia et al., 2017; Сальная и др., 2017; Kosareva et al., 2020; данная статья] в рамках погрешностей согласуются с региональной кривой по Франции [Genevey et al., 2016] (рис. 5). В то же время данные по Европейской части России в первой половине второго тысячелетия указывают на относительно спокойное поведение геомагнитного поля, т.е. без резких максимумов и минимумов, которые, напротив, отмечаются на региональной опорной кривой по Франции [Genevey et al., 2016]. Такое несоответствие, однако, может быть связано с малым количеством данных для первой половины второго тысячелетия по Европейской части России.
В свою очередь, региональные опорные кривые по Европе [Gomez-Paccard et al., 2008] и Греции [De Marco et al., 2008], в отличие от региональной кривой по Франции [Genevey et al., 2016], предсказывают иное, относительно стабильное поведение ВАДМ в первой половине второго тысячелетия и полностью согласуются с данными по Европейской части России (рис. 6, рис. 7). Необходимо отметить, что, несмотря на имеющиеся различия в поведении геомагнитного поля (амплитуды максимумов и минимумов, а также само их наличие) рассмотренных выше опорных кривых [Genevey et al., 2016; Gomez-Paccard et al., 2008; De Marco et al., 2008], их значения ВАДМ все же согласуются между собой в рамках своих погрешностей.
Рис. 6.
Сопоставление значений ВАДМ: 1 – выборка из данных по Европейской части России, полученных ранее [Начасова, Бураков, 1970; Начасова, 1970]; 2 – региональной опорной кривой по Европе [Gomez-Paccard et al., 2008]; определений из работ: 3 – [Kosareva et al., 2020]; 4 – [Salnaia et al., 2017, Сальная и др., 2017]; и 5 – данных, полученных в ходе этой работы.

Рис. 7.
Сопоставление значений ВАДМ: 1 – выборка из данных по Европейской части России, полученных ранее [Начасова, Бураков, 1970; Начасова, 1970]; 2 – региональной опорной кривой по Греции [De Marco et al., 2008]; определений из работ: 3 – [Kosareva et al., 2020]; 4 – [Salnaia et al., 2017, Сальная и др., 2017]; и 5 – данных, полученных в ходе этой работы.

При сопоставлении данных по ЕЧР с региональной опорной кривой по Болгарии [Kovacheva et al., 2014] наблюдаются их заметные различия, в особенности в период с XV по XIX вв., достигающие 2×1022 Ам2, в первую же половину второго тысячелетия определения по Европейской части России лежат в пределах погрешности этой региональной опорной кривой (рис. 8). Региональная опорная кривая по Болгарии [Kovacheva et al., 2014] отличается от рассмотренных выше кривых во второй половине второго тысячелетия, что может свидетельствовать о совершенно ином региональном геомагнитном поле по сравнению с Францией [Genevey et al., 2016], Грецией [De Marco et al., 2008] и Европейской частью России [Бураков, Начасова, 1970; Начасова, 1970; Сальная и др., 2017; Salnaia et al., 2017; Kosareva et al., 2020; данная статья]. В то же время данные по ЕЧР при сравнении с кривой, основанной на выборке определений по Болгарии, Греции, Сербии и Южной Италии [Tema, E., Kondopoulou, 2011], согласуются между собой, при этом значения ВАДМ по Европейской части России, начиная с конца XIV века, располагаются ниже опорной кривой, но в рамках ее погрешностей (рис. 9).
Рис. 8.
Сопоставление значений ВАДМ: 1 – выборка из данных по Европейской части России, полученных ранее [Начасова, Бураков, 1970; Начасова, 1970]; 2 – региональной опорной кривой по Болгарии [Kovacheva et al., 2014]; определений из работ: 3 – [Kosareva et al., 2020]; 4 – [Salnaia et al., 2017, Сальная и др., 2017]; и 5 – данных, полученных в ходе этой работы.

Рис. 9.
Сопоставление значений ВАДМ: 1 – выборка из данных по Европейской части России, полученных ранее [Начасова, Бураков, 1970; Начасова, 1970]; 2 – региональной опорной кривой по Балканам [Tema, Kondopoulou, 2011]; определений из работ: 3 – [Kosareva et al., 2020]; 4 – [Salnaia et al., 2017, Сальная и др., 2017]; и 5 – данных, полученных в ходе этой работы.

Сравнительный анализ Европейских региональных опорных кривых и данных по территории ЕЧР свидетельствует об отсутствии существенного вклада недипольных источников в главное геомагнитное поле на территории Европы, включая Францию [Genevey et al., 2016], Грецию [De Marco et al., 2008] и территорию Европейской части России, вклад недипольных источников может быть оценен в пределах погрешностей кривых, а также имеющихся данных по Европейской части России [Бураков, Начасова, 1970; Начасова, 1970; Salnaia et al., 2017; Сальная и др., 2017; Kosareva et al., 2020; данная статья].
Региональная опорная кривая по Болгарии [Kovacheva et al., 2014] предсказывает иное поведение геомагнитного поля в сопоставлении с рассмотренными региональными опорными кривыми [Genevey et al., 2016; Gomez-Paccard et al., 2008; De Marco et al., 2008] и данными по Европейской части России [Бураков, Начасова, 1970; Начасова, 1970; Salnaia et al., 2017; Сальная и др., 2017; Kosareva et al., 2020; данная статья] лишь в период с XV по XIX вв., что может свидетельствовать и о совершенно ином поведении геомагнитного поля в указанных регионах и Болгарии за этот период.
ЗАКЛЮЧЕНИЕ
В ходе работы изучено пять датированных археомагнитных групп фрагментов обожженных кирпичей, отобранных из церквей Ярославской области, построенных в XVIII–XIX вв.
Фрагменты обожженных кирпичей, использованные для определения напряженности древнего магнитного поля, характеризуются стабильностью их магнитных свойств в интервале температур до 600°С. Для фрагментов исследованной коллекции характерен сложный магнито-минералогический состав. На основе проведенных исследований можно предположить, что основным магнитным минералом выступает магнетит c низким содержанием Ti. Гистерезисные параметры, измеренные при температуре 250°С и нанесенные на диаграмму Дэя–Данлопа [Day et al., 1977; Dunlop, 2002], указывают на то, что размер частиц магнетита с низким содержанием Ti отвечает псевдооднодоменному состоянию с присутствием суперпарамагнитных частиц (рис. 3). Согласно результатам исследований [Kosterov et al., 2021], проведенным по выборочным образцам коллекции, основным магнитным минералом выступает маггемит, частично замещенный Ti, Mn и/или Al.
Определения палеонапряженности для пяти археомагнитных групп были получены с использованием метода Триакс [Le Goff, Gallet, 2004] на основе результатов исследований 71 образца из 19 фрагментов.
Определения палеонапряженности, полученные в работе, свидетельствуют о стабильности виртуального аксиального дипольного момента геомагнитного поля на территории Европейской части России в период с 1764 по 1838 гг.
Сравнительный анализ данных по Европейской части России и региональных опорных кривых по Франции [Genevey et al., 2016], Греции [De Marco et al., 2008], а также Европе [Gomez-Paccard et al., 2008] и Балканам [Tema, Kondopoulou, 2011] показал их согласованность в пределах погрешностей, что является свидетельством малого вклада недипольных источников в главное геомагнитное поле, который может быть оценен в пределах погрешностей региональных опорных кривых и имеющихся данных. Другая картина наблюдается при сопоставлении данных по Европейской части России с региональной опорной кривой по Болгарии [Kovacheva et al., 2014], что указывает на то, что поведение геомагнитного поля по территории Болгарии и Европейской части России имело сходный характер в первой половине второго тысячелетия и существенно различалось в период с конца XV по XIX вв.
В дальнейшем планируется получение новых, качественных данных по территории Европейской части России для реконструкции регионального геомагнитного поля исторического периода времени.
Список литературы
Бураков К.С. Метод определения напряженности геомагнитного поля по кривым терморазмагничивания In и Irt. Материалы IX конференции по вопросам постоянного геомагнитного поля, магнетизму горных пород и палеомагнетизму. Ч. 2. Баку. 1973. С. 56–57.
Бураков К.С., Начасова И.Е. Историческое магнитное поле Вологды и Горького. Сборник тезисов докладов VIII конференции по вопросам постоянного геомагнитного поля, магнетизма горных пород и палеомагнетизма. М. ч. 1. 1970. С. 75–78.
Бураков К.С., Начасова И.Е., Петрова Г.Н. Напряженность геомагнитного поля в Прибайкалье в последние тысячелетия // Геомагнетизм и аэрономия. 2000. Т. 40. № 2. С. 90–95.
Бурлацкая С.П., Начасова И.Е., Диденко Е.Ю., Шелестун Н.К. Археомагнитные определения элементов геомагнитного поля. М.: ВИНИТИ. 1986. С. 168.
Начасова И.Е., Пилипенко О.В., Марков Г.П. и др. Напряженность геомагнитного поля в неолите в центре Русской равнины // Геомагнетизм и аэрономия. 2018. Т. 58. № 3. С. 451–468.
Краткие сведения о монастырях и церквях Ярославской епархии. Ярославль. 1908. 547 с.
Латышев А.В., Кушлевич Д.О., Пономарева В.В. и др. Вековые вариации геомагнитного поля последних 4000 лет, записанные в лавах и пирокластике Северной группы вулканов Камчатки: новые данные // Физика Земли. 2017. № 5. С. 139–148.
Начасова И.Е., Бураков К.С., Пилипенко О.В. Вариации напряженности геомагнитного поля в Сибири в последние тринадцать тысячелетий // Физика Земли. 2015. № 1. С. 46–53.
Начасова И.Е., Пилипенко О.В., Марков Г.П. Вариации напряженности главного геомагнитного поля в районе Таманского п-ова в последние 13 столетий // Физика Земли. 2016. № 6. С. 105–111.
Начасова И.Е. Вековые вариации геомагнитного поля с периодами меньше 200 лет (по археомагнитным данным). Дис. ... канд. физ.-мат. наук. М. 1970. 159 с.
Российский Государственный исторический архив. Ф. 799. Оп. 33. Д. 2389. Страховые документы на церковное имущество по 2-му округу Мологского уезда Ярославской епархии.
Российский Государственный исторический архив. Ф. 799. Оп. 33. Д. 2413. Страховые документы на церковное имущество по 2-му округу Мышкинского уезда Ярославской епархии.
Сальная Н.В., Галле И., Женевей А., Глазунова О.Н., Гаврюшкин Д.А. Первые результаты археомагнитных исследований коллекции изразцов из Новоиерусалимского монастыря // Геофизические исследования. 2017. Т. 18. № 2. С. 83–94. https://doi.org/10.21455/gr2017.2-6
Стерлина В.В., Графова Е.А., Чижков А.Б., Стародубов Ю.В. Ярославские усадьбы. Каталог с картой расположения усадеб. М.: 2016. 208 с.
Brown M.C., Donadini F., Korte M., Nilsson A., Korhonen K., Lodge A., Lengyel S.N., Constable C.G. GEOMAGIA50.v3: 1. General structure and modifications to the archeological and volcanic database // Earth, Planets Space. 2015. V. 67. P. 1–31. https://doi.org/10.1186/s40623-015-0232-0
Day R., Fuller M., Schmidt V.A. Hysteresis properties of titanomagnetites: Grain-size and compositional dependence // Phys. Earth Planet. Inter. 1977. V. 13. № 4. P. 260–267. https://doi.org/10.1016/0031-9201(77)90108-x
De Marco E., Spatharas V., Gómez-Paccard M., Chauvin A., Kondopoulou D. New archaeointensity results from archaeological sites and variation of the geomagnetic field intensity for the last 7 millennia in Greece // Phys. Chem. Earth (A/B/C). 2008. V. 33(6–7). P. 578–595.
Dunlop D. Theory and application of the Day plot (Mrs/Ms versus Hcr/Hc): 2. Application to data for rocks, sediments, and soils // J. Geophys. Res. 2002. V. 107(B3). P. 2057. https://doi.org/10.1029/2001JB000487
Gallet Y., Le Goff M. High-temperature archeointensity measurements from Mesopotamia // Earth Planet. Sci. Lett. 2006. V. 241. P. 159–173.
Genevey A., Gallet Y., Jesset S., Thébault E., Bouillon J., Lefèvre A., Le Goff M. New archeointensity data from French Early Medieval ceramic production (6th–10th century AD). Tracing 1500 years of geomagnetic field intensity variations in Western Europe // Phys. Earth Planet. Inter. 2016. V. 257. P. 205–219.
Gómez-Paccard M., Chauvin A., Lanos P., Thiriot J. New archeointensity data from Spain and the geomagnetic dipole moment in Western Europe over the past 2000 years // J. Geophys. Res. 2008. V. 113. P. B09103. https://doi.org/10.1029/2008JB005582
Kosareva L.R., Kuzina D.M., Nurgaliev D.K., Sitdikov A.G., Luneva O.V., Khasanov D.I., Suttie N., Spassov S. Archaeomagnetic investigations in Bolgar (Tatarstan) // Stud. Geophys. Geod. 2020. V. 64. P. 255–292. https://doi.org/10.1007/s11200-019-0493-3
Kosterov A., Kovacheva M., Kostadinova-Avramova M., Minaev P., Salnaia N., Surovitskii L., Sergienko E., Kharitonskii P. High-coercivity magnetic minerals in archaeological baked clay and bricks // Geophysical J. International. 2021. V. 224(2). P. 1256–1271.https://doi.org/10.1093/gji/ggaa508
Kovacheva M., Kostadinova-Avramova M., Jordanova N., Lanos P., Boyadziev Y. Extended and revised archaeomagnetic database and secular variation curves from Bulgaria for the last eight millennia // Phys. Earth Planet. Inter. 2014. V. 236. P. 79–94.
Le Goff M., Gallet Y. A new three-axis vibrating sample magnetometer for continuous high-temperature magnetization measurements: applications to paleo- and archeo-intensity determinations // Earth Planet. Sci. Lett. 2004. V. 229. P. 31–43
López-Sánchez J., G. McIntosh M.L. Osete A. del Campo J.J. Villalaín L. Pérez, Kovacheva M., Rodríguez de la Fuente O. Epsilon iron oxide: Origin of the high coercivity stable low Curie temperature magnetic phase found in heated archeological materials // Geochem. Geophys. Geosyst. 2017. V. 18. P. 2646–2656. https://doi.org/10.1002/2017GC006929
Lowrie W. Identification of ferromagnetic minerals in a rock by coercitivity and unblocking temperature properties // Geophys. Res. Lett. 1990. V. 17. № 2. P. 159–162.
McIntosh G., Kovacheva M., Catanzariti G., Donadini F., Lopez M.L.O. High coercivity remanence in baked clay materials used in archeomagnetism // Geochemistry, Geophysics, Geosystems. 2011. V. 12 (Q02003). P. 1–17. https://doi.org/10.1029/2010GC003310
Merrill R., McElhinny M., McFadden P. The Magnetic Field of the Earth, Paleomagnetism, the Core and the Deep Mantle, Academic Press, San Diego, USA. 1996. 531 p.
Pilipenko O.V., Nachasova I.E., Gribov S.K., Zelentsova O.V. Archaeomagnetic studies of the material of the archaeological monument Dmitrievskaya Sloboda II of the second millennium B.C. Recent advances in rock magnetism, environmental magnetism and paleomagnetism. International Conference on Geomagnetism, Paleomagnetism and Rock Magnetism (Kazan, Russia, 2018) / D. Nurgaliev, V. Shcherbakov, A. Kosterov, Spassov S. (eds.). Springer Cham. 2019. P. 97–107.
Salnaia N., Gallet Y., Genevey A., Antipov I. New archeointensity data from Novgorod (North-Western Russia) between c. 1100 and 1700 AD. Implications for the European intensity secular variation // Phys. Earth Planet. Inter. 2017. V. 269. P. 18–28.
Shcherbakov V.P., Shcherbakova V.V. On the suitability of the Thellier method of palaeointensity determinations on pseudo-single-domain and multidomain grains // Geophys. J. Int. 2001. V. 146. P. 20–30.
Tarling D. Palaeomagnetism Principles and Applications in Geology. Geophysics and Archaeology. London, New York: Chapman and Hall. 1983. 380 p.
Tema E., Kondopoulou D. Secular variation of the Earth’s magnetic field in the Balkan region during the last eight millennia based on archaeomagnetic data // Geophys. J. Int. 2011. V. 186(2). P. 603–614.
Tema E., Morales J., Goguitchaichvili A., Camps P. New archaeointensity data from Italy and geomagnetic field intensity variation in the Italian Peninsula // Geophys. J. Int. 2013. V. 193. P. 603–614.
Thellier E., Thellier O. Sur l’intensité du champ magnétique terrestre dans le passé historique et géologique // Ann. Geophys. 1959. V. 15. P. 285–378.
Wilson R.L. The thermal demagnetization of natural magnetic moments in rocks // Geophys. J. R. Astron. Soc. 1961. V. 5. № 1. P. 45–58. https://doi.org/10.1111/j.1365-246X.1961.tb02928.x
Zijderveld J.D.A.A.C. Demagnetization of rocks: analysis of results. Methods in Palaeomagnetism / Ed. D.W. Collinson. Amsterdam: Elsevier. 1967. P. 254–286.
Дополнительные материалы отсутствуют.


