Доклады Российской академии наук. Математика, информатика, процессы управления, 2020, T. 495, № 1, стр. 34-37
ОБ ОДНОЙ ЗАДАЧЕ ЭКСТРЕМАЛЬНОЙ ФУНКЦИОНАЛЬНОЙ ИНТЕРПОЛЯЦИИ И КОНСТАНТАХ ФАВАРА
1 Институт математики им. С.Л. Соболева
Сибирского отделения Российской академии наук
Новосибирск, Россия
* E-mail: volkov@math.nsc.ru
Поступила в редакцию 01.06.2020
После доработки 01.10.2020
Принята к публикации 05.10.2020
Аннотация
В задаче экстремальной функциональной интерполяции, впервые рассмотренной Ю.Н. Субботиным, вычислен явный вид констант экстремальной интерполяции через константы Фавара в пространствах Lp, p = 1, 3/2, 2. Найдены простые эффективные рекуррентные формулы для вычисления констант Фавара, также приведены формулы вычисления этих констант через числа Эйлера.
В работе [1] авторы приводят обзор результатов по исследованию задач экстремальной функциональной интерполяции. Одна из задач состоит в следующем.
Пусть ${{Y}_{{n,p}}} = \{ y:y = {{{\text{\{ }}{{y}_{k}}{\text{\} }}}_{{k \in \mathbb{Z}}}},{\text{||}}{{\Delta }^{n}}y{\text{|}}{{{\text{|}}}_{{{{l}_{p}}}}} \leqslant 1\} $ – класс интерполируемых последовательностей y = ${{{\text{\{ }}{{y}_{k}}{\text{\} }}}_{{k \in \mathbb{Z}}}}$, удовлетворяющих условиям
Задача экстремальной функциональной интерполяции состоит в нахождении константы экстремальной функциональной интерполяции
В 1965 г. эта задача была решена Ю.Н. Субботиным [2] для $p = \infty $, точное значение было представлено в виде
Это значение можно записать в терминах констант Фавара [3], а именно
(2)
${{A}_{{n,\infty }}} = \mathop {\left( {\frac{\pi }{2}} \right)}\nolimits_{}^n \mathcal{K}_{n}^{{ - 1}}.$Экстремальной функцией, реализующей нижнюю грань в (1), был идеальный сплайн Эйлера (см. [3]).
В 1967 г. также Ю.Н. Субботин [4] получил решение для оставшихся случаев $1 \leqslant p < \infty $. Однако константа An,p была выражена через норму некоторого многочлена, а именно
где $\frac{1}{p} + \frac{1}{q} = 1$, а многочлен ${{Q}_{{n - 1}}}(x)$ выражен через многочлены БернуллиОтметим, что при $p = \infty $ в [4] нужная константа вычислялась через L1-норму этого же многочлена ${{Q}_{{n - 1}}}(x)$, поэтому можно говорить, что при всех $1 \leqslant p \leqslant \infty $ для вычисления константы An,p справедлива формула (3).
В обзоре [1] говорится, что вместо вычисления нормы многочлена ${{Q}_{{n - 1}}}(x)$ при $p < \infty $ найдена только асимптотика констант An,p при $n \to \infty $.
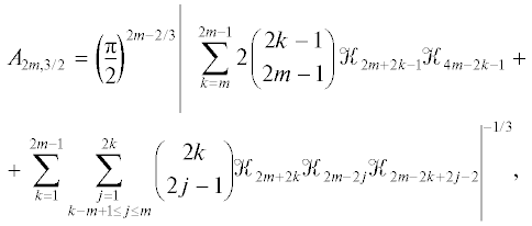
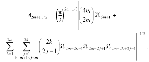
На самом деле для некоторых значений p норму многочлена ${{Q}_{{n - 1}}}(x)$ можно вычислить. Мы показываем, что норма многочлена выражается через числа Эйлера при любых целых q и приведем выражения констант An,p через константы Фавара при $p = 1,\;3{\text{/}}2,\;2$ (соответственно $q = \infty ,\;3,\;2$). Кроме того, мы приводим простые рекуррентные формулы для вычисления констант Фавара, а также формулы через числа Эйлера.
1. ВЫЧИСЛЕНИЕ КОНСТАНТ ЭКСТРЕМАЛЬНОЙ ФУНКЦИОНАЛЬНОЙ ИНТЕРПОЛЯЦИИ
Заметим, что многочлен ${{Q}_{{n - 1}}}(x)$ выражается через многочлен Эйлера. Действительно, воспользуемся последовательно свойствами многочленов Бернулли и Эйлера [5, 24.4.3] и [5, 24.4.23] (см. также [6, 1.12, 1.14]), тогда
При $0 \leqslant x \leqslant 1$ аргумент многочлена Эйлера будет принадлежать отрезку [1/2, 1], поэтому формулу (3) можно переписать в эквивалентном виде
Таким образом,
Тогда в соответствии с (3) для p = 1 получаем
(4)
${{A}_{{n,1}}} = \mathop {\left( {\frac{\pi }{2}} \right)}\nolimits_{}^{n - 1} \mathcal{K}_{{n - 1}}^{{ - 1}}.$Явное значение константы An,p можно получить и при p = 2, если заметить, что при $n + m$ четном справедливо равенство
Это свойство позволяет свести вычисление L2-нормы многочлена ${{E}_{{n - 1}}}(x)$ к вычислению L1-нормы многочлена ${{E}_{{2n - 2}}}(x)$, т.е. справедлива формула
Следовательно
В итоге получаем
Значения констант An,p можно также выразить через числа Эйлера или константы Фавара для тех значений p, при которых q будет целым. Для этого необходимо вычислить интеграл от соответствующей степени многочлена Эйлера на отрезке [1/2, 1]. Формулы для вычисления определенных интегралов от произведения многочленов Эйлера можно найти в работе [7]. Применительно к нашему случаю значения нужных интегралов выражаются в терминах обычных и смещенных чисел Эйлера.
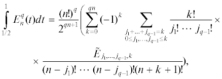
Теорема 1 [7]. Для целого $q \geqslant 1$ справедливо равенство
гдеЗаметим, что в выражении для $\mathop {\tilde {E}}\nolimits_{{{j}_{1}}, \ldots ,{{j}_{{q - 1}}},k} $ хотя бы одно из 2qn чисел Эйлера равно нулю, а если у них индексы разной четности, то и вся величина нулевая. Чтобы записать выражение для Lq-нормы многочлена Эйлера через константы Фавара, нужно оставить только ненулевые слагаемые. Для произвольного q это сделать тяжело, мы ограничимся случаем q = 3. Рассмотрим отдельно случаи четной и нечетной степени многочлена. Тогда эти выражения будут иметь вид
2. ВЫЧИСЛЕНИЕ КОНСТАНТ ФАВАРА
Мы показали, что в рассмотренных случаях константы экстремальной функциональной интерполяции An,p выражаются через константы Фавара, которые обычно определяют по формуле
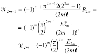
В теории приближения при решении экстремальных задач, получении оценок погрешности приближения и ряда других задач итоговые результаты часто принято выражать через константы Фавара (см. [3, 8, 9]). Однако в литературе мало освещено, как вычислять эти константы, хотя известна их связь с числами Бернулли и Эйлера
Числа Бернулли и Эйлера значительно лучше изучены, чем константы Фавара, и существует много эффективных способов их вычисления, а следовательно, и вычисления констант Фавара. Таким образом, вычисление через числа Бернулли и Эйлера – это один из способов вычисления констант Фавара.
Однако представляют несомненный интерес рекуррентные формулы, позволяющие вычислять константы Фавара сразу без привлечения каких-либо специальных чисел. Нам известны две рекуррентные формулы, полученные в работе [10], одна для вычисления четных констант Фавара, другая для нечетных. Мы предлагаем общие формулы, которые содержат в себе формулы работы [10].
Теорема 2. Справедливы равенства
(5)
$\begin{gathered} {{\mathcal{K}}_{0}} = 1,\quad {{\mathcal{K}}_{n}} = \left| {\sum\limits_{k = 0}^{\left[ {\frac{{n - 1}}{2}} \right]} {\frac{{{{{( - 1)}}^{k}}}}{{(n - 2k)!}}} \mathop {\left( {\frac{\pi }{2}} \right)}\nolimits_{}^{n - 2k} {{\mathcal{K}}_{{2k}}}} \right|, \\ n = 1,2, \ldots , \\ \end{gathered} $(6)
$\begin{gathered} {{\mathcal{K}}_{0}} = 1, \\ {{\mathcal{K}}_{n}} = \left| {\frac{1}{{n!}}{{{\left( {\frac{\pi }{2}} \right)}}^{n}} + \sum\limits_{k = 1}^{\left[ {\frac{n}{2}} \right]} {\frac{{{{{( - 1)}}^{k}}}}{{(n - 2k + 1)!}}} {{{\left( {\frac{\pi }{2}} \right)}}^{{n - 2k + 1}}}{{\mathcal{K}}_{{2k - 1}}}} \right|, \\ n = 1,2,... \\ \end{gathered} $Заметим, что обе формулы в теореме 2 можно объединить в одну.
Следствие 1. Справедливы равенства
Формулы (5), (6) не очень сложны и после некоторых вычислений дают явные значения нужных констант (можно написать программу для компьютера). Однако оказывается, можно получить совсем простые рекуррентные формулы.
Теорема 3. Справедливы равенства
(7)
$\begin{gathered} {{\mathcal{K}}_{0}} = 1,\quad {{\mathcal{K}}_{1}} = \frac{\pi }{2}, \\ {{\mathcal{K}}_{n}} = \frac{\pi }{{2n}}\sum\limits_{k = 1}^{\left[ {\tfrac{n}{2}} \right]} {{{\mathcal{K}}_{{2k - 1}}}} {{\mathcal{K}}_{{n - 2k}}},\quad n = 2,\;3,\; \ldots , \\ \end{gathered} $(8)
$\begin{gathered} {{\mathcal{K}}_{0}} = 1, \\ {{\mathcal{K}}_{n}} = \frac{\pi }{{2n}}\sum\limits_{k = 0}^{\left[ {\frac{{n - 1}}{2}} \right]} {{{\mathcal{K}}_{{2k}}}{{\mathcal{K}}_{{n - 1 - 2k}}},\quad n = 1,2,...} \\ \end{gathered} $Обратим внимание, что если n четное, то формулы (7) и (8) совпадают. А для нечетных они разные, но их также можно объединить в одну.
Следствие 2. Справедливы равенства
Как отмечает Ю.Н. Субботин [4, с. 32] константы экстремальной функциональной интерполяции An,p должны быть монотонны по параметру p, поэтому, как следствие вычисленных значений констант, мы получаем неравенства, связывающие соседние константы Фавара.
Теорема 4. Для любого $n \geqslant 1$ справедливы неравенства
Список литературы
Субботин Ю.Н., Новиков С.И., Шевалдин В.Т. // Тр. ИММ УрО РАН. 2018. Т. 24. № 3. С. 200–225.
Субботин Ю.Н. // Тр. МИАН СССР. 1965. Т. 78. С. 24–42.
Корнейчук Н.П. // Точные константы в теории приближения. М.: Наука, 1987.
Субботин Ю.Н. // Тр. МИАН СССР. 1967. Т. 88. С. 30–60.
Dilcher K. NIST handbook of mathematical functions. Washington: U.S. Dept. Commerce, 2010. https://dlmf.nist.gov/24
Бейтмен Г., Эрдейи А. Высшие трансцендентные функции. Гипергеометрическая функция. Функции Лежандра. М.: Наука, 1965.
Liu J., Pan H., Zhang Y. // Integral Transforms Spec. Funct. 2014. V. 25. № 9. P. 680–685.
Тихомиров В.М. // Некоторые вопросы теории приближений. М.: МГУ, 1976.
Волков Ю.С., Субботин Ю.Н. // Тр. ИММ УрО РАН. 2014. Т. 20. № 1. С. 52–67.
Gocheva-Ilieva S.G., Feschiev I.H. // Abstr. Appl. Anal. 2013. 523618.
Дополнительные материалы отсутствуют.
Инструменты
Доклады Российской академии наук. Математика, информатика, процессы управления






