Биологические мембраны: Журнал мембранной и клеточной биологии, 2023, T. 40, № 3, стр. 203-216
Смешанные катионные липосомы на основе L-аминокислот как эффективные средства доставки терапевтических молекул в клетки
З. Г. Дениева a, *, О. О. Колоскова b, А. М. Гилева c, У. А. Буданова d, Ю. Л. Себякин d
a Институт физической химии и электрохимии им. А.Н. Фрумкина РАН
119071 Москва, Россия
b ГНЦ Институт иммунологии ФМБА России
115522 Москва, Россия
c Институт биоорганической химии им. М.М. Шемякина и Ю.А. Овчинникова РАН
117997 Москва, Россия
d МИРЭА – Российский технологический университет
(Институт тонких химических технологий им. М.В. Ломоносова)
119571 Москва, Россия
* E-mail: zaret03@mail.ru
Поступила в редакцию 27.09.2022
После доработки 21.12.2022
Принята к публикации 16.01.2023
- EDN: FDQFOC
- DOI: 10.31857/S0233475523030052
Аннотация
Данная работа направлена на получение смешанных липосом на основе природных аминокислот как средств доставки противоопухолевых препаратов и нуклеиновых кислот. Липосомы сформированы из катионных липидов на основе L-аланина и L-серина, керасомообразующего липида на основе L-орнитина, а также фосфолипидов (фосфатидилхолина (PC) или 1,2-ди-О-олеоилфосфатидилэтаноламина (DOPE)). Для разработанных транспортных систем определены размер частиц, дзета-потенциал, стабильность и изучена биологическая активность на линиях клеток MCF-7 и HEK 293. Липосомы на основе L-серина демонстрируют способность аккумулироваться в эндоплазматическом ретикулуме клеток в течение 1 ч, а также трансфекционную активность, значительно превышающую активность коммерческого препарата Lipofectamine-2000. Предложенная система обладает небольшим токсическим эффектом (IC50 составляет 0.475 мг/мл, а безопасная рабочая концентрация – 0.24 мг/мл).
ВВЕДЕНИЕ
Липосомы являются широко известными невирусными системами доставки терапевтических молекул в живые клетки-мишени. Впервые о липосомах заговорили в 1960-е годы, после чего их стали широко применять для адресной доставки малых лекарственных молекул, белков, нуклеиновых кислот и др. как в фундаментальных исследованиях, так и в экспериментах in vitro и in vivo [1].
Существует несколько способов получения липосом. В зависимости от выбранной методики можно сформировать везикулы разных размеров и ламеллярности [2]. Размеры липосом могут составлять 20–200 нм (для мелких везикул), от 200 нм до 1 мкм (для крупных) и более 1 мкм (для гигантских везикул) [3]. Последние также могут существовать в виде многослойных везикул, состоящих из множества липидных бислоев. В медицинских целях наиболее часто применяют метод гидратирования тонкой липидной пленки с последующей обработкой ультразвуком для получения моноламеллярных везикул малого размера [4].
Коммерческие наборы липосом в основном состоят из различных типов синтетических амфифилов и фосфолипидов. Однако они могут быть нестабильными в средах, содержащих сыворотку, необходимую для роста клеток [5]. Например, общеизвестным реагентом для доставки нуклеиновых кислот (трансфекции) является Lipofectamine 2000 (Lf-2000). Комплексное исследование токсикологического влияния Lf-2000 на эукариотические клетки, в ходе которого клеточную линию HeLa обрабатывали различными концентрациями комплекса плазмидной ДНК (пДНК)/Lipofectamine 2000 в течение суток, показало гибель до 55% клеток HeLa [6].
Необходимость создания менее токсичных липосом для целей медицины привела к использованию химических подходов, которые позволяют смягчить нежелательные цитотоксические эффекты и увеличивают эффективность доставки терапевтических молекул в клетки [5]. Они включают варьирование структуры липидов, создание катионных и керасомообразующих липидов [7, 8], а также их комбинирование с фосфолипидами. Подобная стратегия является шагом на пути к более безопасной “Green Chemistry” [9]. Катионные липиды в составе липосом облегчают проникновение липосом внутрь клетки за счет электростатических взаимодействий между положительно заряженными липосомами и отрицательно заряженной поверхностью клеточных мембран [10]. Использование керасомообразующих липидов позволяет преодолеть низкую стабильность липосом – основной недостаток везикул на основе природных липидов [11]. Керасомообразующие липиды образуют на поверхности везикулы прочную сеть –Si–O–Si–, которая резко увеличивает устойчивость агрегатов по сравнению с обычными липосомами [12]. Введение в систему дополнительных липидов-хелперов (DOPE, DOPC, DPPC или холестерина) может увеличить эффективность липосом для решения конкретной задачи [13]. Для разных целей можно применять различные липиды, например, для увеличения эффективности трансфекции чаще всего используют DOPE [14–16], а для облегчения процесса проникновения в клетку – фосфатидилхолин [17].
Таким образом, целью данной работы было создание и изучение биологической активности смешанных липосом на основе катионных и керасомообразующих липидов, а также фосфолипидов как средств доставки противоопухолевых препаратов и нуклеиновых кислот. Амфифилы были синтезированы на основе природных L-аминокислот. Присутствие различных функциональных групп в аминокислотах дает возможность синтезировать большое разнообразие молекул для формирования липосомальных агрегатов различной морфологии [18–20]. Кроме того, природные L-аминокислоты могут способствовать биоразлагаемости молекул [21, 22]. В качестве катионных липидов были выбраны синтезированные нами ранее амфифилы на основе L-аланина и L-серина [23]. Для стабилизации транспортной системы была предложена оригинальная схема и синтезирован новый керасомообразующий липид на основе L-орнитина. В качестве фосфолипидов были выбраны фосфатидилхолин для доставки противоопухолевого препарата доксорубицина и DOPE для трансфекции. Исследованы физико-химические свойства смешанных липосом и изучена их биологическая активность в экспериментах in vitro. Результаты экспериментов показали перспективность использования средств доставки на основе L-серина.
МАТЕРИАЛЫ И МЕТОДЫ
Все химические вещества и реагенты коммерчески доступны и использовались без дополнительной очистки: Boc2O (Sigma Aldrich), DCC (Sigma Aldrich), HOBt (Sigma Aldrich), L-орнитин моногидрохлорид (Sigma Aldrich), олеиламин (C18H35NH2) (Sigma Aldrich), 3-(триэтоксисилил)пропилизоцианат (Sigma Aldrich), NaHCO3 (Химмед, Россия), Na2SO4 безводный (Химмед, Россия), NaCl (Химмед, Россия), NaOH (Химмед, Россия), лимонная кислота (Химмед, Россия), TFA (Biochem, Франция), Triton X-100, DOPE (Avanti Polar Lipids, США), РС (Avanti Polar Lipids, США).
1Н-ЯМР-спектры регистрировали в дейтерированном хлороформе (СDСl3) на ЯМР-спектрометре “Bruker WM-300” с рабочей частотой 300 МГц. Внутренний стандарт – гексаметилдисилоксан. ИК-спектры регистрировали на ИК-Фурье спектрометре “Bruker–EQUINOX 55”.
Тонкослойную хроматографию проводили на пластинках Сорбфил (Краснодар, Россия). Колоночную хроматографию проводили на силикагеле Merck 0.040–0.063 мм (Германия). Обнаружение пятен веществ по ТСХ осуществляли нагреванием над пламенем спиртовки. Содержание двойной связи обнаруживали водным раствором KMnO4. Вещества, содержащие свободную аминогруппу, обнаруживали 5%-ным раствором нингидрина с последующим нагреванием до 55–75°С.
Nα,Nδ-бис(трет-бутоксикарбонил)-L-орнитин (1). К раствору 1 г (5.92 ммоль) L-Orn·HCl в 10 мл 4 М водного раствора NaOH прикапывали в течение 1 ч раствор 5.18 г (23.7 ммоль) Boc2O в 30 мл тетрагидрофурана, поддерживая рН 9–10 дополнительным количеством 4 М раствора NaOH, и перемешивали в течение 48 ч при комнатной температуре. Контроль реакции осуществляли по данным ТСХ в системе CHCl3 : MeOH 1 : 1 (об/об). После окончания реакции растворитель удаляли в вакууме, вещество разбавляли водой, насыщали хлоридом натрия, подкисляли 10%-ным раствором лимонной кислоты до рН 3, экстрагировали этилацетатом и сушили над Na2SO4. Растворитель упаривали на роторном испарителе. Маслообразное вещество кристаллизовали гексаном. Получали 1.57 г (79.7%) продукта 1. Rf 0.85. ИК-спектр (KBr), ν/см–1: 3354 (N-H, СОО-Н); 2975, 2933, 721 (C-H); 1697 (C=O, амид I); 1522 (N-C=O амид II); 1368, 1251 (C-O); 1171 (C-N).
Nα,Nδ-бис(трет-бутоксикарбонил)-L-орнитил-9-октадецениламид (2). К охлажденному до 0°С раствору 0.3 г (0.90 ммоль) соединения 1 в 4 мл безводного CH2Cl2 при перемешивании последовательно добавляли 0.24 г (1.8 ммоль) HOBt, раствор 0.37 г (1.8 ммоль) DCC в 5 мл безводного CH2Cl2 и 0.36 г (1.4 ммоль) олеиламина в 5 мл безводного CH2Cl2. Смесь выдерживали при интенсивном перемешивании в течение 24 ч. Контроль протекания реакции осуществляли по данным ТСХ в системе CHCl3 : MeOH 20 : 1 (об/об). После завершения реакции выпавший осадок дициклогексилмочевины отфильтровали. Продукт выделяли колоночной хроматографией в системе CCl4 : MeOH 10 : 1 (об/об). Получали 0.52 г (99.4%) соединения 2. Rf 0,86 (CHCl3 : MeOH 9 : 1 (об/об)). 1Н-ЯМР-спектр (CDCl3, δ, м.д.): 0.82 (т, 3 Н, CH2СН3); 1.22 (м, 22 Н, СН2); 1.24 (м, 2 Н, CHCH2CH2CH2); 1.37 (c, 18 H, CCH3); 1.50 (м, 2 Н, С(О)NHСН2СН2); 1.69 (м, 2 Н, CHCH2CH2CH2); 1.90 (д.д., 4 H, CH2CH= =CHCH2); 3.02 (м, 2 H, CHCH2CH2CH2); 3.15 (м, 2 Н, С(О)NHСН2СН2); 4.16 (с, 1 Н, CHCH2CH2CH2); 4.91 (т, 1 H, δ-NH); 5.28 (т.д., 2 H, CH2CH=CHCH2, J = 6.1, 5.5, 3.3); 5.41 (д, 1 H, α-NH); 6.75 (с, 1 H, C(O)NH).
L-орнитил-9-октадецениламид (3). К охлажденному до 0°С 0.52 г (0.89 ммоль) соединения 2 в 20 мл безводного CH2Cl2 добавляли раствор 20 мл TFA в CH2Cl2 (1 : 1 об/об) и перемешивали в течение 1 ч при 0°С. За ходом реакции следили по данным ТСХ в системе CHCl3 : MeOH 9 : 1 (об/об). После завершения реакции растворитель с TFA отгоняли в вакууме с получением трифторацетатной соли в виде масла. Далее технический продукт растворяли в 30 мл CHCl3, последовательно промывали 10%-ным NaHCO3 (3 × 30 мл) и водой до рН 7, сушили над Na2SO4, растворитель отгоняли на роторном испарителе. Выход продукта 3 составил 0.33 г (96.0%). Rf 0.09 (CHCl3 : : MeOH 9 : 1 (об/об)). 1Н-ЯМР-спектр (CDCl3, δ, м.д.): 0.87 (т, 3 Н, CH2СН3); 1.25 (м, 22 Н, СН2); 1.50 (м, 2 Н, С(О)NHСН2СН2); 1.70 (м, 4 Н, CHCH2CH2CH2); 1.99 (д.д., 4 H, CH2CH=CHCH2); 2.73 (т, 1 H, C(O)NH); 3.22 (т, 2 Н, С(О)NHСН2СН2); 3.42 (м, 2 H, CHCH2CH2CH2); 4.12 (д, 1 Н, CHCH2CH2CH2); 5.34 (т.д., 2 H, CH2CH=CHCH2, J = 6.2, 5.5, 3.4); 7.20 (д, 2 H, α-NH); 8.12 (т, 2 H, δ-NH).
Nα,Nδ-бис-[(3-триэтоксисилил)пропилизоцианат]- L-орнитил-9-октадецениламид (4). К раствору 0.3 г (0.79 ммоль) соединения 3 в 25 мл безводного CH2Cl2 добавляли по каплям в течение 30 мин при перемешивании 0.43 г (1.73 ммоль) (3-триэтоксисилил)пропилизоцианата. Смесь перемешивали в течение 24 ч при комнатной температуре. Контроль реакции осуществляли по данным ТСХ в системе CHCl3 : MeOH 20 : 1 (об/об). После окончания реакции растворитель упаривали, технический продукт последовательно промывали метанолом (1 × 10 мл) и гексаном (2 × 10 мл). Продукт выделяли с помощью колоночной хроматографии в системе CCl4 : MeOH 25 : 1 (об/об). Получали 0.93 г (91.0%) вещества 4. Rf 0.47 (CHCl3 : MeOH 20 : 1 (об/об)). 1Н-ЯМР-спектр (CDCl3, δ, м.д.): 0.62 (т, 4 Н, CH2CH2CH2Si); 0.87 (т, 3 Н, CH2СН3); 1.19-1.36 (м, 40 Н, СН2СН3, OCH2CH3); 1.56 (м, 2 Н, С(О)NHСН2СН2); 1.61 (м, 2 Н, CHCH2CH2CH2); 1.64 (м, 4 Н, CH2CH2CH2Si); 1.71 (м, 2 Н, CHCH2CH2CH2); 1.94 (м, 4 H, CH2CH=CHCH2); 3.14 (м, 2 Н, С(О)NHСН2СН2); 3.18 (м, 2 H, CHCH2CH2CH2); 3.47 (с, 2 Н, α-NHС(О)NH); 3.54 (с, 2 Н, δ-NHС(О)NH); 3.65 (с, 4 Н, CH2CH2CH2Si); 3.80–3.82 (м, 12 Н, OCH2CH3); 4.14 (д, 1 Н, CHCH2CH2CH2); 4.91 (с, 1 H, C(O)NH); 5.33 (м, 2 H, CH2CH=CHCH2).
Приготовление липосомальных дисперсий. Навеску липидов, достаточную для создания концентрации 2 мг/мл, растворяли в 2 мл хлороформа и упаривали на роторном испарителе при 30 об/мин и температуре 35°С до образования тонкой пленки. Пленку сушили в вакууме в течение 3–4 ч и затем гидратировали дистиллированной водой в течение 30 мин при медленном перемешивании. Смоченную пленку обрабатывали ультразвуком в течение 50 мин при температуре 40°С.
Средний размер частиц и дзета-потенциал. Распределение частиц по размерам оценивали методом фотонно-корреляционной спектроскопии, основанным на принципах динамического светорассеяния. При определении дзета-потенциала раствор разбавляли водой при 25°С. Измерения проводили на приборе типа “Zetasizer Nano ZS” (Malvern Panalytical, UK).
Стабильность при хранении. Стабильность липосомальных дисперсий при хранении при комнатной температуре оценивали по изменению значений показателя оптической плотности при длине световой волны 400 нм в течение двух-трех недель. В качестве контроля использовали дистиллированную воду.
Стабильность к действию детергента Triton X-100. Устойчивость к действию ПАВ определяли двумя методами.
1. По изменению значений показателя оптической плотности дисперсий при добавлении детергента.
К липосомам добавляли рассчитанное количество Triton X-100, инкубировали смеси при перемешивании в течение 10 мин и проводили измерения оптической плотности при длине волны 400 нм. Для сравнения использовали липосомы на основе фосфатидилхолина.
2. По количеству вытекшей флуоресцентной краски из липосом.
Липосомы загружали водорастворимым красителем кальцеином на этапе гидратирования тонкой пленки. В качестве буфера для приготовления липосом использовали раствор, содержащий 270 мМ сахарозы, 2 мМ KCl, 10 мМ HEPES, 4 мМ кальцеина, рН 7.0. Полученную дисперсию очищали от избытка красителя методом колоночной хроматографии (Sephadex G-100, superfine), элюируя фосфатным буфером (PBS) с рН 7.0. Эксперименты проводили в изоосматических условиях (335 ± 6 мОсм).
Количество вытекшей краски (%) в результате действия на липосомы детергента Triton X-100 рассчитывали по формуле:
Встраивание доксорубицина. Липосомы из смеси КЛ : РС (1 : 1) загружали доксорубицином на этапе получения тонкой липидной пленки. Навеску доксорубицина (из расчета 400 мкг DOX на 1 мг липидов) растворяли в дистиллированной воде. Данным раствором гидратировали липидную пленку и подвергали ультразвуковой обработке в течение 50 мин при 40°С.
Не включившийся в везикулы препарат удаляли диализом в диализных мешках фирмы ELKAY Products, Inc., Type C с размером пор до 10 кДа в течение 3–6 ч. За ходом процесса следили по прекращению изменения показателя оптической плотности водной среды, окружающей диализный мешок. Измерения проводили в видимой области спектра поглощения DOX при длине световой волны 470 нм.
Включение препарата в липосомы (Х, %) рассчитывали по формуле:
где D1 – оптическая плотность липосомальной дисперсии после диализа; D – оптическая плотность раствора исходной дисперсии.Токсичность. Исследование цитотоксичности частиц проводили на линии клеток человеческой аденокарциномы молочной железы MCF-7 по данным МТТ-теста. Исследовали эффекты “пустых” и загруженных доксорубицином смешанных липосом на основе КЛ : РС 1 : 1. В качестве объекта сравнения использовали DOX без липосом. Клетки MCF-7 рассаживали по 7500 клеток в лунку в 96-луночный планшет. Результаты теста снимали через 48 ч.
Накопление частиц в клетках. Исследование накопления частиц в клетках проводили на линии клеток MCF-7. В качестве исследуемых дисперсий использовали смешанные липосомы на основе КЛ : РС 1 : 1, загруженные DOX.
Анализ распределения транспортных систем в клетке проводили с помощью конфокальной микроскопии. Эффективность накопления и локализация липосом в клетках была исследована с помощью конфокального лазерного микроскопа (Nikon TE-2000, Япония). Клетки аденокарциномы молочной железы человека MCF-7 (40 тыс. клеток на стекло) высеивали на покровные стекла в питательной среде DMEM, содержащей 10% телячьей эмбриональной сыворотки (FBS) и оставляли в CО2-инкубаторе (5% CO2, 37°С) на 24 ч. Для визуализации ядер старую среду заменяли свежей средой DMEM, содержащей краситель Hoechst 33 258 (50 мкM) и инкубировали клетки в течение 15 мин. Избыток красителя затем трижды отмывали физиологическим раствором на фосфатном буфере (pH 7.4), добавляли к клеткам дисперсию липосом в среде DMEM (0.5 мкл на 1 мл среды) и переносили в CO2-инкубатор на 15 мин и 1 ч. Несвязанные частицы удаляли трехкратной промывкой PBS. Затем клетки фиксировали на покровных стеклах с помощью CC/Mount fluorophor protector и изучали с помощью конфокального микроскопа. Длина волны возбуждающего света 470 и 360 нм, эмиссии флуоресценции – 560–650 и 380–460 нм для доксорубицина и Hoechst 33 258 соответственно.
Трансфекция. Трансфекцию проводили на линии клеток эмбриональной почки человека HEK 293 в 48-луночном планшете. В качестве исследуемых дисперсий использовали катионные липосомы и смешанные липосомы на основе КЛ : DOPE 1 : 1. Клетки засевали в планшет в количестве 70 тыс. клеток на лунку в 300 мкл питательной среды DMEM и инкубировали в СО2-инкубаторе при 37°С в течение 24 ч до достижения монослоя. Дисперсию трансфекционного агента (смесь липосом и плазмидной ДНК) общим объемом 80 мкл готовили в бессывороточной среде OPTIMEM (соотношение N : P – 16 : 1). В качестве положительного контроля использовали коммерческий трансфекционный агент Lipofectamine-2000. В качестве отрицательного контроля использовали плазмиду pGL3. Приготовленные смеси выдерживали 30 мин при комнатной температуре, наносили на монослой клеток и инкубировали в СО2-инкубаторе при 37°С в течение суток. Далее методом люциферазного теста определяли активность люциферазы.
Люциферазный тест проводили с использованием коммерческого набора “Luciferase Assay System” (Promega, США). Для этого ростовую среду удаляли из лунок и добавляли 70 мкл лизирующего буфера “Glo lysis byffer 1x” (США). Клетки выдерживали 20 мин в СО2-инкубаторе при 37°С для достижения полного лизиса. Затем клеточную суспензию отбирали со дна лунок и переносили в пробирки типа eppendorf. Полученный лизат центрифугировали в течение 3 мин при скорости 10 000 об/мин, отбирали по 50 мкл супернатанта и добавляли люциферазный субстрат в соотношении 1 : 1. Эффективность трансфекции оценивали по уровню люминесценции на приборе GloMax 20/20 luminometer (США).
РЕЗУЛЬТАТЫ И ОБСУЖДЕНИЕ
Известно, что липосомальные транспортные системы доставки терапевтических молекул позволяют снизить общую токсичность переносимых веществ для организма и увеличить избирательность их накопления в клетках-мишенях. Важную роль в положительной динамике действия липосом играет их стабильность в системном кровотоке. Для ее обеспечения в систему можно вводить керасомообразующие липиды, которые за счет силоксановой сети на поверхности везикул способствуют увеличению стабильности, при этом не вызывая новых токсических эффектов [11]. Для применения липосом под конкретные цели целесообразно вводить в систему липиды-хелперы, например РС или DOPE [14–17]. Также для облегчения проникновения липосом в клетки-мишени применяют катионные липосомы [10].
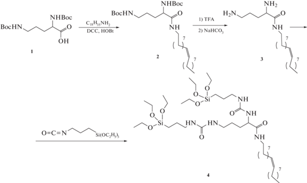
В данной работе разработаны комплексные платформы адресной доставки нуклеиновых кислот и противоопухолевых препаратов на основе катионных липидов, керасомообразующих липидов и липидов-хелперов и проверена их эффективность в экспериментах in vitro. Предложена оригинальная схема и осуществлен синтез нового бивалентного керасомообразующего липида на основе L-орнитина для стабилизации платформы (схема 1 ). Использование аминокислот позволяет получать амфифилы простыми методами пептидной химии и предполагает снижение возможных токсических эффектов благодаря природным компонентам.
Схема 1.
Целевой КОЛ получали на основе L-орнитина. К ди-Вос-производному 1 присоединяли олеиламин и получали гидрофобную компоненту 2. После удаления защитных групп получали КОЛ 4 реакцией деблокированного гидрофобного блока 3 с (3-триэтоксисилил)пропилизоцианатом. Преимуществом выбранного реагента для формирования полярной головной группы липида является простота протекания реакции аминогруппы с изоцианатной группой при комнатной температуре. Кроме того, в структуре появляется производное мочевины, которая играет значительную роль в метаболизме многих веществ в организме [24]. Структуры полученных веществ подтверждали данными ИК- и 1Н-ЯМР-спектроскопии.
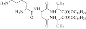
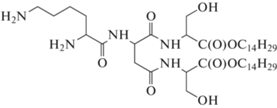
В качестве катионных липидов были выбраны амфифилы на основе L-аланина (L-Ala) и L-серина (L-Ser), синтезированные нами ранее [23]. Они имеют общую схему строения и состоят из четырех структурных блоков: полярной головной группы, спейсера, линкера и гидрофобного домена (табл. 1). Во всех соединениях полярная головная группа сформирована L-лизином, несущим две протонируемые аминогруппы. В качестве спейсера выступает L-аспарагиновая кислота. Линкер представлен аминокислотами L-Ala, L-Ser, боковые радикалы которых остаются свободными в целевых амфифилах. Гидрофобный блок представлен производными алифатических спиртов 1-тетрадеканолом C14H29OH и 1-гексадеканолом C16H33OH.
Таблица 1.
Значения ГЛБ и КПУ для синтезированных катионных липидов [23]
| Шифр | Структура | ГЛБ | КПУ |
|---|---|---|---|
| KD(A14)2 | ![]() |
12.49 ± 0.69 | 0.78 |
| KD(A16)2 | ![]() |
14.61 ± 0.69 | |
| KD(S14)2 | ![]() |
11.07 ± 0.71 | 0.77 |
| KD(S16)2 | ![]() |
13.20 ± 0.71 |
Основой для выбора данных комбинаций аминокислот и алифатических спиртов стали результаты расчета гидрофильно-липофильного баланса и критического параметра упаковки. Значения ГЛБ и КПУ коррелируются с возможностью самоорганизации в липидный бислой [25] и, следовательно, с созданием транспортных систем доставки лекарственных веществ (ГЛБ ~ 9–12) и эффективной доставкой генетического материала в ходе трансфекции (ГЛБ ~ 13–16). Расчеты КПУ показали, что синтезированные соединения образуют сферические бислойные агрегаты в водной среде (табл. 1).
Из синтезированных соединений и липидов-хелперов (PC, DOPE) были получены липосомальные дисперсии. Для физико-химических и биохимических тестов были сформированы дисперсии из катионных липидов, смеси КЛ + РС, КЛ + DOPE, КЛ + КОЛ. В образцах смеси КЛ + РС липиды взяты в соотношениях 2 : 1, 1 : 1, 1 : 2 для изучения наиболее оптимального соотношения. В смесях КЛ + DOPE и КЛ + КОЛ липиды взяты в соотношении 1 : 1 [26]. Методом фотонно-корреляционной спектроскопии были определены размеры частиц дисперсий на основе КЛ и КЛ + КОЛ. Диаметр липосом на основе всех катионных липидов не превышает 235 нм, что дает возможность им проникать в мелкие кровеносные сосуды (рис. 1а). Наибольший размер имеют агрегаты на основе L-аланина, это может быть следствием наличия двух объемных метильных групп в структуре липидов. Кроме того, удлинение углеводородных радикалов в гидрофобном блоке приводит к увеличению размеров частиц более чем на 60 нм для всех амфифилов. Наиболее компактными везикулами являются соединения на основе L-серина, их средний размер 82.9 нм. Добавление к катионным липидам керасомообразующего липида приводит к увеличению размеров агрегатов более чем в 1.5 раза для всех образцов (рис. 1б). Наибольший размер имеют липосомы с длиной углеводородного радикала 16 атомов углерода. Полученные значения для образцов KD(A16)2 и KD(S16)2 выходят за пределы оптимального диапазона распределения размеров частиц для эффективных липосомальных транспортных систем (не более 350 нм).
Рис. 1.
Значения размера и дзета-потенциала катионных липосом (а, в) и смешанных липосом на основе КЛ + КОЛ (б, г).

Для дисперсий на основе КЛ и КЛ + КОЛ определен дзета-потенциал, который является одним из факторов устойчивости золей и дисперсных систем в водной среде. Известно, что наличие заряда на поверхности частиц препятствует их агрегации за счет электростатического отталкивания. Значения дзета-потенциала, лежащие в диапазоне 30–50 мВ, характеризуют систему как стабильный коллоидных раствор [27]. Для всех катионных липосом значения дзета-потенциала лежат в диапазоне 31–43 мВ (рис. 1в). Наличие в структуре ОН-групп L-серина приводит к незначительному уменьшению дзета-потенциала по сравнению с соединениями на основе L-аланина. Все смешанные липосомы КЛ + КОЛ имеют поверхностный заряд ниже, чем дисперсии на основе катионных липидов (29–36 мВ) (рис. 1г). Введение КОЛ оказывает существенное влияние на везикулы из липопептидов, в структуре которых присутствуют L-аланин. При этом значения дзета-потенциала для L-серина практически не меняются. Это можно объяснить количеством ОН-групп, которые образуются при гидролизе силоксановых головок керасомообразующего липида. Подтверждением гидролиза триэтоксисилильных групп в структуре КОЛ с последующим образованием полисилоксановой сети на поверхности везикул являются данные масс-спектрометрии MALDI или ИК-спектроскопии с Фурье-преобразованием [28]. Данные масс-спектрометрии MALDI показали, что для смешанных липосом КЛ + КОЛ на основе L-аланина возможен гидролиз только части триэтоксисилильных групп (рис. S1 ). В смешанных липосомах КЛ + КОЛ на основе L-серина может происходить гидролиз всех триэтоксисилильных групп (рис. S2 ). Масс-спектрометрические исследования показали, что большинство липидных олигомеров находятся в виде мономеров или димеров.
Для липосом на основе КЛ, КЛ + КОЛ и КЛ + РС (2 : 1, 1 : 1, 1 : 2) была изучена стабильность при хранении при комнатной температуре и к действию дестабилизирующего агента Triton X-100. В качестве контроля были использованы липосомы из фосфатидилхолина. Для всех катионных липосом он оставался постоянным не менее 13 дней, а для смешанных липосом КЛ + КОЛ – не менее 15 дней. Увеличение количества фосфатидилхолина в липосомах на основе КЛ + РС (2 : 1, 1 : 1, 1 : 2) приводило к более скорой агрегации при комнатной температуре, а соотношение 1 : 1 оказалось оптимальным (не менее 7 дней) и было взято для эксперимента с детергентом. Результаты экспериментов с Triton X-100 свидетельствуют о том, что катионные и смешанные липосомы в несколько раз устойчивее к действию дестабилизатора по сравнению с липосомами на основе фосфолипида (рис. 2). Данные изменения оптической плотности указывают на то, что липосомы из фосфолипидов практически полностью солюбилизировались под действием детергента даже при небольшом их количестве, тогда как дисперсии исследуемых образцов стабильны при соотношениях n(Triton X-100)/n(липид) более, чем 20 : 1 (рис. 2а и 2б). Аналогичный результат был получен в экспериментах с вытеканием водорастворимого красителя кальцеина из липосом (рис. 2в). Кальцеин полностью вытекает из липосом на основе фосфолипида РОРС в течение 5 мин, тогда как для катионных и смешанных липосом выход красителя не превысил 10% за 10 мин. Это указывает на значительно большую устойчивость дисперсий из вновь синтезированных липидов.
Рис. 2.
Стабильность липосом к действию детергента Triton X-100. Показатель оптической плотности катионных липосом (а) и смешанных липосом КЛ + КОЛ (б). Степень вытекания кальцеина (%) из липосом (в).

Совокупность полученных данных о мембранообразующих свойствах липосом говорит о том, что дальнейшее применение смеси КЛ + КОЛ в экспериментах in vitro является нецелесообразным. Исследуемый КОЛ существенно не увеличивает стабильность агрегатов, при этом за счет двух силоксановых головок размер частиц возрастает более чем в 1.5 раза.
Смешанные липосомы КЛ + РС (1 : 1) исследовали на способность встраивать противоопухолевый препарат доксорубицин. Липидные пленки гидратировали водным раствором доксорубицина из расчета 400 мкг DOX на 1 мг липидов и подвергали обработке ультразвуком в течение 50 мин при 40°С. Липосомы KD(A16)2 на основе L-аланина показали лучший результат захвата антибиотика (81.6%), который может быть связан с большим размером частиц по сравнению с остальными образцами (рис. 3а).
Рис. 3.
Катионные липосомы как средства доставки противоопухолевого препарата доксорубицина. а – Способность инкапсулировать DOX в смешанные липосомы КЛ + РС. Токсичность “пустых” (б) и загруженных DOX (в) смешанных липосом КЛ + РС на линии клеток MCF-7.

Для определения безопасных рабочих концентраций изучена цитотоксичность дисперсий липосом. Исследование проводили на линии клеток человеческой аденокарциномы молочной железы MCF-7 по данным МТТ-теста. В качестве исследуемых объектов использовали “пустые” и загруженные доксорубицином смешанные липосомы на основе КЛ + РС = 1 : 1. В качестве контроля выступал чистый DOX. Результаты теста регистрировали через 48 ч. Все образцы “пустых” липосом являются менее токсичными, чем липосомы, загруженные антибиотиком (рис. 3б). Наиболее токсичным оказался образец KD(А16)2, IC50 которого составляет 0.125 мг/мл. Его токсичность может быть вызвана высокой гидрофобностью молекулы за счет L-аланина. Образец KD(S16)2 является самым безопасным, показатель IC50 составляет 0.475 мг/мл, а безопасная рабочая концентрация – 0.24 мг/мл. Токсичность липосом, нагруженных доксорубицином, ниже токсичности чистого DOX (рис. 3в). При этом для образца KD(А16)2 высокая токсичность проявляется уже при концентрации 0.10 мг/мл. Такой эффект может быть вызван разной степенью загрузки DOX и устойчивостью агрегатов в условиях in vitro и, следовательно, скоростью высвобождения препарата из липосом.
На линии клеток MCF-7 с помощью конфокальной микроскопии проведен анализ распределения и накопления транспортных систем КЛ + РС = = 1 : 1, загруженных доксорубицином, в клетке (рис. 4). Липосомы преодолевали плазматическую мембрану, проникали в клетку в течение 15 мин и локализовались в цитоплазме, а затем в течение 1 ч аккумулировались в мембране ЭПР. Наибольшая интенсивность флуоресценции наблюдалась для образцов KD(A16)2 и KD(S14)2. KD(A16)2 уже через 15 мин практически полностью накапливался в мембране ЭПР, а KD(S14)2 в течение 15 мин локализовался в цитоплазме и через 1 ч – в ЭПР. Образцы KD(A14)2 и KD(S16)2 в течение 1 ч накапливались только в цитоплазме.
На линии клеток эмбриональной почки человека HEK 293 изучена эффективность трансфекции смешанных липосом на основе КЛ + DOPE = = 1 : 1, оценивая уровень свечения исследуемых образцов после введения в клетки липоплексов с плазмидой, кодирующей ген люциферазы. В качестве положительного и отрицательного контролей использовали коммерческий Lipofectamine-2000 и плазмиду pGL3 соответственно. Соотношение липосом и плазмидной ДНК (P : N) было 1 : 16. Липосомы на основе КЛ с 14 атомами углерода в гидрофобном блоке показали результаты, в несколько раз превышающие уровень трансфекционной активности Lipofectamine-2000 (рис. 5). При этом наличие в структуре ОН-групп L-серина позволяет достичь высокой эффективности трансфекции независимо от длины углеводородных радикалов в гидрофобном домене. Введение остатков 1-гексадецилового спирта в структуру липида с L-аланином снижало трансфекционную активность ниже уровня активности коммерческого агента.
Рис. 5.
Трансфекционная активность липоплексов, сформированных из смешанных липосом КЛ + DOPE и плазмидной ДНК, на линии клеток HEK 293.

Таким образом, в ходе работы проведено комплексное изучение физико-химических, мембранообразующих и биохимических свойств липосомальных средств доставки противоопухолевого препарата и нуклеиновых кислот. Установлено, что комплексы с КОЛ имеют свойства, ограничивающие их использование в экспериментах in vitro. Липосомы на основе L-аланина хорошо аккумулируются в клетках и проявляют трансфекционную активность, однако они токсичны. Соединения на основе L-серина являются перспективными для использования в качестве агентов доставки лекарственных веществ и генетического материала в клетки.
Конфликт интересов. Авторы декларируют отсутствие явных и потенциальных конфликтов интересов, связанных с публикацией настоящей статьи.
Источники финансирования. Работа выполнена с использованием оборудования ЦКП РТУ МИРЭА при поддержке Министерства науки и высшего образования Российской Федерации.
Соответствие принципам этики. Настоящая статья не содержит описания каких-либо исследований с участием людей или животных в качестве объектов.
Список литературы
Liu P., Chen G., Zhang J. 2022. A review of liposomes as a drug delivery system: current status of approved products, regulatory environments, and future perspectives. Molecules. 27 (4), 1372.
Akbarzadeh A., Rezaei-Sadabady R., Davaran S., Joo S.W., Zarghami N., Hanifehpour Y., Samiei M., Kouhi M., Nejati-Koshki K. 2013. Liposome: Classification, preparation, and applications. Nanoscale Res Lett. 8 (1), 102.
Šturm L., Poklar Ulrih N. 2021. Basic methods for preparation of liposomes and studying their interactions with different compounds, with the emphasis on polyphenols. Int. J. Mol. Sci. 22 (12), 6547.
Bozzuto G., Molinari A. 2015. Liposomes as nanomedical devices. Int. J. Nanomedicine. 10, 975–999.
One focus. Transfection protocol. Mirus Transfectopedia. 2014. Madison, WI 53719 USA. https://www. m-irusbio.com/transfectopedia.
Khodthong C., Ismaili I., Juckem L. 2014. The impact of transfection mediated toxicity – gene expression and cytotoxicity analysis of transfection reagents. Mirus Bio, LLC. Madison, WI 53719 USA. https://www. m-irusbio.com/assets/technical-documents/the-impact-of-transfection-mediated-toxicity.pdf.
Shim G., Kim M.-G., Park J. Y., Oh Y.-K. 2013. Application of cationic liposomes for delivery of nucleic acids. Asian J. Pharm. Sci. 8, 72–80.
Liang X., Li X., Jing L., Xue P., Jiang L., Ren Q., Dai Z. 2013. Design and synthesis of lipidic organoalkoxysilanes for self-assembly of liposomal nanohybrid cerasomes with controlled drug release properties. Chem. Eur. J. 19 (47), 16113–16121.
Dharmalingam P., Rachamalla H.K.R., Lohchania B., Bandlamudi B., Thangavel S., Murugesan M.K., Banerjee R., Chaudhuri A., Voshavar C., Marepally S. 2017. Green transfection: Cationic lipid nanocarrier system derivatized from vegetable fat, palmstearin enhances nucleic acid transfections. ACS Omega. 2, 7892–7903.
Pires P., Simões S., Nir S., Gaspar R., Düzgünes N., Pedroso de Lima M.C. 1999. Interaction of cationic liposomes and their DNA complexes with monocytic leukemia cells. Biochim. Biophys. Acta (BBA) – Biomembranes. 1418 (1), 71–84.
Katagiri K., Ariga K., Kikuchi J.-I. 1999. Preparation of organic-inorganic hybrid vesicle “cerasome” derived from artificial lipid with alkoxysilyl head. Chem. Lett. 28, 661–662.
Wang Y., Wang B., Liao H., Song X., Wu H., Wang H., Shen H., Ma X., Tan M. 2015. Liposomal nanohybrid cerasomes for mitochondria-targeted drug delivery. J. Mat. Chem. B. 3, 7291–7299.
Sarker S. R., Takeoka S. 2018. Amino acid-based liposomal assemblies: Intracellular plasmid DNA delivery nanoparticles. J. Nanomed. 2, 1008–1021.
Faneca H., Simões S., de Lima M.C.P. 2002. Evaluation of lipid-based reagents to mediate intracellular gene delivery. Biochim. Biophys. Acta. 1567, 23–33.
Liu Y., Mounkes L.C., Liggitt H.D., Brown C.S., Solodin I., Heath T.D., Debs R.J. 1997. Factors influencing the efficiency of cationic liposome-mediated intravenous gene delivery. Nat. Biotechnol. 15, 167–173.
Templeton N.S., Lasic D.D., Frederik P.M., Strey H.H., Roberts D.D., Pavlakis G.N. 1997. Improved DNA:liposomes complexes for increased systemic delivery and gene expression. Nat. Biotechnol. 15, 647–652.
Nsairat H., Khater D., Sayed U., Odeh F., Al Bawab A., Alshaer W. 2022. Liposomes: Structure, composition, types, and clinical applications. Heliyon. 8 (5), e09394.
Silva S.G., Fernandes R.F., Marques E.F., do Vale M.L.C. 2012. Serine-based bis quat gemini surfactants: synthesis and micellization properties. Eur. J. Org. Chem. 2, 345–352.
Brito R.O., Oliveira I.S., Araújo M.J., Marques E.F. 2013. Morphology, thermal behavior, and stability of self-assembled supramolecular tubules from lysine-based surfactants. J. Phys. Chem. B. 117, 9400–9411.
Fan H., Han F., Liu Z., Qin L., Li Z., Liang D., Fu H. 2008. Active control of surface properties and aggregation behavior in amino acid-based gemini surfactant systems. J. Colloid Interface Sci. 321, 227–234.
McGregor C., Perrin C., Monck M., Camilleri P., Kirby A.J. 2001. Rational approaches to the design of cationic gemini surfactants for gene delivery. J. Am. Chem. Soc. 123, 6215–6220.
Yang P., Singh J., Wettig S., Foldvari M., Verrall R.E., Badea I. 2010. Enhanced gene expression in epithelial cells transfected with amino acid-substituted gemini nanoparticles. Eur. J. Pharm. Biopharm. 75, 311–320.
Denieva Z.G., Budanova U.A., Sebyakin Y.L. 2021. Irregular cationic lipotetrapeptides for pharmaceutical multifunctional transport systems. Mendeleev Communications. 31 (4), 509–511.
Niyomtham N., Apiratikul N., Suksen K., Opanasopit P., Yingyongnarongkul B.E. 2015. Synthesis and in vitro transfection efficiency of spermine-based cationic lipids with different central core structures and lipophilic tails. Bioorg. Med. Chem. Lett. 25, 496–503.
Jones C. H., Chen C.K., Ravikrishnan A., Rane S., Pfeifer B.A. 2013. Overcoming nonviral gene delivery barriers: Perspective and future. Mol. Pharm. 10, 4082–4098.
Sheng R., Zhuang X., Wang Z., Cao A., Lin K., Zhu J.X.X. 2016. Cationic nanoparticles assembled from natural-based steroid lipid for improved intracellular transport of siRNA and pDNA. Nanomaterials (Basel). 6, 69–86.
Sabın J., Prieto G., Ruso J. M., Hidalgo-Álvarez R., Sarmiento F. 2006. Size and stability of liposomes: A possible role of hydration and osmotic forces. Europ. Phys. J. E. 20, 401–408.
Cao Z., Zhu W., Wang W., Zhang C., Xu M., Liu J., Feng S., Jiang Q., Xie X. 2014. Stable cerasomes for simultaneous drug delivery and magnetic resonance imaging. Int. J. Nanomedicine. 9, 5103–5116.
Дополнительные материалы отсутствуют.
Инструменты
Биологические мембраны: Журнал мембранной и клеточной биологии








