РАДИОХИМИЯ, 2023, том 65, № 4, с. 355-363
УДК 621.436
ВЛИЯНИЕ ИОНИЗИРУЮЩЕГО ИЗЛУЧЕНИЯ
НА ФИЗИКО-ХИМИЧЕСКИЕ И ЭКСПЛУАТАЦИОННЫЕ
СВОЙСТВА БЕНЗИНА С ДОБАВКОЙ БЕНЗОЛА
© 2023 г. Л. Ю. Джаббарова*, И. И. Мустафаев, А. С. Мирзаева, Н. А. Ибадов
Институт радиационных проблем Национальной академии наук Азербайджана,
AZ1143, Баку, ул. Ф. Агаева, д. 9
*e-mail: clala@mail.ru
Поступила в редакцию 19.12.2022, после доработки 09.02.2022, принята к публикации 10.02.2022
Изучено влияние облучения на бензин АИ-92 с добавлением бензола. Кинетику процессов изучали при
температуре Т = 20°С, мощности дозы Р = 0.072 Гр/с в интервалах поглощенных доз (D) 27-78 кГр.
Представлены результаты газохромато-масс-спектрометрического (ГХ/МС) анализа, ИК-спектроскопи-
ческих исследований, определения плотности, вязкости образцов до и после облучения при различных
поглощенных дозах. Оценка физико-химических показателей γ-облученного бензина с добавками бен-
зола 1, 2, 4, 6% показывает, что γ-излучение негативно влияет на эксплуатационные свойства (вязкость
и плотность) бензина АИ-92. Оптимальной концентрацией бензола в бензине является 6%, при которой
вязкость и плотность уменьшаются с увеличением поглощенной дозы. Кинетика постполимеризаци-
онных процессов в течение 8 месяцев после окончания облучения показывает, что скорость процесса
и его доля в общей полимеризации зависят от времени облучения, плотности исходной смеси и дозы.
Ключевые слова: бензин, радиолиз, ИК спектр, газохромато-масс-спектрометрия (ГХ/МС).
DOI: 10.31857/S003383112304007X, EDN: IMIEKQ
ВВЕДЕНИЕ
нием [20]. При этом эффекте гамма-квант взаимо-
действует с электронами вещества и передает ему
Современные топлива должны удовлетворять
часть своей энергии, вызывая химические превра-
ряду требований, обеспечивающих экономичную и
щения в веществе. Первичные радиационно-хими-
надежную работу двигателя и требованиям эксплу-
ческие процессы, протекающие при прохождении
атации - иметь хорошую испаряемость, позволя-
ионизирующего излучения через топливо за первые
ющую получить однородную топливо-воздушную
10-14 с, приводят к образованию ионов и возбужден-
смесь оптимального состава при любых темпера-
ных молекул, которые способствуют диссоциации и
турах, иметь групповой углеводородный состав,
разрыву химических связей с образованием свобод-
обеспечивающий устойчивый бездетонационный
ных радикалов. Одновременно происходит структу-
процесс сгорания на всех режимах работы двига-
рирование органических соединений и их разложе-
теля, даже в условиях радиационного излучения.
ние. Способность компонентов топлива сохранять
К настоящему времени опубликовано большое ко-
свой химический состав в условиях эксплуатации
личество работ, посвященных изучению действия
при изменении температуры, радиационном воз-
ионизирующих излучений на бензины, дизельное
действии имеет важное практическое значение. Вы-
топливо, различные смеси углеводородов [1-8], ми-
яснение влияния радиации на общий состав топли-
неральные и синтетические масла и смазки [9-19],
ва, связи между требованиями к составу топлива и
что позволило установить общие закономерности
его радиационной стойкостью является важнейшей
радиолиза органических материалов. Основная
задачей исследований. В этих условиях димеры и
часть эффектов, происходящих в органических со-
полимеры как продукты рекомбинации радикалов
единениях, при облучении гамма-квантами с энер-
и ионов образуются одновременно с осколочными
гией 1.25 МэВ обусловлена комптоновским рассея-
низкомолекулярными соединениями в топливах. В
355
356
ДЖАББАРОВА и др.
присутствии кислорода эти процессы усиливаются
ности дозы Р = 0.072 Гр/с, величине поглощенной
и приобретают окислительный характер. Наличие
дозы D = 27-78 кГр, концентрации бензола 1, 2, 4
в топливе неограниченного количества углеводо-
и 6%. Вязкость определяли на вискозиметрах типа
родов, а также таких слабокислых соединений, как
ВПЖ-2 по ГОСТам 33-66 и 10028-81, плотность из-
меркаптаны, определяет химическая стабильность
меряли пикнометром по ГОСТу 3900-85. ИК спек-
топлива при длительном хранении. При хранении
тры поглощения образцов в виде пленки толщиной
таких топлив в них образуются смолистые осадки.
d = 1 мкм регистрировали на спектрометре Varian
Значительно увеличивает скорость образования
640-IR (Varian) в диапазоне частот 4000-400 см-1.
смол в топливах солнечный свет и излучение. При
Отнесение полос полученных спектров проводили,
выборе горюче-смазочных материалов для исполь-
как описано в работе [21]. Хромато-масс-спектро-
зования в условиях облучения возникают вопро-
метрический анализ проводили на ГХ/MС (Agilent,
сы: обладают ли обычные материалы достаточной
США). Дозиметрию проводили двумя независи-
радиационной стойкостью, можно ли повысить их
мыми методами: этиленовым дозиметром и комби-
стабильность за счет незначительного изменения
нацией цилиндра Фарадея с калориметром. Мощ-
состава введением специальных добавок - в незна-
ность дозы γ-излучения определяли этиленовым
чительном количестве ароматических соединений,
и ферросульфатным дозиметрами, результаты кото-
повышающих стойкость пластиков, резин, смазок,
рых согласуются в пределах 12-15%.
топлив к действию ионизирующих излучений. Наи-
более распространенные антирады - это аромати-
РЕЗУЛЬТАТЫ И ИХ ОБСУЖДЕНИЕ
ческие соединения: бензол, нафталин, антрацен,
фенантрен, пирен, фенилендиамина, фенилнаф-
Наличием непредельных углеводородов в топли-
тиламины, фенолы, тиофенолы, дифенилсульфид,
ве, а также таких легкоокисляющихся соединений,
дифениленсульфид; бензохиноны, нафтохиноны,
фенилхинонимины и др. Содержание ароматиче-
как меркаптаны, определяется химическая ста-
ских антирадов в материале составляет обычно 0.1-
бильность топлив. Ненасыщенные углеводороды
10 мас%. Отмечено, что в смеси с углеводородами
во многих случаях также являются высокооктано-
такого строения антирады защищают последние от
выми компонентами бензина. В результате радио-
действия радиации. Все это привлекло особое вни-
лиза образуются ионы, электроны, возбужденные
мание к изучению радиолиза ароматических угле-
молекулы. Взаимодействие этих частиц приводит
водородов (бензола) в составе бензина. Поскольку
к образованию радикалов, которые в результате ре-
ароматические углеводороды стабильны при срав-
комбинации по цепному механизму образуют про-
нительно высокой температуре и достаточно устой-
дукты радиолиза. Радиолиз инициирует последей-
чивы к радиолизу, они были подробно изучены с це-
ствие, что приводит к изменению состава топлива.
лью определения возможности их использования в
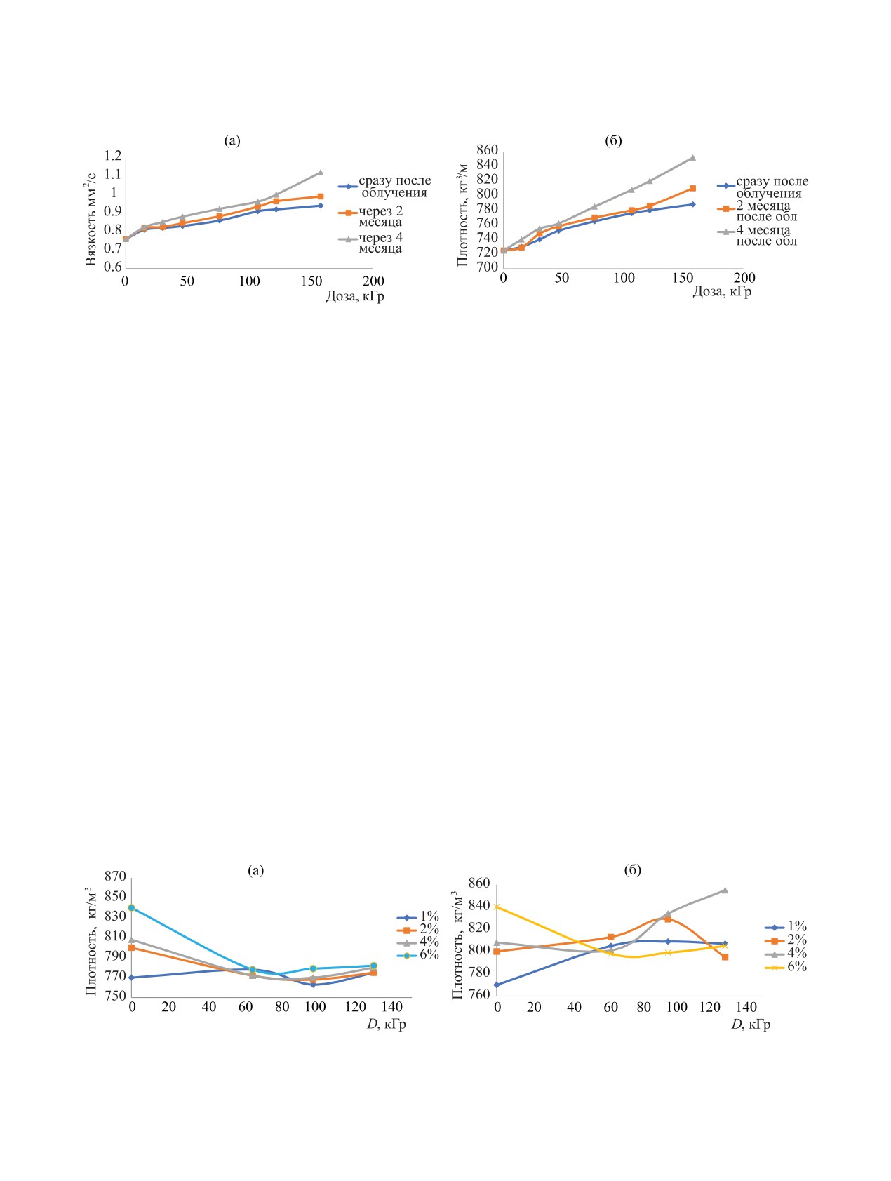
На рис. 1, а, б показано влияние гамма-излучения
качестве антирадов в условиях действия излучения.
на вязкость и плотность бензина АИ-92 при раз-
Цель представленной работы - изучение изменения
личных временах облучения. Плотность исходного
физико-химических и эксплуатационных свойств
бензина 725 кг/м3.
бензина с незначительным добавлением бензола
Под влиянием облучения непредельные угле-
под действием ионизирующего излучения 60Со.
водороды, находящиеся в составе топлива, быстро
окисляются и полимеризуются. Концентрация оле-
ЭКСПЕРИМЕНТАЛЬНАЯ ЧАСТЬ
финовых углеводородов возрастает в два раза и мо-
жет привести к образованию смол и отложений во
Исследование проводилось с использованием
впускной системе двигателя. При хранении таких
бензина с добавлением разного процентного со-
топлив значительно увеличивается содержание в
держания бензола. Образцы топлива по 2.5 мл, по-
них фактических смол и образуется осадок. Более
мещенные в ампулы из молибдена и запаянные в
того, их испарение в атмосферу как химически ак-
вакууме, облучали при комнатной температуре на
тивных веществ способствует образованию озона,
гамма-источнике 60Сo типа МРХ g-30. Кинетику
а их продукты горения образуют токсичные диены.
процессов изучали при температуре Т = 20°С, мощ-
Структурирование физически проявляется в жидко-
РАДИОХИМИЯ том 65 № 4 2023
ВЛИЯНИЕ ИОНИЗИРУЮЩЕГО ИЗЛУЧЕНИЯ
357
Рис. 1. Влияние гамма-излучения на вязкость (а) и плотность (б) бензина АИ-92 при различных временах облучения.
стях в изменении вязкости и плотности. Вязкость
Из графиков видно, что при концентрации бен-
изменяется тем сильнее, чем больше поглощенная
зола в бензине 6% радиационная стойкость увели-
доза излучения. Превращения, вызываемые излу-
чивается. Это следует из анализа данных графиков.
чениями, происходят с различной степенью интен-
В табл. 1 представлены результаты хроматогра-
сивности в зависимости от химического строения
фического анализа состава смеси бензин-бензол
и состава облучаемого вещества. Увеличение вяз-
при концентрации бензола 6%: исходной смеси и
кости может снизить скорость расхода горючего,
через 2 и 8 месяцев после облучения.
приводя к недостаточной подаче топлива. Слишком
На рис. 5 представлены результаты ИК-спектро-
большая вязкость повышает выделение дыма в про-
скопических исследований образцов 2/98% бензол/
цессе сгорания топлива и увеличивает потребление
бензин до и после гамма-излучения.
топлива, что снижает экономичность двигателя. В
В ИК спектре исходной смеси 2/98% бензол/
результате нарушается процесс горения, возрастает
бензин наблюдаются полосы внеплоскостных де-
количество продуктов неполного сгорания топлива,
формационных колебаний группы С-Н при 1000-
увеличиваются отложения нагара на деталях. Плот-
650 см-1, деформационных колебаний групп CH2,
ность косвенно характеризует химические свойства
СН3 в алканах при 1380-1370 и 1465-1440 см-1,
топлива, фракционный состав и испаряемость. Из-
валентных колебаний ароматических углеводоро-
менение плотности топлива влияет на характери-
дов (средней интенсивности) при 1575-1625 см-1,
стики выхлопных газов. Влияние гамма-излучения
валентных колебаний связей С-Н в метиленовых
на плотность бензино-бензольной смеси при раз-
группах при 2975-2950 см-1 и валентных колебаний
личных концентрациях сразу после гамма-облуче-
гидроксильных групп при 3300-2500 см-1.
ния и через 8 месяцев после гамма-облучения пока-
В ИК спектре сразу после облучения смеси 2/98%
заны на рис. 2, а, б.
бензол/бензин в течение 360 ч (97 кГр) поглощения
Влияние гамма-излучения на вязкость бензи-
при 1465-1440 см-1 уменьшается. Полосы валент-
но-бензольной смеси при различных концентраци-
ных колебаний аренов средней интенсивности при
ях сразу после облучения и через 8 месяцев после
1575-1625 см-1 несколько усиливаются. Полосы
облучения показано на рис. 3, а, б.
валентных колебаний связей С-Н в группах СН3 и
Рис. 2. Влияние гамма-излучения на плотность бензино-бензольной смеси при различных концентрациях сразу после облу-
чения (a) и через 8 месяцев после облучения (б).
РАДИОХИМИЯ том 65 № 4 2023
358
ДЖАББАРОВА и др.
Таблица 1. Результаты хроматографического анализа состава смеси бензин-бензол при концентрации бензола 6%
8 месяцев после
Исходная смесь
2 месяца после облучения
Компоненты
облучения.
мкг/л
г/л
%
мкг/л
г/л
%
мкг/л
г/л
%
1,1-Дихлорэтен
419
0.000
0.00
1805
0.002
0.000
54
0.000
0.000
транс-1,2-Дихлорэтен
3341
0.003
0.00
5102
0.005
0.001
470
0.000
0.000
Метил-трет-бутиловый
23485
0.023
0.00
2990
0.003
0.000
672
0.001
0.000
эфир
н-Гексан
6254213
6.254
0.63
4486305
4.486
0.449
3 780 090
3.780
0.378
1,1-Дихлорэтан
14816
0.015
0.00
21098
0.021
0.002
4 932
0.005
0.000
цис-1,2-Дихлорэтен
2515
0.003
0.00
2947
0.003
0.000
241 543
0.242
0.024
2,2-Дихлорпропан
0
0.000
0.00
504
0.001
0.000
49 121
0.049
0.005
Бромхлорметан
0
0.000
0.00
144
0.000
0.000
0
0.000
0.000
Хлороформ
349378
0.349
0.03
362972
0.363
0.036
365 874
0.366
0.037
1,1,1-Трихлорэтан
18295
0.018
0.00
20328
0.020
0.002
784
0.001
0.000
1,1-Дихлорпропен
11754
0.012
0.00
5491
0.005
0.001
0
0.000
0.000
Четыреххлористый углерод
138
0.000
0.00
128
0.000
0.000
835
0.001
0.000
Бензол
39349877
39.350
3.93
47726654
47.727
4.773
31651326
31.651
3.165
н-Гептан
11652816
11.653
1.17
9189571
9.190
0.919
8999222
8.999
0.900
Трихлорэтен
8
0.000
0.00
34
0.000
0.000
9
0.000
0.000
1,2-Дихлорпропан
8802
0.009
0.00
6669
0.007
0.001
53676
0.054
0.005
Дибромметан
1126
0.001
0.00
1180
0.001
0.000
201
0.000
0.000
Бромдихлорметан
2117687
2.118
0.21
1844062
1.844
0.184
3593611
3.594
0.359
цис-1,3-Дихлорпропен
2097
0.002
0.00
0
0.000
0.000
2643
0.003
0.000
Толуол
36751118
36.751
3.68
32513863
32.514
3.251
39057917
39.058
3.906
н-Октан
5920501
5.921
0.59
4655858
4.656
0.466
4816907
4.817
0.482
транс-1,3-Дихлорпропен
0
0.000
0.00
0
0.000
0.000
1 439
0.001
0.000
1,1,2-Трихлорэтан
4223687
4.224
0.42
3726929
3.727
0.373
4885611
4.886
0.489
Тетрахлорэтен
65
0.000
0.00
98
0.000
0.000
18923
0.019
0.002
1,3-Дихлорпропан
201
0.000
0.00
162
0.000
0.000
2
0.000
0.000
Дибромхлорметан
3721
0.004
0.00
2842
0.003
0.000
290
0.000
0.000
1,2-Дибромэтан
6257
0.006
0.00
6094
0.006
0.001
9823
0.010
0.001
Хлорбензол
0
0.000
0.00
0
0.000
0.000
0
0.000
0.000
1,1,1,2-Тетрахлорэтан
36
0.000
0.00
52
0.000
0.000
28
0.000
0.000
Этилбензол
11108771
11.109
1.11
9240766
9.241
0.924
14352014
14.352
1.435
м+п-Ксилол
40033316
40.033
4.00
33402961
33.403
3.340
56040294
56.040
5.604
н-Нонан
2773995
2.774
0.28
2040759
2.041
0.204
2484915
2.485
0.248
o-Ксилол
18490651
18.491
1.85
15210809
15.211
1.521
26794272
26.794
2.679
Стирол
19721395
19.721
1.97
15995555
15.996
1.600
25570157
25.570
2.557
Бромоформ
4846
0.005
0.00
8111
0.008
0.001
297
0.000
0.000
Изопропилбензол
1210863
1.211
0.12
739263
0.739
0.074
1576454
1.576
0.158
1,1,2,2-Тетрахлорэтан
10638
0.011
0.00
10207
0.010
0.001
33484
0.033
0.003
Бромбензол
6849
0.007
0.00
0
0.000
0.000
0
0.000
0.000
1,2,3-Трихлорпропан
0
0.000
0.00
247
0.000
0.000
0
0.000
0.000
н-Пропилбензол
5374213
5.374
0.54
3703509
3.704
0.370
5452873
5.453
0.545
2-Хлортолуол
2103237
2.103
0.21
1577928
1.578
0.158
3026612
3.027
0.303
1,3,5-Триметилбензол
37322625
37.323
3.73
28447714
28.448
2.845
2233952
2.234
0.223
н-Декан
1697324
1.697
0.17
1273741
1.274
0.127
55814185
55.814
5.581
4-Хлортолуол
795244
0.795
0.08
542099
0.542
0.054
1581943
1.582
0.158
трет-Бутилбензол
3380084
3.380
0.34
2630586
2.631
0.263
40634
0.041
0.004
РАДИОХИМИЯ том 65 № 4 2023
ВЛИЯНИЕ ИОНИЗИРУЮЩЕГО ИЗЛУЧЕНИЯ
359
Таблица 1. (Продолжение)
8 месяцев после
Исходная смесь
2 месяца после облучения
Компоненты
облучения
мкг/л
г/л
%
мкг/л
г/л
%
мкг/л
г/л
%
1,2,4-Триметилбензол
22862738
22.863
2.29
19111926
19.112
1.911
36237660
36.238
3.624
втор-Бутилбензол
125536
0.126
0.01
131088
0.131
0.013
0
0.000
0.000
1,3-Дихлорбензол
246
0.000
0.00
164
0.000
0.000
124
0.000
0.000
п-Изопропилтолуол
77591
0.078
0.01
79817
0.080
0.008
383208
0.383
0.038
1,4-Дихлорбензол
269
0.000
0.00
184
0.000
0.000
137
0.000
0.000
н-Бутилбензол
1628649
1.629
0.16
1100484
1.100
0.110
2045321
2.045
0.205
1,2-Дихлорбензол
1202
0.001
0.00
1126
0.001
0.000
173
0.000
0.000
н-Ундекан
976193
0.976
0.10
933029
0.933
0.093
1244885
1.245
0.124
1,2-Дибром-3-хлорпропан
3248
0.003
0.00
4598
0.005
0.000
237
0.000
0.000
н-Додекан
563999
0.564
0.06
586202
0.586
0.059
869430
0.869
0.087
1,2,4-Трихлорбензол
225
0.000
0.00
1169
0.001
0.000
3610
0.004
0.000
Гексахлорбутадиен
1768
0.002
0.00
908
0.001
0.000
3318
0.003
0.000
Нафталин
4090416
4.090
0.41
3096998
3.097
0.310
7071514
7.072
0.707
1,2,3-Трихлорбензол
1291
0.001
0.00
1936
0.002
0.000
3293
0.003
0.000
Группы компонентов
Бензол
39349877
39.35
3.93
47726654
47.73
4.77
31651326
31.65
3.17
Толуол
36751118
36.75
3.68
32513863
32.51
3.25
39057917
39.06
3.91
Этилбензол
11108771
11.11
1.11
9240766
9.24
0.92
14352014
14.35
1.44
м+п-Ксилол
40033316
40.03
4.00
33402961
33.40
3.34
56040294
56.04
5.60
o-Ксилол
18490651
18.49
1.85
15210809
15.21
1.52
26794272
26.79
2.68
Всего BTEX
145733733
145.73
14.57
138095053
138.10
13.81
167895822
167.90
16.79
Ароматические углеводороды
145733733
145.73
14.57
138095053
167895822
C6-C9
138.10
13.81
167.90
16.79
н-Гексан
6254213
6.25
0.63
4486305
4.49
0.45
3780090
3.78
0.38
н-Гептан
11652816
11.65
1.17
9189571
9.19
0.92
8999222
9.00
0.90
н-Октан
5920501
5.92
0.59
4655858
4.66
0.47
4816907
4.82
0.48
n-Nonane
2773995
2.77
0.28
2040759
2.04
0.20
2484915
2.48
0.25
Алифатические углеводороды
26601524
26.60
2.66
20372493
20081134
C6-C9
20.37
2.04
20.08
2.01
Всего GRO (C6-C10)
269850176
269.85
26.99
234781216
234.78
23.48
324403586
324.40
32.44
Галогенированные VOCs
9693406
9.69
0.97
8157319
8.16
0.82
13883099
13.88
1.39
Хлорбензолы
3233
0.00
0.00
4579
0.00
0.00
7338
0.01
0.00
СН2 в алканах при 2940-2915, 2880-2650 см-1 не-
В ИК спектре смеси 2/98% бензол/бензин, об-
много уменьшаются. Возникают полосы поглоще-
лученной 360 ч, через 2 месяца после облучения
ния свободных групп О-Н при 3670-3580 см-1.
наблюдается увеличение в 1.5 раза интенсивности
В ИК спектре смеси 2/98% бензол/бензин, об-
поглощения при 1380-1370 см-1. Также возрастает
лученной 360 ч, через 1 месяц после облучения
поглощение, обусловленное деформационными ко-
полосы поглощения связей СН3 и СН2 в алканах
лебаниями С-Н в алканах при 1465-1440 см-1, ва-
при 1470-1435 и 2940-2915 см-1 снижаются. Не-
лентными колебаний ароматических углеводородов
большое усиление валентных колебаний аромати-
при 1575-1625 см-1 и алканов при 2880-2650 см-1.
ческих углеводородов средней интенсивности на-
В области 2940-2915 см-1 наблюдается двукратное
блюдается в диапазоне 1575-1625 см-1. В области
3300-2500 см-1 наблюдается небольшое усиление
увеличение полос валентных колебаний связей С-Н
колебаний гидроксильной группы.
в группах СН3 и СН2 в алканах.
РАДИОХИМИЯ том 65 № 4 2023
360
ДЖАББАРОВА и др.
Рис. 3. Влияние гамма-излучения на вязкость бензино-бензольной смеси при различных концентрациях сразу после облу-
чения (а) и через 8 месяцев после облучения (б).
В ИК спектре смеси 2/98% бензол/бензин, облу-
ческое состояние облучаемого вещества, а также
ченной 360 ч, через 4 месяца наблюдаются полосы
линейная передача энергии, присутствие различных
поглощения при 720-740 и 1225-950 см-1, а также
добавок, температура и мощность дозы облучения.
полосы средней интенсивности при 1380-1370,
В результате радиолиза при температуре окружаю-
1465-1440 и 1575-1625 см-1. Полоса поглощения
щего воздуха ухудшаются эксплуатационные свой-
гидроксильных групп при 3300-2500 см-1 немного
ства нефтяных топлив и масел. При повышенных
усиливается.
температурах негативное влияние облучения при
В ИК спектре смеси 2/98% бензол/бензин, облу-
контакте с кислородом воздуха выражено сильнее,
ченной 360 ч, через 8 месяцев после облучения по-
чем в его отсутствие. Количество разложившегося
глощение при 1465-1440 см-1 уменьшается в 2 раза.
углеводорода увеличивается с увеличением интен-
Наблюдаются характеристические полосы слабо за-
сивности облучения и суммарной дозы облучения.
мещенных бензольных колец при 2000-1600 см-1. В
При хранении таких топлив в них увеличивается
диапазоне длины волн 2975-2950 см-1 наблюдается
содержание смол и образуется осадок. Путем из-
небольшое снижение валентных колебаний связей
менения углеводородного состава нефтепродуктов
С-Н в метиленовых группах.
за счет изменения состава или введения присадок
Радиационно-химические процессы - реакции за-
(антирадов) можно подобрать состав топлива, ко-
мещения, диссоциации, присоединения радикалов
торый будет лучше противостоять радиоактивному
к ненасыщенной молекуле, изомеризации радика-
воздействию. Ароматические углеводороды харак-
ла, протекающие в органических соединениях под
теризуются высокой радиационной стойкостью.
воздействием гамма-излучения, приводят к разло-
Это связано с тем, что энергия возбуждения, возни-
жению, полимеризации, деструкции, окислению и
кающая в определенном фрагменте молекулы, из-за
восстановлению или комбинации этих процессов.
наличия сопряженной системы π-связей делокали-
Эффект воздействия излучения на углеводороды за-
зуется по ароматическому кольцу. В результате раз-
висит от их химического строения, состава смеси и
рыв кольца становится маловероятным. Основным
в значительной мере от примесей других веществ.
каналом распада возбужденной ароматической мо-
Под действием ионизирующего излучения проис-
лекулы является разрыв связи С-Н с образованием
ходит разрушение молекул бензина, образуются
фенильных радикалов: С6Н6* → С6Н5 + Н. Обра-
ионы, электроны и возбужденные молекулы. Вза-
зующиеся атомы Н быстро захватываются окружа-
имодействие этих частиц приводит к образованию
ющими молекулами, давая циклогексадиенильные
радикалов, которые в результате рекомбинации по
радикалы: Н + С6Н6 → С6Н7. Фенильные радикалы
цепному механизму образуют продукты радиоли-
могут вступать в аналогичную реакцию с образо-
за [22]. Совокупность процессов, происходящих
ванием фенилциклогексадиенильных радикалов.
под действием радиационного излучения, способ-
Последующие реакции рекомбинации и диспропор-
ствует изменению физико-химических и эксплуата-
ционирования радикалов приводят к образованию
ционных свойств топлив. На протекание радиаци-
изомерных циклогексадиенов и полимерных про-
онно-химических процессов и на выход продуктов
дуктов. При радиолизе аренов в незначительных
радиолиза существенное влияние оказывают физи-
количествах в бимолекулярных реакциях образу-
РАДИОХИМИЯ том 65 № 4 2023
ВЛИЯНИЕ ИОНИЗИРУЮЩЕГО ИЗЛУЧЕНИЯ
361
×106
ɚ
3
ɂɫɯɨɞɧɵɣ
1 2
2 3
3 4
2.8
2.6
2.4
2.2
2
1.8
1.6
1.4
1.2
1
0.8
0.6
0.4
0.2
0
6
8
10
12
14
16
18
20
22
24
26
28
30
32
34
×106
ɉɨɫɥɟ ɯ ɦɟɫɹɰɟɜ
1 2
2 3
3 4
ɛ
2.4
2.2
2
1.8
1.6
1.4
1.2
1
0.8
0.6
0.4
0.2
0
6
8
10
12
14
16
18
20
22
24
26
28
30
32
34
6
×10
ɉɨɫɥɟ ɦɢ ɦɟɫɹɰɟɜ
2 3
3 4
4.2
1 2
ɜ
3.8
3.4
3
2.6
2.2
1.8
1.4
1
0.6
0.2
6
8
10
12
14
16
18
20
22
24
26
28
30
32
Рис. 4. ГХ/МС хроматограмма смеси бензин-бензол при концентрации бензола 6%: (а) - необлученная исходная проба, (б) -
через 2 месяца после облучения, (в) - через 8 месяцев после облучения.
ются возбужденные молекул, которые конкурируют
ченного гамма-излучением, свидетельствуют о том,
с процессами дезактивации при столкновениях с
что гамма-излучение негативно влияет на эксплуа-
окружающими молекулами С6Н6* + С6Н6* → Н2 +
тационные свойства (вязкость и плотность) бензи-
С12Н10
на АИ-92. Оптимальной концентрацией бензола в
ЗАКЛЮЧЕНИЕ
бензине является 6%, при котором вязкость и плот-
ность с увеличением поглощенной дозы не только
Проведенная оценка физико-химических показа-
не увеличиваются, но даже уменьшаются. Кинети-
телей бензина с добавками бензола 1, 2, 4, 6%, облу- ка постполимеризационных процессов в течение
РАДИОХИМИЯ том 65 № 4 2023
362
ДЖАББАРОВА и др.
ɚ
3.0
2.4
3118.276 56.552
2.0
2954.996 8.497
1.6
2924.143 7.595
1607.729 -0.270
1.2
1457.635 9.901
1037.342 4.676
0.8
2095.185 41.152
1377.941 -0.317
773.262 -0.0
0.4
0.2
3800 3600 3400 3200 3000 2800 2600 2400
2200 2000 1800
1600 1400 1200 1000 800
600
400
Wavenumber
ɛ
2.4
3666.955 2.896
2.0
3718.135 3.708
2925.875 2.762
1.6
2873.376 -0.023
1933.256 0.645
1.2
1462.696 1.511
0.8
642.129
4
0.4
3800 3600 3400 3200 3000 2800 2600 2400
2200
2000 1800 1600
1400 1200 1000 800
600
400
Wavenumber
ɜ
(10
2602.233 156.202
1.8
3218.456 150.794
1.4
2855.892 2.391
2924.439 2.898
1613.347 1.743
1.0
1463.153 3.310
0.6
742.250 1.823
0.2
3800
3600 3400 3200 3000 2800 2600 2400 2200 2000 1800 1600 1400 1200 1000
800
600
400
ɝ
Wavenumber
2.8
(2
2957.574 13.394
2927.972 9.071
2.4
3889.314 0.158
2869.242 8.167
2.0
1458.361 21.102
1.6
2669.819 4.916
1606.312 1.861
1377.138 4.115
1.2
728.790 4.175
0.8
0.4
3800 3600 3400 3200 3000 2800 2600 2400 2200 2000 1800 1600 1400 1200 1000 800 600 400
ɞ
Wavenumber
3025.592 3.776
2962.198 1.466
1607.276 4.347
1.8
1464.836 3.591
3702.694 0.000
2604.014 8.831
1380.668 3.764
1739.264 1.742
1170.032 1.284
1.4
1030.825 1.623
885.281 1.172
1.0
727.442 3.420
0.6
0.2
3800 3600 3400 3200 3000 2800 2600 2400 2200 2000 1800 1600 1400 1200 1000 800
600 400
ɟ
Wavenumber
1.6
(26
2962.356 222.659
1.2
3654.612 1.588
2361.836 1.231
1924.690 0.775
0.8
1463.638 0.000
0.4
00 1200 1000 800
600 400
3800 3600 3400 3200 3000 2800 2600 2400 2200 2000 1800 1600 14
Wavenumber
Рис. 5. Результаты ИК- спектроскопических исследований образцов 2/98% бензол/бензин до и после гамма-излучения. (а) -
исходная смесь; (б)-(е) - после облучения в течение 360 ч до дозы 97 кГр: (б) - сразу после облучения, (в) - через 1 месяц,
(г) - через 2 месяца, (д) - через 4 месяца, (е) - через 8 месяцев после облучения.
8 месяцев после окончания облучения показывает,
КОНФЛИКТ ИНТЕРЕСОВ
что скорость процесса и его доля в общей полиме-
ризации зависят от времени облучения, плотности
Авторы заявляют об отсутствии конфликта ин-
исходной смеси и дозы.
тересов.
РАДИОХИМИЯ том 65 № 4 2023
ВЛИЯНИЕ ИОНИЗИРУЮЩЕГО ИЗЛУЧЕНИЯ
363
CПИСОК ЛИТЕРАТУРЫ
12. Филатов И.Е., Первова М.Г. // Горение и плазмохи-
мия. 2011. T. 9, № 3. С. 227.
1.
Джаббарова Л.Ю., Мустафаев И.И., Ибадов Н.А. //
13. Ponomarev A.V., Holodkova E.M, Ershov B.G. // Radiat.
ЖПС. 2022. Т. 89, № 3. C. 315-322.
Phys. Chem. 2012. Vol. 81, N 9. P. 1440.
2.
Jabbarova L.Y., Mustafayev I.I., Akperov R.Y.,
14. Милинчук В.К., Клиншпонт Э.Р., Тупиков В.И. Осно-
Mirzayeva A.S. // J. Radiat. Res. 2022. Vol. 9, N 1.
вы радиационной стойкости органических материа-
P. 58-63.
лов. // М.: Энергоатомиздат, 1994. 256 с.
3.
Jabbarova L.Y., Mustafayev I.I. // Radiochemistry. 2021.
15. Topchiev A.V., Polak L.S., Lavrovsky K.P. // World
Vol. 63, N 3. P. 373.
Petroleum Congr.—Proc. 1963. P. 75-89.
4.
Jabbarova L.Y., Mustafayev I.I. // High Energy Chem.
16. Козлов Ю.Д., Стефаненко И.В.// Высокие техноло-
2021. Vol. 55. P. 37.
гии с использованием источников ионизирующих
5.
Джаббарова Л.Ю., Мустафаев И.И. // ЖПС. 2018.
излучений в промышленности М.: Энергоатомиздат,
Т. 85, № 4. С. 634.
2006. 714 с.
6.
Jabbarova L.Y., Mustafayev I.I // J. Energy, Environ.
17. Олейничак A., Шостенко А.Г., Трушковский С. //
Chem. Eng. (USA). 2017. Vol. 2, N 4. P. 41.
ХВЭ. 2008, Т. 42, № 3. С. 252-256
7.
Джаббарова Л.Ю., Мустафаев И.И., Meлико-
18. Ismailova M.K. // Advances in Science and Technology.
ва С.З. // Междунар. журн. прикл. и фундам. иссле-
2019. P. 23.
дований. 2017. №7 (2). С. 239.
19. Савиных. Ю.В., Орловский В.М., Лоскутова Л.В. //
8.
Jabbarova L.Y., Mustafayev I.I. // J. Energy, Environ.
Воздействие электронного пучка на вязкостные ха-
Chem. Eng. (USA). 2017. Vol. 2, N 4. P. 62.
рактеристики нефти .Известия высших учебных за-
9.
Денисов А.В., Дубровский В.Б., Соловьев В.Н. Ра-
ведений. Физика. 2015. Т. 58, № 9/3. С. 131-134.
диационная стойкость минеральных и полимер-
ных строительных материалов : справочное посо-
20. Борн М. Атомная физика / Под ред. Б.В. Медведева.
бие /.М. : Изд. дом МЭИ, 2012. 384 с
М.: Мир, 1970. 477 с.
10. Ибадов Н.А., Сулейманов Б.А., Гурбанов М.А., Абдул-
21. Тарасевич Б.Н. // ИК спектры основных классов ор-
лаев Э.Т., Аббасова Д.Р. // Международный научный
ганических соединений (справочные материалы) М.
журнал «Альтернативная энергетика и экология»
МГУ имени М.В.Ломоносова: 2012. С. 54.
2009. № 5 (73). С. 22.
22. Милинчук В.К., Тупиков В.И. //Радиационная стой-
11. Пономарев А.В., Цивадзе А.Ю. // Докл. АН. 2006.
кость органических материалов. Москва, Энергоато-
Т. 411, № 5. C. 652-658.
миздат, 1986. 272 с.
Effect of Ionizing Radiation on the Physico-Chemical and
Performance Properties of Gasoline with the Additive of
Benzene
L. Y. Jabbarova*, I. I. Mustafayev, A. S. Mirzayeva, N. A. Ibadov
Institute of Radiation Problems, Azerbaijan National Academy of Sciences, Baku, AZ1143, Azerbaijan
*e-mail: clala@mail.ru
Received December 19, 2022; revised February 9, 2022; accepted February 10, 2022
The effect of irradiation was studied by adding benzene to AI-92 gasoline. Kinetics of processes were studied
at temperature T = 20°С, dose rate P = 0.072 Gy/s, absorbed doses (D) in the range of 27-78 kGy. The results
of gas chromatography-mass spectrometric (GC/MS) analysis, IR-spectroscopic studies, and determination
of density and viscosity of samples before and after irradiation at different absorbed doses are presented. The
evaluation of the physicochemical parameters of γ-irradiated gasoline with 1, 2, 4, and 6% benzene additives
shows that γ-irradiation has a negative effect on the performance characteristics (viscosity and density) of
AI-92 gasoline. The optimal concentration of benzene is 6% when the viscosity and density decrease with
the increase of the absorbed dose. The kinetics of post-polymerization processes for 8 months after the end
of irradiation shows that the speed of the process and its share in the total polymerization depend on the
irradiation time, the initial density of the mixture, and the dose.
Keywords: gasoline, radiolysis, IR spectrum, gas chromatography-mass spectrometry (GC/MS).
РАДИОХИМИЯ том 65 № 4 2023