РАДИОХИМИЯ, 2023, том 65, № 5, с. 466-473
УДК 546.42
МИГРАЦИЯ И ПРОФИЛЬ 137Cs В ДОННЫХ
ОТЛОЖЕНИЯХ ГЛУБОКИХ И ПРОТОЧНЫХ ОЗЕР
СЕВЕРО-ЗАПАДА РОССИИ
© 2023 г. Н. А. Бакунов, Д. Ю. Большиянов, А. О. Аксенов*
Арктический и Антарктический научно-исследовательский институт,
199397, Санкт-Петербург, ул. Беринга, д. 38
*е-mail: aksenov2801@gmail.com
Поступила в редакцию 20.03.2023, после доработки 05.07.2023, принята к публикации 12.07.2023
Представлена оценка современного загрязнения донных отложений (ДО) озерно-речных систем
цезием-137, происходящим из глобальных выпадений и аварийного выброса с ЧАЭС. Были
исследованы ДО проточных озер из Северо-Запада России. Озеро Копанское, расположенное к
югу от Финского залива, находится на следе выпадения «чернобыльского» 137Cs (~37 кБк/м2),
тогда как другие озера - Ладожское, Суходольское, Вуокса, Имандра на его периферии в Карелии
и на Кольском полуострове - загрязнены преимущественно глобальным
137Cs. Определены
плотность загрязнения 137Cs дна озер (кБк/м2), распределение 137Cs в профиле донных отложений,
коэффициенты диффузии (D) 137Cs в ДО и содержание обменной химической формы радионуклида.
Загрязнение ДО озер 137Cs формировалось под влиянием седиментации взвеси с 137Cs, сорбции 137Cs
ДО и диффузии. При седиментации ≥ 3 мм/год концентрация 137Cs повышалась от верхних к нижним
слоям керна (озера Вуокса, Экостровская Имандра), отражая постепенный процесс миграции 137Cs
в толщу отложений. Противоположный тренд концентрации 137Cs наблюдался в ДО озер Ладожское
и Суходольское при седиментации ≤0.5 мм/год. Здесь диффузия 137Cs с D = (0.5-6.2)× 10-8 см2
обусловливала медленный перенос радионуклида в толщу грунтов дна; в верхнем слое керна 0-5 см
содержался основной запас 137Cs. В ДО оз. Суходольское только от 14.4 до 20% поглощенного 137Cs
находилось в обменной химической форме, извлекаемой в раствор 1 М NH4 Aс.
Ключевые слова: 137Cs, озера, донные отложения, запас 137Cs, сорбция, диффузия.
DOI: 10.31857/S003383112305009X, EDN: XTJWYB
ВВЕДЕНИЕ
носили преимущественно фрагментарный харак-
тер. Выявлена высокая чувствительность наземных
137Cs является искусственным радионуклидом
и водных экосистем Севера к загрязнению хими-
из состава продуктов ядерного деления урана и
ческими и радиоактивными веществами [4]. Здесь
плутония с полупериодом распада Тфиз = 30 лет.
даже низкие выпадения 137Cs от «чернобыльской»
Загрязнению геосферы Земли 137Cs глобальных
аварии вызвали временные ограничения на употре-
выпадений (1961-1964 гг.) более 70 лет, тогда как
локальному загрязнению северного полушария
бление местным населением продуктов питания от
«чернобыльским» 137Cs 37 лет. Основной массив
традиционных объектов промысла. Размещение на
эмпирических данных загрязнения вод, донных
плавучих платформах АЭС в Арктике и строитель-
отложений и гидробионтов 137Cs получен для сред-
ство модульных АЭС наземного базирования для
неширотного пояса страны на следах промышлен-
арктических районов повышают актуальность изу-
ных аварий с выходом 137Cs в окружающую среду
чения закономерностей миграции ИРН в водоемах
137Cs [1-3]. Менее изученными в гидрологическом
и радиологическом отношении оказались пресно-
и прогнозов переноса радионуклидов в экосисте-
водные водоемы высоких широт, где исследования мах Севера.
466
МИГР
АЦИЯ И ПРОФИЛЬ 137Cs В ДОННЫХ ОТЛОЖЕНИЯХ
467
лишь озера Ладожское и Имандра с показателем
условного обмена вод (W) 12.3 и 2.0 лет. Пробы
4
донных отложений отбирали на станциях с глуби-
ной от 6 до70 м. Пробы ДО, за исключением грунта
из оз. Имандра, отбирали пробоотборником фирмы
UWITEC, позволяющим отобрать керн с ненару-
шенным сложением диаметром 60 мм. Послойное
разделение керна проводилось по схеме: первый
слой 0-2 см, последующие слои с шагом 0-3 см. В
оз. Имандра ДО отбирали пробоотборником Limnos
1
2
диаметром 85 мм; шаг разделения керна составил
3
0-1 см. Методы определения 137Cs в пробах ДО и
воды, принятые нами ранее [6], не изменялись. От-
носительная ошибка определения 137Cs в образцах с
Рис. 1. Местоположение исследуемых озер. 1 - Ладожское
низкой концентрацией радионуклида не превышала
оз., 2 - озера Суходольское и Вуокса, 3 - Копанское оз.,
40%. 137Cs из проб воды объемом 60-120 л выделя-
4 - оз. Имандра.
ли с помощью сорбента АНФЕЖ [7]. В ДО озер Ко-
панское и Суходольское определяли содержание об-
Задача исследования заключалась в изучении
менной химической формы 137Cs путем экстракции
современного состояния загрязнения 137Cs ДО, со-
радионуклида в 1 М раствор NH4Ac при соотноше-
пряженных по стоку озерно-речных систем Севе-
нии фаз 1 : 10 и времени их взаимодействия 1 сут.
ро-Запада России. Здесь реки берут начало из озер
К анализу привлекали отдельные слои профиля ДО,
или протекают через них в своем среднем (нижнем)
в которых концентрация 137Cs позволяла корректно
течении. Речная сеть этого региона формировалась
оценить долю обменного 137Cs. В водоемах опреде-
в условиях освобождения кристаллического щита
ляли скорость накопления осадков с привлечением
от ледяного покрова, образования большого коли-
137Cs в качестве метки современного седиментоге-
чества озер и стока из них паводковых вод в пони-
неза [8]. По данным распределения 137Cs в слоях
женные участки рельефа. Объектом исследования
керна определяли коэффициента диффузии радио-
стали донные отложения сопряженных по стоку си-
нуклида с использованием выражения [9]
стем река-озеро и озеро-река, загрязненных преи-
мущественно 137Cs глобальных выпадений. Содер-
D = b [(ln ε) 4t],
(1)
жание137Cs в ДО и распределение радионуклида в
толще донных грунтов является откликом водных
где b = (x2)2 - (x1)2; ε = С1/С2; D - коэффициент диф-
систем на ~70-летнее пребывание в водоемах низ-
фузии, см2/с; x1 и x2 - произвольно взятые слои про-
ких концентраций 137Cs. В работе [5] было показа-
филя концентраций 137Cs с отметками слоя, см; С1 и
но, что в 1986-1988 гг. основное количество 137Cs
С2 - концентрации 137Cs, соответствующие слоям x1
и x2; t - время миграции, с. За дату t0 формирования
поступало в Ладогу с водами Вуоксы, а не с водами
Волхова и Свири из-за загрязнения 137Cs истока Ву-
кумулятивного запаса глобального 137Cs в грунтах
оксы озера Сайма.
морского дна принимался 1964 г.
РЕЗУЛЬТАТЫ И ИХ ОБСУЖДЕНИЕ
МЕТОДИКА ИССЛЕДОВАНИЯ
Объектом исследования являются донные отло-
В табл. 1 приведено содержание 137Cs в кернах
жения озер (ДО), находящихся на следе выпадения
ДО озер по данным наблюдений 2017-2022 гг.
«чернобыльского» 137Cs (оз. Копанское, сток в Фин-
Содержание 137Cs в алевритовом иле оз. Копан-
ский залив) и на периферии следа - в Карелии и на
ское (табл. 1) после введения поправки на распад
Кольском полуострове (озера Суходольское, Вуок-
радионуклида (1986-2017 гг.) составит 33.5 кБк/м2 -
са, Ладожское, Имандра) (рис. 1). Все озера являют-
значение, близкое к выпадению «чернобыльского»
ся проточными. Замедленной сменой вод обладают
137Cs на побережье водоема (~37 кБк/м2) [10]. Сток
РАДИОХИМИЯ том 65 № 5 2023
468
БАКУНОВ и др.
Таблица 1. Загрязнение ДО озер 137Cs: плотность, кБк/м2 и содержание в поверхностном слое керна, Бк/кг
137Cs в слое керна
Озеро, координаты станций
Глубина, м, Нср/Нмакс
Площадь, км2137Cs в керне, кБк/м2
0-2 см, Бк/кг
Копанское
-/25
9.85
16.5
1000
59°43′ с.ш., 28°43′ в.д.
Вуокса
5.1/25
92.6
4.2
39
60°58′ с.ш., 29°57′ в.д.
Суходольское
4/23
44.4
60°41′ с.ш., 30°03′ в.д.
Станция 1
8.75
210
Станция 2
3.83
250
Ладожское
52/230
17800
Станция «Якимоварский залив,
50
23.8
3.2
79
северный район»
67°36′ с.ш., 33°00′ в.д.
Станция «Западный архипелаг»
33
0.78
32.5
61°14′ с.ш., 30°27′ в.д.
Станция «Средняя часть озера»
78
0.87
160
60°43′ с.ш., 31°48′ в.д.
Имандра
16/67
876
Имандра (Экостровская)
9/42
362
1.55
28
67°36′ с.ш., 33°00′ в. д.
137Cs из озера с водами небольшой реки Пейпия за
сти загрязнения грунтов дна 137Cs (0.15-0.69 Бк/см2)
31 год не привел к значительной потере радиону-
отмечалось в глубоководном озере Телецкое. Здесь
клида, большая часть его аккумулировалась в грун-
с поступлением взвеси из впадающих рек и ручь-
тах дна. Следовые количества 137Cs в профиле ДО
ев повышалась вариабельность концентрации Cs в
прослеживались до 62 см. Выпадения 137Cs в 1986 г.
ДО.
примерно в 20 раз превысили содержание глобаль-
Загрязнение 137Cs ДО озер Вуокса и Суходоль-
ного 137Cs в почвах (~1.7 кБк/м2). Поэтому запас
ское, относящихся к речной системе р. Вуокса, оце-
137Cs в ДО озера преимущественно представлен
нивалось с учетом выпадения «чернобыльского»
137Cs аварийного выброса с ЧАЭС.
137Cs 6.5 кБк/м2 на побережье устья р. Вуокса и пи-
Ожидалось, что плотность 137Cs ДО озер, находя-
тания ее из оз. Сайма, загрязненного 137Cs [12, 13].
щихся выше 60° с.ш., будет меньшей, чем в оз. Ко-
Более ~90% водосбора Вуоксы находится на тер-
панское, из-за более низкого выпадения глобально-
ритории Финляндии. Поэтому концентрации 137Cs
го и «чернобыльского 137Cs. Содержание 137Cs в ДО
в воде Вуоксы определялись загрязнением 137Cs
оз. Имандра (Экостровская) Кольского полуостро-
оз. Сайма и его водосбора площадью 61054 км2.
ва не превышало ~1.55 кБк/м2, тогда как в озерах
Сайма при зеркале 4380 км2 имеет 36 км3 озерных
Карельского перешейка Вуокса и Суходольское
вод. На западную часть бассейна озера 137Cs выпало
плотность загрязнения ДО была в 2-4 раза выше
в ~2-3 раза больше, чем на восточную на границе с
(табл. 1). В северо-западной части Ладожского озера
Россией (~6.5 кБк/м2) [13]. В Ладожское озеро воды
донные отложения характеризовались плотностью
Вуоксы поступают по северному мелководному ру-
0.78 кБк/м2, близкой к наблюдаемой в средней части
каву через оз. Вуокса и полноводному южному ру-
водоема с глубинами 50-70 м. При таких же глуби-
каву через оз. Суходольское и р. Бурная. Привнос
нах в ДО Якимоварского залива озера содержалось
вод в Ладогу по северному рукаву резко снижает-
3.2 кБк/м2 137Cs. В целом для Ладожского озера ди-
ся после весеннего половодья из-за мелководности
апазон плотности загрязнения ДО составил 0.78-
русла. Поэтому по северному рукаву в период мак-
3.2 кБк/м2. Ранее [11] 4-кратное различие в плотно-
симального загрязнения вод (1986-1989 гг.) в Ла-
РАДИОХИМИЯ том 65 № 5 2023
МИГР
АЦИЯ И ПРОФИЛЬ 137Cs В ДОННЫХ ОТЛОЖЕНИЯХ
469
фактически является водохранилищем руслового
типа с сильным течением и подпором вод со сто-
роны Ладоги. В озере из-за чередования плесов с
1
большими (до 20 м) и малыми глубинами имеются
10
неодинаковые условия седиментации взвесей и на-
копления 137Cs в грунтах дна. Плотность загрязне-
ния 137Cs (таблица) ДО станции 1 в оз. Суходольское
в два раза больше, чем грунта станции 2 с фарватера
5
2
русла (табл. 1). Донные отложения станций форми-
ровались в неодинаковых динамических условиях,
что отразилось на механическом составе грунта. На
станции 2 с фарватера русла слои керна 2-5, 5-8,
2012
2014
2016
2018
8-11 см характеризовались массой в 1.4-1.6 раза
Ƚɨɞɵ
больше, чем на станции 1. Слои ДО 0-2 и 2-5 см со
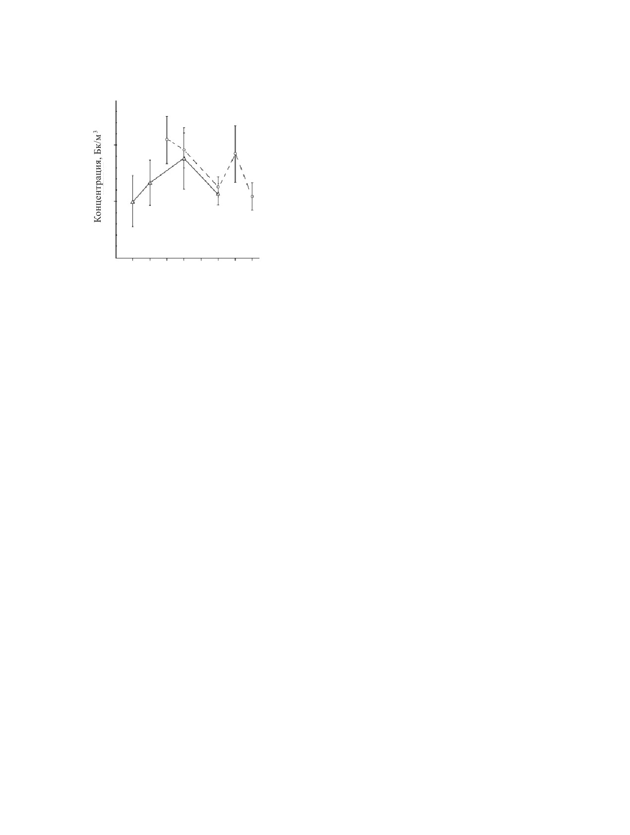
Рис. 2. 137Cs в воде реки Вуокса, Бк/м3: 1 - в районе
станции 2 имели большую массу, чем со станции 1.
пос. Лесогорский, 2 - в районе пос. Лосево.
Для глубоких озер с переменными глубинами в
дожское озеро поступало меньше 137Cs, чем по юж-
водоеме значительные различия в загрязнении дна
ному рукаву. В 1986 г. [12] концентрация 137Cs в воде
ИРН закономерны [11, 15]. Плотность загрязнения
Вуоксы составила 150 Бк/м3, что в ~40 раз выше до-
ДО 137Cs по данным 14 колонок из глубокого озера
аварийного уровня 137Cs в воде реки. К маю, июлю
Великобритании Блелхам Тарн [15] изменялась от
1988 г. концентрация слабо понизилась до 113 Бк/м3
13.5 до 2.6 при среднем 5.97 кБк/м2. Влияние не-
из-за устойчивого загрязнения 137Cs вод оз. Сайма.
одинаковых условий седиментации на загрязнения
Кумулятивный запас 137Cs в оз. Сайма и на его во-
дна этого озера прослеживалось и по радионукли-
досборе способствовали пролонгации загрязнения
дам 238Pu, 239,240Pu, 241Am. При пике концентрации
озерно-речной системы Вуоксы. По нашим данным,
глобального 137Cs в профиле ДО на глубине 15 см
с 2016 по 2018 гг. концентрация 137Cs в воде Вуоксы
седиментация составила 6.5 мм/год. При такой се-
колебалась от 5 до 10 Бк/м3 (рис. 2) с тенденцией к
диментации в профиле ДО наблюдалось два пика
более высоким значениям зимой, когда прекраща-
Cs, относящихся к поступлению радионуклида в
лось поступление вод с местного водосбора. При
~1964 и 1986 гг. Значительные различия в загрязне-
низком содержании взвеси в р. Вуокса 0.2-6 мг/л и
нии 137Cs ДО больших проточных озер прослежи-
высокой скорости течения потери Cs в русле реки
ваются при анализе распределения радионуклида в
от истока у оз. Сайма до места впадения в Ладож-
профиле ДО. Нижние части кернов ДО оз. Вуокса
ское оз. были невысокими. В пункте Лесогорский,
и Имандра (рис. 3) характеризуются более высокой
находящемся ближе к оз. Сайма (~24 км), чем п. Ло-
концентрацией 137Cs в, чем в верхних частях. Такой
сево, наблюдалось небольшое превышение концен-
тренд концентрации противоречит закономерности
трации 137Cs по сравнению с пунктом Лосево. Если
распределения 137Cs в профиле ДО оз. Суходоль-
допустить, что воды оз. Сайма очищаются от 137Cs
ского и станций с Ладоги. Здесь концентрации 137Cs
с полупериодом времени Т = 6.5 лет (данные по
снижались от верхнего слоя керна к нижележащим
очистке озера от глобального 137Cs [5]), то концен-
слоям.
трация 137Cs в воде Вуоксы (1988 г.) к 2016 г. долж-
К объяснению наблюдаемых различий в за-
на снизиться до ~5.9 Бк/м3. На сопоставимое время
грязнении ДО озер 137Cs приходится привлекать
2017-2018 гг. в р. Вуокса 137Cs было в 5 раз больше,
данные по механизмам, определяющим поступле-
чем в воде оз. Экостровская Имандра [14].
ние и миграцию 137Cs в ДО водоемов. Согласно
Ожидалось большее загрязнение 137Cs грунтов
теоретическим оценкам, [16] при скорости диф-
оз. Суходольское, чем Вуокса, из-за различия в пи-
фузии поллютанта 0.75 × 10-7 см2/с и скорости
тании озер водами реки. В тоже время быстрая сме-
седиментации
≥1.0 см/год осаждение взвесей в
на вод в оз. Суходольское способствовала выносу
водоеме становится ведущим механизмом очи-
137Cs из водоема. Оз. Суходольское при длине 30 км
щения вод и загрязнения дна. По опытным дан-
РАДИОХИМИЯ том 65 № 5 2023
470
БАКУНОВ и др.
ным [6], коэффициенты диффузии D в алевритовых
илах олиготрофных озер Скандинавии составили
n·(10-8-10-9) см2/с. При таких коэффициентах диф-
фузии и невысокой седиментации «чернобыльский»
137Cs до 1991 г. оставался в верхнем (0-2 см) слое
102
грунта озер Скандинавского полуострова [6, 17]. В
условиях низкой седиментации над загрязненным
слоем грунта с «чернобыльским» 137Cs медлен-
1
но нарастал слой новых отложений. В выборке из
2
9 финских озер [18] скорость седиментации взве-
3
4
си составила 0.6- 17 мм/год. Используем глобаль-
ный 137Cs в качестве метки седиментогенеза [8] и
1010
4
8
12
16
20
24
28
32
находим (рис. 2, профиль137Cs) для озер Вуокса и
Ƚɥɭɛɢɧɚ ɫɦ
Имандра скорость осадконакопления 5.5 и 2.6 мм в
Рис.
3.
137Cs в профиле ДО озер: 1 - Вуокса, 2 -
год соответственно. Замедленный обмен вод в этих
Суходольское, 3 - Ладожское, 4 - Имандра.
озерах (1.6-2.0 лет) способствовал накоплению на
дне взвесей. При высокой седиментации в оз. Ву-
толщу ДО. Высокая проточность озера ограничи-
окса глобальный 137Cs был захоронен на большую
вала седиментацию взвеси, вследствие чего повы-
глубину грунта, чем в оз. Имандра. В озерах Вуок-
силась роль диффузионного механизма в миграции
са, Блелхам Тарн [15] и Куяш [19] пик глобального
радионуклида в толщу ДО.
137Cs находился в слое керна 14-16 см. В работах
В [6, 15] приведены коэффициенты диффузии
[15, 19, 20] неодинаковое содержание 137Cs в кернах
(D) 137Cs n·(10-8-10-9) см2/с в ДО озер. В ДО на-
озер объяснялось влиянием гидрологических усло-
блюдалась тенденция увеличения коэффициента
вий на седиментацию взвесей и на особенности ре-
диффузии 137Cs с глубиной керна. Многолетняя экс-
льефа дна на станциях наблюдений.
позиция глобального 137Cs в ДО озер позволяет оце-
Содержание 137Cs в кернах станций 1 и 2 с
нить диффузию радионуклида в толще иловых от-
оз. Суходольское отражает комбинированное за-
ложений. Такая процедура была выполнена для ДО
грязнение радионуклидом глобальных выпаде-
оз. Ладожское. Из-за присутствия в верхних слоях
ний и выброса с ЧАЭС. Скорость седиментации в
ДО «чернобыльского» 137Cs к оценке диффузии гло-
районе станций была низкой. Поэтому 22-летняя
бального 137Cs привлекали нижние слои керна, не
разница в поступлении радионуклидов в водоем
содержащие этого радионуклида. Содержание 137Cs
(1964-1986 гг.) четко не обозначилась в профиле
в слоях ДО 12-14, 14-16, 16-18, 18-20 и 20-22 см
ДО в виде отдельных пиков концентрации 137Cs.
составило 240, 190, 140, 78 и 15 Бк/кг сухой массы.
Грубая оценка седиментации для станции 1 выпол-
Время экспозиции 137Cs 1964-2020 гг. Коэффици-
нена по допущению, что в слое 0-1 см содержится
ент диффузии для слоёв 14-16 см и далее составил
в основном 137Cs «чернобыльской» аварии. По этой
3.0 × 10-8, 1.75 × 10-8 и 0.68 × 10-8 см2/с соответствен-
оценке, скорость седиментации равна ~0.3 мм/год.
но. Эти значение D выше наблюдаемых n·10-9 см2
Из-за низкой скорости седиментации и невысокой
в верхних слоях ДО (0-2 см) озер Скандинавии при
скорости диффузии 137Cs основное количество ра-
короткой экспозиции «чернобыльского» 137Cs [6].
дионуклида сохранилось в слое 0-5 см керна стан-
Полувековая диффузия глобального 137Cs в илах
ций 1 и 2. Если в оз. Вуокса глубина миграции 137Cs
Ладожского озера с D n·10-8 см2/с способствовала
не ограничивалась слоем 29-32 см (рис. 3), то в ДО
его миграции в толщу ДО. Коэффициенты диффу-
станций 1 и 2 профиль концентраций 137Cs закан-
зии Cs в ДО Ладожского озера согласуются со зна-
чивался следовыми количествами радионуклида на
чением D [21], найденным для грунта оз. Байкал -
отметках керна менее 17 и 8 см соответственно. Для
0.056 см2/год.
ДО станций 1 и 2 оз. Суходольское 34-летней экс-
позиции «чернобыльского»137Cs оказалось недоста-
Элемент Cs относится к рассеянным химиче-
точно для значительной миграции радионуклида в
ским элементам Земли. Время пребывания его ис-
РАДИОХИМИЯ том 65 № 5 2023
МИГР
АЦИЯ И ПРОФИЛЬ 137Cs В ДОННЫХ ОТЛОЖЕНИЯХ
471
кусственного радионуклида 137Cs в геосфере не
ного региона. Объектами исследования являлись
превышает 70 лет. Накопление 137Cs в верхних сло-
донные отложения речной системы р. Вуокса-Ла-
ях почв и в грунтах дна водоемов отражает лишь
дожское озеро и оз. Имандра, загрязненные пре-
этап его долговременной миграции. В почвах [22]
имущественно 137Cs глобальных выпадений. ДО
137Cs присутствует в трех химических формах: об-
оз. Копанское с «чернобыльским» 137Cs рассматри-
менной, труднодоступной ионному обмену и фик-
вались как объекты сравнения. Плотность загрязне-
сированной в кристаллитах минералов почв. В ило-
ния 137Cs ДО озер Вуокса и Суходольское составила
вых отложениях белорусских озер [23] лишь часть
4.2-8.6 кБк/м2, что в ~4 и ~2 раза меньше содержа-
137Cs, сорбированного илом, находилась на позици-
ния 137Cs в донном грунте оз. Копанское из зоны
ях селективной сорбции (FES), труднодоступных
«чернобыльского» следа на Финском побережье.
ионному обмену. Органические комплексы илов с
Содержание 137Cs в водах р. Вуокса (2016-2018 гг.)
минералами типа иллита наиболее прочно удержи-
составило 5.3-9.3 Бк/м3. По северному мелково-
вали 137Cs в поглощенном состоянии.
дному руслу Вуоксы в Ладогу поступало меньше
137Cs, чем по южному рукаву через оз. Суходоль-
Доступность миграции 137Cs в донных отложе-
ское. Воды оз. Сайма - истока Вуоксы - остаются
ниях оз. Суходольское оценивали по содержанию
источником загрязнения 137Cs реки и сопряженных
обменной химической формы радионуклида, вы-
с ней по стоку озер. Загрязнения 137Cs дна плесов
деляемой в раствор 1 М NH4Ac при соотношении
проточных озер зависят от гидрологических усло-
фаз 1 : 10 и времени взаимодействия фаз 1 сут. Для
вий осадконакопления. В озёрах Вуокса и Имандра
этой процедуры выбирали слои керна, в которых со-
при седиментации более 2.5 мм/год концентрации
держание радионуклида позволяло корректно опре-
137Cs повышались от верхнего слоя керна к более
делить наличие обменной формы 137Cs. Обменная
глубоким слоям; произошло захоронение
137Cs
форма 137Cs в ДО оз. Суходольское определялась
в толще ДО. При седиментации менее 1.0 мм/год
только в слоях грунта 11-14 и 17-20 см с повышен-
137Cs накапливался в верхнем слое кернов (станции
ным содержанием 137Cs 490 и 700 Бк/кг [6]. Доля
оз. Суходольское, Ладожское); концентрации 137Cs
обменного 137Cs в упомянутых слоях керна соста-
снижались от верхнего к нижним к слоям ДО. В
вила 14.4 и 20.0% от вала соответственно. Большая
илах Ладоги на глубине 14-23 см коэффициенты
часть 137Cs находилась в фиксированной и труд-
диффузии D глобального 137Cs n·(10-8) см2/с были
нодоступной ионному обмену химической форме.
в ~10 раз больше наблюдаемых в верхних слоях
Низкое содержание в грунте обменного 137Cs спо-
кернов озер Скандинавии при короткой экспозиции
собствовало сохранению глобального 137Cs в слое
«чернобыльского» 137Cs (1986-1992 гг.). Наблюда-
29-32 см в виде пика концентрации [6]. За период
емое распределение 137Cs в ДО озер обусловлено
53-летнего пребывания глобального 137Cs в донных
сочетанием седиментогенеза и диффузии 137Cs. На
отложениях станции пик его концентрации на глу-
миграцию 137Cs в толщу донных отложений влияет
бине 29-32 см не был «размыт». В глубь донных
содержания в грунтах обменной химической фор-
отложений мигрировали подвижные химические
мы радионуклида; её доля в илах оз. Суходольское
формы 137Cs. Для арктического и субарктического
составила 14-20% от общего.
регионов страны отсутствуют данные, характери-
зующие физико-химическое состояние 137Cs в ДО
ФОНДОВАЯ ПОДДЕРЖКА
водоемов. Поэтому вопросы прогноза миграции
137Cs при аварийных загрязнениях водоемов Севера
Исследование выполнено за счет гранта Россий-
и научного обоснования для них контрмер нужда-
ского научного фонда № 23-24-00319, https://rscf.ru/
ются в дополнительных экспериментальных иссле-
project/23-24-00319/.
дованиях.
ЗАКЛЮЧЕНИЕ
КОНФЛИКТ ИНТЕРЕСОВ
Изучено состояние загрязнения 137Cs донных
Авторы заявляют об отсутствии конфликта ин-
отложений глубоких проточных озер Северо-Запад-
тересов.
РАДИОХИМИЯ том 65 № 5 2023
472
БАКУНОВ и др.
СПИСОК ЛИТЕРАТУРЫ
12. Алексеенко В.А. // Радиохимия. 1997. Т. 39, № 2.
С. 187-190.
1.
Смагин А.И. Экология водоемов в зоне техногенной
13. Рахола Т., Саксен К., Костиайнен Э., Пухакай-
радионуклидной геохимической аномалии на Юж-
нен М. // Радиохимия. 2006. Т. 48, № 6. С. 562-566.
ном Урале. Челябинск: ЮУрГУ, 2013. 204 с.
14. Радиационная обстановка на территории России и
2.
Крышев И.И., Рязанцев Е.П. Экологическая безо-
сопредельных государств в 2018 гг. Ежегодник / Под
пасность ядерно-энергетического комплекса России.
ред. В.М. Шершакова, В.Г. Булгакова, И.И. Крыше-
М.: ИздАт, 2010. 384 с.
ва, С.М. Вакуловского, М.Н. Катковой, А.И. Крыше-
3.
Вакуловский С.М., Газиев Я.И., Колесникова Л.В.,
ва. Обнинск: НПО «Тайфун», 2019. С. 199.
Петренко Г.И., Тертышник Э.Г., Уваров А.Д. // Атом.
15. Мichel H., Barei-Funel G., Barci V., Andersson G. //
энергия. 2006. Т. 100, Вып. 1. С. 68-74.
Radiochim. Acta. 2002. Vol. 90. P. 747-752.
4.
Стоун Д. Доклад о состоянии окружающей среды
16. Сухоручкин А.К. // Метеорология и гидрология. 1985.
Арктики. АМАП: Программа арктического монито-
№ 7, С. 76-81.
ринга и оценки. СПб.: Гидрометеоиздат, 1998. 118 с.
17. Wathne B.M. AL:PE Acidification of Mountain Lakes:
5.
Большиянов Д.Ю., Бакунов Н.А., Макаров А.С. // Вод.
Palaeolimnology and Ecology: AL:PE 1 Report for
ресурсы. 2016. Т. 43, № 3. С. 328-335.
Period April 1991-April 1993. EUR-OP, 1995. 292 p.
6.
Бакунов Н.А., Большиянов Д.Ю., Правкин С.А. // Ра-
18. Ilus E., Saxen R. // J. Environ. Radioact. 2005. Vol. 82.
диохимия. 2019. Т. 61, № 1. С. 122-128.
P. 199-221.
7.
Ремез В.П., Канивец В.В., Поляков В.В., Ремез Е.П. //
19. Каблова К.В., Дерягин В.В., Левина С.Г., Сутя-
Тр. Междунар. конф. «Радиоактивность при ядер-
гин А.А. // Радиац. биология. Радиоэкология. 2018.
ных взрывах и авариях». СПб: Гидрометеоиздат,
Т. 58, №. 5. С. 517-523.
2000. Т. 2. С. 673-678.
20. Страховенко А.Д., Щербов Б.Л., Маликова И.Н., Во-
8.
Бакунов Н.А., Большиянов Д.Ю. // Радиохимия. 2007.
сель Ю.С. // Геология и геофизика. 2010. Т. 51, № 11.
Т. 49, № 2. С. 170-172.
С. 1501-1514.
9.
Поляков Ю.А. Радиоэкология и дезактивация почв.
М.: Атомиздат. 1970. 303 с.
21. Edgington D.N., Klump J.V., Robbins J.A., Kusner Yu.S.,
Pampura V.D., Sandirimov I.V. // Nature. 1991. Vol. 350.
10. Дубасов Ю.В., Евдокимов А.В., Каменцев А.А., Са-
P. 601-604.
ульский А.В., Чеплагина О.В. // Радиохимия. 2011.
Т. 53, № 6. С. 559-564.
22. Cremers A., Elsen A., De Preter P., Maes A. // Nature.
1988. Vol. 335, N 6187. P. 247-249.
11. Бобров В.А., Калугин И.А., Клеркс Ж., Дучков А.Д.,
Щербов Б.Л., Степин А.С. // Геология и геофизика.
23. Москальчук Л.Н., Баклай А.А., Леонтьева Т.Г. // Ра-
1999. Т. 40. С. 530-536.
диохимия. 2018. Т. 60, № 1. С. 93-96.
РАДИОХИМИЯ том 65 № 5 2023
МИГР
АЦИЯ И ПРОФИЛЬ 137Cs В ДОННЫХ ОТЛОЖЕНИЯХ
473
137Cs Migration and Profile in Bottom Sediments of Deep
Drainage Lakes, North-Western Russia
N. A. Bakunov, D. Yu. Bolshiyanov, A. O. Aksenov*
Arctic and Antarctic Research Institute, St Petersburg, 199397 Russia
*е-mail: aksenov2801@gmail.com
Received March 20, 2023; revised July 05, 2023; accepted July 12, 2023
Modern contamination of global and «Chernobyl» 137Cs in lake-river systems bottom sediments is estimated.
Drainage lakes of North-Western Russia were investigated. Kopanskoe Lake, located south of the Gulf of
Finland, is on the trail of the «Chernobyl» 137Cs fallout, whereas Ladoga, Sukhodolskoe, Vuoksa, Imandra
lakes are located at its periphery, in Karelia and Kola Peninsula. Following parameters are distinguished:
lakes bottom 137Cs pollution density (kBq/m2), distribution of 137Cs in the profile of bottom sediments, 137Cs
diffusion coefficients (D) in bottom sediments and content of the exchange chemical form of the radionuclide.
137Cs contamination of the lakes was formed due to suspended matter sedimentation with 137Cs, 137Cs sorption
and diffusion in bottom sediments. With sedimentation ≥3 mm/year, the concentration of 137Cs increased from
the top to the bottom of the core (lakes Vuoksa, Ekostrovskaya Imandra), reflecting the gradual process of
137Cs migration into the sediments. The opposite trend of 137Cs concentration was observed in the bottom
sediments of lakes Ladoga and Sukhodolskoe with sedimentation ≤0.5 mm/year. Here 137Cs diffusion with D =
(0.5-6.2) ×10-8 cm2/s caused slow radionuclide transfer in the bottom sediments. The main supply of 137Cs was
contained in the top layer 0-5 cm. 14.4-20 % of absorbed 137Cs in lake Sukhodolskoye bottom sediments were
was in an exchange chemical form, extracted into solution 1 М NH 4 Aс.
Keywords: 137Cs, lakes, bottom sediments, 137Cs supply, sorption, diffusion
РАДИОХИМИЯ том 65 № 5 2023