РАДИОХИМИЯ, 2023, том 65, № 5, с. 482-500
УДК 554.424:539.163
СОВРЕМЕННАЯ РАДИОЭКОЛОГИЧЕСКАЯ
ОБСТАНОВКА НА ТЕХНОЛОГИЧЕСКОЙ ПЛОЩАДКЕ
МИРНОГО ПОДЗЕМНОГО ЯДЕРНОГО ВЗРЫВА
«КРИСТАЛЛ»
И РАДИОНУКЛИДЫ В ПОВЕРХНОСТНЫХ ВОДАХ
ПРИЛЕГАЮЩЕЙ
ТЕРРИТОРИИ (ЗАПАДНАЯ ЯКУТИЯ)
© 2023 г. С. Ю. Артамоноваа,*, Л. Г. Бондареваб, М. С. Мельгунова, Г. В. Симоновав
а Институт геологии и минералогии им. В.С. Соболева СО РАН,
630090, Новосибирск, пр. Академика Коптюга, д. 3
б Федеральный научный центр гигиены им. Ф.Ф. Эрисмана Роспотребнадзора,
141014, Мытищи, Московской обл.
в Институт мониторинга климатических и экологических систем СО РАН,
634055, Томск, пр. Академический, д. 10/3
*e-mail: artam@igm.nsc.ru
Поступила в редакцию 22.03.2023, после доработки 21.04.2023, принята к публикации 28.04.2023
Рассматривается радиоэкологическая обстановка на технологической площадке мирного подзем-
ного ядерного взрыва «Кристалл» после сооружения насыпи над эпицентром и очистки раститель-
ности. Мощность амбиентного эквивалента дозы гамма-излучения в 2012 г. изменялась от 0.04
до 0.066 мкЗв/ч, содержание радионуклидов в почвах к 2019 г. снизилось до (Бк/кг): 90Sr 2.5-5.3,
239,240Pu 0.03-25.4, 137Cs <2.0. В 2018-2020 гг. в поверхностной воде активность радионуклидов
(Бк/дм3) составила: в стоках из-под насыпи 3H 4-12, 90Sr 0.004-0.4, 239,240Pu <10-6, в местной реч-
ной воде 3H 4-10.2, 90Sr 0.004-0.3. В настоящее время влияние поверхностных стоков объекта
«Кристалл» на речную сеть оценено как незначительное. В местной речной воде не более 1/3 3H по-
ступает с атмосферными осадками, а остальной 3H - из зоны взрыва «Кристалл» преимущественно
подземным путем. Не менее 91-96% 90Sr в местной речной воде обусловлены взрывом «Кристалл»:
часть поступает из зоны взрыва подземным путем, часть - это смыв с поверхности ландшафтов.
Ключевые слова: поверхностные воды, подземные рассолы, подземный ядерный взрыв, особые
радиоактивные отходы, геологическая среда, радионуклиды, тритий, радиостронций, Якутия.
DOI: 10.31857/S0033831123050118, EDN: XSLBGN
Мирные подземные ядерные взрывы (ПЯВ) про-
(по десятикратному периоду полураспада долгожи-
водились в бывшем СССР для решения широкого
вущего изотопа 239Pu - не менее 241 тысячи лет). По
ряда народно-хозяйственных задач в разных точках
проекту допускался выход малой части газообраз-
страны, их было всего 124 [1]. В результате рас-
ных продуктов взрыва (первых процентов от общей
плавления и испарения пород в центре взрыва соз-
активности) в атмосферу. В связи с существовани-
давалась полость, которую можно рассматривать
ем потенциального риска переноса радионуклидов
как подземный пункт размещения особых радио-
из зоны взрыва во вмещающую геологическую сре-
активных отходов без защитных барьеров, с весьма
ду и выхода на поверхность Земли актуальность из-
длительной продолжительностью существования
учения радиоэкологической обстановки на местах
482
СОВРЕМЕННАЯ Р
АДИОЭКОЛОГИЧЕСКАЯ ОБСТАНОВКА
483
Рис. 1. Точки отбора водных проб на технологической площадке ПЯВ «Кристалл» размером 430 × 330 м с глыбово-щебни-
стой насыпью, перекрывающей навал, возникший на эпицентре взрыва. На переднем плане - р. Улахан-Бысыттах. Белыми
кружками показаны точки отбора водных проб, проведенных нами (фотография с вертолета, автор фото В.Е. Захаров,
2007 г.).
проведения ПЯВ и прилегающей территории даже
повреждения в разной степени вплоть до удаления
по прошествии десятков лет не вызывает сомнений.
его верхних слоев. Участок был обнесен забором из
металлических столбов и колючей проволоки, а со-
Объект ПЯВ «Кристалл» выбран нами в связи
бранный почвенно-растительный материал был раз-
с его расположением в алмазодобывающем районе
мещен за забором по периметру участка. Этот пря-
вблизи г. Удачный. Взрыв «Кристалл» был произ-
моугольный по очертаниям участок размером 430 ×
веден 2 октября 1974 г. на левом борту р. Улахан-
330 м, где по центру расположена глыбово-щебни-
Бысыттах в 300 м от уреза воды в многолетне-
стая насыпь площадью 52500 м2 и высотой 7-20 м,
мерзлых известняках на глубине всего 98 м. Это
представляет собой так называемую технологиче-
был первый из 8 запланированных взрывов на
скую площадку объекта ПЯВ «Кристалл» (рис. 1).
рыхление для создания навалов высотой 27-30 м
по линейному ряду поперек долины р. Улахан-
На сегодняшний день объект «Кристалл» один из
Бысыттах, как основы для строительства плотины
наиболее обследованных объектов ПЯВ в Якутии,
хвостохранилища общей длиной 1800 м, шириной
да и целом в Сибири: первые открытые радиоме-
по гребню 85 м [1, 2]. Однако получился навал с
трические замеры после рассекречивания объекта
провалившейся центральной частью, его высота по
проведены в 1990 г., первые пробы почв изучены
гребню составила 10-14 м, т.е. в 2 раза ниже рас-
в 1993 г. [3], в начале 2000-х гг. проведен большой
четной, что послужило официальной причиной для
комплекс работ по оценке загрязнения почв, рас-
отказа от проведения остальных взрывов [1]. Этот
тительности [4-6] и рисков возможного облучения
близповерхностный взрыв с проектным выходом
местного населения [7]. Пионерные геофизиче-
около 4% продуктов взрыва мощностью 1.7 кт в
ские исследования в 2008, 2019 гг. с применением
тротиловом эквиваленте оказался единственным
методов зондирования ЗСБ, электротомографии и
ПЯВ на рыхление.
наземной магнитной съемки позволили получить
данные о состоянии многолетней мерзлоты, геоэко-
В 1992 г. навал на эпицентре взрыва «Кристалл»
логической ситуации в недрах объекта «Кристалл»
был засыпан глыбово-щебнистым материалом
и прилегающей территории [8-11].
из пустых пород карьера кимберлитовой труб-
ки «Удачная». В 2006 г. в рамках реабилитаци-
Проблема водного переноса радионукли-
онного проекта АО
«ВНИПИпромтехнологии»
дов на объекте «Кристалл» обсуждалась в на-
ГК «Росатом» насыпь была наращена, участок во-
чале 2000-х гг. сотрудниками ИГД РАН [2], АО
круг насыпи был очищен от мохово-лишайниково-
ВНИПИпромтехнологии ГК РОСАТОМ [12], но
го и растительного покровов механизированным
в последние годы были только единичные публи-
способом, при котором почвенный покров получил
кации [13, 14]. Нами поверхностные воды района
РАДИОХИМИЯ том 65 № 5 2023
484
АРТАМОНОВА и др.
ɍɫɥɨɜɧɵɟ
ɨɛɨɡɧɚɱɟɧɢɹ
1
2
3
4
5
6
7
8
Рис. 2. Схема отбора проб поверхностных вод в районе объекта ПЯВ «Кристалл» (показаны белыми кружками). Условные
обозначения: 1 - разлом «Октябрьский», установленный по геолого-геофизическим данным; 2 - другие разломы по дан-
ным сейсморазведки; 3 - разломы, выполненные дайками долеритов; 4 - кимберлитовые трубки, дайки; 5 - объект ПЯВ
«Кристалл»; 6 - карьеры на кимберлитовых трубках «Удачная» (У) и «Зарница» (З) и отвалы пустых пород рядом с ними;
7 - хвостохранилища; 8 - участки закачки в многолетнемерзлую толщу дренажных рассолов, поступающих в карьер
тр. «Удачная» (уч.О - «Октябрьский», уч.К - «Киенгский», уч.Л. - «Левобережный»).
объекта «Кристалл» изучались в 2008, 2012, 2018-
Отбор водных проб на технологической площад-
2020 гг., и в настоящей статье рассматриваются ре-
ке объекта «Кристалл» проводили из небольших ру-
зультаты этих исследований в совокупности с опу-
чейков, вытекающих из-под насыпи, и из мелких во-
бликованными данными других исследователей.
доемов, сформированных в понижениях мелко-по-
лигонального холмистого микрорельефа (рис. 1).
Целью наших исследований является оценка ра-
Отбирали пробы из местных водотоков: р. Улахан-
диоэкологической обстановки на технологической
Бысыттах и ее притоков, р. Далдын, р. Сытыкан,
площадке объекта «Кристалл» и оценка водного пе-
руч. Полярный и двух водоемов, расположенных
реноса техногенных радионуклидов с поверхност-
на водораздельном ландшафте к северо-западу от
ными стоками технологической площадки ПЯВ
г. Удачный (рис. 2). Отбор проб верхнего слоя почв
«Кристалл» в местную речную сеть.
(0-5 см глубины) проводили на технологической
площадке в 5 точках в 2012 и 2019 г. (рис. 3).
МЕТОДЫ И МАТЕРИАЛЫ
Активность трития в пробах поверхностных
вод и подземных рассолов определяли жидкост-
Радиационную обстановку на технологической
но-сцинтилляционным методом. Для подготовки
площадке объекта «Кристалл» оценивали путем
водные пробы 2008 г. фильтровали вначале через бу-
маршрутных измерений мощности амбиентного эк-
мажный фильтр «синяя лента», затем мембранный
вивалента дозы гамма- излучения (МАД, мкЗв/ч) с
фильтр с диаметром пор 0.2 мкм, главным образом
применением спектрометра МКС-АТ6101Д, прово-
для устранения возможных взвешенных частиц,
дили также измерения мощности экспозиционной
которые впоследствии могли помешать в определе-
дозы гамма-излучения (МЭД, мкР/ч) с примене-
нии содержания трития [15]. Данный прием весьма
нием СРП-68-01. Географическую привязку точек
успешно применялся на аналогичных водных объ-
замеров проводили с помощью GPS-навигатора
ектах, описанных в работе [16]. Остальные пробы
ETREX.
поверхностных вод 2012, 2018-2020 гг. и пробы
РАДИОХИМИЯ том 65 № 5 2023
СОВРЕМЕННАЯ Р
АДИОЭКОЛОГИЧЕСКАЯ ОБСТАНОВКА
485
от 8 до 24 ч. Удельная активность трития опреде-
ɦ
лялась жидкостно-сцинтилляционным методом: в
2008 и 2012 гг. с помощью cпектрометра Tri-Carb
4s
3s
2800 (США) (аналитик - к.х.н. Л.Г. Бондарева), в
2018-2020 гг. - с помощью спектрометра-радио-
Ƚ Ƚ
метра Quantulus-1220 фирмы Perkin Elmer (США)
2s
1
(аналитик - к.т.н. Г.В. Симонова).
1s
2
3
При накопительном измерении в течение от 8 до
5s
4
24 ч на спектрометре-радиометре Quantulus-1220
5
минимальная детектируемая активность 3H была
6
7
равна 1 Бк/дм3, на спектрометре Tri-Carb 2800 -
8
2 Бк/дм3. Стандартные образцы растворов тритие-
9
вой воды в сцинтилляторе для градуировки радио-
10
11
метров готовили на основе стандартов: 3Н стандарт
(Perkin Elmer unquenched LSC standard 1215-111)
Рис. 3. Распределение МАД на технологической площад-
активностью 204500 dpm (на 1 февраля 2007 г.)
ке объекта ПЯВ «Кристалл» в 2012 г. Условные обозначе-
ния: 1 - местоположение устья боевой скважины; 2 - кон-
для спектрометра-радиометра Quantulus-1220, 3H
туры подножья и гребня навала, сформированного в ре-
стандарт (Packard Bioscience Ltd) активностью
зультате взрыва, контуры подножья навала и первичной
287400 dpm (на 1 октября 2007 г.) для спектрометра
глыбово-щебнистой насыпи 1992 г. примерно совпадали;
Tri-Carb 2800. Стандартное отклонение величины
3 - контуры подножья и верхней кромки наращенной в
2006 г. насыпи. Мощность амбиентного эквивалента
объемной активности трития в пробах поверхност-
дозы гамма-излучения в июле 2012 г. (мкЗв/ч): 4 - <0.05;
ных вод и подземных рассолов при измерении на
5 - 0.05-0.053; 6 - 0.054-0.057; 7 - 0.058-0.061, 8 - 0.062-
спектрометре-радиометре Quantulus-1220 при ак-
0.066; точки отбора проб: 9 - почв в 1993 г. [3]; 10 - почв
тивности 5-10 Бк/дм3 менялось в диапазоне от 0.4
в 2012 и 2019 гг.; 11 - водных стоков в 2012, 2018-2020 гг.
до 1.2 Бк/дм3, при активности >10 Бк/дм3 - в диапа-
зоне от 0.5 до 0.9 Бк/дм3, на спектрометре Tri-Carb
подземных рассолов подвергали дистилляции в
2800 для обоих диапазонов активности стандартное
присутствии перманганата и гидроксида калия, и
отклонение составляло от 1 до 5 Бк/дм3.
дальнейший анализ проводили на отогнанном ди-
Активность 90Sr в водных пробах, пробах под-
стилляте. Необходимо подчеркнуть, что высокая
земных рассолов и пробах почв определяли бе-
соленость проб подземных рассолов приводит к хи-
та-радиометрическим методом с предварительной
мическому (примесному) тушению сигналов β-ча-
радиохимической подготовкой счетных образцов
стиц, и только предварительная отгонка подземных
(аналитик - И.В. Макарова) [17, 18]. Отбор круп-
рассолов позволяет провести замеры с достаточной
нообъемной водной пробы в 20 дм3 и концентри-
эффективностью и получить количественные дан-
рование из нее 90Sr позволяли добиться более низ-
ные.
ких пределов обнаружения. Концентрирование 90Sr
Аликвоты профильтрованных пресных водных
проводили путем осаждения карбонатных осадков.
проб 2008 г. и аликвоты конденсата водяного пара
Для этого в пробу добавляли Ca (до достижения
водных проб 2012, 2018-2020 гг. и подземных рас-
концентрации Ca2+ >20 мг/л), носитель Sr (раствор
солов объемом по 8 мл из каждой пробы помещали в
нитрата стронция Sr(NO3)2, х.ч., ГОСТ 5429, под-
пластиковые виалы, в каждую из которых добавля-
готовленный добавлением дистиллированной воды,
ли по 12 мл сцинтиллятора Optiphase Hisafe3. После
50 мг в расчете на металл), затем использовали кар-
смешивания виалы закрывали пробкой и встряхива-
бонат аммония (NH4)2CO3 в присутствии 25%-ного
ли в течение 2 мин до полного смешивания пробы
водного аммиака безуглеродистого (б.у.) NH4OH.
со сцинтилляционным коктейлем. Перед измерени-
Карбонатный осадок вместе с фильтром подвергали
ем смесь выдерживалась в темном и прохладном
дальнейшей обработке по общей схеме, принятой
месте в течение 24 ч для стабилизации люминес-
для озоленных твердых проб (почв, грунтов и др.).
ценции. Время измерения одной пробы составляло
Для радиохимической подготовки подземных рас-
РАДИОХИМИЯ том 65 № 5 2023
486
АРТАМОНОВА и др.
солов брали 250 см3 исходных рассолов, добавляли
зволяет добиться более низких пределов их обна-
дистиллированную воду и доводили объем раство-
ружения, которое проводили путем соосаждения с
ра до 20 дм3 для снижения минерализации. Далее
гидрооксидами Fe, для этого вносили в пробу FeCl3,
обработку раствора проводили по вышеприведен-
а затем раствор аммиака при рН 8-9. Далее осадки
ной схеме радиохимической подготовки природных
гидрооксидов Fe, содержащие изотопы Pu, подвер-
вод.
гали поэтапной химической подготовке по общей
схеме.
Пробы почв подвергали озолению при темпе-
ратуре 600°С. В золу массой порядка 60 г вносили
Пробы почв озоляли при 600С, затем в твер-
носитель стронция (200 мг в расчете на металл).
дую золу вносили метку 242Pu 0.1 Бк и далее пере-
Дальнейшая общая схема подготовки проб (золы
водили в раствор путем кислотного выщелачива-
почв, карбонатных осадков поверхностных вод и
ния. Изотопы Pu концентрировали с гидроксидами
подземных рассолов) заключалась в их растворе-
Fe аналогично водным пробам. Дальнейшая об-
нии в 6 М HCl и удержании в растворе стронция (и
щая схема подготовки проб включала ряд этапов.
кальция) при последовательном удалении иттрия (и
Осадки гидроксидов Fe собирали и переводили в
других компонентов) путем добавления в раствор
раствор с помощью кипящей 7 М HNO3. В азот-
аммиака NH4OH б.у. и осаждения оксалата иттрия
нокислый раствор для перевода плутония в четы-
в кислой среде с последующим сбросом осадков.
рехвалентное состояние добавляли NaNO2, затем
После удаления исходного иттрия в пробу вносили
раствор пропускали через анионообменную смо-
носитель иттрия (раствор хлорида иттрия, приго-
лу АВ-17В для удаления мешающих радионукли-
товленный из соли YCl3·6H2O х.ч., ТУ 6-09-4773,
дов с близкими энергиями альфа-частиц - 228Th,
путем добавления горячей подкисленной дистил-
241Am с фильтратом. Переводили остаток в раствор
лированной воды, для подкисления использовали
с помощью трилона Б, щавелекислого аммония и
соляную кислоту, 15 мг в расчете на металл). Пробу
25%-ного хлорида аммония, доводили рН до 3-4
выдерживали для достижения радиоактивного рав-
добавлением 7 М HNO3 и далее раствор подвергали
новесия 90Sr и 90Y. После этого из пробы извлека-
электролизу в течение 30 мин при постоянном токе
ли иттрий в виде осадков и переносили на счетную
2.0 А для высаживания на подложку - диск из кор-
подложку для -радиометрии. Метод основан на
розионно-стойкой нержавеющей стали.
определении активности 90Sr по активности 90Y.
Детектирование альфа-частиц осуществля-
Измерение активности 90Y проводили на низкофо-
ли с помощью 8-канального альфа-спектрометра
новом бета-радиометре РУБ-01П. Выход стронция
ALPHA-ENSEMBLE-8 (Ametek, ORTEC, США) с
в процессе пробоподготовки контролировали атом-
кремниевыми детекторами высокого разрешения
но-абсорбционным методом, выход иттрия - весо-
ENS-U300 (чувствительная площадь 300 мм2, раз-
вым. Содержание 90Sr определяли через измерен-
решение по альфа (ПШПВ) 19 кэВ) и ENS-U450
ную активность 90Y с учетом соотношения их пе-
(чувствительная площадь 450 мм2, разрешение по
риодов полураспада. Предел обнаружения 90Sr ука-
альфа (ПШПВ) 20 кэВ). Время замеров составило
занным методом составляет 0.01 Бк. Относительная
от 150000 до 600000 с. Пределы обнаружения мето-
погрешность метода не превышает 20% с вероятно-
да 0.002 Бк. Относительная погрешность не превы-
стью Р = 0.95 для активностей более 1 Бк.
шает ±15 % с вероятностью Р = 0.95.
Активность
239,240Pu,
238Pu в водных пробах
Для определения активности 137Cs в пробах почв
и пробах почв определяли альфа-спектрометри-
использовали прямую высокоразрешающую полу-
ческим методом с предварительной радиохими-
проводниковую гамма-спектрометрию (ВПГС) с
ческой подготовкой счетных образцов (аналити-
колодезным полупроводниковым детектором EGPC
ки - И.В. Макарова, к.г.-м.н. Мельгунов) [19, 20].
192-P21/SHF
00-30A-CLF-FA фирмы EURISYS
Водную пробу отбирали объемом 100 дм3. В каче-
MEASURES (Франция) [21]. Время измерения в за-
стве внутреннего стандарта использовали метку
242Pu 0.1 Бк, который вносили в водную пробу пе-
висимости от активности определяемых изотопов
ред химическими процедурами. Концентрирование
составляло от 1-2 до 24 ч. Пределы обнаружения не
изотопов Pu из 100-литровой исходной пробы по-
хуже 0.03 Бк, что соответствует содержанию 137Cs
РАДИОХИМИЯ том 65 № 5 2023
СОВРЕМЕННАЯ Р
АДИОЭКОЛОГИЧЕСКАЯ ОБСТАНОВКА
487
2 Бк/кг. При содержании 137Cs более 50 Бк/кг с ве-
после взрыва МЭД достигала 0.3 Р/ч, через 24 ч она
роятностью Р = 0.95 относительная погрешность
снизилась до 40000 мкР/ч [1], а далее также стре-
составляла не более 10%.
мительно снижалась по мере распада короткожи-
вущих продуктов взрыва. В 1990 г. распределение
РЕЗУЛЬТАТЫ
МЭД на технологической площадке было весьма
неоднородным: на навале составляла 50-65 мкР/ч,
на остальной территории площадки - преимуще-
На технологической площадке объекта
ственно 6-12 мкР/ч [3]. После сооружения насыпи
«Кристалл» полевые измерения летом 2012 г. вы-
над навалом в 1992 г., относительно повышенные
явили преобладание низкой МАД - от 0.04 до
МЭД 20-25 мкР/ч выявлены в 1993 г. на участке,
0.057 мкЗв/ч - и ее слабое повышение от 0.058 до
прилегающем к навалу с северо-восточной сто-
0.066 мкЗв/ч на северном (в т.ч. северо-западном,
роны [3]. Наличие этого загрязненного участка с
северо-восточном) подножье насыпи в виде узкой
мощностью амбиентного эквивалента дозы гам-
полосы (рис. 3). Согласно результатам радиометри-
ма-излучения (МАД) до 0.22 мкЗв/ч подтвердилось
ческих замеров, средняя МЭД в 2008 г. составляла
в 2002 г. [12]. В почвах было обнаружено высокое
8.6 мкР/ч при диапазоне от 7.0 до 11.5 мкР/ч, а в
содержание техногенных радионуклидов: актив-
2019 г. - 7.7 мкР/ч при диапазоне от 6 до 10 мкР/ч,
ность 137Cs до 11200, 239,240Pu до 21600, 241Am до
при этом их распределение на площадке было ана-
2800 Бк/кг, что превышает минимальные значения
логично распределению МАД в 2012 г.: слабо по-
активности для ТРАО в 1.1, 21.6 и 2.8 раз соответ-
вышенные МЭД, равные 9-10 мкР/ч, были харак-
ственно (табл. 1) [3, 4, 13, 22]. Наличие в грунтах
терны только для северного подножья насыпи, а на
трития подтверждалось результатами анализа сто-
остальной территории площадки значения МЭД со-
ков около погребенного навала: в них активность
ставляли всего 6-7 мкР/ч.
трития в 2002 г. составила 221 Бк/дм3 [2]. МЭД
всего в 20-25 мкР/ч не в полной мере отражала ре-
Изучение почв в 2012 и 2019 гг. показало прак-
альную степень загрязненности почв участка, при-
тически следовое (малое) содержание техногенных
легающего к навалу, что впервые было отмечено
радионуклидов в верхнем слое почв (0-5 см), за ис-
Собакиным П.И. [23]. Следует полагать, что грунты
ключением пробы, отобранной примерно в 80 м к
навала, ставшие недоступными для изучения после
северу от навала (табл. 1).
их засыпки в 1992 г., содержали еще большее ко-
В ходе полевых работ нами было обнаружено
личество техногенных радионуклидов, поскольку
множество водных стоков, вытекающих из-под на-
их МЭД 50-65 мкР/ч трехкратно превышали МЭД
сыпи. Результаты анализов активности трития и ра-
на загрязненном участке, прилегающем к навалу с
диостронция в пробах водных стоков из-под насы-
северо-восточной стороны. Эти вновь полученные
пи и из местных рек и ручьев показаны на рис. 4 и 5.
данные о содержании радионуклидов в почвах за-
Содержание радионуклидов в подземных рассолах
грязненного участка стали достаточным основани-
приведено в разделе обсуждения результатов.
ем для придания ПЯВ «Кристалл» статуса аварий-
ного взрыва [24, 25].
ОБСУЖДЕНИЕ РЕЗУЛЬТАТОВ
Загрязненный участок был погребен при нара-
щении глыбово-щебнистой насыпи в 2006 г. Таким
Реабилитационные мероприятия
образом, кардинальное улучшение радиоэкологи-
и радиоэкологическая обстановка
ческой обстановки на технологической площадке
на технологической площадке объекта
было достигнуто в результате проведения реабили-
«Кристалл»
тационных мероприятий - засыпки грунтов нава-
ла в 1992 г. и загрязненного участка в 2006 г. Но
В 1974 г. через 1 ч после взрыва «Кристалл» на
механизированная очистка растительного покрова с
появившемся на эпицентре навале мощность экспо-
частичным удалением верхнего слоя почв в том же
зиционной дозы гамма излучения (МЭД) оценива-
2006 г., направленная к снижению МЭД на техноло-
лась в 10-12 Р/ч, в 500 м от эпицентра через 2 ч
гической площадке, оценивается не так однозначно.
РАДИОХИМИЯ том 65 № 5 2023
488
АРТАМОНОВА и др.
1000
100
10
1
Ɍɟɯɧɨɥɨɝɢɱɟɫɤɚɹ
ɩɥɨɳɚɞɤɚ ɉəȼ
©Ʉɪɢɫɬɚɥɥª
1
4
2
5
3
6
Рис. 4. Объемная активность трития (Бк/дм3) в поверхностных стоках технологической площадки ПЯВ «Кристалл» и в
речной воде прилегающей территории в разные годы. Условные обозначения: 1 - 2000 г.; 2 - 2002 г.; 3 - 2008 г.; 4 - 2012-
2014 гг.; 5 - 2016 г.; 6 - 2018-2020 гг. Точки отбора проб см. рис. 1-3. Течение р. Улахан-Бысыттах от объекта «Кристалл» до
устья условно принято за ее низовье, а выше - за ее верховье. Течение р. Далдын выше устья р. Улахан-Бысыттах условно
принято за ее верховье, ниже - за ее низовье. Для сравнения приведены данные по активности трития в стоках технологи-
ческой площадки в 2002 г. [2], региональная фоновая активность трития в атмосферных осадках и в речной воде [26-33],
активность трития в рр. Колыма, Индигирка, Лена [26, 30], в рр. Вилюй, Марха [34].
Во-первых, собранный почвенно-растительный ма-
стилающих известняках и доломитах, укрытых мо-
териал был просто складирован и оставлен за пре-
хово-лишайниковым покровом редкостойной север-
делами технологической площадки; радиоэкологи-
ной тайги, МАД составляет всего 0.04-0.06 мкЗв/ч.
ческие последствия этого еще предстоит оценить.
Выявленное нами в 2012 и 2019 гг. относительное
Во-вторых, как показали результаты электротомо-
слабое повышение значений МАД (и МЭД) на се-
графических зондирований, нарушение раститель-
верном подножье уже наращенной современной
ного и почвенного покровов на технологической
насыпи в виде узкой полосы (рис. 3), по-видимому,
площадке привело к двукратному росту мощности
обусловлено краевой зоной погребенного загряз-
сезонно-талого слоя, заметному отеплению подсти-
ненного участка.
лающих пород [11], что на поверхности проявилось
Результаты изучения верхнего слоя почв в 2012
в виде развития полигонально-холмистого термо-
и 2019 гг. показали низкое содержание радионукли-
карстового микрорельефа.
дов в них, за исключением точки 3s, расположенной
Наши замеры показали, что в настоящее время
приблизительно в 80 м к северу от погребенного на-
на технологической площадке характерны низкие
вала (табл. 1, рис. 3). В почвах точки 3s в 2012 г.
МАД (0.04-0.066 мкЗв/ч), сравнимые с местным
выявлены заметные активности (Бк/кг): 137Cs 24.0,
радиационным фоном (рис. 3), поскольку на под-
90Sr 18, 239,240Pu 29.0, 238Pu 0.34, что было соответ-
РАДИОХИМИЯ том 65 № 5 2023
СОВРЕМЕННАЯ Р
АДИОЭКОЛОГИЧЕСКАЯ ОБСТАНОВКА
489
1
Рис. 5. Объемная активность 90Sr (Бк/дм3) в речной воде и поверхностных стоках технологической площадки ПЯВ
«Кристалл» в разные годы. Условные обозначения см. рис. 4. Точки отбора проб см. рис. 1-3. Для сравнения приведе-
ны региональная фоновая активность 90Sr в речной воде [29-33], активность 90Sr в рр. Яна, Колыма, Индигирка, Оленек,
Лена [29-31], в рр. Вилюй, Марха [34].
ственно в 5.8, 1.6, 76, 3.5 раз выше активности ради-
диоактивный распад изотопов, по нашему мнению,
онуклидов в остальных точках опробования. Здесь
является незначительным фактором.
же был обнаружен 241Am с активностью 4.5 Бк/кг. В
Выявлено, что активность 239,240Pu в почвах двух
2019 г. содержание 90Sr в верхнем слое почв замет-
точек из четырех в 2019 г. сохранилась на уровне
но снизилось: его активность в среднем стала мень-
2012 г. (табл. 1), и это дает основание заключить,
ше в 3.5 раза и его распределение по точкам стало
что формы их нахождения, по-видимому, более
более равномерным, а 137Cs вовсе не обнаружен
устойчивы, и изотопы Pu хуже поддаются водному
(<2 Бк/кг). В 2019 г. в почве точки 3s изотоп 241Am
переносу.
также не обнаружен. Суглинистый состав почв, от-
Постепенное снижение МЭД на площадке тоже
сутствие сильных ветров в теплое время (при отсут-
указывает на водный снос радионуклидов из верх-
ствии снежного покрова) дают основание считать
него слоя почв, что хорошо видно на примере узкой
ветровой снос радионуклидов незначительным.
полосы относительно повышенных МЭД на север-
Снижение активности 137Cs, 90Sr и 241Am в верхнем
ном подножье насыпи: здесь в 2012 г. МЭД состав-
слое почв, по нашему мнению, произошло в резуль-
ляли 10-11.5 мкР/ч, а в 2019 г. - всего 9-10 мкР/ч.
тате водного смыва радионуклидов за прошедший
Итак, на основании результатов изучения почв
семилетний период. Конечно, снижение активности
и радиометрических замеров можно заключить,
радионуклидов также происходит из-за их радиоак-
что, по-видимому, нарушение почвенного покрова
тивного распада, но поскольку сравниваемый нами
при механизированной очистке в 2006 г., усили-
временной отрезок в 7 лет существенно короче
ло эрозию почв и смыв радионуклидов из верхне-
периодов полураспада рассматриваемых радиону-
го слоя почв технологической площадки объекта
клидов (самый короткий T1/2 у 90Sr - 28.8 лет), ра-
«Кристалл». Вместе с тем низкие содержания ра-
РАДИОХИМИЯ том 65 № 5 2023
490
АРТАМОНОВА и др.
Таблица 1. Удельная активность радионуклидов в почвах площадки объекта «Кристалл» в разные годы по собствен-
ным и опубликованным данным, Бк/кг
1993 г. [3]
Проба
Место отбора 1993 г.
137Cs
90Sr
239+240Pu
60Co
241Am
Г-8*
Северное подножье навала, в 100 м от знака
11200
-
21600
2720
2800
эпицентра взрыва по азимуту 15º, загрязненный
участок (ныне погребено под насыпью)
Г-4*
В 60 м к северо-востоку от навала, в 150 м от знака
27
-
53
6.5
-
эпицентра взрыва по азимуту 30º, загрязненный
участок (ныне погребено под насыпью)
С-29
Технологическая площадка,
75
58
-
-
-
точное место неизвестно
С-28
Технологическая площадка,
41
51
-
-
-
точное место неизвестно
1999-2002 гг. [13]
Пробы
Технологическая площадка
-
-
830
-
-
2002 г. [4]
Пробы
Загрязненный участок к северо-востоку от
540-
240-800
-
43-400
120-1100
навала, 4 пробы (ныне погребено под насыпью)
2100
2001-2003 гг. [22]
Пробы
Около северного подножья насыпи
1520.6
-
-
-
-
(ныне погребено под насыпью)
2012 г.*
1s
Западное подножье навала (насыпи)
3.5
9
0.13
-
-
3s
В 80 м к северу от навала
24.0
18
29.0
-
4.5
4s
В 100 м к северо-востоку от навала
5.8
13
0.76
-
-
5s
Восточное подножье насыпи,
3.1
12
0.25
-
-
примерно в 60 м от навала
2019 г.*
1s
Западное подножье навала (насыпи)
<2.0
5.0
~0.07
-
-
2s
Западное подножье навала (насыпи)
<2.0
4.3
0.08
-
-
3s
В 80 м к северу от навала
<2.0
5.3
25.4
-
-
4s
В 100 м к северо-востоку от навала
<2.0
3.6
~0.03
-
-
5s
Восточное подножье насыпи,
<2.0
2.5
0.3
-
-
примерно в 60 м от навала
Критерии ТРАО, Бк/кг
10000
100000
1000
10000
1000
* Точки отбора показаны на рис. 3.
дионуклидов в верхнем слое почв наряду с мощно-
равненные к ТРАО, защищала их от активной эро-
стью амбиентного эквивалента дозы гамма-излуче-
зии. При сооружении насыпи рассчитывали, что в
ния, сравнимого с природным радиационным фо-
насыпи и под ней со временем восстановится мно-
ном, дают нам основание говорить об установлении
голетняя мерзлота за счет подтягивания подошвы
в настоящее время спокойной радиоэкологической
сезонно-талого слоя, тем самым появятся условия
обстановки на технологической площадке объекта
для долговременной надежной иммобилизации
радионуклидов в погребенных грунтах [1, 24, 35].
«Кристалл».
Но результаты зондирований методом электрото-
Радионуклиды в поверхностных стоках
мографии показали, что насыпь находится в талом
технологической площадки объекта «Кристалл»
состоянии [11]. Значит, насыпь не могла и не может
препятствовать водному переносу радионуклидов
Все эти годы глыбово-щебнистая насыпь высо-
из загрязненных грунтов. Кроме того, возможен
той до 20 м, перекрывающая грунты и почвы, при- выход радионуклидов из второго источника - цен-
РАДИОХИМИЯ том 65 № 5 2023
СОВРЕМЕННАЯ Р
АДИОЭКОЛОГИЧЕСКАЯ ОБСТАНОВКА
491
тральной зоны взрыва по ослабленной зоне вокруг
период с 2002 до 2008 г. произошло более резкое
боевой скважины [36].
снижение максимального значения активности три-
тия в стоках технологической площадки. В целом с
Известно, что еще в 2002 г. (за шесть лет до нача-
2002 до 2020 г. максимальная активность трития в
ла наших исследований) активность трития и 90Sr в
стоках из-под насыпи снизилась почти в 35 раз.
стоке из-под насыпи составляла 221 и 25.9 Бк/дм3, а
в рытвине ниже по склону - 26.4 и 4.7 Бк/дм3 соот-
Несмотря на разную выборку проб в разные
ветственно [2]. Отметим, что эта активность трития
годы, тенденция снижения активности трития про-
ниже уровня вмешательства (УВ) в питьевой воде,
явилась и в этом усредненном показателе. Средняя
равного 7600 Бк/кг, а активность 90Sr в 20-100 раз
активность трития в водных пробах технологиче-
ниже минимального значения активности, принято-
ской площадки в 2008, 2012, 2018, 2019, 2020 гг.
го для жидких РАО, равного 490 Бк/кг.
составила (Бк/дм3): 10.7 (5 проб), 8.6 (7 проб), 9.2
(2 пробы), 6.1 (13 проб), 6.3 (5 проб) соответствен-
В стоках, вытекающих во множестве из-под
но. Таким образом, в настоящее время активность
насыпи, нами в 2008 г. и последующие годы вы-
трития в поверхностных стоках технологической
явлено низкое содержание трития и радиострон-
площадки снизилась практически до местного фо-
ция. Активность трития в этих стоках была в
нового уровня, оцениваемого в 5.8-6.7 Бк/дм3.
280-1900 раз (в среднем в 1190 раз) ниже УВ.
В поверхностных условиях тритий находится
Активность 90Sr в этих стоках в 12-1225 раз (в
преимущественно в форме тритиевой воды 1H3HO
среднем в 312 раз) ниже УВ радиостронция, равно-
(3H2O) [37], что обеспечивает его высокую подвиж-
го 4.9 Бк/кг. Таким образом, в настоящее время три-
ность по сравнению с остальными техногенными
тий и 90Sr в стоках технологической площадки не
радионуклидами. Следует полагать, что в силу это-
представляют опасности для населения. Несмотря
го свойства водный перенос трития за прошедшие
на концентрирование изотопов Pu из крупнообъем-
годы мог идти с высокой интенсивностью и бес-
ных проб воды по 100 дм3, нам не удалось обнару-
препятственно, что, по-видимому, за годы, прошед-
жить их: в поверхностных стоках технологической
шие после взрыва, уже привело к убыли трития в
площадки активности 238,239Pu и 238Pu были ниже
источнике - в грунтах и почвах, погребенных под
10-6 Бк/дм3. Это согласуется с выводом об устой-
насыпью, следовательно, к уменьшению его содер-
чивой форме нахождения изотопов Pu и их низкой
жания в стоках из-под насыпи. Помимо этого, ак-
водоподвижности в почвах технологической пло-
тивность трития постоянно снижалась в результате
щадки, полученным на основе изучения проб почв.
естественного радиоактивного распада, поскольку
Активность трития в поверхностных стоках тех-
у него довольно короткий период полураспада T1/2 -
нологической площадки распределена неравномер-
12.3 года (почти в три раза короче, чем у 90Sr, 137Cs).
но, его максимальные активности в основном на-
По расчетам, активность трития, появившегося в
блюдаются в стоках, выходящих из-под юго-запад-
результате взрыва «Кристалл», из-за распада уже к
ного и северо-западного склонов насыпи. Ниже по
1987 г. уменьшилась вдвое, в 2008-2009 гг. осталось
течению активность трития в стоках быстро снижа-
около 15%, а к настоящему времени - всего около
ется практически до фонового уровня, по-видимо-
7.5% от первоначальной активности трития.
му, из-за разбавления: если в 2008 г. в стоке у насыпи
Нами в 2012-2020 гг. в стоках из-под насыпи
была установлена активность 27 Бк/дм3, то в ~50 м
было выявлено гораздо более низкое содержа-
ниже по склону у края технологической площадки
ние 90Sr, изменяющееся в пределах от 0.004 до
активность трития снизилась до 6.0-12.0 Бк/дм3. За
0.4 Бк/дм3, что в 12 и более раз ниже уровня вмеша-
все время изучения минимальная активность три-
тельства, принятого для питьевой воды (4.9 Бк/кг)
тия в 4 Бк/дм3 была установлена в 2012 г. в ручейке
(рис. 5). Активность 90Sr, равная 0.4 Бк/дм3, была
около северо-западной оконечности насыпи.
определена в 2018 г. в стоке из-под юго-западного
В 2008, 2012, 2018, 2019, 2020 гг. максимальная
склона насыпи, а в 2020 г. здесь же измерена близ-
активность трития в стоках из-под насыпи состави-
кая активность в 0.35 Бк/дм3, хотя в 2019 г. актив-
ла (Бк/дм3): 27, 18, 12, 11.9, 6.4 соответственно, т.е.
ность составила всего 0.004 Бк/дм3 (ниже в 100 раз)
видим неуклонное снижение активности трития. В
(рис. 5). Как уже отмечали, ни один радионуклид, в
РАДИОХИМИЯ том 65 № 5 2023
492
АРТАМОНОВА и др.
т.ч. радиостронций, не может сравниться с трити-
7
ем по способности мигрировать в поверхностных
6.5
1
условиях: следует предполагать, что механизм и
6
2
формы водного переноса 90Sr более сложные и за-
3
висят от множества факторов, и, как следствие, его
5.5
концентрации в водных стоках изменяются в более
5
широком диапазоне в разное время отбора.
4.5
Влияние поверхностных стоков технологической
4
площадки объекта «Кристалл»
0
0.5
1
1.5
2
2.5
3
Ɋɚɫɫɬɨɹɧɢɟ ɨɬ ɭɫɬɶɹ ɪ. ɍɥɚɯɚɧ-Ȼɵɫɵɬɬɚɯ, ɤɦ
на местную речную сеть
Рис. 6. Средняя объемная активность трития на техноло-
гической площадке объекта «Кристалл» (1) и объемная ак-
В 2019 г. при средней активности трития 6.1 ±
тивность трития в р. Улахан-Бысыттах (2) и ее левом при-
0.9 Бк/дм3 в поверхностных стоках технологиче-
токе в 1.2 км выше по течению от объекта «Кристалл» (3)
ской площадки активность трития в р. Улахан-
в 2019 г. (Бк/дм3). Штриховой линией показано местопо-
Бысыттах рядом с объектом «Кристалл» составила
ложение объекта «Кристалл», разделяющее реку на ее
условные верхнее и нижнее течения. Стрелкой показано
5.9 ± 0.8 Бк/дм3 при его одинаковой активности
направление течения р. Улахан-Бысыттах.
выше и ниже по течению (около устья) в 5.2 ±
нельзя объяснить вливанием поверхностного стока
0.6 Бк/дм3 (рис. 6). Следует отметить, за годы изуче-
р. Улахан-Бысыттах.
ния не было существенного различия в активности
трития в низовье и верховье р. Улахан-Бысыттах,
По нашему мнению, тритий в р. Далдын посту-
она была практически одинакова (рис. 4). В 2018 г.
пает, по-видимому, не только с поверхностным сто-
в р. Улахан-Бысыттах рядом с объектом «Кристалл»
ком р. Улахан-Бысыттах, но еще и с подземными
активность 90Sr составила 0.3 Бк/дм3 под местным
стоками из зоны взрыва. С предположением о под-
влиянием стоков с технологической площадки, в ко-
земном распространении трития из зоны взрыва (с
торых активность 90Sr достигала 0.4 Бк/дм3.
последующим поступлением в местные водотоки)
согласуется активность трития в 6.4 ± 0.7 Бк/дм3,
По-нашему мнению, в настоящее время ввиду
обнаруженная в безымянном мелком ручье - прито-
низкого содержания радионуклидов в поверхност-
ке р. Улахан-Бысыттах в 1.2 км выше по течению от
ных стоках технологической площадки их влияние
объекта «Кристалл»: она превышает среднюю ак-
на р. Улахан-Бысыттах слабое и локального мас-
тивность трития в стоках технологической площад-
штаба.
ки (6.1 Бк/дм3) и в р. Улахан-Бысыттах около своего
устья (5.2 Бк/дм3) (рис. 6).
Распространение радионуклидов в речной воде
прилегающей территории
В том же 2019 г. в р. Далдын в 10 км ниже устья
Улахан-Бысыттах нами была определена актив-
В 2019 г. активность трития в р. Далдын в 500 м
ность трития 8.2 Бк/дм3, а в руч. Полярный - ле-
выше устья р. Улахан-Бысыттах составила 5.9 ±
вом притоке р. Далдын - 7.1 Бк/дм3, что превыша-
0.8 Бк/дм3, а после вливания р. Улахан-Бысыттах
ет активности трития в р. Улахан-Бысыттах и его
на 500 м ниже устья р. Улахан-Бысытах выросла до
безымянном притоке. Эти пики активности трития,
7.5 ± 0.9 Бк/дм3. Но откуда это повышение актив-
по-нашему мнению, указывают на наличие подзем-
ности трития? Ведь в низовье р. Улахан-Бысыттах
ных путей распространения трития, приводящие к
подобным положительным вариациям его активно-
активность трития в 2019 г. составляла всего 5.2 ±
0.6 Бк/дм3. Тем более, р. Далдын - большая река,
сти в р. Далдын около устья р. Улахан-Бысыттах и
главный водоток в районе, и, по нашей оценке, ее
ниже по течению.
расход примерно в 15-20 раз превышает расход
Местная фоновая точка нами выбрана в верхо-
ее притока - р. Улахан-Бысыттах. Следовательно,
вье р. Далдын примерно в 9 км выше по течению
должно было происходить разбавление концентра-
от промзоны г. Удачного и самого города, а также
ций, и это слабое повышение активности трития
и от объекта «Кристалл», в 500 м выше устья пра-
РАДИОХИМИЯ том 65 № 5 2023
СОВРЕМЕННАЯ Р
АДИОЭКОЛОГИЧЕСКАЯ ОБСТАНОВКА
493
вого притока - р. Сытыкан. Такое местоположе-
реках Оленек, Яна, Индигирка, Колыма. За регио-
ние фоновой точки исключает возможное влияние
нальный фоновый уровень трития в атмосферных
поверхностных техногенных стоков г. Удачный и
осадках принята средняя объемная активность три-
объекта «Кристалл» (рис. 2). Лабораторные ана-
тия в атмосферных осадках по данным четырех
лизы подтвердили удачный выбор фоновой точ-
метеостанций (Верхоянск, Оленек, Тикси, Якутск)
ки - местная речная вода отличается особой хи-
[26-33, 38-43] (рис. 4). Аналитические работы этих
мической чистотой [36]. Вместе с тем местная
мониторинговых исследований проводили в лабо-
фоновая активность трития в 2019 г. составила
ратории НПО «Тайфун» ФС по гидрометеорологии
6.7 Бк/дм3, в другие годы изменялась в пределах от
и мониторингу окружающей среды РФ с высокой
5.8 до 6.7 Бк/дм3, т.е. она оказалась одного поряд-
достоверностью.
ка, как и в р. Улахан-Бысыттах, находящейся под
Активности трития в реках Колыма, Индигирка,
влиянием поверхностных стоков технологической
в дельте р. Лена близки между собой и, например, в
площадки объекта «Кристалл». Местная фоновая
2000 г. составили (Бк/дм3) 2.6, 3.2 и 2.9, в 2014 г. -
активность трития в речной воде примерно в 3 раза
2.0, 2.3 и 2.2 соответственно [26, 30]. В р. Марха
превышает региональный фоновый уровень трития в
в 400 км к юго-востоку от объекта «Кристалл» и
речной воде и атмосферных осадках, оцениваемые в
р. Вилюй активность трития также соответству-
2020-2021 г. на уровне 1.71-1.89 и 1.81-2.15 Бк/дм3
ет региональному фоновому уровню, в 2016 г. она
соответственно [33, 38] (рис. 4).
была даже немного ниже регионального фонового
Местная фоновая активность 90Sr в р. Далдын в
уровня (рис. 4) [34].
2020 г. составила 0.12 Бк/дм3, что в 3 раза ниже ак-
В зоне сплошной многолетней мерзлоты пита-
тивности 90Sr в стоках технологической площадки,
ние вышеназванных северных рек Якутии, включая
равной 0.35 Бк/дм3, но в 34 раза выше региональ-
р. Далдын с притоками, главным образом обеспе-
ного фонового уровня, равного 0.0035 Бк/дм3 [33,
чивается за счет талых вод и атмосферных осад-
38]. В 2018 г. вне зоны влияния поверхностных сто-
ков, доля грунтовых и подземных вод в их питании
ков технологической площадки, а именно в нижнем
очень мала. Следовательно, активность трития в
течении р. Сытыкан определена активность 90Sr в
фоновой речной воде формируется в основном за
0.2 Бк/дм3, превышающая региональный фоновый
счет трития, выпадающего с атмосферными осад-
уровень в 57 раз. Активность 90Sr в речной воде
ками, поскольку тритий в талых водах в целом все
района изучения колеблется в широком диапазоне
тот же атмосферный тритий, выпавший со снегом
значений и часто многократно превышает актив-
и накопленный за зиму в снежном покрове (рис. 7).
ность 90Sr в фоновых реках и других реках Якутии,
Близость значений активности трития в атмос-
удаленных от района ПЯВ «Кристалл» (рис. 5).
ферных осадках и фоновой речной воде, а также
По-нашему мнению, повышенная активность 90Sr
наличие положительной корреляционной связи
в местной речной воде обусловлена влиянием объ-
между этими показателями с коэффициентом 0.64
екта «Кристалл», но при этом влияние поверхност-
подтверждает заключение, что активность трития
ных стоков технологической площадки имеет ло-
в фоновой речной воде Севера Якутии формиру-
кальный характер, т.е. распространение 90Sr в мест-
ется главным образом за счет атмосферного три-
ной речной воде обусловлено другими процессами.
тия (рис. 7).
Фоновое содержание трития в атмосферных
Различие местного и регионального фонового
осадках на территории России по данным 2011 г.
уровней радионуклидов в речной воде
оценивалось в диапазоне 1.44-3.0 Бк/дм3 [44]. С
данными оценками согласуются мониторинговые
За региональный фоновый уровень трития и 90Sr
данные по метеостанциям Верхоянск, Оленек,
в речной воде нами принята средняя активность три-
Тикси, Якутск: средняя активность трития в атмос-
тия на трех мониторинговых гидропостах: в дельте
ферных осадках в 2011 г. составила 3.02 Бк/дм3, со
р. Лена (г/п Хабарова), реках Индигирка, Колыма,
временем она постепенно снизилась до 1.81 Бк/дм3
и средняя активность 90Sr на пяти мониторинго-
в 2020 г. (рис. 7) [26-33, 38-43]. Между тем, по
вых гидропостах: в дельте р. Лена (г/п Хабарова),
данным Степанова В.Е. и соавторов, в эти годы ак-
РАДИОХИМИЯ том 65 № 5 2023
494
АРТАМОНОВА и др.
тивность трития в атмосферных осадках г. Якутска
4
1
изменялась от 1.81 до 18.8 Бк/дм3 при среднем зна-
3.5
2
чении 9.7 Бк/дм3 [13], что существенно превышает
3
данные мониторинга. Возможно, широкий разброс
2.5
значений обусловлен весьма коротким временем
2
замера - всего в течение 180 с в 10 подходов для
1.5
каждой пробы: если бы авторы привели данные во-
1
производимости, это улучшило бы понимание их
0.5
результатов [13]. Вместе с тем, невозможно согла-
0
ситься с выводом авторов о космогенном происхож-
дении трития с активностью до 18.8 Бк/дм3 в атмос-
ферных осадках [13].
Рис. 7. Региональный фоновый уровень трития (Бк/дм3) в
Доля природного космогенного трития в атмос-
атмосферных осадках (1) и в речной воде (2) Республики
Саха (Якутия) за последние 15 лет наблюдений, по дан-
ферных осадках очень мала: до ядерных испытаний
ным ежегодных отчетов [26-33, 38-43].
его естественное содержание в дождевой воде коле-
балось от 0.5 до 4 ТЕ, или 0.06-0.48 Бк/дм3 при ТЕ
мы связываем с влиянием объекта «Кристалл», по-
0.12 Бк/дм3 [45] (и не может достигать 18.8 Бк/дм3).
скольку других местных источников трития в райо-
В настоящее время основную часть трития, цирку-
не нет (вдали от промышленных центров атомной
лирующего в атмосфере-гидросфере, составляют
промышленности).
остатки трития, поступившего в период ядерных
испытаний и крупных аварий на АЭС, а также опре-
Обсудим региональный фоновый уровень 90Sr и
деленная доля трития постоянно поступает со сбро-
его распространение в фоновых реках Якутии, по-
сами и выбросами штатно работающих объектов
тому что это поможет нам понять особенности рас-
атомной промышленности [45]. При отсутствии
пределения 90Sr в районе объекта ПЯВ «Кристалл».
новых аварийных поступлений содержание три-
В 2000-2021 гг. региональный фон 90Sr колебался в
тия в атмосфере-гидросфере со временем должно
пределах от 0.0031 до 0.005 Бк/дм3 [26-33, 38-43].
снижаться из-за распада остаточного трития ядер-
Активность 90Sr в реках Яна, Колыма, Индигирка
ных испытаний и аварийных поступлений, что мы
практическим идентична, и в 2014 г. в среднем
и видим в динамике изменения мониторинговых
она составляла 0.0036, 0.0036, 0.0039 Бк/дм3 [30].
данных, приведенных на рис. 7: региональная фо-
Диапазон активности 90Sr в р. Лена шире, чем в
новая активность трития в атмосферных осадках
вышеназванных трех реках, и средняя активность
Якутии постепенно, но неуклонно снижалась с
90Sr в 2014 г. составила 0.0044 Бк/дм3. Но от этих
3.3-3.4 Бк/дм3 в 2005-2006 гг. до 1.81-2.15 Бк/дм3
фоновых рек сильно отличается р. Оленек - сред-
в 2020-2021 гг. Следом также постепенно снижает-
няя активность 90Sr в ней почти в 2 раза выше, в
ся региональный фоновый уровень трития в речной
том же 2014 г. она составила 0.0088 Бк/дм3 (в 2012 г.
воде Якутии. Это показывает, что речная вода фор-
0.0084, в 2016 г. 0.0133 Бк/дм3) (рис. 5).
мируется в основном за счет атмосферных осадков
По нашему мнению, распределение активно-
и талых вод (Бк/дм3): в 2006 г. фоновый уровень
сти 90Sr в фоновых реках Якутии свидетельству-
трития составлял 3.1, в 2012 г. - 2.91, в 2020 г. - уже
ют о том, что его основным источником являются
только 1.89 (рис. 7) [29, 33, 40].
ландшафты, ставшие депонирующей средой гло-
Таким образом, местная фоновая активность три-
бальных выпадений, откуда 90Sr доставляется за
тия в речной воде района ПЯВ «Кристалл», равная
счет площадного смыва. Радиостронций не может
5.8-6.7 Бк/дм3, примерно в 3 раза превышает реги-
циркулировать беспрепятственно в системе гидрос-
ональный фоновый уровень трития в атмосферных
фера-атмосфера, как тритий, поскольку в первую
осадках и в речной воде (рис. 4). Следовательно, в
очередь на него действует испарительный барьер.
ней примерно 1/3 трития обеспечивается за счет по-
За период, когда не проводятся ядерные испытания
ступления с атмосферными осадками, а остальные
и нет аварийных выбросов, запасы 90Sr в атмосфере
2/3 части - локального происхождения, которые
иссякли и можно считать, что в настоящее время он
РАДИОХИМИЯ том 65 № 5 2023
СОВРЕМЕННАЯ Р
АДИОЭКОЛОГИЧЕСКАЯ ОБСТАНОВКА
495
с атмосферными осадками не выпадает. Вместе с
нальный фоновый уровень в речной воде? Каковы
тем, при глобальных выпадениях во время ядерных
основные пути их распространения?
испытаний и аварийных поступлений радионукли-
Вначале рассмотрим тритий, отличающийся
дов в атмосферу почвенно-растительный покров
безбарьерной способностью к водной миграции. В
стал накопителем долгоживущих радионуклидов,
первую очередь можно предположить, что источни-
в том числе 90Sr, откуда радиостронций смывает-
ком трития до сих пор являются местные ландшаф-
ся постепенно и поступает в водотоки. Реки Яна,
ты, аккумулировавшие его по пути движения ради-
Колыма, Индигирка расположены близко друг от
оактивного облака в день взрыва. Известно, что ра-
друга и в стороне от испытательных полигонов, по-
диоактивное облако шириной 400 м, оконтуренное
тому мы и наблюдаем в них практически идентич-
по изолинии МЭД 0.5 Р/ч (по состоянию через 24 ч
ную активность 90Sr. Большая протяженность и об-
после взрыва), двигалось вначале по азимуту 70°,
ширная площадь питания р. Лены обусловливают,
по-видимому, более широкий диапазон активности
затем развернулось на север, и оно было прослеже-
90Sr, но ее значения тоже в целом близки к активно-
но на расстоянии до 12 км [1, 24]. Следовательно,
сти 90Sr в реках Яна, Колыма, Индигирка (рис. 5).
главной депонирующей средой выпадений мог-
ли стать таежные ландшафты по левому борту
А р. Оленек расположена близко к Новоземельс-
кому испытательному полигону. Согласно доми-
р. Улахан-Бысыттах - вверх по реке от объекта
нирующим ветрам, бассейн р. Оленек, по нашему
«Кристалл». Но, согласно результатам наших ис-
предположению, чаще оказывался на пути движе-
следований, для верховья р. Улахан-Бысыттах не-
ния радиоактивных облаков при ядерных испытани-
характерно существенное повышение активности
ях на полигоне, и плотность выпадений в пределах
трития, установлено локальное повышение актив-
бассейна р. Оленек, по-видимому, был существенно
ности трития в безымянном мелком ручье в 1.2 км
выше; следовательно, площадной смыв 90Sr с ланд-
выше по течению от объекта «Кристалл» (рис. 6).
шафтов и формируемая им активность в р. Оленек
В настоящее время тритий в местных водотоках
выше, чем в вышеназванных реках. По нашему
распределен с небольшими вариациями, но в целом
мнению, р. Оленек необходимо было исключить из
довольно равномерно, независимо от положения
расчетов средней фоновой активности 90Sr в речной
точки отбора относительно технологической пло-
воде Якутии (из расчетов регионального фонового
щадки объекта «Кристалл» и предполагаемого пути
уровня).
следования радиоактивного облака (рис. 4). Значит,
Дополнительно нами рассмотрены активность
в настоящее время нет значимого сноса трития с та-
90Sr в р. Вилюй и его притоке р. Марха. В р. Вилюй
ежных ландшафтов бассейна р. Улахан-Бысыттах.
выше устья р. Марха активность 90Sr в 2012 г. соста-
Известно, что из радиоактивного облака сперва вы-
вила 0.005, в 2016 г. - 0.0039 Бк/дм3, что в целом со-
падают тяжелые и крупные частицы [1], а легкому
ответствует региональному фоновому уровню [34].
тритию в виде паров 1H3НO, по нашему мнению,
В р. Марха ниже устья р. Далдын активность 90Sr в
свойственна дальняя миграция и рассеяние в атмос-
2012 г. была немного выше регионального фоново-
фере. Выпадения трития, по-видимому, были весь-
го уровня и составила 0.0064 Бк/дм3, что, по мне-
ма незначительными, и к настоящему времени они
нию авторов, обусловлено влиянием стоков из зон
взрывов «Кристалл» и «Кратон-3», расположенных
практически исчезли вследствие радиоактивного
в бассейне р. Марха и его притока р. Далдын выше
распада и интенсивного смыва трития с поверхно-
по течению от места исследований [34].
сти ландшафтов за прошедший период со времени
взрыва.
Основные пути распространения радионуклидов
Что касается 90Sr, его водный смыв с местных
в речной воде района ПЯВ «Кристалл»
ландшафтов в речную систему, по-нашему мнению,
продолжается, и он может быть существенным
Каким образом формируется активность трития
даже в настоящее время по аналогии с бассейном
и 90Sr в местных водотоках, превышающая регио-
р. Оленек. К сожалению, ограниченный объем дан-
РАДИОХИМИЯ том 65 № 5 2023
496
АРТАМОНОВА и др.
ных нам пока не дает возможности оценить вклад
1000
1
площадного смыва 90Sr с местных ландшафтов,
2
особенно в пределах бассейна р. Улахан-Бысыттах,
3
4
в общую активность 90Sr в местной речной воде.
Между тем, в геологической среде района раз-
100
вита сложная система тектонических разломов
(рис. 2), есть талики под крупными водотоками,
как р. Далдын (данные Климовского и Готовцева,
1994 г.). С применением зондирований методом
10
электротомографии выявлено, что в окрестностях
объекта «Кристалл» многолетняя мерзлота пре-
терпела локальную деградацию [11]. Для геологи-
ческой среды района характерна сложная система
1
подземных водоносных горизонтов, насыщенная
2000
2005
2010
2015
2020
субнапорными межмерзлотными водами и напор-
Ƚɨɞɵ
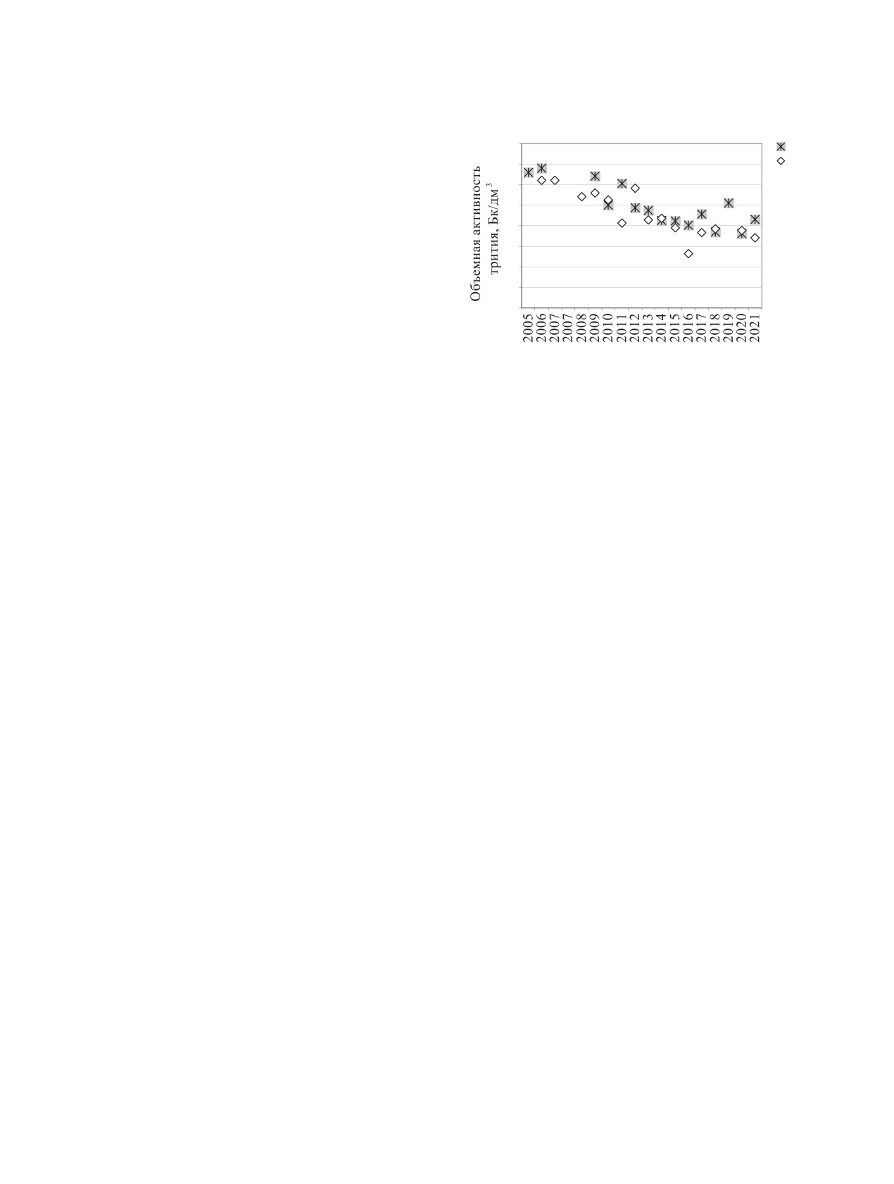
Рис. 8. Объемная активность трития в подземных рас-
ными криопэгами и подмерзлотными подземными
солах, поступавших в карьер и рудник кимберлитовой
рассолами [46].
трубки «Удачная» в разные годы, Бк/дм3. Условные зна-
Как отмечали выше, вариации активности три-
ки: 1 - наши данные, 2 - данные Касаткина В.А. [12], 3 -
тия в ручье-притоке р. Улахан-Бысыттах, также в
данные Голубова Б.Н. [2], 4 - данные Степанова В.Е. [13].
р. Далдын около устья р. Улахан-Бысыттах мож-
в подземных рассолах, поступающих в рудник труб-
но объяснить влиянием подземных стоков из зоны
ки «Удачная», значительно уменьшилась: по-види-
взрыва. Активность трития в 6.7 Б/дм3 на местной
мому, интенсивность распространения трития из
фоновой точке в ~9 км выше по течению от объек-
зоны взрыва по естественным водопроницаемым
та «Кристалл», сравнимую со средней активностью
структурам в геологической среде со временем ос-
трития (6.1 Бк/дм3) в стоках технологической пло-
лабевает. По нашему мнению, это может быть из-за
щадки, можно объяснить только распространением
его естественного радиоактивного распада. Наши
трития с подземными водами и последующим по-
данные 2012 и 2018 гг. согласуются с опубликован-
ступлением в поверхностный водоток. В подзем-
ными данными 2013 г. [13]. В подземных рассолах
ных рассолах, поступающих в карьер (и в рудник)
также видна тенденция снижения активности 90Sr,
кимберлитовой трубки «Удачная», расположенный
но, по-видимому, более медленного, чем у трития.
в 4 км от объекта «Кристалл», впервые был выявлен
тритий в количестве 61 и 41.8 Бк/дм3 в 2002 г. двумя
Подземные рассолы, содержащие радионукли-
независимыми московскими лабораториями [2, 12]
ды в той или иной мере, постоянно откачивали из
(рис. 8). В подземных рассолах карьера и гидроге-
карьера (и рудника) с последующим размещением
ологических скважинах рядом с карьером в 2002 г.
путем закачки через нагнетательные скважины в
также был обнаружен 90Sr с активностью 1.6-18.8
межмерзлотные пласты на специально отведен-
и 5.7-8.5 Бк/дм3 [2]. Этот факт подкрепляет нашу
ных трех водораздельных участках (рис. 2). Вблизи
точку зрения о подземном пути распространения
участка закачки Октябрьский: в двух искусственных
радионуклидов в местной геологической среде. В
водоемах в 2012 г. и в нижнем течении р. Сытыкан в
подземных рассолах, поступающих в карьер и руд-
2018 г. нами обнаружена активность трития, равная
ник, нами также были выявлены эти радионуклиды:
10, 15 и 9.6 Бк/дм3 соответственно, что превышало
активность трития в 2008 г. составила 146 и 117, в
среднюю активность трития в поверхностных сто-
2018 г. - 9.9-13.4, в 2019 г. - 3.6-8.2 Бк/дм3; актив-
ках технологической площадки, равную 8.6 в 2012 г.
ность 90Sr в 2008 г. составила 0.14-1.47, в 2012 г. -
и 6.9 Бк/дм3 в 2018 г. Активность радиостронция в
0.37-3.9, в 2018 г. - 0.1-0.2 Бк/дм3 (рис. 8) (вопрос
обоих водоемах в 2012 г. составила по 0.02 Бк/дм3,
о содержании радионуклидов в подземных рассо-
а в р. Сытыкан в 2018 г. - 0.2 Бк/дм3. Известно, что
лах района нами более подробно будет обсуждать-
ся в отдельной статье). Как видим, по сравнению с
высокоминерализованные подземные рассолы, за-
2002-2008 гг. в настоящее время активность трития
качанные в многолетнемерзлые породы, образуют
РАДИОХИМИЯ том 65 № 5 2023
СОВРЕМЕННАЯ Р
АДИОЭКОЛОГИЧЕСКАЯ ОБСТАНОВКА
497
линзы растущих таликов, «разъедая» лед во вмеща-
Бысыттах и Далдын. Данные изучения местной
ющих мерзлых породах [47]. По нашему мнению,
речной воды подтвердили этот вывод.
развитие этих техногенных таликов способствует
Местный фоновый уровень 3Н в речной воде в
распространению не только самих захороненных
3 раза превышает региональный фоновый уровень.
рассолов, но и радионуклидов, содержащихся в
До 1/3 трития в местной речной воде обусловлено
них. По-видимому, повышенные активности трития
поступлением трития из атмосферных осадков, а
и 90Sr в водоемах и в р. Сытыкан (рис. 2) обуслов-
источником остального трития, распространяюще-
лены вероятнее всего поступлением радионуклидов
гося в настоящее время в основном подземным пу-
из подземных рассолов, захороненных на участке
тем, является объект «Кристалл».
Октябрьский, нежели их переносом из зоны взры-
Местный фоновый уровень 90Sr в речной воде
ва, расположенной в ~10 км от точек отбора проб.
до 34 раз превышает региональный фоновый уро-
Постепенное медленное просачивание трития и
вень. Содержание 90Sr в местной речной воде рас-
пределено неравномерно, оно обусловлено смы-
90Sr с подземными водами (рассолами), в т.ч. с за-
вом радионуклида с поверхности местных ланд-
хороненными в межмерзлотные пласты рассолами,
шафтов и поступлением с подземными рассолами.
может обеспечивать присутствие радионуклидов в
Обнаружение трития и 90Sr в подземных рассолах,
местных водотоках, формируя их общий уровень в
поступающих в карьер и рудник кимберлитовой
местной речной воде, превышающий региональный
трубки «Удачная», подкрепляет вывод о подзем-
фоновый уровень.
ном пути распространения радионуклидов. Закачка
дренажных рассолов в межмерзлотные пласты на
ЗАКЛЮЧЕНИЕ
водораздельных участках могла способствовать их
более широкому распространению.
Грунты и почвы на эпицентре взрыва «Кристалл»,
Необходимо подчеркнуть, что в настоящее время
погребенные под глыбово-щебнистой насыпью,
все измеренные в поверхностной воде активности
остаются потенциальными источниками для водной
трития в 280-1900, 90Sr - в 12-1200 раз ниже уровня
миграции радионуклидов. Механизированная
очистка растительного покрова вокруг насыпи в
вмешательства для питьевой воды и не представля-
ют опасности для населения и работников горнодо-
2006 г. нарушила почвенный покров, что усилило
не только деградацию многолетней мерзлоты, но
бывающих компаний. Вариации активности радио-
и, по-видимому, эрозию почв и водную миграцию
нуклидов в местной речной воде представляют ин-
терес только в научном плане для анализа геоэколо-
радионуклидов: в верхнем слое почв по данным
2019 г. содержание 137Cs стало меньше 2 Бк/кг, а
гической обстановки в районе объекта «Кристалл».
содержание 90Sr составило от 2.5 до 5.3 Бк/кг. На
Вместе с тем, нужно подчеркнуть, что почвен-
основании того, что в верхнем слое почв содержание
но-растительный материал, собранный при очистке
239,240Pu практически не изменилось за период с 2012
в 2006 г. и складированный за пределами техноло-
по 2019 г. и в 2019 г. составило 0.3-25.4 Бк/кг и что
гической площадки, в полной мере еще не изучен
изотопы 239,240Pu в поверхностных стоках техноло-
и радиоэкологические последствия подобного скла-
гической площадки не обнаружены (<10-6 Бк/дм3),
дирования требуют отдельной оценки.
нами сделан вывод об устойчивой форме нахожде-
ния 239,240Pu в грунтах и почвах и их низкой водопод-
ВКЛАД АВТОРОВ
вижности.
В поверхностных стоках технологической пло-
Постановка задачи, организация исследова-
щадки активность трития со временем неуклонно
ний, полевые работы, литературный обзор, на-
уменьшается, в них в настоящее время содержание
писание статьи, подготовка рисунков, выводы -
радионуклидов низкое: 3Н не более 12, 90Sr не бо-
Артамонова С.Ю., проведение аналитических
лее 0.4 Бк/дм3, а изотопы 239,240Pu не обнаружены
работ, участие в написании раздела «Методы и
(<10-6 Бк/дм3). На основании этого сделан вывод
материалы», обсуждение статьи - Бондарева Л.Г.,
об их слабом и локальном влиянии на реки Улахан-
Мельгунов М.С., Симонова Г.В.
РАДИОХИМИЯ том 65 № 5 2023
498
АРТАМОНОВА и др.
БЛАГОДАРНОСТИ
5.
Чевычелов А.П., Собакин П.И., Молчанова И.В. //
Почвоведение. 2006. № 12. С. 1512-1519.
6.
Gedeonov A.D., Petrov E.R., Kuleshova I.N.,
Аналитические работы проведены в ЦКП мно-
Savopulo M.L., Shkroev V.Yu., Alexeev V.G.,
гоэлементных и изотопных исследований СО РАН
Arkhipov V.I., Burtsev I.S. // J. Environ. Rad.
2002.
при ИГМ СО РАН (г. Новосибирск), в ТомЦКП СО
Vol. 60, N 1-2. P. 221-234.
РАН (г. Томск), АЦ СФУ (г. Красноярск).
7.
Рамзаев В.П., Травникова И.Г., Басалаева Л.Н.,
Брук Г.Я., Голиков В.Ю., Мишин А.С., Браун Дж.Е.,
ФОНДОВАЯ ПОДДЕРЖКА
Странд П. // Радиационная гигиена. 2008. Т. 1, № 2.
С. 14-19.
Работа выполнена по государственному за-
8.
Артамонова С.Ю., Бондарева Л.Г., Антонов Е.Ю.,
данию ИГМ СО РАН
(№122041400237-8,
Кожевников Н.О. // Геоэкология, инженерная ге-
ология, гидрогеология, геокриология. 2012. № 2.
№122041400193-7) и при поддержке гранта РФФИ
С. 143-158.
№ 18-45-140020 «Особенности ядерного техноге-
9.
Артамонова С.Ю., Шеин А.Н., Потапов В.В.,
неза на примере объекта мирного подземного ядер-
Кожевников Н.О., Новикова П.Н., Ушницкий В.Е. //
ного взрыва «Кристалл»» (рук. Артамонова С.Ю.),
Изв. Томского политехн. ун-та. Инжиниринг георе-
по государственному заказу №
43
(76-08),
23
сурсов. 2020. Т. 331, № 12. С. 158-172.
(105-12), Ф.2019.473808 в рамках программы
10. Потапов В.В., Антонов Е.Ю., Шеин А.Н.,
«Обеспечение экологической безопасности, раци-
Артамонова С.Ю., Кожевников Н.О.
//
онального природопользования и развитие лесного
ИНТЕРЭКСПО ГЕО-Сибирь. Недропользование.
хозяйства РС (Я)» на 2008-2012 гг., 2018 - 2022 гг.
Горное дело. Направления и технологии поиска,
разведки и разработки месторождений полезных
ископаемых. Экономика. Геоэкология: Матер. XVI
КОНФЛИКТ ИНТЕРЕСОВ
Междунар. конф. Новосибирск, 20-24 апреля 2020 г.
Новосибирск: Изд-во ИНГГ СО РАН, 2020. С. 556-
Авторы заявляют об отсутствии конфликта ин-
564.
тересов.
11. Artamonova S., Shein A., Potapov V., Kozhevnikov N.,
СПИСОК ЛИТЕРАТУРЫ
Ushnitsky V. // Energies. 2022. Vol. 15, N 1. Article 301.
12. Касаткин В.В., Ильичев В.А., Мясников К.В.,
1.
Мирные ядерные взрывы: обеспечение общей и ра-
Клишин В.И., Мамонов Б.П. // Радиационная без-
диационной безопасности при их проведении / кол.
опасность Республики Саха (Якутия): Матер. II
авторов под рук. проф. В.А. Логачева. М.: ИздАТ,
Республиканской
научно-практической
конф.
2001. 512 с.
Якутск, 2004 г. Якутск: Изд-во СО РАН, 2004. С. 82-
2.
Голубов Б.Н., Сапожников Ю.А., Горальчук А.В. //
100.
Радиационная безопасность Республики Саха
13. Степанов В.Е., Игнатьева Г.А., Осипов В.Ю.,
(Якутия): Матер. II Республиканской научно-прак-
Далбаева Е.А. // Радиохимия. 2017. Т. 59, № 3.
тической конф. Якутск, 2004 г. Якутск: Изд-во
С. 285-288.
СО РАН, 2004. С. 182-192. https://disk.yandex.ru/i/
14. Артамонова С.Ю. // Астраханский вестник экологи-
gBqGQduEF081cw, дата обращения 14.01.2023)
ческого образования. 2019. № 4 (52). С. 4-13.
3.
Бурцев И.С., Колодезникова Е.Н. Радиационная об-
15. Бондарева Л.Г., Помозова Н.В. // Журн. Сиб. федер.
становка в алмазоносных районах Якутии. Якутск:
ун-та. Сер.: Химия. 2009. Т. 2, № 1. С. 56-60.
ЯНЦ СО РАН, 1997. 52 с. (https://yadi.sk/i/Kmp2f2-
16. Bondareva L., Schultz M.K. // Environ. Sci. Pollut. Res.
scGdTLw, дата обращения 14.01.2023)
Int. 2015. Vol. 22, N 22. P. 18127-18136.
4.
Рамзаев В.П., Голиков В.Ю., Мишин А.С.,
17. МИ - Методика измерений удельной активности
Травникова И.Г., Кадука М.В., Кравцова О.С.,
стронция-90 (90Sr) в пробах почв, грунтов, дон-
Брук Г.Я., Кайдановский Г.Н., Басалаева Л.А.,
ных отложений и горных пород бета-радиометри-
Гедеонов А.Д., Булатенков Ю.В., Петровский В.В.,
ческим методом с радиохимической подготовкой.
Королева Т.М., Странд П., Браун Дж.
//
Номер в Федеральном реестре ФР.1.40.2013.15383,
Радиационная безопасность Республики Саха
Свидетельство об аттестации 40181.3Г175/01.00294-
(Якутия): Матер. II Республиканской научно-практи-
2010.
ческой конф. Якутск, 2004 г. Якутск: Изд-во СО РАН,
18. МИ
- Методика измерений объемной активно-
2004. С. 123-133.
сти стронция-90
(90Sr) в пробах природных вод
РАДИОХИМИЯ том 65 № 5 2023
СОВРЕМЕННАЯ Р
АДИОЭКОЛОГИЧЕСКАЯ ОБСТАНОВКА
499
(пресных и минерализованных) бета-радиометри-
29. Государственный доклад о состоянии и охране
ческим методом с радиохимической подготовкой.
окружающей среды Республики Саха (Якутия) в
Номер в Федеральном реестре ФР.1.40.2014.18554,
2012 году. Якутск, 2013. 301 с. (https://minpriroda.
Свидетельство № 40074.4Ж212/01.00294-2010 от 30
sakha.gov.ru/doklady-o-sostojanii-okruzhajuschej-
июня 2014 г.
sredy, дата обращения 14.01.2023)
19. МИ - Методика измерений объемной активности
30. Государственный доклад о состоянии и охране
изотопов плутония (238Pu, 239+240Pu) в пробах природ-
окружающей среды Республики Саха (Якутия) в
ных вод альфа-спектрометрическим методом с ра-
2014 году. Якутск, 2015. 444 с. (https://minpriroda.
диохимической подготовкой. Номер в Федеральном
sakha.gov.ru/doklady-o-sostojanii-okruzhajuschej-
реестре ФР.1.40.2013.15394, Свидетельство об атте-
sredy, дата обращения 14.01.2023)
стации 40073.3Г185/01.00294-2010.
31. Государственный доклад о состоянии и охране
20. МИ - Методика измерений удельной активности
окружающей среды Республики Саха (Якутия) в
2016 году. Якутск, 2017. 631 с. (https://minpriroda.
изотопов плутония (238Pu, 239+240Pu) в пробах почв,
sakha.gov.ru/doklady-o-sostojanii-okruzhajuschej-
грунтов, донных отложений и горных пород аль-
sredy, дата обращения 14.01.2023)
фа-спектрометрическим методом с радиохимиче-
32. Государственный доклад о состоянии и охране
ской подготовкой. Номер в Федеральном реестре
окружающей среды Республики Саха (Якутия) в
ФР.1.40.2013.15395, Свидетельство об аттестации
2018 году. Якутск, 2019. 669 с. (https://minpriroda.
40181.3Г186/01.00294-2010.
sakha.gov.ru/doklady-o-sostojanii-okruzhajuschej-
21. Melgunov M.S., Gavshin V.M., Sukhorukov F.V.,
sredy, дата обращения 14.01.2023)
Kalugin I.A., Bobrov V.A. // Chem. Sustain. Develop.
33. Государственный доклад о состоянии и охране
2003. Vol. 11, N 6. P. 859-870.
окружающей среды Республики Саха (Якутия) в
22. Афанасьев В.В., Мордосов И.И., Степанов В.Е.,
2020 году. Якутск, 2021. 677 с. (https://minpriroda.
Колодезников В.Е.
//
Радиационная безопас-
sakha.gov.ru/doklady-o-sostojanii-okruzhajuschej-
ность Республики Саха (Якутия): Матер.
sredy, дата обращения 14.01.2023)
II Республиканской научно-практической конф.
34. Радиационная обстановка на территории России и
Якутск, 2004 г. Якутск: Изд-во СО РАН,
2004.
сопредельных государств в 2016 г.: ежегодник ФГБУ
С. 223-231.
НПО «Тайфун». Обнинск, 2017. 398 с. (https://www.
23. Собакин П.И., Чевычелов А.П., Ушницкий В.Е. //
rpatyphoon.ru/upload/medialibrary/130/ezhegodnik_
Радиационная биология. Радиоэкология. 2004. Т. 44,
ro_2016.pdf, дата обращения 14.01.2023)
№ 3. С. 283-288.
35. Лобанов В.В., Мищенко Ю.В., Целлер Е.В.
//
24. Киселев В.В., Бурцев И.С. Ликвидация последствий
Радиационная безопасность Республики Саха
аварийных подземных ядерных взрывов в зоне мно-
(Якутия): Матер. II Республиканской научно-практи-
голетней мерзлоты. Якутск: Изд-во ЯНУ СО РАН,
ческой конф. Якутск, 2004 г. Якутск: Изд-во СО РАН,
1999. 148 с. https://disk.yandex.ru/i/J0PHqSdWs0woag,
2004. С. 100-107.
дата обращения 14.01.2023
36. Артамонова С.Ю., Ушницкий В.Е., Троицкий Д.Ю.,
25. Мясников К.В., Касаткин В.В., Ильичев В.А.,
Шуваева О.В., Полякова Е.В.
// ИНТЕРЭКСПО
Ахунов В.Д.//
Труды
Междунар.
конф.
ГЕО-Сибирь. Недропользование. Горное дело.
«Радиоактивность при ядерных взрывах и авариях».
Направления и технологии поиска, разведки
М., 24-26 апреля 2000 г. СПб.: Гидрометеоиздат,
и разработки месторождений полезных иско-
2000. С. 35.
паемых. Экономика. Геоэкология: Матер. XVI
26. Государственный доклад о состоянии и охране
Междунар. конф. Новосибирск, 20-24 апреля 2020 г.
окружающей среды Республики Саха (Якутия) в
Новосибирск: Изд-во ИНГГ СО РАН, 2020. С. 298-
2000 году. Якутск, 2001. 104 с. (https://disk.yandex.
310.
(https://www.elibrary.ru/item.asp?id=44165954,
ru/d/Ik_Hr38ksgWZHQ, дата обращения 15.01.2023)
дата обращения 14.01.2023)
27. Государственный доклад о состоянии и охране
37. Рихванов Л.П. Радиоактивные элементы в окружаю-
окружающей среды Республики Саха (Якутия) в
щей среде и проблемы радиоэкологии: учебное по-
2002 году. Якутск, 2003. 43 с. (https://disk.yandex.
собие. Томск: STT, 2009. 430 с.
ru/d/Ik_Hr38ksgWZHQ, дата обращения 15.01.2023)
38. Государственный доклад о состоянии и охране
28. Государственный доклад о состоянии и охране
окружающей среды Республики Саха (Якутия) в
окружающей среды Республики Саха (Якутия) в
2021 году. Якутск, 2022. 776 с. (https://minpriroda.
2008 году Якутск, 2009. 254 с. (https://disk.yandex.
sakha.gov.ru/doklady-o-sostojanii-okruzhajuschej-
ru/d/Ik_Hr38ksgWZHQ, дата обращения 14.01.2023)
sredy, дата обращения 14.01.2023)
РАДИОХИМИЯ том 65 № 5 2023
500
АРТАМОНОВА и др.
39. Государственный доклад о состоянии и охране
43. Государственный доклад о состоянии и охране
окружающей среды Республики Саха (Якутия) в
окружающей среды Республики Саха (Якутия) в
2005 году. Якутск, 2006. 164 с. (https://disk.yandex.
2019 году. Якутск, 2020. 678 с. (https://minpriroda.
ru/d/Ik_Hr38ksgWZHQ, дата обращения 15.01.2023)
sakha.gov.ru/doklady-o-sostojanii-okruzhajuschej-
40. Государственный доклад о состоянии и охране
sredy, дата обращения 14.01.2023)
окружающей среды Республики Саха (Якутия) в
44. Поляков В.А., Пятницкий Н.В. // Разведка и охрана
2006 году. Якутск, 2007. 358 с. (https://disk.yandex.
недр. 2011. № 8. С. 39-44.
ru/d/Ik_Hr38ksgWZHQ, дата обращения 15.01.2023)
45. Ливанцова С.Ю., Снакин В.В. // Жизнь Земли. 2014.
41. Государственный доклад о состоянии и охране
Т. 35-36. С. 261-269.
окружающей среды Республики Саха (Якутия) в
46. Алексеев С.В. Криогидрогеологические системы
2007 году. Якутск, 2008. 209 с. (https://disk.yandex.
Якутской алмазоносной провинции. Новосибирск:
ru/d/Ik_Hr38ksgWZHQ, дата обращения 15.01.2023)
Гео, 2009. 319 с.
42. Государственный доклад о состоянии и охране
окружающей среды Республики Саха (Якутия) в
47. Дроздов А.В. Природные и техноприродные ре-
2013 году. Якутск, 2014. 329 с. (https://minpriroda.
зервуары промышленных стоков в криолитозоне (на
sakha.gov.ru/doklady-o-sostojanii-okruzhajuschej-
примере Якутской части Сибирской платформы).
sredy, дата обращения 14.01.2023)
Якутск: СВФУ, 2011. 416 с.
Modern Radioecological Situation at the Site of the Peaceful
Underground Nuclear Explosion «Crystal»
and Radionuclides in the Surface Waters
of the Adjacent Territory (Western Yakutia)
S. Yu. Artamonovaa,*, L. G. Bondarevab, M. S. Melgunova,
G. V. Simonovac
a Sobolev Institute of Geology and Mineralogy SB RAS,
Novosibirsk, 630090 Russia
b Erissman Federal Scientific Center for Hygiene, Mytishchi, Moscow oblast, 141014 Russia
c Insitute of Monitoring of Climatic and Ecological Systems SB RAS, Tomsk, 634055 Russia
*e-mail: artam@igm.nsc.ru
Received: March 22, 2023, accepted April 21, 2023, accepted April 28, 2023
The radioecological situation at the site of the peaceful underground nuclear explosion «Crystal» after removal
land cover and installation of the artificial cover of rock from nearby quarry above the epicenter is considered.
In 2012 the ambient dose equivalent rate of gamma radiation varied from 0.04 to 0.066 μSv/h, in 2019 the
content of radionuclides in soils was (Bq/kg): 90Sr 2.5-5.3, 239,240Pu 0.03-25.4, 137Cs <2.0. In 2018-2020
the activity of radionuclides in surface water was (Bq/dm3): in runoff from under the artificial cover 3H 4-12,
90Sr 0.004-0.4, 239,240Pu <10-6, in local river water 3H 4-10.2, 90Sr 0.004-0.3. At present, the impact of surface
runoff from the «Crystal» site on the river network is assessed as insignificant. No more than 1/3 of 3H in the
local river water comes with precipitation, and the rest of 3H comes from the «Crystal» explosion zone, mainly
by an underground route. At least 91-96% of 90Sr in the local river water is due to the «Crystal» explosion: part
of it comes from the explosion zone by an underground route, part is washed off from the surface of landscapes.
Keywords: surface waters, underground brines, underground nuclear explosion, special radioactive waste,
geological environment, radionuclides, tritium, radiostrontium, Yakutia
РАДИОХИМИЯ том 65 № 5 2023