РАДИОХИМИЯ, 2023, том 65, № 6, с. 584-592
УДК 552.778.3,665.521.8
ВЛИЯНИЕ ТЕМПЕРАТУРЫ И ПОГЛОЩЕННОЙ
ДОЗЫ НА СКОРОСТЬ ОБРАЗОВАНИЯ И СОСТАВ
ГАЗООБРАЗНЫХ ПРОДУКТОВ РАДИОЛИЗА
НЕФТЕБИТУМИНОЗНОЙ ПОРОДЫ
© 2023 г. Л. Ю. Джаббароваа,*, И. И. Мустафаева, Н. Гасаналиеваб
а Институт радиационных проблем НАН Азербайджана, АZ 1143, Баку, ул. Б. Вахабзадe, д. 9
б Государственный университет нефти и промышленности Азербайджана, Баку
*e-mail: Clala@mail.ru
Поступила в редакцию 24.06.2023, после доработки 08.08.2023, принята к публикации 12.08.2023
В лабораторных условиях изучены закономерности образования газов при радиационно-термическом
превращении нефтебитуминозной породы Кирмакинского месторождения Азербайджана. Исследова-
ния проводили при воздействии γ-излучения и ускоренных электронов в широком интервале темпе-
ратур (20-500°С), поглощенной дозы (0-260 кГр) и мощности дозы (1 и 470 Гр/с ). Изучено влияние
температуры и поглощенной дозы на скорость образования и состав газообразных продуктов. Приве-
дены оценки технико-экономических показателей процесса. Результаты таких исследований позволяют
оценить возможность получения нефтепродуктов различного назначения радиационно-термическим
способом.
Ключевые слова: радиолиз ,радиационно-термические превращения, битуминозная порода.
DOI: 10.31857/S0033831123060114, EDN: NUBZMZ
ВВЕДЕНИЕ
увеличением переработки высоковязкой нефти и
НБП возникает всё большая необходимость квали-
В связи с ограниченностью запасов традицион-
фицированного использования нефтяных остатков,
ных органических топлив (нефть и газ) ведутся по-
которые обогащены смолисто-асфальтеновыми ве-
иски новых богатых по запасам источников энергии
ществами. При увеличении объемов переработки
и химического сырья. Одним из таких источников
тяжелых смолистых и сернистых нефтей увеличи-
являются нефтебитуминозные породы (НБП), орга-
ваются и ресурсы остатков [3]. В России разведан-
ническая часть которых приближается по свойствам
ные запасы битумной нефти в нефтеносных песках
к нефтяным битумам. Совершенствование техноло-
составляют 350 млрд баррелей, большие запасы
гий добычи нефтебитуминозных пород и тяжелых
имеются и в Татарстане, в связи с чем там предло-
нефтей приобретает большую актуальность, так
жено использовать новую технологию. Битумы рас-
как запасы этих ресурсов значительно превышают
сматриваются не только как заменители нефти, но и
запасы обычной нефти. На данный момент разраба-
как сырье для строительства дорог, гидроизоляции
тывается меньше 1% запасов тяжелой нефти и НБП.
и антикоррозийных работ, для производства лаков
Мировые запасы тяжелых нефтей и природных би-
и красок. Высоковязкую нефть и НБП перерабаты-
тумов составляют в среднем более 810 млрд т [1].
вают на битумных установках. На Западе из нео-
Природные битумы - это окисленные высоковяз-
кие, плотные нефти жидкой, полужидкой и твер-
кисленных дорожных битумов строится более 80%
дой консистенции с высоким содержанием серы,
автомобильных дорог. Для того, чтобы повысить
масел, смол и асфальтенов. В них большое содер-
рентабельность переработки высоковязкой нефти и
жание ванадия, никеля, молибдена [2]. Наряду с
НБП, нужно утилизировать нефтяные остатки, ко-
584
ВЛИЯНИЕ ТЕМПЕР
АТУРЫ И ПОГЛОЩЕННОЙ ДОЗЫ
585
торые обогащены смолисто-асфальтеновыми веще-
вание физических методов воздействия: электрон-
ствами [4].
но-лучевого, ультразвукового, лазерного. На основе
этих процессов разрабатываются новые ресурсос-
Мировые извлекаемые запасы очень тяжелых
берегающие технологии. Разработаны научные ос-
нефтей составляют около 10 млрд т. Встречаются
новы рациональной технологии переработки углей
пески со средним (4-14 мас%), повышенным (12-
25 мас%) и высоким (более 25 мас%) содержани-
и нефтяных остатков с применением пучка ускорен-
ем НБП, они размягчаются при температуре выше
ных электронов и плазмы [15]. Исследования, по-
священные воздействию радиационного излучения
90°С. Переработка тяжелого углеводородного сы-
рья - нефтяных остатков, тяжелых и битуминозных
на органические топлива, углеводородные смеси и
нефтей - сводится к деструкции высокомолеку-
масла [16-22], позволяют установить закономер-
лярных составляющих и гидрированию образую-
ности гамма-радиолиза органических материалов.
щих осколков, что приводит в целевых продуктах
Но отсутствуют систематические данные по ради-
к увеличению отношения Н/С [5]. Использование
ационно-стимулированному превращению НБП,
высоковязких нефтей и природных битумов для
что не позволяет делать однозначный вывод о ра-
получения товарных битумов и различной битум-
диационной стойкости нефтебитуминозных пород
ной продукции делает их добычу экономически
и эффективности радиационно-химической техно-
целесообразной. Природные битумы и битумы,
логии их переработки. При воздействии ионизиру-
которые получают при переработке специальных
ющего излучения на НБП наблюдаются снижение
сортов высоковязких нефтей, пользуются популяр-
пороговой температуры для реализации процесса, а
ностью в дорожном строительстве в США, Канаде,
также возможна эффективная передача энергии, по-
Западной Европе. Также при строительстве дорог
глощенной неорганической частью нефтебитумов,
применяются НБП Самарской области, Республи-
к органической составляющей. В ходе извлечения
ки Татарстан, Казахстана, Грузии, Азербайджана
органической части нефтебитуминозной породы
и Туркменистана. Промышленные скопления НБП
на одной стадии возможно проведение радиацион-
установлены в Канаде, Венесуэле, СНГ, США, Ма-
но-термического крекинга ее органической части
дагаскаре, Румынии, Албании. Запасы составляют в
для получения газа, олефиновых углеводородов и
Урало-Эмбинской области 125 млн т, в Мангышла-
легких фракций.
ке 200 млн т, в Татарстане 7 млрд т [6-10].
Нами исследовано радиационно-термическое
В Канаде в штате Атабаска запасы составляют
превращение нефтебитуминозной породы при
138.1 млрд т., в Колд-Лейк - 43 млрд т. Они содер-
воздействии ионизирующего излучения в широ-
жат более 90% мировых геологических запасов при-
ких интервалах температуры, поглощенной дозы
родного битума (550-570 млрд т) Промышленным
и мощности дозы. В качестве ионизирующих из-
способом нефть из НБП добывают только в Кана-
лучений использованы источник -излучения 60Со
де и Татарстане термическим способом. В Англии,
типа МРХ -30 и линейный ускоритель электронов
Венесуэле, Мексике, Италии ведутся полупромыш-
ЭЛУ-6. Использована исходная нефтебитуминозная
ленные работы по извлечению ванадия и молибдена
порода месторождения Кирмаку Азербайжана. Изу-
из НБП [11-14].
чены закономерности образования газов и жидких
продуктов под воздействием тепла и радиации. В
В мировой практике накоплен опыт разработки
процессе радиационно-термических превращений
месторождений тяжелых нефтей и НБП различны-
НБП определены границы параметров, при которых
ми методами, каждый из которых имеет свои пре-
протекают процессы крекинга и дегидрирования.
имущества и недостатки. Термические, термоката-
Выбор нефтебитуминозной породы обусловлен на-
литические, экстракционные и другие методы свя-
личием больших ее запасов в Азербайджане и во
заны с определенными трудностями, что обуслов-
всем мире, а также неизученностью их радиацион-
лено многостадийностью и низкой экономической
но-термических превращений.
эффективностью этих технологий. Новым направ-
лением в переработке тяжелого нефтяного сырья
Цель работы заключается в разработке основ ра-
(мазутов, гудронов, высоковязких нефтей, нефте-
диационно-термического крекинга НБП и обуслов-
битуминозных пород) является широкое использо-
лена возможностью применения предложенной
РАДИОХИМИЯ том 65 № 6 2023
586
ДЖАББАРОВА и др.
технологии для получения углеводородного сырья
18
из НБП.
16
ɇ2
ɋɈ
14
ɋɇ4
12
ЭКСПЕРИМЕНТАЛЬНАЯ ЧАСТЬ
10
8
6
В статических условиях образцы НБП массой
4
0.3 г, помещенные в ампулы и запаянные в вакуу-
2
ме, облучали при различных температурах на гам-
0
0
50
100
150
200
250
300
ма-источнике 60Сo типа МРХ -30 со средней энер-
Ⱦɨɡɚ D ɤȽɪ
гией -излучения ε = 1.25 МэВ при мощности дозы
Рис. 1. Кинетика накопления газов из НБП при гамма-об-
Р = 1 Гр/с, а также на полупроточной установке
лучении. Т = 40°С, Р = 1 Гр/с
ускорителя электронов в интервалах поглощенных
доз 0-290 кГр с целью прослеживания кинетики
определяли состав продуктов. Газовые продукты
протекающих процессов. Полупроточная установка
термического и радиационно-термического разло-
была вмонтирована на линейном ускорителе элек-
жения НБП определеяли хроматографическим ме-
тронов ЭЛУ-6. Мощность пучка электронов дости-
тодом. Использовали приборы «Цвет-102» и «Га-
гает 1 кВт, средняя энергия электронов составляет
зохром-3101», плотность измеряли пикнометром
~3.5 МэВ. Мощность дозы в реакторе можно изме-
по ГОСТу 3900-85. Иодные числа определяли на
нить от 1000 до 4000 кГр/ч. Энергия электронных
спектрометре Bruker MPA. Дозиметрию проводили
пучков находится в диапазоне от 0.15 до 10-15 МэВ.
двумя независимыми методами с использованием
Полупроточная установка представляет собой по-
этиленового дозиметра и комбинации цилиндра
луоткрытую систему с объемом реактора 0.5 л, вы-
Фарадея с калориметром. Мощность дозы γ-излу-
ход реактора открыт и присоединен к приемнику
чения определяли этиленовым и ферросульфатным
жидких продуктов, а далее к газометру. Для перено-
дозиметрами, результаты которых согласуются в
са продуктов из зоны реакции используется поток
пределах 12-15%.
аргона 1 см3/с. Нефтебитуминозная порода нагре-
вается за счет торможения электронов, температура
РЕЗУЛЬТАТЫ И ИХ ОБСУЖДЕНИЕ
стабилизируется путем электрообогрева. В специ-
альном цилиндрическом реакторе, помещенном под
В статических условиях под действием γ-излу-
пучком ускоренных электронов, НБП нагревается
чения в интервалах поглощенных доз D = 0-260 кГр
в термостатированных условиях до определенной
исследованы закономерности образования продук-
температуры и подвергается радиационно-химиче-
тов Н2, СО, СН4, С2Н4, С2Н6, С3Н8, С4Н10, С5Н12,
скому превращению. В реакторе газопаровой поток
С6Н14, С7Н16 при превращении НБП. Кинетика на-
двигается против направления ускоренных электро-
копления газов при температуре 40°C и мощности
нов. Парожидкостный продукт покидает зону ре-
дозы 1 Гр/с приведена на рис. 1. Радиационно-хи-
акции через холодильник и поступает в приемник
мические выходы газов при температуре 40°С и
жидких продуктов. В этих экспериментах общее
высоких поглощенных дозах равны: G(H2) = 0.11,
количество образцов НБП, используемое в экспе-
G(CO) = 0.033, G(CH4) = 0.05 молек/100 эВ. Эти
риментах, составило 0.5 кг. Температура в реакторе
значения радиационно-химических выходов газов
поднимается в основном за счет торможения элек-
характерны для веществ c высокой радиационной
тронов в объеме массы НБП. Ее стабилизация до-
стабильностью, каковым является нефтебитумино-
стигается путем дополнительного электрообогрева
зная порода. Однако при повышении температуры
эта стабильность уменьшается (табл. 1).
и автоматического терморегулирования. Реакции
происходят преимущественно в паровой фазе. В
С изменением параметров облучения изменяет-
ходе нагрева нефтебитуминозная порода разделя-
ся не только радиационно-химический выход, но и
ется на жидкую и твердую фазу. В калиброванном
состав продуктов. При 400°С и мощности γ-излуче-
приемнике и газометре следили за кинетикой на-
ния Р = 1 Гр/с с ростом поглощенной дозы содер-
копления продуктов и аналитическими методами
жание газовых продуктов (об%) битуминозной по-
РАДИОХИМИЯ том 65 № 6 2023
ВЛИЯНИЕ ТЕМПЕР
АТУРЫ И ПОГЛОЩЕННОЙ ДОЗЫ
587
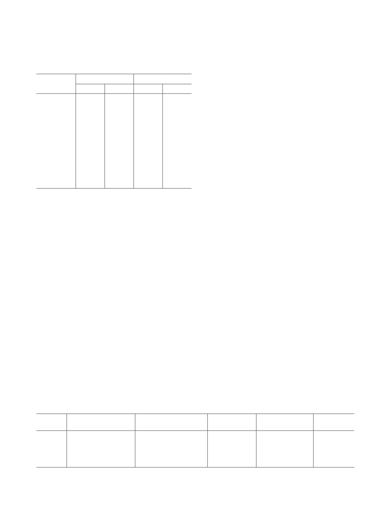
Таблица 1. Влияние температуры на накопление (N, молек/г, ×10-17), скорость образования (W, молек/(г·с), ×10-14)
и радиационно-химический выход газов (G, молек/100 эВ) из БП. Р = 1 Гр/с. 1 молек/100 эВ = 0.10364 мкмоль/Дж
Температура, °С
Газ
Параметр
40
100
150
200
250
300
350
400
400
H2
N
1.73
0.03
0.11
0.11
0.28
1,61
7.79
98.10
180
W
0.02
0.01
0.01
0.01
0.08
0.45
2.20
27.25
33.3
G
0.11
0.03
0.08
0.08
0.42
2.41
11.64
146.6
179
CО
N
0.54
1.21
18.90
89.10
496.8
2022
3461.6
621
1620
W
0.00
0.21
2.63
12.38
138.0
561.6
961.5
172.5
300
G
0.03
0.91
14.11
66.53
742.0
3019.7
5169.7
927.4
1612
СH4
N
0.84
1.68
12.60
16.8
48.63
363.7
1344
1470
2100
W
0.011
0.14
1.80
2.30
13.5
101
373.3
408.3
388.3
G
0.05
1.25
9.41
12.54
72.63
543.19
2007
2195
2090
С2H4
N
0.36
2.97
10.7
26.4
20.6
W
0.10
0.83
2.98
7.33
3.82
G
0.55
4.44
16.02
39.43
20.5
С2H6
N
0.14
2.54
22.01
132
105
W
0.04
0.71
6.13
36.6
19.56
G
0.22
3.79
32.9
197
105
С3H8
N
0.18
4.3
10.7
87.4
85
W
0.05
1.2
2.97
24.3
16
G
0.27
6.52
15.98
130.6
84.6
С4H10
N
0.03
0.9
3.57
30.1
27.5
W
0.01
0.25
0.99
8.38
5.1
G
0.04
1.35
5.33
45
27.9
С5H12
N
-
0.37
3.34
13.1
12.7
W
-
0.104
0.93
3.64
2.36
G
-
0.56
5.00
19.5
12.66
С6H14
N
-
-
0.57
5.13
5.9
W
-
-
0.16
1.43
1.1
G
-
-
0.85
7.66
5.91
С7H16
N
1.95
0.31
0.23
9.3
0.57
W
0.54
0.09
0,06
2.58
0.11
G
2.91
0.47
0.34
13.89
0.57
роды изменяется в пределах (%): Н2 3.79-12.45, СО
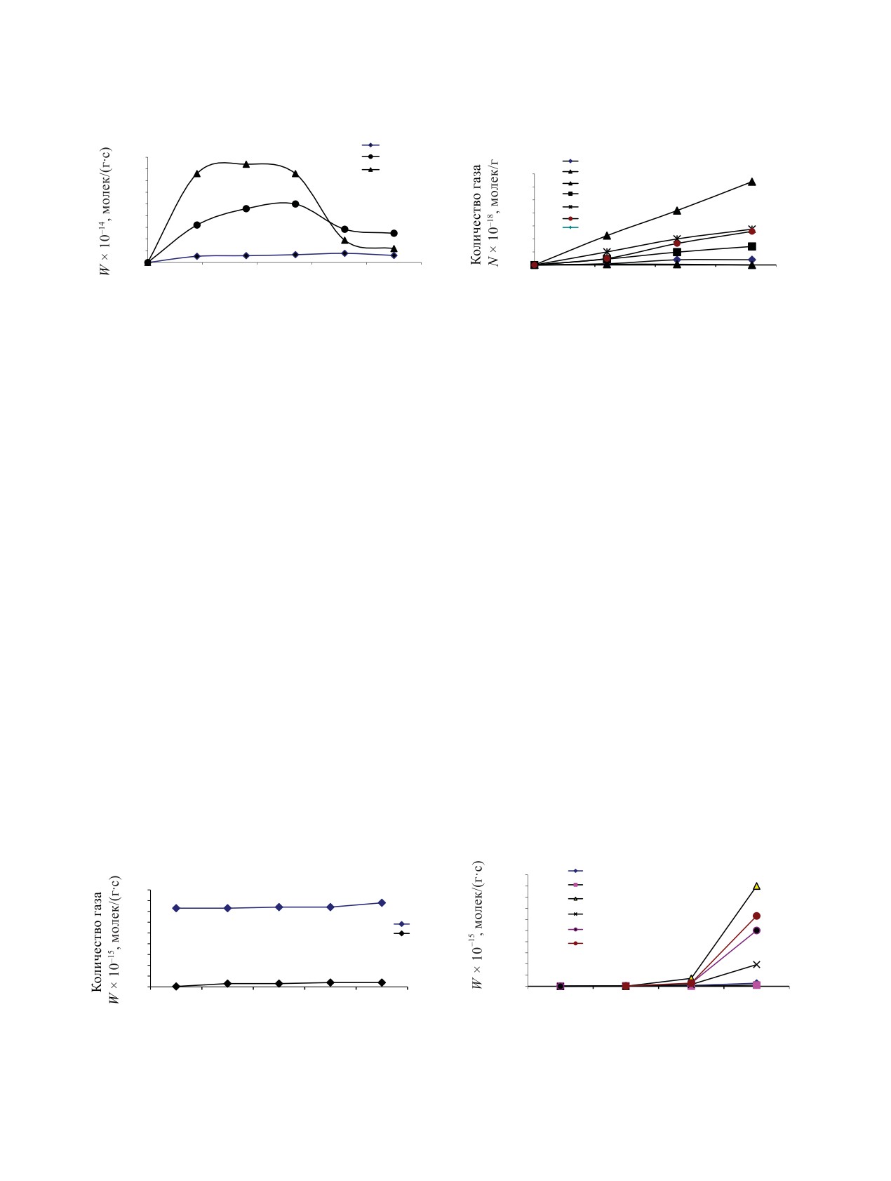
Как видно из рис. 2, при исследованных погло-
щенных дозах, скорость образования Н2 существен-
24.5-51.90, СН4 59.2-24.58, С2Н4 1.17-0.54, С2Н6
но не меняется. При дозе 7.2 кГр наблюдается рез-
5.34-5.49, С3Н8 3.57-3.06, С4Н10 1.21-1.30, С5Н12
кий спад скоростей образования СО и СН4 (мета-
0.53-0.54, С6Н14 0.20-0.08, С7Н16 0.37-0.01. Кине-
на - в 4 раза).
тика газообразования при гамма-радиолизе изучена
При более высоких мощностях дозы Р = 470 Гр/с
также при существенно повышенных температу-
(ускоренные электроны) наблюдаются достаточно
рах. В качестве примера на рис. 2 показана кинети-
большие скорости разложения нефтебитуминозных
ка накопления газов при 400°С.
пород; так, при 400°С и дозе 1.8 скорости накопле-
РАДИОХИМИЯ том 65 № 6 2023
588
ДЖАББАРОВА и др.
ɇ2
450
ɋɈ
ɇ2
400
ɋɇ4
ɋɈ
1400
350
ɋɇ4
1200
300
& ɇ4
1000
250
ɋ ɇ6
800
200
ɋ ɇ8
150
600
100
400
50
200
0
0
0
2
4
6
8
10
Ⱦɨɡɚ D ɤȽɪ
Ⱦɨɡɚ D ɤȽɪ
Рис. 2. Влияние поглощенной дозы на скорость образова-
Рис. 3. Кинетика накопления газов из НБП под действием
ния газов из HБП. Т = 400°С, Р = 1 Гр/с.
ускоренных электронов. Р = 470 Гр/с, Т = 400°С.
ния газов W × 10-14, молек/(г·с), составляют: H2
40-250°С наблюдается образование Н2, СО, СН4 в
72.7, CO 9, CH4 711, С2Н4 158, С2Н6 279, С3Н8 286.8.
результате радиационного расщепления функцио-
Кинетика накопления газов из НБП под действием
нальных групп в полиароматических соединениях.
ускоренных электронов (Р = 470 Гр/с, Т = 400°С)
В интервалах температур 200-300°С происходят
приведена на рис. 3.
деструктивные реакции газообразования, деги-
дрирования, в результате чего образуются допол-
Концентрация газов в облученной смеси в сто
раз больше, чем при гамма-радиолизе, что связа-
нительные количества двойных связей, тем самым
но с высокой мощностью ускоренных электронов.
увеличивается вероятность процессов полимериза-
При относительно низких температурах (Т < 400°С)
ции. При увеличении температуры от 40 до 400°С
содержание водорода в газообразных продуктах до-
наблюдаются достаточно быстрый рост выходов га-
стигает 56.7%. При более высоких температурах за
зов Н2, СО, СН4, особенно в интервале температур
счет присоединения радикалов к непредельным со-
250-400°С.. Максимальный выход газовых продук-
единениям образование более тяжелых продуктов
тов наблюдается при температуре 350-400°С при
растет, а водорода и метана уменьшается. При очень
мощности дозы Р = 1 Гр/с. Влияние температуры
высоких мощностях поглощенной дозы, когда кон-
на скорость образования газов при РТ превращении
центрация радикалов становится высокой, процес-
НБП при Р = 470 Гр/с показано на рис. 5.
сы рекомбинации становятся более вероятными, в
Дальнейшее увеличение температуры выше
результате чего образуются тяжелые углеводороды.
500°С ведет к чисто термическому разложению
Скорость образования водорода при термическом
продукта. С повышением температуры растет так-
(Т) и радиационно-термическом (РТ) разложении
же степень превращения битуминозной породы в
НБП в зависимости от поглощенной дозы и мощно-
газообразные продукты. Если степень превраще-
сти дозы показано на рис. 4.
ния в газы при 40°С меньше 0.1%, то при 400°С
Скорость радиационно-термического процесса в
эта величина превышает 2%. Суммарное содержа-
70-75 раз больше, чем термического. При γ-ради-
ние углеводородов С2-С5 не превышает 15-20%.
олизе эта разница не превышает двух раз. При Т =
Это свидетельствует о том, что при относительно
H2
10000
9000
CO
8000
CH4
80
7000
C2H4
6000
60
ɊɌ
5000
C2H6
Ɍ
40
4000
C3H
3000
8
20
2000
1000
0
0
0
0.9
1.2
1.5
1.8
200
300
400
500
Ⱦɨɡɚ D ɤȽɪ
Ɍɟɦɩɟɪɚɬɭɪɚ °ɋ
Рис. 4. Скорость образования водорода при термическом
(Т) и радиационно-термическом (РТ) разложении НБП в
Рис. 5. Влияние температуры на скорость образования
зависимости от поглощенной дозы и мощности дозы.
газов при РТ превращении НБП. Р = 470 Гр/с.
РАДИОХИМИЯ том 65 № 6 2023
ВЛИЯНИЕ ТЕМПЕР
АТУРЫ И ПОГЛОЩЕННОЙ ДОЗЫ
589
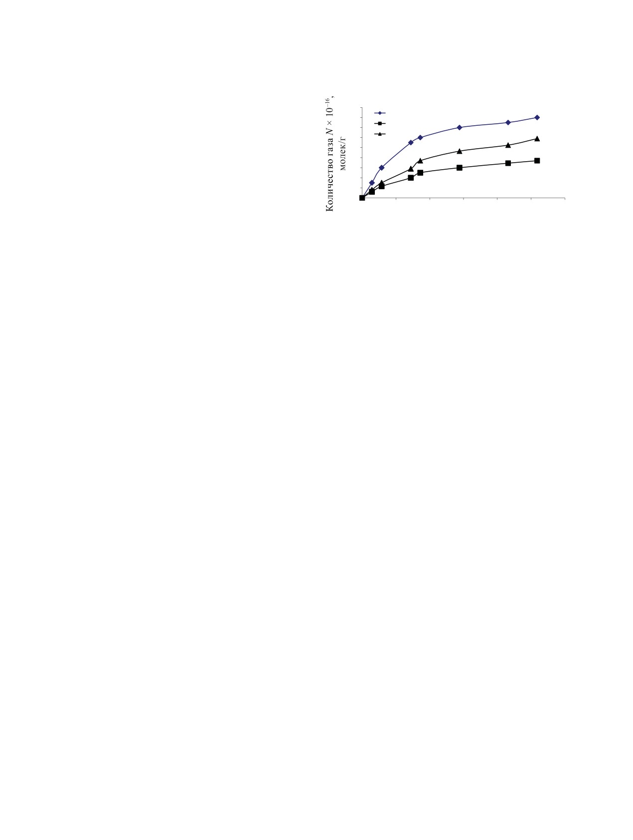
Таблица 2. Влияние мощности дозы на состав (об%) га-
В табл. 2 приведены скорости газообразования
зовых продуктов при РТ разложении HБП
при двух мощностях дозы при температурах 40 и
1 Гр/с
470 Гр/с
400°С. Как видно из таблицы, при температуре
Продукт
200°С
400°С
200°С
400°С
400°С повышение мощности дозы в 470 раз приво-
дит к увеличению скорости образования газов. Со-
Н2
0.1
3.94
14.3
4.3
став и характеристика жидких продуктов разложе-
СО
83.6
24.9
11.3
0.7
ния HБП приведены в табл. 3.
СН4
15.8
58.9
25.9
44.2
Как видно из табл. 4, с изменением параметров
С2Н4
1.1
20.8
10.5
облучения изменяется не только радиационно-хи-
С2Н6
5.3
14.2
21.3
мический выход, но и состав продуктов. При 400°С
С3Н8
3.5
-
19.2
и мощности γ-излучения Р = 1 Гр/с с ростом погло-
С4Н10
1.2
-
щенной дозы содержание газовых продуктов (об%)
С5Н12
0.5
-
нефтебитуминозной породы изменяется . Значения
С6Н14
0.2
-
αг (степень конверсии НБП в газы) и αж (степень
С7Н16
0.37
-
конверсии НБП в жидкость) зависят от условия
эксперимента, т.е. до температуры 400°С αж > αг:
= 1-3.2%.
αж = 16-18%, а αг
низких температурах преимущественно протекают
При повышении температуры выше 400°С αж
радиационно-стимулированные процессы дегидри-
постепенно уменьшается, а αг резко увеличивает-
рования. При более высоких температурах начина-
ся. Естественно, соотношение этих величин еще
ются деструктивные реакции образования тяжелых
зависит от мощности пучка электронов. Продукты
углеводородов. С изменением температуры соотно-
парожидкостной фазы не успевают покинуть реак-
шение концентрации газов значительно изменяется;
ционную зону, разлагаясь на газообразные продук-
так, если при 250°С газовые продукты составляют
ты. Поэтому с изменением параметров изменяются
0.1-0.5%, то при 400°С состав газов таков (%): С2Н4
также соотношение этих величин.
1.17, С2Н6 5.34, С3Н8 3.57, С4Н10 1.21, С5Н12 0.53,
С6Н14 0.20, С7Н16 0.37.
ЗАКЛЮЧЕНИЕ
Повышение мощности дозы приводит к увели-
Обстоятельный технико-экономический анализ
чению концентрации активных радикалов по зако-
предложенного процесса с определением капи-
ну Рn. Показатель степени n зависит от механизма
тальных вложений, эксплуатационных расходов и
гибели радикалов. При линейной гибели эта вели-
других затрат для организации радиационно-хи-
чина равна n = 1, а при квадратичном обрыве n =
мической технологии переработки нефтебитуми-
1/2. Квадратичный обрыв является основным путем
нозных пород выходит за рамки данной работы.
гибели свободных радикалов, приводящим к сни-
Ограничимся лишь проведением ориентировочных
жению длины цепи и уменьшению скорости цепной
расчетов на основании полученных нами экспери-
реакции. Основным путем расходования радикалов
ментальных данных о радиационно-химических
является рекомбинация:
выходах продуктов, необходимом значении мощно-
R. + R. → M* + продукт.
сти дозы, поглощенной дозы, об оптимальных зна-
Таблица 3. Состав и характеристика жидких продуктов разложения HБП
Пределы температуры
Молекулярная
Иодное
Фракция
Содержание, мас%
Плотность, г/см3
кипения, °С
масса
число
1
<150
8.5
90.9
0.84
120.9
2
150-300
20.2
129.2
0.89
90.2
3
300-350
18.5
162.8
0.91
84.4
4
350-400
23.3
223.8
0.94
82.5
РАДИОХИМИЯ том 65 № 6 2023
590
ДЖАББАРОВА и др.
Таблица 4. Влияние температуры на скорость образования (W × 10-14 молек/(г·с)) и состав газовых (α, об%) продук-
тов нефтебитуминозной породы
40°С,
100°С,
150°С,
200°С,
250°С,
300°С,
350°С,
400°С,
400°С,
400°С,
400°С,
Продукт
86 кГр
7.2 кГр
7.2 кГр
7.2 кГр
3.6 кГр
3.6 кГр
3.6 кГр
1.8 кГр
3.6 кГр
5.4 кГр
7.2 кГр
H2
W
0.02
0.016
0.015
0.015
0.079
0.45
2.2
47.43
27.25
33.33
39.03
α
56.7
4.3
0.33
0.101
0.05
0.06
0.16
3.79
3.94
4.32
12.86
CО
W
0.005
0.21
2.63
12.38
138
561.6
961.5
307
172.5
300
142.45
α
13.2
53.4
59.73
83.6
90.55
84.42
71.16
24.5
24.92
38.96
47
СH4
W
0.011
0.14
1.8
2.3
13.5
101
373.3
740.3
408
388.9
88.9
α
29.11
41.2
39.82
15.8
8.86
15.16
27.63
59.2
58.92
50.5
29.3
С2H4
W
0.10
0.83
2.98
14.6
7.33
3.82
1.95
α
0.06
0.12
0.22
1.17
1.06
0.49
0.64
С2H6
W
0.04
0.71
6.13
66.85
36.67
19.56
15.13
α
0.03
0.10
0.45
5.29
2,53
4.9
С3H8
W
0.05
1.2
2.97
44.71
24.30
15.75
9.68
α
0.03
0.18
0.22
3.51
2.04
3.2
С4H10
W
0.01
0,25
0.99
15.14
8.38
5.10
3.21
α
0.00
0.03
0.071
1.21
0.66
1
С5H12
W
-
0.10
0.93
6.69
3.64
2.36
1.65
α
-
0.01
0.068
0.52
0.30
0.54
С6H14
W
-
-
0.16
2.50
1.43
1.10
0.76
α
-
-
0.011
0.20
0.14
0.25
С7H16
W
0.54
0.09
0.06
2.61
2.58
0.11
0.07
α
0.36
0.01
0.005
0.37
0.01
0.02
Σ
об%
99.01
98.9
99.88
99.5
99.95
99.99
99.99
99.94
99.98
99.71
чениях температуры. Конечная экономическая эф-
исходного битуминозного песка. Эффективность
фективность радиационно-химических процессов
преобразования энергии органического топлива,
значительно зависит от типа используемого источ-
ускоренных электронов и тепла в горючие газы со-
ника излучения, его параметров и энергетических
ставляет 51.3%. При этом радиационный энергов-
выходов целевых продуктов.
клад составляет всего 8% тепловой энергии, но вы-
ход газовых продуктов в надтепловых реакциях в
Рассчитаны удельные радиационные энерго-
70-80 раз превышает выход газов в чисто термиче-
затраты, эффективность преобразования энергии
ских процессах. Суммарная скорость газообразова-
исходного топлива, ионизирующего излучения и
ния при 400°С составляет 1507.5 × 1015 молек/(г·с)
тепла в потенциальную энергию горючих продук-
при 30 мин облучения, при 500°С - 22620 × 1015 мо-
тов (жидких и газообразных), производительность
лек/(г·с) при 20 мин облучения.
процесса при различных мощностях источника ио-
низирующего излучения, условная экономическая
Поглощенная энергия при мощности 470 Вт/кг
эффективность, т.е. разница в стоимостях радиа-
(470 Дж/(с·кг)) и τ = 10 мин составляет: D =
ционного энергорасхода и дополнительной про-
(470 Дж/(с·кг)) × (600 с) = 282 кДж/кг. Таким об-
дукции, полученной в надтепловых реакциях. В
разом, в течение часа, когда в системе поглощается
процессе радиационно-термического разложения
около 1 кВт/ч энергии ускоренных электронов, вы-
разлагается только 180 г органической части НБП
ход газов при 500°С равен 540 л. Отметим, что из
(18%), а 82% НБП содержат потенциальное тепло
наших экспериментальных результатов следует, что
РАДИОХИМИЯ том 65 № 6 2023
ВЛИЯНИЕ ТЕМПЕР
АТУРЫ И ПОГЛОЩЕННОЙ ДОЗЫ
591
для получения 0.54 м3 газа необходимо перерабо-
2) использование источника ионизирующего из-
тать около 7-8 кг НБП. Мощность пучка ускорен-
лучения,
ных электронов установки ЭЛУ-6 - 1 кВт. Удель-
3) использование тепла реактора и экономия ор-
ный энергорасход на получение горючих газов со-
ганического топлива.
ставляет 0.5 м3/(кВт·ч). При мощности 500 кВт/ч
Другое преимущество электронно-лучевой обра-
производительность по газу будет 500 × 0.54 =
ботки состоит в существенном энергосбережении.
270 м3. В составе газообразных продуктов содер-
Это дает положительный эффект с точки зрения
жание метана превышает 50%, а углеводородов -
охраны окружающей среды, так как при производ-
почти 100%. Если принимать стоимость газового
стве электроэнергии применяются материалы, яв-
продукта радиационно-термического процесса
ляющиеся загрязнителями окружающей среды. На-
равным мировой стоимости природного газа около
пример, употребление каменного угля в тепловых
300 долл/1000 м3 и стоимости энергии ускоренных
электростанциях приводит к появлению кислотных
электронов ~10 цент/(кВт·ч), получаем экономиче-
дождей из-за образования оксидов азота и серы при
скую эффективность: Э0ф = (0.54 м3) × (0.300 $ м3) -
его сгорании и их последующего попадания в ат-
(0.10
$/(кВт·ч)) × (1 кВт·ч) = 0.062 $.
мосферу с выбросными газами. Для переработки
Таким образом, при производстве 0.54 м3 газа
НБП можно применять передвижные установки,
и радиационном энергопотреблении 1 кВт·ч ус-
оборудованные низкоэнергетическими электрон-
ловная экономическая эффективность составляет
ными ускорителями.
0.062 $. Если ускоритель электронов мощностью
Наши опыты показали, что при разложении 100 г
Р = 500 кВт будет работать в течение года (около
НБП получается 17-18 мл жидких продуктов, 80 г
8000 ч) для производства газа из нефтебитуминоз-
твердого остатка и 1.3 л газа, который имеет следу-
ной, породы экономическая эффективность будет
ющий состав (об%): Н2 30.3, СН4 56, СО 4.6, С2Н4
составлять: Эф = (0.062 $) × (500 кВт·ч) ×·(8000 ч) =
3.4, С2Н6 6 и С3Н8 0.15. Радиационный энерговклад
248000 долларов США при производстве
составляет 8-10% тепловой энергии, а выход газо-
2.16 млн м3 газа стоимостью
648000 долларов
вых продуктов в 70-80 раз превышает выход газов
США. Эта цифра показывает положительный эко-
в чисто термических процессах. Светлые жидкие
номический эффект радиационно-химической тех-
продукты можно использовать в качестве мотор-
нологии. Следует отметить, что наибольшей про-
ного топлива, газы - как энергетическое топливо, а
изводительности можно достичь путем повышения
отработанный песок можно применять в дорожном
эффективности поглощения энергии.
строительстве. Это открывает новые перспективы
Во всем исследованном интервале времени (10-
для организации технологии получения олефинов и
30 мин) при мощности дозы 470 Гр/с скорость ради-
их производных (полимерных материалов) на базе
ационно-термического процесса в 70-75 раз боль-
нефтебитуминозных пород. В определенных усло-
ше, чем скорость термического. При термическом
виях путем гидрооблагораживания из этих продук-
разложении битуминозной породы до 500°С вы-
тов можно получить высококачественные моторные
деляются 90-100 мл/кг жидких продуктов, 6.5 л/кг
топлива. Благодаря стойкости к радиационному
газообразных продуктов (об%: Н2 30.3, СН4 56,
воздействию нефтебитуминозные породы - незаме-
СО 4.6, С2Н4 3.4, С2Н6 6 и С3Н8 0.15) и 900 г/кг
нимый гидроизоляционный материал, он находит
твердого остатка.
применение в ядерной энергетике для захоронения
радиоактивных отходов.
Принципиальная технологическая схема ради-
ационно-термической переработки нефтебитумов
отличается от термической следующими отличи-
КОНФЛИКТ ИНТЕРЕСОВ
тельными признаками:
1) снижение температуры процесса на 200-
Авторы заявляют об отсутствии конфликта ин-
300°С,
тересов.
РАДИОХИМИЯ том 65 № 6 2023
592
ДЖАББАРОВА и др.
СПИСОК ЛИТЕРАТУРЫ
11. Kirkbride C.G. US Patent 5902554. Appl. Febr. 14,
1997. Publ. May 11, 1999.
12. Okwuoma O. // Petrol. Sci. Technol. 1999. Vol. 17,
1.
Николин И.В. // Наука - фундамент решения техно-
N 1-2. P. 57-65.
логических проблем развития России. 2007. № 2.
13. Parkinson G. // Chem. Eng. 2002. Vol. 109, N 5. P. 27-
С. 54-55.
31.
2.
Danilova E.A. // Chem. J. 2008. № 12. P. 34-37.
14. Minoz V.A., Kasperski K.L. // Petrol. Sci. Technol. 2003.
3.
Ганиева Т.Ф., Абдуллин А.И., Идрисов М.Р. Совре-
Vol. 21, N 9-10. P. 1509-1529.
менные дорожно-строительные материалы. Казань,
15. Милинчук В.К., Клиншпонт Э.Р. Основы радиацион-
2014. С. 33-34.
ной стойкости органических материалов. М.: Энер-
4.
Халикова Д.А., Петров С.М., Башкирцева Н.Ю. //
гоатомиздат, 1994. 256 с.
Вестн. Казан. технол. ун-та. 2013. №3 (16). С. 1-2.
16. Джаббарова Л.Ю., Мустафаев И.И., Ибадов Н.А. //
5.
Гольберг И.С. НБП. Перспективы использования.
ЖПС. 2022. Т. 89, № 3. С. 315-322.
Алма-Ата: Наука Каз. ССР, 1982. С. 48-54.
17. Мустафаев И.И., Джаббарова Л.Ю., Набизаде З.О.,
6.
Онгарбаев Е.К., Иманбаев М, Тилеуберди Е., Голов-
Ибадов Н.Э., Ахмедбекова С.Ф. // ХВЭ. 2013. Т. 47,
ко А.К. // Горение и плазмохимия. 2017. Т. 15, № 2.
№ 6. С. 449-455.
С. 148-155.
18. Jabbarova L.Y., Mustafayev I.I., Akperov A.S.,
7.
Таубаева Г.Ж., Буканова С.К., Буканова А.С., Кай-
Mirzayeva A.S. // J. Radiat. Res. 2022. Vol. 9, N 1.
рлиева Ф.Б. // Молодой ученый. 2022. № 11 (406).
P. 58-63.
С. 1-6.
19. Джаббарова Л.Ю., Мустафаев И.И, Мирзаева А.С.,
8. Ишмухамедова Н.К., Шакуликова Г.Т., Каримов О.Х.,
Ибадов Н.Я. // Радиохимия. 2023. Т. 65, № 4. С. 363-
Шпынева М.А. // Нефтегазовое дело. 2022. Т. 20,
371.
№ 2. С. 58-66.
20. Джаббарова Л.Ю., Мустафаева И.И. // ЖПС. 2018.
9.
Надиров Н.К., Ширинских А.В., Нуржанова С.Б., Со-
Т. 85, № 4. С. 686-690.
лодова Е.В., Абилмагжанов А.З. // Вестн. Евразий-
21. Джаббарова Л.Ю. // ХВЭ. 2019. Т. 53, № 6. С. 466-
ской науки. 2019. Т. 11, № 3. С. 1-9.
471.
10. Онгарбаев Е.К., Мансуров З.А., Мейирова Г.И., Мал-
22. Jabbarova L.Y., Mustafayev I.I., Ibadov N.A. // J. Appl.
дыбаев К.М. // Нефть и газ. 2015. № 5. C. 133-138.
Spectrosc. 2022. Vol. 89. P. 418-425.
Effect of Temperature and Absorbed Dose on the Rate
of Formation and Composition of Gaseous Products
of Radiolysis of Oil-Bituminous Rock
L. Jabbarovaa,*, I. Mustafayeva, and N. Gasanalievab
a Institute of Radiation Problems ANAS, AZ 1143, Baku
b State University of Oil and Industry of Azerbaijan
*e-mail: Clala@mail.ru
Received June 24, 2023; revised August 8, 2023; accepted August 12, 2023
The results of study of gas formation at the radiation-thermal transformation of bituminous rocks of Kirmaku
fields of Azerbaijan are adduced. The studies were carried out under the influence of γ-radiation and accelerated
electrons in a wide range of temperatures (20-500°C), absorbed dose (0-260 kGy), and dose rate (1 and
470 Gy/s).The influence of temperature and adsorbed dose on the gas formation rate and content of products
has been established. Estimates of technical and economic indicators of the process are given The results of
these studies allow us to estimate the potential of the radiation-thermal method for producing oil products for
various purposes.
Keywords: radiolysis, radiation-thermal transformation, bituminous rocks
РАДИОХИМИЯ том 65 № 6 2023