Толкачев С.А. Промышленная политика и решоринг: байденомика сменяет трампономику
Tolkachev S.A. Industrial Policy and Reshoring: Bidenomics Replaces Trumponomics
JEL: E65, F52, F63, O25, O38, O51
УДК 338.28, 330.341.1, 339.98
DOI: 10.31857/S2686673022010023
Промышленная политика и решоринг:
байденомика сменяет трампономику
С.А. Толкачев
Финансовый университет при Правительстве Российской Федерации
Российская Федерация 125993, Москва, Ленинградский проспект, 49
ORCID: 0000-0003-3766-2246
email: satolkachev@fa.ru
Резюме: В статье рассматриваются основные инициативы администрации президен-
та Дж. Байдена в отношении промышленной политики и решоринга. Отмечается широ-
кий двухпартийный характер поддержки реиндустриализации США. Обобщены крити-
ческие аргументы в адрес не оправдавшей себя концепции постиндустриальной эконо-
мики услуг в пользу восстановления промышленного облика США. Рассмотрены основ-
ные драйверы активизации промышленной политики - технологическая безопасность
национальной промышленной базы и снижение зависимости от зарубежных поставок,
обострение американо-китайского технологического соперничества. Отмечена интенси-
фикация предложений по усилению плановых и даже мобилизационных компонентов
при проведении реиндустриализации США. Приведены текущие данные об итогах поли-
тики решоринга в США с 2010 года. Проведён критический анализ и вскрыты достиже-
ния и недостатки политики решоринга администрации Д.Трампа.
Ключевые слова: США, президент Д. Байден, промышленная политика, реиндустри-
ализация, постиндустриализм, пандемия коронавируса, решоринг, обрабатывающая
промышленность, рабочие места, американо-китайское технологическое соперничество
Для цитирования: Толкачев С.А. Промышленная политика и решоринг: байдено-
мика сменяет трампономику. США & Канада: экономика, политика, культура. 2022;
52(1):21-38. DOI: 10.31857/S2686673022010023
Благодарности: Статья подготовлена в рамках государственного задания Финансо-
вого университета по фундаментальной НИР «Цикличность развития мирохозяйствен-
ных укладов».
Industrial Policy and Reshoring:
Bidenomics Replaces Trumponomics
Sergei A. Tolkachev
Financial University under the Government of the Russian Federation.
49 Leningradsky Prospekt, 125993, Moscow, Russian Federation.
ORCID: 0000-0003-3766-2246
e-mail: satolkachev@fa.ru
Abstract: The article discusses the main initiatives of the administration of President
J. Biden on industrial policy and reshoring. There is a broad bipartisan nature of support for the
reindustrialization of the United States. Critical arguments against the unjustified concept of
the post-industrial service economy in favor of the US industrial image restoring are summa-
21
ОРИГИНАЛЬНЫЕ СТАТЬИ / ORIGINAL PAPERS
2022; 1: 21-38
США & Канада: экономика, политика, культура / USA & Canada: economics, politics, culture
rized. The main drivers of industrial policy activation, such as the national industrial base tech-
nological security and reduction of foreign supplies dependence, aggravation of the US-
Chinese technological rivalry are considered. The intensification of proposals to strengthen the
planned and even mobilization components during the US reindustrialization was noted. The
current data on the reshoring policy results in the United States since 2010 are given. A critical
analysis was carried out and the achievements and shortcomings of the Trump administration's
reshoring policy were revealed.
Keywords: USA, President J. Baiden, industrial policy, reindustrialization, postindustrial-
ism, reshoring, manufacturing, сoronavirus pandemic, unemployment rate, jobs, U.S.-China
technology competition
For citation: Tolkachev S.A. Industrial Policy and Reshoring: Bidenomics Replaces
Trumponomics. USA & Canada: economics, politics, culture.
2022;
52(1):21-38.
DOI: 10.31857/S2686673022010023
Acknowledgments: The reported study was prepared within the framework of the state
task of the Financial University on the fundamental research "Cyclical development of world
economic structures".
ВВЕДЕНИЕ
Популярное в медийном пространстве во время предвыборной борьбы
упрощённое представление о новом хозяине Белого дома Дж. Байдене как о
представителе финансового капитала, победившего
«промышленника»
Д. Трампа, оказалось не вполне верным. Новый президент США с первых шагов
продолжил курс на восстановление американского промышленного потенциа-
ла, начатый даже не при Д. Трампе, а ещё при Б. Обаме [Москвитина, Толкачёв.
2018: 81-84]. Осуществлять реиндустриализацию приходится в условиях очеред-
ного циклического спада на фоне пандемии COVID - 19, принёсшей рекордную
безработицу и обострившей бюджетные проблемы [Давыдов. 2021: 5-18]. На
страницах журнала уже проведена оценка общей экономической политики но-
вой администрации (байденомики) [Супян. 2021: 5-18], мы же сконцентрируемся
именно на вопросах промышленной политики.
Уже 25 января 2021 г. Байден подписывает административный указ «Поку-
пай американское», в котором указывается, что «Правительство Соединенных
Штатов должно, в соответствии с действующим законодательством, использо-
вать условия и положения федеральных контрактов при федеральных закупок
для максимального использования товаров, продуктов и материалов и услуг,
произведенных в Соединенных Штатах» [1].
Этот шаг оказался первым в амбициозном предвыборном плане Байдена по
поддержке американской промышленности [2], который включает в себя огром-
ные новые инвестиции в инфраструктуру, обучение рабочей силы и зелёные
технологии; реформу правил международной торговли; налоговые льготы для
повторного трудоустройства в обрабатывающей промышленности.
22
Толкачев С.А. Промышленная политика и решоринг: байденомика сменяет трампономику
Tolkachev S.A. Industrial Policy and Reshoring: Bidenomics Replaces Trumponomics
Представители либерального Института Катона (CATO Institute) поспешили
охарактеризовать план Байдена «Покупай американское» как «ошибочную» по-
литику, замешанную на «национализме безопасности», вместо «рыночно ориен-
тированной политики и либерализации рынков», которые есть решение всех
проблем, включая экономические шоки и пандемию [3].
На противоположном фланге консервативная газета «Вашингтон пост» оха-
рактеризовала этот план как «правильную политику, но ужасную экономику».
Намерение Байдена увеличить возврат рабочих мест в США получило поддерж-
ку, но опасения вызывают сопутствующий рост влияния бюрократии и недоста-
точный нажим на торговых партнёров в стиле Трампа для вскрытия их рынков
для американской продукции. Газета отмечает, что политика «Покупай амери-
канское» уже и так достигла пределов, поскольку, по данным Счётной палаты
США, в 2019 фин. г. из общего бюджета закупок американских федеральных
агентств в 586 млрд долл. только 5% пришлось на закупки у иностранных по-
ставщиков [4].
Таким образом, несмотря на двухстороннюю критику плана Байдена, само его
наличие свидетельствует о существовании и проведении промышленной полити-
ки в США. Американская промышленная политика нового типа, направленная на
неоиндустриализацию экономики, разумеется, существенно отличается от тради-
ционной («жёсткой» или «вертикальной» в терминологии П.Г.Щедровицкого
[Княгинин, Щедровицкий. 2005:1-160]) промполитики, осуществлявшейся в годы
холодной войны во время противостояния с СССР, и мягкой горизонтальной
промполитики во времена глобализации конца ХХ века. «Новая» промполитика
США помимо традиционных краеугольных опор вроде «отбора победителей и
проигравших» базируется на новых ценностях, связанных с обеспечением нацио-
нальной безопасности, созданием «упругих» цепочек поставок и в конечном итоге
направлена ни много ни мало на спасение американской модели капитализма как
таковой [5], ибо значительная часть элиты всё отчётливее понимает, что капита-
лизм не может не быть промышленным, а увлечение постиндустриализмом и
«финансиализмом» грозит разрушением основ Америки.
ОБЩЕСТВЕННАЯ ПОДДЕРЖКА НЕОИНДУСТРИАЛИЗАЦИИ
И ПРОМЫШЛЕННОЙ ПОЛИТИКИ
Колоссальная общественная поддержка политики «Покупай американское»
впечатляет. 75 % американцев говорят, что они поддерживают политику «Поку-
пай американское», требующую, чтобы федеральное правительство покупало у
отечественных поставщиков, когда это возможно. Почти половина - 48% гово-
рят, что они «решительно поддерживают» политику, в то время как только 5%
говорят, что они либо «в некоторой степени», либо «решительно» против, 21%
были «безразличны». 56% американцев даже готовы платить больше за товар,
произведённый в стране [6].
23
ОРИГИНАЛЬНЫЕ СТАТЬИ / ORIGINAL PAPERS
2022; 1: 21-38
США & Канада: экономика, политика, культура / USA & Canada: economics, politics, culture
Среди множества ярких выразителей идеи неоиндустриализации США
можно отметить, например, Майкла Коллинза, президента консалтинговой
компании «Эм-пи-си менеджмент» (MPC Management). Обобщая критические
аргументы против идеи постиндустриальной экономики в пользу восстановле-
ния промышленного облика США, отметим следующие моменты.
Во-первых, несмотря на неуклонный рост ВВП и доходов американских
граждан в ходе «строительства» постиндустриальной экономики с 1970-х го-
дов, опережающий рост неравенства превращается в грозную проблему. Ин-
ститут экономической политики считает, что неравенство в Соединённых
Штатах остаётся самым высоким среди всех западных стран. С 1979 по 2016 г.
заработная плата 1% самых высокооплачиваемых граждан выросла почти на
150%; в то время как заработная плата нижних 90% в совокупности выросла
всего на 21,3% [7].
Во-вторых, одной из больших проблем сервисной экономики является каче-
ство рабочих мест. Специальный доклад Брукингского института посвящён про-
блеме низкооплачиваемых рабочих мест [8]. Десятилетний прогноз рабочих
мест до 2028 г Бюро статистики труда США предполагает прирост в 47 млн. Но
если убрать 15 млн профессиональных рабочих мест, которые требуют высшего
образования или специальной квалификации, обнаруживается, что на осталь-
ные 32 млн рабочих мест (68%) приходится средняя зарплата 31 561 долл. в год,
что означает бедность по американским меркам. Из 163 млн рабочих 66% имеют
образование среднее или ниже среднего.
В-третьих, постиндустриальная экономика с приоритетной ролью финансо-
вого сектора привела к лавинообразному росту задолженности всех экономиче-
ских агентов, что не является предметом данной статьи. Сторонники неоинду-
стриализации лишь напоминают печальный исторический опыт Испании, Ни-
дерландов, Англии, некогда мировых лидеров, которые потеряли своё могуще-
ство в процессе перехода от промышленной к финансовой мощи.
В-четвёртых, без смены постиндустриального вектора развития на неоинду-
стриальный невозможно сохранить американское лидерство в инновациях. Ещё
десять лет назад в нашумевшей статье «Действительно ли Америке нужна про-
мышленность?» в «Гарвард бизнес ревю» [9], ответ на этот вопрос был положи-
тельным, поскольку производство обычно связано с инновациями. Сторонники
неоиндустриализации считают, что американское инновационное лидерство
находится под угрозой, потому что многонациональные корпорации отправля-
ют своё производство и технологии за границу, а Китай просто ворует новые
технологии с 2001 года. Согласно последнему докладу Федеральной комиссии
по краже американской интеллектуальной собственности за 2017 г.1, ежегодные
1 Комиссия по краже американской интеллектуальной собственности является независимой и
двухпартийной инициативой представителей частного сектора, государственной службы в области
национальной безопасности и иностранных дел, академического сектора и политиков. 22 мая
24
Толкачев С.А. Промышленная политика и решоринг: байденомика сменяет трампономику
Tolkachev S.A. Industrial Policy and Reshoring: Bidenomics Replaces Trumponomics
потери для экономики США от кражи интеллектуальной собственности Китаем
составили от 225 млрд до 600 млрд долларов [10].
Среди сторонников неоиндустриализации США широко популярна тео-
рия о необходимости отходить от глобальной стратегии помощи всем за счёт
Америки. Роберт Аткинсон, президент Фонда информационных технологий и
инноваций (Information Technology and Innovation Foundation, ITIF), одного из экс-
пертных институтов по разработке научно-технологической политики, выра-
зил эту позицию следующим образом: «Слишком долго Соединённые Штаты
были глобальным добрым самаритянином, разрабатывая свою политику таким
образом, чтобы помочь всему миру, в то время как остальной мир разрабаты-
вает свою политику так, чтобы помочь только своей собственной стране» [11].
Справедливость данного утверждения подтверждается теоретическими разра-
ботками трактовки фундаментальных и прикладных исследований с точки
зрения порождаемых экстерналий. Марк Фанк на материалах девяти стран
ОЭСР, используя методы панельной коинтеграции, установил, что фундамен-
тальные исследования порождают гораздо большие международные внешние
эффекты (или эффекты «перетекания» (spillover) в другие страны), чем при-
кладные исследования, направленные на развитие технологий. Последние, в
свою очередь, обладают более сильным эффектом «перетекания» внутри стра-
ны [Funk 2002: 217-226].
Сторонники новой американской научно-технологической и промышлен-
ной политики обращают внимание на то, что Китай обгоняет США в инноваци-
онной гонке именно потому, что финансирует в большей степени прикладные
исследования на поздних стадиях цикла НИОКР, используя к своей выгоде ре-
зультаты фундаментальных НИР, обильно финансируемых в США. Вложения в
поздние стадии НИОКР наиболее перспективны с точки зрения разработки и
быстрого вывода на рынок новой коммерческой продукции. По данным иссле-
дования «Бостон консалтинг групп» Китай уже к 2015 г. обогнал США по объё-
му финансирования поздних стадий НИОКР - около 300 млрд долл. - бесплатно
пользуясь в силу эффекта «перетекания» результатами грандиозных американ-
ских фундаментальных исследований в ежегодном объёме около 200 млрд долл.
Другими словами, США делают тяжёлую работу по изобретению новых техно-
логий, а Китай, как и другие страны, пожинают плоды, бесплатно получая эти
идеи и превращая их в коммерческие продукты [12].
Ошибочность постиндустриальной экономики услуг лучше всего обобщил
Гарольд Майерсон в статье в «Вашингтон пост»: «…из всей лжи, которую амери-
канскому народу внушали за последние четыре десятилетия, самая большая со-
стоит в том, что мы все идём вперед к прогрессу от индустриального к постин-
2013 г. Комиссия опубликовала свой первоначальный отчёт. 27 февраля 2017 г. Комиссия опубли-
ковала обновлённую информацию.
25
ОРИГИНАЛЬНЫЕ СТАТЬИ / ORIGINAL PAPERS
2022; 1: 21-38
США & Канада: экономика, политика, культура / USA & Canada: economics, politics, culture
дустриальному обществу. Постиндустриальная экономика оказалась провалом.
Пришло время неоиндустриальной Америки» [13].
ДРАЙВЕРЫ ПРОМЫШЛЕННОЙ ПОЛИТИКИ
Рассмотрим основные движущие силы, или драйверы, «новой» промышлен-
ной политики в США, которая, как мы предложили ранее, является разновидно-
стью сетевой [См.: Толкачев. 2018: 155-162], вбирающей предыдущие черты вер-
тикальной и горизонтальной и дополняющей их новыми организационными
элементами.
Прежде всего в эпоху новой индустриализации Америка озаботилась про-
блемами критической ресурсной и технологической зависимости от иностран-
ных поставщиков, особенно в сфере военного производства. Ослабление обо-
ронно-промышленной базы, которая все больше зависит от иностранных ресур-
сов, стимулирует новые федеральные инвестиции в соответствии с законом «Об
оборонном производстве» (например, обработка редкоземельных металлов [14]
и расширение гиперзвуковых технологий [15]) и создание новых программ в со-
ответствии с законом «О национальной обороне» (например, производство по-
лупроводников и печатных плат). Были введены тарифы на импорт стали и
алюминия [16], которые угрожают нанести ущерб национальной безопасности.
США фактически заблокировали китайского технологического гиганта Huawei
из-за проблем безопасности беспроводных технологий следующего поколения.
Экспортный контроль США расширяется, чтобы охватить «возникающие» и
«основополагающие» технологии с двойным (военным и гражданским) исполь-
зованием [17]. Важно отметить, что такие действия отражают слияние вопросов
экономической и национальной безопасности.
Укрепление вектора национальной безопасности потребовало принять меры
по решорингу производства лекарственных средств. 15 января 2021 г. компания
«Континиус фармасьютиклс» (Continuus Pharmaceuticals) получила государствен-
ный контракт на сумму 69,3 млн долл. на строительство завода в Вобурне (штат
Массачусетс), который будет производить три импортируемых в настоящее
время лекарства. Неделю спустя компания «Сивика Ар-экс» (Civica Rx) заявила,
что будет использовать государственное финансирование для строительства
завода по производству стерильных инъекционных средств стоимостью
124,5 млн долл. в Питерсберге (штат Вирджиния) [18].
Второй драйвер активизации и обновления промышленной политики, тесно
связанный с первым - это уязвимость глобальных цепочек поставок, проявивша-
яся в полной мере с началом пандемии COVID-19, но наметившаяся ещё раньше.
Пандемия привлекла внимание всего мира к хрупкости глобальных цепочек со-
здания стоимости и побудила американские транснациональные компании со-
кратить и упростить сети поставщиков. Государственные стимулы помогают
осуществлять эту перестройку. Конгресс включил в закон «О национальной
26
Толкачев С.А. Промышленная политика и решоринг: байденомика сменяет трампономику
Tolkachev S.A. Industrial Policy and Reshoring: Bidenomics Replaces Trumponomics
обороне» положения о решоринге полупроводников и стратегических минера-
лов и металлов.
Производство полупроводников на собственной технологической основе без
международной кооперации становится важным направлением конкурентной
войны в эпоху деглобализации и перехода к новому технологическому укладу. На
фоне усиления государственного финансирования собственного производства
полупроводников в Китае [19] и Европе (соответствующие инициативы преду-
сматривают выделение 150 млрд и 145 млрд долл. в течение нескольких ближай-
ших лет) США запустили несколько инициатив в области государственно-
частного партнёрства для удержания технологического лидерства в области про-
изводства полупроводников [20]. Без догоняющей государственной поддержки
США, ещё пару десятилетий назад бывшие безусловным лидером, в 2020 г. усту-
пили Китаю и рискуют к 2030 г. существенно отстать от него (см. рисунок 1).
В Конгресс США поступил законопроект под названием «Создание полезных
стимулов для производства полупроводников для Америки», предусматриваю-
щий выделение 10 млрд долл. на новую федеральную грантовую программу,
которая будет стимулировать строительство новых фабрик в США. Он также
включает в себя инвестиционный налоговый кредит. В общей сложности это па-
кет в 22 млрд долларов [21].
Рисунок 1
Доля США и Китая в мировом производстве полупроводников
Источник: Mark LaPedus. China Speeds Up Advanced Chip Development. // Semiconductor Engi-
neering. Jun
22,
2020. Available at: https://semiengineering.com/china-speeds-up-advanced-chip-
development/ (accessed 01.09.2021)
27
ОРИГИНАЛЬНЫЕ СТАТЬИ / ORIGINAL PAPERS
2022; 1: 21-38
США & Канада: экономика, политика, культура / USA & Canada: economics, politics, culture
Таким образом, при реорганизации цепочек поставок в США главным прио-
ритетом является выявление и устранение узких мест — зависимость от един-
ственного поставщика из страны, не являющейся союзником.
Третий драйвер, о котором пекутся адепты промышленной политики в
США, это отставание страны от Китая в области стратегического планирования
экономики. Майкл Коллинз, заместитель помощника главы отдела ЦРУ по Во-
сточной Азии с досадой отмечает: «США не только не имеют торговой полити-
ки; у страны нет плана. Китай, напротив, имеет чётко определённый десятилет-
ний план того, как стать страной № 1» [22]. Выполняемый в настоящее время
план «Сделано в Китае - 2025» [23] использует комбинацию государственных
субсидий, государственных предприятий и стремления к накоплению интел-
лектуальной собственности, для того чтобы догнать и в итоге обогнать другие
страны в десяти ключевых секторах, от ИТ и телекоммуникаций до передовой
робототехники и искусственного интеллекта.
Предлагаемые М. Коллинзом меры промышленной политики отличаются
чрезвычайно отчётливыми компонентами целеполагания, применяемыми при
разработке планов развития в ситуации мобилизационной экономики. Он вы-
двигает восемь чётких целей - от роста рабочих мест в промышленности до вы-
равнивания дефицита торгового баланса - и ратует за подчинение финансовых
инструментов задачам развития реального сектора, в частности призывает к
ограничению финансовых спекуляций [24].
Четвёртый драйвер, вырастающий из предыдущего - это обострение до
предела торгово-экономических противоречий с Китаем как главным страте-
гическим глобальным противником США. Среди множества фактов и собы-
тий, иллюстрирующих эту проблему, наиболее показательна позиция Нацио-
нальной ассоциации производителей: 17 марта 2021 г. она направила прези-
денту Трампу письмо с предложением проводить новую глобальную страте-
гию по поддержке обрабатывающей промышленности, призванную сохранить
американское доминирование в мире на фоне роста угроз со стороны Китая.
Ассоциация считает, что новая стратегия США «должна вобрать в себя все до-
ступные инструменты, включая целенаправленное двустороннее взаимодей-
ствие, напористое лидерство США в глобальных институтах и тесное, скоор-
динированное взаимодействие с союзниками и партнёрами». Перечень
направлений стратегии включает такие элементы, как инклюзивная политика
в отношении инвестиций, направленных на укрепление внутренней амери-
канской системы цепочек поставок, развитие американской производственной
рабочей силы, улучшение инфраструктуры, продвижение инноваций; гло-
бальное лидерство для того, чтобы Соединённые Штаты, а не Китай, писали
правила для постпандемической мировой экономики и торговли; чёткое, по-
следовательное давление на Китай, дабы он полностью выполнил торгово-
экономические обязательства, которые он взял на себя перед Соединёнными
28
Толкачев С.А. Промышленная политика и решоринг: байденомика сменяет трампономику
Tolkachev S.A. Industrial Policy and Reshoring: Bidenomics Replaces Trumponomics
Штатами, в том числе те, которые были приняты в процессе вступления в ВТО;
активные переговоры с надёжными торговыми партнёрами, особенно в Север-
ной и Южной Америке и Азиатско-Тихоокеанском регионе, по инновацион-
ным соглашениям и программам, ориентированным на диверсификацию и
безопасность цепочек поставок; модернизация нормативно-правовой базы
национальной безопасности в области инвестиционной безопасности и экс-
портного контроля, посредством тщательно разработанных целенаправленных
подходов непосредственно и с союзниками [25].
ТРАМП, БАЙДЕН И РЕШОРИНГ
Решоринг, или возврат ранее вывезенных за рубеж производственных мощ-
ностей и рабочих, в обрабатывающей промышленности в рамках противопо-
ложной политики офшоринга наблюдается в США уже более 10 лет, с посткри-
зисного 2009 года.
Рисунок 2
Рост рабочих мест в американской обрабатывающей промышленности
за счёт решоринга и ПИИ накопительным итогом, тыс. человек
Источник:
Reshoring
Initiative
2020
Data
Report,
р.2
Available
at:
https://reshorenow.org/blog/reshoring-initiative-2020-data-report/ (accessed 01.09.2021)
По данным общественной организации «Инициатива решоринга за 2010-
2020 гг. количество возвращённых за счёт решоринга и прямых иностранных
инвестиций (ППИ) рабочих мест составило 1057 тыс., причём в 2020 г. решоринг
вдвое опередил ПИИ по этому показателю - 109 тыс. рабочих мест из общего
прироста 160 тысяч. Динамика прироста рабочих мест за десятилетний период
выглядит чрезвычайно эффектно (см. рисунок 2).
Ежегодный прирост рабочих мест показан на рисунке 3.
29
ОРИГИНАЛЬНЫЕ СТАТЬИ / ORIGINAL PAPERS
2022; 1: 21-38
США & Канада: экономика, политика, культура / USA & Canada: economics, politics, culture
Рисунок 3
Ежегодный прирост рабочих мест в американской обрабатывающей промыш-
ленности за счёт решоринга и ПИИ, тыс.
Источник:
Reshoring
Initiative
2020
Data
Report,
р.5
Available
at:
https://reshorenow.org/blog/reshoring-initiative-2020-data-report/ (accessed 01.09.2021).
На рисунке 4 показаны реальные результаты стимулирования решоринга по
сравнению с «безрешоринговой» альтернативой.
Рисунок 4
Занятость в обрабатывающей промышленности США, млн человек
30
Толкачев С.А. Промышленная политика и решоринг: байденомика сменяет трампономику
Tolkachev S.A. Industrial Policy and Reshoring: Bidenomics Replaces Trumponomics
Источник:
Reshoring
Initiative
2020
Data
Report,
р.6.
Available
at:
https://reshorenow.org/blog/reshoring-initiative-2020-data-report/ (accessed 01.09.2021).
С 2009 г. сразу по завершении «Великой рецессии» 2008-2009 гг. в обрабаты-
вающей промышленности США был переломлен сложившийся отрицательный
тренд падения занятости (прямая линия), который мог привести к падению за-
нятости до менее 7 млн человек в 2020 г. Благодаря решорингу и ПИИ с 2009 г.
начался непрерывный рост занятости, позволивший к доковидному 2019 г. пре-
высить рекордный минимум 2009 г. почти на миллион рабочих мест и обеспе-
чить прирост занятости на 5 млн относительно трендового «безрешорингового»
уровня.
В итоге общая занятость в американской обрабатывающей промышленности
под влиянием решоринга медленно, но стабильно растёт с 2010 года.
Американская общественная организация
«Коалиция за процветающую
Америку» ежегодно публикует Индекс решоринга (CRI) хотя название индекса
не совсем точно отражает его суть, сводящуюся к доле отечественных произво-
дителей в потреблении продукции обрабатывающей промышленности в США.
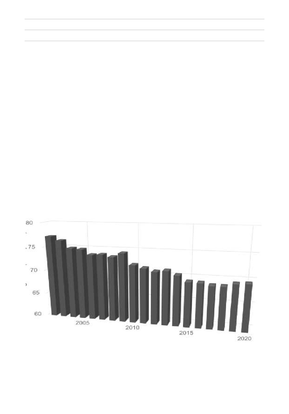
Динамика индекса с 2002 по 2020 г. представлена на рисунке 5.
Рисунок 5
Индекс решоринга «Коалиции за процветающую Америку».
Доля отечественных производителей в потреблении продукции
обрабатывающей промышленности в США
Источник: CPA Working Paper \ By Jeff Ferry, Chief Economist \ June 2021, р.3.
Индекс немного улучшился за время президента Трампа к 2020 г. до 69,6%.
Несмотря на это увеличение, внешнеторговый дефицит продукции обрабаты-
вающей промышленностью США составил 897,7 млрд долл., худший уровень за
всю историю, поскольку экспорт упал больше, чем импорт. Этот дефицит, со-
31
ОРИГИНАЛЬНЫЕ СТАТЬИ / ORIGINAL PAPERS
2022; 1: 21-38
США & Канада: экономика, политика, культура / USA & Canada: economics, politics, culture
ставляющий 4,29% ВВП, самый плохой показатель для США и мира. Соединён-
ные Штаты - крупнейший в мире рынок сбыта продукции обрабатывающей
промышленности стоимостью 6,8 трлн долл. в 2020 г. с учётом падения на 3,4% в
результате пандемии. Объём импорта на этом рынке в 2020 г. составил 2069 трлн
долл. при экспорте из США на 1171 трлн долларов.
По данным другой общественной организации «Альянс за американскую
промышленность», с 2010 по 2019 г. компании принесли в США более 700 тыс. ра-
бочих мест в обрабатывающей промышленности за счёт решоринга американ-
ских компаний и прямых иностранных инвестиций. Этот всплеск привёл к тому,
что примерно наполовину увеличилась занятость в обрабатывающей промыш-
ленности - на 1,4 млн человек, если считать с низшей точки во время «Великой
рецессии» в марте 2009 г. до пика в декабре 2019 г., незадолго до пандемии. Заня-
тость в обрабатывающей промышленности за время Трампа увеличилась с
12,4 млн человек (на 31 декабря 2016 г.) до 12,9 млн человек (на 31 декабря 2019 г.).
Правда, за первые полгода пандемии американская промышленность поте-
ряла 750 тыс. рабочих мест в обрабатывающей промышленности [26].
«Альянс за американскую промышленность» в августе 2020 г. обратился к
Конгрессу с предложением начать программу «антиковидной» промышленной
политики. Констатируя желание демократов потратить на антиковидные меро-
приятия 3 трлн долл., а республиканцев - 1 трлн, альянс отмечает, что обоим
предложениям не хватает нацеленности на поддержку промышленности. По-
этому альянс предлагает свою «добросовестную» программу промышленной
политики. Она включает такие элементы, как расходы на инфраструктуру, об-
ладающие мощным мультипликационным эффектом; расширение практики
«Покупай американское»; «всеправительственный» подход к решорингу крити-
ческих промышленных технологий для снижения зависимости от зарубежных
производителей; выдачу федеральной чрезвычайной помощи многонациональ-
ным корпорациям только под их обязательства потратить деньги на программы
решоринга и создания рабочих мест в США [27].
В своё время президент Трамп начал решительно заниматься решорингом.
Число рабочих мест, создаваемых за счёт решоринга и прямых иностранных ин-
вестиций, выросло в США с 75 тыс. в 2015 г. до 115 тыс. в 2016 г. и 193 тыс. в
2017 г. Основными движущими факторами были снижение ставок и правил
корпоративного налога, а также в целом благоприятная среда для бизнеса. Затем
годовой показатель числа рабочих мест упал до 154 тыс. в 2018 г. и до 117 тыс. в
2019 г. Это было обусловлено ростом неопределённости для бизнеса, связанного
с непредсказуемостью тарифов и других действий торговой войны. Решоринг
вырос в 2020 г. из-за COVID-19, который стимулировал корпорации к инвестиро-
ванию в более короткие цепочки поставок для снижения рисков [28].
По плану Байдена, для того чтобы достичь нулевого сальдо торгового балан-
са нужно увеличить производство в США на 40%, или добавить 5 млн рабочих
32
Толкачев С.А. Промышленная политика и решоринг: байденомика сменяет трампономику
Tolkachev S.A. Industrial Policy and Reshoring: Bidenomics Replaces Trumponomics
мест в обрабатывающей промышленности. Чтобы достичь этой цели даже через
20 лет потребуется увеличить темпы ежегодного прироста рабочих мест за счёт
решоринга /ПИИ со средних значений в 56 тыс. (при Обаме) и 144 тыс. (при
Трампе) до 450 тысяч. Задача выглядит фантастической, однако Байден извлека-
ет некоторые уроки из практики предыдущего президента США.
Во-первых, в целом не сработали трамповские «призывы» к компаниям к
решорингу. Во-вторых, непредсказуемая «лоскутная» тарифная политика Трам-
па оказалась не вполне эффективной. Например, повышение тарифов на сталь,
но не на стальную продукцию, поставили производство в США, за исключением
производителей стали, в невыгодное конкурентное положение. Рост тарифов на
продукцию китайских производителей привёл к тому, что сталеплавильное
производство для экспорта в США переместилось в другие азиатские страны.
Хотя отдельные успешные, но временные результаты были достигнуты. Как из-
вестно, с января 2018 г. администрация Трампа ввела тарифы на ряд промыш-
ленных изделий, затем были повышены тарифы от 10 до 25% на более чем поло-
вину ассортимента импорта США из Китая. Эта маржа дала американским про-
изводителям временную защиту от сильно субсидируемого иностранного им-
порта. В дополнение к количественному увеличению внутреннего производства,
тарифы также дали американским производителям психологический им-
пульс — федеральное правительство будет поддерживать отечественных произ-
водителей. Это важно для заключения долгосрочных сделок с поставщиками.
Перспектива сохранения тарифов даёт сильный стимул для продолжения поис-
ка внутренних цепочек поставок [29].
Однако, как показывают итоговые обобщённые данные, дефицит торговли то-
варами, не связанными с нефтью, в США вырос с 679 млрд долл. в 2016 г. до
854 млрд долл. в 2019 г., что явно не свидетельствует об успехе тарифной защит-
ной политики. В-третьих, Трамп не всегда учитывал валютный фактор в торговой
политике и решоринге. Индекс «широкого доллара» (broad or trade-weighted dollar
index) - cредневзвешенный курс доллара с учётом веса каждой страны в торговле с
США) в среднем был на 10-15% выше, чем при Обаме, что стало сильным проти-
водействием решорингу и улучшению торгового баланса. Но президент Трамп не
предпринял никаких действий, чтобы снизить стоимость доллара США.
Вывод: безусловная заслуга Трампа в том, что он успешно предупредил
нацию об опасностях огромного и растущего торгового дефицита и экономиче-
ской угрозы Китая. Но он не смог сконцентрировать удар на коренной при-
чине - неконкурентоспособные производственные издержки США из-за завы-
шенного курса доллара и недостаточно квалифицированной рабочей силы. Он
не смог построить эффективную промышленную политику во всей полноте и
системности, поэтому не смог добиться существенного прогресса в преодолении
торгового дефицита и экономической угрозы Китая.
33
ОРИГИНАЛЬНЫЕ СТАТЬИ / ORIGINAL PAPERS
2022; 1: 21-38
США & Канада: экономика, политика, культура / USA & Canada: economics, politics, culture
ЗАКЛЮЧЕНИЕ
Итак, демократическая администрация Дж. Байдена намерена продолжать
курс на реиндустриализацию Америки не в меньшей степени, чем республи-
канская администрация Д. Трампа и инициировавшая этот курс администрация
Б. Обамы. Основное отличие позиции Байдена от ушедшего Трампа заключается
в попытке подключить «Большое государство» к решению инвестиционных
проблем реиндустриализации, по сравнению с тактикой раскрепощения бизне-
са в четырёхлетний период республиканской администрации. В этом плане с
учётом активизации попыток включить такой неотъемлемый элемент промыш-
ленной политики, как выбор приоритетов и комплексная поддержка локомо-
тивных отраслей, байденомика в большей мере соответствует стратегическим
подходам, чем политика «кавалерийских наскоков» Д.Трампа. Однако общее
ухудшение экономической и финансовой ситуации в США, сопряжённое с ро-
стом недоверия в обществе и государственном аппарате не может внушать уве-
ренность в реализации планов реиндустриализации новой демократической
администрации.
ИСТОЧНИКИ
1. Joseph R. Biden JR. Executive Order on Ensuring the Future Is Made in All of
America by All of America’s Workers // The White House. January 25, 2021. Availa-
ble
at:
https://www.whitehouse.gov/briefing-room/presidential-
actions/2021/01/25/executive-order-on-ensuring-the-future-is-made-in-all-of-
america-by-all-of-americas-workers/ (accessed 01.09.2021).
2. The Biden plan to insure the futures is « Made in all of America» by all of Amer-
ican`s workers.
// Battle for the Soul of the Nation. Available at:
https://joebiden.com/made-in-america/ (accessed 01.09.2021).
3. Scott Lincicome. President Biden’s Misguided Embrace of “Security National-
ism”.
//
CATO Institute.
Jan
27,
2021.
Available
at:
https://www.cato.org/blog/president-bidens-misguided-embrace-security-
nationalism (accessed 01.09.2021).
4. Opinion: Biden’s ‘Buy American’ plan is good politics — and awful economics.
//
The
Washington
Post.
Jan
28,
2021.
Available
at:
https://www.washingtonpost.com/opinions/bidens-buy-american-plan-is-good-
politics--and-awful-economics/2021/01/28/e3a2f7de-6000-11eb-9430-
e7c77b5b0297_story.html (accessed 01.09.2021).
5. Keith B. Belton. The US Has an Emerging Industrial Policy. Biden Should Build
on
It.
//
Industry
week,
Feb
7,
2021.
Available
at:
https://www.industryweek.com/the-economy/public-policy/article/21154441/the-
us-has-an-emerging-industrial-policy-biden-should-build-on-it (accessed 01.09.2021).
6. Anne Kim. Americans love to “Buy American” // Hinrich Foundation. Sep-
tember
24,
2020.
Available
at:
34
Толкачев С.А. Промышленная политика и решоринг: байденомика сменяет трампономику
Tolkachev S.A. Industrial Policy and Reshoring: Bidenomics Replaces Trumponomics
https://www.hinrichfoundation.com/research/tradevistas/protectionism/buy-
american/ (accessed 01.09.2021).
7. Informing the dialogue
// Economic Police Institute. Available at:
https://www.epi.org/news/union-membership-declines-inequality-rises/ (accessed
01.09.2021).
8. Martha Ross, Nicole Bateman. Meet the low-wage workforce // Brookings. Nov
7,
2019. Available at: https://www.brookings.edu/research/meet-the-low-wage-
workforce/ (accessed 01.09.2021).
9. Gary P. Pisano and Willy C. Shih. Does America Really Need Manufacturing?
// Harvard Business Review. March 2012. Available at: https://hbr.org/2012/03/does-
america-really-need-manufacturing (accessed 01.09.2021).
10. Doug Strub. Commission on the Theft of American Intellectual Property. //
The National Bureau of Asian Research. Mar
15,
2021. Available at:
https://www.nbr.org/program/commission-on-the-theft-of-intellectual-property/
(accessed 01.09.2021).
11. Robert Atkinson. Time for an 'America First' Science, Tech Policy. // Industry
week, Jun
23,
2021.
Available at: https://www.industryweek.com/the-
economy/public-policy/article/21167810/time-for-an-america-first-science-tech-
policy (accessed 01.09.2021).
12. Paul Davidson. Why China is beating the U.S. at innovation. // USA Today.
April
17,
2017.
Available
at:
https://www.usatoday.com/story/money/2017/04/17/why-china-beating-us-
innovation/100016138/ (accessed 01.09.2021).
13. Harold Meyerson The fallacy of post-industrial prosperity. // The Washington
Post.
September
4,
2011.
Available
at:
https://www.washingtonpost.com/opinions/the-fallacy-of-post-industrial-
prosperity/2011/09/04/gIQAk4Ob2J_story.html (accessed 01.09.2021).
14. Immediate release. DOD Announces Rare Earth Element Awards to Strengthen
Domestic Industrial Base. // The Department of Defense provides the military forces
needed to deter war and ensure our nation's security. Nov 17, 2020. Available at:
https://www.defense.gov/Newsroom/Releases/Release/Article/2418542/dod-
announces-rare-earth-element-awards-to-strengthen-domestic-industrial-base/ (ac-
cessed 01.09.2021).
15. Jim Garamone. DOD Has Pedal to the Metal on Hypersonics. // The Depart-
ment of Defense provides the military forces needed to deter war and ensure our na-
tion's
security.
Jun
18,
2020.
Available
at:
https://www.defense.gov/Explore/News/Article/Article/2225097/dod-has-pedal-
to-the-metal-on-hypersonics/ (accessed 01.09.2021).
16. Section 232 Tariffs on Steel and Aluminum. // The voice of the motor vehicle
supplier industry Motor & Equipment Manufacturers Association. MEMA. Mar 19,
2020. Available at: https://www.mema.org/section-232-tariffs-steel-and-aluminum-0
(accessed 01.09.2021).
35
ОРИГИНАЛЬНЫЕ СТАТЬИ / ORIGINAL PAPERS
2022; 1: 21-38
США & Канада: экономика, политика, культура / USA & Canada: economics, politics, culture
17. Williams Mullen, Thomas Mcvey, Chistopher Skinner. Developments in Ex-
port Controls on “Emerging” and “Foundational” Technologies. // JD Supra LLC.
Sep. 17, 2020. Available at: https://www.jdsupra.com/legalnews/developments-in-
export-controls-on-67034/ (accessed 01.09.2021).
18. Rick Mullen. US backs domestic drug production. // Chemical & engineering
news, American Chemical Society. Jan
27,
2021.
Available
at:
https://cen.acs.org/pharmaceuticals/process-chemistry/US-backs-domestic-drug-
production/99/i4 (accessed 01.09.2021).
19. Mark LaPedus. China Speeds Up Advanced Chip Development. // Semicon-
ductor Engineering. Jun 22, 2020. Available at: https://semiengineering.com/china-
speeds-up-advanced-chip-development/ (accessed 01.09.2021).
20. Mark LaPedus, Steffora Mutschler. Regaining the Edge in U.S. Chip Manufac-
turing.
// Semiconductor Engineering. Oct
26,
2020.
Available at:
https://semiengineering.com/can-the-u-s-regain-its-edge-in-chip-manufacturing/
(accessed 01.09.2021).
21. Mark LaPedus. Regaining U.S. Chip Competitiveness. // Semiconductor En-
gineering. Dec 17, 2020. Available at: https://semiengineering.com/regaining-u-s-
chip-competitiveness/ (accessed 01.09.2021).
22. Michael Collins. The US Needs an Industrial Policy for Growth. China has a
plan. Why don't we?
// IndustryWeek, March
13,
2019. Available at:
https://www.industryweek.com/the-economy/article/22027300/the-us-needs-an-
industrial-policy-for-growth (accessed 01.09.2021).
23. Keith B. Belton, John D. Graham, and Suri Xia. ‘Made in China 2025’ and the
Limitations of US Trade Policy. // Working paper. Paul H. O’Neil School of Public
and Environmental Affairs, Indiana University. July
2020. Available at:
https://manufacturingpolicy.indiana.edu/doc/made-in-china-2020.pdf
(accessed
01.09.2021).
24. Michael Collins. America Needs a Manufacturing Strategy. // Industry Week,
APR 01, 2021. Available at: https://www.industryweek.com/the-economy/public-
policy/article/21159910/america-needs-a-manufacturing-strategy
(accessed
01.09.2021).
25. Jay Timmons. NAM to Biden: China Policy Needs a Reset. // Industry Week.
Mar
17,
2021.
Available
at:
https://www.industryweek.com/the-
economy/trade/article/21158224/nam-to-biden-china-policy-needs-a-reset (accessed
01.09.2021).
26. Matthew McMullan. Manufacturing Adds 26,000 Jobs - But We're Still Way
Down a Hole.
// Industry Week, Aug
11,
2020.
Available at:
https://www.industryweek.com/the-economy/article/21138720/manufacturing-
adds-26000-jobsbut-were-still-way-down-in-a-hole (accessed 01.09.2021).
27. Matthew McMullan. AAM Letter to Congress: Pandemic Response Should In-
clude Industrial Policy. // Alliance for American Manufacturing. Jul 28, 2020/ Avail-
36
Толкачев С.А. Промышленная политика и решоринг: байденомика сменяет трампономику
Tolkachev S.A. Industrial Policy and Reshoring: Bidenomics Replaces Trumponomics
able at:
https://www.americanmanufacturing.org/blog/aam-letter-to-congress-
pandemic-response-should-include-industrial-policy/ (accessed 01.09.2021).
28. Harry Moser. Biden vs. Trump on Reshoring: A Review, and a Critique. // In-
dustry Week, Feb
9,
2021 Available at: https://www.industryweek.com/the-
economy/trade/article/21154656/biden-vs-trump-on-reshoring-a-review-and-a-
critique (accessed 01.09.2021).
29. Jeff Ferry. Tariffs Are Benefiting US Manufacturing. // Industry Week, Oct 29,
2020
Available
at:
https://www.industryweek.com/the-
economy/trade/article/21146273/tariffs-are-benefiting-us-manufacturing (accessed
01.09.2021).
СПИСОК ЛИТЕРАТУРЫ
Москвитина Е.И., Толкачев С.А. 2018. Реиндустриализация в США при Пре-
зиденте Д.Трампе: ожидания и первые итоги. США & Канада: экономика, полити-
ка, культура. № 3. С.81-99. DOI:10.7868/S3254256418030060
Давыдов А.Ю. 2021. Экономический цикл США в условиях пандемии. США
& Канада: экономика, политика, культура. № 8. С.5-18. DOI:
10.31857/S268667300016020-2
Супян В.Б. 2021. Экономическая стратегия Дж. Байдена: возвращение «боль-
шого государства». США & Канада: экономика, политика, культура. № 7. С.5-18.
DOI: 10.31857/S268667300015570-7
Княгинин В.Н., Щедровицкий П.Г. 2005. Промышленная политика России:
кто платит издержки глобализации. М.: Европа, 160 с.
Толкачев С.А. 2018. Сетевая промышленная политика в эпоху новой инду-
стриальной революции. Журнал новой экономической ассоциации. №3(39). с.155-162.
DOI: 10.31737/2221-2264-2018-39-3-9
REFERENCES
Davydov A. Yu. 2021. Ekonomicheskii tsikl SShA v usloviiakh pandemii [The US
Economic Cycle During the Pandemic] (In Russ.). USA & Canada: Economics, Politics,
Culture. Vol.51. No. 7. Р. 5-18. DOI: 10.31857/S268667300016020-2
Funk Mark. 2002. Basic Research and International Spillovers. International Review
of Applied Economics. Volume 16, - Issue 2, рр.217-226.
Knyaginin V.N., Shchedrovitsky P.G. 2005. Promyshlennaia politika Rossii: kto
platit izderzhki globalizatsii [Industrial Policy of Russia: Who Will Pay the Costs of
Globalization?] Moscow: Europe (in Russian). P. 1-160.
Moskvitina E.I. Tolkachev S.A. 2018. Reindustrializatsiia v SShA pri Prezidente
D.Trampe: ozhidaniia i pervye itogi [Reindustrialization in the United States under
President Trump: Expectations and First Results] (In Russ.). USA & Canada: Economics,
Politics, Culture. No. 3. Р. 81-99. DOI 10.7868/S3254256418030060
Supyan V.B. 2021. Ekonomicheskaia strategiia Dzh. Baidena: vozvrashchenie
«bol'shogo gosudarstva» [Joe Biden’s Economic Strategy: the Return of “Big Govern-
37
ОРИГИНАЛЬНЫЕ СТАТЬИ / ORIGINAL PAPERS
2022; 1: 21-38
США & Канада: экономика, политика, культура / USA & Canada: economics, politics, culture
ment”] (In Russ.). USA & Canada: Economics, Politics, Culture. No. 7. Р. 5-18. DOI:
10.31857/S268667300015570-7
Tolkachev S.A. 2018. Setevaia promyshlennaia politika v epokhu novoi indus-
trial'noi revoliutsii [Network Industrial Policy in the Age of the New Industrial Revo-
lution] (In Russ.). Journal of the New Economic Association. No 3(39). P.155-162. DOI:
10.31737/2221-2264-2018-39-3-9
ИНФОРМАЦИЯ ОБ АВТОРЕ / INFORMATION ABOUT THE AUTHOR
ТОЛКАЧЕВ Сергей Александро-
Sergei A. TOLKACHEV, Doctor Sci.
вич, доктор экономических наук,
(Economics), professor, Head of the
профессор, заведующий кафедрой
Macroeconomic Forecasting and Plan-
макроэкономического прогнозиро-
ning Department, Financial University
вания и планирования Финансового
under the Government of the Russian
университета при Правительстве
Federation.
Российской Федерации.
49 Leningradsky Prospekt, 125993,
Российская Федерация
125993,
Moscow, Russian Federation.
Москва, Ленинградский проспект, 49.
Статья поступила в редакцию / Received 6.09.2021.
Статья поступила после рецензирования / Revised 22.09.2021.
Статья принята к публикации / Accepted 23.09.2021.
38